钢结构戴国欣主编第四版-课后习题答案
- 格式:doc
- 大小:3.29 MB
- 文档页数:35
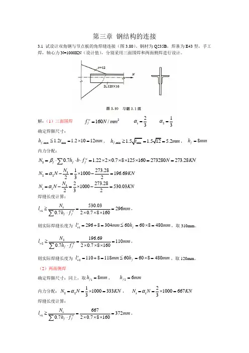
第三章 钢结构的连接3.1 试设计双角钢与节点板的角焊缝连接(图3.80)。
钢材为Q235B ,焊条为E43型,手工焊,轴心力N=1000KN (设计值),分别采用三面围焊和两面侧焊进行设计。
解:(1)三面围焊 2160/w f f N mm = 123α= 213α= 确定焊脚尺寸:,max min 1.2 1.21012f h t mm ≤=⨯=,,min 5.2f h mm ≥==, 8f h mm =内力分配:30.7 1.2220.78125160273280273.28w f f f N h b f N KN β=⋅⋅⋅=⨯⨯⨯⨯⨯==∑3221273.281000196.69232N N N KN α=-=⨯-= 3112273.281000530.03232N N N KN α=-=⨯-=焊缝长度计算:11530.032960.720.78160w wf f N l mm h f ≥==⋅⨯⨯⨯∑, 则实际焊缝长度为 1296830460608480w f l mm h mm '=+=≤=⨯=,取310mm 。
22196.691100.720.78160w wf f N l mm h f ≥==⋅⨯⨯⨯∑, 则实际焊缝长度为 2110811860608480wf l mm h mm '=+=≤=⨯=,取120mm 。
(2)两面侧焊确定焊脚尺寸:同上,取18f h mm =, 26f h m m = 内力分配:22110003333N N KN α==⨯=, 11210006673N N KN α==⨯= 焊缝长度计算:116673720.720.78160w wf fN l mm h f ≥==⋅⨯⨯⨯∑,则实际焊缝长度为:mm h mm l f w 48086060388283721=⨯=<=⨯+=',取390mm 。
223332480.720.76160w wf f N l mm h f ≥==⋅⨯⨯⨯∑, 则实际焊缝长度为:mm h mm l f w48086060260262481=⨯=<=⨯+=',取260mm 。
钢结构第四版习题答案钢结构第四版习题答案钢结构是一门重要的工程学科,涉及到建筑、桥梁、航空航天等领域。
学习钢结构需要通过理论知识的学习和实际问题的解决来提高自己的能力。
而习题是学习过程中重要的一环,通过解答习题可以巩固所学的知识,提高问题解决能力。
本文将为读者提供钢结构第四版习题的答案,帮助读者更好地理解和掌握相关知识。
第一章:钢结构基本知识1. 钢结构的定义是什么?答:钢结构是指由钢材构成的承重结构。
2. 钢结构的优点有哪些?答:钢结构具有重量轻、强度高、施工速度快、可重复利用等优点。
3. 钢结构的分类有哪些?答:钢结构可以分为框架结构、悬索结构、索杆结构、网壳结构等。
4. 钢结构的设计原则是什么?答:钢结构的设计原则包括安全性、经济性、美观性和可靠性。
第二章:钢结构的荷载1. 钢结构的荷载有哪些?答:钢结构的荷载包括自重荷载、活载、风荷载、地震荷载等。
2. 如何计算钢结构的自重荷载?答:钢结构的自重荷载可以通过材料的密度和构件的体积计算得出。
3. 如何计算钢结构的风荷载?答:钢结构的风荷载可以通过风速、建筑物的高度和形状等参数计算得出。
4. 钢结构的活载如何确定?答:钢结构的活载可以通过建筑物的用途和设计规范中的相关要求确定。
第三章:钢结构的构件1. 钢结构的构件有哪些?答:钢结构的构件包括梁、柱、桁架、屋面、墙板等。
2. 钢结构的梁有哪些类型?答:钢结构的梁可以分为简支梁、连续梁、悬臂梁等类型。
3. 钢结构的柱有哪些类型?答:钢结构的柱可以分为普通柱、短柱、长柱等类型。
4. 钢结构的桁架有哪些类型?答:钢结构的桁架可以分为平面桁架、空间桁架等类型。
第四章:钢结构的连接1. 钢结构的连接方式有哪些?答:钢结构的连接方式包括焊接、螺栓连接、铆接等。
2. 钢结构的焊接连接有哪些要求?答:钢结构的焊接连接要求焊缝的质量良好、焊接材料的强度高、焊接工艺的可靠等。
3. 钢结构的螺栓连接有哪些要求?答:钢结构的螺栓连接要求螺栓的强度高、螺栓的预紧力适当、连接面的平整等。
钢结构计算题精品答案 第三章 钢结构的连接3.1 试设计双角钢与节点板的角焊缝连接(图3.80)。
钢材为Q235B ,焊条为E43型,手工焊,轴心力N=1000KN (设计值),分别采用三面围焊和两面侧焊进行设计。
解:(1)三面围焊 2160/w f f N mm = 123α= 213α= 确定焊脚尺寸:,max min 1.2 1.21012f h t mm ≤=⨯=,,min 5.2f h mm ≥==, 8f h mm = 内力分配:30.7 1.2220.78125160273280273.28w f f f N h b f N KN β=⋅⋅⋅=⨯⨯⨯⨯⨯==∑3221273.281000196.69232N N N KN α=-=⨯-= 3112273.281000530.03232N N N KN α=-=⨯-=焊缝长度计算: 11530.032960.720.78160w wf fN l mm h f ≥==⋅⨯⨯⨯∑, 则实际焊缝长度为 1296830460608480wf l mm h mm '=+=≤=⨯=,取310mm 。
22196.691100.720.78160w wf fN l mm h f ≥==⋅⨯⨯⨯∑, 则实际焊缝长度为 2110811860608480w f l mm h mm '=+=≤=⨯=,取120mm 。
(2)两面侧焊确定焊脚尺寸:同上,取18f h mm =, 26f h mm =内力分配:22110003333N N KN α==⨯=, 11210006673N N KN α==⨯=焊缝长度计算:116673720.720.78160w wf fN l mm h f ≥==⋅⨯⨯⨯∑, 则实际焊缝长度为:mm h mm l f w48086060388283721=⨯=<=⨯+=',取390mm 。
223332480.720.76160w wf fN l mm h f ≥==⋅⨯⨯⨯∑, 则实际焊缝长度为:mm h mm l f w48086060260262481=⨯=<=⨯+=',取260mm 。
钢结构计算题精品答案 第三章 钢结构的连接3.1 试设计双角钢与节点板的角焊缝连接(图3.80)。
钢材为Q235B ,焊条为E43型,手工焊,轴心力N=1000KN (设计值),分别采用三面围焊和两面侧焊进行设计。
解:(1)三面围焊 2160/w f f N mm = 123α= 213α= 确定焊脚尺寸:,max min 1.2 1.21012f h t mm ≤=⨯=,,min 5.2f h mm ≥==, 8f h mm = 内力分配:30.7 1.2220.78125160273280273.28w f f f N h b f N KN β=⋅⋅⋅=⨯⨯⨯⨯⨯==∑3221273.281000196.69232N N N KN α=-=⨯-= 3112273.281000530.03232N N N KN α=-=⨯-=焊缝长度计算: 11530.032960.720.78160w wf fN l mm h f ≥==⋅⨯⨯⨯∑, 则实际焊缝长度为 1296830460608480wf l mm h mm '=+=≤=⨯=,取310mm 。
22196.691100.720.78160w wf fN l mm h f ≥==⋅⨯⨯⨯∑, 则实际焊缝长度为 2110811860608480w f l mm h mm '=+=≤=⨯=,取120mm 。
(2)两面侧焊确定焊脚尺寸:同上,取18f h mm =, 26f h mm =内力分配:22110003333N N KN α==⨯=, 11210006673N N KN α==⨯=焊缝长度计算:116673720.720.78160w wf fN l mm h f ≥==⋅⨯⨯⨯∑, 则实际焊缝长度为:mm h mm l f w48086060388283721=⨯=<=⨯+=',取390mm 。
223332480.720.76160w wf fN l mm h f ≥==⋅⨯⨯⨯∑, 则实际焊缝长度为:mm h mm l f w48086060260262481=⨯=<=⨯+=',取260mm 。
一、 选择题1 钢材在低温下,强度 A 塑性 B ,冲击韧性 B 。
(A)提高 (B)下降 (C)不变 (D)可能提高也可能下降2 钢材应力应变关系的理想弹塑性模型是—A —。
3在构件发生断裂破坏前,有明显先兆的情况是 B 的典型特征。
(A)脆性破坏 (B)塑性破坏 (C)强度破坏 (D)失稳破坏5 钢材的设计强度是根据—C —确定的。
(A)比例极限 (B)弹性极限 (C)屈服点 (D)极限强度6 结构工程中使用钢材的塑性指标,目前最主要用—D —表示。
(A)流幅 (B)冲击韧性 (C)可焊性 (D)伸长率7 钢材牌号Q235,Q345,Q390是根据材料—A —命名的。
(A)屈服点 (B)设计强度 (C)标准强度 (D)含碳量8 钢材经历了应变硬化(应变强化)之后—A —。
(A)强度提高 (B)塑性提高 (C)冷弯性能提高 (D)可焊性提高9 型钢中的H 钢和工字钢相比,—B —。
(A)两者所用的钢材不同 (B)前者的翼缘相对较宽(C)前者的强度相对较高 (D)两者的翼缘都有较大的斜度10 钢材是理想的—C —。
(A)弹性体 (B)塑性体 (C)弹塑性体 (D)非弹性体11 有两个材料分别为Q235和Q345钢的构件需焊接,采用手工电弧焊,—B —采用E43焊条。
(A)不得 (B)可以 (C)不宜 (D)必须13 同类钢种的钢板,厚度越大,—A — 。
(A)强度越低 (B)塑性越好 (C)韧性越好 (D)内部构造缺陷越少14 钢材的抗剪设计强度fv 与f 有关,一般而言,fv =—A —。
(A)f /3 (B) 3f (C)f /3 (D)3f16 钢材在复杂应力状态下的屈服条件是由—D —等于单向拉伸时的屈服点决定的。
(A)最大主拉应力1σ (B)最大剪应力1τ (C)最大主压应力3σ (D)折算应力eq σ17 k α是钢材的—A —指标。
(A)韧性性能(B)强度性能(C)塑性性能(D)冷加工性能18 大跨度结构应优先选用钢结构,其主要原因是___ D _。
第三章 钢结构的连接3.1 试设计双角钢与节点板的角焊缝连接〔图3.80〕。
钢材为Q235B ,焊条为E43型,手工焊,轴心力N=1000KN 〔设计值〕,分别采用三面围焊和两面侧焊进行设计。
解:〔1〕三面围焊 2160/w f f N mm = 123α=213α= 确定焊脚尺寸:,max min 1.2 1.21012f h t mm ≤=⨯=, ,min min 1.5 1.512 5.2f h t mm ≥==, 8f h mm =内力分配:30.7 1.2220.78125160273280273.28w f f f N h b f N KN β=⋅⋅⋅=⨯⨯⨯⨯⨯==∑ 3221273.281000196.69232N N N KN α=-=⨯-= 3112273.281000530.03232N N N KN α=-=⨯-=焊缝长度计算:11530.032960.720.78160w wf fN l mm h f ≥==⋅⨯⨯⨯∑, 则实际焊缝长度为 1296830460608480wf l mm h mm '=+=≤=⨯=,取310mm 。
22196.691100.720.78160w wf f N l mm h f ≥==⋅⨯⨯⨯∑, 则实际焊缝长度为 2110811860608480wf l mm h mm '=+=≤=⨯=,取120mm 。
〔2〕两面侧焊确定焊脚尺寸:同上,取18f h mm =, 26f h mm = 内力分配:22110003333N N KN α==⨯=, 11210006673N N KN α==⨯= 焊缝长度计算:116673720.720.78160w wf f N l mm h f ≥==⋅⨯⨯⨯∑,则实际焊缝长度为:mm h mm l f w48086060388283721=⨯=<=⨯+=',取390mm 。
第三章 钢结构的连接3.1 试设计双角钢与节点板的角焊缝连接(图3.80)。
钢材为Q235B ,焊条为E43型,手工焊,轴心力N=1000KN (设计值),分别采用三面围焊和两面侧焊进行设计。
解:(1)三面围焊 2160/w f f N mm = 123α=213α= 确定焊脚尺寸:,max min 1.2 1.21012f h t mm ≤=⨯=, ,min min 1.5 1.512 5.2f h t mm ≥==, 8f h mm =内力分配:30.7 1.2220.78125160273280273.28w f f f N h b f N KN β=⋅⋅⋅=⨯⨯⨯⨯⨯==∑ 3221273.281000196.69232N N N KN α=-=⨯-= 3112273.281000530.03232N N N KN α=-=⨯-=焊缝长度计算:11530.032960.720.78160w wf fN l mm h f ≥==⋅⨯⨯⨯∑, 则实际焊缝长度为 1296830460608480wf l mm h mm '=+=≤=⨯=,取310mm 。
22196.691100.720.78160w wf f N l mm h f ≥==⋅⨯⨯⨯∑, 则实际焊缝长度为 2110811860608480wf l mm h mm '=+=≤=⨯=,取120mm 。
(2)两面侧焊确定焊脚尺寸:同上,取18f h mm =, 26f h mm = 内力分配:22110003333N N KN α==⨯=, 11210006673N N KN α==⨯= 焊缝长度计算:116673720.720.78160w wf f N l mm h f ≥==⋅⨯⨯⨯∑,则实际焊缝长度为:mm h mm l f w48086060388283721=⨯=<=⨯+=',取390mm 。
参考书目:戴国欣《钢结构》一、小题1、柱板( 铰接 )时下柱弯矩较大,厂房横向刚度较差2、柱间( 下层支撑 )设在温度区段中部,( 上层支撑 )支撑布置在温度区段端部,在有( 下层支撑 )支撑处也应设置( 上层支撑 )支撑3、屋架外形常用形式( 三角形 )、( 梯形 )、( 平行弦 )、( 人字形 )等4、对框架的分析,按( 弹性 )理论确定其计算长度5、大跨度建筑依据(用途)、(使用条件)、(建筑选型方面要求)决定结构方案6、框架大跨结构中,横梁与柱连接的框架节点( 内角弯折处 )应做成平整曲线以避免( 应力集中 )7、( 框架—支撑 )体系是高层建筑钢结构中应用最多的一种结构体系8、P183页的屋架平面支撑体系的判别9、框架柱按结构形式可分为(等截面柱)、(阶形柱)和(分离式柱)三大类10、网架的受力特点是,杆件均为( 铰接 ),不能承受( 弯矩 )和( 扭矩 ),及所有杆件只承受( 轴向力 )11、( 帽桁架 )和( 腰桁架 )使外围柱与核心抗剪结构共同工作,可有效减少结构的侧向变形,刚度也有很大提高12、高层钢结构中,( 水平 )荷载对结构设计起着主要的控制作用13、高层钢结构的内力与位移一般采用( 弹性方法 )计算,在考虑罕遇地震的情况下,还要进行( 弹塑性 )方法进行分析14、温度伸缩缝最普遍的做法是( 设置双柱 )15、在桁架中约束节点转动的主要因素是( 拉杆 )16、屋架弦杆在平面外的计算长度,应取( 侧向支撑点间的距离 )17、托架通常支承于钢柱的( 腹板上 ),支承端板的厚度一般不宜小于( 20mm )。
18、隅撑的作用是( 作为梁的侧向支撑,保证梁在钢架平面外的稳定 )19、柱脚的剪力应由(地板与基础间的摩擦力)传递,超过时应设置(抗剪键)20、跨度大于35~40m 时,梁式结构的支座之一必须做成( 可移动的 )(原因?)21、实腹式拱的截面高度一般为跨度的( 80/1~50/1 ),格构式拱的截面高度则为跨度的( 60/1~30/1 )22、空间结构的特性有:( 1、优越的力学性能 2、良好的经济性、安全性与适用性 )(老师有可能会变成简答,这个说不准P264)23、空心球外径D 与壁厚t 的比值一般为( 25~45 );空心球壁厚t 与钢管最大壁厚的比值宜为(1.2~2.0 );空心球壁厚t 不宜小于( 4mm )。
钢结构第四版课后答案【篇一:钢结构基本原理课后习题答案完全版】,请写出弹性阶段和非弹性阶段的?关系式。
00图2-34 图(a)理想弹性-塑性(b)理想弹性强化解:(1)弹性阶段:??e??tan非弹性阶段:??fy(应力不随应变的增大而变化)(2)弹性阶段:??e??tan非弹性阶段:??fy?e(??fye)?fy?tan?(??fytan?)2.2如图2-35所示的钢材在单向拉伸状态下的曲线,试验时分别在a、b、c卸载至零,则在三种情况下,卸载前应变?、卸载后残余应变?c及可恢复的弹性应变?y各是多少?fy?235n/mm2 ?c?270n/mm2 ?f?0.025e?2.06?105n/mm2e?1000n/mm2图2-35 理想化的图解:(1)a点:卸载前应变:??fye?2352.06?105?0.00114卸载后残余应变:?c?0 可恢复弹性应变:?yc?0.00114(2)b点:卸载前应变:f?0.025卸载后残余应变:?cfye?0.02386 可恢复弹性应变:?yc?0.00114(3)c点:卸载前应变:f??c?fye?0.025?0.035?0.06 卸载后残余应变:?cce?0.05869 可恢复弹性应变:?yc?0.001312.3试述钢材在单轴反复应力作用下,钢材的曲线、钢材疲劳强度与反复应力大小和作用时间之间的关系。
答:钢材曲线与反复应力大小和作用时间关系:当构件反复力??fy时,即材料处于弹性阶段时,反复应力作用下钢材材性无变化,不存在残余变形,钢材曲线基本无变化;当?fy时,即材料处于弹塑性阶段,反复应力会引起残余变形,但若加载-卸载连续进行,钢材曲线也基本无变化;若加载-卸载具有一定时间间隔,会使钢材屈服点、极限强度提高,而塑性韧性降低(时效现象)。
钢材曲线会相对更高而更短。
另外,载一定作用力下,作用时间越快,钢材强度会提高、而变形能力减弱,钢材曲线也会更高而更短。
一、选择题1 钢材在低温下,强度 A 塑性 B ,冲击韧性 B。
(A) 提升 (B) 降落(C) 不变(D) 可能提升也可能降落2 钢材应力应变关系的理想弹塑性模型是—A—。
3 在构件发生断裂损坏前,有显然预兆的状况是 B 的典型特点。
(A) 脆性损坏(B) 塑性损坏(C) 强度损坏(D) 失稳损坏5 钢材的设计强度是依据—C—确立的。
(A) 比率极限(B) 弹性极限(C) 折服点(D) 极限强度6 结构工程中使用钢材的塑性指标,当前最主要用—D—表示。
(A) 流幅 (B) 冲击韧性(C) 可焊性 (D) 伸长率7钢材牌号 Q235, Q345,Q390是依据资料— A—命名的。
(A) 折服点(B)设计强度(C)标准强度(D)含碳量8钢材经历了应变硬化 ( 应变增强 ) 以后— A—。
(A) 强度提升(B)塑性提升(C)冷弯性能提升(D)可焊性提升9型钢中的 H 钢和工字钢对比,— B—。
(A)二者所用的钢材不一样(B) 前者的翼缘相对较宽(C) 前者的强度相对较高(D)二者的翼缘都有较大的斜度10钢材是理想的— C—。
(A) 弹性体(B)塑性体(C)弹塑性体(D)非弹性体11有两个资料分别为 Q235 和 Q345 钢的构件需焊接,采纳手工电弧焊,—B—采纳 E43焊条。
(A) 不得 (B) 能够(C) 不宜(D) 一定13 同类钢种的钢板,厚度越大,—A—。
(A) 强度越低(B) 塑性越好(C) 韧性越好(D) 内部结构缺点越少14 钢材的抗剪设计强度fv 与 f 相关,一般而言,fv =— A—。
(A)f / 3 (B) 3 f (C)f / 3 (D)3f16 钢材在复杂应力状态下的折服条件是由—D—等于单向拉伸时的折服点决定的。
(A) 最大主拉应力1 (B) 最大剪应力1 (C) 最大主压应力3 (D) 折算应力eq17 k是钢材的— A—指标。
(A) 韧性性能(B) 强度性能(C) 塑性性能(D) 冷加工性能18 大跨度结构应优先采纳钢结构,其主要原由是___D_ 。
第三章 钢结构的连接3.1 试设计双角钢与节点板的角焊缝连接(图3.80)。
钢材为Q235B ,焊条为E43型,手工焊,轴心力N=1000KN (设计值),分别采用三面围焊和两面侧焊进行设计。
解:(1)三面围焊 2160/w f f N mm = 123α= 213α= 确定焊脚尺寸:,max min 1.2 1.21012f h t mm ≤=⨯=,,min 5.2f h mm ≥==, 8f h mm =内力分配:30.7 1.2220.78125160273280273.28w f f f N h b f N KN β=⋅⋅⋅=⨯⨯⨯⨯⨯==∑3221273.281000196.69232N N N KN α=-=⨯-= 3112273.281000530.03232N N N KN α=-=⨯-=焊缝长度计算:11530.032960.720.78160w wf f N l mm h f ≥==⋅⨯⨯⨯∑, 则实际焊缝长度为 1296830460608480w f l mm h mm '=+=≤=⨯=,取310mm 。
22196.691100.720.78160w wf f N l mm h f ≥==⋅⨯⨯⨯∑, 则实际焊缝长度为 2110811860608480wf l mm h mm '=+=≤=⨯=,取120mm 。
(2)两面侧焊确定焊脚尺寸:同上,取18f h mm =, 26f h m m = 内力分配:22110003333N N KN α==⨯=, 11210006673N N KN α==⨯= 焊缝长度计算:116673720.720.78160w wf fN l mm h f ≥==⋅⨯⨯⨯∑,则实际焊缝长度为:mm h mm l f w 48086060388283721=⨯=<=⨯+=',取390mm 。
223332480.720.76160w wf f N l mm h f ≥==⋅⨯⨯⨯∑, 则实际焊缝长度为:mm h mm l f w48086060260262481=⨯=<=⨯+=',取260mm 。
钢结构计算题精品答案 第三章 钢结构的连接3.1 试设计双角钢与节点板的角焊缝连接(图3.80)。
钢材为Q235B ,焊条为E43型,手工焊,轴心力N=1000KN (设计值),分别采用三面围焊和两面侧焊进行设计。
解:(1)三面围焊 2160/wf f N mm = 123α= 213α= 确定焊脚尺寸:,max min 1.2 1.21012f h t mm ≤=⨯=,,min 5.2f h mm ≥==, 8f h mm =内力分配:30.7 1.2220.78125160273280273.28w f f f N h b f N KN β=⋅⋅⋅=⨯⨯⨯⨯⨯==∑3221273.281000196.69232N N N KN α=-=⨯-= 3112273.281000530.03232N N N KN α=-=⨯-=焊缝长度计算:11530.032960.720.78160w wf fN l mm h f ≥==⋅⨯⨯⨯∑, 则实际焊缝长度为 1296830460608480wf l mm h mm '=+=≤=⨯=,取310mm 。
22196.691100.720.78160w wf fN l mm h f ≥==⋅⨯⨯⨯∑, 则实际焊缝长度为 2110811860608480wf l mm h mm '=+=≤=⨯=,取120mm 。
(2)两面侧焊确定焊脚尺寸:同上,取18f h mm =, 26f h mm = 内力分配:22110003333N N KN α==⨯=, 11210006673N N KN α==⨯= 焊缝长度计算:116673720.720.78160w wf fN l mm h f ≥==⋅⨯⨯⨯∑, 则实际焊缝长度为:mm h mm l f w48086060388283721=⨯=<=⨯+=',取390mm 。
223332480.720.76160w wf fN l mm h f ≥==⋅⨯⨯⨯∑, 则实际焊缝长度为:mm h mm l f w48086060260262481=⨯=<=⨯+=',取260mm 。
钢结构计算题精品答案 第三章 钢结构的连接3.1 试设计双角钢与节点板的角焊缝连接(图3.80)。
钢材为Q235B ,焊条为E43型,手工焊,轴心力N=1000KN (设计值),分别采用三面围焊和两面侧焊进行设计。
解:(1)三面围焊 2160/wf f N mm = 123α= 213α= 确定焊脚尺寸:,max min 1.2 1.21012f h t mm ≤=⨯=, ,min min 1.5 1.512 5.2f h t mm ≥==, 8f h mm =内力分配:30.7 1.2220.78125160273280273.28w f f f N h b f N KN β=⋅⋅⋅=⨯⨯⨯⨯⨯==∑3221273.281000196.69232N N N KN α=-=⨯-= 3112273.281000530.03232N N N KN α=-=⨯-=焊缝长度计算:11530.032960.720.78160w wf fN l mm h f ≥==⋅⨯⨯⨯∑, 则实际焊缝长度为 1296830460608480wf l mm h mm '=+=≤=⨯=,取310mm 。
22196.691100.720.78160w wf fN l mm h f ≥==⋅⨯⨯⨯∑, 则实际焊缝长度为 2110811860608480wf l mm h mm '=+=≤=⨯=,取120mm 。
(2)两面侧焊确定焊脚尺寸:同上,取18f h mm =, 26f h mm = 内力分配:22110003333N N KN α==⨯=, 11210006673N N KN α==⨯= 焊缝长度计算:1 16673720.720.78160w wf fNl mmhf≥==⋅⨯⨯⨯∑,则实际焊缝长度为:mmhmmlfw48086060388283721=⨯=<=⨯+=',取390mm。
223332480.720.76160w wf fNl mmh f≥==⋅⨯⨯⨯∑,则实际焊缝长度为:mmhmmlfw48086060260262481=⨯=<=⨯+=',取260mm。
3.2 试求图3.81所示连接的最大设计荷载。
钢材为Q235B,焊条为E43型,手工焊,角焊缝焊脚尺寸8fh mm=,130e cm=。
焊脚尺寸:8fh mm=焊缝截面的形心:205205 5.62245.6511.2 5.62205 5.6x mm⨯⨯⨯==⨯+⨯⨯则25.620545.6162.22e mm=+-=(1)内力分析:V=F,12()(300162.2)462.2T F e e F F=⋅+=⨯+=(2)焊缝截面参数计算:328415.6511.22205 5.6(250 2.8) 2.091012XI mm=⨯⨯+⨯⨯⨯+=⨯22742055.6511.245.62205 5.6(162.2) 1.41102yI mm=⨯⨯+⨯⨯⨯-=⨯842.23110p x yI I I mm=+=⨯2511.2 5.62205 5.65158.72e wh l mm=⨯+⨯⨯=∑(3)应力计算T 引起的应力:48462.2255.6 5.295102.23110PyTx T r F F I τ-⋅⨯===⨯⨯ 48462.2166.2 3.360102.23110P x Ty T r F F I τ-⋅⨯===⨯⨯ V 引起的应力:41.938105158.72Vy e w V F F h l τ-===⨯∑(4)42423.360 1.938(5.29510)[()10]1601.22F F --+⨯+⨯≤428.0418.8610160F -⇒+⨯≤ 46.8510160F -⇒⨯≤233577233.58F N KN ⇒≤=3.3 试设计如图3.82所示牛腿与柱的连接角焊缝①、②、③。
钢材为Q235B ,焊条为E43型,手工焊。
(1)内力分析:V=F=98KN , 980.1211.76M F e KN m =⋅=⨯=⋅ (2)焊缝截面参数计算:取10f h mm =焊缝截面的形心:1193 1507 3.52697(712 3.5)21937(7127)275.51507269721937y mm⨯⨯+⨯⨯⨯+++⨯⨯⨯+++==⨯+⨯⨯+⨯⨯2712719375.5143.5y mm=+++-=2223741193 1507(75.5 3.5)2697(75.5712 3.5)71931937143.5122 2.2510XImm⎡⎤⎛⎫=⨯⨯-+⨯⨯⨯---+⨯⨯+⨯⨯-⎢⎥⎪⎝⎭⎢⎥⎣⎦=⨯(3)应力计算M引起的应力:622,max711.7610143.574.96/2.2510fxM yN mmIσ⋅⨯⨯===⨯V引起的应力:32981036.27/27193fe wVN mmh lτ⨯===⨯⨯∑(4)222274.96()36.2771.35/160/1.22wfN mm f N mm+=≤=3.4 习题3.3的连接中,如将焊缝②及焊缝③改为对接焊缝(按三级质量标准检验),试求该连接的最大荷载。
(1)内力分析:V=F,0.120.12(/)M F e F F KN m=⋅=⨯=(2)焊缝截面参数计算:11501262001211266.61501220012y mm⨯⨯+⨯⨯==⨯+⨯221266.6145.4y mm=-=32274 11220015012(66.66)20012(145.4100) 1.9561012XI mm=⨯⨯+⨯⨯-+⨯⨯-=⨯(3)应力计算M引起的应力:62 270.1210145.40.892(/)1.95610maxxM y FF N mmIσ⋅⨯⨯===⨯V引起的应力:32100.417(/)20012V FF N mmAτ⊥⨯===⨯(4)221max3 1.1weq tfσστ=+≤222(0.892)3(0.417) 1.148 1.1 1.1185203.5(/)wtF F F f N mm⇒+⨯=≤=⨯=177.3F KN⇒≤3.5 焊接工字形梁在腹板上设一道拼接的对接焊缝(图 3.83),拼接处作用有弯矩mkNM.1122=,剪力V=374KN,钢材为Q235B钢,焊条用E43型,半自动焊,三级检验标准,试验算该焊缝的强度。
(1)内力分析:V=374KN,mkNM.1122=(2)焊缝截面参数计算:49231068.250714280210008121mmIx⨯=⨯⨯⨯+⨯⨯=42987440250850050714280mmSw=⨯⨯+⨯⨯=41198744050714280mmSw=⨯⨯=(3)应力计算322max937410298744052.1/125/2.68108wwvx wVSN mm f N mmI tτ⨯⨯===<=⨯⨯腹板和翼缘交接处:62119112210500209.3/2.6810xM yN mmIσ⋅⨯⨯===⨯3211937410198744034.7/2.68108wx wVSN mmI tτ⨯⨯===⨯⨯折算应力:222222113209.3334.7217.8/ 1.1 1.1185204/w t N mm f N mm στ+=+⨯=>=⨯=不满足3.6 试设计图3.81的粗制螺栓连接,F=100KN(设计值),130e cm =。
(1)内力分析:V=100KN , 1205300402.52e mm =+=, 1000.402540.25T V e KN m =⋅=⨯=⋅(2)参数计算:单个螺栓抗剪承载力(M22)2222114053.244b b vv vd N n f KN ππ⋅=⋅⋅=⋅⋅=,min 20830567.1b b t c N d t f KN =⋅⋅=⨯⨯=∑{}min min ,53.2b b b v c N N N KN ==222164000iix ymm +=∑∑(3)内力计算 T 引起的应力:611x2240.251016039.26164000T i i T y N KN x y ⋅⨯⨯===+∑∑ 6112240.25106014.73164000Tyi i T x N KN x y ⋅⨯⨯===+∑∑ V 引起的应力:11001010Vy V N KN n === (4)22221111min ()39.26(14.7310)46.453.2bTx Ty Vy N N N N KN N KN =++=++=≤=3.7 试设计如图3.84所示:构件钢材为Q235B ,螺栓为粗制螺栓。
①角钢与连接板的螺栓连接;②竖向连接板与柱的翼缘板的螺栓连接。
12170d d mm ==。
③竖向连接板与柱的翼缘板的螺栓连接。
1150d mm =,2190d mm =。
①角钢与连接板的螺栓连接; 单个螺栓抗剪承载力(M20)2220214087.944b b vv vd N n f KN ππ⋅=⋅⋅=⋅⋅=min 201430585.4b b t c N d t f KN =⋅⋅=⨯⨯=∑{}min min ,85.4b b b v c N N N KN ==螺栓个数 min 3504.185.4bN n N ≥==个,取5个螺栓,按规范规定间距排列(图省略)。
②竖向连接板与柱的翼缘板的螺栓连接。
12170d d mm ==。
内力分析 22350247.522x N N N KN ==⋅=⨯= 22350247.522y V N N KN ==⋅=⨯=,由支托承担。
单个螺栓抗拉承载力(M20,22.45e A cm =)24517041.65b b t e t N A f KN=⋅=⋅=螺栓个数247.5 5.941.65b t N n N ≥==个,取6个螺栓,排2排,按规范规定间距排列(图省略)。
③竖向连接板与柱的翼缘板的螺栓连接。
1150d mm =,2190d mm =。
22350247.522x N N N KN ==⋅=⨯=, 247.50.020 4.95x M N e KN m =⋅=⨯=⋅22350247.522y V N N KN ==⋅=⨯=,由支托承担。
3611222247.510 4.951012040.2241.6584(12040)b t i M y N N KN N KN n y ⋅⨯⨯⨯=+=+=≤=⨯+∑ 3.8 按摩擦型连接高强度螺栓设计习题3.7中所要求的连接(取消承托板),且分别考虑:①12170d d mm ==;②1150d mm =,2190d mm =。