模拟电子电路基础(胡飞跃)第5章答案
- 格式:ppt
- 大小:792.00 KB
- 文档页数:21
第五章 放大电路的频率特性5.1 已知某级联放大电路的电压增益函数为:)10)(10(10100)(6713++⨯-=s s s A u试画出它的幅频波特图和相频波特图;?))(0(=dB A u解:由题可知 0)(lim =∞→s A u s (即m n >,极点数目大于零点数目),且极点数值较大。
该增益函数为高频增益函数。
故中频增益为100)(lim )0(0-===→s A A A u s u o即 dB dB A u 40100lg 20))(0(=-= 中频段相移 o o 180-=ϕ 由频率响应函数)101)(101(100)10)(10(10100)(767613ωωωωωjjj j j A u ++-=++⨯-=可得幅频特性 2726)10(1lg 20)10(1lg 20100lg 20))((ωωω+-+--=dB A u 2726)10(1lg 20)10(1lg 2040ωω+-+-=dB 相频特性 761010180)(ωωωϕarctgarctgo---=画出其幅频波特图和相频波特图分别如题5.1解图(a)和(b)所示。
4020题5.1解图-180o - -270o -360o5.3某放大器增益函数为:)10)(10()10(10)(322+++-=s s s s s A u ,试画出它的幅频波特图和相频波特图。
解:由题可知该放大器增益函数存在两个一阶极点:101=p ,3210=p ;两个一阶零点:01=z ,2210=z 。
根据一阶零、极点波特图的特点,画出其幅频波特图和相频波特图分别如题5.3解图(a)和(b)所示。
5.6单级共射放大电路如题5.6图所示。
已知Ω=K R c 2,Ω===K R R R L e s 1,Ω=K R R b b 10//21,F C μ51=,F C μ102=,F C e μ100=,BJT 参数44=β,Ω=K r be 4.1,试估算出该放大器源电压增益的低频截止频率L f 。
习题 11-1在题图1-1 所示电路中,(1)选d 为参考点,求Va、V b和V c;(2)选c 为参考点,求Va、V b和V d。
题图1-1解(1)当选d 为参考点时,V a =u ad = 3VV b =ubd=ubc+ucd= 2 - 1 = 1V ;Vc=ucd=-1V(2)当选c 为参考点时,V a =u ad +u dc = 3 + 1 = 4VV b =ubc= 2V ;Vd=udc= 1V1-2 求题图1-2 中的电流I 、电压U 及电压源和电流源的功率。
题图1-2解I = 2A ;U = 5I - 3 + 3I = 13V电流源功率电压源功率P1=-2 ⋅U =-26W (产生)P2=-3 ⋅I =-6W (产生)1-3 试求题图1-3 (a)(b)所示电路的电流I 及受控源功率。
(a)(b)题图1-3解(a)2I + 4I + 6 = 0 ;I =-1A受控电压源功率6P = 4I ⋅I =-4W (产生)(b)I = = 2A3受控电流源功率P = 2I ⋅ (-3 ⨯ 2I + 2) =-40W (产生)1-4 求题图1-4 中的I 、U S 。
题图1-4解I = 2 - 3 +2 ⨯(2 - 3) + 2 ⨯5= 7A1US= 2I + 2 ⨯(2 - 3) + 5⨯ 2 = 14 - 2 +10 = 22V 1-5 试求题图1-5 中的I 、I X 、U 及U X 。
题图1-5解I = 3 -1= 2A ;I X =-1 -I =-3AU = 5 ⋅IX=-15VUX = 5 ⋅IX- 2 ⨯ 3 - 4 =-25V1-6 电路如题图1-6 所示,求图(a)中的ab 端等效电阻及图(b)中电阻R 。
(a)(b)题图1-6⎛ 6 + 6 ⨯ 6 ⎫ ⨯ 18⎪ 解 (a) R =⎝ 6 + 6 ⎭+ 4 = 6 + 4 = 10Ω 6 + 6 ⨯ 6 + 186 + 6(b) R =38 - 3 - 3 = 12 Ω72 41-7 电路如题图 1-7 所示,求图(a )中的电压U S 和U 及图(b )中U = 2V 时电压U S 。
《模拟电子技术基础》习题及参考答案一、填空题:1.半导体中有自由电子和空穴两种载流子参与导电。
2.半导体中由漂移形成的电流是反向电流,它由少数载流子形成,其大小决定于温度,而与外电场无关。
3.PN结的P型侧接高电位,N型侧接低电位称为正向偏置(正偏),反之称为反向偏置(反偏)。
4.PN结最重要的特性是单向导电性,它是一切半导体器件的基础。
在NPN型三极管中,掺杂浓度最大的是发射区。
5.晶体三极管因偏置条件不同,有放大、截止、饱和三种工作状态。
6.晶体三极管的集电极电流Ic=βI B所以它是电流控制元件。
7.工作在放大区的晶体管,当IB 从10μA增大到20μA,IC从1mA增大到2mA,它的β为100,α为1。
8.通常晶体管静态工作点选得偏高或偏低时,就有可能使放大器的工作状态进入饱和区或截止区,而使输出信号的波形产生失真。
9.测得某正常线性放大电路中晶体管三个管脚x、y、z对地的静态电压分别为6.7伏、2.4伏、1.7伏,则可判断出x、y、z分别为三极管的集电(C)极、基(B)极、发射(E)极。
10.一只晶体管在放大电路中,用万用表测出管脚对地电压分别是:A脚为12伏,B脚为11.7伏,C脚为6伏,则该管为PNP型锗管,A为发射(E)极,B为基(B)极,C为集电(C)极。
11.稳压二极管工作在反向击穿区,主要用途是稳压。
12.稳压二极管稳压时是处于反向偏置状态,而二极管导通时是处于正向偏置状态。
13.晶体管电流放大系数是频率的函数,随着频率的升高而下降。
共基极电路比共射极电路高频特性好。
14.场效应管的输出特性曲线可分为三个区:分别是可变电阻区、恒流区、击穿区。
15.电子线路中常用的耦合方式有直接耦合和电容耦合。
16.通常把与信号源相连接的第一级放大电路称为输入级,与负载相连接的末级放大电路称为输出级,它们之间的放大电路称为中间级。
17.某放大电路空载输出电压为4V,接入3KΩ负载后,输出电压变为3V,该放大电路的输出电阻为1KΩ。
第五章 数字电路基础一、填空题:1.(7-4易)______AB AB +=。
2.(7-4易)_____A AB +=。
3.(7-4中)______A AB +=。
4.(7-4难)___________AB AC BC ++=。
5.(7-2易)逻辑代数有 、 和逻辑非三种基本运算。
6.(7-4易)1____A ⊕=。
7.(7-4易)A ⊙1=__________。
8.(7-2易)如果输入与输出的关系是"有0出1,全1出0",这是 逻辑运算。
"全0出0,有1出1",这是 逻辑运算。
9.(7-2中)异或门的逻辑功能是 、 。
10.(7-1易) 晶体二极管具有____________特性,利用这一特性可作开关电路。
11.(7-1易)晶体二极管从导通到截止需要一段时间,称之为_______________。
12.(7-1易) 晶体三极管通过对其基极电位控制,可使其处于________状态或_______状态。
13.(7-1易) 晶体三极管的U BE _____ U th (填>,<,或=)时,其处于截止状态。
(U th 为三极管发射结导通电压)。
14.(7-1中) 在实验和实际中,可在三极管的基极电阻上并联一个______________来加速管子开启和关闭速度。
15.(7-3易) n 个变量有________个最小项。
16.(7-2易) 三态输出与非门的输出端有三种状态:______,______,______。
17.(7-3中) (127)10=( )2=( )8=( )1618.(7-3中) (254.25)10=( )2=( )8= ( )1619.(7-3难)(2.718)10=( )2(小数点后保留4位)= ( )8=( )1620.(7-4难)AB A C BC ++=_______________。
21.(7-1易)逻辑变量的取值有种,即。
模拟电子技术第五版基础习题与解答近年来,随着电子技术的飞速发展,模拟电子技术成为了电子领域中不可或缺的一部分。
针对这一现象,本文将为读者介绍《模拟电子技术第五版》的基础习题与解答。
第一章:放大电路基础知识习题一:1. 解释放大电路中的增益概念。
2. 请说明共射放大电路的特点及其适用范围。
3. 对于共集放大电路,它的输出特点是什么?如何计算其电压增益?解答一:1. 放大电路的增益是指输出信号与输入信号之间的比例关系。
通常用电压增益(Av)和功率增益(Ap)来表示。
2. 共射放大电路输入阻抗较高,输出阻抗较低,适用于信号放大和阻抗匹配。
3. 共集放大电路的输出电压与输入电压具有相同的相位,但电压增益小于1,计算公式为Av = (1+β)*Rc / (Re + (1+β)*Rc)。
第二章:场效应管习题二:1. 解释场效应管的工作原理。
2. 请列举并描述几种常见的场效应管类型及其特点。
3. 对于n沟道增强型MOSFET,如何进行静态工作点分析与计算?解答二:1. 场效应管是一种电压控制器件,根据栅极电压的大小来调节电流。
其工作原理主要有MOSFET和JFET两种。
2. 常见的场效应管类型包括MOSFET(金属氧化物半导体场效应管)和JFET(结型场效应管)。
MOSFET具有输入阻抗高、功耗低等特点;而JFET具有低噪声、电压放大倍数高等特点。
3. 对于n沟道增强型MOSFET,静态工作点分析与计算需要考虑栅极电流与漏极电流之间的关系,以及沟道导电性等因素。
第三章:运算放大器习题三:1. 解释运算放大器的原理。
2. 请列举并描述几种典型的运算放大器电路。
3. 对于反相运算放大器,它的电压增益如何计算?解答三:1. 运算放大器是一种增益很大的差分放大电路,它可以将微弱的输入信号放大成较大的输出信号。
2. 典型的运算放大器电路包括反相运算放大器、非反相运算放大器、综合运算放大器等。
它们分别具有不同的输入输出关系和放大性能。
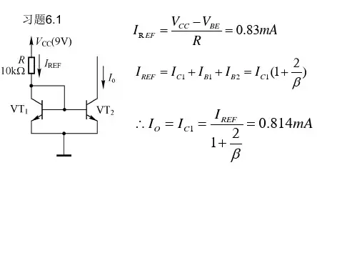
题 某差动放大电路如图5-16所示,设对管的β=50,r bb ′=300Ω,U BE =,R W 的影响可以忽略不计,试估算:1.T 1,T 2的静态工作点。
2.差模电压放大倍数A ud =1211oΔΔΔU U U -V EE (-12V)解:1.静态工作点计算,令120i i u u == 1210.92(1)EE BEB B b eU U I I A R R μβ-===++120.54C C B I I I mA β===12()(2)7.7CE CE CC EE C c e U U U U I R R v ==+-+≈2. 26(1)2.75be bb E mvr r k I mAβ'=++≈Ω 1222o cud i i b beU R A U U R r β∆==-≈-∆-∆+题 在图5-17所示的差动放大电路中,已知两个对称晶体管的β=50,r be =Ω。
1.画出共模、差模半边电路的交流通路。
2.求差模电压放大倍数i2i1oud ΔU U U A ∆∆-=。
3.求单端输出和双端输出时的共模抑制比K CMREE解:1.在共模交流通路中,电阻R 开路,故其半边电路的射极仅接有电阻Re;在差模交流通路中,电阻R 的中点电压不变,相当于地,故其半边电路的发射极电阻为Re 和R/2的并联。
2. 123.5(1)(//)2od Cud i i be e U R A R U U r R ββ==-=--++3.双端输出条件下: 3.5,0,ud uc CMR A A K =-==∞单端输出条件下:1.75,0.4(1)OC Cud uc IC be eU R A A U r R ββ=-==-=-++ 4.2udCMR ucA K A == 题 在图5-18的电路中,T 1,T 2的特性相同,且β很大,求I C2和I CE2的值,设U BE =。
EE图5-18题 电路如图所示,用镜像电流源(1T 、2T )对射极跟随器进行偏置。
模拟电子技术第五版基础习题与解答在电子技术领域,模拟电子技术是一门重要的基础学科,它为我们理解和设计电子电路提供了关键的知识和技能。
《模拟电子技术第五版》作为一本经典的教材,其中的基础习题涵盖了丰富的知识点,对于我们巩固所学、提升能力具有重要意义。
接下来,我们将对其中的一些典型习题进行分析和解答。
首先,让我们来看一道关于二极管的习题。
题目是这样的:已知一个二极管在电路中的导通电压为 07V,正向电流为 10mA,求其等效电阻。
要解决这道题,我们首先要明确二极管的特性。
在导通状态下,二极管可以近似看作一个电阻。
根据欧姆定律,电阻等于电压除以电流。
所以,该二极管的等效电阻为 07V÷10mA =70Ω。
再来看一道关于三极管的习题:一个 NPN 型三极管的基极电流为20μA,放大倍数为 100,求集电极电流和发射极电流。
对于三极管,我们知道集电极电流等于基极电流乘以放大倍数。
所以集电极电流为20μA×100 = 2mA。
而发射极电流等于集电极电流加上基极电流,即 2mA +20μA = 202mA。
接下来是一道关于放大器的题目:一个共射极放大器的输入电阻为1kΩ,输出电阻为5kΩ,电压增益为 50,输入电压为 10mV,求输出电压。
根据电压增益的定义,电压增益等于输出电压除以输入电压。
所以输出电压等于电压增益乘以输入电压,即 50×10mV = 500mV。
但要注意,这里的输入电阻和输出电阻会影响实际的电路性能。
下面这道题是关于反馈放大器的:判断一个放大器中的反馈类型是正反馈还是负反馈,并计算反馈系数。
判断反馈类型需要根据反馈信号与输入信号的相位关系。
如果反馈信号增强了输入信号,就是正反馈;反之,如果反馈信号削弱了输入信号,就是负反馈。
计算反馈系数则需要根据具体的电路结构和参数进行分析。
还有一道关于集成运放的习题:一个集成运放的开环增益为 100000,若要实现增益为 100 的放大,应采用何种反馈方式?在这种情况下,我们需要引入负反馈来稳定增益。