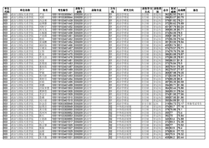
华南师范大学2018年政治与行政学院国际关系招生目录_华南师范大学考研网
- 格式:pdf
- 大小:68.24 KB
- 文档页数:2
2023年政治学与行政学专业考研方向和院校排名政治学与行政学是社会科学中的一个重要分支,其研究的内容主要关注政治体制、政治行为、政治机构、公共政策等方面。
考研方向主要包括政治理论与思想、比较政治学、国际关系学、行政管理学等。
下面介绍一下政治学与行政学专业相关方向和院校的排名情况。
一、政治理论与思想政治理论与思想是政治学的核心领域之一,主要研究政治哲学、政治思想史、政治理论和思想方法等。
其重点在于为政治分析和抉择提供理论和思想支持。
在这个领域方向,比较著名的院校有中国社会科学院、北京大学、清华大学、中央民族大学、华东师范大学等。
二、比较政治学比较政治学是研究不同国家政治制度和政治文化的学问,主要从政治制度调查、政治制度演变、民主化过程、政治文化差异等角度入手。
因此,该领域的学生需要具有宽广的国际视野和了解各种外来文化的背景。
在这个方向上,北京大学、复旦大学、中央民族大学、山东大学等院校都拥有着优良的教学和研究基础。
三、国际关系学国际关系学是研究国家之间的关系和国际组织的驱动力和作用的学问,其研究对象和学科交叉面很广。
该领域的专业人才需要掌握多语言、熟悉多文化的基础,拥有良好的国际政治常识和广阔联接学科的基础。
著名的国际关系学院校有北京大学、复旦大学、南京大学、中国人民大学、上海外国语大学等。
四、行政管理学行政管理学是研究政府、组织和企业管理的学问,主要研究行政管理的理论、方法、技术与实践,提高行政管理的效能和公信力。
在这个领域上,主要的优秀院校有清华大学、北京大学、人民大学、上海交通大学等。
其中,清华大学特色明显,其行政管理与公共政策研究中心是国内领先的复合型政治研究中心,面向国家级、地方级政策进行专门研究并通过政策推行的实践,使毕业生很好地掌握了理论和实践创新。
总之,虽然在政治学与行政学专业领域内,考生可以根据自己的兴趣和职业方向选择不同的研究领域,但选择权重并不相同。
依据中山大学、清华大学和北京大学在本领域的出色表现,我们可以更有把握地对考研录取通道进行有针对性的考虑和选择。
2018华南师范大学各院各专业考研真题资料汇总2018考研陆续开始,为方便考研华南师范大学的学子收集资料,聚英考研网特意为大家分享华南师范大学各学院的专业考研参考书以及相关专业课资料,帮助考研学子们复习,顺利考上理想学院。
以上是展示华南师范大学部分学院的考研参考资料,更多学院的资料可以点击链接查看~
其他学院资料点击:/ziliao/all-scnu-0查看~
以上内容由聚英考研网整理发布,我们会为广大考生持续更新最新的考研报考信息及考研辅导班!此外,我们还提供更多关于华南师范大学考研最新研讯、考研经验、考研真题等一手资讯。
或者可以加入我们的2018考研qq群和众多考研学子一起备战考研!。
2018年学科专业目录01 哲学0101 哲学02 经济学0201 理论经济学0202 应用经济学03 法学0301 法学0302 政治学0303 社会学0304 民族学0305 马克思主义理论0306 公安学04 教育学0401 教育学0402 心理学(可授教育学、理学学位)0403 体育学05 文学0501 中国语言文学0502 外国语言文学0503 新闻传播学06 历史学0601 考古学0602 中国史0603 世界史07 理学0701 数学0702 物理学0703 化学0704 天文学0705 地理学0706 大气科学0707 海洋科学0708 地球物理学0709 地质学0710 生物学0711 系统科学0712 科学技术史(分学科,可授理学、工学、农学、医学学位)0713 生态学0714 统计学(可授理学、经济学学位)08 工学0801 力学(可授工学、理学学位)0802 机械工程0803 光学工程0804 仪器科学与技术0805 材料科学与工程(可授工学、理学学位)0806 冶金工程0807 动力工程及工程热物理0808 电气工程0809 电子科学与技术(可授工学、理学学位)0810 信息与通信工程0811 控制科学与工程0812 计算机科学与技术(可授工学、理学学位)0813 建筑学0814 土木工程0815 水利工程0816 测绘科学与技术0817 化学工程与技术0818 地质资源与地质工程0819 矿业工程0820 石油与天然气工程0821 纺织科学与工程0822 轻工技术与工程0823 交通运输工程0824 船舶与海洋工程0825 航空宇航科学与技术0826 兵器科学与技术0827 核科学与技术0828 农业工程0829 林业工程0830 环境科学与工程(可授工学、理学、农学学位)0831 生物医学工程(可授工学、理学、医学学位)0832 食品科学与工程(可授工学、农学学位)0833 城乡规划学0834 风景园林学(可授工学、农学学位)0835 软件工程0836 生物工程0837 安全科学与工程0838 公安技术0839 网络空间安全09 农学0901 作物学0902 园艺学0903 农业资源与环境0904 植物保护0905 畜牧学0906 兽医学0907 林学0908 水产0909 草学10 医学1001 基础医学(可授医学、理学学位)1002 临床医学1003 口腔医学1004 公共卫生与预防医学(可授医学、理学学位)1005 中医学1006 中西医结合1007 药学(可授医学、理学学位)1008 中药学(可授医学、理学学位)1009 特种医学1010 医学技术(可授医学、理学学位)1011 护理学(可授医学、理学学位)11 军事学1101 军事思想及军事历史1102 战略学1103 战役学1104 战术学1105 军队指挥学1106 军事管理学1107 军队政治工作学1108 军事后勤学1109 军事装备学1110 军事训练学12 管理学1201 管理科学与工程(可授管理学、工学学位)1202 工商管理1203 农林经济管理1204 公共管理1205 图书情报与档案管理13 艺术学1301 艺术学理论1302 音乐与舞蹈学1303 戏剧与影视学1304 美术学1305 设计学(可授艺术学、工学学位) [4]专业学位。
2018年教育部最新硕士研究生指导专业目录注:二级学科名称仅作参考专业名称后加★表示专业硕士01哲学010101马克思主义哲学010102中国哲学010103外国哲学010104逻辑学010105伦理学010106美学010107宗教学010108科学技术哲学02 经济学0201理论经济学020101政治经济学020102经济思想020103经济史020104西方经济学020105世界经济020106人口、资源与环境经济学0202应用经济学020201国民经济学020202区域经济学020203财政学020204金融学020205产业经济学020206国际贸易学020207劳动经济学020208统计学020209数量经济学020210国防经济0251金融★0252应用统计★0253税务★0254国际商务★0255保险★0256资产评估★0257审计★03 法学0301法学030101法学理论030102法律史030103宪法学与行政法学030104刑法学030105民商法学030106诉讼法学030107经济法学030108环境与资源保护法学030109国际法学030110军事法学0302政治学030201政治学理论030202中外政治制度030203科学社会主义与国际共产主义运动030204中共党史030206国际政治030207国际关系030208外交学0303社会学030301社会学030302人口学030303人类学030304民俗学0304民族学030401民族学030402马克思主义民族理论与政策030403中国少数民族经济030404中国少数民族史030405中国少数民族艺术0305马克思主义理论030501马克思主义基本原理030502马克思主义发展史030503马克思主义中国化研究030504国外马克思主义研究030505思想政治教育030506中国近现代史基本问题研究0306 公安学0351法律★035101法律硕士(非法学)035102法律硕士(法学)0352社会工作★0353警务★04 教育学0401教育学040101教育学原理040102课程与教学论040103教育史040104比较教育学040105学前教育学040106高等教育学040107成人教育学040108职业技术教育学040109特殊教育学040110教育技术学0402心理学040201基础心理学040202发展与教育心理学040203应用心理学0403体育学040301体育人文社会学040302运动人体科学040303体育教育训练学040304民族传统体育学0451教育★045101教育管理045102学科教学(思政)045103学科教学(语文)045104学科教学(数学)045105学科教学(物理)045106学科教学(化学)045107学科教学(生物)045108学科教学(英语)045109学科教学(历史)045110学科教学(地理)045111学科教学(音乐)045112学科教学(体育)045113学科教学(美术)045114现代教育技术045115小学教育045116心理健康教育045117科学与技术教育045118学前教育045119特殊教育0452体育★045201体育教学045202运动训练045203竞赛组织045204社会体育指导0453汉语国际教育★0454应用心理★05 文学0501中国语言文学050101文艺学050102语言学及应用语言学050103汉语言文字学050104中国古典文献学050105中国古代文学050106中国现当代文学050107中国少数民族语言文学050108比较文学与世界文学0502外国语言文学050201英语语言文学050202俄语语言文学050203法语语言文学050204德语语言文学050205日语语言文学050206印度语语言文学050207西班牙度语语言文学050208阿拉伯语语言文学050209欧洲语言文学050210亚非语言文学050211外国语言学及应用语言学0503新闻传播学050301新闻学050302传播学0551翻译★055101英语笔译055102英语口译055103俄语笔译055104俄语口译055105日语笔译055106日语口译055107法语笔译055108法语口译055109德语笔译055110德语口译055111朝鲜语笔译055112朝鲜语口译0552 新闻与传播★0553 出版★06 历史学0601 考古学0602 中国史0603 世界史0601历史学060101 史学理论及史学史060102 考古学及博物馆学060103 历史地理学060104 历史文献学(含∶敦煌学、古文字学)060105 专门史060106 中国古代史060107 中国近现代史060108 世界史0651文物与博物馆★07 理学0701数学070101基础数学070102计算数学070103概率论与数理统计070104应用数学070105运筹学与控制论0702物理学070201理论物理070202粒子物理与原子核物理070203原子与分子物理070204等离子体物理070205凝聚态物理070206声学070207光学070208无线电物理0703化学070301无机化学070302分析化学070303有机化学070304物理化学070305高分子化学与物理0704天文学070401天体物理070402天体测量与天体力学0705地理学070501自然地理学070502人文地理学070503地图学与地理信息系统0706大气科学070601气象学070602大气物理学与大气环境0707海洋科学070701物理海洋学070702海洋化学070703海洋生物学070704海洋地质0708地球物理学070801固体地球物理学070802空间物理学0709地质学070901矿物学、岩石学、矿床学070902地球化学070903古生物学与地层学070904构造地质学070905第四纪地质学0710生物学071001植物学071002动物学071003生理学071004水生生物学071005微生物学071006神经生物学071007遗传学071008发育生物学071009细胞生物学071010生物化学与分子生物学071011生物物理学071012生态学0711系统科学071101系统理论071102系统分析与集成0712科学技术史0713 生态学0714 统计学(可授理学、经济学学位)08 工学0801力学080101一般力学与力学基础080102固体力学080103流体力学080104工程力学0802机械工程080201机械制造及其自动化080202机械电子工程080203机械设计及理论080204车辆工程0803光学工程0804仪器科学与技术080401精密仪器及机械080402测试计量技术及仪器0805材料科学与工程080501材料物理与化学080502材料学080503材料加工工程0806冶金工程080601冶金物理化学080602钢铁冶金080603有色金属冶金0807动力工程及工程热物理080701工程热物理080702热能工程080703动力机械及工程080704流体机械及工程080705制冷及低温工程080706化工过程机械0808电气工程080801电机与电器080802电力系统及其自动化080803高电压与绝缘技术080804电力电子与电力传动080805电工理论与新技术0809电子科学与技术080901物理电子学080902电路与系统080903微电子学与固体电子学080904电磁场与微波技术0810信息与通信工程081001通信与信息系统081002信号与信息处理0811控制科学与工程081101控制理论与控制工程081102检测技术与自动化装置081103系统工程081104模式识别与智能系统081105导航、制导与控制0812计算机科学与技术081201计算机系统结构081202计算机软件与理论081203计算机应用技术0813建筑学081301建筑历史与理论081302建筑设计及其理论081303城市规划与设计081304 建筑技术科学0814土木工程081401岩土工程081402结构工程081403市政工程081404供热、供燃气、通风及空调工程081405防灾减灾工程及防护工程081406桥梁与隧道工程0815水利工程081501水文学及水资源081502水力学及河流动力学081503水工结构工程081504水利水电工程081505港口、海岸及近海工程0816测绘科学与技术081601大地测量学与测量工程081602摄影测量与遥感081603地图制图学与地理信息工程0817化学工程与技术081701化学工程081702化学工艺081703生物化工081704应用化学081705工业催化0818地质资源与地质工程081801矿产普查与勘探081802地球探测与信息技术081803地质工程0819矿业工程081901采矿工程081902矿物加工工程081903安全技术及工程0820石油与天然气工程082001油气井工程082002油气田开发工程082003油气储运工程0821纺织科学与工程082101纺织工程082102纺织材料与纺织品设计082103纺织化学与染整工程082104服装设计与工程0822轻工技术与工程082201制浆造纸工程082202制糖工程082203发酵工程082204皮革化学与工程0823交通运输工程082301道路与铁道工程082302交通信息工程及控制082303交通运输规划与管理082304载运工具运用工程0824船舶与海洋工程082401船舶与海洋结构物设计制造082402轮机工程082403水声工程0825航空宇航科学与技术082501飞行器设计082502航空宇航推进理论与工程082503航空宇航制造工程082504人机与环境工程0826兵器科学与技术082601武器系统与运用工程082602兵器发射理论与技术082603火炮、自动武器与弹药工程082604军事化学与烟火技术0827核科学与技术082701核能科学与工程082702核燃料循环与材料082703核技术及应用082704辐射防护及环境保护0828农业工程082801农业机械化工程082802农业水土工程082803农业生物环境与能源工程082804农业电气化与自动化0829林业工程082901森林工程082902木材科学与技术082903林产化学加工工程0830环境科学与工程083001环境科学083002环境工程0831生物医学工程0832食品科学与工程083201食品科学083202粮食、油脂及植物蛋白工程083203农产品加工及贮藏工程083204水产品加工及贮藏工程0833 城乡规划学0834 风景园林学(可授工学、农学学位)0835 软件工程0836 生物工程0837 安全科学与工程0838 公安技术0839 网络空间安全0851建筑学★0853城市规划★0854 电子信息★0855 机械★0856 材料与化工★0857 资源与环境★0858 能源动力★0859 土木水利★0860 生物与医药★0861 交通运输★09 农学0901作物学090101作物栽培学与耕作学090102作物遗传育种0902园艺学090201果树学090202蔬菜学090203茶学0903农业资源与环境090301土壤学090302植物营养学0904植物保护090401植物病理学090402农业昆明与害虫防治090403农药学0905畜牧学090501动物遗传育种与繁殖090502动物营养与饲料科学090504特种经济动物饲养0906兽医学090601基础兽医学090602预防兽医学090603临床兽医学0907林学090701林木遗传育种090702森林培育090703森林保护学090704森林经理学090705野生动植物保护与利用090706园林植物与观赏园艺090707水土保持与荒漠化防治0908水产090801水产养殖090802捕捞学090803渔业资源0909草学0951农业★095101作物095102园艺095103农业资源利用095104植物保护095105养殖095106草业095107林业095108渔业095109农业机械化095110农村与区域发展095111农业科技组织与服务095112农业信息化095113食品加工与安全095114设施农业095115种业0952兽医★0953风景园林★0954林业★10 医学1001基础医学100101人体解剖与组织胚胎学100102免疫学100103病原生物学100104病理学与病理生理学100105法医学100106放射医学100107航空、航天与航海医学1002临床医学100201内科学100202儿科学100203老年医学100204神经病学100205精神病与精神卫生学100206皮肤病与性病学100207影像医学与核医学100208临床检验诊断学100209护理学100210外科学100211妇产科学100212眼科学100213耳鼻咽喉科学100214肿瘤学100215康复医学与理疗学100216运动医学100217麻醉学100218急诊医学1003口腔医学100301口腔基础医学100202口腔临床医学1004公共卫生与预防医学100401流行病与卫生统计学100402劳动卫生与环境卫生学100403营养与食品卫生学100404儿少卫生与妇幼保健学100405卫生毒理学100406军事预防医学1005中医学100501中医基础理论100502中医临床基础100503中医医史文献100504方剂学100505中医诊断学100506中医内科学100507中医外科学100508中医骨伤科学100509中医妇科学100510中医儿科学100511中医五官科学100512针灸推拿学100513民族医学1006中西医结合100601中西医结合基础100602中西医结合临床1007药学100701药物化学100702药剂学100703生药学100704药物分析学100705微生物与生化药学100706药理学1008中药学1009特种医学1011护理学1051临床医学★105101内科学105102儿科学105103老年医学105104神经病学105105精神病与精神卫生学105106皮肤病与性病学105107影像医学与核医学105108临床检验诊断学105109外科学105110妇产科学105111眼科学105112耳鼻喉科学105113肿瘤学105114康复医学与理疗学105115运动医学105116麻醉学105117急诊医学105118中医内科学105119中医外科学105120中医骨伤科学105121中医妇科学105122中医儿科学105123中医五官科学105124针灸推拿学105125民族医学105126中西医结合临床105127全科医学105128临床病理学1052口腔医学★1053公共卫生★1054护理★1055药学★1056中药学★1057中医★11 军事学1101军事思想及军事历史110101军事思想110102军事历史1102战略学110201军事战略学110202战争动员学110203国防动员学1103战役学110301联合战役学110302军种战役学1104战术学110401合同战术学110402兵种战术学1105军队指挥学110501作战指挥学110502军事运筹学110503军事通信学110504军事情报学110505密码学1106军制学110601军事组织编制学110602军队管理学110603军事法制学110604军事管理学1107军队政治工作学1108军事后勤学110801军事后勤建设学110802后方专业勤务110804军事物流学1109军事装备学110902军事装备保障学110903军事装备管理学1110军事训练学1151军事★115101军事指挥115102军队政治工作115103军事后勤115104军事装备12 管理学1201管理科学与工程1202工商管理120201会计学120202企业管理120203旅游管理120204技术经济及管理1203农林经济管理120301农业经济管理120302林业经济管理1204公共管理120401行政管理120402社会医学与卫生事业管理120403教育经济与管理120404社会保障120405土地资源管理1205图书情报与档案管理120501图书馆学120502情报学120503档案学1251工商管理★1252公共管理★1253会计★1254旅游管理★1255图书情报★1256工程管理★13 艺术学1301 艺术学理论1302 音乐与舞蹈学1303 戏剧与影视学1304 美术学1305设计学(可授艺术学、工学学位)1351艺术★135101音乐135102戏剧135103戏曲135104电影135105广播电视135106舞蹈135107美术135108艺术设计。
华南师范大学2018年教育学研究生招生简章华南师范大学招收教育学硕士研究生,院校已经公布了2017年硕士研究生招生简章,备考的同学要仔细详读院校招生信息,了解报考信息避免不必要的报考及复习失误。
更多华南师范大学教育学考研相关信息以及复习指导可以咨询博仁考研老师。
一、报考条件(一)报名申请我校推荐免试攻读硕士研究生的人员,须符合下列条件:1.拥护中国共产党的领导,品德良好,遵纪守法,身心健康。
2.申请人必须是具有推荐免试授权高校的应届本科毕业生,并获得所在院校推荐免试资格,推荐手续完备,材料齐全。
我校接收推免生的具体内容请查阅《华南师范大学2017年接收推荐免试攻读硕士学位研究生章程》。
(二)报名参加全国硕士研究生招生考试的人员,须符合下列条件:1.中华人民共和国公民。
2.拥护中国共产党的领导,品德良好,遵纪守法。
3.身体健康状况符合国家和招生单位规定的体检要求。
4.考生学业水平必须符合下列条件之一:1)国家承认学历的应届本科毕业生(含普通高校、成人高校、普通高校举办的成人高等学历教育应届本科毕业生) 及自学考试和网络教育届时可毕业本科生,录取当年9月1日前须取得国家承认的本科毕业证书。
2)具有国家承认的大学本科毕业学历的人员。
3)获得国家承认的高职高专毕业学历后满2年(从毕业后到录取当年9月1日,下同)或2年以上,达到与大学本科毕业生同等学力,且在复试时必须提交与报考专业相同或相近的5门以上本科专业课主干课程成绩单。
4)国家承认学历的本科结业生,按本科毕业生同等学力身份报考。
5)已获硕士、博士学位的人员。
在校研究生报考须在报名前征得所在培养单位同意。
注意:我校部分招生专业(领域)不接收统考生或同等学力考生报考,请考生报考前务必参阅《华南师范大学2017年硕士研究生招生专业目录》。
(三)报名参加专业学位硕士研究生招生考试的人员,须符合所报专业的报考条件:1.报名参加法律硕士(非法学)专业学位研究生招生考试的人员,须符合下列条件:1)符合(二)中的各项要求。
华南师范⼤学2018年考研招⽣简章 店铺考研⽹为⼤家提供华南师范⼤学2018年考研招⽣简章,更多考研资讯请关注我们⽹站的更新! 华南师范⼤学2018年考研招⽣简章 华南师范⼤学简介 华南师范⼤学始建于1933年,前⾝是⼴东省⽴勷勤⼤学师范学院。
1996年进⼊国家“211 ⼯程”重点建设⼤学⾏列,2015年成为⼴东省⼈民政府和教育部共建⾼校,同年进⼊⼴东省⾼⽔平⼤学整体建设⾼校⾏列,2017年学校进⼊国家“世界⼀流学科”建设⾏列。
学校现有⼴州⽯牌、⼴州⼤学城和佛⼭南海3个校区,占地⾯积 3025亩,校舍⾯积155万平⽅⽶,图书374万册。
学校设有31个学院(所)招收硕⼠研究⽣。
现有教育技术学、发展与教育⼼理学、光学、体育⼈⽂社会学(重点培育)4个国家重点学科,9个国家 “ 211 ⼯程 ”重点建设学科, 22个⼴东省重点学科(含5个攀峰重点学科,14个优势重点学科和3个特⾊重点学科,共18个⼀级重点学科和4个⼆级重点学科)。
在教育部第三轮学科评估中,⼼理学、体育学和教育学3个学科进⼊全国⾼校前10%;化学、植物与动物学、⼯程学和数学4个学科进⼊ ESI 全球前 1%。
学校拥有84个本科专业,32个硕⼠学位授权⼀级学科、200多个硕⼠学位授权点、14个硕⼠专业学位授权点,15个博⼠学位授权⼀级学科、100多个博⼠学位授权点、1个博⼠专业学位授权点,17个博⼠后流动站。
学科布局覆盖哲学、经济学、法学、教育学、⽂学、历史学、理学、⼯学、农学、医学、管理学、艺术学 12个门类。
学校教师队伍结构良好、⽔平较⾼,拥有⼀批在国内外具有⼀定影响的专家学者。
现有专任教师1934⼈,其中副⾼级以上1098⼈,博⼠、硕⼠研究⽣导师1132⼈,具有博⼠、硕⼠学位的1810⼈。
现有院⼠(含双聘和外籍)11⼈,“长江学者”7⼈,国家杰出青年基⾦获得者6名,“****”⼊选者9⼈,“青年****”⼊选者6⼈,“长江学者与创新团队发展计划”创新团队3个,国家教学名师2⼈,百千万⼈才⼯程国家级⼈选6⼈,教育部新世纪优秀⼈才⽀持计划⼈选20⼈,“****”⼊选者2⼈,中宣部“四个⼀批”⼈才3⼈,国家优秀青年基⾦获得者1⼈,⼴东省领军⼈才8⼈,⼴东省创新科研团队2个,珠江学者15⼈,⼴东省⾼等学校“千百⼗⼯程”国家级培养对象7名,并有国务院学位委员会学科评议组成员3名,教育部⾼等学校教学指导委员会成员 13名。
2018年招收攻读硕士学位研究生专业目录学院代码及名称专业代码、专业名称、研究方向代码、研究方向名称初试考试科目代码及科目名称复试考试科目代码及科目名称101 马克思主030204中共党史①101思想政治理论复试:1002中共党史01. (全日制)国共关系史和海峡两岸关系②201英语一或202俄语或203日语任选其一02. (全日制)中国共产党思想理论与实践③611政治学原理03. (全日制)党的建设理论与实践④801毛泽东思想和中国特色社会主义理论体系030501马克思主义基本原理①101思想政治理论复试:1003马克思主义经典著作选读01. (全日制)马克思主义基础理论研究②201英语一或202俄语或203日语任选其一02. (全日制)中国化马克思主义基本理论③612马克思主义基本原理03. (全日制)马克思主义社会发展理论④841马克思主义发展史030502马克思主义发展史①101思想政治理论复试:1003马克思主义经典著作选读01. (全日制)马克思恩格斯列宁思想发展史②201英语一或202俄语或203日语任选其一02. (全日制)当代中国马克思主义发展史③612马克思主义基本原理03. (全日制)马克思主义与当代世界④841马克思主义发展史030503马克思主义中国化研究①101思想政治理论复试:1005 中国特色社会主义理论体系01.(全日制)马克思主义中国化的历史进程及规律研究②201英语一或202俄语或203日语任选其一02.(全日制)马克思主义中国化与当代中国政治研究③612马克思主义基本原理03.(全日制)马克思主义中国化与当代中国经济研究④802马克思主义中国化理论与实践04.(全日制)马克思主义中国化与当代中国文化研究030504国外马克思主义研究①101思想政治理论复试:1006西方哲学(含:西方哲学史、现代西方人本主义哲学)01.(全日制)西方马克思主义基本理论研究②201英语一或202俄语或203日语任选其一02.(全日制)东欧俄罗斯马克思主义研究③612马克思主义基本原理思主义学院03.(全日制)英美法马克思主义研究④841马克思主义发展史030505思想政治教育①101思想政治理论复试:1007中国化马克思主义01. (全日制)思想政治教育理论与方法②201英语一或202俄语或203日语任选其一02. (全日制)价值观教育研究③612马克思主义基本原理03. (全日制)高校思想政治教育研究④842思想政治教育学030506中国近现代史基本问题研究①101思想政治理论复试:1008中国近现代史(含:中国当代史)01.(全日制)中国近现代史的发展历程、规律和主要经验研究②201英语一或202俄语或203日语任选其一02.(全日制)近现代思想文化转型与中国共产党文化创新发展研究③612马克思主义基本原理03.(全日制)中国近现代重要人物及其思想研究④843中国近现代史基本问题0201Z2马克思主义与中国经济社会发展①101思想政治理论复试:1003马克思主义经典著作选读01.(全日制)经济发展与社会发展②201英语一或202俄语或203日语任选其一02.(全日制)经济发展与人的发展③303数学三03.(全日制)经济发展与生态文明建设④840马克思主义政治经济学原理0602L5中国近现代史①101思想政治理论复试:1009中国近现代史(1840-1949)01.(全日制)中国近现代政治史②201英语一或202俄语或203日语任选其一02.(全日制)中国近现代社会史③622历史学基础知识03.(全日制)中国近现代经济史④无03.(全日制)中国近现代思想文化史010101马克思主义哲学①101思想政治理论复试:1010马克思主义哲学史01.(全日制)马克思主义哲学基础理论②201英语一或202俄语或203日语任选其一02.(全日制)西方马克思主义哲学③614马克思主义哲学原理03.(全日制)马克思主义哲学中国化④803西方哲学史(不含现当代)04.(全日制)马克思主义生态文明理论研究010102中国哲学①101思想政治理论复试:1011中国哲学史01.(全日制)先秦哲学研究②201英语一或202俄语或203日语任选其一02.(全日制)宋明哲学研究③614马克思主义哲学原理03.(全日制)近现代中国哲学研究④803西方哲学史(不含现当代)010103外国哲学①101思想政治理论复试:1012现代西方哲学01.(全日制)西方政治哲学②201英语一或202俄语或203日语任选其一02.(全日制)近现代德国哲学③614马克思主义哲学原理03.(全日制)法国哲学④803西方哲学史(不含现当代)04.(全日制)西方马克思主义哲学010104逻辑学①101思想政治理论复试:1013形式逻辑01.(全日制)现代逻辑②201英语一或202俄语或203日语任选其一02.(全日制)法律逻辑与法学方法论③614马克思主义哲学原理03.(全日制)经济逻辑与管理决策④803西方哲学史(不含现当代)04.(全日制)名辩思想与中国文化010105伦理学①101思想政治理论复试:1014伦理学原理01.(全日制)伦理学原理研究②201英语一或202俄语或203日语任选其一02.(全日制)伦理思想史研究③614马克思主义哲学原理03.(全日制)经济伦理问题研究④803西方哲学史(不含现当代)010106美学①101思想政治理论复试:1015美学原理01.(全日制)美学原理②201英语一或202俄语或203日语任选其一02.(全日制)中国美学史③614马克思主义哲学原理03.(全日制)西方美学史④803西方哲学史(不含现当代)04.(全日制)设计美学010108科学技术哲学①101思想政治理论复试:1016科学技术哲学01.(全日制)生态环境哲学②201英语一或202俄语或203日语任选其一102102 哲学院02. (全日制)科学技术与社会③614马克思主义哲学原理03. (全日制) 科学思想史与科学认识论④803西方哲学史(不含现当代)030201政治学理论①101思想政治理论复试:1017西方政治思想史01.(全日制)政治学理论与方法②201英语一或202俄语或203日语任选其一02.(全日制)比较政治学③611政治学原理03.(全日制)公民理论与政治发展④801毛泽东思想和中国特色社会主义理论体系04.(全日制)生态政治学030202中外政治制度①101思想政治理论复试:1018中外政治制度比较01.(全日制)比较政治制度②201英语一或202俄语或203日语任选其一02.(全日制)中外政治制度史③611政治学原理03.(全日制)当代中国政治与政府④801毛泽东思想和中国特色社会主义理论体系04.(全日制)政治社会学030206国际政治①101思想政治理论复试:1019国际关系理论、当代中国外交及国际热点问题01.(全日制)国际政治理论②201英语一或202俄语或203日语任选其一02.(全日制)国际安全③611政治学原理03.(全日制)国际战略与大国关系④801毛泽东思想和中国特色社会主义理论体系04.(全日制)世界经济与政治030207国际关系①101思想政治理论复试:1020国际关系理论、当代中国外交及国际热点问题01.(全日制)国际经济政治②201英语一或202俄语或203日语任选其一02.(全日制)国际安全③611政治学原理03.(全日制)美国政治与外交④801毛泽东思想和中国特色社会主义理论体系04.(全日制)中国外交政策与对外关系030301社会学①101思想政治理论复试:1021社会学学术发展史01.(全日制)社会学理论与方法②201英语一或202俄语或203日语任选其一02.(全日制)企业社会学③615社会学原理03.(全日制)应用社会学④804社会学研究方法035200社会工作(专业学位)①101思想政治理论复试:1004国外社会工作理论与实务01.(全日制) 企业社会工作②204英语二③331社会工作原理④437社会工作实务103 经济学院020101政治经济学①101思想政治理论复试:1022政治经济学(社会主义部分)00.(全日制)②201英语一或202俄语或203日语任选其一③303数学三④805经济学(政治经济学资本主义部分占40%;微观经济学占60%)020102经济思想史①101思想政治理论复试:1023中国近代经济思想史00.(全日制)②201英语一或202俄语或203日语任选其一③303数学三④805经济学(政治经济学资本主义部分占40%;微观经济学占60%)020103经济史①101思想政治理论复试:1024中国近现代经济史00.(全日制)②201英语一或202俄语或203日语任选其一③303数学三④805经济学(政治经济学资本主义部分占40%;微观经济学占60%)020104西方经济学①101思想政治理论复试:1025宏观经济学00.(全日制)②201英语一或202俄语或203日语任选其一③303数学三④805经济学(政治经济学资本主义部分占40%;微观经济学占60%)020105世界经济①101思想政治理论复试:1026国际经济学01.(全日制)国际金融问题研究②201英语一或202俄语或203日语任选其一02.(全日制)国际贸易问题研究③303数学三03.(全日制)新兴经济体市场研究④805经济学(政治经济学资本主义部分占40%;微观经济学占60%)020106人口、资源与环境经济学①101思想政治理论复试:1027人口、资源与环境经济学00.(全日制)②201英语一或202俄语或203日语任选其一③303数学三④805经济学(政治经济学资本主义部分占40%;微观经济学占60%)025400国际商务硕士(专业学位)①101思想政治理论复试:1029国际经济学01. (全日制)涉外投资与管理②204英语二③303数学三④434-国际商务专业基础104 财政税务学院020203财政学①101思想政治理论复试:1030财政学00.(全日制)②201英语一或202俄语或203日语任选其一③303数学三④806经济学(宏、微观)★0202Z2税收学①101思想政治理论复试:1031税收学00.(全日制)②201英语一或202俄语或203日语任选其一③303数学三④806经济学(宏、微观)025300税务硕士(专业学位)①101思想政治理论复试:1032专业综合00.(全日制)②204英语二③303数学三④433税务专业基础105金融学院020204金融学①101思想政治理论复试:1034金融学01.(全日制)货币理论与政策②201英语一或202俄语或203日语任选其一02.(全日制)金融机构与风险管理③303数学三03.(全日制) 国际金融④806经济学(宏、微观)04.(全日制)金融市场与证券投资★0202Z3投资学①101思想政治理论复试:1036投资学01.(全日制)产业投资②201英语一或202俄语或203日语任选其一02.(全日制)金融投资③303数学三03.(全日制)国际投资④806经济学(宏、微观)★0202Z4房地产经济学①101思想政治理论复试:1037房地产经济01.(全日制)住房制度与政策②201英语一或202俄语或203日语任选其一02.(全日制)房地产金融与投资③303数学三03.(全日制)房地产估价与市场分析④806经济学(宏、微观)★0202Z5金融工程①101思想政治理论复试:1038金融工程01.(全日制)资本市场②201英语一或202俄语或203日语任选其一02.(全日制)公司金融③303数学三03.(全日制)量化投资④806经济学(宏、微观)★0202Z6保险学①101思想政治理论复试:1039保险学01.(全日制)保险市场与保险中介②201英语一或202俄语或203日语任选其一02.(全日制)风险管理理论与实务③303数学三03.(全日制)保险管理与保险经营④806经济学(宏、微观)04.(全日制)保险精算与保险监管025100 金融(专业学位)①101思想政治理论复试:1040 经济学F0.非全日制②204英语二00.全日制③303 数学三④431金融学综合025500保险(专业学位)①101思想政治理论复试:1041经济学00.(全日制)②204英语二③303数学三④435保险专业基础120100管理科学与工程①101思想政治理论复试:1042项目评价与估价01.(全日制)项目管理②201英语一或202俄语或203日语任选其一③303数学三④807管理学030101法学理论①101思想政治理论复试:1043法律基础(民法总论、刑法总论)、西方法律思想史01.(全日制)法理学②201英语一或202俄语或203日语或241二外法语任选其一02.(全日制)法社会学③616法学基础(法学理论75分、宪法学75分)03.(全日制)法学方法论④808法理学04.(全日制)立法学030102法律史①101思想政治理论复试:1044中国法律史(中国法制史、中国法律思想史)01.(全日制)中国法制史②201英语一或202俄语或203日语任选其一③616法学基础(法学理论75分、宪法学75分)④809中外法制史(中国法制史学80分、外国法制史学70分)02.(全日制)外国法制史①101思想政治理论复试:1045外国法律史(外国法制史、西方法律思想史)②201英语一或202俄语或203日语任选其一③616法学基础(法学理论75分、宪法学75分)④809中外法制史(中国法制史学80分、外国法制史学70分)030103宪法学与行政法学①101思想政治理论复试:1046宪政综合(比较宪法学50分、外国行政法100分)106 法学院01.(全日制)宪法学②201英语一或202俄语或203日语或241二外法语任选其一02.(全日制)行政法学③616法学基础(法学理论75分、宪法学75分)④810宪法学与行政法学(宪法75分,行政法 75分)030105民商法学①101思想政治理论复试:1047财产法01.(全日制)民法基础理论②201英语一或202俄语或203日语或241二外法语任选其一02.(全日制)财产法③616法学基础(法学理论75分、宪法学75分)03.(全日制)人身权法④811民法学030106诉讼法学①101思想政治理论复试:1048民事诉讼法学01.(全日制)民事诉讼法②201英语一或202俄语或203日语任选其一③616法学基础(法学理论75分、宪法学75分)④812诉讼法学(刑事诉讼法学、民事讼法学各75分)02.(全日制)刑事诉讼法①101思想政治理论复试:1049刑事诉讼法学②201英语一或202俄语或203日语任选其一③616法学基础(法学理论75分、宪法学75分)④812诉讼法学(刑事诉讼法学、民事讼法学各75分)030107经济法学①101思想政治理论复试:1050经济法(含商法)00.(全日制)②201英语一或202俄语或203日语任选其一③616法学基础(法学理论75分、宪法学75分)④813经济法学(经济法80分,商法70分)030108环境与资源保护法学①101思想政治理论复试:1051国际环境法00.(全日制)②201英语一或202俄语或203日语任选其一③616法学基础(法学理论75分、宪法学75分)④814环境资源法学030109国际法学①101思想政治理论复试:1052国际公法01.(全日制)国际公法②201英语一或202俄语或203日语任选其一③616法学基础(法学理论75分、宪法学75分)④815国际法(总分150分,构成如下:必选题-国际公法基础50分任选题-考生依照报考方向选其中一个模块作答模块1国际公法分论50分、国际关系史50分模块2国际经济法100分模块3国际私法100分)02.(全日制)国际私法①101思想政治理论复试:1053国际私法②201英语一或202俄语或203日语任选其一③616法学基础(法学理论75分、宪法学75分)④815国际法(总分150分,构成如下:必选题-国际公法基础50分任选题-考生依照报考方向选其中一个模块作答模块1国际公法分论50分、国际关系史50分模块2国际经济法100分模块3国际私法100分)03.(全日制)国际经济法①101思想政治理论复试:1054国际经济法②201英语一或202俄语或203日语任选其一③616法学基础(法学理论75分、宪法学75分)④815国际法(总分150分,构成如下:必选题-国际公法基础50分任选题-考生依照报考方向选其中一个模块作答模块1国际公法分论50分、国际关系史50分模块2国际经济法100分模块3国际私法100分)★0301Z4 社会治理法治①101思想政治理论复试:1097行政法、社会治理法学01.(全日制)社会治理法学原理②201英语一或202俄语或203日语任选其一02.(全日制)社会治理法律制度③616法学基础(法学理论75分、宪法学75分)03.(全日制)社会治理法治实践④808法理学107 刑事司法学院030104刑法学①101思想政治理论复试:1055外国刑法学01.(全日制)中国刑法学②201英语一或202俄语或203日语任选其一02.(全日制)比较刑法学③616法学基础(法学理论75分、宪法学75分)03.(全日制)犯罪与刑事政策学④816刑法学★0301Z2侦查学①101思想政治理论复试:1056侦查学01.(全日制)侦查学②201英语一或202俄语或203日语任选其一③616法学基础(法学理论75分、宪法学75分)④817侦查学★0301Z3治安学①101思想政治理论复试:1057治安学01.(全日制)治安学②201英语一或202俄语或203日语任选其一③616法学基础(法学理论75分、宪法学75分)④818治安学050201英语语言文学①101思想政治理论复试:1058英语语言文学专业知识(含听力及专业基础理论,以文学为主)01.(全日制)英语文学文化研究②241二外法语或242二外日语或243二外德语任选其一02.(全日制)中外戏剧比较研究③617基础英语④819英语写作与翻译(写作与翻译各占一半)108 外国语学院050205日语语言文学①101思想政治理论复试:1059日本语言文学与文化专业知识(含听力及专业基础理论)01.(全日制)日汉翻译②241二外法语或243二外德语或244二外英语任选其一02.(全日制)日本文化与经济③618基础日语④820日语写作与翻译(写作与翻译各占一半)050211外国语言学及应用语言学①101思想政治理论复试:1060外国语言学综合(含听力及专业基础理论)01.(全日制)英语语言与教学研究②241二外法语或242二外日语或243二外德语任选其一02.(全日制)翻译研究③617基础英语④819英语写作与翻译(写作与翻译各占一半)055101英语笔译(专业学位)①101思想政治理论复试:1061 翻译实践(笔译实践、听力、口试)01.(全日制)通用笔译②211翻译硕士英语③357英语翻译基础④448 汉语写作与百科知识02.(全日制)法商笔译①101思想政治理论复试:1061 翻译实践(笔译实践、听力、口试)②211翻译硕士英语③357英语翻译基础④448 汉语写作与百科知识055102英语口译(专业学位)①101思想政治理论复试:1061 翻译实践(笔译实践、听力、口试)00.(全日制)②211翻译硕士英语③357英语翻译基础④448 汉语写作与百科知识109 新闻与文化传播学院050301新闻学①101思想政治理论复试:1062新闻学综合(含新闻史论、新闻实务、媒介经营管理)01. (全日制)新闻史论②201英语一或202俄语或203日语或241二外法语或243二外德语任选其一02. (全日制)新闻业务(经济新闻、法制新闻)③619 新闻传播学基础(含新闻理论、新闻业务、传播学基本理论)03. (全日制)媒介经营管理④821综合知识(大学语文,经济学通论或法学通论)050302传播学①101思想政治理论复试:1063传播学综合(含传播学理论、新媒体传播、戏剧影视传播)01.(全日制)传播学理论②201英语一或202俄语或203日语或241二外法语或243二外德语任选其一02 .(全日制) 新媒体传播③619 新闻传播学基础(含新闻理论、新闻业务、传播学基本理论)03.(全日制)戏剧影视传播④821综合知识(大学语文,经济学通论或法学通论)055200新闻与传播(专业学位)①101思想政治理论复试:1109 专业知识与专业技能01.(全日制)经济新闻报道实务②202俄语或203日语或204英语二或241二外法语或243二外德语任选其一02.(全日制)法制新闻报道实务③334新闻与传播专业综合能力03.(全日制)新媒体与文化传播④440新闻与传播专业基础020205产业经济学①101思想政治理论复试:1064产业经济学01.(全日制)工业经济②201英语一或202俄语或203日语任选其一③303数学三④806经济学(宏、微观)02.(全日制)贸易经济①101思想政治理论复试:1065贸易(流通)经济学②201英语一或202俄语或203日语任选其一③303数学三④806经济学(宏、微观)020206国际贸易学①101思想政治理论复试:1066国际贸易学01.(全日制)国际贸易理论与政策②201英语一02. (全日制)跨国经营理论与战略③303数学三03.(全日制)国际贸易实务与惯例④806经济学(宏、微观)025400国际商务(专业学位)①101思想政治理论复试:1067国际商务综合02.(全日制)跨国经营与管理②204英语二③303数学三④434国际商务专业基础025600资产评估(专业学位)①101思想政治理论复试:1068评估综合知识00.(全日制)②204英语二③303数学三④436资产评估专业基础095137农业管理(专业学位)①101思想政治理论复试:1069 专业综合课00.(全日制)②204英语二③342农业知识综合四(发展经济学、农村政策学、管理学)④822农业经济学095138农村发展(专业学位)①101思想政治理论复试:1069 专业综合课00.(全日制)②204英语二110 工商管理学院③342农业知识综合四(发展经济学、农村政策学、管理学)④822农业经济学120202企业管理①101思想政治理论复试:1070企业管理01.(全日制)公司管理②201英语一或202俄语或203日语任选其一③303数学三④823管理学02.(全日制)物流管理①101思想政治理论复试:1071物流与供应链管理②201英语一或202俄语或203日语任选其一③303数学三④823管理学120203旅游管理①101思想政治理论复试:1072旅游学基础(旅游学概论和旅游热点问题)01.(全日制)旅游与服务管理②201英语一或202俄语或203日语任选其一02.(全日制)旅游企业管理③303数学三03.(全日制)旅游目的地开发与管理④823管理学120204技术经济及管理①101思想政治理论复试:1073 标准化管理01.(全日制)标准化管理方向②201英语一或202俄语或203日语任选其一③303数学三④823管理学★1202Z1营销管理①101思想政治理论复试:1074营销管理01.(全日制)市场营销②201英语一或202俄语或203日语任选其一③303数学三④823管理学★1202Z4电子商务①101思想政治理论复试:1075电子商务综合01.(全日制)电子商务管理②201英语一或202俄语或203日语任选其一02.(全日制)网络营销③303数学三03.(全日制)电子商务应用④823管理学120301农业经济管理①101思想政治理论复试:1076农业经济与管理00.(全日制)②201英语一或202俄语或203日语任选其一③303数学三④824农林经济管理综合(农业经济学占70%,林业经济管理占30%)120302林业经济管理①101思想政治理论复试:1077林业经济与管理00.(全日制)②201英语一或202俄语或203日语任选其一③303数学三④824农林经济管理综合(农业经济学占70%,林业经济管理占30%)★1204Z1组织与人力资源管理①101思想政治理论复试:1078专业综合课(人力资源管理60% 组织行为学40%)01.(全日制)人力资源管理②201英语一或202俄语或203日语任选其一③303数学三④823管理学120405土地资源管理①101思想政治理论复试:1079 土地资源管理综合01.(全日制)土地资源经济与可持续发展②201英语一或202俄语或203日语任选其一02.(全日制)土地经济理论与政策③621 公共管理基础综合03.(全日制)土地利用与规划④825 土地经济学125400旅游管理(专业学位)①199-管理类联考综合能力复试:1080旅游学概论和旅游实践问题01.(非全日制)旅游服务管理②204英语二02.(非全日制)旅游企业管理③无03.(非全日制)旅游规划与项目管理④无120100管理科学与工程①101思想政治理论复试:1114管理运筹学09.(全日制)运营管理②201英语一或202俄语或203日语任选其一③303数学三④823管理学111 会计学院(会计硕士教育中心)025700审计(专业学位)①199-管理类联考综合能力复试:1081思想政治理论和专业综合课01.(全日制)政府与非营利组织审计②204英语二02.(全日制)CPA审计③无03.(全日制)内部控制与审计④无120201会计学①101思想政治理论复试:1115 会计理论与实务01. (全日制)企业会计②201英语一02. (全日制)政府与非营利组织会计③303数学三④826专业综合(其中:财务会计90分、财务管理60分)★1202Z2财务管理①101思想政治理论复试:1112 财务理论与实务01.(全日制)公司财务与内部控制②201英语一02.(全日制)投融资管理③303数学三④826专业综合(其中:财务会计90分、财务管理60)★1202Z3审计学①101思想政治理论复试:1116审计理论与实务01.(全日制)审计②201英语一③303数学三④826专业综合(其中:财务会计90分、财务管理60分)125300会计(专业学位)①199-管理类联考综合能力复试:1081思想政治理论和专业综合课01.(全日制)财务会计②204英语二02. (全日制)公司财务③无03.(全日制)成本与管理会计④无125300 会计(专业学位)F0.(非全日制)CFO与财富管理①199-管理类联考综合能力复试:1081思想政治理论和专业综合课②204英语二③无④无020202区域经济学①101思想政治理论复试:1084区域经济学01.(全日制)城市经济与管理②201英语一或202俄语或203日语任选其一02.(全日制)人口与区域可持续发展③303数学三03.(全日制)土地经济与管理④806经济学(宏、微观)020207劳动经济学①101思想政治理论复试:1085劳动经济学01.(全日制)人力资本与收入分配②201英语一或202俄语或203日语任选其一02.(全日制)劳动关系与劳动就业③303数学三④806经济学(宏、微观)030302人口学①101思想政治理论复试:1086社会学01.(全日制)人口与可持续发展②201英语一或202俄语或203日语任选其一02.(全日制)人口迁移与城市化③620人口统计学03.(全日制)人口统计与大数据④827人口学原理112公共管理学院035200社会工作(专业学位)①101思想政治理论复试:1110社会工作综合02.(全日制)养老产业与社会组织管理②204英语二③331社会工作原理④437社会工作实务120401行政管理①101思想政治理论复试:1087政治学01.(全日制)行政管理的理论与实践②201英语一或202俄语或203日语任选其一02.(全日制)公共部门人力资源管理③621公共管理基础综合03.(全日制)公共政策的理论与实践④828公共行政学120402社会医学与卫生事业管理①101思想政治理论复试:1088 经济学00.(全日制)②201英语一或202俄语或203日语任选其一③621公共管理基础综合④829卫生经济学120403教育经济与管理①101思想政治理论复试:1089教育学01.(全日制)教育经济研究②201英语一或202俄语或203日语任选其一02.(全日制)教育管理研究③621公共管理基础综合④830教育经济学120404社会保障①101思想政治理论复试:1088 经济学01.(全日制)医疗保险与医院管理②201英语一或202俄语或203日语任选其一02.(全日制)社会保险基金管理与财务③621公共管理基础综合④831社会保障与财政★1204Z1组织与人力资源管理①101思想政治理论复试:1111 组织行为学与管理数学基础02.(全日制)组织理论与组织管理②201英语一或202俄语或203日语任选其一03.(全日制)人力资源开发与管理③621公共管理基础综合04.(全日制)公共人力资源管理政策④834组织与人力资源管理★1204Z2劳动关系①101思想政治理论复试:1085劳动经济学00.(全日制)②201英语一或202俄语或203日语任选其一③621公共管理基础综合④835劳动关系基础理论。
00207政治学
Ⅰ.考试性质
考试是为高等院校和科研院所招收管理类专业学位硕士研究生而设
置的具有选拔性质的科目,其目的是科学、公平、有效地测试考生
是否具备攻读专业学位所必须的基本素质、一般能力和培养潜能,
评价的标准是高等学校本科毕业生所能达到的及格或及格以上的水平,以利于各高等院校和科研院所在专业上择优选拔,确保专业学
位硕士研究生的招生质量。
Ⅱ.考查目标
1. 具有运用公共管理基础知识、基本方法分析和解决问题的能力。
2. 具有较强的分析、推理、论证等逻辑思维能力。
3. 具有较强的文字材料理解能力、分析能力以及书面表达能力。
Ⅲ.考试形式和试卷结构
一、试卷满分及考试时间试卷满分为100 分,考试时间为120分钟。
二、答题方式答题方式为闭卷、笔试。
不允许使用计算器。
三、试卷内容与题型结构
公共管理理论分析------------------50分,有以下两种题型: ┠简答题 ┗论述题
公共管理问题分析------------------50分,有以下两种题型:
┠材料题 ┗案例分析题
Ⅳ.考查内容。
2023年政治学与行政学专业考研院校政治学与行政学专业是研究政治理论、政府制度、国家政策等方面的学科,其培养目标是能够掌握现代政治理论、政体制度、政治运作方式和政策分析等知识,具备从事政策与治理领域相关工作的能力和素质。
下面列举一些国内政治学与行政学专业的考研院校。
1. 北京大学北京大学政治学与国际关系学院是我国最早成立的独立政治学与国际关系学院之一,在政治学和国际关系领域享有盛誉。
该学院拥有高水平的师资队伍,包括中国著名政治学家、历史学家、国际关系学家等。
政治学与行政学硕士专业博士生导师均来自该院。
2. 清华大学清华大学公共管理学院是一所高水平的、以公共管理为主要研究方向的学院。
其政治学与行政学专业以培育公共管理领域的高素质人才为主要目标。
该专业设立硕士、博士研究生。
3. 中国人民大学中国人民大学政治学系是我国最早成立的和规模最大的政治学系之一,是我国培养政治学硕士和博士研究生的重要基地,也是我国政治学研究的重要智库之一。
4. 中央民族大学中央民族大学政治学与行政学硕士研究生教育是具有鲜明民族地区特色的人才培养工程之一。
该专业在民族地区政治与管理方面具有很强的实践能力,为全国研究生培养政治学与行政学领域的特色学科建设发挥了重要作用。
5. 中国政法大学中国政法大学政治学与行政学院硕士研究生教育项目具有较强的研究能力和政策分析能力,其教学内容和方法也有其特色。
该专业主要培养政治与行政方向的高级人才。
6. 华东师范大学华东师范大学政治与公共事务学院是全国重点学科之一,拥有一支有着深厚学术底蕴和较强实践能力的专家队伍。
该学院的政治学与行政学硕士专业,着重培养学生具有较强的政策制定、政策分析和公共管理等能力。
总之,政治学与行政学专业是研究政治理论、政府制度、国家政策等方面的学科,通过考研进入政治学与行政学专业,可培养政策与治理领域相关人才,进入政府部门、智库和研究机构等领域工作。
申请考研时,考生应根据自身情况和专业需求选择适合自己的院校和专业,从而提高考试成功率。