各种物料的休止角和容重
- 格式:pdf
- 大小:70.52 KB
- 文档页数:2
常用松散物料的密度和安息角
安息角——散料在堆放时能够保持自然稳定状态的最大角度(单边对地面的角度),称为“安息角”。
在这个角度形成后,再往上堆加这种散料,就会自然溜下,保持这个角度,只会增高,同时加大底面积。
在土堆、煤堆、粮食的堆放中,经常可以看见这种现象,不同种类的散料安息角各不相同。
粒子安息角又称粉尘静止角或堆积角。
粉尘粒子通过小孔连续地落到水平板上时堆积成的锥体母线与水平面的夹角。
许多粉尘安息角的平均值约为35°-40°,与粉尘种类、粒径、形状和含水率等因素有关。
同一种粉尘,粒径愈小,安息角愈大;表面愈光滑或愈接近球形的粒子,安息较愈小;粉尘含水率愈大,安息角愈大。
粉尘安息角是粉尘的动力特性之一,是设计除尘设备(如贮灰斗的锥体)和管(倾斜角)的主要依据。
安息角其实就是休止角。
内摩擦角定义:岩体、煤堆、散粒体在垂直重力作用下发生剪切破坏时,错动面(破坏滑动面)的倾角。
休止角定义:砂土堆积成的土坡,在自然稳定状态下的极限坡角,称为自然休止角。
砂土的自然休止角数值等于或接近其内摩擦角。
休止角是粉粒粘着性的一个间接衡量指标,又称堆角,是指物料在水平面堆积形成的料堆表面与水平面之间的夹角。
流动性好的粉体,其休止角一般较小。
一般认为粉粒的休止角小于30°时,其流动性较好,而在大于40°时粉粒的流动性较差。
倾角定义:直线或平面与水平线或水平面所成的角,或者一直线与其在平面上的射影所成的角等,都叫倾角。
休止角与内摩擦角的区别与联系:1、休止角和内摩擦角都反映了散粒物料的内摩擦特性;2、休止角和内摩擦角两者概念不同。
内摩擦角反映散粒物料层间的摩擦特性,休止角则表示单粒物料在物料堆上的滚落能力,是内摩擦特性的外观表现;3、数值不同。
对质量和含水率近似的同类物料,休止角始终大于内摩擦角,且都大于滑动摩擦角。
对于缺乏粘聚力的散粒物料如砂子等,其休止角等于内摩擦角。
形象理解:内摩擦角在力学上可以理解为块体在斜面上的临界自稳角,在这个角度内,块体是稳定的;大于这个角度,块体就会产生滑动。
利用这个原理,可以分析边坡的稳定性。
内摩擦角是反映散粒物料间摩擦特性和抗剪强度,它是确定物料仓仓壁压力以及设计重力流动的料仓和料斗的重要设计参数。
如果把散粒物料看成一个整体,在其内部任意处取出一单元体,此单元体单位面积上的法向压力可看作该面上的压应力,单位面积上的剪切力可看作该面上的剪应力。
物料沿剪切力方向发生滑动,可以认为整体在该处发生流动或屈服。
即散粒物料的流动可以看成与固体剪切流动破坏现象相类似。
常见休止角物料参数表阅读:1014发布时间:2013/7/30休止角小的粉尘,其流动性好。
相反,休止角大的粉尘其流动性差。
在很多工厂中休止角也也称为安息角,在物料在成堆放置时可以保持自然状态的最大角度,在角度形成之后,再向上堆加散料之后就会自然的落下,保持这个角度就会增高,不同种类的散料的休止角也各不相同。
序号物料名称密度运动安息角静止安息角(t/m3)(°)(°)1 无烟煤(干、小)0.7~1.0 27~30 27~452 烟煤0.8~1.0 30 35~453 褐煤0.6~0.8 35 35~504 泥煤0.29~0.5 40 455 泥煤(湿)0.55~0.65 40 456 焦炭0.36~0.53 35 507 木炭0.2~0.4 - -8 无烟煤粉0.84~0.89 - 37~459 烟煤粉0.4~0.7 - 37~4510 粉状石墨0.45 - 40~4511 磁铁矿 2.5~3.5 30~35 40~4512 赤铁矿 2.0~2.8 30~35 40~4513 褐铁矿 1.8~2.1 30~35 40~4514 硫铁矿(块)- 4515 锰矿 1.7~1.9 - 35~4516 镁砂(块) 2.2~2.5 - 40~4217 粉状镁砂 2.1~2.2 - 45~5018 铜矿 1.7~2.1 - 35~4519 铜精矿 1.3~1.8 - 4020 铅精矿 1.9~2.4 - 4021 锌精矿 1.3~1.7 - 4022 铅锌精矿 1.3~2.4 - 4023 铁烧结块 1.7~2.0 - 45~5024 碎烧结块 1.4~1.6 35 -25 铅烧结块 1.8~2.2 - -26 铅锌烧结块 1.6~2.0 - -27 锌烟尘0.7~1.5 - -28 黄铁矿烧渣 1.7~1.8 - -29 铅锌团矿 1.3~1.8 - -30 黄铁矿球团矿 1.2~1.4 - -31 平炉渣(粗) 1.6~1.85 - 45~5032 高炉渣0.6~1.0 35 5033 铅锌水碎渣(湿) 1.5~1.6 - 4234 干煤灰0.64~0.72 - 35~4535 煤灰0.7 - 15~2036 粗砂(干) 1.4~1.9 - -37 细砂(干) 1.4~1.65 30 30~3538 细砂(湿) 1.8~2.1 - 3239 造型砂0.8~1.3 30 4540 石灰石(大块) 1.6~2.0 30~35 40~4541 石灰石(中块、小块) 1.2~1.5 30~35 40~4542 生石灰(块) 1.1 25 45~5043 生石灰(粉) 1.2 - -44 碎石 1.32~2.0 35 4545 白云石(块) 1.2~2.0 35 -46 碎白云石 1.8~1.9 35 -47 砾石 1.5~1.9 30 30~4548 粘土(小块)0.7~1.5 40 5049 粘土(湿) 1.7 - 27~4550 水泥0.9~1.7 35 40~4551 熟石灰(粉)0.5 - -52 电石~1.2 -。
序号物料名称密度\t/m^3 运动安息角\(°)静止安息角\(°)1 无烟煤(干、小)0.7~1.0 27~30 27~452 烟煤0.8~1.0 30 35~453 褐煤0.6~0.8 35 35~504 泥煤0.29~0.5 40 455 泥煤(湿)0.55~0.65 40 456 焦炭0.36~0.53 35 507 木炭0.2~0.4 - -8 无烟煤粉0.84~0.89 - 37~459 烟煤粉0.4~0.7 - 37~4510 粉状石墨0.45 - 40~4511 磁铁矿 2.5~3.5 30~35 40~4512 赤铁矿 2.0~2.8 30~35 40~4513 褐铁矿 1.8~2.1 30~35 40~4514 硫铁矿(块)15 锰矿 1.7~1.9 - 35~4516 镁砂(块) 2.2~2.5 - 40~4217 粉状镁砂 2.1~2.2 - 45~5018 铜矿 1.7~2.1 - 35~4519 铜精矿 1.3~1.8 - 4020 铅精矿 1.9~2.4 - 4021 锌精矿 1.3~1.7 - 4022 铅锌精矿 1.3~2.4 - 4023 铁烧结块 1.7~2.0 - 45~5024 碎烧结块 1.4~1.6 35 -25 铅烧结块 1.8~2.2 - -26 铅锌烧结块 1.6~2.0 - -序号物料名称密度\t/m^3 运动安息角\(°)静止安息角\(°)27 锌烟尘0.7~1.5 - -28 黄铁矿烧渣 1.7~1.8 - -29 铅锌团矿 1.3~1.8 - -30 黄铁矿球团矿 1.2~1.4 - -31 平炉渣(粗) 1.6~1.85 - 45~5032 高炉渣0.6~1.0 35 5033 铅锌水碎渣(湿) 1.5~1.6 - 4234 干煤灰0.64~0.72 - 35~4535 煤灰0.7 - 15~2036 粗砂(干) 1.4~1.9 - -37 细砂(干) 1.4~1.65 30 30~3538 细砂(湿) 1.8~2.1 - 3239 造型砂0.8~1.3 30 4540 石灰石(大块) 1.6~2.0 30~35 40~4541 石灰石(中块、小块1.2~1.5 30~35 40~4542 生石灰(块) 1.1 25 45~5043 生石灰(粉) 1.2 - -44 碎石 1.32~2.0 35 4545 白云石(块) 1.2~2.0 35 -46 碎白云石 1.8~1.9 35 -47 砾石 1.5~1.9 30 30~4548 粘土(小块)0.7~1.5 40 5049 粘土(湿) 1.7 - 27~4550 水泥0.9~1.7 35 40~4551 熟石灰(粉)0.5 - -52 电石~1.2 - -。
散料在堆放时能够坚持自然稳定状态的最大角度(单边对地面的角度),称为“安眠角”。
在这个角度形成后,再往上堆加这种散料,就会自然溜下,坚持这个角度,只会增高,同时加大底面积。
在土堆、煤堆、粮食的堆放中,经常可以看见这种现象,分歧种类的散料安眠角各不相同。
宇文皓月
粒子安眠角又称粉尘静止角或堆积角。
粉尘粒子通过小孔连续地落到水平板上时堆积成的锥体母线与水平面的夹角。
许多粉尘安眠角的平均值约为35°-40°,与粉尘种类、粒径、形状和含水率等因素有关。
同一种粉尘,粒径愈小,安眠角愈大;概况愈光滑或愈接近球形的粒子,安眠较愈小;粉尘含水率愈大,安眠角愈大。
粉尘安眠角是粉尘的动力特性之一,是设计除尘设备(如贮灰斗的锥体)和管(倾斜角)的主要依据。
安眠角其实就是休止角。
自然安息角散料在堆放时能够保持自然稳定状态的最大角度(单边对地面的角度),称为“安息角”。
在这个角度形成后,再往上堆加这种散料,就会自然溜下,保持这个角度,只会增高,同时加大底面积。
在土堆、煤堆、粮食的堆放中,经常可以看见这种现象,不同种类的散料安息角各不相同。
粒子安息角又称粉尘静止角或堆积角。
粉尘粒子通过小孔连续地落到水平板上时堆积成的锥体母线与水平面的夹角。
许多粉尘安息角的平均值约为35°-4 0°,与粉尘种类、粒径、形状和含水率等因素有关。
同一种粉尘,粒径愈小,安息角愈大;表面愈光滑或愈接近球形的粒子,安息较愈小;粉尘含水率愈大,安息角愈大。
粉尘安息角是粉尘的动力特性之一,是设计除尘设备(如贮灰斗的锥体)和管(倾斜角)的主要依据。
安息角其实就是休止角。
常见材料的安息角序号物料名称密度\t/m^3 运动安息角\(°)静止安息角\(°)1 无烟煤(干、小)0.7~1.0 27~30 27~452 烟煤0.8~1.0 30 35~453 褐煤0.6~0.8 35 35~504 泥煤0.29~0.5 40 455 泥煤(湿)0.55~0.65 40 456 焦炭0.36~0.53 35 507 木炭0.2~0.4 - -8 无烟煤粉0.84~0.89 - 37~459 烟煤粉0.4~0.7 - 37~4510 粉状石墨0.45 - 40~4511 磁铁矿 2.5~3.5 30~35 40~4512 赤铁矿 2.0~2.8 30~35 40~4513 褐铁矿 1.8~2.1 30~35 40~4514 硫铁矿(块)- 4515 锰矿 1.7~1.9 - 35~4516 镁砂(块) 2.2~2.5 - 40~4217 粉状镁砂 2.1~2.2 - 45~5018 铜矿 1.7~2.1 - 35~4519 铜精矿 1.3~1.8 - 4020 铅精矿 1.9~2.4 - 4021 锌精矿 1.3~1.7 - 4022 铅锌精矿 1.3~2.4 - 4023 铁烧结块 1.7~2.0 - 45~5024 碎烧结块 1.4~1.6 35 -25 铅烧结块 1.8~2.2 - -26 铅锌烧结块 1.6~2.0 - -27 锌烟尘0.7~1.5 - -28 黄铁矿烧渣 1.7~1.8 - -29 铅锌团矿 1.3~1.8 - -30 黄铁矿球团矿 1.2~1.4 - -31 平炉渣(粗) 1.6~1.85 - 45~5032 高炉渣0.6~1.0 35 5033 铅锌水碎渣(湿) 1.5~1.6 - 4234 干煤灰0.64~0.72 - 35~4535 煤灰0.7 - 15~2036 粗砂(干) 1.4~1.9 - -37 细砂(干) 1.4~1.65 30 30~3538 细砂(湿) 1.8~2.1 - 3239 造型砂0.8~1.3 30 4540 石灰石(大块) 1.6~2.0 30~35 40~4541 石灰石(中块、小块) 1.2~1.5 30~35 40~4542 生石灰(块) 1.1 25 45~5043 生石灰(粉) 1.2 - -44 碎石 1.32~2.0 35 4545 白云石(块) 1.2~2.0 35 -46 碎白云石 1.8~1.9 35 -47 砾石 1.5~1.9 30 30~4548 粘土(小块)0.7~1.5 40 5049 粘土(湿) 1.7 - 27~4550 水泥0.9~1.7 35 40~4551 熟石灰(粉)0.5 - -52 电石~1.2 - -。
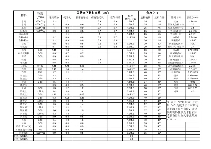
各种物料的休止角和容重与物料的水分。
粒度及性质有关,确切的数据必须根据项目的资料定.下列数据仅供设计参考.物料名称容重(t/m3) 休止角(°)机械输送气力输送堆场或储库进料装载放料自流石灰石25mm 1.4~1.5 1.7 1.4~1.5 37 45泥灰岩25mm 1.25 1.25 40 55 粘土25mm 1.4 1.6 1.4硫铁矿渣0.9~1.0 1.1~1.2 0.9~1.0铁矿石25mm 2.1 2.4 2.1 37硫铁矿25mm 1.9 2.2 1.9 37 43 干砂 1.5 1.6 1.5 42 45 铝矾土25mm 2.4 2.6 2.4高岭土25mm 2.2 2.6 2.2火山灰0.8 1.2 0.9 38粉煤灰0.6 1.4 0.8 45白垩25mm 1.8 2.7 1.8石英25mm 1.5 1.5砂岩25mm 1.4 1.4 37火山灰0.8 1.2 0.9 38石膏25mm 1.4 1.6 1.4 40页岩25mm 1.2~1.4 1.2~1.4熟料25mm 1.3~1.4 1.5 27 32白水泥熟料25mm 0.7 0.7 25 30 原煤25mm 0.7~0.8 0.8~0.9 37 45高炉矿渣25mm 0.6~0.8 0.6~0.8 35~45煤粉0.5 0.4 0.6生料粗料 1.0 0.8细粉0.7~0.9 0.6~0.8 1.1~1.2 30 45水泥30 60 细粉(灰) 1.2 1.0 1.4~1.2530 60 细粉(白) 1.0 0.8 1.2~1.0粗料 1.2 1.00.6 0.8粉煤灰0.6~0.7窑灰0.3~0.5 0.3~0.5 0.7 65物料名称容重(t/m3) 一般窑皮 1.8~2.5辊压机料饼 2.2~2.5普通高铝砖 2.2~2.5普通粘土砖 2.0~2.1铬镁砖 2.8~3.0磷酸盐砖≥2.65 磷酸盐耐磨砖≥2.70碱性砖普通型高强型2.1 2.2白云石砖 2.75~2.98耐碱隔热砖≥1.65刚玉质浇注料≥3.1耐碱浇注料 2.2~2.3高强耐碱浇注料 2.2~2.4高强浇注料高强隔热砖0.6~0.7硅酸钙板0.13~0.23水玻璃 1.35~1.45重油0.92~0.94原油0.76~0.88柴油0.92煤油0.80~0.84汽油0.7~0.73渣油0.92~0.96玻璃样品的密度介于2.86~2.96g/cm3之间玻璃的线性热膨胀系数在89.1~103.6×10-7mm/℃之间. 最大密度为2.96g/cm3.常温下电导率介于10-9~10-12S/cm,270℃时电导率为10-4~10-6S/cm. 玻璃的耐水性较好.注:物料容重指干燥物料,当物料含水时其容重计算如下:设水分为x%,干料容重为M则湿料容重应为M×100/(100-x)。
工艺专业设计提出荷载的规定工艺专业提出的荷载是厂房和基础设计的重要依据,在工程设计中由于工艺专业依据的设计输入资料非标准性很强,很容易出现漏提、少提或多提荷载的情况,为保证工艺设计所提出的准确性和统一性,需要对工艺荷载的提法作出总体的规范和整理,以避免设计中盲目加大荷载和漏提、少提的情况出现。
对此,特制定《工艺专业工程设计提出荷载的规定》本规定从2006年10月1日开始执行。
1、工艺荷载分类1.1工艺使用的机械设备本体重量荷载;1.2工艺非标准本体荷载及传递荷载;1.3耐火材料及保温绝热材料和辅助材料荷载;1.4物料及积灰荷载(包括不正常的事故积料荷载);1.5设备检修或更换材料的检修荷载及起吊物荷载;1.6设备拉紧及配重产生的荷载;1.7设备运转产生的动荷载。
2.关于荷载的标注方法《工艺专业工程设计制图统一规定》第二章第八节:荷载、设备及非标准件编号的标注方法。
3.水泥厂机械设备动荷载系数3.1《水泥厂工艺设计实用手册》727页至730页“机械设备动荷载系数表”及图10-8-2-1至图10-8-2-10.3.2《水泥厂工艺设计手册》(下册)886页至890页“机械设备动荷载系数表”表及图ⅩⅧ-Ⅰ至图ⅩⅧ-Ⅱ。
3.3《水泥厂工艺设计》536页至537页“机械设备动荷载系数表”表及图14-1至图14-2(图不全)凡机械设备图所注动荷载系数大于上述手册所标数值时,提资料以机械设备图所注动荷载系数为准;凡机械设备图所注动荷载系数小于上述手册所标数值时,提资料以上述手册所标数值为准。
凡上述手册都查不到或未列入的设备动荷载系数,均以机械设备图纸或制造商提供的资料为准,但必须对接受资料进行评审。
对于组合式选粉机或外带旋风筒的选粉机,中间筒应将设备自重加积灰重量之和乘以动荷载系数2.7,外带的旋风筒按本院质量体系文件规定的旋风收尘器计算荷载的方法计算荷载,不乘以动荷载系数。
其它型式的选粉机按机械设备图规定的动荷载系数使用,不再使用上述手册规定的动荷载系数。
散料在堆放时能够保持自然稳定状态的最大角度(单边对地面的角度),称为“安息角”。
在这个角度形成后,再往上堆加这种散料,就会自然溜下,保持这个角度,只会增高,同时加大底面积。
在土堆、煤堆、粮食的堆放中,经常可以看见这种现象,不同种类的散料安息角各不相同。
粒子安息角又称粉尘静止角或堆积角。
粉尘粒子通过小孔连续地落到水平板上时堆积成的锥体母线与水平面的夹角。
许多粉尘安息角的平均值约为35°-40°,与粉尘种类、粒径、形状和含水率等因素有关。
同一种粉尘,粒径愈小,安息角愈大;表面愈光滑或愈接近球形的粒子,安息较愈小;粉尘含水率愈大,安息角愈大。
粉尘安息角是粉尘的动力特性之一,是设计除尘设备(如贮灰斗的锥体)和管(倾斜角)的主要依据。
安息角其实就是休止角。
友情提示:本资料代表个人观点,如有帮助请下载,谢谢您的浏览!。
各种物料的休止角和容重与物料的水分。
粒度及性质有关,确切的数据必须根据项目的资料定.下列数据仅供设计参考.
物料名称容重(t/m3) 休止角(°)
机械输送气力输送堆场或储库进料装载放料自流石灰石25mm 1.4~1.5 1.7 1.4~1.5 37 45
泥灰岩25mm 1.25 1.25 40 55 粘土25mm 1.4 1.6 1.4
硫铁矿渣0.9~1.0 1.1~1.2 0.9~1.0
铁矿石25mm 2.1 2.4 2.1 37
硫铁矿25mm 1.9 2.2 1.9 37 43 干砂 1.5 1.6 1.5 42 45 铝矾土25mm 2.4 2.6 2.4
高岭土25mm 2.2 2.6 2.2
火山灰0.8 1.2 0.9 38
粉煤灰0.6 1.4 0.8 45
白垩25mm 1.8 2.7 1.8
石英25mm 1.5 1.5
砂岩25mm 1.4 1.4 37
火山灰0.8 1.2 0.9 38
石膏25mm 1.4 1.6 1.4 40
页岩25mm 1.2~1.4 1.2~1.4
熟料25mm 1.3~1.4 1.5 27 32
白水泥熟料25mm 0.7 0.7 25 30 原煤25mm 0.7~0.8 0.8~0.9 37 45
高炉矿渣25mm 0.6~0.8 0.6~0.8 35~45
煤粉0.5 0.4 0.6
生料
粗料 1.0 0.8
细粉0.7~0.9 0.6~0.8 1.1~1.2 30 45
水泥
30 60 细粉(灰) 1.2 1.0 1.4~1.25
30 60 细粉(白) 1.0 0.8 1.2~1.0
粗料 1.2 1.0
0.6 0.8
粉煤灰0.6~0.7
窑灰0.3~0.5 0.3~0.5 0.7 65
物料名称容重(t/m3) 一般
窑皮 1.8~2.5
辊压机料饼 2.2~2.5
普通高铝砖 2.2~2.5
普通粘土砖 2.0~2.1
铬镁砖 2.8~3.0
磷酸盐砖≥2.65 磷酸盐耐磨砖≥2.70
碱性砖普通型
高强型2.1 2.2
白云石砖 2.75~2.98
耐碱隔热砖≥1.65
刚玉质浇注料≥3.1
耐碱浇注料 2.2~2.3
高强耐碱浇注料 2.2~2.4
高强浇注料
高强隔热砖0.6~0.7
硅酸钙板0.13~0.23
水玻璃 1.35~1.45
重油0.92~0.94
原油0.76~0.88
柴油0.92
煤油0.80~0.84
汽油0.7~0.73
渣油0.92~0.96
玻璃样品的密度介于2.86~2.96g/cm3之间
玻璃的线性热膨胀系数在89.1~103.6×10-7mm/℃之间. 最大密度为2.96g/cm3.常温下电导率介于10-9~10-12S/cm,270℃时电导率为10-4~10-6S/cm. 玻璃的耐水性较好.
注:物料容重指干燥物料,当物料含水时其容重计算如下:
设水分为x%,干料容重为M
则湿料容重应为M×100/(100-x)。