高三数学专题训练--集合的概念与运算
- 格式:doc
- 大小:124.50 KB
- 文档页数:7
A级基础演练(时间:30分钟满分:55分)一、选择题(每小题5分,共20分)1.(2012·新课标全国)已知集合A={x|x2-x-2<0},B={x|-1<x<1},则().A.A⊆B B.B AC.A=B D.A∩B=∅解析A={x|x2-x-2<0}={x|-1<x<2},则B A.答案 B2.(2012·浙江)设全集U={1,2,3,4,5,6},集合P={1,2,3,4},Q={3,4,5},则P∩(∁U Q)=().A.{1,2,3,4,6} B.{1,2,3,4,5}C.{1,2,5} D.{1,2}解析∁U Q={1,2,6},∴P∩(∁U Q)={1,2}.答案 D3.(2012·郑州三模)设集合U={x|x<5,x∈N*},M={x|x2-5x+6=0},则∁U M =().A.{1,4} B.{1,5} C.{2,3} D.{3,4}解析U={1,2,3,4},M={x|x2-5x+6=0}={2,3},∴∁U M={1,4}.答案 A4.(2012·长春名校联考)若集合A={x||x|>1,x∈R},B={y|y=2x2,x∈R},则(∁R A)∩B=().A.{x|-1≤x≤1} B.{x|x≥0}C.{x|0≤x≤1} D.∅解析∁R A={x|-1≤x≤1},B={y|y≥0},∴(∁R A)∩B={x|0≤x≤1}.答案 C二、填空题(每小题5分,共10分)5.(2013·湘潭模拟)设集合A ={-1,1,3},B ={a +2,a 2+4},A ∩B ={3},则实数a =________.解析 ∵3∈B ,又a 2+4≥4,∴a +2=3,∴a =1. 答案 16.(2012·天津)集合A ={x ∈R ||x -2|≤5}中的最小整数为________.解析 由|x -2|≤5,得-5≤x -2≤5,即-3≤x ≤7,所以集合A 中的最小整数为-3. 答案 -3 三、解答题(共25分)7.(12分)若集合A ={-1,3},集合B ={x |x 2+ax +b =0},且A =B ,求实数a ,b .解 ∵A =B ,∴B ={x |x 2+ax +b =0}={-1,3}. ∴⎩⎨⎧-a =-1+3=2,b =(-1)×3=-3,∴a =-2,b =-3. 8.(13分)已知集合A ={-4,2a -1,a 2},B ={a -5,1-a ,9},分别求适合下列条件的a 的值. (1)9∈(A ∩B ); (2){9}=A ∩B .解 (1)∵9∈(A ∩B ),∴9∈A 且9∈B .∴2a -1=9或a 2=9,∴a =5或a =-3或a =3. 经检验a =5或a =-3符合题意.∴a =5或a =-3. (2)∵{9}=A ∩B ,∴9∈A 且9∈B , 由(1)知a =5或a =-3.当a =-3时,A ={-4,-7,9},B ={-8,4,9}, 此时A ∩B ={9};当a =5时,A ={-4,9,25},B ={0,-4,9}, 此时A ∩B ={-4,9},不合题意. 综上知a =-3.B 级 能力突破(时间:30分钟 满分:45分)一、选择题(每小题5分,共10分)1.(2012·南昌一模)已知全集U =R ,函数y =1x 2-4的定义域为M ,N ={x |log 2(x -1)<1},则如图所示阴影部分所表示的集合是( ).A .[-2,1)B .[-2,2]C .(-∞,-2)∪[3,+∞)D .(-∞,2)解析 图中阴影表示的集合是(∁U N )∩M ,又M =(-∞,-2)∪(2,+∞),N =(1,3),(∁U N )=(-∞,1]∪[3,+∞),故(∁U N )∩M =(-∞,-2)∪[3,+∞). 答案 C2.(2012·潍坊二模)设集合A =⎩⎨⎧⎭⎬⎫x ⎪⎪⎪x 24+3y24=1,B ={y |y =x 2},则A ∩B =( ).A .[-2,2]B .[0,2]C .[0,+∞)D .{(-1,1),(1,1)}解析 A ={x |-2≤x ≤2},B ={y |y ≥0},∴A ∩B ={x |0≤x ≤2}=[0,2]. 答案 B二、填空题(每小题5分,共10分)3.给定集合A ,若对于任意a ,b ∈A ,有a +b ∈A ,且a -b ∈A ,则称集合A 为闭集合,给出如下三个结论:①集合A ={-4,-2,0,2,4}为闭集合; ②集合A ={n |n =3k ,k ∈Z }为闭集合;③若集合A 1,A 2为闭集合,则A 1∪A 2为闭集合. 其中正确结论的序号是________.解析 ①中-4+(-2)=-6∉A ,所以不正确.②中设n 1,n 2∈A ,n 1=3k 1,n 2=3k 2,n 1+n 2∈A ,n 1-n 2∈A ,所以②正确.③令A 1={n |n =3k ,k ∈Z },A 2={n |n =2k ,k ∈Z },3∈A 1,2∈A 2,但是,3+2∉A 1∪A 2,则A 1∪A 2不是闭集合,所以③不正确. 答案 ② 4.已知集合A =⎩⎪⎨⎪⎧⎭⎪⎬⎪⎫x ⎪⎪⎪6x +1≥1,x ∈R ,B ={x |x 2-2x -m <0},若A ∩B ={x |-1<x <4},则实数m 的值为________. 解析 由6x +1≥1,得x -5x +1≤0, ∴-1<x ≤5,∴A ={x |-1<x ≤5}. ∵A ={x |-1<x ≤5},A ∩B ={x |-1<x <4}, ∴有42-2×4-m =0,解得m =8.此时B ={x |-2<x <4},符合题意,故实数m 的值为8. 答案 8三、解答题(共25分)5.(12分)设A ={x |x 2-8x +15=0},B ={x |ax -1=0}. (1)若a =15,试判定集合A 与B 的关系; (2)若B ⊆A ,求实数a 组成的集合C .解 由x 2-8x +15=0,得x =3或x =5.∴A ={3,5}. (1)当a =15时,由15x -1=0,得x =5. ∴B ={5},∴BA .(2)∵A ={3,5}且B ⊆A ,∴若B =∅,则方程ax -1=0无解,有a =0. 若B ≠∅,则a ≠0,由方程ax -1=0,得x =1a ,∴1a =3或1a =5,即a =13或a =15,∴C =⎩⎨⎧⎭⎬⎫0,13,15. 6.(13分)(2013·衡水模拟)设全集I =R ,已知集合M ={x |(x +3)2≤0},N ={x |x 2+x -6=0}. (1)求(∁I M )∩N ;(2)记集合A =(∁I M )∩N ,已知集合B ={x |a -1≤x ≤5-a ,a ∈R },若B ∪A =A ,求实数a 的取值范围.解 (1)∵M ={x |(x +3)2≤0}={-3}, N ={x |x 2+x -6=0}={-3,2},∴∁I M ={x |x ∈R 且x ≠-3},∴(∁I M )∩N ={2}. (2)A =(∁I M )∩N ={2},∵B ∪A =A ,∴B ⊆A ,∴B =∅或B ={2}. 当B =∅时,a -1>5-a ,∴a >3; 当B ={2}时,⎩⎨⎧a -1=2,5-a =2,解得a =3.综上所述,所求a 的取值范围是{a |a ≥3}.。
高三数学集合的概念试题答案及解析1.设集合,,若,则的值为()A.B.1C.D.0【答案】D【解析】由题意得且,则,,所以.【考点】集合的运算与集合的元素.2.对于集合,定义集合,记集合中的元素个数为.若是公差大于零的等差数列,则=____________.【答案】17【解析】不妨设,由题意,集合中最小项为,最大项为,对任意的,如果,则可取,若,可取,显然由于,有,即,所以.【考点】集合的元素.3.若x∈A,则∈A,就称A是“伙伴关系集合”,集合M=的所有非空子集中具有伙伴关系的集合的个数是________.【答案】3【解析】具有伙伴关系的元素组是-1;,2,所以具有伙伴关系的集合有3个:{-1},,4.若集合A={0,1},B={-1,a2},则“a=1”是“A∩B={1}”的()A.充分非必要条件B.必要非充分条件C.充要条件D.既不充分也不必要条件【答案】A【解析】a=1A∩B={1};A∩B={1}a=±1,故为充分不必要条件.5.已知集合M={1,2,3},N={2,3,4},则M∩N=________.【答案】M∩N={2,3}【解析】M∩N={1,2,3}∩{2,3,4}={2,3}.6.已知全体实数集,集合(1)若时,求;(2)设,求实数的取值范围.【答案】(1);(2).【解析】(1)集合的运算,要先确定集合中的元素时,,,则,并集就是两集合的所有元素组成,要注意几何元素的互异性.(2)即集合A中的元素都在集合B中,所以.试题解析:(1)当时,,则故(2),,若,则【考点】1、集合的运算;2、集合见得关系;3、集合中元素的确定性.7.设集合,,则使M∩N=N成立的的值是()A.1B.0C.-1D.1或-1【答案】C【解析】由于集合中的元素互不相同,所以.又因为M∩N=N,所以.【考点】集合的特征及集合的基本运算.8.已知集合,集合.(1)求集合;(2)若,求实数的取值范围.【答案】(1);(2) .【解析】(1)求集合,要认清这个集合的代表元是什么?这个代表元具有什么性质?也即这人集合实质是什么?象本题中集合实质就是不等式的解集,故我们只要解这个不等式即可,当然分式不等式的解法是移项,把不等式的右边变为0,左边变成若干因式的积或商,再转化为整式不等式,还要注意的转化时要注意等价转化(主要是原分式不等式中分母不能为0);(2)条件,说明,不需要求出,而是利用集合的关系解决问题.试题解析:解:(1)由,得 2分所以 2分(2) 2分2分由,得 2分所以或所以的范围为 2分【考点】(1)分式不等式;(2)子集的性质.9.若集合,则满足条件有个.【答案】3【解析】集合A显然一定含有元素1,2,而元素3,4可以都没有,也可以有一个,但不能两个都含有,故这样的A有3个,实质是这里集合A的个数是集合的真子集的个数.【考点】子集.10.设非空集合满足:当时,有,给出如下三个命题:①若则;②若则;③若则.其中正确命题的是 ( )A.①B.①②C.②③D.①②③【答案】D【解析】①若则,根据“当时,有”可得即,所以正确;②若则或,根据题意可得,所以正确;③若则,所以正确.【考点】集合的概念11.设集合,.(1)当1时,求集合;(2)当时,求的取值范围.【答案】(1);(2).【解析】(1)当时,集合就是函数的定义域,解不等式就可得到集合;(2)由知,集合是不等式的解集,在解不等式时可先化为一元二次不等式,然后对相应方程的根的大小进行讨论,具体化集合,再由确定的取值范围.试题解析:(1)当1时,,由, 3分解得,所以集合; 7分(2)因为,则, 8分由,得.(ⅰ)当时,,显然不满足题意; 10分(ⅱ)当时,,由题意知解得. 13分综上所述,所求的取值范围是. 14分【考点】集合的运算、子集的含义.12.已知集合,则的所有非空真子集的个数是.【答案】【解析】,则,则,即.故中共有9个元素,因此的所有非空真子集的个数是个.【考点】1.集合中元素的确定;2.集合的子集个数.13.若集合则“”是“”的()A.充分不必要条件B.必要不充分条件C.充要条件D.既不充分也不必要条件【答案】A【解析】,,∵,∴,∴,∴是的充分不必要条件.【考点】1.一元二次不等式的解法;2.绝对值不等式的解法;3.集合间的关系;4.充分必要条件. 14.设集合,,,则M中元素的个数为()A.3B.4C.5D.6【答案】B【解析】由题意知,,则x的可能取值为5,6,7,8.因此集合M共有4个元素,故选B.【考点】集合的概念15.对于E={a1,a2,….a100}的子集X={,,…, },定义X的“特征数列”为x1,x2…,x100,其中==…==1.其余项均为0,例如子集{a2,a3}的“特征数列”为0,1,0,0,…,0 子集{a1,a3,a5}的“特征数列”的前三项和等于________________;若E的子集P的“特征数列”P1,P2,…,P100满足P1+Pi+1="1," 1≤i≤99;E 的子集Q的“特征数列”q1,q2,…,q100满足q1=1,q1+qj+1+qj+2=1,1≤j≤98,则P∩Q的元素个数为___________.【答案】2;17【解析】(1)子集{a1,a3,a5}的“特征数列”为1,0,1,0,1,0…,0,故前3项和为2;(2)依题意,E的子集P的“特征数列”为1,0,1,0,1,0…,1;E 的子集Q的“特征数列”为1,0,0,1,0,0,1,0,0…,1,0;将目标转化为求数列与数列在时有几个公共元素,可知有17个.16.集合的元素个数是 ( )A.1B.2C.3D.4【答案】C【解析】={0,1,2},所以,集合的元素个数是3个,故选C。
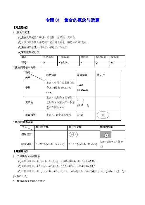
专题01 集合的概念与运算【名师预测】江苏高考对集合知识的考查比较低,以填空题的形式进行考查,主要考查集合与集合、元素与集合间的关系以及集合的交集、并集、补集的运算,同时注重对Venn图、数轴等数形结合思想的考查。
集合的基本运算有时会以集合知识为载体,往往与函数、方程、不等式等知识结合考查,体现出小题目综合化的命题趋势。
集合的学习要有弹性,要有所取舍.比如我们不必在集合间的关系上过于深究,也不必在集合的概念等内容上过于钻研。
【知识精讲】1.集合的相关概念(1)集合元素的三个特性:确定性、无序性、互异性.(2)元素与集合的两种关系:属于,记为∈;不属于,记为∉.(3)集合的三种表示方法:列举法、描述法、图示法.(4)五个特定的集合:2.集合间的基本关系3.集合的基本运算4.集合关系与运算的常用结论(1)若集合A中有n个元素,则A的子集有2n个,真子集有12n-个,非空子集有12n-个.(2)集合的传递性:A⊆B,B⊆C⇒A⊆C.(3)A⊆B⇔A∩B=A⇔A∪B=B.(考虑A是空集和不是空集两种情况)(4)C U(A∩B)=(C U A)∪(C U B),C U(A∪B)=(C U A)∩(C U B).【典例精练】考点一集合的基本概念例1. A={1,2,4},则集合B={(x,y)|x∈A,y∈A}中元素的个数为________.【解析】集合B中元素有(1,1),(1,2),(1,4),(2,1),(2,2),(2,4),(4,1),(4,2),(4,4),共9个.故答案为9.例2.若-1∈{a-1,2a+1,a2-1},则实数a的取值集合是________.【解析】若a-1=-1,解得a=0,此时集合中的元素为-1,1,-1,不符合元素的互异性;若2a+1=-1,解得a=-1,此时集合中的元素为-2,-1,0,符合题意;若a2-1=-1,解得a=0,不符合题意,综上所述,a=-1.故答案为{-1}.例3.若集合A={x∈R|ax2-3x+2=0}中只有一个元素,则a=________.【解析】若集合A中只有一个元素,则方程ax2-3x+2=0只有一个实根或有两个相等实根.①当a=0时,x=23,符合题意;②当a ≠0时,由Δ=(-3)2-8a =0,得a =98. ∴a 的值为0或98故答案为0或98.例4.已知集合A ={1,2,3},B ={1,m },若3-m ∈A ,则非零实数m 的值是________. 【解析】由题意知,若3-m =1,则m =2,符合题意;若3-m =2,则m =1,此时集合B 不符合元素的互异性,故m ≠1; 若3-m =3,则m =0,不符合题意. 故m =2. 故答案为2.【方法点睛】与集合中元素有关问题的求解策略 (1)确定集合的元素是什么,即集合是数集还是点集; (2)看这些元素满足什么限制条件;(3)根据限制条件列式求参数的值或确定集合中元素的个数,但要注意检验集合是否满足元素的互异性.在解决集合中含有字母的问题时,一定要返回代入验证,防止与集合中元素的互异性相矛盾. 考点二 集合间的基本关系例5.已知集合{}1,2,3,4,5A =,{}(,),,,B x y x A y A x y x y A =∈∈<+∈,则集合B 的子集的个数是 . 【解析】∵集合{}1,2,3,4,5A =,{}(,),,,B x y x A y A x y x y A =∈∈<+∈ ∴{}(1,2),(2,3),(1,3),(1,4)B = ∴集合B 的子集个数是4216=. 故答案为16.例6.设集合{}2,4A =,{}2,2B a =,(其中0a <),若A B =,则实数a =________. 【解析】∵集合{}2,4A =,{}2,2B a =,且A B = ∴24a = 又0a < ∴2a =- 故答案为-2.例7.已知集合{}1,2a A =,集合{}1,1,4B =-,且A B ⊆,则正实数a =________.【解析】∵集合{}1,2a A =,集合{}1,1,4B =-,且A B ⊆ ∴24a = ∴2a = 故答案为2.例8.已知集合{}15A x x =≤<,{}3B x a x a =-<≤+,若()B A B ⊆,则实数a 的取值范围为________.【解析】∵()B A B ⊆∴B A ⊆①当B =∅时,满足B A ⊆,此时3a a -≥+,即32a ≤-. ②当B ≠∅时,要使B A ⊆,则3135a a a a -<+⎧⎪-≥⎨⎪+<⎩,解得312a -<≤-由①②可知,实数a 的取值范围为(,1]-∞-. 故答案为(,1]-∞-.【方法点睛】判断集合间关系的3种方法①列举法:根据题中限定条件把集合元素表示出来,然后比较集合元素的异同,从而找出集合之间的关系;②结构法:从元素的结构特点入手,结合通分、化简、变形等技巧,从元素结构上找差异进行判断; ③数轴法:在同一个数轴上表示出两个集合,比较端点之间的大小关系,从而确定集合与集合之间的关系,运用数轴图示法时要特别注意端点是实心还是空心.注意:空集是任何集合的子集,在涉及集合关系时,必须优先考虑空集的情况,否则会造成漏解. 考点三 集合的基本运算例9.设全集{}*5,U x x x N =<∈,集合{}1,2A =,{}2,4B =,则()U C AB = .【解析】∵集合{}{}*5,1,2,3,4U x x x N =<∈=,且集合{}1,2A =,{}2,4B = ∴{}1,2,4AB =∴{}()3U C AB =故答案为{}3.例10.已知全集{}22,3,23U a a =+-,{}21,2A a =-,{}5U C A =,则实数a =________. 【解析】由题意知,2235a a +-=,解得a =-4或a =2.① 当a =-4时,|2a -1|=9,而9U ∉,所以a =-4不满足题意,舍去; ② 当a =2时,|2a -1|=3,3U ∈,满足题意. 故实数a 的值为2. 故答案为2.例11.设集合{}(,)1A x y y ax ==+,集合{}(,)B x y y x b ==+,且{}(2,5)A B =,则a b +=____.【解析】∵集合{}(,)1A x y y ax ==+,{}(,)B x y y x b ==+,且{}(2,5)A B =∴521a =+,且52b =+ ∴2a =,3b = ∴5a b += 故答案为5.例12.设A ,B 是非空集合,定义{}()()A B x x A B x A B ⊗=∈∉且.已知集合{}02A x x =<<,{}0B y y =≥,则A B ⊗=________.【解析】∵{}02A x x =<<,{}0B y y =≥ ∴{}0AB x x =≥,{}02A B x x =<<∴{}02A B x x x ⊗==≥或 故答案为{}02x x x =≥或.【方法点睛】解集合运算问题4个技巧① 看元素构成:集合是由元素组成的,从研究集合中元素的构成入手是解决集合运算问题的关键; ② 对集合化简:有些集合是可以化简的,先化简集合再研究其关系并进行运算,可使问题简单明 了、易于解决;③ 数形结合:常用的数形结合形式有数轴、坐标系和Venn 图;④新定义型问题:以集合为依托,对集合的定义、运算、性质加以深入的创新,但最终化为原来的集合知识和相应数学知识来解决.【名校新题】一、填空题1.(2019·江苏徐州第一次质量检测)已知集合{}0,1,2,3A =,{}|02B x x =<…,则A B =_________.【解析】取集合,A B 的公共部分即可,所以,{1,2}A B ⋂= 故答案为:{}1,22.(2019·苏北七市第二次质量检测)已知集合{}13A a =,,,{45}B =,.若A B ={4},则实数a 的值为____.【解析】∵A B ⋂= {}4,∴a=4 故答案为43.(2019·江苏金陵中学高考第四次模拟)设全集U ={}5N x x x *<∈,,集合A ={1,2},B ={2,4},则∁U (A ⋃B)=_______.【解析】集合U ={}5N x x x *<∈,={}1,2,3,4,且A ={1,2},B ={2,4},得A ⋃B ={1,2,4},所以∁U (A ⋃B)={3} 故答案为:{3}4.(2019·江苏南通四月质量检测)已知集合 ,B ,则A B _____.【解析】∵由题意可知A∩B 中的元素是2的整数倍,且在(-2,3)内, ∴A∩B ={0,2}. 故答案为:{0,2}.5.(2019·江苏徐州高考考前模拟)集合{}1,0,1A =-,{}|20B x x =-<<,则A B 中元素的个数是______.【解析】A 中仅有1B -∈,故AB 中元素的个数为1,填1 .6.(2019·江苏宿迁调研测试)已知集合[)1,4,(,)A B a ==-∞,若A B ⊆,则实数a 的取值范围是 。
高三数学集合的概念试题1.已知有限集.如果A中元素满足,就称A为“复活集”,给出下列结论:①集合是“复活集”;②若,且是“复活集”,则;③若,则不可能是“复活集”;④若,则“复活集”A有且只有一个,且.其中正确的结论是___________________.(填上你认为所有正确的结论序号)【答案】①③④【解析】∵,故①是正确的;②不妨设,则由韦达定理知是一元二次方程的两个根,由,可得,或,故②错;③不妨设A中,由,得,当时,即有,∴,于是,无解,即不存在满足条件的“复活集”A,故③正确.当时,,故只能,求得,于是“复活集”A只有一个,为{1,2,3}.当时,由,即有,也就是说“复活集”A存在的必要条件是,事实上,,矛盾,∴当时不存在复活集A,故④正确.故答案为:①③④【考点】元素与集合关系的判断.2. i是虚数单位,若集合S={﹣1,0,1},则()A.i∈S B.i2∈S C.i3∈S D.【答案】B【解析】∵S={﹣1.0.1},∴i∉S,故A错误;i2=﹣1∈S,故B正确;i3=﹣i∉S,故C错误;∉S,故D错误;故选B3.已知集合{a|0≤a<4,a∈N},用列举法可以表示为________.【答案】【解析】因为a∈N,且0≤a<4,由此可知实数a的取值为0,1,2,3.4.已知集合A={x|x2-x-2<0},B={x|-1<x<1},则()A.A B B.B A C.A=B D.A∪B=【答案】B【解析】集合A={x|x2-x-2<0}={x|-1<x<2},又B={x|-1<x<1},所以B是A的真子集.故选B.5.已知集合A={x|x(x-a)<0},且1∈A,2∉A,则实数a的取值范围是()A.1≤a≤2B.1<a<2C.1<a≤2D.1≤a<2【答案】C【解析】依题意得解得1<a≤2,故选C.6.已知集合M={1,2,3},N={2,3,4},则M∩N=________.【答案】M∩N={2,3}【解析】M∩N={1,2,3}∩{2,3,4}={2,3}.7.已知集合,,且,则实数的值是.【答案】1【解析】由,知,经检验只有符合题意,所以.【考点】子集的概念.8.已知M,N为集合I的非空真子集,且M,N不相等,若则()A.M B.N C.I D.【答案】A【解析】因为所以,故,选A.【考点】1、集合的关系;2、集合的运算.9.已知集合,其中表示和中所有不同值的个数.(Ⅰ)若集合,则;(Ⅱ)当时,的最小值为____________.【答案】(Ⅰ)6;(Ⅱ)213.【解析】(Ⅰ)因为2+4=6,2+8=10,2+16=18,4+8=12,4+16=20,8+16=24,故有6个不同值.所以;(Ⅱ)当时,将集合中元素按从小到大顺序重新排列,得,且.依题意,和可以组成、、…、、、…、、、…、……、共5778个.且易知<<<…<;<<…<;…….当只要,就有时,和中所有不同值的个数最少,因为为这些值中的最小值,为这些值中的最大值.所以.故的最小值为213.【考点】新概念的理解10.已知集合,,若,则符合条件的实数的值组成的集合为()A.B.C.D.【答案】C【解析】当时,,;当时,,要,则或,即或,选C.【考点】集合元素的特征,交集的定义.11.下列函数与相等的是( )A.B.C.D.【答案】A【解析】的定义域、值域均为实数集.利用实数指数幂的运算法则可知,下列函数与相等的是,故选A.【考点】函数的概念与函数的表示方法12.在整数集中,被5整除所得余数为的所有整数组成一个“类”,记为,,给出如下三个结论:①;②;③;、④“整数、属于同一“类”的充要条件是“”.其中,正确结论的个数是()A. 0B. 1C.2D.3【答案】D【解析】因为,所以,则①正确;,所以,所以②不正确;因为整数集中的数被5除可以且只可以分成五类,所以③正确.对于④∵整数,属于同一“类”,∴整数,被5除的余数相同,从而被5除的余数为0,反之也成立,故“整数,属于同一“类”的充要条件是“”.故④正确.所以正确结论的个数有3个.故选D.【考点】新定义题型.13.已知集合,.(1)存在,使得,求的取值范围;(2)若,求的取值范围.【答案】(1);(2).【解析】(1)集合,即为在上有零点,利用二次函数的图象判断即得结果或转化为求函数在上的值域更为简单;(2)即,或的零点(一个或两个)都在内,结合二次函数的图象判断即得结果,数形结合的思想在解题中起到了重要的作用.试题解析:(1)由题意得,故,解得① 2分令,对称轴为,∵,又,∴,解得② 5分由上①②得的取值范围为 7分(2)∵,∴当,即时,是空集,这时满足 9分当,即③令,对称轴为,∵,∴,解得④由③④得, 12分综上得的取值范围为 14分【考点】一元二次方程、一元二次不等式和二次函数.14.设集合是的子集,如果点满足:,称为集合的聚点.则下列集合中以为聚点的有:;②;③;④()A.①④B.②③C.①②D.①②④【答案】A【解析】①中,集合中的元素是极限为1的数列,∴在的时候,存在满足0<|x-1|<a的x,∴1是集合的聚点;②集合中的元素是极限为0的数列,最大值为2,即|x-1|≥1,对于某个a>1,不存在0<|x-1|,∴1不是集合的聚点;③对于某个a<1,比如a=0.5,此时对任意的x∈Z,都有|x﹣1|=0或者|x﹣1|≥1,也就是说不可能0<|x﹣1|<0.5,从而1不是整数集Z的聚点;④>0,存在0<|x-1|<0.5的数x,从而1是整数集Z的聚点,故选A.【考点】集合,极限.15.已知集合,集合,表示空集,如果,那么的值是( )A.B.C.D.或【答案】D【解析】∵,,,∴.所以或.故选D.【考点】集合的概念和运算.16.已知全集,集合,,则= .【答案】【解析】【考点】集合的交并补运算点评:基础题型,学生易得分17.已知集合则( )A.B.C.D.【答案】A【解析】因为它所表示的图形为一个中心在坐标原点,四个定点在坐标轴上的正方形,对角线长为;它表示的图形为一个以原点为圆心,以1为半径的圆,正方体内接于圆,所以.【考点】本小题主要考查两个集合之间的关系.点评:对于此类题目,准确画出图象可以辅助答题,并且简化运算.18.设全集,集合,集合,则()A.B.C.D.【答案】A【解析】因为全集,集合,集合,则,选A.19.若集合A={-1,1},B={0,2},则集合{z︱z=x+y,x∈A,y∈B}中的元素的个数为A.5B.4C.3D.2【答案】C【解析】本题考查集合的概念及元素的个数.容易看出只能取-1,1,3等3个数值.故共有3个元素.【点评】集合有三种表示方法:列举法,图像法,解析式法.集合有三大特性:确定性,互异性,无序性.本题考查了列举法与互异性.来年需要注意集合的交集等运算,Venn图的考查等20.若将有理数集Q分成两个非空的子集M与N,且满足M∪N=Q,M∩N=,M中的每一个元素都小于N中的每一个元素,则称(M,N)为有理数集的一个分割.试判断,对于有理数集的任一分割(M,N) ,下列选项中,不可能成立的是A.M没有最大元素,N有一个最小元素B.M没有最大元素,N也没有最小元素C.M有一个最大元素,N有一个最小元素D.M有一个最大元素,N没有最小元素【答案】C【解析】有理数集是无限集合,没有最大值和最小值。
专题一集合与常用逻辑用语备考篇【考情探究】课标解读考情分析备考指导主题内容一、集合的概念与运算1.理解集合的含义,能用自然语言、图形语言、集合语言(列举法或描述法)表示集合.2.理解集合之间的包含关系,能识别给定集合的子集,在具体问题中了解全集与空集的含义.3.理解两个集合的并集与交集的含义,并会求它们的交集与并集;理解给定一个集合的子集的补集含义,会求给定子集的补集;会用韦恩(Venn)图表示集合间的基本关系及运算.1.考查内容:从近五年高考看,本专题重点考查集合的交、并、补运算,所给的数集既有连续型(如2020新高考Ⅰ卷第1题直接给出了两个连续型集合,求它们的并集,而2020课标Ⅰ卷理数第1题则是先求出一元一次、一元二次不等式的解集,后给定了集合交集来求参数的值)、又有离散型的数集(如2020课标Ⅱ卷文数第1题与2020天津卷第1题);对充分条件、必要条件的考查常与其他知识结合(如2020北京卷的第9题以三角函数中的诱导公式为背景考查了充分、必要条件的推理判断);全(特)称命题的考查相对较少.2.本专题是历年必考的内容,在选择题、填空题中出现较多,多以给定的集合或不等式的解集为载体,以集合1.对于给定的集合,首先应明确集合的表示方法,对于描述法表述的集合,要明确集合的元素是什么(是数集、点集等),明确集合是不等式的解集,是函数的定义域还是值域,把握集合中元素的属性是重点.2.了解命题及其逆命题、否命题与逆否命题;通过对概念的理解,会分析四种命题的关系,会写出一个命题的其他三个命题,并判断其真假.能用逻辑联结词正确地表达相关的数学命题.3.对于充分、必要条件的判断问题,必须明确题目中的条件与结论分别是什么,它们之间的互推关系是怎样的,要加强这方面的训练.4.关于全称命题与特称二、常用逻辑用语1.理解必要条件、充分条件与充要条件的意义.2.理解全称量词与存在量词的意义.3.能正确地对含有一个量词的命题进行否定.语言和符号语言为表现形式,考查集合的交、并、补运算;也会与解不等式、函数的定义域、值域相结合进行考查.3.对于充分、必要条件的判断,含有一个量词的命题的否定可以与每一专题内容相关联,全称命题及特称命题是重要的数学语言,高考考题充分体现了逻辑推理的核心素养.命题,一般考查命题的否定.对含有一个量词的命题进行真假判断,要学会用特值检验.【真题探秘】命题立意已知给定的两个连续型的数集,求它们的并集.解题指导1.进行集合运算时,首先看集合是否最简,能化简先化简,再运算.2.注意数形结合思想的应用(1)离散型数集或抽象集合间的运算,常借助Venn图求解. (2)连续型数集的运算,常借助数轴求解,运用数轴时要特别注意端点是实心还是空心.拓展延伸1.集合中的元素的三个特征,特别是无序性和互异性在解题时经常用到,解题后要进行检验,要重视符号语言与文字语言之间的相互转化.2.对连续数集间的运算,借助数轴的直观性,进行合理转化;对已知连续数集间的关系,求其中参数的取值范围时,要注意等号能否取到.3.空集是任何集合的子集,是任何非空集合的真子集,关注对空集的讨论,防止漏解.4.解题时注意区分两大关系:一是元素与集合的从属关系:二是集合与集合的包含关系.5.Venn图图示法和数轴图示法是进行集合交、并、补运算的常用方法.[教师专用题组]1.真题多维细目表考题涉分题型难度考点考向解题方法核心素养2020新高考Ⅰ,1 5单项选择题易集合的运算集合的并集运算数轴法数学运算2020新高考Ⅱ,1 5单项选择题易集合的运算集合的并集运算定义法数学运算2020课标Ⅰ理,2 5选择题易集合的运算解不等式、集合的交集运算定义法数学运算2020课标Ⅰ文,1 5选择题易集合的运算解不等式、集合的交集运算定义法数学运算2020北京,1 4选择题易集合的运算集合的交集运算定义法数学运算2020天津,1 5选择题易集合的运算集合的交、补集运算定义法数学运算2020天津,2 5选择题易充分、必要条件解不等式、充分、必要条件的判断定义法逻辑推理2020北京,9 4选择题难充分、必要条件诱导公式、角的终边位置与角大小关系、充分、必要条件的判断定义法逻辑推理风格.2.2020年新高考考查内容主要体现在以下方面:①新高考Ⅰ卷第1题,新高考Ⅱ卷第1题直接给出了两个集合求它们的并集或交集,课标Ⅰ卷理数则是需要求出一元一次、一元二次不等式的解集,同时通过它们的交集确定参数的值,北京卷与新高考Ⅰ卷相近,直接求两个给定集合的交集;②2020年新高考Ⅰ卷第5题以学生参加体育锻炼为背景考查了利用韦恩(Venn)图求两个集合交集中元素所占总体的比例问题,体现了集合的应用价值;③2020年北京卷第9题以三角函数中的诱导公式为背景考查了充分、必要条件的判断.3.在备考时还要适当关注求集合的补集运算,对含有一个量词的命题的真假判断,集合与充分、必要条件相结合的命题方式,在不同背景下抽象出数学本质的方法等.应强化在知识的形成过程、知识的迁移中渗透学科素养.§1.1 集合 基础篇 【基础集训】考点一 集合及其关系1.若用列举法表示集合A ={(x ,x )|{2x +x =6x -x =3},则下列表示正确的是 ( )A.A ={x =3,y =0}B.A ={(3,0)}C.A ={3,0}D.A ={(0,3)} 答案 B2.若集合M ={x ||x |≤1},N ={y |y =x 2,|x |≤1},则 ( ) A.M =N B.M ⊆N C.M ∩N =⌀ D.N ⫋M 答案 D3.已知集合A ={x ∈R|x 2+x -6=0},B ={x ∈R|ax -1=0},若B ⊆A ,则实数a 的值为 ( ) A.13或-12B.-13或12C.13或-12或0 D.-13或12或0答案 D4.已知含有三个实数的集合既可表示成{x ,x x,1},又可表示成{a 2,a +b ,0},则a 2021+b 2021等于 . 答案 -1考点二 集合的基本运算5.已知集合M ={x |-1<x <3},N ={x |-2<x <1},则M ∩N = ( )A .(-2,1)B .(-1,1)C .(1,3)D .(-2,3) 答案 B6.已知全集U =R,A ={x |x ≤0},B ={x |x ≥1},则集合∁U (A ∪B )=( ) A.{x |x ≥0} B.{x |x ≤1}C.{x|0≤x≤1}D.{x|0<x<1}答案 D7.已知集合A={x|x2-2x-3>0},B={x|lg(x+1)≤1},则(∁R A)∩B= ()A.{x|-1≤x<3}B.{x|-1≤x≤9}C.{x|-1<x≤3}D.{x|-1<x<9}答案 C8.全集U={x|x<10,x∈N*},A⊆U,B⊆U,(∁U B)∩A={1,9},A∩B={3},(∁U A)∩(∁U B)={4,6,7},则A∪B=.答案{1,2,3,5,8,9}[教师专用题组]【基础集训】考点一集合及其关系1.(2018广东茂名化州二模,1)设集合A={-1,0,1},B={x|x>0,x∈A},则B= ()A.{-1,0}B.{-1}C.{0,1}D.{1}答案D由题意可知,集合B由集合A中为正数的元素组成,因为集合A={-1,0,1},所以B={1}.2.设集合A={y|y=x2+2x+5,x∈R},有下列说法:①1∉A;②4∈A;③(0,5)∈A.其中正确的说法个数是()A.0B.1C.2D.3答案C易知A={y|y≥4},所以①②都是正确的;(0,5)是点,而集合A中元素是数,所以③是错误的.故选C.3.(2020陕西西安中学第一次月考,1)已知集合A={x|x≥-1},则正确的是 ()A.0⊆AB.{0}∈AC.⌀∈AD.{0}⊆A答案D对于A,0∈A,故A错误;对于B,{0}⊆A,故B错误;对于C,空集⌀是任何集合的子集,即⌀⊆A,故C错误;对于D,由于集合{0}是集合A的子集,故D正确.故选D.4.(2019辽宁沈阳质量检测三,2)已知集合A={(x,y)|x+y≤2,x,y∈N},则A中元素的个数为()A.1B.5C.6D.无数个答案C由题意得A={(0,0),(0,1),(0,2),(1,0),(1,1),(2,0)},所以A中元素的个数为6.故选C.5.(2020广西桂林十八中8月月考,1)已知集合A={1,a},B={1,2,3},那么 ()A.若a=3,则B⊆AB.若a=3,则A⫋BC.若A⊆B,则a=2D.若A⊆B,则a=3答案B当a=3时,A={1,3},又因为B={1,2,3},所以A⫋B.若A⊆B,则a=2或3.故选B. 6.(2019辽宁师大附中月考,2)已知集合A={0,1},B={x|x⊆A},则下列集合A与B的关系中正确的是()A.A⊆BB.A⫋BC.B⫋AD.A∈B答案D因为x⊆A,所以B={⌀,{0},{1},{0,1}},则集合A={0,1}是集合B中的一个元素,所以A∈B,故选D.,x≠0},集合B={x|x2-4 7.(2020安徽江淮十校第一次联考,1)已知集合A={x|x=x+1x≤0},若A∩B=P,则集合P的子集个数为()A.2B.4C.8D.16答案B A={y|y≤-2或y≥2},B={-2≤x≤2},则P=A∩B={-2,2},所以P的子集个数为4,故选B.8.(2019广东六校9月联考,2)已知集合A={-1,1},B={x|ax+1=0},若B⊆A,则实数a的所有可能取值的集合为()A.{-1}B.{1}C.{-1,1}D.{-1,0,1}答案D因为B⊆A,所以当B=⌀,即a=0时满足条件;},又知B⊆A,当B≠⌀时,a≠0,∴B={x|x=-1x∈A,∴a=±1.∴-1x综上可得实数a的所有可能取值集合为{-1,0,1},故选D.易错警示由于空集是任何集合的子集,又是任何非空集合的真子集,所以遇到“A⊆B或A⫋B且B≠⌀”时,一定要注意讨论A=⌀和A≠⌀两种情况,A=⌀的情况易被忽略,从而导致失分.9.(2019河南豫南九校第一次联考,13)已知集合A={1,2,3},B={1,m},若3-m∈A,则非零实数m的值是.答案 2解析若3-m=1,则m=2,符合题意;若3-m=2,则m=1,此时集合B中的元素不满足互异性,故m≠1;若3-m=3,则m=0,不符合题意.故答案为2.考点二集合的基本运算1.(2019金丽衢十二校高三第一次联考,1)若集合A=(-∞,5),B=[3,+∞),则(∁R A)∪(∁R B)=()A.RB.⌀C.[3,5)D.(-∞,3)∪[5,+∞)答案D∁R A=[5,+∞),∁R B=(-∞,3),所以(∁R A)∪(∁R B)=(-∞,3)∪[5,+∞).2.(2019河南中原联盟9月联考,1)已知集合A={x|(x-1)·(x-2)>0},B={x|y=√2x-1},则A ∩B= ()A.[12,1)∪(2,+∞) B.[12,1)C.(12,1)∪(2,+∞) D.R答案A因为集合A={x|(x-1)(x-2)>0}={x|x<1或x>2},B={x|y=√2x-1}={x|x≥12},所以A∩B=[12,1)∪(2,+∞),故选A.3.(2018河北石家庄3月质检,1)设集合A={x|-1<x≤2},B={x|x<0},则下列结论正确的是()A.(∁R A)∩B={x|x<-1}B.A∩B={x|-1<x<0}C.A∪(∁R B)={x|x≥0}D.A∪B={x|x<0}答案B∵A={x|-1<x≤2},B={x|x<0},∴∁R A={x|x≤-1或x>2},∁R B={x|x≥0}.对于选项A,(∁R A)∩B={x|x≤-1},故A错误;对于选项B,A∩B={x|-1<x<0},故B正确;对于选项C,A∪(∁R B)={x|x>-1},故C错误;对于选项D,A∪B={x|x≤2},故D错误.故选B.名师点拨 对于集合的交、并、补运算,利用数轴求解能减少失误.4.(2020山东夏季高考模拟,1)设集合A ={(x ,y )|x +y =2},B ={(x ,y )|y =x 2},则A ∩B = ( ) A.{(1,1)} B.{(-2,4)} C.{(1,1),(-2,4)} D.⌀ 答案 C 本题主要考查集合的含义及集合的运算. 联立{x +x =2,x =x 2,消y 可得x 2+x -2=0,∴x =1或-2, ∴方程组的解为{x =1,x =1或{x =-2,x =4,从而A ∩B ={(1,1),(-2,4)},故选C .5.(2019山东济南外国语学校10月月考,1)已知R 为实数集,集合A ={x |(x +1)2(x -1)x>0},B ={x |(x +1)(x -12)>0},则图中阴影部分表示的集合为 ( )A.{-1}∪[0,1]B.[0,12]C.[-1,12]D.{-1}∪[0,12] 答案 D ∵(x +1)2(x -1)x>0,∴x ≠-1且x (x -1)>0,∴x <-1或-1<x <0或x >1,∴A ={x |x <-1或-1<x <0或x >1}. ∵(x +1)(x -12)>0,∴x >12或x <-1,∴B ={x |x >12或x <-1}.∴A ∪B ={x |x <-1或-1<x <0或x >12}.故图中阴影部分表示的集合为∁R (A ∪B )={-1}∪{x |0≤x ≤12},即{-1}∪[0,12].故选D .综合篇 【综合集训】考法一 集合间基本关系的求解方法1.(2021届江苏扬州二中期初检测,2)已知集合A ={x |x 2+x =0,x ∈R},则满足A ∪B ={0,-1,1}的集合B 的个数是( )A.4B.3C.2D.1 答案 A2.(2020山东滨州6月三模)已知集合M ={x |x =4n +1,n ∈Z},N ={x |x =2n +1,n ∈Z},则 ( ) A.M ⫋N B.N ⫋M C.M ∈N D.N ∈M 答案 A3.(2019辽宁沈阳二中9月月考,14)设集合A={x|2a+1≤x≤3a-5},B={x|3≤x≤22}.若A⊆(A∩B),则实数a的取值范围为.答案(-∞,9]考法二集合运算问题的求解方法}, 4.(2021届河南郑州一中开学测试,1)已知全集U=R,集合A={x|y=lg(1-x)},B={x|x=√x 则(∁U A)∩B= ()A.(1,+∞)B.(0,1)C.(0,+∞)D.[1,+∞)答案 D5.(2020浙江超级全能生第一次联考,1)记全集U=R,集合A={x|x2-4≥0},集合B={x|2x≥2},则(∁U A)∩B= ()A.[2,+∞)B.⌀C.[1,2)D.(1,2)答案 C6.(2021届湖湘名校教育联合体入学考,1)设全集U=A∪B={x|-1≤x<3},A∩(∁U B)={x|2<x<3},则集合B= ()A.{x|-1≤x<2}B.{x|-1≤x≤2}C.{x|2<x<3}D.{x|2≤x<3}答案 B7.(2020山东德州6月二模,1)若全集U={1,2,3,4,5,6},M={1,3,4},N={2,3,4},则集合(∁U M)∪(∁U N)等于()A.{5,6}B.{1,5,6}C.{2,5,6}D.{1,2,5,6}答案 D8.(2021届重庆育才中学入学考试,1)已知集合A={x|0<x<4,x∈Z},集合B={y|y=m2,m∈A},则A∩B= ()A.{1}B.{1,2,3}C.{1,4,9}D.⌀答案 A[教师专用题组]【综合集训】考法一集合间基本关系的解题方法1.已知集合M={1,m},N={n,log2n},若M=N,则(m-n)2015=.答案-1或0解析 因为M =N ,所以{1,m }={n ,log 2n }. 当n =1时,log 2n =0,则m =0,所以(m -n )2015=-1; 当log 2n =1时,n =2,则m =2,所以(m -n )2015=0.故(m -n )2015=-1或0.2.已知集合A ={x |x =2x +13,x ∈Z },B =,则集合A 、B 的关系为 . 答案 A =B 解析 A =,B ={x |x =13(2x +3),x ∈Z }.∵{x |x =2n +1,n ∈Z}={x |x =2n +3,n ∈Z},∴A =B.故答案为A =B.3.设集合A ={-2},B ={x |ax +1=0,a ∈R},若A ∩B =B ,则a 的值为 . 答案 0或12解析 ∵A ∩B =B ,∴B ⊆A. ∵A ={-2}≠⌀,∴B =⌀或B ≠⌀.当B =⌀时,方程ax +1=0无解,此时a =0,满足B ⊆A. 当B ≠⌀时,a ≠0,则B ={-1x }, ∴-1x∈A ,即-1x=-2,解得a =12.综上,a =0或a =12.4.已知集合A ={x |x <-1或x >4},B ={x |2a ≤x ≤a +3}.若B ⊆A ,则实数a 的取值范围为 .答案 (-∞,-4)∪(2,+∞)解析 ①当B =⌀时,只需2a >a +3,即a >3; ②当B ≠⌀时,根据题意作出如图所示的数轴.可得{x +3≥2x ,x +3<-1或{x +3≥2x ,2x >4, 解得a <-4或2<a ≤3.综上可得,实数a的取值范围为(-∞,-4)∪(2,+∞).考法二集合运算问题的求解方法1.(2017北京东城二模,1)已知全集U是实数集R.如图所示的韦恩图表示集合M={x|x>2}与N={x|1<x<3}的关系,那么阴影部分所表示的集合为()A.{x|x<2}B.{x|1<x<2}C.{x|x>3}D.{x|x≤1}答案D由题中韦恩图知阴影部分表示的集合是∁U(M∪N).∵M∪N={x|x>1},∴∁U(M∪N)={x|x≤1}.2.(2017安徽淮北第二次模拟,2)已知全集U=R,集合M={x|x+2a≥0},N={x|log2(x-1)<1},若集合M∩(∁U N)={x|x=1或x≥3},则()A.a=12B.a≤12C.a=-12D.a≥12答案C∵log2(x-1)<1,∴x-1>0且x-1<2,即1<x<3,则N={x|1<x<3},∵U=R,∴∁U N={x|x≤1或x≥3},又∵M={x|x+2a≥0}={x|x≥-2a},M∩(∁U N)={x|x=1或x≥3},∴-2a=1,解得a=-12.故选C.3.设U=R,集合A={x|x2+3x+2=0},B={x|x2+(m+1)x+m=0},若(∁U A)∩B=⌀,则m=.答案1或2解析A={-2,-1},由(∁U A)∩B=⌀,得B⊆A,∵方程x2+(m+1)x+m=0的判别式Δ=(m+1)2-4m=(m-1)2≥0,∴B≠⌀.∴B={-1}或B={-2}或B={-1,-2}.①若B={-1},则m=1;②若B={-2},则-(m+1)=(-2)+(-2)=-4,且m=(-2)×(-2)=4,这两式不能同时成立,∴B≠{-2};③若B={-1,-2},则-(m+1)=(-1)+(-2)=-3,且m=(-1)×(-2)=2,由这两式得m=2.经检验,m=1和m=2符合条件.∴m=1或2.11。
重难点01 集合概念与运算1.集合的有关概念(1)集合中元素的三个特性:确定性、互异性、无序性。
(2)集合与元素的关系:若a属于集合A,记作a∈A;若b不属于集合A,记作b∉A。
(3)集合的表示方法:列举法、描述法、图示法。
(4)五个特定的集合:集合非负整数集(或自然数集) 正整数集整数集有理数集实数集符号N N*或N+Z Q R 2.集合间的基本关系表示关系文字语言记法集合间的基本关系子集集合A中任意一个元素都是集合B中的元素A⊆B或B⊇A 真子集集合A是集合B的子集,并且B中至少有一个元素不属于AA⊂B或B⊃A 相等集合A中的每一个元素都是集合B中的元素,集合B中的每一个元素也都是集合A中的元素A⊆B且B⊆A⇔A=B 空集空集是任何集合的子集∅⊆A空集是任何非空集合的真子集∅⊂B且B≠∅3.集合的三种基本运算符号表示图形表示符号语言集合的并集A∪B A∪B={x|x∈A,或x∈B}集合的交集 A ∩ BA ∩B ={x |x ∈A ,且x ∈B }集合的补集若全集为U ,则集合A 的补集为∁U A∁U A ={x |x ∈U ,且x ∉A }4.集合基本运算的性质 (1)A ∩A =A ,A ∩∅=∅。
(2)A ∪A =A ,A ∪∅=A 。
(3)A ∩(∁U A )=∅,A ∪(∁U A )=U ,∁U (∁U A )=A 。
(4)A ⊆B ⇔A ∩B =A ⇔A ∪B =B ⇔∁U A ⊇∁U B ⇔A ∩(∁U B )=∅。
2023年高考中仍将与一元二次不等式解法、一元一次不等式解法、指数、对数不等式解法结合重点考查集合的交集运算,也可能考查集合的并集、补集运算,依然放在前2题位置,难度为基础题.(建议用时:20分钟)一、单选题1.设集合{1,3,5,7}A =,{|25}B x x =≤≤,则A B =( )(A ){1,3}(B ){3,5}(C ){5,7}(D ){1,7}2.已知集合{}{}{}1,2,3,4,5,6,72,3,4,52,3,6,7U A B ===,,,则C U B A =( )A. {}1,6B. {}1,7C. {}6,7D. {}1,6,73.已知全集{}1,2,3,4,5,6,7,8U =,集合{}2,3,5,6A =,集合{}1,3,4,6,7B =,则集合UAB =A .{}2,5B .{}3,6C .{}2,5,6D .{}2,3,5,6,8 4.设集合},]2,0[,2{},21{∈==<-=x y y B x x A x 则=B A A . [0,2] B .(1,3) C . [1,3) D . (1,4)5.设集合{|(1)(2)0}A=x x x +-<,集合{|13}B x x =<<,则A BA .{|13}x x -<<B .{|11}x x -<<C .{|12}x x <<D .{|23}x x <<6.设集合{1,1,2,3,5},{2,3,4},{|13}A B C x x =-==∈<R ,则()A C B =A.{}2B.{}2,3C.{}1,2,3-D.{}1,2,3,4 7.设集合}034|{2<+-=x x x A ,}032|{>-=x x B ,则B A = A.3(3,)2-- B.3(3,)2- C.3(1,)2 D.3(,3)28.已知集合A ={1,2,3,4,5},B ={(x ,y )|x ∈A ,y ∈A ,x y -∈A },则B 中所含元素的个数为A .3B .6C .8D .109.已知集合B A 、均为全集}4,3,2,1{=U 的子集,且(){4}UA B =,{1,2}B =,则UAB =A .{3}B .{4}C .{3,4}D .∅10.设集合{}1,2,4A =,{}240x x x m B =-+=.若{}1AB =,则B =A .{}1,3-B .{}1,0C .{}1,3D .{}1,5 11.已知集合{}}242{60M x x N x x x =-<<=--<,,则M N ⋂=( )A. }{43x x -<<B. }{42x x -<<-C. }{22x x -<<D. }{23x x <<12.已知全集为R ,集合112xA x ⎧⎫⎪⎪⎛⎫=≤⎨⎬ ⎪⎝⎭⎪⎪⎩⎭,{}2|680B x x x =-+≤,则R A C B =A .{}|0x x ≤B .{}|24x x ≤≤C . {}|024x x x ≤<>或D .{}|024x x x <≤≥或13.集合{}R 25A x x =∈-≤中的最小整数为_______.14.已知集合A ={x |y =x 2},B ={y |y =x 2},C ={(x ,y )|y =x 2},则A ∩B =________,A ∩C =________。
专题01 集合的概念与运算【考点总结】1.集合与元素(1)集合元素的三个特征:确定性、互异性、无序性.(2)元素与集合的关系是属于或不属于关系,用符号∈或∉表示.(3)集合的表示法:列举法、描述法、图示法.(4)常见数集的记法2.A B(或B A)3.∁A={x|x∈U,且x∉1.三种集合运用的性质(1)并集的性质:A∪∅=A;A∪A=A;A∪B=B∪A;A∪B=A⇔B⊆A.(2)交集的性质:A∩∅=∅;A∩A=A;A∩B=B∩A;A∩B=A⇔A⊆B.(3)补集的性质:A∪(∁U A)=U;A∩(∁U A)=∅;∁U(∁U A)=A;∁U(A∩B)=(∁U A)∪(∁U B);∁U(A∪B)=(∁U A)∩(∁U B).2.集合基本关系的四个结论(1)空集是任意一个集合的子集,是任意一个非空集合的真子集.(2)任何一个集合是它本身的子集,即A ⊆A .空集只有一个子集,即它本身. (3)集合的子集和真子集具有传递性:若A ⊆B ,B ⊆C ,则A ⊆C ;若AB ,BC ,则AC .(4)含有n 个元素的集合有2n 个子集,有2n -1个非空子集,有2n -1个真子集,有2n -2个非空真子集. 【易错总结】(1)忽视集合中元素的互异性致误; (2)忽视空集的情况致误; (3)忽视区间端点值致误.例1.已知集合A ={1,3,m },B ={1,m },若B ⊆A ,则m =________.解析:因为B ⊆A ,所以m =3或m =m ,即m =3或m =0或m =1,根据集合元素的互异性可知,m ≠1,所以m =0或3.答案:0或3例2.已知集合M ={x |x -2=0},N ={x |ax -1=0},若M ∩N =N ,则实数a 的值是________.解析:易得M ={2}.因为M ∩N =N ,所以N ⊆M ,所以N =∅或N =M ,所以a =0或a =12.答案:0或12例3.已知集合A ={x |x 2-4x +3<0},B ={x |2<x <4},则A ∩B =________,A ∪B =________,(∁R A )∪B =________.解析:由已知得A ={x |1<x <3},B ={x |2<x <4},所以A ∩B ={x |2<x <3},A ∪B ={x |1<x <4}, (∁R A )∪B ={x |x ≤1或x >2}.答案:(2,3) (1,4) (-∞,1]∪(2,+∞) 【考点解析】【考点】一、集合的概念例1.设集合A ={x ∈Z ||x |≤2},B ={y |y =x 2+1,x ∈A },则B 中的元素有( )A .5个B .4个C .3个D .无数个解析:选C.依题意有A ={-2,-1,0,1,2},代入y =x 2+1得到B ={1,2,5},故B 中有3个元素.例2.若集合A ={x ∈R |ax 2-3x +2=0}中只有一个元素,则a =________.解析:当a =0时,显然成立;当a ≠0时,Δ=(-3)2-8a =0,即a =98.答案:0或98例3.已知集合A ={x ∈N |1<x <log 2k },集合A 中至少有3个元素,则k 的取值范围为________.解析:因为集合A 中至少有3个元素,所以log 2k >4,所以k >24=16.答案:(16,+∞)例4.已知集合A ={m +2,2m 2+m },若3∈A ,则m 的值为________.解析:由题意得m +2=3或2m 2+m =3, 则m =1或m =-32.当m =1时,m +2=3且2m 2+m =3,根据集合中元素的互异性可知不满足题意; 当m =-32时,m +2=12,而2m 2+m =3,符合题意,故m =-32.答案:-32求解与集合中的元素有关问题的注意事项(1)如果题目条件中的集合是用描述法表示的集合,首先要搞清楚集合中代表元素的含义,再看元素的限制条件,明白集合的类型,是数集、点集还是其他类型的集合.(2)如果是根据已知列方程求参数值,一定要将参数值代入集合中检验是否满足元素的互异性. 【考点】二、集合的基本关系例1、(1)已知集合A ={x |x 2-3x +2=0,x ∈R },B ={x |0<x <5,x ∈N },则( )A .B ⊆A B .A =BC .ABD .BA(2)已知集合A ={x |x 2-3x +2=0,x ∈R },B ={x |0<x <5,x ∈N },则满足条件A ⊆C ⊆B 的集合C 的个数为( )A .1B .2C .3D .4(3)已知集合A ={x |-2≤x ≤5},B ={x |m +1≤x ≤2m -1},若B ⊆A ,则实数m 的取值范围为________. 【解析】 (1)由x 2-3x +2=0得x =1或x =2,所以A ={1,2}.由题意知B ={1,2,3,4},比较A ,B 中的元素可知AB ,故选C.(2)因为A ={1,2},B ={1,2,3,4},A ⊆C ⊆B ,则集合C 可以为{1,2},{1,2,3},{1,2,4},{1,2,3,4},共4个.(3)因为B ⊆A ,所以①若B =∅,则2m -1<m +1,此时m <2. ②若B ≠∅,则⎩⎪⎨⎪⎧2m -1≥m +1,m +1≥-2,2m -1≤5.解得2≤m ≤3.由①②可得,符合题意的实数m 的取值范围为m ≤3. 【答案】 (1)C (2)D (3)(-∞,3] 【迁移探究1】 (变条件)本例(3)中,若BA ,求m 的取值范围?解:因为BA ,①若B =∅,成立,此时m <2.②若B ≠∅,则⎩⎪⎨⎪⎧2m -1≥m +1,m +1≥-2,2m -1≤5,且边界点不能同时取得,解得2≤m ≤3.综合①②,m 的取值范围为(-∞,3].【迁移探究2】 (变条件)本例(3)中,若A ⊆B ,求m 的取值范围.解:若A ⊆B ,则⎩⎪⎨⎪⎧m +1≤-2,2m -1≥5,即⎩⎪⎨⎪⎧m ≤-3,m ≥3.所以m 的取值范围为∅.【迁移探究3】 (变条件)若将本例(3)中的集合A 改为A ={x |x <-2或x >5},试求m 的取值范围.解:因为B ⊆A ,所以①当B =∅时,2m -1<m +1,即m <2,符合题意.②当B ≠∅时,⎩⎪⎨⎪⎧m +1≤2m -1,m +1>5或⎩⎪⎨⎪⎧m +1≤2m -1,2m -1<-2,解得⎩⎪⎨⎪⎧m ≥2,m >4或⎩⎪⎨⎪⎧m ≥2,m <-12.即m >4.综上可知,实数m 的取值范围为(-∞,2)∪(4,+∞). (1)判断两集合关系的方法①对描述法表示的集合,把集合化简后,从表达式中寻找两集合间的关系; ②对于用列举法表示的集合,从元素中寻找关系. (2)根据两集合间的关系求参数的方法已知两个集合间的关系求参数时,关键是将条件转化为元素或区间端点间的关系,进而转化为参数所满足的关系,常用数轴、V enn 图等来直观解决这类问题.[提醒] 空集是任何集合的子集,当题目条件中有B ⊆A 时,应分B =∅和B ≠∅两种情况讨论.例1.(2020·河北唐山第一次模拟)设集合M ={x |x 2-x >0},N =⎩⎨⎧x ⎪⎪⎭⎬⎫1x <1,则( ) A .M N B .N MC .M =ND .M ∪N =R解析:选C.集合M ={x |x 2-x >0}={x |x >1或x <0},N =⎩⎨⎧x ⎪⎪⎭⎬⎫1x <1={x |x >1或x <0},所以M =N .故答案为C.例2.设M 为非空的数集,M ⊆{1,2,3},且M 中至少含有一个奇数元素,则这样的集合M 共有( )A .6个B .5个C .4个D .3个解析:选A.由题意知,M ={1},{3},{1,2},{1,3},{2,3},{1,2,3},共6个.例3.若集合A ={1,2},B ={x |x 2+mx +1=0,x ∈R },且B ⊆A ,则实数m 的取值范围为________.解析:①若B =∅,则Δ=m 2-4<0, 解得-2<m <2,符合题意; ②若1∈B ,则12+m +1=0,解得m =-2,此时B ={1},符合题意; ③若2∈B ,则22+2m +1=0,解得m =-52,此时B =⎩⎨⎧⎭⎬⎫2,12,不合题意.综上所述,实数m 的取值范围为[-2,2). 答案:[-2,2)【考点】三、集合的基本运算 角度一 集合的运算例1、(1)(2019·高考全国卷Ⅰ)已知集合M ={x |-4<x <2},N ={x |x 2-x -6<0},则M ∩N =( )A .{x |-4<x <3}B .{x |-4<x <-2}C .{x |-2<x <2}D .{x |2<x <3}(2)(2020·河南焦作模拟)若集合A ={x |2x 2-9x >0},B ={y |y ≥2},则(∁R A )∪B =( ) A.⎣⎡⎦⎤2,92 B .∅C .[0,+∞)D .(0,+∞)【解析】 (1)通解:因为N ={x |-2<x <3},M ={x |-4<x <2},所以M ∩N ={x |-2<x <2},故选C. 优解:由题可得N ={x |-2<x <3}. 因为-3∉N ,所以-3∉M ∩N ,排除A ,B ; 因为2.5∉M ,所以2.5∉M ∩N ,排除D.故选C.(2)因为A ={x |2x 2-9x >0}=⎩⎨⎧⎭⎬⎫x ⎪⎪x >92或x <0,所以∁RA =⎩⎨⎧⎭⎬⎫x ⎪⎪0≤x ≤92,又B ={y |y ≥2},所以(∁R A )∪B =[0,+∞).故选C.【答案】 (1)C (2)C 角度二 利用集合的运算求参数例2、(1)(2020·江西上饶重点中学六校联考)已知A =[1,+∞),B =[0,3a -1],若A ∩B ≠∅,则实数a 的取值范围是( )A .[1,+∞)B .⎣⎡⎦⎤12,1 C.⎣⎡⎭⎫23,+∞D .(1,+∞)(2)集合A ={0,2,a },B ={1,a 2},若A ∪B ={0,1,2,4,16},则a 的值为________.(3)已知集合A ={x |x 2-x -12>0},B ={x |x ≥m }.若A ∩B ={x |x >4},则实数m 的取值范围是________.【解析】 (1)由题意可得3a -1≥1,解得a ≥23,即实数a 的数值范围是⎣⎡⎭⎫23,+∞.故选C. (2)根据并集的概念,可知{a ,a 2}={4,16},故只能是a =4.(3)集合A ={x |x <-3或x >4},因为A ∩B ={x |x >4},所以-3≤m ≤4. 【答案】 (1)C (2)4 (3)[-3,4] (1)集合运算的常用方法①若集合中的元素是离散的,常用Venn 图求解;②若集合中的元素是连续的实数,则用数轴表示,此时要注意端点的情况. (2)利用集合的运算求参数的值或取值范围的方法①与不等式有关的集合,一般利用数轴解决,要注意端点值能否取到;②若集合能一一列举,则一般先用观察法得到不同集合中元素之间的关系,再列方程(组)求解. [提醒] 在求出参数后,注意结果的验证(满足互异性).例1.(2020·江西吉安一中、新余一中等八所中学联考)已知集合M =[-1,1],N ={y |y =x 2,x ∈M },则M ∩N =( )A .[0,1]B .[-1,1]C .[0,1)D .(0,1]解析:选A.由于M =[-1,1],N ={y |y =x 2,x ∈M },所以N =[0,1],所以M ∩N =[0,1].故选A. 例2.(2020·安徽宣城八校联考)如图,设全集U =N ,集合A ={1,3,5,7,8},B ={1,2,3,4,5},则图中阴影部分表示的集合为( )A .{2,4}B .{7,8}C .{1,3,5}D .{1,2,3,4,5}解析:选A.由题图可知阴影部分表示的集合为(∁U A )∩B ,因为集合A ={1,3,5,7,8},B ={1,2,3,4,5},U =N ,所以(∁U A )∩B ={2,4}.故选A.例3.已知集合A ={x |-1<x <2},B ={x |y =-x 2-2x },则A ∩B =( )A .{x |-1<x <0}B .{x |-1<x ≤0}C .{x |0<x <2}D .{x |0≤x <2}解析:选B.因为函数y =-x 2-2x 有意义,所以-x 2-2x ≥0,解得-2≤x ≤0,所以集合B ={x |-2≤x ≤0}.又集合A ={x |-1<x <2},所以A ∩B ={x |-1<x ≤0}.故选B. 【技巧总结】集合新定义问题中的核心素养例1、(1)(2020·河南南阳第一中学第十四次考试)定义集合运算:A ⊙B ={Z |Z =xy ,x ∈A ,y ∈B },设集合A ={-1,0,1},B ={sin α,cos α},则集合A ⊙B 的所有元素之和为( )A .1B .0C.-1 D.sin α+cos α(2)(2020·河北保定一模)设P和Q是两个集合,定义集合P-Q={x|x∈P,且x∉Q},如果P={x|1<2x<4},Q={y|y=2+sin x,x∈R},那么P-Q=()A.{x|0<x≤1} B.{x|0≤x<2}C.{x|1≤x<2} D.{x|0<x<1}【解析】(1)因为x∈A,所以x的可能取值为-1,0,1.同理,y的可能取值为sin α,cos α,所以xy的所有可能取值为(重复的只列举一次):-sin α,0,sin α,-cos α,cos α,所以所有元素之和为0.故选B.(2)由题意得P={x|0<x<2},Q={y|1≤y≤3},所以P-Q={x|0<x<1}.故选D.【答案】(1)B(2)D(1)以集合为背景的新定义问题常以“问题”为核心,以“探究”为途径,以“发现”为目的,这类试题只是以集合为依托,考查考生对新概念的理解,充分体现了核心素养中的数学抽象.(2)解决集合的新定义问题的两个切入点①正确理解新定义.这类问题不是简单的考查集合的概念或性质问题,而是以集合为载体的有关新定义问题.常见的命题形式有新概念、新法则、新运算等;②合理利用集合性质.运用集合的性质(如元素的性质、集合的运算性质等)是破解新定义型集合问题的关键.在解题时要善于从题设条件给出的数式中发现可以使用集合性质的一些因素,但关键之处还是合理利用集合的运算与性质.。
1.1集合的概念1.定义一般地,我们把研究对象统称为元素,把一些元素组成的整体叫做集合(简称集)2.集合与元素的表示集合通常用大写字母A,B,C, 表示,元素用小写字母a,b,c, 表示3.元素与集合的关系元素与集合的关系记法读法a是集合A的元素Aa a属于集合Aa不是集合A的元素Aa a不属于集合A4.常用数集及其记法数集记法非负整数集(自然数集)NN或*N正整数集整数集Z有理数集Q实数集R例1.下列各组对象不能构成集合的是()y x=上的所有点A.所有直角三角形B.抛物线2C.某中学高一年级开设的所有课程D【答案】D【分析】根据集合所具有的性质逐一判断即可得出结论.【详解】A ,B ,C 中的对象具备互异性、无序性、确定性,而D 中的对象不具备确定性.故选:D .变式1-1.下列元素的全体不能组成集合的是()A .中国古代四大发明B .地球上的小河流C .方程210x -=的实数解D .周长为10的三角形【答案】B【分析】根据集合中的元素的三要素即可判断各个选项的正误.【详解】中国古代四大发明可以构成一个集合,故A 正确;地球上的小河流不满足集合元素的确定性,即没有标准说多小的河流算小河流,故B 错误;方程210x -=的实数解是1x ,可以构成一个集合,故C 正确;周长为10的所有三角形可以构成一个集合,故D 正确;故选:B.变式1-2.下列叙述能够组成集合的是()A .我校所有体质好的同学B .我校所有800米达标的女生C .全国所有优秀的运动员D .全国所有环境优美的城市【答案】B【分析】根据集合元素的确定性,逐一分析可得答案.【详解】A 中,我校所有体质好的同学不具有确定性,不能组成集合;B 中,我校所有800米达标的女生具有确定性,能组成集合;C 中,全国所有优秀的运动员不具有确定性,不能组成集合;D 中,全国所有环境优美的城市不具有确定性,不能组成集合,故选:B .变式1-3.下列各组对象不能构成集合的是()A .上课迟到的学生B .2022年高考数学难题C .所有有理数D .小于x 的正整数【答案】B【分析】集合中元素具有确定性,对于每一个元素要么属于集合,要么不属于集合,构成集合的元素必要是确定的.【详解】对于B 中难题没有一个确定的标准,对同一题有人觉得难,但有人觉得不难,故2022年高考数学难题不能构成集合,组成它的元素是不确定的.其它选项的对象都可以构成集合.故选:B例2.下列元素与集合的关系中,正确的是()A .1 NB .*0N C QD .2R5【答案】B【分析】根据常用数集的范围判断即可.【详解】N 表示自然数集,-1不是自然数,故A 错;N 表示正整数集,0不是正整数,故B 正确;Q C 错;R 表示实数集,25是实数,故D 错.故选:B.变式2-1.(多选)下列关系中,正确的是().A .14R B QC .3 ND Z【答案】AB【分析】根据各数集的概念直接判断即可.【详解】14R ,故A 正确;Q ,故B 正确;N 为自然数集,所以3 N ,故C 错误;Z ,故D 错误;故选:AB .变式2-2.用符号“ ”或“ ”填空:0______Z ,π______Q .【答案】【详解】 =3,2,1,0,1,2,30 Z Z∵ Q ∵为有理数集合,π Q故答案为:,变式2-3.用符号“ ”或“ ”N N .【答案】【分析】根据元素和集合的关系求解即可.【详解】因为集合N 代表自然数集(非负整数集),N 4N ,故答案为: , 5.集合中元素的性质(1)确定性给定的集合,它的元素必须是确定的;也就是说,给定一个集合,那么任何元素在不在这个集合中就确定了。
高考数学复习典型题型专题讲解与练习专题1 集合的概念题型一判断元素与集合的关系1.下面有四个语句:①集合N*中最小的数是0;②-a∉N,则a∈N;③a∈N,b∈N,则a+b的最小值是2;④x2+1=2x的解集中含有两个元素.其中说法正确的个数是()A.0B.1C.2D.3【答案】A【解析】因为N*是不含0的自然数,所以①错误;取a=2,则-2∉N,2∉N,所以②错误;对于③,当a=b=0时,a+b取得最小值是0,而不是2,所以③错误;对于④,解集中只含有元素1,故④错误.故选:A2.下列四个命题:①{0}是空集;②若a∈N,则-a∉N;③集合{x∈R|x2-2x+1=0}含有两个元素;④集合6|x Q Nx⎧⎫∈∈⎨⎬⎩⎭是有限集.其中正确命题的个数是()A.1B.2 C.3D.0 【答案】D【解析】①{0}是含有一个元素0的集合,不是空集,所以①不正确; ②当a =0时,0∈N ,所以②不正确;③因为由x 2-2x +1=0,得x 1=x 2=1,所以{x ∈R |x 2-2x +1=0}={1},所以③不正确;④当x 为正整数的倒数时,6x∈N ,所以6|x Q N x⎧⎫∈∈⎨⎬⎩⎭是无限集,所以④不正确.故选:D3.在整数集Z 中,被5除所得余数为k 的所有整数组成一个“类”,记为[]k ,即[]{}5k n k n Z =+∈,0,1,2,3,4k =,给出如下四个结论:①[]20111∈;②[]33-∈;③若整数,a b 属于同一“类”,则[]0a b -∈;④若[]0a b -∈,则整数,a b 属于同一“类”.其中,正确结论的个数是( ). A .1B .2C .3D .4 【答案】C【解析】对于①,201154021÷=⋅⋅⋅,[]20111∴∈,①正确; 对于②,352-=-+,即3-被5除余2,[]33∴-∉,②错误; 对于③,设15a n k =+,25b n k =+,()125a b n n ∴-=-,能被5整除,[]0a b ∴-∈,③正确;对于④,设5a b n -=,n Z ∈,即5a n b =+,n Z ∈, 不妨令5b m k =+,m Z ∈,0,1,2,3,4k =,则()555a n m k m n k =++=++,m Z ∈,n Z ∈,0,1,2,3,4k =,,a b ∴属于同一“类”, ④正确;综上所述:正确结论的个数为3个. 故选:C .4.已知集合{10}A x x =,23a =+,则a 与集合A 的关系是( ) A .a A ∈B .a A ∉C .a A =D .{}a A ∈ 【答案】A【解析】解:{|10}A x x =,23224a =+<+=,10a <,a A ∴∈,故选:A .5.下列三个命题:①集合N 中最小的数是1;②a N -∉,则a N ∈;③a N ∈,N b ∈,则+a b 的最小值是2.其中正确命题的个数是( ) A .0B .1C .2D .3 【答案】A【解析】①N 表示自然数集,最小的数为0,①错误; ②若32a N -=-∉,则32a N =∉,②错误; ③若0a =,1b =,则1a b +=,③错误.∴正确命题的个数为0个故选:A6.用符号“∈”或“∉”填空: (1)0________N *,5________Z ;(2)23________{x |x <11},32________{x |x >4};(3)(-1,1)________{y |y =x 2},(-1,1)________{(x ,y )|y =x 2}. 【答案】∉ ∉ ∉ ∈ ∉ ∈ 【解析】(1)*0N ∉5Z ;(2)22(23)(11)>,2311∴>,∴23{|11}∉<x x ;22(32)4>,即324>,∴32{|4}∈>x x ;(3)(-1,1)为点,{y |y =x 2}中元素为数,故(-1,1) ∉{y |y =x 2}. 又∵(-1)2=1,∴(-1,1)∈{(x ,y )|y =x 2}. 故答案为:∉;∉;∉;∈;∉;∈ 题型二 根据元素与集合的关系求参数1.若由a 2,2019a 组成的集合M 中有两个元素,则a 的取值可以是( ) A .0B .2019 C .1D .0或2019 【答案】C【解析】若集合M 中有两个元素,则a 2≠2 019a .即a ≠0且a ≠2 019.故选:C. 2.若集合2{|320}A x R ax x =∈-+=中只有一个元素,则(a =) A .92B .98C .0D .0或98【答案】D【解析】解:集合2{|320}A x R ax x =∈-+=中只有一个元素, 当0a =时,可得23x =,集合A 只有一个元素为:23. 当0a ≠时:方程2320ax x -+=只有一个解:即980a ∆=-=, 可得:98a =. 故选:D .3.已知集合A 是由a ﹣2,2a 2+5a ,12三个元素组成的,且﹣3∈A ,求a =________. 【答案】32-【解析】解:由﹣3∈A ,可得﹣3=a ﹣2,或﹣3=2a 2+5a , 由﹣3=a ﹣2,解得a =﹣1,经过验证a =﹣1不满足条件,舍去.由﹣3=2a 2+5a ,解得a =﹣1或32-,经过验证:a =﹣1不满足条件,舍去. ∴a =32-.故答案为:﹣32.4.已知集合A 是由0,m ,m 2-3m +2三个元素组成的集合,且2∈A ,则实数m 的值为________. 【答案】3 【解析】∵2{0,,32}A m m m =-+,且2A ∈,∴2m =或2322m m -+=,即2m =或0m =或3m =,当2m =时,与元素的互异性相矛盾,舍去;当0m =时,与元素的互异性相矛盾,舍去;当3m =时,{}032A =,,满足题意,∴3m =,故答案是3. 5.已知集合2{|320}A x ax x =-+=,其中a 为常数,且a R ∈. (1)若A 中至少有一个元素,求a 的取值范围; (2)若A 中至多有一个元素,求a 的取值范围. 【答案】(1)89≤a ;(2)89≤a 或0=a 【解析】解:(1)0a =,由320x -+=,解得23x =,满足题意,因此0a =.0a ≠时,A 中至少有一个元素,∴980a ∆=-,解得89≤a ,0a ≠. 综上可得:a 的取值范围是89≤a .(2)0a =,由320x -+=,解得23x =,满足题意,因此0a =.0a ≠时,A 中至多有一个元素,∴980a ∆=-,解得89≤a . 综上可得:a 的取值范围是89≤a 或0=a . 题型三 利用集合互异性求参数1.含有三个实数的集合既可表示为{,,0}b b a,也可表示为{,,1}a a b +,则+a b 的值为____. 【答案】0【解析】由题意{,,0}{,,1}bb a a b a=+,可得0a ≠,根据集合相等和元素的互异性,可得0a b +=且1b =,解得1,1a b =-=, 此时集合{,,0}{1,1,0},{,,1}{1,1,0}b b a a b a=-+=- 所以0a b +=. 故答案为0. 2.已知集合22{2,(1),33}Aa a a =+++,且1A ∈,则实数a 的值为________.【答案】1-或0【解析】若()211,a +=则0a =或2,a =- 当0a =时,{}2,1,3A =,符合元素的互异性; 当2a =-时,{}2,1,1A =,不符合元素的互异性,舍去 若2a 3a 31,++=则1a =-或2,a =-当1a =-时,{}2,0,1A =,符合元素的互异性;当2a =-时,{}2,1,1A =,不符合元素的互异性,舍去; 故答案为:1-或0.3.已知集合{}2411A a a a =+++,,{}2|0B x x px q =++=,若1A ∈.(1)求实数a 的值;(2)如果集合A 是集合B 的列举表示法,求实数p q ,的值. 【答案】(1)4a =-;(2)23p q ==-,.【解析】解:(1)∵1A ∈,∴2411a a ++=或者11a += 得4a =-或0a =,验证当0a = 时,集合{}11A =,,集合内两个元素相同,故舍去0a = ∴4a =-(2)由上4a =-得{}13A =-,,故集合B 中,方程20x px q ++=的两根为1、-3. 由一元二次方程根与系数的关系,得[1(3)]21(3)3p q =-+-==⨯-=-,.4.已知{}20,1,1a a a ∈--,求a 的值.【答案】1a =-【解析】由已知条件得:若a =0,则集合为{0,﹣1,﹣1},不满足集合元素的互异性,∴a ≠0; 若a ﹣1=0,a =1,则集合为{1,0,0},显然a ≠1;若a 2﹣1=0则a =±1,由上面知a =1不符合条件;a =﹣1时,集合为{﹣1,﹣2,0}; ∴a =﹣1.5.含有三个实数元素的集合既可表示成,,1b a a ⎧⎫⎨⎬⎩⎭,又可表示成2{,,0}a a b +,求20172018a b +的值. 【答案】-1【解析】由题意得,,1ba a ⎧⎫⎨⎬⎩⎭与2{,,0}a a b +表示同一个集合,所以0b a=且0a ≠,1a ≠,即0b =,则有{,0,1}a 与2{,,0}a a 表示同一个集合,所以21a =,解得1a =-,所以()2017201720182018101a b +=-+=-,故答案为:1-题型四 集合的描述方法 1.给出下列说法:①集合{}3x x x ∈=N 用列举法表示为{}1,0,1-;②实数集可以表示为{|x x 为实数}或{}R ; ③方程组3,1x y x y +=⎧⎨-=-⎩的解组成的集合为{}1,2x y ==.其中不正确的有______.(把所有不正确说法的序号都填上) 【答案】①②③【解析】①由3x x =,即()210x x -=,得0x =或1x =或1x =-.因为1-∉N ,所以集合{}3x xx ∈=N 用列举法表示为{}0,1.②实数集正确的表示为{|x x 为实数}或R .③方程组3,1x y x y +=⎧⎨-=-⎩的解组成的集合正确的表示应为(){}1,2或()1,,2x x y y ⎧⎫=⎧⎪⎪⎨⎨⎬=⎩⎪⎪⎩⎭.故①②③均不正确. 2.定义集合运算(){}|,,A B z z xy x y x A y B ==+∈∈,集合{}{}0,1,2,3A B ==,则集合A B 所有元素之和为________ 【答案】18【解析】当0,2,0==∴=x y z 当1,2,6==∴=x y z 当0,3,0==∴=x y z当1,3,12==∴=x y z 和为0+6+12=18 故答案为:183.设数集A 由实数构成,且满足:若x A ∈(1x ≠且0x ≠),则11A x∈- . (1)若2A ∈,试证明集合A 中有元素1-,12; (2)判断集合A 中至少有几个元素,并说明理由; (3)若集合A 中的元素个数不超过8,所有元素的和为143,且集合A 中有一个元素的平方等于所有元素的积,求集合A .【答案】(1)证明见解析;(2)至少有3个元素.理由见解析(3)112,2,1,,3,223A ⎧⎫=--⎨⎬⎩⎭【解析】(1)由题意,因为2A ∈,可得1112A =-∈-. 因为1A -∈,则()11112A =-∈-.所以集合A 中有元素1-,12.(2)由题意,可知若x A ∈(1x ≠且0x ≠), 则11A x ∈-,1x A x -∈,且11x x ≠-,111x x x -≠-,1x x x-≠, 故集合A 中至少有3个元素.(3)由集合A 中的元素个数不超过8,所以由(2)知A 中有6个元素. 设1111,,,,,11x m A x m x x m m --⎧⎫=⎨⎬--⎩⎭,m x ≠,1x ≠且0x ≠,1m ≠且0m ≠, 因为集合A 中所有元素的积为1,不妨设21x =,或2111x ⎛⎫= ⎪-⎝⎭,或211x x -⎛⎫= ⎪⎝⎭.当21x =时,1x =(舍去)或1x =-;若1x =-,则1,22A ∈. ∵集合A 中所有元素的和为143,∴1111421213m m m m -+-+++=-, ∴3261960m m m -++=,即()32261860m m m m ----=,即()()23620m m m ---=,即()()()321320m m m -+-=,∴12m =-或3或23,∴112,2,1,,3,223A ⎧⎫=--⎨⎬⎩⎭.当2111x ⎛⎫= ⎪-⎝⎭或211x x -⎛⎫= ⎪⎝⎭时,同理可得112,2,1,,3,223A ⎧⎫=--⎨⎬⎩⎭. 综上,112,2,1,,3,223A ⎧⎫=--⎨⎬⎩⎭.题型五 元素个数的求解及参数问题1.用()d A 表示集合A 中的元素个数,若集合()(){}2210A x x ax x ax =--+=,{}0,1B =,且()()1d A d B -=.设实数a 的所有可能取值构成集合M ,则()d M =( )A .3B .2C .1D .4 【答案】A【解析】由题意,()()1d A d B -=,()2d B =,可得()d A 的值为1或3,若()1d A =,则20x ax -=仅有一根,必为0,此时a =0,则22110x ax x -+=+=无根,符合题意若()3d A =,若20x ax -=仅有一根,必为0,此时a =0,则22110x ax x -+=+=无根,不合题意,故20x ax -=有二根,一根是0,另一根是a ,所以210x ax -+=必仅有一根,所以2Δ40a =-=,解得2a =±,此时210x ax -+=的根为1或1-,符合题意,综上,实数a 的所有可能取值构成集合{0,2,2}M =-,故()3d M =. 故选:A .2.已知集合{}2,,M m m a b a b Q ==+∈,则下列四个元素中属于M 的元素的个数是( ) ①12π+;②1162+;③122+;④2323-++ A .4B .3C .2D .1【答案】C【解析】①当212a b π+=+时,可得1,a b π==,这与,a b Q ∈矛盾,②()211623232+=+=+232a b ∴+=+ ,可得3,1a b == ,都是有理数,所以正确,③122212222-==-+, 2212a b ∴+=-,可得11,2a b ==-,都是有理数,所以正确, ④()22323426-++=+= 而()2222222a b a b ab +=++ ,,a b Q ∈,()22a b ∴+是无理数,2323∴-++不是集合M 中的元素,只有②③是集合M 的元素.故选:C3.已知集合{}22(,)|1,,A x y x y x y Z =+≤∈,{}(,)|2,2,,B x y x y x y Z =≤≤∈,定义集合{}12121122(,)|(,),(,)A B x x y y x y A x y B ⊕=++∈∈,则A B ⊕中元素的个数为A .77B .49C .45D .30【答案】C【解析】因为集合,所以集合中有5个元素(即5个点),即图中圆中的整点,集合中有25个元素(即25个点):即图中正方形中的整点,集合的元素可看作正方形中的整点(除去四个顶点),即个.4.选择适当的方法表示下列集合:(1)被5除余1的正整数组成的集合;(2)由直线y =-x +4上的横坐标和纵坐标都是自然数的点组成的集合;(3)方程(x 2-9)x =0的实数解组成的集合;(4)三角形的全体组成的集合.【答案】(1){x|x=5k+1,k ∈N };(2){(x ,y )|y =-x +4,x ∈N ,y ∈N };(3){-3,0,3};(4){x|x 是三角形}或{三角形}. 【解析】(1){|51,}x x k k N =+∈;(2){(,)|4,,}x y y x x N y N =-+∈∈;(3)2(9)00x x x -=⇒=或3x =±,解集为{3,0,3}-,(4){|x x 是三角形}或写成{三角形}.5.设A 是由一些实数构成的集合,若a ∈A ,则11a- ∈A ,且1∉A ,(1)若3∈A,求A.(2)证明:若a∈A,则11Aa-∈.【答案】(1)123,,23A⎧⎫=-⎨⎬⎩⎭;(2)证明见解析.【解析】(1)因为3∈A,所以11132A=-∈-,所以12131()2A=∈--,所以13213A=∈-,所以123,,23A⎧⎫=-⎨⎬⎩⎭.(2)因为a∈A,所以11Aa∈-,所以1111111aAa aa-==-∈---.。
专题一集合、集合间的关系、集合的运算一、学法指导与考点梳理1.集合的概念及其表示⑴.集合中元素的三个特征:①.确定性:给定一个集合,那么任何一个元素在不在这个集合中就确定了.②.互异性:一个集合中的元素是互不相同的,即集合中的元素是不重复出现的.③.无序性:即集合中的元素无顺序,可以任意排列、调换。
⑵.元素与集合的关系有且只有两种:属于(用符号“∈”表示)和不属于(用符号“∉”表示).⑶.集合常用的表示方法有三种:列举法、Venn图、描述法.(4).常见的数集及其表示符号2.集合间的基本关系3.集合之间的基本运算【名师提醒】1.若有限集A 中有n 个元素,则集合A 的子集个数为2n ,真子集的个数为2n -1. 2.A ⊆B ⇔A ∩B =A ⇔A ∪B =B ()()UUAB A B U ⇔=∅⇔= .3.奇数集:{}{}{}21,21,4 1.x x n n x x n n x x n n =+∈==-∈==±∈Z Z Z .4. 数集运算的封闭性,高考多次考查,基础知识如下:若从某个非空数集中任选两个元素(同一元素可重复选出),选出的这两个元素通过某种(或几种)运算后的得数仍是该数集中的元素,那么,就说该集合对于这种(或几种)运算是封闭的.自然数集N 对加法运算是封闭的;整数集Z 对加、减、乘法运算是封闭的.有理数集、复数集对四则运算是封闭的.对加、减、乘运算封闭的数集叫数环,有限数集{0}就是一个数环,叫零环.设F 是由一些数所构成的集合,其中包含0和1,如果对F 中的任意两个数的和、差、积、商(除数不为0),仍是F 中的数,即运算封闭,则称F 为数域.5. 德▪摩根定律:①并集的补集等于补集的交集,即()=()()UUU A B A B ;②交集的补集等于补集的并集,即()=()()U UU AB A B .二、重难点题型突破考点1 集合的概念及其表示归纳总结:与集合中的元素有关问题的求解策略(1)确定集合的元素是什么,即集合是(数轴)数集、(平面直角坐标系)点集还是其他类型的集合. (2)看这些元素满足什么限制条件.(3)根据限制条件求参数的值或确定集合中元素的个数,要注意检验集合是否满足元素的互异性. 例1.(1)(集合的确定性)下列各组对象中不能形成集合的是( ) A .高一数学课本中较难的题 B .高二(2)班学生家长全体 C .高三年级开设的所有课程D .高一(12)班个子高于1.7m 的学生【思路分析】集合内的元素要满足:确定性,无序性,互异性.【答案】解:高一数学课本中较难的题不满足确定性,故不是集合;故选:A .【点睛】本题考查了集合内的元素的特征,要满足:确定性,无序性,互异性,属于基础题. (2).(2020·全国高一)(集合的互异性)已知集合(){}21,1A m m =+-,若1A ∈,则m =______.【解析】依题意11m +=或()211m -=,解得0m =或2m =;由集合中元素的互异性可知当0m =时,集合的两个元素相等,不合题意;所以2m =.故答案为:2.【变式训练1】(集合的确定性)考察下列每组对象,能构成集合的是( ) ①中国各地最美的乡村;②直角坐标系中横、纵坐标相等的点; ③不小于3的自然数; ④2018年第23届冬季奥运会金牌获得者. A .③④ B .②③④ C .②③ D .②④【解析】①中“最美”标准不明确,不符合确定性,②③④中的元素标准明确,均可构成集合,故选B. 考点2 元素与集合的关系(1)属于:如果a 是集合A 的元素,就说a 属于集合A ,记作a ∈A . (2)不属于:如果a 不是集合A 中的元素,就说a 不属于集合A ,记作a ∉A . (3)常见的数集及表示符号归纳总结:(1)判断集合间的关系,要注意先对集合进行化简,再进行判断,并且在描述关系时,要尽量精确. (2)已知两个集合间的关系求参数时,关键是将条件转化为元素或区间端点间的关系(要注意区间端点的取舍),进而转化为参数所满足的关系,常用数轴、V enn 图等来直观解决这类问题.例2.(2020·河北省河北正中实验中学高一期末)(整数集合元素个数)已知集合{}|21,A x x x Z =-<≤∈,则集合A 中元素的个数为( ) A .0B .1C .2D .3【解析】{}{}|21,1,0,1A x x x Z =-<≤∈=-,所以集合A 中元素的个数为3.故选:D. 例3.(单元素集合)若集合A ={x |x 2+ax +b =x }中,仅有一个元素a ,求a 、b 的值. 【答案】解:∵集合A ={x |x 2+ax +b =x }中,仅有一个元素a , ∴a 2+a 2+b =a 且△=(a ﹣1)2﹣4b =0解得a =31,b =91.故a 、b 的值分别为31,91.【变式训练1】设集合A ={x |ax 2+2x +1=0,a ∈R } (1)当A 中元素个数为1时,求:a 和A ;(2)当A 中元素个数至少为1时,求:a 的取值范围; (3)求:A 中各元素之和. 【思路分析】(1)推导出a =0或⎩⎨⎧=-=∆≠0440a a ,由此能求出a 和A .(2)当A 中元素个数至少为1时,a =0或⎩⎨⎧≥-=∆≠0440a a ,由此能求出a 的取值范围.(3)当a =0时,A 中元素之和为21-;当a <1且a ≠0时,A 中元素之和为a2-;当a =1时,A 中元素之和为﹣1;当a >1时,A 中无元素.【答案】解:(1)∵集合A ={x |ax 2+2x +1=0,a ∈R },A 中元素个数为1, ∴a =0或⎩⎨⎧=-=∆≠0440a a ,解得a =0,A ={21-}或a =1,A ={﹣1}.(2)当A 中元素个数至少为1时,a =0或⎩⎨⎧≥-=∆≠0440a a ,解得a ≤1,∴a 的取值范围是(﹣∞,1].(3)当a =0时,A 中元素之和为21-;当a <1且a ≠0时,A 中元素之和为a2-; 当a =1时,A 中元素之和为﹣1;当a >1时,A 中无元素. 考点3 集合间的基本关系 1.集合A 中含有n 个元素,则有(1)A 的子集的个数有2n 个.(2)A 的非空子集的个数有2n -1个. (3)A 的真子集的个数有2n -1个.(4)A 的非空真子集的个数有2n -2个.2.空集是任何集合的子集,因此在解A ⊆B (B ≠∅)的含参数的问题时,要注意讨论A =∅和A ≠∅两种情况,前者常被忽视,造成思考问题不全面.例4.(2020·全国高一)(空集是任何非空集合的子集)已知集合{}25A x x =-≤≤,{}121B x m x m =+≤≤-,若B A ⊆,则实数m 的取值范围是______.【解析】由B A ⊆可得:当B =∅,则121m m +>-,∴2m <,当B ≠∅,则m 应满足:12112215m m m m +≤-⎧⎪+≥-⎨⎪-≤⎩,解得23m ≤≤,综上得3m ≤; ∴实数m 的取值范围是(],3-∞.故答案为:(],3-∞.【变式训练1】.(2019·浙江省温州中学高一月考)(子集与真子集个数问题)已知集合21,,{1}A a a =-,若0A ∈,则a =______;A 的子集有______个.【解析】∵集合21,,{1}A a a =-,0A ∈,∴0a =或2101a a ⎧-=⎨≠⎩,解得0a =或1a =-.A 的子集有328=个.故答案为:0或1-,8.考点4 集合的基本运算1.由所有属于集合A 或属于集合B 的元素组成的集合叫A 与B 的并集,记作A ∪B ;符号表示为A ∪B ={x |x ∈A 或x ∈B } 2.并集的性质A ∪B =B ∪A ,A ∪A =A ,A ∪∅=A ,A ⊆A ∪B .3.对于两个给定的集合A 、B ,由所有属于集合A 且属于集合B 的元素组成的集合叫A 与B 的交集,记作A ∩B 。
高三数学集合的概念试题1.已知互异的复数a,b满足ab≠0,集合{a,b}={,},则= .【答案】【解析】由题意或,因为,,,因此.【考点】集合的相等,解复数方程.2.已知等比数列的首项为,公比为,其前项和记为,又设,的所有非空子集中的最小元素的和为,则的最小正整数为.【答案】45【解析】由题意有,对于和,我们首先把中的元素按从小到大顺序排列,当时,,对于中的任一元素,比它大的有个,这个元素组成的集合的所有子集有个,把加进这些子集形成新的集合,每个都是以为最小元素的的子集,而最小元素为的的子集也只有这些,故在中出现次,所以,时,适合上式,时,.当,不成立,当时,,,由于,,,所以,最小的为.【考点】子集的个数,数列的和.3.已知集合A={x|logx<1},B={x|0<x<c,其中c>0}.若A∪B=B,则c的取值范围是2()A.(0,1]B.[1,+∞)C.(0,2]D.[2,+∞)【答案】Dx<1}={x|0<x<2},A∪B=B得A⊆B,又B={x|0<x<c,其中c>0},【解析】因为A={x|log2所以结合数轴得c≥2,故选D.4.对于非空实数集A,记A*={y|∀x∈A,y≥x}.设非空实数集合M、P满足:M⊆P,且若x>1,则x∉P.现给出以下命题:①对于任意给定符合题设条件的集合M、P,必有P*⊆M*;②对于任意给定符合题设条件的集合M、P,必有M*∩P≠∅;③对于任意给定符合题设条件的集合M、P,必有M∩P*=∅;④对于任意给定符合题设条件的集合M、P,必存在常数a,使得对任意的b∈M*,恒有a+b∈P*.其中正确的命题是()A.①③B.③④C.①④D.②③【答案】C【解析】对于②,假设M=P=,则M*=,则M*∩P=∅,因此②错误;对于③,假设M=P=,则∈M,又∈P*,则M∩P*≠∅,因此③也错误,而①和④都是正确的,故选C.5.已知集合A={x|x≥0},B={0,1,2},则()A.A⊆B B.B⊆AC.A∪B=B D.A∩B=∅【答案】B【解析】显然B⊆A,A∪B=A,A∩B=B.6.若集合A={0,1},B={-1,a2},则“a=1”是“A∩B={1}”的()A.充分非必要条件B.必要非充分条件C.充要条件D.既不充分也不必要条件【答案】A【解析】a=1A∩B={1};A∩B={1}a=±1,故为充分不必要条件.7.已知集合M={1,2,3},N={2,3,4},则M∩N=________.【答案】M∩N={2,3}【解析】M∩N={1,2,3}∩{2,3,4}={2,3}.8.用表示非空集合中元素的个数,定义,若,,,且,设实数的所有可能取值构成集合,则=()A.B.C.D.【答案】B【解析】由已知得:或,当时,即由两个相等实根,即且没有实根,,即,,;当时,即由两个相等实根,即且由两个不等实根,,,或,不成立,当由两个不等实根,即且由两个相等实根,,,,,所以有3个值,即选B.【考点】1.二次方程根的个数;2.集合元素.9.设是整数集的非空子集,如果有,则称关于数的乘法是封闭的. 若,是的两个不相交的非空子集,且有有,有四个命题:①中至少有一个关于乘法是封闭的;②中至多有一个关于乘法是封闭的;③中有且只有一个关于乘法是封闭的;④中每一个关于乘法都是封闭的.其中所有正确命题的序号是 .【答案】①【解析】因为关于乘法封闭的规定是.是整数集的非空子集,如果有,则称关于数的乘法是封闭的.如果代表负数集合,代表非负数集合,则成立, 且有有.但是.所以不是乘法封闭.所以④不正确. 如果代表奇数集合,代表偶数集合,则成立, 且有有.显然都是乘法封闭的,所以②③都不正确. 若都不满足乘法封闭,有.假设,若存在,则与题意矛盾.所以①正确.故填①【考点】1.集合的概念.2.新定义的概念的理解.3.列举特值解题的思想.10.已知集合,,且,则实数的值是.【答案】1【解析】有限集之间包含关系,可用验证法.因为,所以,解此类问题一要注意挖掘隐含条件,避开不必要的讨论,二要注意全面,要验证结论的正确性,不能以偏概全.【考点】集合的子集11.已知集合,,且,则实数的值是.【答案】1【解析】有限集之间包含关系,可用验证法.因为,所以,解此类问题一要注意挖掘隐含条件,避开不必要的讨论,二要注意全面,要验证结论的正确性,不能以偏概全.【考点】集合的子集12.若集合,集合,则下列各式中正确的是()A.B.C.D.【答案】A【解析】=(0,+),=(1,+),所以,故选A.【考点】1.指数函数和对数函数的性质;2.集合间的关系.13.集合,,若,则实数的取值范围是.【答案】【解析】先把集合B化简,,由得中最大值不大于,即.【考点】子集的定义.14.若集合,则满足条件有个.【答案】3【解析】集合A显然一定含有元素1,2,而元素3,4可以都没有,也可以有一个,但不能两个都含有,故这样的A有3个,实质是这里集合A的个数是集合的真子集的个数.【考点】子集.15.已知集合,.(1)在区间上任取一个实数,求“”的概率;(2)设为有序实数对(如有序实数对(2,3)与(3,2)不一样),其中是从集合中任取的一个整数,是从集合中任取的一个整数,求“”的概率【答案】(Ⅰ).(2).【解析】(Ⅰ)易得,,是区间上的连续的实数,故属于几何概型,由几何概型的概率公式可得.(2)由于、是整数,故属于古典概型,列出所有可能出现的结果,找出满足“”的所有结果,二者相除即得所求概率.试题解析:(Ⅰ)∵∴ 2分∵∴ 4分设事件“”的概率为,这是一个几何概型,则概率 6分(2)因为,且,所以,基本事件共12个:,,,,,,,,,,, 9分设事件为“”,则事件中包含9个基本事件 11分事件的概率. 12分【考点】1、几何概型;2、古典概型.16.对于任意两个正整数m, n , 定义某种运算“※”如下:当m ,n都为正偶数或正奇数时,※=当中一个为正偶数,另一个为正奇数时,※=.则在此定义下,集合※中的元素个数是( )A.10个B.15个C.16个D.18个【答案】B【解析】从定义出发,抓住的奇偶性对12实行分拆是解决本题的关键,当同奇偶时,根据※=将12分拆两个同奇偶数的和,当一奇一偶时,根据※=将12分拆一个奇数与一个偶数的积,再算其组数即可.若同奇偶,有,前面的每种可以交换位置,最后一种只有1个点,这时有;若一奇一偶,有,每种可以交换位置,这时有;∴共有个.【考点】考查分析问题的能力以及集合中元素的性质.17.对于非空实数集,记.设非空实数集合,满足.给出以下结论:①;②;③.其中正确的结论是.(写出所有正确结论的序号)【答案】①【解析】根据题意,由于非空实数集,记,那么可知非空实数集合,如果满足则可以得到表示的元素比集合A表示的集合中元素大于或者等于。
高三数学专题练习1 集合的概念与运算小题基础练①一、选择题1.[2018·全国卷Ⅱ]已知集合A={1,3,5,7},B={2,3,4,5},则A∩B=()A.{3} B.{5}C.{3,5} D.{1,2,3,4,5,7}答案:C解析:A∩B={1,3,5,7}∩{2,3,4,5}={3,5}.故选C.2.[2018·全国卷Ⅰ]已知集合A={x|x2-x-2>0},则∁R A=()A.{x|-1<x<2}B.{x|-1≤x≤2}C.{x|x<-1}∪{x|x>2}D.{x|x≤-1}∪{x|x≥2}答案:B解析:∵x2-x-2>0,∴ (x-2)(x+1)>0,∴x>2或x<-1,即A={x|x>2或x<-1}.在数轴上表示出集合A,如图所示.由图可得∁R A={x|-1≤x≤2}.故选B.3.[2019·河南中原名校质检]已知全集U={1,2,3,4,5,6},集合A={1,2,4},B={2,4,6},则A∩(∁U B)=()A.{1} B.{2}C.{4} D.{1,2}答案:A解析:因为∁U B={1,3,5},所以A∩(∁U B)={1}.故选A.4.[2019·河北衡水武邑中学调研]已知全集U=R,集合A ={x|0<x<9,x∈R}和B={x|-4<x<4,x∈Z}关系的Venn图如图所示,则阴影部分所表示集合中的元素共有()A .3个B .4个C .5个D .无穷多个答案:B解析:因为A ={x |0<x <9,x ∈R },所以∁U A ={x |x ≤0或x ≥9}.题图中阴影部分表示的集合为(∁U A )∩B ={x |-4<x ≤0,x ∈Z }={-3,-2,-1,0},故该集合中共有4个元素.故选B.5.[2019·惠州一调]已知集合U ={-1,0,1},A ={x |x =m 2,m ∈U },则∁U A =( )A .{0,1}B .{-1,0,1}C .∅D .{-1}答案:D解析:∵A ={x |x =m 2,m ∈U }={0,1},∴∁U A ={-1},故选D.6.[2019·河北省五校联考(二)]已知集合A ={x |x <1},B ={x |x 2-x -6<0},则( )A .A ∩B ={x |x <1} B .A ∪B =RC .A ∪B ={x |x <2}D .A ∩B ={x |-2<x <1}答案:D解析:∵x 2-x -6<0,∴-2<x <3,∴B ={x |-2<x <3},∴A ∪B ={x |x <3},A ∩B ={x |-2<x <1},故选D.7.[2019·江西赣州模拟]已知集合A ={x |-1≤lg x ≤1},B ={x |2x <4},则A ∩B =( )A.⎩⎪⎨⎪⎧⎭⎪⎬⎪⎫x ⎪⎪⎪ 110≤x <2 B .{x |0<x <2} C .{x |2<x ≤10} D .{x |0<x ≤10}答案:A解析:∵-1≤lg x ≤1,∴110≤x ≤10,∴A =⎩⎪⎨⎪⎧⎭⎪⎬⎪⎫x ⎪⎪⎪ 110≤x ≤10.由2x <4知x <2,∴B ={x |x <2},∴A ∩B =⎩⎪⎨⎪⎧⎭⎪⎬⎪⎫x ⎪⎪⎪110≤x <2.故选A. 8.[2019·广西桂林、百色、梧州、崇左、北海五市联合模拟]已知全集U=R,集合M={x|(x-1)(x+2)≥0},N={x|-1≤x≤2},则(∁U M)∩N=()A.[-2,-1] B.[-1,2]C.[-1,1) D.[1,2]答案:C解析:因为全集U=R,集合M={x|(x-1)(x+2)≥0}={x|x≤-2或x≥1},所以∁U M={x|-2<x<1}.又N={x|-1≤x≤2},所以(∁U M)∩N=[-1,1).故选C.二、非选择题9.[2018·江苏卷]已知集合A={0,1,2,8},B={-1,1,6,8},那么A∩B=________.答案:{1,8}解析:A∩B={0,1,2,8}∩{-1,1,6,8}={1,8}.10.[2019·南昌模拟]已知集合A={1,2,3},B={(x,y)|x∈A,y∈A,x+y∈A},则集合B的子集的个数为________.答案:8解析:∵集合A={1,2,3},集合B={(x,y)|x∈A,y∈A,x +y∈A},∴B={(1,1),(1,2),(2,1)},∴集合B有3个元素,∴集合B的子集个数为23=8.11.[2019·石家庄质检]已知集合A={x|-2<x<4},B={x|y =lg(x-2)},则A∩(∁R B)=________.答案:(-2,2]解析:由题意得B={x|y=lg(x-2)}=(2,+∞),∴∁R B=(-∞,2],∴A∩(∁R B)=(-2,2].12.[2019·辽宁省五校联考]已知集合P={x|x2-2x-8>0},Q={x|x≥a},P∪Q=R,则a的取值范围是________.答案:(-∞,-2]解析:集合P={x|x2-2x-8>0}={x|x<-2或x>4},Q={x|x≥a},若P∪Q=R,则a≤-2,即a的取值范围是(-∞,-2].课时增分练①一、选择题1.[2018·全国卷Ⅱ]已知集合A={(x,y)|x2+y2≤3,x∈Z,y∈Z},则A中元素的个数为()A.9 B.8C.5 D.4答案:A解析:将满足x2+y2≤3的整数x,y全部列举出来,即(-1,-1),(-1,0),(-1,1),(0,-1),(0,0),(0,1),(1,-1),(1,0),(1,1),共有9个.故选A.2.[2019·湖南省名校联考]已知全集U=R,集合A={x|x2-3x≥0},B={x|1<x≤3},则如图所示的阴影部分表示的集合为()A.[0,1) B.(0,3]C.(0,1] D.[1,3]答案:C解析:因为A={x|x2-3x≥0}={x|x≤0或x≥3},B={x|1<x≤3},所以A∪B={x|x>1或x≤0},所以图中阴影部分表示的集合为∁U(A∪B)=(0,1],故选C.3.设集合A={x|-3≤x≤3,x∈Z},B={y|y=x2+1,x∈A},则集合B中元素的个数是()A.3 B.4C.5 D.无数个答案:B解析:∵A={x|-3≤x≤3,x∈Z},∴A={-3,-2,-1,0,1,2,3},∵B={y|y=x2+1,x∈A},∴B={1,2,5,10},故集合B 中元素的个数是4,选B.4.[2019·四川广元第三次高考适应性统考(三诊)]已知集合A ={x |x 2-4x <0},B ={x |x <a },若A ⊆B ,则实数a 的取值范围是( )A .(0,4]B .(-∞,4)C .[4,+∞)D .(4,+∞)答案:C解析:由已知可得A ={x |0<x <4}.若A ⊆B ,则a ≥4.故选C.5.[2019·贵州遵义南白中学联考]已知集合A ={x |x 2+x -2<0},B ={x |log 12x >1},则A ∩B =( )A.⎝ ⎛⎭⎪⎫0,12 B .(0,1) C.⎝ ⎛⎭⎪⎫-2,12 D.⎝ ⎛⎭⎪⎫12,1 答案:A解析:由题意,得A ={x |-2<x <1},B =⎩⎪⎨⎪⎧⎭⎪⎬⎪⎫x ⎪⎪⎪ 0<x <12,所以A ∩B =⎩⎨⎧x ⎪⎪⎪⎭⎬⎫0<x <12=⎝ ⎛⎭⎪⎫0,12.故选A. 6.[2019·河北唐山模拟]已知集合A ={x ∈N |x <3},B ={x |x =a -b ,a ∈A ,b ∈A },则A ∩B =( )A .{1,2}B .{-2,-1,1,2}C .{1}D .{0,1,2}答案:D解析:A ={x ∈N |x <3}={0,1,2},B ={x |x =a -b ,a ∈A ,b ∈A }.由题意知,当a =0,b =0时,x =a -b =0;当a =0,b =1时,x =a -b =-1;当a =0,b =2时,x =a -b =-2;当a =1,b =0时,x =a -b =1;当a =1,b =1时,x =a -b =0;当a =1,b =2时,x =a -b =-1;当a =2,b =0时,x =a -b =2;当a =2,b =1时,x =a -b =1;当a =2,b =2时,x =a -b =0,根据集合中元素的互异性,B ={-2,-1,0,1,2},∴A ∩B ={0,1,2}.故选D.7.[2019·浙江教育绿色评价联盟模拟]已知集合P ={x ∈R |-2<x ≤3},Q =⎩⎪⎨⎪⎧⎭⎪⎬⎪⎫x ∈R ⎪⎪⎪⎪ 1+x x -3≤0,则( )A .P ∩Q ={x ∈R |-1<x <3}B .P ∪Q ={x ∈R |-2<x <3}C .P ∩Q ={x ∈R |-1≤x ≤3}D .P ∪Q ={x ∈R |-2<x ≤3}答案:D解析:由1+x x -3≤0,得(1+x )(x -3)≤0且x ≠3,解得-1≤x <3,故P ∩Q ={x ∈R |-1≤x <3},P ∪Q ={x ∈R |-2<x ≤3}.故选D.8.已知全集U =R ,集合A ={x |x 2-2x ≤0},B ={y |y =sin x ,x ∈R },则图中阴影部分表示的集合为( )A .[-1,2]B .[-1,0)∪(1,2]C .[0,1]D .(-∞,-1)∪(2,+∞)答案:B解析:由题意可知阴影部分对应的集合为[∁U (A ∩B )]∩(A ∪B ),A ={x |x 2-2x ≤0}={x |0≤x ≤2}=[0,2],B ={y |y =sin x ,x ∈R }={y |-1≤y ≤1}=[-1,1],∴A ∩B =[0,1],A ∪B =[-1,2],∴[∁U (A ∩B )]∩(A ∪B )=[-1,0)∪(1,2],故选B.二、非选择题9.[2019·无锡五校联考(一)]已知集合A ={x |(x -1)(x -a )≥0},B ={x |x ≥a -1},若A ∪B =R ,则实数a 的最大值为________.答案:2解析:当a >1时,A =(-∞,1]∪[a ,+∞),B =[a -1,+∞),若A ∪B =R ,则a -1≤1,∴1<a ≤2;当a =1时,易得A =R ,此时A ∪B =R ;当a <1时,A =(-∞,a ]∪[1,+∞),B =[a -1,+∞),若A ∪B =R ,则a -1≤a ,显然成立,∴a <1.综上,实数a 的取值范围是(-∞,2],则实数a 的最大值为2.10.[2019·内蒙古呼和浩特质量普查调研]已知集合A ={x |0<x <2},集合B ={x |-1<x <1},集合C ={x |mx +1>0},若A ∪B ⊆C ,则实数m 的取值范围是________.答案:⎣⎢⎡⎦⎥⎤-12,1 解析:由A ={x |0<x <2},B ={x |-1<x <1},得A ∪B ={x |-1<x <2},∵集合C ={x |mx +1>0},A ∪B ⊆C ,①当m <0时,x <-1m ,∴-1m ≥2,∴m ≥-12,∴-12≤m <0;②当m =0时,成立;③当m >0时,x >-1m ,∴-1m ≤-1,∴m ≤1,∴0<m ≤1,综上所述,-12≤m ≤1.11.[2019·江西玉山一中月考(二)]已知集合A ={x |3≤3x ≤27},B ={x |log 2x >1}.(1)分别求A ∩B ,(∁R B )∪A ;(2)已知集合C ={x |1<x <a },若C ⊆A ,求实数a 的取值范围. 解析:(1)∵3≤3x ≤27,即31≤3x ≤33,∴1≤x ≤3,∴A ={x |1≤x ≤3}.∵log 2x >1,即log 2x >log 22,∴x >2,∴B ={x |x >2}. ∴A ∩B ={x |2<x ≤3}.∵∁R B ={x |x ≤2},∴(∁R B )∪A ={x |x ≤3}.(2)由(1)知A ={x |1≤x ≤3},C ⊆A .当C 为空集时,满足C ⊆A ,a ≤1;当C 为非空集合时,可得1<a ≤3.综上所述,a 的取值范围为(-∞,3].实数a 的取值范围为(-∞,3].。