大学建筑物理学课后习题答案
- 格式:doc
- 大小:249.00 KB
- 文档页数:15
建筑力学课后习题答案建筑力学课后习题答案建筑力学是建筑工程中非常重要的一门学科,它研究建筑物在外力作用下的力学性能,为工程设计和施工提供理论依据。
在学习建筑力学的过程中,课后习题是巩固和加深理解的重要环节。
本文将为大家提供一些建筑力学课后习题的答案,希望能对大家的学习有所帮助。
一、静力学1. 一个质量为10kg的物体,受到一个重力为98N的力,求物体的加速度。
解答:根据牛顿第二定律 F = m * a,其中 F为力,m为物体质量,a为加速度。
将已知数据代入公式,可得 a = F / m = 98N / 10kg = 9.8m/s²。
2. 一个物体质量为5kg,受到一个斜向上的力为30N,角度为30°,求物体在水平方向上的加速度。
解答:将斜向上的力分解为水平方向和垂直方向的力。
水平方向上的力为 Fx = 30N * cos30° = 30N * 0.866 = 25.98N。
根据牛顿第二定律 F = m * a,可得 a =F / m = 25.98N / 5kg = 5.196m/s²。
二、结构力学1. 一个悬臂梁,长度为4m,受到一个集中力为10kN的作用,梁的截面形状为矩形,宽度为0.3m,高度为0.5m,求梁的最大弯矩。
解答:悬臂梁的最大弯矩出现在悬臂梁的支点处。
根据悬臂梁的弯矩公式 M =F * L,其中 M为弯矩,F为力,L为悬臂梁的长度。
将已知数据代入公式,可得 M = 10kN * 4m = 40kNm。
2. 一个梁,长度为6m,截面形状为矩形,宽度为0.4m,高度为0.6m,受到一个均布载荷为20kN/m的作用,求梁的最大挠度。
解答:梁的最大挠度出现在梁的中点处。
根据梁的挠度公式δ = (5 * q * L^4) / (384 * E * I),其中δ为挠度,q为均布载荷,L为梁的长度,E为弹性模量,I为截面惯性矩。
将已知数据代入公式,可得δ = (5 * 20kN/m * (6m)^4) / (384 *E * 0.4m * (0.6m)^3)。
建筑物理第三整理人尼克版课后答案高纲2078江苏省高等教育自学考试大纲29688建筑环境学扬州大学编江苏省高等教育自学考试委员会办公室一、课程性质及其设置目的与要求(一)课程性质和特点《建筑环境学》课程是我省高等教育自学考试建筑环境与设备工程专业(独立本科段)的一门重要的专业基础课程,探讨的是外部环境的特性、室内环境的形成原因与特性,以及人对建筑环境的要求,是一门反映人-建筑-自然环境三者之间关系的科学。
其任务是培养应考者系统地学习建筑环境领域的基本知识,了解人类生活和生产过程需要什么样的室内、外环境;了解和掌握各种内外因素是如何影响人工微环境的;掌握改变或控制人工微环境的基本原理和方法,为创造适宜的建筑环境提供必要的理论基础。
(二)本课程的基本要求本课程共有九章内容。
在对建筑与环境的关系、人类对建筑与环境关系的认识过程及其发展中存在的问题进行简要介绍的基础上,重点阐述了建筑外环境、建筑热湿环境、人体对热湿环境的反应、室内空气品质、通风与气流组织、建筑声环境、建筑光环境、典型工艺过程对室内环境的要求八部分内容。
通过对本课程的学习,要求应考者对建筑环境学的研究内容有一个全面和正确的了解,为创造适宜的建筑环境提供理论依据。
具体应达到以下要求:1、了解热、湿、声、光、空气质量等物理因素对人的健康、舒适的影响,人类生活到底需要什么样的微环境;了解外部自然环境的特点和气象参数的变化规律,尤其是对室内微环境产生直接影响的外部因素;2、了解和掌握各种外部因素对建筑环境各种参数的影响,人类生活与生产过程中的热量、湿量、空气污染物等产生的规律以及对建筑环境形成的作用;3、掌握改变或控制人工微环境的基本原理、基本方法和手段。
(三)本课程与相关课程的联系建筑环境学是建筑环境与设备工程专业的研究对象由单纯的机械设备系统向综合的建筑环境系统转化的产物,是本学科区别于其他学科的核心基础课,其内容涉及热工学、流体力学、物理学、心理学、卫生学、生理学、劳动卫生学、城市气象学、房屋建筑学、建筑物理学等学科知识,是一门跨学科的边缘科学。
第五章 建筑防热习 题5—1、试计算武汉地区(北纬30°)某厂房卷材屋顶的室外综合温度的平均值与最高值。
已知:I max =998W/m 2(出现在12点);=I 326 W/m 2;t e ,max =37℃(出现于15点);2.32=e t ℃;19=e α W/(m 2。
K ); 88.0=s ρ解:1)室外平均综合温度,取t lr =3.5℃ 80.435.31932688.02.32=-⨯+=-+=lr e s e sa t I t t αρ ℃2)12.3119/88.0)326998(/)(max =⨯-=-=e S ts I I A αρ8.42.3237max .=-=-=e e te t t A48.68.412.31==te ts A A 所以取修正系数为0。
95 12.3495.0)12.318.4()(=⨯+=+=βts te sa A A At92.7712.348.43max .=+=+=sa sa sa At t t ℃5-2、试计算武汉地区某厂房在自然通风下屋顶的内表面温度状况。
其屋顶结构为:(1)钢筋混凝土板:厚度(2)泡沫混凝土隔热层:厚度(3)水泥砂浆抹平层:厚度(4)卷村屋面:厚度(水平面的太阳辐射和室外气温资料参照习题5-1;其他条件可自行假设).5—3、设北纬30°地区某住宅朝南窗口需设遮阳板,求遮挡七月中旬9时到15时所需遮阳板挑出长度及合理形式.已知窗口高1。
8米,宽2.4米,窗间墙宽1。
6米,厚0。
18米。
5—4、试从隔热的观点来分析:(1)多层实体结构;(2)有封闭空气间层结构;(3)带有通风间层的结构;它们的传热原理及隔热的处理原则。
答:1、多层实体结构它的传热主要是实体结构的导热,在进行隔热处理时可通过增加实体结构的热阻,以降低结构的导热系数,从而增加隔热能力;2、有封闭空气间层结构它的传热主要是间层中的辐射传热,在进行隔热处理时可在间层壁面贴辐射系数小的反射材料,以减小辐射传热量,从而增加隔热能力;3、带有通风间层的结构它的传热主要是对流传热,当室外空气流经间层时,带走部分从面层传下的热量,从而减少透过基层传入室内的热量.因此,可通过增加间层的通风量,来达到隔热的目的。
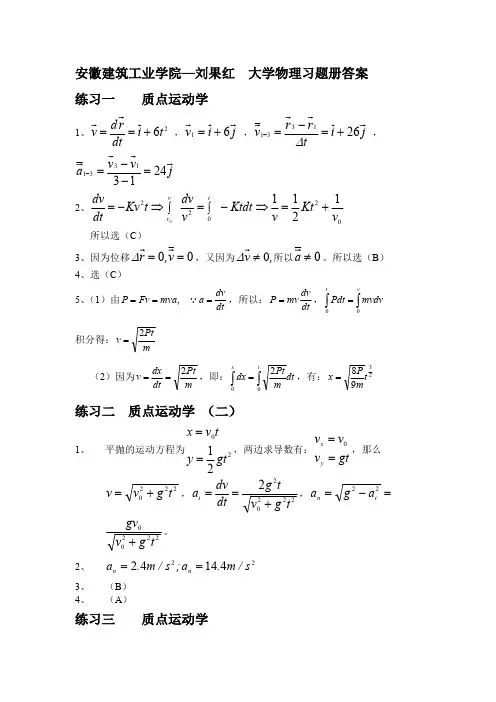
安徽建筑工业学院—刘果红 大学物理习题册答案练习一质点运动学1、 ,,26t i dt r d v +==j i v61+=j i tr r 26133+=-=-∆jv v 24131331=--=-2、0202212110v Kt v Ktdt v dvt Kv dt dv t v v +=⇒-⎰=⎰⇒-=所以选(C )3、因为位移,又因为。
所以选(B )00==r∆,v 0≠∆0≠4、选(C )5、(1)由,所以:,,mva Fv P ==dt dv a = dt dv mv P =⎰⎰=vtmvdvPdt 00积分得:mPt v 2=(2)因为,即:,有:m Pt dtdxv 2==dt m Ptdx tx⎰⎰=0022398t m P x =练习二 质点运动学 (二)1、平抛的运动方程为,两边求导数有:,那么2021gty tv x ==gt v v v y x ==0,,2220t g v v +=222022t g v t g dt dv a t +===-=22t n a g a 。
2220tg v gv +2、2241442s /m .a ;s /m .a n n ==3、(B )4、(A )练习三质点运动学1、0232332223x kt x ;tk )t (a ;)k s (t +===2、0321`=++v v v 3、(B )4、(C )练习四 质点动力学(一)1、mx ;i v912==2、(A )3、(C )4、(A )练习五 质点动力学(二)1、m'm muv )m 'm (v V +-+-=002、(A )3、(B )4、(C )5、(1)Nsv v m I v s m v t t v 16)(,3,/19,38304042=-===+-= (2)J mv mv A 17621212024=-=练习六、质点动力学(三)1、J9002、)R R R R (m Gm A E 2121-=3、(B )4、(D )5、)(21222B A m -ω练习七 质点动力学(四)1、)m m (l Gm v 212212+=2、动量、动能、功3、(B )4、(B )练习八 刚体绕定轴的转动(一)1、πωω806000.,.解:(1)摩擦力矩为恒力矩,轮子作匀变速转动因为;同理有0000120180ωωωββωω..t -=-=⇒+=。
建筑物理试题及答案同济一、单项选择题(每题2分,共20分)1. 建筑物理中,下列哪个因素与建筑物的热舒适度无关?A. 室内温度B. 湿度C. 风速D. 材料的导热系数答案:D2. 以下哪种材料的热阻值最大?A. 砖B. 玻璃C. 木材D. 混凝土答案:C3. 建筑声学中,下列哪个参数与声音的传播速度无关?A. 空气密度B. 空气温度C. 空气湿度D. 空气压力答案:C4. 在建筑光学中,下列哪个因素会影响室内的自然光照?A. 窗户的大小B. 窗户的位置C. 窗户的朝向D. 窗户的颜色答案:D5. 建筑热工学中,下列哪个参数与建筑物的热损失无关?A. 外墙的传热系数B. 外墙的面积C. 室内与室外的温差D. 建筑的层高答案:D二、多项选择题(每题3分,共15分)1. 影响建筑物热舒适度的因素包括:A. 室内温度B. 室内湿度C. 室内气流速度D. 室内照明E. 室内噪音答案:ABC2. 建筑声学中,下列哪些措施可以提高室内的隔音效果?A. 增加墙体厚度B. 使用双层玻璃窗C. 铺设地毯D. 使用吸音材料E. 增加室内植物答案:ABCD3. 建筑光学中,下列哪些措施可以提高室内的自然光照?A. 增加窗户面积B. 选择透光性好的玻璃C. 采用反光材料D. 减少室内家具E. 使用人工照明答案:ABC三、简答题(每题5分,共20分)1. 简述建筑物理在建筑设计中的重要性。
答案:建筑物理在建筑设计中至关重要,它涉及到建筑的热工、声学、光学等方面,直接影响到建筑物的舒适度、节能性和功能性。
合理的建筑物理设计可以提高室内环境质量,降低能耗,提升建筑的可持续性和居住者的生活质量。
2. 描述建筑热工学中热桥效应及其对建筑的影响。
答案:热桥效应是指在建筑物的某些部位,由于材料的导热性能较好,使得热量可以快速传递,从而造成局部的热损失增加。
这种现象会导致室内温度分布不均匀,增加能源消耗,并可能引起结露、霉菌生长等问题,影响建筑的耐久性和室内环境。
建筑物理习题答案精编W O R D版IBM system office room 【A0816H-A0912AAAHH-GX8Q8-GNTHHJ8】第一章思考题与习题1、构成室内热湿环境的四项要素是什么?简述各个要素在冬(或夏)季,在居室内是怎样影响人体热舒适感的。
答:(1)室内空气温度:居住建筑冬季采暖设计温度为18℃,托幼建筑采暖设计温度为20℃,办公建筑夏季空调设计温度为24℃等。
这些都是根据人体舒适度而定的要求。
(2)空气湿度:根据卫生工作者的研究,对室内热环境而言,正常的湿度范围是30-60%。
冬季,相对湿度较高的房间易出现结露现象。
(3)气流速度:当室内温度相同,气流速度不同时,人们热感觉也不相同。
如气流速度为0和3m/s时,3m/s的气流速度使人更感觉舒适。
(4)环境辐射温度:人体与环境都有不断发生辐射换热的现象。
5、分析几例我国的传统民居,说明在不同的气候分区中,建筑对气候的适应性表现。
答:(1)云南的竹楼——气候湿热;(2)江浙一带的房屋屋顶斜度大——这里年降水量大,有利于雨水排泄;(3)西北地区的屋顶平坦——气候干旱,不需要考虑排水;(4)黄土高原的窑洞——冬暖夏凉,适应气温年较差大;气候干旱,森林少,缺乏木材;(5)东北的房屋墙体厚、窗户小——东北气候寒冷,可以保温。
6、阐述城市气候的成因,讨论在住区规划与建筑设计中的相应对策。
答:室外综合温度:夏季建筑外围护结构的隔热设计,不仅要同时考虑室外空气和太阳短波辐射的加热作用,而且要考虑结构外表面的有效长波辐射的自然散热作用。
为了计算方便常将三者对外维护结构的共同作用综合成一个单一的室外气象参数,这个假想的参数用所谓室外综合温度表示。
7、举例说明建筑材料表面的颜色、光滑程度,对围护结构的外表面和结构内空气层的表面,在传热方面各有什么影响?答:对于短波辐射,颜色起主导作用;对于长波辐射,材性起主导作用。
如:白色表面对可见光的反射能力最强,对于长波辐射,其反射能力则与黑色表面相差极小。
第八章天然采光习题8-1、从图8-5中查出重庆7月份上午8:30时散射光照度和总照度。
答:从图上可查出总照度为38500lx;散射光照度为26500lx8-2、根据图8-5找出重庆7月份室外散射光照度高于500lx的延续时间。
答:早上6点到下午6点,延续时间为12小时。
8-3、按例题7-4所给房间剖面,CIE标准阴天室外水平照度为10000lx时,求水平窗洞在桌面上形成的采光系数;若窗洞上装有τ=0.8的透明玻璃时的采光系数;若窗上装有τ=0.5的乳白玻璃时的采光系数。
解:1)%25%100100002500%100=⨯=⨯=w n E E C 2)%20%100100008.02500%100=⨯⨯=⨯⨯=w n E E C τ3)%5.12%100100005.02500%100=⨯⨯=⨯⨯=w n E E C τ8-4、会议室平面尺寸为5×7m,净空高3.6m,求出需要的侧窗面积并绘出其平、剖面图。
解:由表8-5可知,会议室属III 级采光等级。
由表8-6可知,单侧窗要求窗地比为1/4。
则窗户的面积为35/4=8.75米2。
双侧窗要求窗地比为1/3.5。
则窗户的面积为35/3.5=10米2。
8-5、一单跨机加车间,跨度为30m,长72m,屋架下弦高10m,室内表面浅色粉刷,室外物遮挡,估计需要的单层钢窗面积,并验算其采光系数。
解:1)由表8-5可知,机械加工车间属III 级采光等级。
由表8-6可知,单侧窗要求窗地比为1/4。
则窗户的面积为30×72/4=540米2。
双侧窗要求窗地比为1/3.5。
则窗户的面积为30×72/3.5=617米2。
2)验算采光系数根据设计所选窗户的形式,确定窗户的位置、大小。
由公式fw c d K K K K K C C ⋅⋅⋅⋅⋅='''min τρ根据窗户的形式,选取相应的修正系数,算出采光系数的最低值,与采光系数标准值相比较,看是否满足要求。
第一章思考题与习题1、构成室内热湿环境的四项要素是什么?简述各个要素在冬(或夏)季,在居室内是怎样影响人体热舒适感的。
答:(1)室内空气温度:居住建筑冬季采暖设计温度为18℃,托幼建筑采暖设计温度为20℃,办公建筑夏季空调设计温度为24℃等。
这些都是根据人体舒适度而定的要求。
(2)空气湿度:根据卫生工作者的研究,对室内热环境而言,正常的湿度范围是30-60%。
冬季,相对湿度较高的房间易出现结露现象。
(3)气流速度:当室内温度相同,气流速度不同时,人们热感觉也不相同。
如气流速度为0和3m/s时,3m/s的气流速度使人更感觉舒适。
(4)环境辐射温度:人体与环境都有不断发生辐射换热的现象。
5、分析几例我国的传统民居,说明在不同的气候分区中,建筑对气候的适应性表现。
答:(1)云南的竹楼——气候湿热;(2)江浙一带的房屋屋顶斜度大——这里年降水量大,有利于雨水排泄;(3)西北地区的屋顶平坦——气候干旱,不需要考虑排水;(4)黄土高原的窑洞——冬暖夏凉,适应气温年较差大;气候干旱,森林少,缺乏木材;(5)东北的房屋墙体厚、窗户小——东北气候寒冷,可以保温。
6、阐述城市气候的成因,讨论在住区规划与建筑设计中的相应对策。
答:室外综合温度:夏季建筑外围护结构的隔热设计,不仅要同时考虑室外空气和太阳短波辐射的加热作用,而且要考虑结构外表面的有效长波辐射的自然散热作用。
为了计算方便常将三者对外维护结构的共同作用综合成一个单一的室外气象参数,这个假想的参数用所谓室外综合温度表示。
7、举例说明建筑材料表面的颜色、光滑程度,对围护结构的外表面和结构内空气层的表面,在传热方面各有什么影响?答:对于短波辐射,颜色起主导作用;对于长波辐射,材性起主导作用。
如:白色表面对可见光的反射能力最强,对于长波辐射,其反射能力则与黑色表面相差极小。
而抛光的金属表面,不论对于短波辐射或是长波辐射,反射能力都很高,所以围护结构外表面刷白在夏季反射太阳辐射热是非常有效的,而在结构内空气间层的表面刷白是不起作用的。
建筑物理第三版答案【篇一:建筑物理_陈仲林_课后习题及答案(1)】1.5个相同的声压级迭加,总声级较单个增加分贝。
① 3 ② 5 ③ 7 ④ 102.4个相同的声压级迭加,总声级较单个增加分贝。
① 3 ② 5 ③ 6 ④ 103.+10db的声音与-10db的声音迭加结果约为。
① 0 ② 13③ 7 ④ 104.50db的声音与30db的声音迭加结果约为 db。
① 80 ② 50③ 40 ④ 305.实际测量时,背景噪声低于声级① 20 ② 10③ 8 ④ 36.为保证效果反射板的尺度L与波长间的关系是。
7.易对前排产生回声的部位是。
①侧墙②银幕③乐池④后墙8.围护结构隔声性能常用的评价指标是。
9.避免厅堂简并现象的措施是。
①缩短T60 ②强吸声③墙面油漆④调整比例10.当构件的面密度为原值的2倍时,其隔声量增加。
①3② 6 ③ 5 ④ 1011.测点处的声压值增加一倍,相应的声压级增加分贝。
① 2 ② 5 ③ 3 ④ 612.70db的直达声后,以下的反射声将成为回声。
① 20ms65db ② 70ms64db ③ 80ms45db ④ 30ms75db13.邻室的噪声对此处干扰大,采取措施最有效。
①吸声处理②装消声器③隔声处理④吊吸声体14.对城市环境污染最严重的噪声源是。
①生活②交通③工业④施工15.吸声处理后混响时间缩短一半则降噪效果约为。
① 2 ② 5③ 3 ④ 1016.凹面易产生的声缺陷是。
①回声②颤动回声③声聚焦④声染色17.厅堂平行墙面间易产生的声学缺陷是。
①回声②颤动回声③声聚焦④声染色 3 3 4 2 1 4 4 1 4 2 4 2 32 3 3218.多孔吸声材料仅增加厚度,则其吸声特性最明显的变化趋势是①高频吸收增加②中低频吸收增加③共振吸收增加④中低频吸收减少219.某人演唱时的声功率为100微瓦,他发音的声功率级是 db。
① 50 ② 110③ 80④ 100320.普通穿孔板吸声的基本原理是①微孔吸声②共振吸声③板吸声④纤维吸声221.多孔吸声材料吸声的基本原理是。
第4章 刚体的定轴转动习 题一 选择题4-1 有两个力作用在一个有固定转轴的刚体下,对此有以下几种说法:(1)这两个力都平行于轴作用时,它们对轴的合力矩一定是零;(2)这两个力都垂直于轴作用时,它们对轴的合力矩可能是零;(3)当这两个力的合力为零时,它们对轴的合力矩也一定是零;(4)当这两个力对轴的合力矩为零时,它们的合力也一定是零.对L 述说法下述判断正确的是[ ](A )只有(l )是正确的 (B )(1)、(2)正确,(3)、(4)错误 (C )(1)、(2)、(3)都正确 (D )(1)、(2)、(3)、(4)都正确 解析:力矩是描述力对刚体转动的作用,=⨯M r F 。
因此合力为零时,合力矩不一定为零;合力矩为零时,合力也不一定为零。
两者并没有一一对应的关系。
答案选B 。
4-2 有A 、B 两半径相同,质量相同的细圆环。
A 环的质量均匀分布,B 环的质量不均匀分布,设它们对过环心的中心轴的转动惯量分别为A I 和B I ,则有[ ](A )A B I I > (B )A B I I < (C )无法确定哪个大 (D )A B I I = 解析:转动惯量2i i iI m r =∆∑,由于A 、B 两细圆环半径相同,质量相同,所以转动惯量相同2A B I I mR ==,而与质量分布均匀与否无关。
选D 。
4-3 均匀细棒OA 可绕通过其一端O 而与棒垂直的水平固定光滑轴转动,如图4-3所示.今使棒从水平位置由静止开始自由下落,在棒摆到竖直位置的过程中,下述说法正确的是[ ](A )角速度从小到大,角加速度不变 (B )角速度从小到大,角加速度从小到大(C )角速度从小到大,角加速度从大到小 (D )角速度不变,角加速度为零解析:在棒摆到竖直位置的过程中,重力势能和转动动能相互转化,因此转速越来越大,即角速度从小到大。
整个过程中棒只受到重力矩的作用,211cos 23M mg l J ml θαα===,所以3cos 2gl αθ=,随着转角θ逐渐增大,角加速度α由大变小。
大学建筑物理学课后习题答案 建筑物理课后习题参考答案
第一篇 建筑热工学 第一章 建筑热工学基本知识 习 题 1-1、构成室内热环境的四项气候要素是什么?简述各个要素在冬(或夏)季,在居室内,是怎样影响人体热舒适感的。nErhs19。YzFxsem。
答:(1)室内空气温度:居住建筑冬季采暖设计温度为18℃,托幼建筑采暖设计
温度为20℃,办公建筑夏季空调设计温度为24℃等。这些都是根据人体舒适度而定的要求。ELSAixm。VhVAbUo。
(2)空气湿度:根据卫生工作者的研究,对室内热环境而言,正常的湿度范围是
30-60%。冬季,相对湿度较高的房间易出现结露现象。gOzuEZX。1a9109K。
(3)气流速度:当室内温度相同,气流速度不同时,人们热感觉也不相同。如气
流速度为0和3m/s时,3m/s的气流速度使人更感觉舒适。Kt0QbB0。RQcm7Yi。
(4)环境辐射温度:人体与环境都有不断发生辐射换热的现象。
1-2、为什么说,即使人们富裕了,也不应该把房子搞成完全的“人工空间”? 答:我们所生活的室外环境是一个不断变化的环境,它要求人有袍强的适应能力。而一个相对稳定而又级其舒适的室内环境,会导致人的生理功能的降低,使人逐渐丧失适应环境的能力,从而危害人的健康。1FdzvdH。Die8G88。
1-3、传热与导热(热传导)有什么区别?本书所说的对流换热与单纯在流体内部
的对流传热有什么不同? 答:导热是指同一物体内部或相接触的两物体之间由于分子热运动,热量由高温向低温处转换的现象。纯粹的导热现象只发生在密实的固体当中。sL8cgAe。AhjfEC1。
围护结构的传热要经过三个过程:表面吸热、结构本身传热、表面放热。严格地
说,每一传热过程部是三种基本传热方式的综合过程。N1XX060。uYYlmdz。
本书所说的对流换热即包括由空气流动所引起的对流传热过程,同时也包括空气
分子间和接触的空气、空气分子与壁面分子之间的导热过程。对流换热是对流与导热的综合过程。anC5b8a。P3Hu8YN。
而对流传热只发生在流体之中,它是因温度不同的各部分流体之间发生相对运动,
互相掺合而传递热能的。 1-4、表面的颜色、光滑程度,对外围护结构的外表面和对结构内空气间层的表面,在辐射传热方面,各有什么影响?CEcsMtp。eOyoKK0。
答:对于短波辐射,颜色起主导作用;对于长波辐射,材性起主导作用。如:白
色表面对可见光的反射能力最强,对于长波辐射,其反射能力则与黑色表面相差极小。而抛光的金属表面,不论对于短波辐射或是长波辐射,反射能力都很高,所以围护结构外表面刷白在夏季反射太阳辐射热是非常有效的,而在结构内空气间层的表面刷白是不起作用的。sQ8GLLt。4QBmArS。
1-5、选择性辐射体的特性,对开发有利于夏季防热的外表面装修材料,有什么启
发? 大学建筑物理学课后习题答案 答:选择性辐射体又称非灰体,其辐射光谱与黑体光谱截然不同,甚至有的只能发射某些波长的辐射线。但是建筑材料多属于灰体,根据非灰体的性质可开发非灰体的装修材料,辐射和吸收某种特定的辐射线。liWRPaO。jZ49KWd。
由图可知,选择性辐射体的特性,具有间断性,可将此特性利用起来,将外表面
装饰材料刷白,或进行浅色处理,对夏季反射太阳辐射热也非常有效。9XEFTMz。b9joKOX。
1-6、书中给出的自然对流时计算αc的三个公式中,系数分别为2.0,2.5,1.3,
试说明系数不同的原因。iRSGEmv。1zuHP0j。
答:是因为结构和热源位置不同,高温密度小的空气和低温密度大的空气之间进
行对流换热。 水平表面(热流由下而上)有利于对流,所以取2.5 水平表面(热流由上而下)不利于对流,所以取1.3 垂直表面 不影响对流,所以取2.0 1-7、试根据自己的经验,列举几个外墙内表面或地面产生表面结露现象的实例,并说明结露的原因。 答:例1、有些户主由于使用不当,经常使室内出现许多水蒸气,室内空气容纳不了的水蒸气就凝结成水珠析出。 由于山墙的建筑构造做法不到位,使山墙内表面温度低于室内的露点温度,而导致山墙表面出现结露,甚至霉变。 例2、有些室内由于温度降低,而使露点温度降低,产生结露现象。 若在建筑构造无总是的情况下,居民生活方式不同,也会使房间产生结露的现象,居民在居住空间内频繁进行类似于大蒸汽作业,就会使室内水蒸气含量过高,出现结露现象。HLCN9Pq。KY5mzVs。 大学建筑物理学课后习题答案 第二章 建筑围护结构的传热原理及计算
习 题 2-1、建筑围护结构的传热过程包括哪几个基本过程,几种传热方式?分别简述其要点。 答:建筑围护结构传热过程主要包括三个过程:表面吸热、结构本身传热、表面放热。 表面吸热——内表面从室内吸热(冬季),或外表面从事外空间吸热(夏季) 结构本身传热——热量由高温表面传向低温表面 表面放热——外表面向室外空间散发热量(冬季),或内表面向室内散热(夏季) 2-2、为什么空气间层的热阻与其厚度不是成正比关系?怎样提高空气间层的热阻? 答:在空气间层中,其热阻主要取决于间层两个界面上的空气边界层厚度和界面之间的辐射换热强度。所以,空气间层的热阻于厚度之间不存在成比例地增长关系。9hbovct。iaDCFL2。 要提高空气间层的热阻可以增加间层界面上的空气边界层厚度以增加对流换热热阻;或是在间层壁面上涂贴辐射系数小的反射材料以增加辐射换热热阻。u0iVEds。nfaJbvj。
2-3、根据图2-17所示条件,定性地作为稳定传热条件下墙体内部的温度分布线,
应区别出各层温度线的倾斜度,并说明理由。已知λ3〉λ1〉λ2。gYwCbis。jcoed1E。
答:由dxdq可知,由于是稳定传热,各壁面内的热流都相同,当值越大时,
各壁层的温度梯度dxd就越小,即各层温度线的倾斜度就越小。zAkjLhr。11jyuJQ。
2-4、如图2-18所示的屋顶结构,在保证内表面不结露的情况下,室外外气温不得低于多少?并作为结构内部的温度分布线。已知:ti=22℃,ψi=60%,Ri= 0.115m2•k/W,Re=0.043 m2•k/W。KMnVUbE。jKL52ax。
解:由ti=22℃,ψi=60% 可查出Ps=2642.4Pa
则 pappis44.15856.04.2642
可查出露点温度 88.13dt ℃ 要保证内表面不结露,内表面最低温度不得低于露点温度 1)将圆孔板折算成等面积的方孔板
maad097.0422
2)计算计算多孔板的传热阻 有空气间层的部分(其中空气间层的热阻是0.17)
WKmR/)(35.004.011.074.10265.017.074.10265.0201 无空气间层的部分 大学建筑物理学课后习题答案 WKmR/)(24.004.011.074.115.0202 3)求修正系数 )/(74.11KmW )/(57.017.0097.02KmW
33.074.157.012
所以修正系数取0.93 4)计算平均热阻
WKmR/)(143.093.015.024.0053.035.0097.0053.0097.02 5)计算屋顶总的传热系数 WKmR/)(63.015.0143.019.005.093.002.017.001.02 6)计算室外温度
11.088.132263.022eiiieitRtRtt
得 te=-24.79℃ 由此可得各层温度是 θ1=3.45℃ θ2=-15.92℃ θ3=-17.5℃ θe=-21.84℃ 可画出结构内部的温度分布线。
第三章 建筑保温 习 题 3-1、采暖居住房间的密闭程度(气密化程度)对卫生保健、经济、能源消费等方面,各有什么影响? 答:就保温而言,房间的密闭性越好,则热损失越少,从而可以在节约能源的基础上保持室温。但从卫生要求来看,房间必须要有一定的换气量。另一方面,过分密闭会妨碍湿气的排除,使室内湿度升高,从而容易造成表面结露和围护结构内部受潮。2oiEl86。lO4aX3a。 3-2、试从节约能源的角度分析,在相同面积的情况下,正方形平面与长方形平面何者有利? 答:从节约能源的角度分析,就要控制建筑的体形系数即建筑的外表面积与其所包围的体积之比。对于同样的体积的建筑,在各面外围护结构的传热情况均相同时,外表面面积越大,热损失越多,所以在相同面积的情况下,正方形平面更为有利。WzEavWP。大学建筑物理学课后习题答案 5mVFrO4。 3-3、为什么我国规定围护结构的总热阻,不得小于最小总热阻Rо•min? 答:规定围护结构的总热阻,不得小于最小总热阻Rо•min主要是因为:保证内表面不结露,即内表面温度不得低于室内空气的露点温度;同时还要满足一定的热舒适条件,限制内表面温度,以免产生过强的冷辐射效应。o0OuBSK。Cg9AI0l。
3-4、说明允许温差[Δt]的意义,并回答[Δt]大或小,哪一种的质量要求高?
为什么? 答:允许温差是根据卫生和建造成本等因素确定的。按允许温差设计的围护结构,其内表面温度不会太低,一般可保证不会产生结露现象,不会对人体形成过分的冷辐射,同时,热损失也不会太多。umbQG21。9wW14vk。
使用质量要求高的房间,允许温差小一些。因为在同样的室内外气象条件下,按
较下的允许温差确定的最小传热阻值,显然要大一些,从而其围护结构就具有了更大的保温能力。q6cT739。7DeiZuf。
3-5、试说明一般轻质材料保温性能都比较好的道理,并解释为什么并非总是越轻
越好? 答:影响材料保温性能因素之一就是材料的密度。材料导热系数的差别就在于材料的孔隙率的不同,孔隙越多,则孔隙传热的影响就越大,材料的导热系数越小,材料的保温性能越好。所以说一般轻质材料的保温性能较好。piSXVNp。4Q8XhCm。
但当孔隙率增加到一定程度,其孔壁温差变大,辐射传热量加大,同时,大孔隙
内的对流传热也增多,特别是由于材料骨架所剩无几,使许多孔隙变成互相贯通的,使对流传热量显著增加。所以说并非越轻越好。lKda3wl。hmsT7Nm。
3-6、试详述外保温构造方法的优缺点。
答:外保温的优点: 1、使墙或屋顶的主要部分受到保护,大大降低温度应力的起伏,提高结构的耐久性; 2、外保温对结构及房间的热稳定性有利; 3、外保温有利于防止或减少保温层内部产生水蒸气凝结; 4、外保温法使热桥处的热损失减少,并能防止热桥内部表面局部结露 5、对于旧房的节能改造,外保温处理的效果最好。 外保温的缺点: 1、适用于规模不太大的建筑,才能准确判断外保温是否提高房间的热稳定性; 2、在构造上较复杂,必须有保护层; 3、由于要设保护层,所以造价要高。 3-7、倒铺屋面有哪些好处?目前在推广应用方面存在什么困难? 答:到铺屋面法不仅可能完全消除内部结露的可能性,又是防水层得到保护,从而大大提高其耐久性。 这种方法对保温材料的要求更高,而求目前都要在保温层上面设置某种覆盖层加以保护。对于保温层,还没有合适的理想材料,有些材料虽有不吸水、耐火、耐化学侵蚀等优点,但英属于脆性材料不利于施工,所以推广有一定的困难。eFBQeTJ。9EPCP4A。