第七章_典型例题
- 格式:ppt
- 大小:662.50 KB
- 文档页数:49
7.5 典型题精解例题7-1 在如图7-6所示的绝热混合器中,氮气与氧气均匀混合。
已知氮气进口的压力10.5MPa p =,温度127C t =︒,质量13kg m =;氧气进口压力20.1MPa p =,温度2127C t =︒,质量22kg m =。
(1)求混合后的温度;(2)问混合气流出口压力3p 能否达到0.4MPa 。
解 (1)确定混合后气流的温度 根据热力学第一定律223121,N 312,CO 32()0()()0p p Q H H H m c T T m c T T =-+=-+-=于是,两股气合流后的温度为 22221,N 12,CO 231,N 2,CO p p p p m c T m c T T m c m c +=+其中22222222g,N 3N g,O 3O ,N g,N ,O g,O 8.314J/(mol K)297J/(kg K)2810kg/mol8.314J/(mol K)260J/(kg K)3210kg/mol 71.040kJ/(kg K)270.909kJ/(kg K)2p p R R M R R M c R c R --⨯===⋅⨯⨯===⋅⨯==⋅==⋅将这些数值代入式(a )得 3336.8K T =(2)这实际上是一个判断过程能否实现的问题。
先假定,求控制体积的熵产,如熵产大于零,则出口压力可以达到该值,否则就不能达到。
混合后2N 的摩尔分数为2N 3/280.63163/282/32x ==+混合后2N 分压力:22N N 30.63160.4MPa 0.253MPa p x p ==⨯= 则 22O 3N 0.147MPa p p p =-= 于是iso 312g S S S S S ∆=∆=--2222221231122N O 331,N g,N 2,O g,O 1122()(lnln )(ln ln )336.8K 0.253MPa3kg [1040J/(kg K)ln297J/(kg K)ln ]300K 0.5MPap p m m s m s m s p p T Tm c R m c R T p T p =+--=-+-=⨯⋅⨯-⋅336.8K 0.147MPa2kg [909J/(kg K)ln 260J/(kg K)ln ]400K 0.1MPa 151J/k 0+⨯⋅⨯-⋅=-<由计算可知,这是一个熵产小于零的过程,因此不可能发生。
第七章 恒定电流基本公式:I =q t ; I =U R ; I =neSv . R =ρl S W 电=qU =IUt Q 热=I 2Rt. I =E R +r知识点一:电流的计算、电阻定律、电功(率)与热量(热功率)的计算与区别、欧姆定律、U-I 图像1.(单选)通常一次闪电过程历时约0.2~0.3 s ,它由若干个相继发生的闪击构成.每个闪击持续时间仅40~80 μs ,电荷转移主要发生在第一个闪击过程中.在某一次闪电前云地之间的电势差约为1.0×109V ,云地间距离约为1 km ;第一个闪击过程中云地间转移的电荷量约为6 C ,闪击持续时间约为60 μs.假定闪电前云地间的电场是均匀的.根据以上数据,下列判断正确的是( ).答案 ACA .闪电电流的瞬时值可达到1×105 AB .整个闪电过程的平均功率约为1×1014 WC .闪电前云地间的电场强度约为1×106 V/mD .整个闪电过程向外释放的能量约为6×106 J2.(单选)有Ⅰ、Ⅱ两根不同材料的电阻丝,长度之比为l 1∶l 2=1∶5,横截面积之比为S 1∶S 2=2∶3,电阻之比为R 1∶R 2=2∶5,外加电压之比为U 1∶U 2=1∶2,则它们的电阻率之比为( ). 答案 BA .2∶3B .4∶3C .3∶4D .8∶33、(单选)两根完全相同的金属裸导线,如果把其中的一根均匀拉长到原来的2倍,把另一根对折后绞合起来,然后给它们分别加上相同电压后,则在相同时间内通过它们的电荷量之比为( ). 答案 CA .1∶4B .1∶8C .1∶16D .16∶14.(单选)用电器距离电源为L ,线路上的电流为I ,为使在线路上的电压降不超过U ,已知输电线的电阻率为ρ.那么,输电线的横截面积的最小值为( ).答案 BA .ρL /RB .2ρLI /UC .U /(ρLI )D .2UL /(I ρ)5.(单选)欧姆不仅发现了欧姆定律,还研究了电阻定律.有一个长方体金属电阻,材料分布均匀,边长分别为a 、b 、c ,且a >b >c .电流沿以下方向流过该金属电阻,其中电阻阻值最小的是( ).答案 A6、(单选)额定电压都是110 V ,额定功率P A =100 W ,P B =40 W 的电灯两盏,若接入电压是220 V 的下列电路上,则使两盏电灯均能正常发光,且电路中消耗的电功率最小的电路是( ). 答案 C7.(单选)R 1和R 2分别标有“2 Ω,1.0 A”和“4 Ω,0.5 A”,将它们串联后接入电路中,如图7-1-6所示,则此电路中允许消耗的最大功率为( ).答案 AA .1.5 WB .3.0 WC .5.0 WD .6.0 W8.(单选)功率为10 W 的发光二极管(LED 灯)的亮度与功率为60 W 的白炽灯相当.根据国家节能战略,2016年前普通白炽灯应被淘汰.假设每户家庭有2只60 W 的白炽灯,均用10 W 的LED 灯替代,估算出全国一年节省的电能最接近( ).答案 BA .8×108 kW·hB .8×1010 kW·hC .8×1011 kW·hD .8×1013 kW·h9.(单选)当电阻两端加上某一稳定电压时,通过该电阻的电荷量为0.3 C ,消耗的电能为0.9 J .为在相同时间内使0.6 C 的电荷量通过该电阻,在其两端需加的电压和消耗的电能分别是( ).答案 DA .3 V 1.8 JB .3 V 3.6 JC .6 V 1.8 JD .6 V 3.6 J10.(多选)如图所示是电阻R 的I -U 图象,图中α=45°,由此得出( ).A .通过电阻的电流与两端电压成正比B .电阻R =0.5 Ω 答案 ADC .因I -U 图象的斜率表示电阻的倒数,故R =1/tan α=1.0 ΩD .在R 两端加上6.0 V 的电压时,每秒通过电阻横截面的电荷量是3.0 C11.(单选)某种材料的导体,其I-U图象如图所示,图象上A点与原点的连线与横轴成α角,A点的切线与横轴成β角.下列说法正确的是().答案 AA.导体的电功率随电压U的增大而增大B.导体的电阻随电压U的增大而增大C.在A点,导体的电阻为tan αD.在A点,导体的电阻为tan β12.(多选)如图所示,图线1表示的导体的电阻为R1,图线2表示的导体的电阻为R2,则下列说法正确的是().答案ACA.R1∶R2=1∶3B.把R1拉长到原来的3倍长后电阻等于R2C.将R1与R2串联后接于电源上,则功率之比P1∶P2=1∶3D.将R1与R2并联后接于电源上,则电流比I1∶I2=1∶313、(单选)在如图电路中,电源电动势为12 V,电源内阻为1.0 Ω,电路中的电阻R0为1.5 Ω,小型直流电动机M的内阻为0.5 Ω.闭合开关S后,电动机转动,电流表的示数为2.0 A.则以下判断中正确的是( ).A.电动机的输出功率为14 WB.电动机两端的电压为7.0 V 答案BC.电动机的发热功率为4.0 WD.电源输出的电功率为24 W14.(多选)如图所示,用输出电压为1.4 V,输电电流为100 mA的充电器对内阻为2 Ω的镍-氢电池充电.下列说法正确的是().答案ABA.电能转化为化学能的功率为0.12 W B.充电器输出的电功率为0.14 WC.充电时,电池消耗的热功率为0.12 W D.充电器把0.14 W的功率储存在电池内15.(单选)一只电饭煲和一台洗衣机并联接在输出电压220 V的交流电源上(其内电阻可忽略不计),均正常工作.用电流表分别测得通过电饭煲的电流是5.0 A,通过洗衣机电动机的电流是0.50 A,下列说法中正确的是().A.电饭煲的电阻为44 Ω,洗衣机电动机线圈的电阻为440 Ω答案CB.电饭煲消耗的电功率为1 555 W,洗衣机电动机消耗的电功率为155.5 WC.1 min内电饭煲消耗的电能为6.6×104 J,洗衣机电动机消耗的电能为6.6×103 JD.电饭煲发热功率是洗衣机电动机发热功率的10倍16、(单选)如图所示,电源电动势E=8 V,内阻为r=0.5 Ω,“3 V,3 W”的灯泡L与电动机M串联接在电=1.5 Ω.下列说源上,灯泡刚好正常发光,电动机刚好正常工作,电动机的线圈电阻R法中正确的是().答案DA.通过电动机的电流为1.6 A B.电源的输出功率是8 WC.电动机消耗的电功率为3 W D.电动机的输出功率为3 W17、有一提升重物的直流电动机,工作时电路如图7-1-4所示,内阻为r=0.6 Ω,R=10 Ω,直流电压为U=160 V,电压表两端的示数为110 V,则通过电动机的电流是多少?电动机的输入功率为多少?电动机在1 h内产生的热量是多少?答案 5 A550 W 5.4×104 J18.如图所示是一提升重物用的直流电动机工作时的电路图.电动机内电阻r=0.8 Ω,电路中另一电阻R=10 Ω,直流电压U=160 V,电压表示数U V=110 V.试求:(1)通过电动机的电流;答案(1)5 A(2)550 W(3)53 kg(2)输入电动机的电功率;(3)若电动机以v=1 m/s匀速竖直向上提升重物,求该重物的质量?(g取10 m/s2)19.四川省“十二五”水利发展规划指出,若按现有供水能力测算,我省供水缺口极大,蓄引提水是目前解决供水问题的重要手段之一.某地要把河水抽高20 m,进入蓄水池,用一台电动机通过传动效率为80%的皮带,带动效率为60%的离心水泵工作.工作电压为380 V,此时输入电动机的电功率为19 kW,电动机的内阻为0.4 Ω.已知水的密度为1×103 kg/m3,重力加速度取10 m/s2.求:(1)电动机内阻消耗的热功率;(2)将蓄水池蓄入864 m3的水需要的时间(不计进、出水口的水流速度).答案(1)1×103 W(2)2×104 s知识点二:闭合电路的欧姆定律、输出功率、效率、电源的U-I图像1.(单选)将一电源电动势为E,内电阻为r的电池与外电路连接,构成一个闭合电路,用R表示外电路电阻,I表示电路的总电流,下列说法正确的是().答案CA.由U外=IR可知,外电压随I的增大而增大B.由U内=Ir可知,电源两端的电压随I的增大而增大C.由U=E-Ir可知,电源输出电压随输出电流I的增大而减小D.由P=IU可知,电源的输出功率P随输出电流I的增大而增大2.(多选)一个T形电路如图7-2-1所示,电路中的电阻R1=10 Ω,R2=120 Ω,R3=40 Ω.另有一测试电源,电动势为100 V,内阻忽略不计.则().答案ACA.当cd端短路时,ab之间的等效电阻是40 ΩB.当ab端短路时,cd之间的等效电阻是40 ΩC.当ab两端接通测试电源时,cd两端的电压为80 VD.当cd两端接通测试电源时,ab两端的电压为80 V3.(单选)图所示的电路中,R1=20 Ω,R2=40 Ω,R3=60 Ω,R4=40 Ω,R5=4 Ω,下面说法中,正确的是().A.若U AB=140 V,C、D端开路,U CD=84 V 答案DB.若U AB=140 V,C、D端开路,U CD=140 VC.若U CD=104 V,A、B端开路,U AB=84 VD.若U CD=104 V,A、B端开路,U AB=60 V4.(多选)如图所示电路中,电源电动势E=12 V,内阻r=2 Ω,R1=4 Ω,R2=6 Ω,R3=3 Ω.若在C、D间连接一个电表或用电器,则有().答案ADA.若在C、D间连一个理想电压表,其读数是6 VB.若在C、D间连一个理想电压表,其读数是8 VC.若在C、D间连一个理想电流表,其读数是2 AD.若在C、D间连一个“6 V,3 W”的小灯泡,则小灯泡的实际功率是1.33 W5、(单选)如图所示,电源电动势E=12 V,内阻r=3 Ω,R0=1 Ω,直流电动机内阻R0′=1 Ω,当调节滑动变阻器R时可使甲电路输出功率最大,调节R2时可使乙电路输出功率最大,且此时电动机刚好正常工作(额定输出功率为P0=2 W),则R1和R2的值分别为().答案BA.2 Ω,2 ΩB.2 Ω,1.5 ΩC.1.5 Ω,1.5 ΩD.1.5 Ω,2 Ω6、(多选)如图所示,直线A为电源的U-I图线,直线B和C分别为电阻R、R2的U-I图线,用该电源分别与R1、R2组成闭合电路时,电源的输出功率分别为P1、P2,电源的效率分别为η1、η2,则().答案BCA.P1>P2B.P1=P2C.η1>η2D.η1<η27.(多选)如图所示为两电源的U -I 图象,则下列说法正确的是( ).答案 ADA .电源①的电动势和内阻均比电源②大B .当外接同样的电阻时,两电源的输出功率可能相等C .当外接同样的电阻时,两电源的效率可能相等D .不论外接多大的相同电阻,电源①的输出功率总比电源②的输出功率大8.(多选)如图,图中直线①表示某电源的路端电压与电流的关系图象,图中曲线②表示该电源的输出功率与电流的关系图象,则下列说法正确的是( ).A .电源的电动势为50 VB .电源的内阻为253 Ω 答案 ACDC .电流为2.5 A 时,外电路的电阻为15 ΩD .输出功率为120 W 时,输出电压是30 V9.(多选)如图所示,直线a 、抛物线b 和曲线c 分别为某一稳恒直流电源在纯电阻电路中的总功率P 、电源内部发热功率Pr 、输出功率P R 随电流I 变化的图象,根据图象可知( ).答案 BDA .电源的电动势为9 V ,内阻为3 ΩB .电源的电动势为3 V ,内阻为1 ΩC .图象中任意电流值对应的P 、P r 、P R 间的关系为P >P r +P RD .电路中的总电阻为2 Ω时,外电阻上消耗的功率最大且为2.25 W10. (多选)如图甲所示,其中R 两端电压u 随通过该电阻的直流电流I 的变化关系如图乙所示,电源电动势为7.0 V(内阻不计),且R1=1 000 Ω(不随温度变化).若改变R 2,使AB 与BC 间的电压相等,这时( ).答案 BCA .R 的阻值为1 000 ΩB .R 的阻值为1 300 ΩC .通过R 的电流为1.5 mAD .通过R 的电流为2.0 mA11、如图所示,已知电源电动势E =5 V ,内阻r =2 Ω,定值电阻R 1=0.5 Ω,滑动变阻器R 2的阻值范围为0~10 Ω. 答案 (1)0 2 W (2)2.5 Ω 2.5 W (3)1.5 Ω(1)当滑动变阻器的阻值为多大时,电阻R 1消耗的功率最大?最大功率是多少?(2)当滑动变阻器的阻值为多大时,滑动变阻器消耗的功率最大?最大功率是多少?(3)当滑动变阻器的阻值为多大时,电源的输出功率最大?最大输出功率是多少?12.(单选)用图示的电路可以测量电阻的阻值.图中R x 是待测电阻,R 0是定值电阻,是灵敏度很高的电流表,MN 是一段均匀的电阻丝.闭合开关,改变滑动头P 的位置,当通过电流表的电流为零时,测得MP =l 1,PN =l 2,则R x 的阻值为( ).答案 C A.l 1l 2R 0 B.l 1l 1+l 2R 0 C.l 2l 1R 0 D.l 2l 1+l 2R 0 13、(多选)图所示,电动势为E 、内阻为r 的电池与定值电阻R 0、滑动变阻器R 串联,已知R 0=r ,滑动变阻器的最大阻值是2r .当滑动变阻器的滑片P 由a 端向b 端滑动时,下列说法中正确的是( ).答案 ACA .电路中的电流变大B .电源的输出功率先变大后变小C .滑动变阻器消耗的功率变小D .定值电阻R 0上消耗的功率先变大后变小14.(多选)直流电路如图,在滑动变阻器的滑片P 向右移动时,电源的( ).答案 ABCA .总功率一定减小B .效率一定增大C .内部损耗功率一定减小D .输出功率一定先增大后减小15.(单选)电源的效率η定义为外电路电阻消耗的功率与电源的总功率之比.在测电源电动势和内阻的实验中得到的实验图线如图所示,图中U 为路端电压,I 为干路电流,a 、b 为图线上的两点,相应状态下电源的效率分别为ηa 、ηb .由图可知ηa 、ηb 的值分别为( ).答案 DA.34、14B.13、23C.12、12D.23、13知识点三:电路的动态分析、电路故障分析、含容电路分析1、(多选)图所示的电路,L 1、L2、L 3是3只小电灯,R 是滑动变阻器,开始时,它的滑片P 位于中点位置.当S 闭合时,3只小电灯都发光.现使滑动变阻器的滑片P 向右移动时,则小电灯L 1、L 2、L 3的变化情况( ). 答案 BCA .L 1变亮B .L 2变亮C .L 3变暗D .L 1、L 2、L 3均变亮2.(单选)如图,E 为内阻不能忽略的电池,R1、R2、R 3为定值电阻,S 0、S 为开关,与分别为电压表与电流表.初始时S 0与S 均闭合,现将S 断开,则( ).答案 BA.的读数变大,的读数变小B.的读数变大,的读数变大C.的读数变小,的读数变小D.的读数变小,的读数变大3.(单选)在输液时,药液有时会从针口流出体外,为了及时发现,设计了一种报警装置,电路如图7-2-5所示.M 是贴在针口处的传感器,接触到药液时其电阻R M 发生变化,导致S 两端电压U 增大,装置发出警报,此时( ).答案 CA .R M 变大,且R 越大,U 增大越明显B .R M 变大,且R 越小,U 增大越明显C .R M 变小,且R 越大,U 增大越明显D .R M 变小,且R 越小,U 增大越明显4.(多选)如图所示电路, 电源电动势为E ,串联的固定电阻为R 2,滑动变阻器的总电阻为R 1,电阻大小关系为R 1=R 2=r ,则在滑动触头从a 端移动到b 端的过程中,下列描述中正确的是( ).答案 ABA .电路中的总电流先减小后增大B .电路的路端电压先增大后减小C .电源的输出功率先增大后减小D .滑动变阻器R 1上消耗的功率先减小后增大5.(多选)如图所示,闭合开关S 后,A 灯与B 灯均发光,当滑动变阻器的滑片P 向左滑动时,以下说法中正确的是( ).答案 ACA .A 灯变亮B .B 灯变亮C .电源的输出功率可能减小D .电源的总功率增大6.(单选)如图所示电路,电源内阻不可忽略.开关S 闭合后,在变阻器R0的滑动端向下滑动的过程中( ).答案 AA .电压表与电流表的示数都减小B .电压表与电流表的示数都增大C .电压表的示数增大,电流表的示数减小D .电压表的示数减小,电流表的示数增大7.(单选)在如图7-2-15所示的电路中,E 为电源,其内阻为r ,L 为小灯泡(其灯丝电阻可视为不变),R 1、R2为定值电阻,R 3为光敏电阻,其阻值大小随所受照射光强度的增大而减小,V 为理想电压表.若将照射R 3的光的强度减弱,则( ). 答案 BA .电压表的示数变大B .小灯泡消耗的功率变小C .通过R 2的电流变小D .电源内阻的电压变大8.(多选)如图所示,四个电表均为理想电表,当滑动变阻器的滑动触头P向左端移动时,下列说法中正确的是().答案BCA.电压表V1的读数减小,电流表A1的读数增大B.电压表V1的读数增大,电流表A1的读数减小的读数减小,电流表A2的读数增大C.电压表VD.电压表V2的读数增大,电流表A2的读数减小9.(多选)在如图所示的电路中,E为电源的电动势,r为电源的内阻,R1、R2为可变电阻.在下列操作中,可以使灯泡L变暗的是().答案ADA.仅使R1的阻值增大B.仅使R1的阻值减小C.仅使R2的阻值增大D.仅使R2的阻值减小10.(多选)如图所示,电源电动势为E,内阻为r,不计电压表和电流表内阻对电路的影响,当电键闭合后,两小灯泡均能发光.在将滑动变阻器的触片逐渐向右滑动的过程中,下列说法正确的是().答案BC A.小灯泡L、L2均变暗B.小灯泡L1变亮,小灯泡L2变暗C.电流表A的读数变小,电压表V的读数变大D.电流表A的读数变大,电压表V的读数变小11.(单选)如图所示电路中,由于某处出现了故障,导致电路中的A、B两灯变亮,C、D两灯变暗,故障的原因可能是().答案 DA.R1短路B.R2断路C.R2短路D.R3短路12.(多选)在如图所示的电路中,电源的电动势E和内阻r恒定,闭合开关S后灯泡能够发光,经过一段时间后灯泡突然变亮,则出现这种现象的原因可能是().答案ABA.电阻R1短路B.电阻R2断路C.电阻R2短路D.电容器C断路13.(单选)如图所示,C为两极板水平放置的平行板电容器,闭合开关S,当滑动变阻器R1、R2的滑片处于各自的中点位置时,悬在电容器C两极板间的带电尘埃P恰好处于静止状态.要使尘埃P向下加速运动,下列方法中可行的是().答案AA.把R2的滑片向左移动B.把R2的滑片向右移动C.把R1的滑片向左移动D.把开关S断开14.(单选)在如图所示的电路中,电源的电动势为E,内阻为r,平行板电容器C的两金属板水平放置,R1和R2为定值电阻,P为滑动变阻器R的滑动触头,G为灵敏电流表,A为理想电流表.开关S闭合后,C的两板间恰好有一质量为m、电荷量为q的油滴处于静止状态.在P向上移动的过程中,下列说法正确的是().答案BA.A表的示数变大B.油滴向上加速运动C.G中有由a→b的电流D.电源的输出功率一定变大15、(多选)在如图所示的电路中,闭合电键S,当滑动变阻器的滑动触头P向下滑动时,四个理想电表的示数都发生变化,电表的示数分别用I、U1、U2和U3表示,电表示数变化量的大小分别用ΔI、ΔU1、ΔU2和ΔU3表示.下列比值正确的是( ) 答案:ACDA.U1/I不变,ΔU1/ΔI不变B.U2/I不变,ΔU2/ΔI变大C.U2/I变大,ΔU2/ΔI不变D.U3/I变大,ΔU3/ΔI不变16、(单选)如图所示电路中,闭合电键S,当滑动变阻器的滑动触头P从最高端向下滑动时()A.电压表V读数先变大后变小,电流表A读数变大答案:AB.电压表V读数先变小后变大,电流表A读数变小C.电压表V读数先变大后变小,电流表A读数先变小后变大D.电压表V读数先变小后变大,电流表A读数先变大后变小。
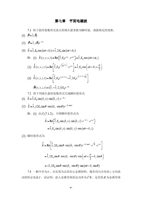
第七章 平面电磁波7.1 将下面用复数形式表示的场矢量变换为瞬时值,或做相反的变换。
()1 0x E e E = ()2 0jkz x E e jE e -=()3()()00cos 2sin x y E e E t kz e E t kz ωω=-+-解:()1 ()()00,,,Re cos x j j tx x x E x y z t e E e e e E t ϕωωϕ⎡⎤=⋅=+⎣⎦ ()2 ()200,,,Re cos 2j kz j t x x E x y z t e E ee e E t kz πωπω⎛⎫- ⎪⎝⎭⎡⎤⎛⎫=⋅=-+⎢⎥ ⎪⎝⎭⎢⎥⎣⎦()3 ()()200,,,Re 2j t kz j t kz x y E x y z t e E ee E e πωω⎛⎫-+ ⎪-⎝⎭⎡⎤=-⎢⎥⎢⎥⎣⎦()()0,,,2jkz x y E x y z t e e j E e -=-7.2 将下列场矢量的复数形式写成瞬时值形式()1 ()()0sin sin z jk z z x y E e E k x k y e -=⋅⋅()2()sin 02sin cos cos z jk x x E e j E k e θθθ-=⋅⋅ 解:()1 由式()7.1.2,可得瞬时值形式为()()0Re sin sin z jk z j tz x y E e E k x k y e e ω-⎡⎤=⋅⋅⋅⎣⎦()()()0sin sin cos z x y z e E k x k y t k z ω=⋅⋅-()2 瞬时值形式为()sin 20Re 2sin cos cos z j jk j t x x E e E k e e e πθωθθ-⎡⎤=⋅⋅⋅⋅⎢⎥⎣⎦()02sin cos cos cos sin 2x x z e E k t k πθθωθ⎛⎫=⋅⋅⋅+- ⎪⎝⎭()()02sin cos cos sin sin x x z e E k t k θθωθ=-⋅⋅⋅-7.3 一根半径为a ,出长度为L 的实心金属材料,载有均匀分布沿z 方向流动的恒定电流I 。
(名师选题)(精选试题附答案)高中数学第七章复数典型例题单选题1、已知i 为虚数单位,则i +i 2+i 3+⋅⋅⋅+i 2021=( )A .iB .−iC .1D .-1答案:A分析:根据虚数的运算性质,得到i 4n +i 4n+1+i 4n+2+i 4n+3=0,得到i +i 2+i 3+⋅⋅⋅+i 2021=i 2021,即可求解. 根据虚数的性质知i 4n +i 4n+1+i 4n+2+i 4n+3=1+i −1−i =0,所以i +i 2+i 3+⋅⋅⋅+i 2021=505×0+i 2021=i .故选:A.2、已知a,b ∈R ,a1+i +b1−i =1,则a +2b =( )A .3B .√3C .√2D .1答案:A分析:等式两边同乘(1+i )(1−i ),整理化简后利用复数相等的条件可求得a +2b 的值因为a 1+i +b1−i =1 ,所以a(1−i )+b(1+i )=(1+i )(1−i )=1−i 2=2即(a +b)+(b −a)i=2所以{a +b =2b −a =0解得{a =1b =1 ,所以a +2b =3 故选:A3、在复平面内,复数z =(a 2−2a )+(a 2−a −2)i (a ∈R )是纯虚数,则( )A .a =0或a =2B .a =0C .a ≠1且a ≠2D .a ≠1或a ≠2答案:B分析:利用复数是纯虚数的条件,即:实部为零且虚部不为零求解参数的值.复数z =(a 2−2a )+(a 2−a −2)i (a ∈R )是纯虚数,所以{a 2−2a =0a 2−a −2≠0,解得:a =0, 故选:B.4、已知i 是虚数单位,则复数z =2−i 20202+i 2021对应的点所在的象限是( )A .第一象限B .第二象限C .第三象限D .第四象限答案:D分析:先化简i 2020,i 2021,再利用复数的除法化简得解.z =2−i 20202+i 2021=12+i =2−i (2+i)(2−i)=2−i 5. 所以复数对应的点(25,−15)在第四象限,故选:D小提示:名师点评复数z =x +yi(x,y ∈R)对应的点为(x,y),点(x,y)在第几象限,复数对应的点就在第几象限.5、已知z =(m +3)+(m −1)i (m ∈R )在复平面内对应的点在第四象限,则复数z 的模的取值范围是( )A .[2√2,4)B .[2,4]C .(2√2,4)D .(2,4)答案:A分析:根据z =(m +3)+(m −1)i (m ∈R )在复平面内对应的点在第四象限,求出m 的范围,再根据复数的模结合二次函数的性质即可得出答案.解:因为z =(m +3)+(m −1)i (m ∈R )在复平面内对应的点在第四象限,所以{m +3>0m −1<0,解得−3<m <1, |z |=√(m +3)2+(m −1)2=√2m 2+4m +10=√2(m +1)2+8,因为−3<m <1,所以(m +1)2∈[0,2),则2(m +1)2+8∈[2√2,4),所以复数z 的模的取值范围是[2√2,4).故选:A.6、z 1、z 2是复数,则下列结论中正确的是( )A .若z 12+z 22>0,则z 12>−z 22B .|z 1−z 2|=√(z 1+z 2)2−4z 1⋅z 2C .z 12+z 22=0⇔z 1=z 2=0D .|z 12|=|z 1|2答案:D解析:举反例z 1=2+i ,z 2=2−i 可判断选项A 、B ,举反例z 1=1,z 2=i 可判断选项C ,设z 1=a +bi ,(a,b ∈R ),分别计算|z 12|、|z 1|2即可判断选项D ,进而可得正确选项.对于选项A :取z 1=2+i ,z 2=2−i ,z 12=(2+i )2=3+2i ,z 22=(2−i )2=3−2i , 满足z 12+z 22=6>0,但z 12与z 22是两个复数,不能比较大小,故选项A 不正确;对于选项B :取z 1=2+i ,z 2=2−i ,|z 1−z 2|=|2i |=2,而√(z 1+z 2)2−4z 1⋅z 2=√42−4(2+i )(2−i )=√16−20无意义,故选项B 不正确;对于选项C :取z 1=1,z 2=i ,则z 12+z 22=0,但是z 1≠0,z 2≠0,故选项C 不正确;对于选项D :设z 1=a +bi ,(a,b ∈R ),则z 12=(a +bi )2=a 2−b 2+2abi |z 12|=√(a 2−b 2)2+4a 2b 2=√(a 2+b 2)2=a 2+b 2,z 1=a −bi ,|z 1|=√a 2+b 2,所以|z 1|2=a 2+b 2,所以|z 12|=|z 1|2,故选项D 正确.故选:D.7、若复数z 满足z ⋅(2+i)=z ⋅(1−i)+1,则复数z 的实部为( )A .−32B .−1C .−12D .1答案:D分析:利用复数的四则运算以及共轭复数的概念,根据对应相等即可求解.设z =a +bi (a 、b ∈R ),则(a +bi)⋅(2+i)=(a −bi)⋅(1−i)+1,化简得(2a −b)+(a +2b)i =(a −b +1)−(a +b)i ,根据对应相等得:{2a −b =a −b +1a +2b =−(a +b ) ,解得a =1,b =−23,故选:D.8、已知z =a −2+(1+2a)i 的实部与虚部相等,则实数a =( )A .2B .−2C .3D .−3答案:D分析:由题可得a −2=1+2a ,即得.由题可知a −2=1+2a ,解得a =−3.故选:D .9、设复数z 满足z ⋅i =−1+i ,则|z |=( )A .1B .√2C .√5D .√10答案:B分析:利用复数的四则运算以及复数模的运算即可求解.解析因为z =−1+i i =(−1+i )⋅i i ⋅i =−i −1−1=1+i ,所以z =1−i ,|z |=√2.故选:B10、在复平面内,点A(cosθ,sinθ),B(sin(−θ),cos(−θ))分别对应复数z 1,z 2,则z 2z 1=()A .−1B .1C .−iD .i答案:D分析:根据复数几何意义,求得z 1,z 2,再结合复数的除法的运算法则,即可求解.由点A(cosθ,sinθ)和B(sin(−θ),cos(−θ))分别对应复数z1,z2,可得z1=cosθ+i sinθ,z2=sin(−θ)+i cos(−θ)=−sinθ+i cosθ,所以z2z1=−sinθ+i cosθcosθ+i sinθ=(−sinθ+i cosθ)(cosθ−i sinθ)(cosθ+i sinθ)(cosθ−i sinθ)=(sin2θ+cos2θ)icos2θ+sin2θ=i.故选:D.填空题11、设复数z1,z2在复平面内的对应点关于虚轴对称,且z1=1−i(i为虚数单位),则|z12+z2|=______.答案:√10分析:首先根据复数的几何意义得到z2=−1−i,再求|z12+z2|即可.因为复数z1,z2在复平面内的对应点关于虚轴对称,且z1=1−i,所以z2=−1−i.所以|z12+z2|=|(1−i)2+(−1−i)|=|−1−3i|=√10.所以答案是:√1012、若|z1|=|z2|=400,且|z1+z2|=400√3,则|z1−z2|=___________.答案:400分析:根据|z|2=zz̅转化|z1+z2|=400√3,可求得z1z2̅+z2z1̅=4002,同理转化|z1−z2|即可求值.|z1+z2|2=(z1+z2)(z1̅+z2̅)=|z1|2+|z2|2+z1z2̅+z2z1̅=3×4002,又|z1|=|z2|=400,∴z1z2̅+z2z1̅=4002,而|z1−z2|2=(z1−z2)(z1̅−z2̅)=|z1|2+|z2|2−z1z2̅−z2z1̅,∴|z1−z2|2=4002,则|z1−z2|=400.所以答案是:40013、若复数z=a(1+i)+i2013为实数,则实数a=________.答案:−1分析:根据复数代数形式的乘方及加法运算化简,再根据复数的类型求出参数的值.解:因为z=a+a i+i4×503+1=a+(a+1)i为实数,所以a+1=0,即a=−1.所以答案是:−114、设z1=x+2i,z2=3-yi(x,y∈R),且z1+z2=5-6i,则z1-z2=__________答案:-1+10i分析:先利用复数加法运算计算z1+z2,根据题意利用复数相等的定义列方程即得参数x,y,再写出z1,z2,计算z1-z2即可.∵z1+z2=5-6i,∴(x+2i)+(3-yi)=5-6i,即(x+3)+(2−y)i=5−6i,∴{x+3=52−y=−6即{x=2y=8,∴z1=2+2i,z2=3-8i,∴z1-z2=(2+2i)-(3-8i)=-1+10i. 所以答案是:-1+10i.15、计算z=12(−1+√3i)9√3+i)100(1+2√3i)100=_______.答案:-511解析:利用复数的运算公式,化简求值.原式=1212×(−12+√32i)√3)100[−i×(i−2√3)]100=36(−12+√32i)+1(−i)100=−29+1=−511.所以答案是:−511小提示:思路点睛:本题考查复数的n次幂的运算,注意(−12+√32i)3=1,(1+i)2=2i,以及(1+i)12=[(1+i)2]6,等公式化简求值.解答题16、已知复数z=(m−1)+(2m+1)i(m∈R)(1)若z为纯虚数,求实数m的值;(2)若z在复平面内的对应点位于第二象限,求实数m的取值范围及|z|的最小值答案:(1)1;(2)m ∈(−12,1),|z|min =3√55. 解析:(1)利用纯虚数的定义,实部为零,虚部不等于零即可得出.(2)利用复数模的计算公式、几何意义即可得出.解:(1)∵z =(m −1)+(2m +1)i(m ∈R)为纯虚数,∴m −1=0且2m +1≠0∴m =1(2)z 在复平面内的对应点为(m −1,2m +1))由题意:{m −1<02m +1>0,∴ −12<m <1. 即实数m 的取值范围是(−12,1).而|z|=√(m −1)2+(2m +1)2=√5m 2+2m +2=√5(m +15)2+95,当m =−15∈(−12,1)时,|z|min =√95=3√55.17、已知z =1+i ,i 为虚数单位.(1)若ω=z 2+3z̅−4,求|ω|;(2)若z 2+az+bz 2−z+1=1−i ,求实数a ,b 的值.答案:(1)|ω|=√2;(2){a =−1b =2 解析:(1)求出z =1+i 的共轭复数,代入ω=z 2+3z̅−4化简,再求|ω|;(2)根据z 2+az+bz 2−z+1=1−i ,得到(a +b)+(a +2)i =1+i ,列方程组即可求解.(1)已知z =1+i ,∴z̅=1−i ,∴ω=(1+i)2+3(1−i)−4=−1−i ,∴|ω|=√2.(2)∵z 2+az+bz 2−z+1=(a+b)+(a+2)i i =1−i ,∴(a +b)+(a +2)i =1+i ,∴{a +b =1a +2=1,解得{a =−1b =2. 小提示:此题考查复数的基本运算,涉及共轭复数,复数的模长,根据两个复数相等列方程组求解.18、已知复数z =(1+ai )(1+i )+2+4i (a ∈R ).(1)若z 在复平面中所对应的点在直线x −y =0上,求a 的值;(2)求|z −1|的取值范围.答案:(1)a =−1;(2)[7√22,+∞).解析:(1)化简z ,得z 在复平面中所对应的点的坐标,代入直线x −y =0计算;(2)代入模长公式表示出|z −1|,再利用二次函数的性质求解最值即可.(1)化简得z =(1+ai )(1+i )+2+4i =(3−a )+(a +5)i ,所以z 在复平面中所对应的点的坐标为(3−a,a +5),在直线x −y =0上,所以3−a −(a +5)=0,得a =−1.(2)|z −1|=|(2−a)+(a +5)i |=√(2−a)2+(a +5)2=√2a 2+6a +29,因为a ∈R ,且2a 2+6a +29≥492,所以|z −1|=√2a 2+6a +29≥7√22,所以|z −1|的取值范围为[7√22,+∞). 19、复数z =(1+i )m 2+(5−2i )m +(6−15i ).(1)实数m 取什么数时,z 是实数;(2)实数m 取什么数时,z 是纯虚数;(3)实数m 取什么数时,z 对应的点在直线x +y +7=0上.答案:(1)m =5或−3;(2)m =−2;(3)m =12或−2分析:复数z =(1+i)m 2+(5−2i)m +(6−15i)=(m 2+5m +6)+(m 2−2m −15)i .(1)由m 2−2m −15=0,解得m 即可得出.(2)由{m 2+5m +6=0m 2−2m −15≠0 ,解得m 即可得出. (3)由(m 2+5m +6)+(m 2−2m −15)+7=0.解出即可得出.解:复数z=(1+i)m2+(5−2i)m+(6−15i)=(m2+5m+6)+(m2−2m−15)i.(1)由m2−2m−15=0,解得m=5或−3.∴m=5或−3时,复数z为实数.(2)由{m2+5m+6=0m2−2m−15≠0,解得m=−2.∴m=−2时,复数z为纯虚数.(3)由(m2+5m+6)+(m2−2m−15)+7=0.化为:2m2+3m−2=0,解得m=12或−2.∴m=12或−2,z对应点在直线x+y+7=0上.小提示:本题考查了复数的运算法则及其有关概念,考查了推理能力与计算能力,属于中档题.。
第七章 常微分方程(3小题,5分一题)例1、 某二阶常微分方程的下列解中为通解的是()A sin y C x =B 12sin cos yC x C x =+ C sin cos y x x =+D 12()cos C C x + 例2、 (验证)微分方程sin cos cos sin 0x ydy x ydx +=的通解为()(可分离) A sin cos x y C = B cos sin x y C = C sin sin x y C = D cos cos x y C =例3、 (验证)微分方程(2)2x y y x y '-=-的通解为()(齐次)A 22x y C +=B x yC += C 1y x =+D 22x xy y C -+=例4、 通解为x y Ce =的微分方程为()A '0y y +=B '0y y -=C 1yy '=D '10y y -+=例5、 已知微分方程 x e ay y =+'的一个特解为x xe y =,则=a ________. 例6、 求sin cos cos sin 0x ydy x ydx +=的通解。
例7、 求解(2)2x y y x y '-=-。
例8、 (05)求微分方程21)2cos 0x y xy x '++-=(的通解。
解:先说明类型,给出系数()()p x q x,,然后再写出公式,最后求解。
在考试时严格按照步骤写会得高分!例9、 求微分方程22(2)0x dy y xy x dx +--=的通解。
例10、 若连续函数()f x 满足关系式201()()2x f x tf t dt x =+⎰,求()f x 。
例11、 下列微分方程中,可分离变量的方程是(C ) Atan dy y y dx x x =+ B 2220)x y dx xdy +-=( C 220x y x dx e dy y ++= D 2x dy y e dx += 例12、 微分方程122=+dx dy y dxy d 是( ) A . 二阶非线性微分方程 B. 二阶线性微分方程C .一阶非线性微分方程D .一阶线性微分方程 例13、 设某二阶线性微分方程的三个解是21,x x y xe e =+2,x x y xe e -=+23x x x y xe e e -=++,求其通解。
第七章税收征收管理法律制度【典型例题】【例题·单选题】根据税收征收管理法律制度规定,以下不属于税收法律关系主体的是()。
A.扣缴义务人B.纳税人C.征税对象D.海关『正确答案』C『答案解析』本题考核税收法律关系的主体。
税收法律关系的主体分为征税主体和纳税主体。
选项C属于税收法律关系的客体。
【例题·单选题】下列未纳入“五证合一、一照一码”的证件是()。
A.税务登记证B.组织机构代码证C.基本存款账户开户登记证D.统计登记证『正确答案』C『答案解析』本题考核“五证合一”登记制度改革。
五证指工商营业执照、税务登记证、组织机构代码证、统计登记证、社保登记证。
【例题·单选题】根据税收征收管理法律制度的规定,扣缴义务人应当在一定期限内设置代扣代缴、代收代缴税款账簿。
该一定期限是()。
A.自扣缴义务发生之日起10日内B.自扣缴义务发生之日起15日内C.自扣缴义务发生之日起20日内D.自扣缴义务发生之日起30日内『正确答案』A『答案解析』本题考核账簿的设置管理。
根据规定,扣缴义务人应当在自扣缴义务发生之日起10日内设置代扣代缴、代收代缴税款账簿。
【例题·单选题】下列属于专业发票的是()。
A.增值税专用发票B.普通发票C.国有保险企业的保险凭证D.以上都不是『正确答案』C『答案解析』本题考核发票的种类。
发票的种类通常按照行业特点和纳税人的生产经营项目划分为普通发票、增值税专用发票和专业发票三种。
因此ABD选项错误。
保险凭证属于专业发票,C 选项正确。
【例题·单选题】根据税收征收管理法律制度的规定,下列发票的开具和使用行为错误的是()。
A.在特殊情况下由付款方向收款方开具了发票B.开具发票应当按照规定的时限,逐栏、逐联如实开具,并加盖发票专用章C.不拆本使用发票D.不转借、转让、介绍他人转让发票、发票监制章和发票防伪专用品『正确答案』B『答案解析』本题考核发票的开具。
第七章契税【考情分析】2010年2011年2012年题量分值题量分值题量分值单项选择题 2 2 2 2 2 2多项选择题 2 4 2 4 3 6计算题 2 4 ----综合分析题------合计 6 10 4 6 5 8【内容精讲】【考点一·★★】征税范围【考纲要求】掌握【重要内容】略【典型例题1:2010年多选】下列情形中应征收契税的是()。
A.以自有房产作股投入本人经营的独资企业B.非债权人承受破产企业土地和房屋权属C.有限责任公司整体改造为股份有限公司,改建后的公司承受原企业的土地和房屋权属D.国有控股公司以部门资产组建新公司,该国有控股公司占新公司股份90%,新公司承受该国有控股公司的土地和房屋权属『正确答案』B『答案解析』A选项,以自有房产作股投入本人经营企业,免纳契税;B选项,对非债权人承受注销、破产企业土地、房屋权属,凡按照《劳动法》等国家有关法律法规政策妥善安置原企业全部职工,其中与原企业30%以上职工签订服务年限不少于三年的劳动用工合同的,对其承受所购企业的土地、房屋权属,减半征收契税;与原企业全部职工签订服务年限不少于三年的劳动用工合同的,免征契税。
选项C、D都是免征契税的情形。
【典型例题2:应试指南】发生下列经济业务的单位和个人中,应缴纳契税的是()。
A.将房产用于偿债的张先生B.以房屋权属作价投资的某企业集团C.将房产投资于本人独资经营企业的李先生D.购买房产用于翻建新房的严先生『正确答案』D『答案解析』在中华人民共和国境内转移土地、房屋权属,承受的单位和个人为契税的纳税人。
特别注意契税纳税人是买方而不是卖方。
此题中,将房产用于偿债、以房屋权属作价投资均属契税征税范围,但纳税人为土地房屋权属的承受人;选项C是免纳契税的范围;选项D对于买方拆料或翻建新房,应照章征收契税。
【典型例题3:应试指南】下列行为需要征收契税的有()。
A.以获奖方式取得房屋产权B.以房产抵债C.以实物交换房屋D.国有土地使用权出让E.等价交换的房屋『正确答案』ABCD『答案解析』交换房屋的价值相等的不征收契税。
第七章典型题型练习一、选择题1.如果a>1>b,那么下列不等式正确的个数是()①a-b>0,②a-1>1-b,③a-1>b-1,④.A.1B.2C.3D.4.2.关于x的不等式3x-2a≤-2的解集如图所示,则a的值为()A.1B.C.-1D.3.已知不等式组的解集是x>-6,则a的取值范围是()A.a≥-6B.a>-6C.a<-6D.a≤-64.用数轴表示不等式x<2的解集正确的是()A. B.C. D.5.不等式组的解集在数轴上表示是()A. B. C.D.6.若a<b,则下列各式中一定正确的是()A.a-b>0B.a+b>0C.ab>0D.-a>-b7.如果不等式组有解,那么m的取值范围是()A.m>1B.m≤2C.1<m≤2D.m>-28.关于x的一元一次不等式≤-2的解集为x≥4,则m的值为()A.14B.7C.-2D.29.若m<n,下列不等式组无解的是()A. B. C. D.10.如图,天平右盘中的每个砝码的质量为1g,则物体M的质量m(g)的取值范围,在数轴上可表示为()A. B. C.D.11.不等式组的整数解共有4个,则a的取值范围是()A.-3<a<-2B.-4<a≤-2C.-3≤a<-2D.-3<a≤-212.一次智力测验,有20道选择题.评分标准是:对1题给5分,错1题扣2分,不答题不给分也不扣分.小明有两道题未答.至少答对几道题,总分才不会低于60分.则小明至少答对的题数是()A.11道B.12道C.13道D.14道13.某市出租车的收费标准是:起步价8元(即行驶距离不超过3千米都需付8元车费),超过3千米以后,每增加1千米,加收2.6元(不足1千米按1千米计),某人从甲地到乙地经过的路程是x千米,出租车费为21元,那么x的最大值是()A.11B.8C.7D.514.篮球联赛中,每场比赛都要分出胜负,每队胜1场得2分,负1场得1分.某队预计在2016-2017赛季全部32场比赛中最少得到48分,才有希望进入季后赛.假设这个队在将要举行的比赛中胜x场,要达到目标,x应满足的关系式是()A.2x+(32-x)≥48B.2x-(32-x)≥48C.2x+(32-x)≤48D.2x≥4815.某种商品的进价为160元,出售时的标价为240元,后来由于该商品积压,商店准备打折出售,但要保持利润不低于5%,则至多可打()A.6折B.7折C.8折D.9折16.现有43本书,计划分给各学习小组,若每组8本有剩余,每组9本却不足,则学习小组共有()A.4个B.5个C.6个D.7个17.若关于x的不等式组的整数解共有4个,则m的取值范围是()A.6<m<7B.6≤m<7C.6<m≤7D.3≤m<418.已知不等式组有解,则m的取值范围是()A.m>5B.m≥5C.m<5D.m≤5二、填空题19.不等式(a-b)x<a-b的解集是x>1,则a、b的大小关系是:a______b.20.不等式4x-6≥7x-12的非负整数解为______.21.在实数范围内定义一种新运算“⊕”,其运算规则为:a⊕b=2a+3b.如:1⊕5=2×1+3×5=17.则不等式x⊕4<0的解集为______.22.如果5a-3x2+a>1是关于x的一元一次不等式,则其解集为______ .23.已知关于x的方程(a+1)x=2ax-a2的解是负数,那么a的取值范围是______ .24.若关于x的不等式mx-n>0的解集是x<,则关于x的不等式(m-n)x>m+n的解集是______ .25.若不等式组的解集是x>4,则m的取值范围是______.26.爆破施工时,导火索燃烧的速度是0.8m/s,人跑开的速度是5m/s,为了使点火的战士在施工时能跑到100m以外的安全地区,导火索至少需要______m.三、计算题27.解不等式:≤.28.解不等式组:并写出它的所有整数解.29.解不等式组:;并将解集在数轴上表示出来.四、解答题30.小明解不等式-≤1的过程如图.请指出他解答过程中错误步骤的序号,并写出正确的解答过程.31.解不等式:2x-(5-x)(x+1)>x(x+3)+7并求出最大整数解.32.阅读下列材料:在数学综合实践课上,某小组探究了这样一个问题:已知x-y=3,且x>4,y<3,试确定x+y的取值范围.他们是这样解答的:解:⊕x-y=3,⊕x=y+3,又⊕x>4,⊕y+3>4,⊕y>1,又⊕y<3,⊕1<y<3…①,同理可得:4<x<6…②,由①+②得4+1<x+y<3+6⊕x+y的取值范围是5<x+y<9.请仿照上述方法,解决下列问题:已知x+y=2,且x>1,y>-4,试确定x-y的取值范围.33.动漫节开幕前,某动漫公司预测某种动漫玩具能够畅销,就分两批分别用32000元和68000元购进了这种玩具销售,其中第二批购进数量是第一批购进数量的2倍,但每套进价多了10元.(1)该动漫公司这两批各购进多少套玩具?(2)如果这两批玩具每套售价相同,且全部销售后总利润不少于20000元,那么每套售价至少是多少元?34.已知购买1个足球和1个篮球共需130元,购买2个足球和3个篮球共需340元.(1)求每个足球和每个篮球的售价;(2)如果某校计划购买这两种球共54个,总费用不超过4000元,问最多可买多少个篮球?35.我校为了扩建校园,施工队用若干辆载重量为8t的汽车转运一批土石方,若每辆车只装4t,则剩下12t土石方;若每辆车装满8t,则最后一辆车不满也不空.学了不等式,相信你一定能行!请求出有多少辆车运这批土石方?土石方的总方量又有多少?36.某公交公司有A、B两种客车,它们的载客数量和租金如表;A B载客量(人/辆)4530租金(元/辆)400280红星中学根据实际情况,计划租用A,B型客车共5辆,同时送八年级师生到基地校参加社会实践活动,设租用A型客车x辆,根据要求回答下列问题;(1)用含x的式子填写表格车辆数(辆)载客量租金(元)A x45x400xB5-x______ ______(2)若要保证租车费用不超过1900元,求x的最大值;(3)在(2)的条件下,若七年级师生共有195人,写出所有可能的租车方案,并确定最省钱的租车方案.37.现要把192吨物资从我市运往甲、乙两地,用大、小两种货车共18辆恰好能一次性运完这批物资.已知这两种货车的载重量分别为14吨/辆和8吨/辆,运往甲、乙两地的运费如表:运往地甲地(元/辆)乙地(元/辆)车型大货车720800小货车500650(1)求这两种货车各用多少辆?(2)如果安排10辆货车前往甲地,其余货车前往乙地,其中前往甲地的大货车为a辆,前往甲、乙两地的总运费为w元,求出w与a的函数关系式;(3)在(2)的条件下,若运往甲地的物资不少于96吨,请你设计出使总运费最低的货车调配方案,并求出最少总运费.38.把一批书分给小朋友,每人4本,则余9本;每人6本,则最后一个小朋友得到书且不足3本,这批书有多少本?39.已知2a-3x+1=0,3b-2x-16=0,且a≤4<b,求整数x的值.。
第七章 机械能同步练习(一)例1 以20m/s 的速度将一物体竖直上抛,若忽略空气阻力,g 取10m/s 2,试求: (1) 物体上升的最大高度;(2) 以水平地面为参考平面,物体在上升过程中重力势能和动能相等的位置。
解析 (1) 设物体上升的最大高度为H ,在物体整个上升过程中应用机械能守恒定律,有2021mv mgH =, 解得102202220⨯==g v H m=20m 。
(2) 设物体重力势能和动能相等的位置距地面的高度为h ,此时物体的速度为v ,则有221mv mgh =。
在物体被抛出到运动至该位置的过程中应用机械能守恒定律,有2022121mv mv mgh =+。
由以上两式解得104204220⨯==g v h m=10m. 点拨 应用机械能守恒定律时,正确选取研究对象和研究过程,明确初、末状态的动能和势能,是解决问题的关键。
本题第(2)问也可在物体从重力势能与动能相等的位置运动至最高点的过程中应用机械能守恒定律,由221mv mgh =,mgH mv mgh =+221, 解得 2202==H h m=10m 。
例2 如图所示,总长为L 的光滑匀质铁链跨过一个光滑的轻小滑轮,开始时下端A 、B 相平齐,当略有扰动时其一端下落,则当铁链刚脱离滑轮的瞬间,铁链的速度为多大?解析 这里提供两种解法。
解法一(利用E 2=E 1求解):设铁链单位长度的质量为ρ,且选取初始位置铁链的下端A 、B 所在的水平面为参考平面,则铁链初态的机械能为 21414gL L Lg E ρρ=⋅=, 末态的机械能为 2222121Lv mv E ρ==.根据机械能守恒定律有 E 2=E 1, 即224121gL Lv ρρ=,解得铁链刚脱离滑轮时的速度 2gLv =。
解法二(利用△E k =-△E p 求解):如图所示,铁链刚离开滑轮时,相当于原来的BB ’部分移到了AA ’的位置。
重力势能的减少量241221gL L Lg E p ρρ=⋅=∆-, 动能的增加量 221Lv E k ρ=∆。
第七章圆的周长和面积
一、典型例题
1、一个半径10米的圆形花坛,它的占地面积是多少?在它的一周围一圈篱笆,篱笆长多少米?
思路点拨:圆的面积公式:S=πr2,圆的周长公式:C=2πr,根据公式可以做出来。
解答:
S=π102C=2πr
=3.14×100 =2×3.14×10
=314(平方米) =62.8(米)
答:它的占地面积是314平方米,篱笆长62.8米。
二、知识运用
1、一根长5米的绳子系着一只羊,栓在草地中央的树桩上,羊吃草的面积最多是多少平方米?
2、一种麦田的自动旋转喷灌器的射程是10米,它能喷灌的面积多少平方米?
3、求右图阴影部分面积:(单位:厘米)
4、一元硬币的半径是1.2厘米,求它的周长和面积。
5、用一块边长6分米的正方形纸剪一个最大的圆,圆的面积是多少?
6、用26米长的篱笆围成一个圆形苗圃,篱笆接头处用去0.88米。
苗圃的面积多少?
7、在长6分米,宽4分米的长方形中画一个最大的圆,圆的周长和面积各是多少?
8、求各图的周长和面积:(单位:米)。
高中数学第七章复数典型例题单选题1、已知复数z 1﹑z 2满足|z 1−z 2|=r (r >0),复数ωi (1≤i ≤n,n ∈N ∗)满足|ωi −z 1|=r 或者|ωi −z 2|=r ,且|ωi −ωj |≥r 对任意1≤i <j ≤n 成立,则正整数n 的最大值为( )A .6B .8C .10D .12答案:C解析:用向量OA ⃗⃗⃗⃗⃗ ,OB ⃗⃗⃗⃗⃗ 表示z 1⃗⃗⃗ ,z 2⃗⃗⃗ ,根据题意,可得|OA ⃗⃗⃗⃗⃗ −OB ⃗⃗⃗⃗⃗ |=|BA ⃗⃗⃗⃗⃗ |=r ,因为|ωi −z 1|=r 或者|ωi −z 2|=r ,根据其几何意义可得ωi 的终点的轨迹,且满足条件的终点个数即为n ,数形结合,即可得答案.用向量OA ⃗⃗⃗⃗⃗ ,OB ⃗⃗⃗⃗⃗ 表示z 1⃗⃗⃗ ,z 2⃗⃗⃗ ,因为|z 1−z 2|=r (r >0),所以|OA ⃗⃗⃗⃗⃗ −OB ⃗⃗⃗⃗⃗ |=|BA⃗⃗⃗⃗⃗ |=r , 又ωi (1≤i ≤n,n ∈N ∗)满足|ωi −z 1|=r 或者|ωi −z 2|=r ,则ωi 可表示以O 为起点,终点在以A 为圆心,半径为r 的圆上的向量,或终点在以B 为圆心,半径为r 的圆上的向量,则终点可能的个数即为n ,因为|ωi −ωj |≥r ,所以在同一个圆上的两个点,形成的最小圆心角为60°,如图所示,则最多有10个可能的终点,即n =10.故选:C小提示:解题的关键是根据所给条件的几何意义,得到ωi 的终点轨迹,根据条件,数形结合,即可得答案,考查分析理解,数形结合的能力,属中档题.2、已知正三角形ABC 的边长为4,点P 在边BC 上,则AP⃗⃗⃗⃗⃗ ⋅BP ⃗⃗⃗⃗⃗ 的最小值为( ) A .2B .1C .−2D .−1答案:D分析:选基底,用基向量表示出所求,由二次函数知识可得.记|BP⃗⃗⃗⃗⃗ |=x ,x ∈[0,4] 因为AP⃗⃗⃗⃗⃗ =BP ⃗⃗⃗⃗⃗ −BA ⃗⃗⃗⃗⃗ , 所以AP⃗⃗⃗⃗⃗ ⋅BP ⃗⃗⃗⃗⃗ =BP ⃗⃗⃗⃗⃗ 2−BA ⃗⃗⃗⃗⃗ ⋅BP ⃗⃗⃗⃗⃗ =|BP ⃗⃗⃗⃗⃗ |2−2|BP ⃗⃗⃗⃗⃗ |=x 2−2x =(x −1)2−1≥−1. 故选:D3、复平面中的下列哪个向量对应的复数是纯虚数( )A .OA ⃗⃗⃗⃗⃗ =(1,2)B .OB ⃗⃗⃗⃗⃗ =(-3,0)C .OC ⃗⃗⃗⃗⃗ =(0,23)D .OD ⃗⃗⃗⃗⃗⃗ =(-1,-2) 答案:C分析:结合纯虚数概念判断即可向量OC ⃗⃗⃗⃗⃗ =(0,23)对应的复数为23i ,是纯虚数. 故选:C4、已知a,b ∈R ,a 1+i +b 1−i =1,则a +2b =( )A .3B .√3C .√2D .1答案:A分析:等式两边同乘(1+i)(1−i),整理化简后利用复数相等的条件可求得a +2b 的值因为a 1+i +b 1−i =1 ,所以a(1−i)+b(1+i)=(1+i)(1−i)=1−i 2=2即(a +b)+(b −a)i =2所以{a +b =2b −a =0 解得{a =1b =1 ,所以a +2b =3故选:A5、设π<θ<5π4,则复数cos2θ+isin2θcosθ−isinθ的辐角主值为( )A .2π−3θB .3θ−2πC .3θD .3θ−π答案:B分析:根据复数三角形式下的乘除运算及辐角的定义即可求解.解:cos2θ+isin2θcosθ−isinθ=cos2θ+isin2θcos(−θ)+isin(−θ)=cos3θ+isin3θ,因为π<θ<5π4,所以3π<3θ<15π4,所以π<3θ−2π<7π4,所以该复数的辐角主值为3θ−2π.故选:B.6、复数z =−2+i 2049的共轭复数z =( )A .12+i 2B .12−i 2C .−2−iD .−2+i答案:C分析:先由复数的运算可得z =−2+i ,然后求其共轭复数即可.解:因为z =−2+i 2049=−2+(i 4)512⋅i =−2+i ,则z =−2−i ,故选:C.7、设(1+i)x =1+yi ,其中i 为虚数单位,x,y 是实数,则|x +yi |=()A .1B .√2C .√3D .2答案:B分析:先利用复数相等求得x ,y ,再利用复数的模公式求解.因为(1+i)x =1+yi ,所以{x =1y =x ,解得{x =1y =1,所以|x+yi|=√x2+y2=√2.故选:B.8、已知i是虚数单位,则复数z=2−i20202+i2021对应的点所在的象限是()A.第一象限B.第二象限C.第三象限D.第四象限答案:D分析:先化简i2020,i2021,再利用复数的除法化简得解.z=2−i20202+i2021=12+i=2−i(2+i)(2−i)=2−i5.所以复数对应的点(25,−15)在第四象限,故选:D小提示:名师点评复数z=x+yi(x,y∈R)对应的点为(x,y),点(x,y)在第几象限,复数对应的点就在第几象限.多选题9、下列说法中正确的有()A.若a∈R,则(a+1)i是纯虚数B.若x2−1+(x2+3x+2)i是纯虚数,则实数x=±1C.若a≤0,则z=a2−b2+(a+|a|)i(a,b∈R)为实数D.若a,b∈R,且a>b,则bi2>ai2答案:CD分析:根据复数的基本概念与分类,逐项判定,即可求解.对于A中,当a=−1,可得的(a+1)i=0不是纯虚数,故A错误;对于B中,当x=−1,可得x2+3x+2=0,此时x2−1+(x2+3x+2)i=0不是纯虚数,所以B错误;对于C中,当a≤0时,可得|a|+a=0,所以z=a2−b2为实数,所以C正确;对于D中,由i2=−1,且a>b,所以bi2>ai2,所以D正确.故选:CD10、设复数z=1a+2i(a∈R),当a变化时,下列结论正确的是()A .|z |=|z |恒成立B .z 可能是纯虚数C .z +1z 可能是实数D .|z |的最大值为12 答案:ABD分析:首先根据题意得到z =a a 2+4−2a 2+4i ,再结合复数的定义和运算性质依次判断选项即可.z =1a+2i =a−2i (a+2i )(a−2i )=a a 2+4−2a 2+4i , 对选项A ,z =a a 2+4+2a 2+4i ,|z |=|z |=√a 2(a 2+4)2+4(a 2+4)2,故A 正确.对选项B ,z =aa 2+4−2a 2+4i , 当a =0时,z =−12i 为纯虚数,故B 正确.对选项C ,z +1z =a a 2+4−2a 2+4i +a +2i =(a a 2+4+a)+(2−2a 2+4)i令2−2a 2+4=0,即a 2+3=0无解,故C 错误.对选项D ,|z |2=a 2(a 2+4)2+4(a 2+4)2=1a 2+4≤14,当且仅当a =0时取等号.所以|z |的最大值为12,故D 正确.故选:ABD11、下列命题中正确的有( )A .若复数z 满足1z ∈R ,则z ∈R ;B .若复数z 满足z 2∈R ,则z ∈R ;C .若复数z 1,z 2满足z 1z 2∈R ,则z 1=z 2;D .若复数z ∈R ,则z ∈R .答案:AD分析:根据复数的运算性质,即可判定A 正确;取z =i ,可判定B 不正确;取z 1=1+i,z 2=2−2i ,可判断C 不正确;根据复数的运算法则,可判定D 正确.对于A 中,设复数z =a +bi,(a,b ∈R),可得1z=a−bi (a+bi )(a−bi )=a a 2+b 2−b a 2+b 2i , 因为1z ∈R ,可得b =0,所以z =a ∈R ,所以A 正确;对于B中,取z=i,可得z2=−1,所以B不正确;对于C中,例如:z1=1+i,z2=2−2i,则z1z2=(1+i)×2(1−i)=4∈R,此时z1≠z2,所以C不正确;对于D中,设z=a+bi,(a,b∈R),由z∈R,可得b=0,即z=a,可得z=a∈R,所以D正确.故选:AD12、已知复数z1=6a+2+(a2−2)i,z2=1−ai(a∈R),若z1+z2为实数,则()A.a=1B.z1z1=√5C.z26为纯虚数D.z1z2对应的点位于第二象限答案:AC分析:先求出z1+z2,再由其为实数可求出a的值,然后逐个分析判断即可因为z1=6a+2+(a2−2)i,z2=1−ai(a∈R),所以z1+z2=6a+2+(a2−2)i+1+ai=a+8a+2+(a2+a−2)i,因为z1+z2为实数,所以{a 2+a−2=0a+2≠0,解得a=1,所以A正确,z1=2−i,z2=1−i,所以z1z1=(2−i)(2+i)=5,所以B错误,z26=(1−i)6=[(1−i)2]3=(−2i)3=8i为纯虚数,所以C正确,z1 z2=2−i1−i=(2−i)(1+i)(1−i)(1+i)=2+2i−i−i22=32+12i,其在复平面内对应的点在第一象限,所以D错误,故选:AC13、若z−z=−14i,|z|=5√2,则z可能为()A.1−7i B.1+7i C.−1−7i D.−1+7i答案:AC分析:待定系数法设复数,列方程组后求解设z=a+bi(a,b∈R),则z=a−bi,由题意可得{z−z=2bi=−14i, |z|=√a2+b2=5√2,解得{b =−7,a =1或{b =−7,a =−1,所以z =1−7i 或−1−7i . 故选:AC填空题14、已知|z −1−i |=1,则|z +i |的取值范围是_____________;答案:[√5−1,√5+1]分析:利用复数的几何意义求解,|z −1−i |=1表示复平面内到点(1,1)距离为1的所有复数对应的点,|z +i |表示复平面内到点(0,−1)的距离,结合两点间距离公式可求范围.因为在复平面内,|z −1−i |=1表示复平面内到点(1,1)距离为1的所有复数对应的点,即复数z 对应的点都在以(1,1)为圆心,半径为1的圆上;|z +i |表示复平面内的点到点(0,−1)的距离,最小值为√(0−1)2+(−1−1)2−1=√5−1,最大值为√(0−1)2+(−1−1)2+1=√5+1,所以|z +i |的取值范围是[√5−1,√5+1].所以答案是:[√5−1,√5+1].小提示:名师点评本题考查复数的模,复数的几何意义,复数的几何意义是复平面内两点之间的距离公式,若z =x +yi ,则|z −a −bi |表示复平面内点(x,y)与点(a,b)之间的距离,|z −a −bi |=r 表示以(a,b)为圆心,以r 为半径的圆上的点.15、复数z 1,z 2满足:|z 1|=3,|z 2|=4,|z 1+z 2|=5,则|z 1−z 2|=______.答案:5分析:根据给定条件,结合复数模公式计算作答.设复数z 1=a +bi,z 2=c +di,a,b,c,d ∈R ,z 1+z 2=(a +c)+(b +d)i ,z 1−z 2=(a −c)+(b −d)i , 由|z 1|=3得a 2+b 2=9,由|z 2|=4得c 2+d 2=16,由|z 1+z 2|=5得(a +c)2+(b +d)2=25,因此ac +bd =0,所以|z 1−z 2|=√(a −c)2+(b −d)2=√a 2+b 2−2(ac +bd)+c 2+d 2=5所以答案是:516、已知a 为实数,若复数z =(a 2−3a −4)+(a −4)i 为纯虚数,则a =________.答案:−1分析:根据纯虚数的定义列出方程,解得,即可得出答案.解:若复数z =(a 2−3a −4)+(a −4)i 是纯虚数,则{a 2−3a −4=0a −4≠0,解得a =−1. 所以答案是:−1.解答题17、已知复数z 1=2−5i ,z 2=1+(2cosθ)i .(1)求z 1⋅z 1;(2)复数z 1,z 2对应的向量分别是OZ 1⃗⃗⃗⃗⃗⃗⃗ ,OZ 2⃗⃗⃗⃗⃗⃗⃗ ,其中O 为坐标原点,当θ=π3时,求OZ 1⃗⃗⃗⃗⃗⃗⃗ ⋅OZ 2⃗⃗⃗⃗⃗⃗⃗ 的值.答案:(1)29;(2)-3.分析:(1)求出z 1,再利用复数乘法运算计算作答.(2)根据给定条件,求出OZ 1⃗⃗⃗⃗⃗⃗⃗ ,OZ 2⃗⃗⃗⃗⃗⃗⃗ 的坐标,再利用向量数量积的坐标表示计算作答.(1)因复数z 1=2−5i ,则z 1=2+5i ,所以z 1⋅z 1=(2−5i)(2+5i)=29.(2)依题意,OZ 1⃗⃗⃗⃗⃗⃗⃗ =(2,−5),当θ=π3时,OZ 2⃗⃗⃗⃗⃗⃗⃗ =(1,2cosθ)=(1,1), 所以OZ 1⃗⃗⃗⃗⃗⃗⃗ ⋅OZ 2⃗⃗⃗⃗⃗⃗⃗ =2×1+(−5)×1=−3.18、对任意的复数z =x +yi(x 、y ∈R),定义运算P (z )=x 2[cos (yπ)+isin (yπ)].则直线l :x −y −9=0上是否存在整点(x,y )(x 、y 均为整数的点),使得复数z =x +yi(x 、y ∈R)经运算P 后,P (z )对应的点也在直线l 上?若存在,求出所有的点;若不存在,请说明理由.答案:存在满足条件的整点(3,−6)、(−3,−12).分析:写出P(z)对应点坐标为(x 2cos(yπ),x 2sin(yπ)),根据所给的条件得到关系式,根据三角函数的值讨论出对应的复数.解:P(z)对应点坐标为(x 2cos(yπ),x 2sin(yπ))由题意{y=x−9x2sinyπ=x2cosyπ−9x,y∈Z,得x2sin(xπ−9π)=x2cos(xπ−9π)−9∴x2sinxπ=x2cosxπ+9,∵x∈Z,∴①当x=2k,k∈Z时,得x2+9=0不成立;②当x=2k+1,k∈Z时,得x2−9=0,∴x=±3成立,此时{x=3y=−6或{x=−3y=−12,故存在满足条件的整点(3,−6)、(−3,−12).。
第七章 复数 典型例题 题型一:复数的实部与虚部1.若复数z 满足()1i 1i z +=+,则z 的虚部为( )A .2i −B .2−C .22−D .22.已知复数z 满足()()3i 2i 5i z −⋅−=,则z 的虚部为( )A .5i −B .5iC .5−D .5 3.已知复数z 满足()2i 43i z +=+(i 为虚数单位),则z 的虚部为__________.题型二:根据复数相等求参数1.复数z 满足84i z z +=−,则复数z =( )A .42i −B .42i +C .34i −D .34i + 2.若2i i(,,)1i a x y a x y +=+∈+R ,且1xy ,则实数a 的取值范围是( ) A .(22,)+∞B .(,22)2,)−∞−⋃+∞C .(22,2)(22,)−⋃+∞D .(,2)(2,)−∞−+∞3.复数z 满足()2i 4z z +=−,则z =( )A .3i +B .3i −−C .1i −+D .1i −−题型三:根据复数类型求参数1.已知复数z 为纯虚数,若()2i i z a −=+(其中i 为虚数单位),则实数a 的值为___________.2.当m 为何实数时,复数z =263m m m −−++(m 2-2m -15)i. (1)是虚数;(2)是纯虚数.3.已知实部为3−的复数z 满足()1i 1i z a +=−(a R ∈,i 为虚数单位). (1)求z ;(2)若()()22159211i z z m m m m =++++−−为纯虚数,求实数m 的值.4.已知复数()()2227656i 1m m z m m m m −+=+−−∈−R ,试求实数m 的值或取值范围,使得z 分别为:(1)实数;(2)虚数;(3)纯虚数.题型四:复数的几何意义1.设复数3i1i z −+=−,则在复平面内z 的共轭复数对应的点位于( )A .第一象限B .第二象限C .第三象限D .第四象限 2.已知202120221i i 1i z +⎛⎫=+ ⎪−⎝⎭,则在复平面内,复数z 所对应的点位于( )A .第一象限B .第二象限C .第三象限D .第四象限 3.若复数z 满足i 3i z ⋅,则z 在复平面内对应的点位于( ) A .第一象限 B .第二象限C .第三象限D .第四象限题型五:复数求模1.已知非零复数z 满足()222i ||z z ⋅+=,则z =( )A .22i +B .22i −C .22i −+D .22i −− 2.已知1i z =+,则i z z +=( )A .2B .22C 2D 33.若复数1i 2z b =+(b R ∈,i 为虚数单位)满足z z b ⋅=−,其中z 为z 的共扼复数,则12i z+的值为()A 2B 2C .1D 104.已知复数z 满足20211()i i z +=,则z =( )A 2B .1C 2D .12题型六:复数的四则运算1.设i 是虚数单位,z 是复数z 的共轭复数,若22z zi z ⋅+=,则z =A .1i +B .1i −C .1i −+D .1i −− 2.i 是虚数单位,复数12aii +−为纯虚数,则实数a 为( )A .2B .2−C .12−D .12 3.i 为虚数单位,则()2011=( ) A .﹣iB .﹣1C .iD .1 4.已知2a i b i i +=+ ,,a b ∈R ,其中i 为虚数单位,则+a b =( ) A .-1 B .1 C .2 D .3 5.复数(12)(3),z i i =+−其中i 为虚数单位,则z 的实部是________________.。
第七章假设检验典型例题2-512-52.12610.14077.8661020.1385,7.110.0.05.12X S Y S α==⨯==⨯=个生产线生产的电子器件的电阻都服从正态分布现从号线和号线的产品中分别随机抽取了只,测得号线的电阻的样本均值,样本方差为,号线的样本均值为样本方差为设显著性水平()两个生产线的电子器件的电阻的方差是否相同?()这两个生0.0250.0250.050.050.0250.05((6,6) 5.82,(5,5)7.15,(6,6) 4.28,(5,5) 5.05,(10) 2.2281,(10) 1.8125)F F F F t t ======产线的电子器件的平均电阻有无显著差异?221122(,),(,).N N μσμσ设两个生产线生产的电子器件的电阻分别服从分布解 2222012112(1):,:H H σσσσ=≠2122S F S =检验统计量为,012~(1,1)H F F n n --为真.1212122(1,1)(1,1).F F n n F F n n αα-≥--≤--拒绝域为或126,n n ==2517.86610,S -=⨯2527.110,S -=⨯0.025(5,5)7.15,F =0.9751(5,5)0.14,7.15F ==21221.1079,S F S ==0.147.15,F <<显然0.H 所以接受,即认为两总体的方差相等2-512-52.12610.14077.8661020.1385,7.110.0.05.12X S Y S α==⨯==⨯=个生产线生产的电子器件的电阻都服从正态分布现从号线和号线的产品中分别随机抽取了只,测得号线的电阻的样本均值,样本方差为,号线的样本均值为样本方差为设显著性水平()两个生产线的电子器件的电阻的方差是否相同?()这两个生0.0250.0250.050.050.0250.05((6,6) 5.82,(5,5)7.15,(6,6) 4.28,(5,5) 5.05,(10) 2.2281,(10) 1.8125)F F F F t t ======产线的电子器件的平均电阻有无显著差异?221122(,),(,).N N μσμσ设两个生产线生产的电子器件的电阻分别服从分布解 012112(2):,:H H μμμμ=≠1211w X YT S n n -=+检验统计量,012~(2),H T t n n +-为真122(2)T t n n α≥+-拒绝域为,0.1385,Y =222112212(1)(1)S .2wn S n S n n -+-=+-0.4405,t =0.025(10)t t ≤所以,0.025(10) 2.2281,t =0,.H 接受即认为两批电阻的均值无显著差异0.1407,X =126,n n ==2517.86610,S -=⨯2527.110,S -=⨯21220.0250.0250.050.,.174()1575144()s 1923.10.05?20.05?((6,6) 5.82,(5,5)7.15,(6,6) 4.28,x y X Y x s y F F F F αμμα=========体都服从正态分布测试结果经计算为:单位,;单位,试问:()两种材料的方差是否相等() ()两种材料的均值是否比大()050.0250.05(5,5) 5.05,(10) 2.2281,(10) 1.8125)t t ===22(,),(,)x x y yN N μσμσ设两个正态总体分别为.解222201(1):,:.x y x y H H σσσσ=≠2122S F S =检验统计量为,22s 1923.=21220.819,S F S ==211575,s=012~(1,1)H F F n n --为真.1212122(1,1)(1,1).F F n n F Fn n αα-≥--≤--拒绝域为或0.025(5,5)7.15,F =0.9751(5,5)0.14,7.15F ==0.147.15,F <<显然0.H 所以接受,即认为两总体的方差相等01(2):,:.x y x y H H μμμμ≤>21220.0250.0250.050.,.174()1575144()s 1923.10.05?20.05?((6,6) 5.82,(5,5)7.15,(6,6) 4.28,x y X Y x s y F F F F αμμα=========体都服从正态分布测试结果经计算为:单位,;单位,试问:()两种材料的方差是否相等() ()两种材料的均值是否比大()050.0250.05(5,5) 5.05,(10) 2.2281,(10) 1.8125)t t ===22(,),(,)x x y yN N μσμσ设两个正态总体分别为.解 1211w X YT S n n -=+检验统计量,12~(2),x yT t n n μμ=+-12(2).T t n n α≥+-拒绝域为144,y =222112212(1)(1)S .2w n S n S n n -+-=+-1.2425,t =0.05(10)t t ≤所以,0.05(10) 1.8125,t =0,.x y H μμ接受即认为没有比大174,x =126,n n ==211575,s =221923,s =0.0250.025164865.23254.244635.76262.141(0.05)20.95.(20,15) 2.76,(15F F α==名女职员的工资,得到男职员的月平均工资元,样本方差为; 女职员的月平均工资元,样本方差为.()检验男女职员的工资是否服从相同的正态分布?()就女职员的工资观测值,求总体均值的置信度为的置信区间(0.0250.025,20) 2.57,(35) 2.03,(15) 2.1315t t ===)221122~(,)~(,)X N Y N μσμσ设男职员工资,女职员工资.解 2222012112::.H H σσσσ=≠(1)先检验,2122,S F S =选取统计量0.025(20,15) 2.76F =,0.9750.02511(20,15)0.389,(15,20) 2.57F F ===012~(1,1)H F F n n --为真.1212122(1,1)(1,1).F F n n F F n n αα-≥--≤--拒绝域为或254.240.97262.14F ==,0.389 2.76F <<,0.H 故接受假设,即男女职员月平均工资的方差没有显著差异1221,16,n n ==012112:,:.H H μμμμ=≠再检验0.0250.025164865.23254.244635.76262.141(0.05)20.95.(20,15) 2.76,(15F F α==名女职员的工资,得到男职员的月平均工资元,样本方差为; 女职员的月平均工资元,样本方差为.()检验男女职员的工资是否服从相同的正态分布?()就女职员的工资观测值,求总体均值的置信度为的置信区间(0.0250.025,20) 2.57,(35) 2.03,(15) 2.1315t t ===)221122~(,)~(,)X N Y N μσμσ设男职员工资,女职员工资.解 222112212(1)(1)S .2wn S n S n n -+-=+-012~(2),H T t n n +-为真122(2)T t n n α≥+-拒绝域为,1211w X Y T S n n -=+检验统计量,4865.234635.76||||43.083 2.030,20254.2315262.1411352116t -==>⨯+⨯⨯+0.025(35) 2.030t =,0.H 故拒绝原假设,即男女职员月平均工资有显著差异.综上,男女职员的月平均工资不服从相同的正态分布0.0250.025164865.23254.244635.76262.141(0.05)20.95.(20,15) 2.76,(15F F α==名女职员的工资,得到男职员的月平均工资元,样本方差为; 女职员的月平均工资元,样本方差为.()检验男女职员的工资是否服从相同的正态分布?()就女职员的工资观测值,求总体均值的置信度为的置信区间(0.0250.025,20) 2.57,(35) 2.03,(15) 2.1315t t ===)221122~(,)~(,)X N Y N μσμσ设男职员工资,女职员工资.解 210.950.95αμ-=(2)当置信度时,的置信度为的置信区间为22222222((1),(1))S S Y t n Y t n n n αα--+-262.14262.14(4635.76 2.1315,4635.76 2.1315)1616=-⨯+⨯(4627.13,4644.39)=()()20.0252220.0250.9750.0250.05(10,0.3)1610.040.280.05.(15) 2.1315,(15)27.488,(15) 6.262,15 2.1315,1524.996N x s t t αχχχ========.现从包装好的面粉中随机抽取袋称其重量,经计算得样本均值,样本标准差.试在下检验这天包装机是否正常()2222220010:0.3:0.3.H H σσσσ≤=>=检验假设,解 2220(1)n Sχσ-=选取统计量,22222020(1)~(1).n Sn σσχχσ-==-当时,22(1).n αχχ≥-拒绝域为20.05(15)24.996χ=.2220(1)13.07,n s χσ-==13.0724.996<而,0.H 故接受假设01:10,:10.H H μμ=≠再检验假设(10)n X T S-=选取统计量,0(10),~(1),n X H T t n S -=-当原假设为真时2||(1).t t n α>-拒绝域为0.H 故接受原假设16(10.0410)0.570.28t -==又,.综上,认为该包装机这天正常0.025(15) 2.1315t =,()()20.0252220.0250.9750.0250.05(10,0.3)1610.040.280.05.(15) 2.1315,(15)27.488,(15) 6.262,15 2.1315,1524.996N x s t t αχχχ========.现从包装好的面粉中随机抽取袋称其重量,经计算得样本均值,样本标准差.试在下检验这天包装机是否正常()解 2222220010:0.3:0.3.H H σσσσ≤=>=检验假设,0.H 故接受假设20.050.0250.8250.770.06.10.05295%.((24) 1.7109,(24t αχ==的平均电流消耗为安培.现在用新方法生产了一批马达,从中随机取只,测得电流消耗的样本均值为安培,样本标准差为安培()这批马达比以往生产马达的平均电流消耗是否有显著降低()?()当平均电流消耗未知时,求方差的置信度为的置信区间20.975)39.364,(24)12.401).χ==01:0.8:0.8.H H μμ≥<(1)检验假设,解0.825(0.8)~(24)X T t Sμ=-=检验统计量,25(0.8)(24).X T t Sα-=<-拒绝域为25,0.77,0.06n x s ===25(0.770.8)2.50.06t -==-0.051.7109(24),t <-=-0H 故拒绝,.即认为这批马达比以往生产马达的平均电流消耗有显著降低20.050.0250.8250.770.06.10.05295%.((24) 1.7109,(24t αχ==的平均电流消耗为安培.现在用新方法生产了一批马达,从中随机取只,测得电流消耗的样本均值为安培,样本标准差为安培()这批马达比以往生产马达的平均电流消耗是否有显著降低()?()当平均电流消耗未知时,求方差的置信度为的置信区间20.975)39.364,(24)12.401).χ==解 2(2)1σα-的置信度为的置信区间为()()()()222212211,,11n S n S n n ααχχ-⎛⎫-- ⎪ ⎪-- ⎪⎝⎭295%σ所以的置信度为置信区间为22240.06240.06,(0.00219,0.00697).39.36412.401⎛⎫⨯⨯= ⎪⎝⎭0.0250.050.17400540.05 1.96, 1.645u u α===某种产品的次品率一直是.现对此产品进行新工艺试验,从中抽取件检验,发现有次品件,能否认为这项新工艺显著的提高产品的质量()?()解 (0)1P X p ==-.EX p =由于要检验的参数是总体均值,0010:,:.H p p H p p ≥<检验(1),P X p ==即(1,)X B p 总体的分布是两点分布,因此利用样本均值构造检验统计量000000().(1)(1)X p n X p U p p p p n--==--X p 由于是的无偏估计量,0H u 所以当为真时,应偏大.1H u 当为真时应偏小,.u k k ≤-拒绝域的形式为:,待定,k α给定要确定临界值,0.p p U =需在下导出的分布.此分布虽然容易导出,但不便应用~(0,1)n U N 近似由中心极限定理知,当很大时,,00().(1)n x p u u p p α-=≤--拒绝域:0.05 1.645,u =1.864 1.645u =-<-所以,0.H 故拒绝,即认为这项新工艺提高产品的质量00.17,p = 1.864,u =-540.135,400x ==例6221122~(,)~(,).XN Y N μσμσ设一号方案的产量,二号方案的产量解 2222012112:,:.H H σσσσ=≠为了选择合适的枢轴量,先对方差做假设检验2122SF S=检验统计量为,012~(1,1),H F F n n --为真1212122(1,1)(1,1).F F n n F F n n αα-≥--≤--拒绝域为或112.0705,s =128,n n ==210.1057,s = 1.4267F =,0.05(7,7) 3.79,F =0.950.0511(7,7)0.2639,(7,7) 3.79F F ===0.2639 3.79,F <<22012.H σσ=故接受,即认为120.0250.08881.625,12.070575.875,10.1057.90%.(14) 2.1448x s y s t t =====块地段,在各个试验地段,按两种方案种植作物,这块地段的单位面积产量的样本均值与样本标准差分别为: 一号方案:; 二号方案:假设这两种方案的产量都服从正态分布,试求两种方案平均产量差的置信度为的置信区间(,50.050.05(14) 1.7613(7,7) 3.79(8,8) 3.44F F ===,,)120.0250.08881.625,12.070575.875,10.1057.90%.(14) 2.1448x s y s t t =====块地段,在各个试验地段,按两种方案种植作物,这块地段的单位面积产量的样本均值与样本标准差分别为: 一号方案:; 二号方案:假设这两种方案的产量都服从正态分布,试求两种方案平均产量差的置信度为的置信区间(,50.050.05(14) 1.7613(7,7) 3.79(8,8) 3.44F F ===,,)221122~(,)~(,).X N Y N μσμσ设一号方案的产量,二号方案的产量解 2212σσ=在未知的情况下,121.μμα--求的置信度为的置信区间121212()~(2)11w X Y T t n n S n n μμ---=+-+枢轴量为,222112212(1)(1).2w n S n S S n n -+-=+-121μμα--所以的置信度为的置信区间为12121212221111(2),(2)ww X Y S t n n X Y S t n n n n n n αα⎛⎫--++--+++- ⎪⎝⎭( 4.7298,16.2298).=-11201121201,(,),0:1,:2{(,):34}..x x X f x X X H H X X X X θθθθθ-⎧<<=⎨⎩==≤设总体的概率密度函数为,是取自该其他总体的简单样本,需考虑的假设检验问题为,其拒绝域为求此假设检验犯两种类型错误的概率犯第一类错误的概率为00{}P H H 拒绝为真解 121212340101135d d 1248x x x x x x ≤<<<<==-=⎰⎰12{34|1}P X X θ=≤=犯第二类错误的概率为00{}P H H 接受为假11212231412121122034010113922d d 2d 2d 2432x x x x x x x x x x xx x ><<<<⎛⎫=⋅===⎪⎝⎭⎰⎰⎰⎰12{34|2}P X X θ=>=例8220012001000221020~(,),,,.::,.20.010.05.n X N X X X X H H n x u x u H H ααμσσμμμμμαμασαα⋅⋅⋅=↔≠⎧⎫-⎪⎪≥⎨⎬⎪⎪⎩⎭==设总体,为已知常数,为未知参数,为来自总体的样本检验问题,显著性水平为,拒绝域为其中为样本均值,为标准正态分布的上侧分位数如果在显著性水平下拒绝原假设,那么在显著性水平为下也是拒绝原假设10.01,α=20.05,α=解 1222u u αα≥所以,12000022.n x n x u u ααμμσσ⎧⎫⎧⎫--⎪⎪⎪⎪≥⊂≥⎨⎬⎨⎬⎪⎪⎪⎪⎩⎭⎩⎭120.010.05αα==即显著性水平下的拒绝域含在显著性水平下的拒绝域之中,100.01,H α=因此如果在显著性水平下拒绝原假设200.05,.H α=那么在显著性水平下也是拒绝原假设因此该命题正确.10200.01,0.05H H αα==进一步如果在下接受那么在下是接受还是:拒绝思考?例9()()22220122220.950.950.9750.9752222100~(,)9,12,11,11,12..0.05:4:4.(4)0.711,(5) 1.145,(4)0.484,(5)0.831A 44B 44C X N X s H H s H s H ααμσασσχχχχχχ-=≥↔<====≤≥设总体,从中抽得简单随机样本值: 为样本方差取显著性水平,检验,得( )()()拒绝域为,接受()拒绝域为,拒绝()拒()()2222104D 4s H s H ααχχ-≤≥绝域为,接受()拒绝域为,拒绝解 22(1)4n S χ-=检验统计量为,24σ=在时,222(1)~(1).4n S n χχ-=-1 H 当为真,22(1)4n S χ-=有偏小趋势,221(1)(1).4n s n αχ-⎧⎫-≤-⎨⎬⎩⎭因此拒绝域为2225, 1.5, 1.5,n s s χ====20.95(4)0.711,χ=.故接受原假设 C 例1022000010000000000~(,),,.:,:,. .()()A 1B ()()C 1D X N H H n n u u n n u u ααααμσσμμμμμμαμμμμσσμμμμσσ=>⎛⎫⎛⎫---Φ+Φ+ ⎪ ⎪ ⎪ ⎪⎝⎭⎝⎭⎛⎫⎛⎫---Φ-Φ- ⎪ ⎪ ⎪ ⎪⎝⎭⎝⎭设总体其中为已知常数为未知参数待检验的假设为: 其中为已知常数若显著性水平,则该检验法犯第二类错误的概率为( )()()()()解 II 犯第类错误的概率00(|)P H H 接受为假0000()()n n X P u μαμμμμμσσ⎧⎫--⎪⎪=≤->⎨⎬⎪⎪⎩⎭00()n u αμμσ⎛⎫-=Φ- ⎪ ⎪⎝⎭000()n X P u μαμμμσ⎧⎫-⎪⎪=≤>⎨⎬⎪⎪⎩⎭D 例11()010.0250000~,1.821,20,20,22,23.0.05:23:23. 1.96A B C D X N X H H u H H H H μαμμ==↔≠=设总体,从中抽得简单随机样本值:取,检验,检验结果为( )()()拒绝域不用样本方差,结果是拒绝()拒绝域要用样本方差,结果是拒绝()拒绝域不用样本方差,结果是接受()拒绝域要用样本方差,结果是接受解 00()n X U μσ-=检验统计量为,~(0,1).U N 0H 在为真时002.n x u αμσ⎧⎫-⎪⎪≥⎨⎬⎪⎪⎩⎭拒绝域为 2.2361u =,0.025 1.96u =.21.2x =计算,0.H 故拒绝 A 例1221222220121120.0250.0522~(,)59.83.2~(,)69.54.3..0.05:,:.((9) 2.2622,(9) 1.8331)A x yx y X N x s Y N y s H H t t s s μσμσσαμμμμ======≠==从总体中抽得个简单随机样本,计算其样本均值,样本方差;从中抽得个简单随机样本,其样本均值,样本方差未知,且这两组样本相互独立显著性水平,检验,则( )()拒绝域与都要220022220B C D x y x y x y H s s H s s H s s H 用到,结果拒绝()拒绝域与都要用到,结果接受()拒绝域与不全用到,结果拒绝()拒绝域与不全用到,结果接受解 ()11w X Y T S m n-=+检验统计量为,222(1)(1)2x ywm S n SS m n -+-=+-,0~(2)H T t m n +-在为真时,.2(2).t t m n α⎧⎫≥+-⎨⎬⎩⎭拒绝域为0.2538t =计算得,0.025(9) 2.2622t =,0.H 故接受原假设B 例13。