2020年秋鄂东南省级示范高中教育教学改革联盟学校期中联考高一数学试卷
- 格式:docx
- 大小:282.39 KB
- 文档页数:5
2024年春季鄂东南省级示范高中教育教学改革联盟学校期中联考高一数学考试时间:2024年4月15日下午15:00-17:00;试卷满分:150分一、选择题(本题共8小题,每小题5分,共40分.在每小题给出的四个选项中,只有一项是符合题目要求的)1.复数2iz 13i+=+的虚部是( ) A .12−B .12C .1i 2−D .1i 22.下列关于平面向量的说法,其中正确的是( )A .若a b ≠ ,则||||a b ≠B .若//a b 且||||a b =,则a b =C .若0a b ⋅=,则0a = 或0b = D .若a 与b 不共线,则a 与b都是非零向量3.已知平面向量(1,2)a =,(3,4)b − ,则向量a 在向量b 上的投影向量是( )A .34,2525−B .68,55 −C .34,55 −D .34,55 −4.已知tan 121tan αα−=+,则cos 24πα+的值为( )A. B.CD5.在ABC △中,D 在边BC 上,延长AD 到P ,使得10AP =,若54PA mPB m PC =+−(m 为常数),则PD 的长度是( ) A .9B .8C .7D .66.若实数x ,y 满足332xy+=,21133xy n −=+,则n 的最小值为( ) A .2B .8C .9D .127.在ABC △中,点E ,F 分别是线段AB ,AC 的中点,点P 在直线EF 上,若ABC △的面积为4,则22BC PB PC ⋅+的最小值是( ) A .2B.C .4D8.已知定义在R 上的函数()y f x =,对任意的1x ,2,4x π∈+∞且12x x ≠,都有()()12120f x f x x x −>−,且函数4y f x π=+为奇函数.若锐角ABC △的三个内角为,,A B C ,则( )A .()()0f A fB +>B .()()0f A f B +<C .()()0f A f B +=D .()()f A f B +的符号无法确定二、多项选择题(本题共3小题,每小题6分,共18分.在每小题给出的四个选项中,有多项符合题目要求,全部选对的得6分,部分选对的得部分分,有选错的得0分)9.主动降噪耳机让我们在嘈杂的环境中享受一丝宁静,它的工作原理是:先通过微型麦克风采集周围的噪声,然后降噪芯片生成与振幅相同的反相位声波来抵消噪声,已知某噪声的声波曲线函数为()3sin ||62f x x ππϕϕ =+< ,且经过点(2,3),则下列说法正确的是( )A .函数()y f x =的最小正周期12T =B .6πϕ=−C .函数()y f x =在区间(2,8)上单调递减D .函数(2)y f x =+是奇函数10.已知复数123,,z z z ,则下列结论正确的有( ) A .2211z z = B .1212z z z z ⋅=⋅C .1212z z z z =⋅D .若1213z z z z =,且10z ≠,则23z z =11.如图,设,Ox Oy 是平面内相交成θ角的两条数轴,其中(0,)θπ∈,1e ,2e分别是与x 轴,y 轴正方向同向的单位向量,若向量12OP a xe ye ==+,则把有序数对(,)x y 叫做向量OP 在夹角为θ的坐标系xOy 中的坐标,记为()(,)a x y θ=,则下列结论正确的是( )A .若3(1,2)a π= ,则||a =B .若44,(3,a b ππ==− ,则a b ⊥C .若对任意的12,5R e e λλ∈−最小值为52,则6πθ= D .若对任意的(0,)θπ∈,都有1212e e e e λ−≥−恒成立,则实数(][),31,λ∈−∞−+∞三、填空题;本题共3小题,每小题5分,共15分.12.已知sin cos θθ−sin 2θ=__________.13.在ABC △中,角A ,B ,C 的对边分别为a ,b ,c ,若cos cos a B b A c b −=−,则角A =若I 为ABC △的内心,且AIIB IC λ=+,则λ=__________. 14.已知平面向量,a b,||2a = ,||3b = ,若存在平面向量c ,||1c = ,使得()()0a c b c −⋅−= ,则||||a b a b −++的最小值是__________.四、解答题:本题共5小题,共77分,解答应写出文字说明、证明过程或演算步骤.15.(13分)已知向量(1,2)a −,||b =(1)若//a b,求b 的坐标;(2)若(5)()a b a b +⊥−,求a 与b 夹角的余弦值.16.(15分)在ABC △中,角A ,C 的对边分别是a ,b ,c ,且222b c bc a +−=. (1)求角A 的大小; (2)若2b =,1sin 7C =,求ABC △的面积.17.(15分)已知向量,cos )m x x ωω= ,(cos ,cos )(0,)n x x x ωωω=−>∈R,1()2f x m n =⋅− ,且()y f x =的图象上相邻两条对称轴之间的距离为2π.(1)求函数()y f x =的解析式;(2)若0a >,且函数()y f x =在区间(,2)a a 上单调,求a 的取值范围.18.(17分)如图,在ABC △中,角A ,B ,C 的对边分别是a ,b ,c ,D 为BC 边上一点,已知2b =,4c =,23A π=.(1)若AD 平分BAC ∠,求AD 的长;(2)若D 为BC 边的中点,E ,F 分别为AB 边及AC 边上一点(含端点).且AE xAB = ,AF y AC =,1x y +=,求DE DF ⋅ 的取值范围. 19.(17分)阅读以下材料并回答问题:①单位根与本原单位根:在复数域,对于正整数n ,满足10n z −=的所有复数22cos isin ()k k z k Z n nππ=+∈称为n 次单位根,其中,满足对任意小于n 的正整数m ,都有1m z ≠,则称这种复数为n 次本原单位根.例如,4n =时,存在四个4次单位根1±,i ±,因为111=,2(1)1−=,因此只有两个4次本原单位根i ±; ②分圆多项式:对于正整数n ,设n 次本原单位根为12,,,m z z z ,则多项式()()()12m x z x z x z −−− 称为n 次分圆多项式,记为()n x Φ;例如24()(i)(i)1x x x x Φ=−+=+;回答以下问题:(1)直接写出6次单位根,并指出哪些为6次本原单位根(无需证明);(2)求出6()x Φ,并计算6321()()()()x x x x ΦΦΦΦ,由此猜想1264321()()()()()()x x x x x x ΦΦΦΦΦΦ的结果,(将结果表示为1110()nn n n n x a x a xa x a −−Φ=++++ 的形式)(猜想无需证明); (3)设所有12次本原单位根在复平面上对应的点为12,,,m A A A ,两个4次本原单位根在复平面上对应的点为12,B B ,复平面上一点P 所对应的复数z 满足||z =,求1212m PA PA PA PB PB ⋅⋅⋅的取值范围.鄂东南省级示范高中教育教学改革联盟学校2024年春季期中联考高一数学参考答案一、二选择题:1 2 3 4 5 6 7 8 9 10 11 A DCBBBCAACBCDABD8.【答案】A【详解】由题可知,()f x 在区间,4π +∞上单调递增,且函数4y f x π=+为奇函数,则44f x fx ππ−+=−+,故()2f x f x π =−− ,当0x =时,有44f f ππ =−,即04f π=, 又因为4y f x π=+ 图象关于原点(0,0)对称,则()f x图象关于点,04π对称,所以,()f x 在R 上单调递增.()()()2f A f B f A f B π+=−−,而ABC △为锐角∆,故2A B π+>,则2A B π>−,所以()02f A f B π−−>,即()()0A fB +>,选A .11、【答案】ABD【详解】3||(1,2)a π==,故A 正确;()()12123340a b e e ⋅=+⋅−=−−+= ,即a b ⊥ ,故B 正确;125e e λ−最小值为52可知15e 在2e cos θ=,可得6πθ=或56π,C 错误;1212e e e e λ−≥−两边平方得212cos 22cos λλθθ+−≥−对(0,)θπ∀∈成立,则212(1)cos λλθ−≥−,即22(1)cos 10λθλ−−+≤,由于(0,)θπ∀∈,cos (1,1)θ∈−,故222(1)1102(1)(1)10λλλλ −⋅−+≤ −⋅−−+≤ ,解得3λ≤−或1λ≥,综上所述(,3][1,)λ∈−∞−+∞ ,故D 正确 三、填空题12.5813.3A π=;λ=2分,全对给5分) 14.【详解】设a OA =,b OB = ,c OC = ,点C 在单位圆上,点,A B 也在圆上, 则a c CA −= ,b c CB −= ,由()()0a c b c −⋅−=,可得:CA CB ⊥,作矩形ACBD ,则||||||a b OA OB BA −=−= .下证:2222||||||||OA OB OC OD +=+ . 设AB ,CD 交于点P ,连接OP ,因OA OP PA =+ ,则2222OA OP PA OP PA =++⋅ ,同理可得:2222OB OP PB OP PB =++⋅,两式左右分别相加得:2222222222212222244BA DC OA OB OP PA PB OP BA OP OP+=++=+=+=+2222222OC OD OC OD OC OD +− =+=+. 即2222||||||||a b c OD +=+,故||OD = .又||||||2||||2||2||2||2||a b a b BA OP CD OP PD OP OD −++=+=+=+≥,故||||a b a b −++的最小值是四、解答题15.【答案】(1)(2,4)b − 或(2,4)b =−(2)18【详解】(1)由题意,设(,2)b a λλλ−,||b =,,2λ∴=±,(2,4)b ∴=− 或(2,4)b =− .(2)(5)()a b a b +⊥−,(5)()0a b a b ∴+⋅−=,22540a a b b ∴−⋅−= ,54a b ∴⋅= .设a 与b 的夹角为θ,则1cos 8||||a ba b θ⋅==. a ∴ 与b 的夹角θ的余弦值为18.16.【答案】(1)3π;(2)S =. 【详解】(1)在ABC △中,由余弦定理,2222cos a b c bc A =+−,又222b c bc a +−=,则1cos 2A =,而0A π<<,则3A π=. (2)由1sin 7C =得cos C =,若cos C =,那么1113sin sin()sin cos cos sin 2714B AC A C A C =+=+=+×=, 由正弦定理,sin sin a b A B =,则sin sin b Aa B=,因此21sin sin sin 22sin b A C Sab C B ==若cos C =,那么1111sin sin()sin cos cos sin 2714B AC A C A C =+=++×=− (舍),因此S =. 注:也可以通过角的大小关系,由1sin sin 7CA =<,得到C A <,故直接判断出cos C =,若无判断且无讨论扣3分.17.【答案】(1)()sin 216f x x π=−−(2)50,,6312πππ【详解】(1)211()cos cos2cos21sin21226f x x x x x x xπωωωωωω=−−=−−=−−,由()f x的图象上相邻两条对称轴之间的距离为2π,有22Tππω==,得1ω=,故()sin216f x xπ=−−,(2)方法一:()sin216f x xπ=−−,由于(,2)x a a∈,则22,4666x a aπππ−∈−−,又22Ta a−<得到0,2aπ∈,故52,666aπππ−∈−,则2,4,6622a aππππ−−⊆−或32,4,6622a aππππ−−⊆.解得0,6aπ∈或5,312aππ∈,所以a的取值范围50,,6312πππ.方法二:()sin216f x xπ=−−,令2()262k x k kπππππ−+≤−≤+∈Z,解得单调区间为()622k kx kπππ∈−+∈Z,故(,2),()6232k ka a kππππ⊆−++∈Z,62232kakaππππ≥−+≤+,6264k kaππππ−+≤≤+,()k∈Z由于6264k kππππ−+≤+,故0k=或1k=.当0k=时0,6aπ∈,当1k=时,5,312aππ∈,所以a的取值范围50,,6312πππ注:两个区间漏写一个扣3分18.【答案】(1)43;(2)[3,3]−.【详解】(1)在ABC △中,ABCABD ADC S S S =+△△△, 因此1211sin sin sin 232323AB AC AB AD AD AC πππ⋅⋅=⋅⋅+⋅⋅, 即43bc AD b c ==+. (2)由D 为BC 中点得:1122AD AB AC =+, 故1111()()2222DE DF DA AE DA AF x AB AC AB y AC⋅=+⋅+=−−⋅−+−2211111112222224x AB y AC x y AB AC =−−−−+−−+⋅ 1111111164(4)2222222x y xy x y =⋅−−+⋅−−+−⋅−−+ 22113463423444xy x y y y=−−+=+−=+−又[0,1]y ∈,2113444DE DF y⋅=+−在[0,1]上单调递增; 因此1y =时,max ()3DE DF ⋅= ;0y =时,min ()3DE DF ⋅=−.即[3,3]DE DF ⋅∈−.19、【解析】(1)610z −=的解为cos isin(0,1,2,3,4,5)33k k z k ππ=+=, 故6次单位根为11111,1,2222−+−+−,6次本原单位根为12+和12−. (6次单位根3分,有漏写酌情扣1-2分,有错误0分,6次本原单位根1个1分) (2)2611()122x x x x x Φ=−−+=−+ 又2311()122x x x x xΦ=+−+=++ ;2()1x x Φ=+,1()1x x Φ=−, 因此()()()()223366321()()()()(1)(1)11111x x x x x x x x x x xx x ΦΦΦΦ=+−++−+=+−=−,猜想121264321()()()()()()1x x x x x x x ΦΦΦΦΦΦ=−.(3)方法一:设12次单位根分别为0111,,z z z ,其中cos isin 66k k k z ππ=+, 则不难发现:15711,,,z z z z 为12次本原单位根,3z 和9z 为4次本原单位根,其余的根分别为1,2,3,6次本原单位根,因此()()()1212643211211()()()()()()1z z z z z z z z z z z z z ΦΦΦΦΦΦ=−−−=− ,12121311124()()m PA PA PA PB PB z z z z z z z z ⋅⋅⋅=−⋅−−=ΦΦ.又126126432112466321()()()()()()1()()1()()()()1z z z z z z z z z z z z z z z ΦΦΦΦΦΦ−ΦΦ===+ΦΦΦΦ−,又666111z z z −≤+≤+,且66||8z z ==,故61[7,9]z +∈,即[]12127,9m PA PA PA PB PB ⋅⋅⋅∈.(若直接使用第二问的猜想121264321()()()()()()1x x x x x x x ΦΦΦΦΦΦ=−扣2分) 方法二:求出四个12次本原单位根分别为11i 2z =+,21i 2z +,31i 2z −,41i 2z =−, 两个4次本原单位根分别为5i z =,6i z =−,123412123456PA PA PA PA PB PB z z z z z z z z z z z z ⋅⋅⋅⋅⋅=−⋅−⋅−⋅−⋅−⋅−()()()()()()61234561z z z z z z z z z z z z z =−−−−−−=+ 又666111z z z −≤+≤+,且66||8z z ==,故[]617,9z +∈. 即1212[7,9]m PA PA PA PB PB ⋅⋅⋅∈.。
2019年秋季鄂东南省级示范高中教育教学改革联盟学校期中联考高三数学(文科)试卷一、选择题:在每小题给出的四个选项中,只有一项是符合题目要求的. 1.已知复数z 满足121ii z-=+,则z =( )ABCD 【答案】C【解析】由已知得:121i i z -=+,i i z +-=121i 2321+-=,z =2104941=+ 【方法点评】此题考查复数的除法,以及复数的模,基础题2.若函数()f x =与()()ln 1g x x =+的定义域分别为M 和N ,则MN =( )A .{}11x x -<<B .{}11x x -<≤C .{}11x x -<≤D .{}11x x -≤≤【答案】A【解析】由已知得:M ()1-,∞=,N ()∞+=,1-,M N ={}11x x -<<【方法点评】此题考查函数的定义域和集合的交集,基础题3.已知0.213a ⎛⎫= ⎪⎝⎭,13log 0.2b =,b c a =,则a 、b 、c 的大小关系为( )A .a b c <<B .c a b <<C .a c b <<D .b c a <<【答案】B【解析】由已知得:0.213a ⎛⎫= ⎪⎝⎭()1,0∈,13log 0.2b =0<,b c a =1>,所以c a b <<【方法点评】此题考查指数与对数比较大小,需要熟练掌握指数对数图像与性质4.已知等差数列{}n a 的前3项和为30,后3项和为90,且前n 项和为200,则n =( ) A .9B .10C .11D .12【答案】B【解析】由已知得:4039030n 1=+=+a a ,()10,200240===n n S n【方法点评】此题考查数列的公式,基础题5.函数()1ln 1xf x x-=+的大致图像为( )A .B .C .D .【答案】D【解析】由已知得:求定义域11≠-≠x x 或,取特殊值,当21=x 时,03ln )(<-=x f ,排除BC ;当2-=x 时,03ln )(>=x f ,排除A ;正确答案是D 【方法点评】此题考查函数图像的性质6.设数列{}n a 前n 项和为n S ,已知145a =,112,02121,12n n n n n a a a a a +⎧⎪⎪=⎨⎪-<⎪⎩≤≤≤,则2020S =( )A .1009B .50485 C .1010D .50545【答案】C【解析】由已知得: (5)4,52,51,53,5454321=====a a a a a 4=T ,2020S =10102505=⨯7.已知()0,πα∈,且3sin 5α=,则πtan 4α⎛⎫+= ⎪⎝⎭( )A .17-B .7C .17-或7-D .17或7 【答案】D【解析】由已知得:已知()0,πα∈,且3sin 5α=,43tan ±=α, πtan 4α⎛⎫+= ⎪⎝⎭17或7【方法点评】此题考查三角函数和差公式,基础题8.若非零向量a 、b 满足a b =且()2a b b +⊥,则a 与b 的夹角为( )A .π6B .π3C .2π3D .5π6【答案】C【解析】由已知得:()2a b b +⊥,()02=+b b a 3201cos 2πθθ==+⇒, 【方法点评】此题考查向量的运算,涉及向量的垂直,基础题9.古希腊数学家阿基米德的墓碑上刻着一个圆柱,圆柱内有一个内切球,这个球的直径恰好与圆柱的高相等,相传这个图形是阿基米德最引以为自豪的发现.现有一底面半径与高的比值为1:2的圆柱,则该圆柱的体积与其内切球的体积之比为( )A .43B .32C .2D .83【答案】B【解析】由已知得:设地面所在圆的半径为r,h=2r,342ππ==球圆柱,V V ,23::球圆柱=V V 【方法点评】此题考查圆柱的内切球,涉及空间想象和思维能力,对空间思维能力有一定的要求。
2023年秋季鄂东南省级示范高中教育教学改革联盟学校期中联考高一数学试卷(答案在最后)考试时间:2023年11月15日上午08:00-10:00试卷满分:150分一、选择题(本题共8小题,每小题5分,共40分.在每小题给出的四个选项中,只有一项是符合题目要求的)1.命题“0x ∃∈R ,使得20040x x +-=”的否定为()A .2,40x x x ∀∈+-≠R B .2,40x x x ∀∈+-=R C .2,40x x x ∀∉+-=R D .2,40x x x ∀∉+-≠R 2.已知集合{}{}21,3,,1,23A a B a ==+,若A B A = ,则a 的值是()A .0B .3C .1,3-D .3,03.下列命题为真命题的是()A .若0a b >>.则22ac bc>B .若0a b c >>>.则c c a b<C .若,a b c d >>,则a c b d->-D .若,x y 均为实数,则()2212x y x y ++≥+4.若0,0a b >>,且45ab a b =++,则ab 的取值范围是()A .(]0,25B .[)1,+∞C .[)25,+∞D .[)5,+∞5.已知函数(){}31,1,2,3f x x x =+∈.那么函数()21f x y x =-的定义域是()A .13,22⎡⎤⎢⎥⎣⎦B .13,11,22⎡⎫⎛⎤⎪ ⎢⎥⎣⎭⎝⎦C .{}2,4,6D .13,22⎧⎫⎨⎬⎩⎭6.已知()f x 是定义在R 上的奇函数,当0x >时,()228f x x x =--,则不等式()0x <的解集为()A .()(),44,-∞-+∞B .()()4,04,-+∞ C .()()4,00,4- D .()(),40,4-∞- 7.函数()()2af x x a x=+∈R 的图像不可能是()A .B .C .D .8.关于x 的方程210x ax b -+-=有两个相等的正根,则32a ba b++()A .有最大值115B .有最大值52C .有最小值115D .有最小值52二、多选题(本小题共4小题,每小题5分,共20分,在每小题给出的四个选项中,有多项符合题目要求,全部选对得5分,部分选对得2分,有选错的得0分)9.设集合{{}(){}(){}22,4,4,21A x y B y y x C x y y xD x y y x ====-==-==-,,.则下列关系中正确的是()A .A B=B .B C=C .A C ≠∅ D .C D ≠∅ 10.已知关于x 的不等式20ax bx c ++>的解集为{}13x x -<<,则()A .函数2y ax bx c =++有最大值B .50a c ++>C .65b c=-D .20bx a x c +->的解集为33,,22⎛⎫⎛⎫-∞-+∞ ⎪ ⎪⎝⎭⎝⎭11.已知条件:p “函数()()()212,1315,1x a x x f x a x x ⎧--+≥⎪=⎨+-<⎪⎩是定义在R 上的增函数”,下列哪些是p 的充分不必要条件()A .:03q a ≤<B .:02q a ≤<C .1:23q a -<<D .1:23q a -<≤12.如果我们把集合A 的所有子集组成的集合叫做集合A 的幂集,记为()P A .用()n A 表示有限集A 的元素个数.下列命题中正确的是()A .若{}1,2,3A =,则{}()1P A ∈;B .存在集合A ,使得()15n P A ⎡⎤=⎣⎦;C .若A B =∅ ,则()(){}P A P B =∅ ;D .若()()3n A n B -=,则()()4n P A n P B ⎡⎤⎡⎤=⨯⎣⎦⎣⎦.三、填空题(本小题共4小题,每小题5分,共20分)13.已知全集{U x x =是小于9的自然数},{}{}1,2,3,3,4,5,6A B ==,则()U A B = ð______.14.已知函数()f x 满足22121x f x x ⎛⎫= ⎪+⎝⎭,则函数()f x 值域为______.15.已知函数()()2f x x x =-,若关于x 的不等式()()20f x af x -⎤⎣⎦<⎡恰有1个整数解,则实数a 的最大值是______.16.设函数的定义域为D ,如果存在区间[],a b D ∈,使得()x ϕ在[],a b 上值域为[],a b 且单调,则称[],a b 为函数()x ϕ的保值区间.已知幂函数()()1221p f x p p x-=+-在()0,+∞上是单调增函数.(1)函数()f x 的解析式()f x =______;(2)若函数()()21x f x k ϕ=+-存在保值区间,则实数k 的取值范围是______.四、解答题(本大题共6小题,共70分,解答应写出文字说明,证明过程或演算步骤)17.(1)已知23,21a b b <+<-<<-,求2a b +的取值范围;(2)若0,0m n >>,且4m n +=,求1122m n m n+++的最小值.18.(1)已知b 克糖水中含有a 克糖(0b a >>),再添加m 克糖(0m >)(假设全部溶解),糖水变甜了.请将这一事实表示为一个不等式,不必证明.利用此结论证明:若,,a b c 为三角形的三边长,则2a b cb c a c a b++<+++.(2)超市里面提供两种糖:白糖每千克1p 元,红糖每千克2p 元()12p p ≠.小东买了相同质量的两种糖,小华买了相同价钱的两种糖.请问谁买的糖的平均价格比较高?请证明你的结论.(物品的平均价格=物品的总价钱÷物品的总质量)19.已知函数()223,f x x bx b =-+∈R .(1)若函数()f x 图像关于2x =对称,求不等式()201f x x <-的解集;(2)若当[]1,2x ∈-时函数()f x 的最小值为2,求当[]1,2x ∈-时,函数()f x 的最大值.20.设函数()f x 的定义域是()0,+∞,且对任意的正实数x y 、都有()()()f xy f x f y =+恒成立,当01x <<时,()0f x <.(1)判断并证明.....函数()f x 在()0,+∞上的单调性:(2)若()44f =,求不等式()()11232f x f x +>+的解集.21.为迎接购物节,某家具厂在直播平台主推一款网红床(每套床包括1张床和2个床头柜).根据大数据预测,家具厂应先制作1013套网红床以应对本次抢购.为了尽快完成订单,该厂将100名技术工人分成两组,一组只制作床,另一组只制作床头柜.已知每张床和每个床头柜制作的工作量分别为3人1天和1人1天.若两组同时开工,问如何安排两组人数才能使得工期最短?22.函数()y x ϕ=的图像关于坐标原点成中心对称图形的充要条件是函数()y x ϕ=为奇函数,可以将其推广为:函数()y x ϕ=的图像关于点(),P a b 成中心对称图形的充要条件是函数()y x a b ϕ=+-为奇函数.给定函数()3261410,f x x x x x =-+-∈R .(1)根据上述材料求函数()f x 的对称中心;(2)判断()f x 的单调性(无需证明),()()2,324x f mx xf x ∀∈++++>R 恒成立,求m 的取值范围.2023年秋季鄂东南省级示范高中教育教学改革联盟学校期中联考高一数学参考答案123456789101112ADBCDCABADABDBCAC7.【详解】函数()2af x x x =+的定义域为{}0x x ≠,且()()()2a f x x f x x -=-+=-,所以该函数为偶函数,下面只讨论()0,x ∈+∞时的情况:()2,0af x x x x=+>,当0a =时,()f x x =,图象为C ;当0a >时,()2222a x x a f x x x x =+=++≥,图象为B ;若0a <时,函数()2,0af x x x x=+>单调递增,图象为D ;所以函数的图象可能为BCD .故选:A .8.【解析】因原方程有两个相等的正根,所以0,10a b >->且21,04a b a =+>.232115222221221144a b a a a a a b a b a a +∴=+=+=+≤++=++++++当且仅当2a b ==时取等号故选B .9.【解析】集合A 是函数y =的定义域[)4,-+∞.集合B 是函数24y x =-的值域[)4,-+∞,故A正确;集合A B 、是数集,集合C 是点集,故B 、C 错误;2421y x y x ⎧=-⎨=-⎩有两组解,故C D 有两个点,故D 正确.10.【详解】因为不等式20ax bx c ++>的解集为{}13x x -<<,所以()()()213,0f x ax bx c a x x a =++=+-<,函数2y ax bx c =++有最大值,A 正确;且13-<<,函数值0,f>B 正确;又13-、是关于x 的二次方程20ax bx c ++=的两根,则1313b a c a ⎧-+=-⎪⎪⎨⎪-⨯=⎪⎩,所以2,3b a c a =-=-,则32,b c =C 错;不等式20bx a x c +->即为2230ax a x a -++>,即2230x x -->,解得1x <-或32x >,33,,22x ⎛⎫⎛⎫∴∈-∞-+∞ ⎪ ⎪⎝⎭⎝⎭,D 正确.故选:ABD .11.【详解】函数()()()212,1315,1x a x x f x a x x ⎧--+≥⎪=⎨+-<⎪⎩是定义在R 上的增函数的充要条件是:112310,344a a a a-⎧≤⎪⎪+>⎨⎪-≤-⎪⎩解得1,23a ⎛⎤∈- ⎥⎝⎦.又[)0,2与1,23⎛⎫- ⎪⎝⎭都是1,23⎛⎤- ⎥⎝⎦的真子集,故“:02q a ≤<”、“1:23q a -<<”是:p “函数()f x 是定义在R 上的增函数”的充分不必要条件.故选:BC .12.【详解】对于A ,若{}1,2,3A =,则A 的子集之一就是{}1,所以{}()1P A ∈,故A 正确;对于B ,若()n A n =,则()2nn P A ⎡⎤=⎣⎦,故B 错误;对于C ,若A B =∅ ,则,A B 的公共子集只有空集∅,故()(){}P A P B =∅ ,故C 正确;对于D ,若()()3n A n B -=,不妨设()n A m =,则()3n B m =-,()()32,2m m n P A n P B -⎡⎤⎡⎤∴==⎣⎦⎣⎦,显然()()8n P A n P B ⎡⎤⎡⎤=⨯⎣⎦⎣⎦,故D 错误.故选:AC .13.{}0,7,8.14.10,2⎛⎫ ⎪⎝⎭【解答】令()10t t x =≠,则1x t =,所以()22211221t f t t t ==++,所以()f x 的解析式为()212f x x =+,其中0x ≠.当0x ≠时,221122,022x x +><<+,所以()f x 值域为10,2⎛⎫⎪⎝⎭15.3【解析】解:函数()f x,如图所示,不等式()()2[]0f x af x -<恰有1个整数解,当0a >时,则()0x f a <<,结合图像观察,唯一的整数解是1,依题意得()()1113f a f a <≤-∴<≤,当0a <时,则()x 0a f <<,此时a 不会是最大的;所以实数a 的最大值是316.(1)()12f x x ==(2)12k ≤<.【详解】(1)因为幂函数()()1221p f x p p x-=+-在()0,+∞上是单调增函数,所以21112p p p ⎧+-=⎪⎨->⎪⎩,解得1p =,所以函数()f x 的解析式为()12f x x ==.(2)因为函数()x k ϕ=在[)1,x ∈-+∞上单调递增,若存在保值区间[](),1a b a ≥-,则()()a ab b ϕϕ⎧=⎪⎨=⎪⎩,即()x x ϕ=,也就是方程k x -=在[)1,-+∞上有两个不等的实根,0t =≥,得21x t =-,所以2210t t k --+=在[)0,+∞上有两个不等的实根,令()221g t t t k =--+,则()Δ000g >⎧⎨≥⎩,即()441010k k ⎧--+>⎨-+≥⎩,解得12k ≤<,故实数k 的取值范围是12k ≤<17.解:(1)设()()2a b x a b yb ax b x y +=++=++,其中,x y ∈R ,则21x x y =⎧⎨+=⎩,解得21x y =⎧⎨=-⎩,即()22a b a b b +=+-,23,21,a b b <+<-<<- 528,a b ∴<+<所以2a b +的取值范围为()5,8(2)设2,2m n p m n q +=+=,则0,0,3312p q p q m n >>+=+=.()111111111122,221212123q p p q m n m n p q p q p q ⎛⎛⎫⎛⎫+=+=++=++≥+= ⎪ ⎪ ++⎝⎭⎝⎭⎝当且仅当p q =,即2m n ==时,等号成立,(等号成立条件没写建议扣2分)所以1122m n m n +++的最小值为13.18.解:(1)糖水变甜了得出不等式(),0,0a a mb a m b b m+<>>>+.设ABC △的三边长分别为,,a b c ,则有,,a b c a c b b c a +>+>+>,由上述不等式可得:,,c c c a a a b b ba b a b c b c a b c a c a b c+++<<<+++++++++,将以上不等式左右两边分别相加得:2c a b c c a a b ba b b c a c a b c a b c a b c+++++<++=+++++++++,所以,2c a ba b b c c a++<+++.(2)对于小东而言,他买到的糖的平均价格为122p p +(元/千克),对于小华而言,设小华买两种糖的费用均为c 元,则他买到的糖的总质量为12c cp p +千克,故小华买到的糖的平均价格为22121122p p cp c p p p c +=+(元/千克),()()212121212122022p p p p p p p p p p -+-=>++,即小东买到的糖的平均价格较高.19.解:(1)()f x 图像关于2x =对称,2b ∴=()()()()()()221343,111f x x x f x x x x x x --∴=-+=<--+()()10130x x x -≠⎧∴⎨+-<⎩,解得13x -<<,且1x ≠所以,原不等式的解集为{13x x -<<,且}1x ≠;(2)因为()223f x x bx =-+是二次函数,图像抛物线开口向上,对称轴为x b =,①若1b ≤-,则()f x 在[]1,2-上是增函数,()()min 1422f x f b ∴=-=+=,解得1b =-,()()max 27411f x f b ∴==-=;②若2b ≥,则()f x 在[]1,2-上是减函数,()()min 2742f x f b ∴==-=,解得54b =(舍);③若12b -<<,则()f x 在[]1,b -上是减函数,在(],2b 上是增函数;()()2min 32f x f b b ∴==-=,解得1b =或1b =-(舍)()()max 1426;f x f b ∴=-=+=综上,当1b =-时,()f x 的最大值为11;当1b =时,()f x 最大值为6.20.解:(1)()f x 在()0,+∞上为增函数设120x x >>,则()()2121x f x f f x x ⎛⎫+= ⎪⎝⎭即()()2211x f x f x f x ⎛⎫-= ⎪⎝⎭,2101x x << ,故210x f x ⎛⎫< ⎪⎝⎭,即()()21f x f x <故()f x 在()0,+∞上为增函数(2)由()()()22224f f f ⨯=+=得:()22f =()()()()()()()2112322232232f x f x f x f f x f x f x +>+⇒+>+⇒>+,所以22230x x >+>,解得12x +>或3122x -<<,所以不等式的解集为:12x x ⎧+⎪>⎨⎪⎩或3122x --<<⎪⎭21.解:设x 人制作床,则100x -人制作床头柜,0100x <<.由已知条件得,完成床时间为()10133f x x ⨯=,完成床头柜时间为()20261100g x x⨯=-,1013∴套床完成时间为()()()()()()(),,,,f x f xg xh x g x g x f x ⎧≥⎪=⎨>⎪⎩由1013320261100x x⨯⨯≥-,得60x ≤,()(]()3039,0,60,2026,60,100,100x xh x x x⎧∈⎪⎪∴=⎨⎪∈⎪-⎩且x +∈N ,当(]()30390,60,x h x x ∈=单调递减,最小值为()10136020h =,当()()202660,100,100x h x x ∈=-在()60,100单调递增,202610131006020=-最小值为()10136020h =,即()min 101320h x =,所以安排60人制作床,40人制作床头柜工期最短.22.解:(1)由题意,设函数()()()g x f x a b x =+-∈R ,则函数()()()()3261410g x x a x a x a b =+-+++--,整理得:()()32232143234614103g x x a x a a x a a a b ⎛⎫=+-+-++-+-- ⎪⎝⎭,又由()g x 是奇函数,得()()g x g x -=-,即()32320,614100,a a a ab ⎧-=⎨-+--=⎩解得22a b =⎧⎨=⎩,故函数()f x 的对称中心为()2,2.(2)函数()f x 是R 上的增函数理由是:由(1)得:函数()()3222g x f x x x =+-=+是R 上的增函数,结合函数图像平移可知,函数()f x 是R 上的增函数(理由不作要求)由()()2324f mx x f x ++++>,得()()23222f xmx f x ++->-++,即()()()()2232221f x mx f x g x mx g x ⎡⎤++->-+-⇒++>-⎣⎦,又()()g x g x -=-,则()()21g x mx g x ++>-,()g x 是R 上的增函数21,x mx x ∴++>-()2,110x x m x ∴∀∈+++>R 恒成立,。
2024年秋季鄂东南省级示范高中教育教学改革联盟学校期中联考高一数学试卷(答案在最后)命题学校:考试时间:2024年11月11日上午08:00—10:00试卷满分:150分一、选择题:本题共8小题,每小题5分,共40分.在每小题给出的四个选项中,只有一项是符合题目要求的.1.下列各组对象不能构成集合的是()A.中国古代四大发明B.所有无理数C.2024年高考数学难题D.小于π的正整数【答案】C 【解析】【分析】根据题意利用集合中元素具有确定性的性质,对选项逐一判断可得结论.【详解】对于A ,中国古代四大发明是指造纸术、指南针、火药、印刷术,满足集合定义,即A 能构成集合;对于B ,所有无理数定义明确,即B 能构成集合;对于C ,2024年高考数学难题定义不明确不具有确定性,不符合集合的定义,即C 构不成集合;对于D ,小于π的正整数只有1,2,3,具有确定性,满足集合定义,即D 能构成集合.故选:C2.已知集合103x A x x ⎧⎫+=≤⎨⎬-⎩⎭,{}1B x x =≥,则A B = ()A.{}13x x -<< B.{}13x x <<C.{}13x x ≤≤ D.{}13x x ≤<【答案】D 【解析】【分析】解不等式化简集合A ,再利用交集的定义求解即得.【详解】依题意,1{|0}{|13}3x A x x x x +=≤=-≤<-,而{}1B x x =≥,所以{}13A B x x ⋂=≤<.故选:D3.已知函数()2222()1m m f x m m x --=--是幂函数,且在(0,+∞)上递增,则实数m =()A.2B.1- C.4D.2或1-【答案】B 【解析】【分析】利用幂函数的定义求出m 值,再由单调性验证即得.【详解】因函数()2222()1m m f x m m x --=--是幂函数,则211m m --=,即220m m --=,解得1m =-或2m =,当1m =-时,函数()f x x =在(0,+∞)上递增,则1m =-,当2m =时,函数2()f x x -=在(0,+∞)上递减,不符合要求,实数1m =-.故选:B4.已知()f x 是定义在[]1,1-上的减函数,且()()113f x f x -<-,则x 的取值范围是()A.12,23⎛⎤⎥⎝⎦B.10,2⎛⎫ ⎪⎝⎭C.10,2⎡⎫⎪⎢⎣⎭D.20,3⎡⎤⎢⎥⎣⎦【答案】A 【解析】【分析】根据()f x 的定义域以及单调性可得1x -,13x -满足的条件,由此即可解得x 的范围.【详解】由题意,函数()f x 是定义在[]1,1-上的减函数,因为()()113f x f x -<-,得1311131111x x x x -<-⎧⎪-≤-≤⎨⎪-≤-≤⎩,解得1223x <≤,所以x 的取值范围是12,23⎛⎤⎥⎝⎦.故选:A.5.若0a >,0b >,23a b +=,则12a b+的最小值为()A.1B.3C.6D.9【答案】B 【解析】【分析】利用乘“1”法即可求出最值.【详解】根据题意可得()12112122121453;333a b a b a b a b b a ⎛⎛⎫⎛⎫+=++=+++≥+= ⎪ ⎪ ⎝⎭⎝⎭⎝当且仅当22a bb a=即1,1a b ==时,等号成立,此时最小值为3.故选:B.6.我国著名数学家华罗庚曾说:“数缺形时少直观,形缺数时难入微,数形结合百般好,隔裂分家万事休”.在数学的学习和研究中,常用函数的图象来研究函数的性质,也常用函数的解析式来研究函数图象的特征.下面的图象对应的函数可能是()A.()11f x x =-B.()11f x x =-C.()311f x x =+ D.()211f x x =+【答案】B 【解析】【分析】首先由函数的定义域排除CD ,再由01x <<时,()0f x <排除A ,即可得答案.【详解】由图象可知,函数的定义域为(,1)(1,1)(1,)-∞-⋃-⋃+∞,因为()311f x x =+的定义域为(,1)(1,)-∞-⋃-+∞,所以排除C ,因为()211f x x =+的定义域为R ,所以排除D ,因为当01x <<时,()101f x x =<-,所以排除A ,故选:B7.已知函数22()24f x x ax a =-+-,若关于x 的不等式(())0f f x <的解集为空集,则实数a 的取值范围是()A.(),8-∞- B.[]8,6-- C.(],6∞-- D.(),6-∞-【答案】C 【解析】【分析】令()t f x =,求出不等式()0<f t 的解,再代入判断列式求解.【详解】函数2()()44f x x a =--≥-,设()t f x =,不等式(())0f f x <为()0<f t ,即2()40t a --<,解得22a t a -<<+,依题意,22()42a x a a -<--<+无解,即不等式22()6a x a a +<-<+无解,因此60a +≤,解得6a ≤-,所以实数a 的取值范围是6a ≤-.故选:C8.高斯是德国著名的数学家,近代数学奠基者之一,享有“数学王子”的美誉.函数()[]f x x =称为高斯函数,其中x ∈R ,[]x 表示不超过x 的最大整数,例如:[]21.1-=-,[]2.52=,则方程][[21]4x x x ++=的所有大于零的解之和为()A.12 B.34C.32D.74【答案】D 【解析】【分析】x ∀∈R ,k ∃∈Z ,使211k x k ≤+<+,可得122k kx -≤<,2242k x k -≤<,分类讨论k 为奇数和偶数的情况,求出k 的值,再代入求解即可.【详解】x ∀∈R ,k ∃∈Z ,使211k x k ≤+<+,则[21]x k +=,于是122k kx -≤<,2242k x k -≤<,若k 为奇数,则12k -∈Z ,1[]2k x -=,1[21]42[]k x k x x -++=+=,则312222k k k --≤<,解得13k -<≤,1k =或3k =,当1k =时,102x ≤<,[]0x =,[21]1x +=,104x +=,解得11[0,42x =∈,当3k =时,312x ≤<,[]1x =,[21]3x +=,314x +=,解得31[1,2x =∈;若k 为偶数,则2k ∈Z ,则[]12kx =-,[21]14[]2k x k x x ++=+-=,则322122kk k -≤-<,解得2k -2<≤,0k =或2k =,当0k =时,102x -≤<,[]1x =-,[21]0x +=,104x -+=,解得11[,0)42x =-∈-,当2k =时,112x ≤<,[]0x =,[21]2x +=,024x +=,解得11[,1)22x =∈,所以所有大于零的解之和为1171424++=.故选:D【点睛】结论点睛:“新定义”主要是指即时定义新概念、新公式、新定理、新法则、新运算五种,然后根据此新定义去解决问题,有时还需要用类比的方法去理解新的定义,这样有助于对新定义的透彻理解.但是,透过现象看本质,它们考查的还是基础数学知识,所以说“新题”不一定是“难题”,掌握好三基,以不变应万变才是制胜法宝.二、选择题:本题共3小题,每小题6分,共18'分.在每小题给出的选项中,有多项符合题目要求.全部选对的得6分,部分选对的得部分分,有选错的得0分.9.有下列四种说法,正确的说法有()A.奇函数图象不一定过坐标原点B.命题“x ∀∈R ,210x x ++>”的否定是“x ∃∈R ,210x x ++<”C.若,,a b c ∈R ,则“22ab cb >”的充要条件是“a c >”D.定义在R 上的函数()y f x =对任意两个不等实数a ,b ,总有()()0f a f b a b->-成立,则()y f x =在R 上是增函数【答案】AD 【解析】【分析】对A 举反例即可;对B ,利用全称命题的否定为特称命题即可判断;对C ,举反例0b =即可;对D ,根据单调性的定义即可判断.【详解】对于A ,奇函数的图象不一定过坐标原点,如()()10f x x x=≠是奇函数,它的图象不过原点,所以A 正确;对于B ,命题“x ∀∈R ,210x x ++>”的否定是“2R,10x x x ∃∈++≤”,B 错误;对于C ,若0b =,则由a c >不能推出²²ab cb >,故“a c >”不是“²²”ab cb >的充要条件,故C 错误;对于D ,根据题意知,a b >时,()()f a f b >,a b <时,()()f a f b <,由单调性的定义知,=在R 上是增函数,D 正确.故选:AD.10.已知关于x 的不等式20ax bx c ++≤的解集为{|2x x ≤-或3}x ≥,则下列说法正确的是()A.0a > B.0ax c +>的解集为{}6x x <C.8430a b c ++>D.20cx bx a ++<的解集为11{|}23x x -<<【答案】BCD 【解析】【分析】根据给定条件,可得6,,0c a b a a =-=-<,再给一元二次不等式的求解逐项判断即得.【详解】由不等式20ax bx c ++≤的解集为{|2x x ≤-或3}x ≥,得0a <且2,3-是方程²0ax bx c ++=的两个根,则3(2),3(2)c ba a⨯-=+-=-,即6,c a b a =-=-,对于A ,0a <,A 错误;对于B ,不等式0ax c +>为60ax a ->,而0a <,解得6x <,B 正确;对于C ,843843(6)140a b c a a a a ++=-+-=->,C 正确;对于D ,不等式²0cx bx a ++<为260ax ax a --+<,即2610x x +-<,解得1123x -<<,D 正确.故选:BCD11.已知函数()f x 的定义域为R ,对任意实数x ,y 满足:()()()1f x y f x f y -=-+,且()10f =.当0x >时,()1f x <.则下列选项正确的是()A.()01f =B.()21f =-C.()1f x -为奇函数 D.()f x 为R 上的增函数【答案】ABC 【解析】【分析】对A 直接赋值0x y ==即可;对B ,赋值2,1x y ==即可;对C ,利用奇偶性定义判断即可;对D ,根据单调性的判断方法判断即可.【详解】对于A ,由题可知()()()0001f f f =-+,故()01f =,故A 正确;对于B ,由题可知()()()()()()21211122111f f f f f f -=-+==-=-,,故B 正确;对于C ,()()()()0012f x f f x f x -=-+=-,故()()()111f x f x f x ⎡⎤--=---⎣⎦,为奇函数,故C 正确;对于D ,当12x x >时,()()()12121f x f x f x x -=--,∵1>2,∴1−2>0,∴1−2−1<0∴是R 上的减函数,故D 错误.故选:ABC.二、填空题:本题共3小题,每小题5分,共15分.12.函数()()01f x x =++的定义域为______.【答案】()(],11,3-∞-- 【解析】【分析】根据每个式子有意义的条件分别求出自变量x 的取值范围,再求交集即可.【详解】因为()()01f x x =+,所以3010x x -≥⎧⎨+≠⎩,解得3x ≤且1x ≠-,所以函数的定义域为(()(],11,3∞--⋃-.故答案为:()(],11,3∞--⋃-.13.已知集合,,1y A x x ⎧⎫=⎨⎬⎩⎭,{}2,,0B x x y =+,若A B =,则2x y +=_________.【答案】2-【解析】【分析】根据题意利用集合中元素的互异性分类讨论即可求得结果.【详解】依题意可知0x ≠,由于A B =可知0y =,此时{},0,1A x =,{}2,,0B x x =所以21x =,解得1x =-或1x =(舍去)即22x y +=-.故答案为:2-14.设函数22,2()26,2x x x f x x x ⎧-≤=⎨-+>⎩关于x 的方程()f x a =有三个不等实根123,,x x x ,且123x x x <<,则123223x x x ++的取值范围是_________.【答案】29[13,2【解析】【分析】画出函数图象,数形结合得到122x x +=,37[3,2x ∈,求出答案.【详解】画出函数()f x 的图象,观察图形知,仅当10a -<≤时,方程()f x a =有三个不等实根,分别对应直线y a =与图象三个交点的横坐标,其中两个交点位于二次函数图象上,不妨设123x x x <<,显然12,x x 关于1x =对称,则122x x +=,另一个交点位于直线26y x =-+上,在26y x =-+中,当10y -<≤时,732x ≤<,即37[3,2x ∈,因此12321224,3[9,)2x x x +=∈,所以12329223[13,2x x x ++∈.故答案为:29[13,2三、解答题:本题共5小题,共77分.解答应写出文字、证明过程或演算步骤.15.设全集U =R ,已知集合{}2430A x x x =-+≤,{}1B x m x m =≤≤+.(1)若A B =∅ ,求实数m 的取值范围;(2)若“x B ∈”是“x A ∈”的充分条件,求实数m 的取值范围.【答案】(1){|0m m <或3}m >(2){|12}m m ≤≤【解析】【分析】(1)先求出集合A ,然后结合集合的交集运算即可求解;(2)由题意得B A ⊆,然后结合集合的包含关系即可求解.【小问1详解】由²430x x -+≤,解得13x ≤≤,所以{|13}A x x =≤≤.因为A B =∅ ,且B ≠∅,所以11m +<或3m >,得0m <或3m >,所以实数m 的取值范围是{|0m m <或3}m >;【小问2详解】因为“x B ∈”是“x A ∈”的充分条件,所以B A ⊆,所以113m m ≥⎧⎨+≤⎩,解得12m ≤≤,所以实数m 的取值范围是{|12}m m ≤≤.16.用篱笆在一块靠墙的空地围一个面积为2的等腰梯形菜园,如图所示,用墙的一部分做下底AD ,用篱笆做两腰及上底,且腰与墙成60︒,当等腰梯形的腰长为多少时,所用篱笆的长度最小?并求出所用篱笆长度的最小值.【答案】等腰三角形腰长为20m ,所用篱笆长度的最小值为60m .【解析】【分析】建立函数模型,利用基本不等式求解.【详解】设()()m 0AB a a =>,上底()()m 0BC b b =>,分别过点B ,C 作下底的垂线,垂足分别为E ,F ,则2BE a=,2a AE DF ==,则下底22a a AD b a b =++=+,该等腰梯形的面积()()2224b a b S a a b a ++=⋅=+=,所以()21200a b a +=,则6002a b a =-,所用篱笆长为6006003226022a a l a b a a a =+=+-=+≥=,当且仅当60032aa =即()20m a =,()20mb =时取等号.所以,当等腰梯形的腰长为20m 时,所用篱笆长度最小,其最小值为60m .17.函数()f x 的定义域为{}0D x x =∈≠R ,且满足对于任意12,x x D ∈,有()()()1212f x x f x f x ⋅=+,当1x >时,()0f x >.(1)证明:()f x 是偶函数;(2)如果()41f =,解不等式()23f x -<.【答案】(1)证明见解析(2)(62,2)(2,66)-⋃【解析】【分析】(1)令12,1x x x ==-,121x x ==-从而得到()()f x f x -=,即可证明;(2)通过赋值代换得(|2|)(64)f x f -<,再证明其单调性,从而得到不等式组,解出即可.【小问1详解】因对定义域内的任意12,x x D ∈,有()()()1212f x x f x f x ⋅=+,令12,1x x x ==-,则有()()(1)f x f x f -=+-,又令121x x ==-,得2(1)(1)f f -=,再令121x x ==,得(1)0f =,从而(1)0f -=,于是有()()f x f x -=,所以()f x 是偶函数.【小问2详解】由于(4)1f =,所以3111(4)(4)(4)(444)(64)f f f f f =++=++=⨯⨯=,于是不等式(2)3f x -<可化为(2)(64)f x f -<,由(1)可知函数()f x 是偶函数,则不等式可化为(|2|)(64)f x f -<,设120x x <<,则()()()()()222121111111x x x f x f x f x f x f x f x f f x x x ⎡⎤⎛⎫⎛⎫⎛⎫-=-⨯=-+=-⎢⎥ ⎪ ⎪ ⎪⎝⎭⎝⎭⎝⎭⎣⎦,由于120x x <<,所以211x x >,所以210x f x ⎛⎫> ⎪⎝⎭,所以()()120f x f x -<,所以()()12f x f x <,所以()f x 在(0,)+∞上是增函数,所以可得26420x x ⎧-<⎪⎨-≠⎪⎩,解得62662x x -<<⎧⎨≠⎩,所以不等式(2)3f x -<的解集为(62,2)(2,66)-⋃.18.已知函数()322x ax b f x x --=+为R 上的奇函数,且()21f -=.(1)求实数,a b 的值;(2)试判断函数()f x 在区间()1,+∞的单调性,并说明理由;(3)求函数()()()21g x f x mf x ⎡⎤=--⎣⎦(其中33x -≤≤)的值域.【答案】(1)7a =,0b =;(2)函数()f x 在区间()1,+∞单调递增,理由见解析;(3)答案见解析【解析】【分析】(1)根据奇偶性定义以及函数值解方程可得结果;(2)利用单调性定义按照步骤即可证明()f x 在区间1,+∞单调递增;(3)由换元法得出函数()g x 的表达式,再由(2)中的结论得出其在33x -≤≤上的单调性,利用二次函数性质分类讨论即可得出结果.【小问1详解】根据题意可得()00f =,即()02b f x =-=,可得0b =;再由()21f -=可得()82142a f x -+==+,解得7a =;当7a =,0b =可得()3272x x f x x -=+,经检验此时()f x 满足()()3272x x f x f x x -+-==-+,为奇函数,所以7a =,0b =【小问2详解】取任意()12,1,x x ∞∈+,且12x x <,则()()()()()()()()323233112221112112222212124242442222x x x x x x x x x x f x f x x x x x -+--+---=-=++++()()()()22221212121222129221422x x x x x x x x x x -+++-=++;由()12,1,x x ∞∈+,12x x <可得120x x -<,2222121212922140x x x x x x +++->;所以()()120f x f x -<,即可得()()12f x f x <,即函数()f x 在区间1,+∞的单调递增;【小问3详解】由()()()()6612,12,3,31111f f f f =--==-=-,由(2)得当[]12,0,1x x ∈时,2222121212210,092214x x x x x x x x <+++<-<,所以()()120f x f x ->,即()()12f x f x >,所以函数()f x 在0,1上单调递减;因此函数()f x 在0,1上单调递减,在1,+∞上单调递增,又函数()f x 为上的奇函数,所以函数()f x 的减区间为[]1,1-,递增区间为()(),11,∞∞--⋃+,当33x -≤≤时,()22f x -≤≤,令()()22f x t t =-≤≤,有()2221124m m g x t mt t ⎛⎫=--=--- ⎪⎝⎭,①当22m ≤-时,即4m ≤-,()()()()223,232g x g m g x g m ≥-=+≤=-,此时函数()g x 的值域为[]23,32m m +-;②当202m -<≤时,即40m -<≤时,可得()()()2minmax 1,23224m m g x g g x g m ⎛⎫==--==- ⎪⎝⎭,此时函数()g x 的值域为21,32;4m m ⎡⎤---⎢⎥⎣⎦③当022m <<时,即04m <<时,()()()2minmax 1,22324m m g x g g x g m ⎛⎫==--=-=+ ⎪⎝⎭,此时函数()g x 的值域为21,23;4m m ⎡⎤--+⎢⎥⎣⎦④当22m ≥时,即4≥m ,()()()()223,232g x g m g x g m ≤-=+≥=-,此时函数()g x 的值域为[]32,23m m -+,综上所述,4m ≤-时,其值域为[]23,32m m +-;当40m -<≤时,值域为21,32;4m m ⎡⎤---⎢⎥⎣⎦当04m <<时,值域为21,234m m ⎡⎤--+⎢⎥⎣⎦;当4≥m 时,值域为[]32,23m m -+【点睛】关键点点睛:本题关键在于利用换元法得出函数()g x 的表达式,再证明得出函数的单调性,利用二次函数性质分类讨论即可得出结果函数()g x 的值域.19.已知n 为正整数,集合(){}{}12,,,0,1,1,2,,n n i M x x x x i n =⋅⋅⋅∈=⋅⋅⋅,对于n M 中任意两个元素()12,,,n a a a α=⋅⋅⋅和()12,,,n b b b β=⋅⋅⋅,定义:()1122,,,n n a b a b a b αβ-=--⋅⋅⋅-;()1122,n nd a b a b a b αβ=-+-+⋅⋅⋅+-(1)当3n =时,设()1,0,1α=,()1,1,0β=,写出αβ-,并计算(),d αβ;(2)若集合S 满足3S M ⊆,且,S αβ∀∈,(),2d αβ=,求集合S 中元素个数的最大值,写出此时的集合S ,并证明你的结论;(3)若,n M αβ∈,且(),d k αβ=,任取n M γ∈,求(),d αγβγ--的值.【答案】(1)()0,1,1αβ-=,(),2d αβ=(2)最大值是4,证明见解析(3)(),d kαγβγ--=【解析】【分析】(1)根据定义直接求解即可;(2)根据定义,结合反证法进行求解即可;(3)根据定义,结合绝对值的性质进行证明即可.【小问1详解】当3n =时,设()1,0,1α=,()1,1,0β=,则()0,1,1αβ-=,所以(),0112d αβ=++=;【小问2详解】最大值是4.理由如下:此时()()()(){}0,0,0,0,1,1,1,0,1,1,1,0S =或()()()(){}0,0,1,0,1,0,1,0,0,1,1,1S =.若还有第5个元素,则必有()()1,0,0,0,1,1和()()0,0,1,1,1,0和()()0,1,0,1,0,1和()()1,1,1,0,0,0之一出现,其对应的(,)3d αβ=,不符合题意.【小问3详解】设()12,,,n a a a α=⋅⋅⋅,()12,,,n b b b β=⋅⋅⋅,()12,,,n c c c γ=⋅⋅⋅,所以{},,0,1i i i a b c ∈,{}0,1i i a b -∈,(1i =,2,3,)n ,从而()1122,,,n n n a b a b a b M αβ-=--⋅⋅⋅-∈,又()11112222,n n n n d a c b c a c b c a c b c αγβγ--=---+---+⋅⋅⋅+---,当0i c =时,i i i i i i a c b c a b ---=-;当1i c =时,()()11i i i i i i i i a c b c a b a b ---=---=-,所以()(),,d d αγβγαβ--=,所以(),d k αγβγ--=.。
2019年秋季鄂东南省级示范高中教育教学改革联盟学校期中联考高三数学(文科)试卷一、选择题:在每小题给出的四个选项中,只有一项是符合题目要求的.1.已知复数z 满足121ii z -=+,则z =( )ABCD2.若函数()f x =与()()ln 1g x x =+的定义域分别为M 和N ,则M N =() A .{}11x x -<< B .{}11x x -<≤C .{}11x x -<≤D .{}11x x -≤≤3.已知0.213a ⎛⎫= ⎪⎝⎭,13log 0.2b =,b c a =,则a 、b 、c 的大小关系为( )A .a b c <<B .c a b <<C .a c b <<D .b c a <<4.已知等差数列{}n a 的前3项和为30,后3项和为90,且前n 项和为200,则n =() A .9 B .10C .11D .125.函数()1ln 1xf x x -=+的大致图像为( )A .B .C .D .6.设数列{}n a 前n 项和为n S ,已知145a =,112,02121,12n n n n n a a a a a +⎧⎪⎪=⎨⎪-<⎪⎩≤≤≤,则2020S =() A .1009 B .50485C .1010D .505457.已知()0,πα∈,且3sin 5α=,则πtan 4α⎛⎫+= ⎪⎝⎭( ) A .17-B .7C .17-或7- D .17或7 8.若非零向量a 、b 满足a b =且()2a b b +⊥,则a 与b 的夹角为( )A .π6 B .π3 C .2π3D .5π6 9.古希腊数学家阿基米德的墓碑上刻着一个圆柱,圆柱内有一个内切球,这个球的直径恰好与圆柱的高相等,相传这个图形是阿基米德最引以为自豪的发现.现有一底面半径与高的比值为1:2的圆柱,则该圆柱的体积与其内切球的体积之比为( )A .43B .32C .2D .8310.已知O 、A 、B 为平面内三点,满足5OA OB ==,点C 在直线AB 上,且min 3OC =,则()tOA OB t +∈R 的最小值为( )A .245 B .4 C .165 D .12511.已知ABC △的内角A 、B 、C 的对边分别为a 、b 、c ,且c o s b c B B a +=,3b =,点D 是ABC △的重心,AD =ABC △的外接圆半径为( )AB .3C D12.已知函数212y x =的图象在点2001,2x x ⎛⎫ ⎪⎝⎭处的切线为直线l ,若直线l 与函数ln y x =,()0,1x ∈的图象相切,则0x 必满足条件( )A .001x <<B .01x <<C 0x <D 02x < 二、填空题:13.曲线()20x y x e --=在点()0,2-处的切线方程为________.14.若函数()2ln f x mx x x =+-在定义域内有递减区间,则实数m 的取值范围是________.15.已知函数()()sin 2f x x ϕ=+,其中ϕ为实数,若()π3f x f ⎛⎫ ⎪⎝⎭≤对x ∀∈R 恒成立,且()π2f f π⎛⎫< ⎪⎝⎭,则()f x 的单调递增区间是________. 16.若m 、n 表示直线,α、β、γ表示不同平面,下列四个命题:①m αβ=,n α⊂,m n ⊥,则αβ⊥;②m α⊥,n β⊥,m n ⊥,则αβ⊥;③m αγ=,n βγ=,m n ∥,则αβ∥;④m αβ=,n 与α、β所成的角相等,则m n ⊥.其中真命题的有________.(请填入编号)三、解答题:解答应写出文字说明、证明过程或演算步骤,每个试题考生都必须作答.17.设命题p :不等式2515x x a a ++->-对x ∀∈R 恒成立;命题q :方程2680ax x a -+-=有两不同正根.当命题p 和命题q 不都为假命题时,求实数a 的取值范围.18.已知正项等差数列{}n a 满足259a a +=,3420a a ⋅=,等比数列{}n b 的前n 项和n S 满足2n n S c =-,其中c 是常数.(1)求c 以及数列{}n a 、{}n b 的通项公式;(2)设n n n c a b =,求数列{}n c 的前n 项和n T .19.在三角形ABC 中,a 、b 、c 分别为角A 、B 、C 的对边,且)3sin sin 2BB B +=. (1)求角B 的大小;(2)若b =ABC △面积的最大值.20.如图,已知四棱锥P ABCD -的底面为菱形,且π3ABC ∠=,E 是DP 中点. (1)证明:PB ∥平面ACE ;(2)若AP PB =2AB PC ==,求三棱锥C PAE -的体积.21.为庆祝建国70周年,某高中准备设计一副宣传画,要求画面面积为24840cm ,画面高与宽的比为()1a a <,画的上下部分各留出5cm 的空白,左右部分各留出8cm 的空白.(1)当25a =时,该宣传画的高和宽分别为多少? (2)如何确定画面的高与宽,使得宣传画所用纸张面积最小,并求出此时a 的值.22.已知函数()sin f x ax x =-,π0,2x ⎡⎤∈⎢⎥⎣⎦,其中a 为常数. (1)若函数()f x 在π0,2⎡⎤⎢⎥⎣⎦上是单调函数,求a 的取值范围; (2)当1a ≤时,证明:()316f x x ≤.2019年秋季鄂东南省级示范高中教育教学改革联盟学校期中联考高三数学(文科)参考答案13.x +y +2=0 14.1,8⎛⎫-∞ ⎪⎝⎭ 15.2,36k k ππ⎡⎤-+π-+π⎢⎥⎣⎦(k ∈Z ) 16.②三、解答题:解答应写出文字说明、证明过程或演算步骤.17.∵|x +5|+|x-1|≥6,∴a 2-5a-6<0,解得-1<a <6;∵方程ax 2-6x +a-8=0有两不同正根,∴a ≠0,利用判别式和韦达定理可得:()1212364806080a a x x a a x x a ⎧-->⎪⎪⎪+=>⎨⎪⎪-⋅=>⎪⎩解得8<a <9, ∵p ∨q 为真,∴a ∈(-1,6)∪(8,9).18.(1)∵数列{a n }为正项等差数列,∴公差d >0,∵a 2+a 5=a 3+a 4=9,又a 3·a 4=20,∴a 3=4,a 4=5,即可得a n =n +1;∵S n =2n -c …①当n =1时,b 1=2-c ,当n ≥2时,S n-1=2n-1-c …②①-②即可得b n =2n-1,n ≥2,又∵{b n }为等比数列,∴b 1=20=1=2-c ,即可得c =1,∴b n =2n-1,n ∈N *;(2)由题意得c n =(n +1)2n-1,T n =2·20+3·21+…+(n +1)·2n-12T n =2·21+…+n ·2n-1+(n +1)·2n-T n =2+21+22+…+2n-1-(n +1)·2nT n =n ·2n19.(123cos sin 2B B B +=12cos 212B B -=, ∴sin 216B π⎛⎫-= ⎪⎝,即可得262B ππ-=,∴3B π=; (2)∵b 3B π=,由余弦定理得2231cos 22a c B ac +-==, 即可得a 2+c =3+ac ≥2ac ,∴ac ≤3,∴11sin 322ABC S ac B =≤⋅=△ 20.(1)连接BD 交AC于F ,连接EF∵四边形ABCD 为菱形,∴F 为AC 中点,那么EF ∥PB又∵EF ⊂平面ACE ,PB ⊄平面ACE∴PB ∥平面ACE ;(2)由勾股定理易知AP ⊥BP 且△ABC 为正三角形,∵E 为DP中点,∴12C PAE P ACD V V --=, 取AB 中点M ,连接PM 、CM ,由几何性质可知PM =1,CM =又∵PC =2,∴PC 2=PM 2+MC 2,即PM ⊥MC ,∵PM ⊥AB ,∴PM ⊥平面ABCD ,∴111232P ACD V -=⋅⋅⋅,∴12C PAE P ACD V V --==. 21.(1)设画面的高为2x cm ,则宽5x cm ,由题意得10x 2=4840,解得x =22, ∴该画的高为:44+10=54 cm ,宽为:110+16=126 cm ;(2)设画面的高为x cm ,则宽为4840cm x ,根据题意得 ()48401016S x x ⎛⎫=++ ⎪⎝⎭4840050001650006760x x =++≥+= 当且仅当484016x x =即x =55时等号成立,此时宽为484088x =, ∴555888a ==. 22.(1)求导得f'(x )=a-cosx ,0,2x π⎡⎤∈⎢⎥⎣⎦, ①当f (x )在0,2π⎡⎤⎢⎥⎣⎦上为单调递减函数时,即f'(x )=a-cosx ≤0恒成立, 又∵cosx ∈[0,1],∴a ≤(cosx )min =0;②当f (x )在0,2π⎡⎤⎢⎥⎣⎦上为单调递增函数时,即f'(x )=a-cosx ≥0恒成立, 又∵cosx ∈[0,1],∴a ≥(cosx )max =1;综上所述:当a ≤0时,f (x )在0,2π⎡⎤⎢⎥⎣⎦上为单调递减函数; 当a ≥1时,f (x )在0,2π⎡⎤⎢⎥⎣⎦上为单调递增函数; (2)要证()316f x x ≤,只需证31sin 06ax x x --≤恒成立, 令()31sin 6g x ax x x =--,0,2x π⎡⎤∈⎢⎥⎣⎦,则()21cos 2g x a x x '=--, 令()21cos 2h x a x x =--,0,2x π⎡⎤∈⎢⎥⎣⎦,则h'(x )=sinx-x , 易证当0,2x π⎡⎤∈⎢⎥⎣⎦时,sinx ≤x , ∴h'(x )<0,即h (x )在0,2π⎡⎤⎢⎥⎣⎦上递减, ∴h (x )≤h (0)=a-1≤0,即g'(x )≤0,∴g (x )在0,2π⎡⎤⎢⎥⎣⎦上递减,∴g (x )≤g (0)=0即31sin 06ax x x --≤,命题得证. (方法不唯一,酌情给分)。
绝密★启用前2020年秋季鄂东南省级示范高中教育教学改革联盟学校期中联考高二数学试卷命题学校:罗田一中 命题教师:张晖 审题教师:方维平 余咏梅 方耀光注意事项:1、答卷前,考生务必将自己的姓名、考生号等填写在答题卡和试卷指定位置上。
2、回答选择题时,选出每小题答案后,用铅笔把答题卡对应题目的答案标号涂黑。
如需改动,用橡皮擦干净后,再选涂其它答案标号;回答非选择题时,将答案写在答题卡上,写在本试卷上无效。
3、考试结束后,将本试卷和答题卡一并交回。
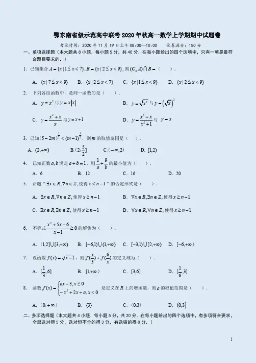
一、单项选择题:本题共8小题,每小题5分,共40分. 在每小题给出的四个选项中,只有一项是符合题目要求的.1、命题“x x x sin ,0>使得>∀”的否定是( )A .000sin ,0x x x ≤≤∃使得B .000sin ,0x x x ≤∃使得>C .x x x sin ,0≤∀使得>D .x x x sin ,0≥≤∃使得2、若点A (-1,1,2),B (0,3,0),C (1,0,-1),点D 在z 轴上,且→→⊥BC AD ,则=→AD ( )A .2B .22C .23D .63、设等差数列{}n a 的前n 项和为n S ,若()*11,1N m m a a a m m ∈--+><<,则必有( )A .001>且<+m m S SB .001>且>+m m S SC .001<且<+m m S SD .001<且>+m m S S4、若P 是两相交平面βα,外的任意一点,则过点P ( )A .有且仅有一条直线与βα,都平行B .有且仅有一条直线与βα,都垂直C .有且仅有一条直线与βα,都相交D .以上都不对5、已知椭圆13422=+y x 的右焦点F 是抛物线()022>p px y =的焦点,则过F 作倾斜角为α的直线分别与抛物线交于A 、B (A 在x 轴上方)两点,若3=BF AF,则α的值为( )A .30°B .120°C .60°D .60°或120°6、在等比数列{}n a 中,若815654321=+++++a a a a a a ,8943-=a a ,则=+++++654321111111a a a a a a ( )A .53B .53-C .35D .35- 7、设动点P 在棱长为1的正方体1111D C B A ABCD -的对角线1BD 上,记λ=BD P D 11,当APC ∠为锐角时,λ的取值范围是( )A .⎪⎭⎫⎢⎣⎡31,0B .⎪⎭⎫⎢⎣⎡21,0C .⎪⎭⎫ ⎝⎛1,31D .⎪⎭⎫ ⎝⎛1,218、双曲线()0012222>,>b a b y a x =-的左焦点()0,c F -关于直线x ab y -=的对称点Q 在该双曲线上,则双曲线的离心率为( )A .25B .5C . 3D .23二、多项选择题:本题共4小题,每小题5分,共20分. 在每小题给出的选项中,有多项符合题目要求. 全部选对的得5分,部分选对的得3分,有选错的得0分.9、已知双曲线⎪⎭⎫ ⎝⎛∈+≠=-Z k k y x ,2cos 3222ππθθ,则不因θ改变而变化的是( ) A .焦距 B .离心率 C .顶点坐标 D .渐近线方程10、如图,正方体1111D C B A ABCD -的棱长是1,下列结论中正确的有( )A .直线BC 与平面11D ABC 所成的角为4πB .C 到平面11D ABC 距离为22 C .两条异面直线1CD 和1BC 所成的角为4π D .三棱锥DAB D -1中三个侧面与底面均为直角三角形11、已知曲线1:22=-ny mx C ,下列说法正确的是( )A .若0>mn ,则C 为双曲线B .若0,0<>n m m +,则C 为焦点在x 轴的椭圆C .若0,0<>n m ,则C 不可能表示圆D .若0,0=n m >,则C 为两条直线12、已知P 是左右焦点分别为21,F F 的椭圆12422=+y x 上的动点,()2,0M ,下列说法正确的有( ) A .421=+PF PF B .21PF PF -的最大值为22C .存在点P ,使︒=∠12021PF FD .MP 的最大值为22+三、填空题:本题共4小题,每小题5分,共20分.13、双曲线1322=-y x 的左焦点到其渐近线的距离为_______. 14、直线l 与抛物线x y 22=相交于A 、B ,且︒=∠90AOB ,则AOB ∆面积的最小值为_______.15、若n S 是数列{}n a 的前n 项和,且n n a a a a n n 22...22213221+=++++-,则=n a _______,=n S _______.(第一空2分,第二空3分)16、空间四边形ABCD 中,2===BD AD AB ,3=AC ,DC BC =,DC BC ⊥,则其外接球表面积为_______.四、解答题:本题共6小题,共70分. 解答应写出文字说明、证明过程或演算步骤.17、(本小题满分10分)已知命题:p 方程02224222=+-++-+m m my x y x 表示圆;命题:q 方程15122=-+-ay m x 表示焦点在y 轴上的椭圆,若q p 是的必要不充分条件,求实数a 的取值范围.18、(本小题满分12分)已知n S 是等差数列{}n a 的前n 项和,15,03=S a n >,公差1>d 且______从“①a 2﹣1为a 1﹣1与a 3+1的等比中项”,“②等比数列{b n }的公比q =,b 1=a 2,b 3=a 3”这两个条件中,选择一个补充在上面问题中的划线部分,使得符合条件的数列{a n }存在并作答.(1)求数列{a n }的通项公式;(2)设数列的前n 项和为T n ,求T n .注:如果选择多个条件分别作答,按第一个解答计分.19、(本小题满分12分)已知圆:C 044222=+--+y x y x .(1)若圆C 的切线在x 轴、y 轴上的截距相等,求此切线的方程;(2)从圆C 外一点()00,y x P 向该圆引一条切线,切点为M ,O 为坐标原点,且有PO PM =,求PM 的最小值.20、(本小题满分12分)如图,四棱锥ABCD P -中,ABCD PA 平面⊥,底面ABCD 为菱形,的中点为PD E .(1)证明:AEC PB 平面∥;(2)设1=PA ,︒=∠120BAD ,菱形ABCD 的面积为32,求二面角C AE D --的余弦值.21、(本小题满分12分)设抛物线:C x y 22=,点()0,2A ,过点A 的直线l 与C 交于N M ,(轴上方在x M )两点.(1)当AN MA 2=时,求直线l 的方程;(2)是否存在轴x 上的点B (异于点A ),使得NBA MBA ∠=∠,若存在,求出B 点坐标;若不存在,说明理由.22、(本小题满分12分)若曲线Γ上任意一点P 与()()0,2,0,2B A -连线的斜率之积为41-,过原点的直线与曲线Γ交于N M ,两点,其中点M 在第二象限,过点M 作x 轴的垂线交AN 于点C .(1)求曲线Γ的方程;(2)试比较2AM 与AN AC ⋅的大小.。
湖北省鄂东南省级示范高中教育教学改革联盟学校 2022-2023学年高三上学期期中联考数学试题(考试时间:120分钟试卷满分:150分)一、单选题:本题共8题,每题5分,共40分.在每题给出的四个选项中,只有一项是符合题目要求的. 1.命题“x ∀∈Z ,x ∈N ”的否定为( )A .x ∃∈Z ,x ∉NB .x ∀∈Z ,x ∉NC .x ∃∉Z ,x ∉ND .x ∀∉Z ,x ∉N2.己知集合{A x y ==∣,2{3840}B x x x =-+≤∣,则A B =( )A .3,24⎛⎤⎥⎝⎦ B .2,23⎡⎤⎢⎥⎣⎦C .2,13⎡⎤⎢⎥⎣⎦D .3,14⎛⎤ ⎥⎝⎦3.下列函数中周期为π,且为偶函数的是( )A .cos y x =B .tan2x y =C .cos y x =D .πsin 42y x ⎛⎫=+⎪⎝⎭ 4.已知ABC △的外接圆圆心为O ,且20AB AC OA ++= ,AB AO = ,则向量BC 在向量BA上的投影向量为( )A .BAB .BA -C .14BCD .14BC -5.已知函数()f x 的定义域为R ,()(2)(2)g x f x f x =--+,()(2)()h x f x f x =-+,则下述正确的是( )A .()g x 的图象关于点(1,0)对称B .()g x 的图象关于y 轴对称C .()h x 的图象关于直线1x =对称D .()h x 的图象关于点(1,0)对称6.在ABC △中,角A ,B ,C 所对的边分别为a ,b ,c ,2π3ABC ∠=,D 点为AC 上一点且π2DBC ∠=,3BD =,则2a c +的最小值为( )A.B.C.D7.已知e 2a =-,1ln 2b =-,e2e e c =-,则( ) A .c b a >>B .a b c >>C .a c b >>D .c a b >>8.己知函数333,1()3log (1),1x x f x x x ⎧+⎪=⎨⎪->⎩≤,则函数1()[()]3()2F x f f x f x =--的零点个数是( ) A .6B .5C .4D .3二、多选题:本题共4小题,每小题5分,共20分.在每小题给出的四个选项中,有多项符合题目要求,全部选对的得5分,部分选对的得2分,有选错的得0分. 9.若,a b ∈R ,则使“1a b +>”成立的一个必要不充分条件是 ( )A .ln()1a b +>B .1a b +>C .331ab+>D .1a be+>10.水车是我国劳动人民创造发明的一种灌溉工具,作为中国农耕文化的组成部分,充分体现了中华民族的创造力,见证了中国农业文明.水车的外形酷似车轮,在轮的边缘装有若干个水斗,借助水势的运动惯性冲动水车缓缓旋转,将水斗内的水逐级提升.如图,某水车轮的半径为6米,圆心距水面的高度为4米,水车按逆时针方向匀速转动,每分钟转动2圈,当其中的一个水斗A 到达最高点时开始计时,设水车转动t (分钟)时水斗A 距离水面的高度(水面以上为正,水面以下为负)为()f t (米),下列选项正确的是( )A .()6cos 4π4(0)f t t t =+≥B .π()6sin π4(0)2f t t t ⎛⎫=++ ⎪⎝⎭≥ C .若水车的转速减半,则其周期变为原来的12D .在旋转一周的过程中,水斗A 距离水面高度不低于7米的时间为10秒11.设等比数列{}n a 的公比为q ,其前和项和为n S ,前n 项积为n T ,且满足条件11a >,202220231a a >,20222023(1)(1)0a a --<,则下列选项正确的是( )A .01q <<B .202220231S S +<C .2022T 是数列{}n T 中的最大项D .40431T >12.己知函数2()1x f x x =+,令112x =,1()n n x f x +=,则下列正确的选项为( )A .数列{}n x 的通项公式为11*2,21n n n x n --+∈=NB .122136n x x x n +++<- C .若数列{}n a 为等差数列且1234566a a a a a a +++++=-,则126()()()12f a f a f a +++= D .123112en x x x x +⋅⋅>三、填空题:本题共4小题,每小题5分,共20分. 13.已知π4αβ+=,,αβ均为锐角,则(1tan )(1tan )αβ++=___________.14.已知向量a ,b 不共线,且向量a b λ+ 与(21)a b λ+-的方向相反,则实数λ的值为___________.15.若项数为n 的数列{}n a 满足:1(1,2,3)i n i a a i n +-== 我们称其为n 项的“对称数列”.例如:数列1,2,2,1为4项的“对称数列”;数列1,2,3,2,1为5项的“对称数列”.设数列{}n c 为21(2)k k -≥项的“对称数列”,其中123,,,,k c c c c ⋯是公差为2的等差数列,数列{}n c 的最大项等于8.记数列{}n c 的前21k -项和为21k S -,若2132k S -=,则k =___________. 16.若不等式231sin ln(1)e 13xx x x ax x -++++-≥恒成立,则a 的取值范围为___________. 四、解答题:本题共6小题,共70分.解答应写出文字说明、证明过程或演算步骤. 17.已知等差数列{}n a 和等比数列{}n b 满足12a =,24b =,22log n n a b =,*n ∈N . (1)求数列{}n a ,{}n b 的通项公式:(2)设数列{}n a 中不在数列{}n b 中的项按从小到大的顺序构成数列{}n c ,记数列{}n c 的前n 项和为n S ,求50S .18.在ABC △中,角A ,B ,C 所对的边分别为a ,b ,c,且满足cos sin 2a C C b c =-.ABCMNP(1)求角A ;(2)己知2AB =,6AC =,M 点为BC 的中点,N 点在线段AC 上且13AN AC =,点P 为AM 与BN 的交点,求MPN ∠的余弦值.19.如图,在三棱柱111ABC A B C -中,13AB AC AA ===,AB AC ⊥,11A AB A AC ∠=∠,D 是棱11BC 的中点.1C(1)证明:BC ⊥平面1A AD ; (2)若三棱锥11B A BD -,求平面1A BD 与平面11CBB C 的夹角 .20.在一次数学随堂小测验中,有单项选择题和多项选择题两种.单项选择题,每道题四个选项中仅有一个正确,选择正确得5分,选择错误得0分;多项选择题,每道题四个选项中有两个或三个选项正确,全部选对得5分,部分选对得2分,有选择错误的得0分.(1)小明同学在这次测验中,如果不知道单项选择题的答案就随机猜测.己知小明知道单项选择题的正确答案和随机猜测的概率都是12.问小明在做某道单项选择题时,在该道题做对的条件下,求他知道这道单项选择题正确答案的概率.(2)小明同学在做多选题时,选择一个选项的概率为25,选择两个选项的概率为25,选择三个选项的概率为15.己知某个多项选择题有三个选项是正确的,小明在完全不知道四个选项正误的情况下,只好根据自己的经验随机选择,记小明做这道多项选择题所得的分数为X,求X的分布列及数学期望.21.设点P 为圆22:4C x y +=上的动点,过点P 作x 轴垂线,垂足为点Q ,动点M 满足2MQ =(点P 、Q 不重合)(1)求动点M 的轨迹方程E ;(2)若过点(4,0)T 的动直线与轨迹E 交于A 、B 两点,定点N 为31,2⎛⎫⎪⎝⎭,直线NA 的斜率为1k ,直线NB 的斜率为2k ,试判断12k k +是否为定值.若是,求出该定值;若不是,请说明理由.22.己知函数()sin(1)ln f x a x x =-+,a ∈R . (1)讨论函数()f x 在(0,1)x ∈上的单调性.(2)证明:22221111111sinsin sin sin ln 2234(1)21n n n ⎛⎫++++<++ ⎪++⎝⎭.。
2024年秋季鄂东南省级示范高中教育教学改革联盟学校期中联考高三数学试卷(答案在最后)命题学校考试时间:2024年11月4日下午15:00-17:00试卷满分:150分一、选择题(本题共8小题,每小题5分,共40分.在每小题给出的四个选项中,只有一项是符合题目要求的)1.已知集合{}0,1,2,3A =,{}2log 1B x x =≤,则A B = ()A.{}0,1,2 B.{}1,2 C.{}0,1 D.{}1【答案】B 【解析】【分析】化简集合B ,再根据集合的交集运算求解.【详解】由2log 1x ≤,解得02x <≤,{}02B x x ∴=<≤,又{}0,1,2,3A =,{}1,2A B ∴= .故选:B.2.已知()1cos 2αβ+=,1cos cos 3αβ=,则tan tan αβ=()A.2-B.2C.12-D.12【答案】C 【解析】【分析】根据给定条件,利用和角的余弦公式求出sin sin αβ即可得解.【详解】由()1cos 2αβ+=,得2si c n i 1o n s cos s αβαβ-=,而1cos cos 3αβ=,因此1sin sin 6αβ=-,所以2sin si 1tan tan cos cos n αααβββ==-.故选:C3.设,a b ∈R ,则“10b a>>”是“1a b <”的()A.充分不必要条件B.必要不充分条件C.充要条件D.既不充分也不必要条件【答案】A 【解析】【分析】利用不等式的性质化简,即可根据逻辑关系求解.【详解】由10b a>>可得0,0,1a b ab >><,由1a b <可得1100ab ab b b<⎧-<⇒⎨>⎩或10ab b >⎧⎨<⎩,故10b a >>能得到1a b <,同时1a b <也无法推出10b a >>,故“10b a>>”是“1a b <”的充分不必要条件,故选:A.4.已知函数()1514xf x x ⎛⎫=- ⎪⎝⎭,那么在下列区间中含有函数()f x 零点的是()A.10,5⎛⎫ ⎪⎝⎭B.11,54⎛⎫⎪⎝⎭C.1,14⎛⎫ ⎪⎝⎭D.()1,4【答案】B 【解析】【分析】我们将通过计算区间端点的函数值的正负来判断函数()f x 在哪个区间存在零点.【详解】因为151,4xy y x ⎛⎫==- ⎪⎝⎭在()0,∞+上均单调递减,则()1514xf x x ⎛⎫=- ⎪⎝⎭在()0,∞+上单调递减,对A ,可得()01510010104f ⎛⎫=-=-=> ⎪⎝⎭.因为幂函数15y x =在()0,∞+上单调递增,所以1155111(()()0545f =->,且函数()f x 在()0,∞+上连续不间断,则()f x 在10,5⎛⎫ ⎪⎝⎭上无零点,故A 错误;对B ,因为14xy ⎛⎫= ⎪⎝⎭在()0,∞+上单调递减,则1154111()(()0444f =-<,则11()()054f f <,且函数()f x 在()0,∞+上连续不间断,故()f x 在11,54⎛⎫⎪⎝⎭上存在零点,故B 正确;对C ,因为13(1)1044f =-=-<,且函数()f x 在()0,∞+上连续不间断,则()f x 在1,14⎛⎫ ⎪⎝⎭上无零点,故C 错误;对D ,计算114455111(4)(4(0)()444f --=-=<,且函数()f x 在()0,∞+上连续不间断,则()f x 在()1,4上无零点,故C 错误;故选:B.5.在ABC V 中,点D ,E 分别为AB ,AC 边上的中点,点F 满足2DF FE =,则BF =()A.1126BA BC +B.13BA BC+C.2133BA BC +D.1123BA BC +【答案】D 【解析】【分析】根据给定条件,利用向量加法及数乘向量运算求解即得.【详解】依题意,12DE BC = ,而2DF FE =,所以12112323BF BD DF BA DE BA BC =+=+=+故选:D6.古代数学家刘徽编撰的《重差》是中国最早的一部测量学著作,也为地图学提供了数学基础,根据刘徽的《重差》测量一个球体建筑的高度,已知点A 是球体建筑物与水平地面的接触点(切点),地面上,B C 两点与点A 在同一条直线上,且在点A 的同侧,若在,B C 处分别测量球体建筑物的最大仰角为60o 和20 ,且100m BC =,则该球体建筑物的高度约为()()cos100.985≈A.45.25mB.50.76mC.56.74mD.58.60m【答案】B 【解析】【分析】数形结合求得3,tan 30tan1033OA RAB R AC ====︒︒,进而根据3100tan10RBC R ==︒即可求解.【详解】如图,设球的半径为R,则3,tan 30tan1033OA RAB R AC ====︒︒,所以由题3100tan10RBC ==︒,又cos100.985︒≈,故1001001cos10cos103sin1013332cos10sin10tan10sin1022R ===︒⎛⎫︒-︒-︒-︒ ⎪︒︒⎝⎭()()100sin10100sin10100sin10100sin102cos60cos10sin 60sin102cos 60102cos702sin 20︒︒︒︒====︒︒-︒︒︒+︒︒︒100sin10252522sin10cos10cos100.985︒==≈⨯︒︒︒,所以50250.760.985R =≈,即该球体建筑物的高度约为50.76m .故选:B.【点睛】关键点点睛:解决本题的关键是依据已知条件数形结合得,tan 30tan1033OA RAB AC ====︒︒,进而由100tan10RBC ==︒求出球的半径R 得解.7.已知函数()πsin π6f x x ⎛⎫=-⎪⎝⎭,当[]0,20x ∈时,把()f x 的图象与直线12y =的所有交点的横坐标限依次记为123,,,,n a a a a ⋅⋅⋅,记它们的和为n S ,则n S =()A.11603B.5803C.5603D.2803【答案】B 【解析】【分析】求出函数与直线的交点,再结合数列求和计算即可.【详解】解:由π1sin π62x ⎛⎫-= ⎪⎝⎭,则πππ2π66x k -=+或52ππ6k +,k ∈Z 解得123x k =+或21k +,k ∈Z 所以113a =,21a =,373a =,43a =,…,19553a =,2019a =所以()()()201155101191017135528058021351910033333233S ⨯+⨯+⨯⎛⎫=+++⋅⋅⋅+++++⋅⋅⋅+=+=+= ⎪⎝⎭,故B 正确.故选:B8.已知定义在R 上的函数()f x 在区间[]0,2上单调递减,且满足()()()422f x f x f ++=-,函数()2y f x =-的对称中心为()4,0,则下述结论正确的是()(注:ln3 1.099≈)A.()20240f =B.()7102f f ⎛⎫+>⎪⎝⎭C.()()232log 48f f >D.()14sin1ln9f f ⎛⎫> ⎪⎝⎭【答案】C 【解析】【分析】由条件证明()()8f x f x =+,函数()y f x =的对称中心为()2,0,对于A ,结合单调性证明()()02f f >,再证明()()20240f f =,由此判断结论;对于B ,结合对称性可得()()130f f +=,结合单调性可得()732f f ⎛⎫>⎪⎝⎭,由此判断结论;对于C ,结合性质()()8f x f x =+,可得()()222log 48log 9f f =,再由单调性比较大小判断结论;对于D ,由条件可得1ln2.1989≈-,2.1984sin14<<,再结合单调性比较大小判断结论.【详解】解:()()()422f x f x f ++=-,故()()()8422f x f x f +++=-所以()()8f x f x =+,函数()2y f x =-的对称中心为()4,0,函数()2y f x =-往左平移2个单位得到函数()y f x =,故函数()y f x =的对称中心为()2,0,所以()()220f x f x ++-=,取0x =可得,()20f =,对于A ,()f x 在区间[]0,2上单调递减,故()()020f f >=,且()()8f x f x =+,所以()()202400f f =>,故A 错误:对于B ,()f x 在区间[]0,2上单调递减,对称中心为()2,0,故()()130f f +=,且()f x 在区间[]2,4上单调递减,则()732f f ⎛⎫>⎪⎝⎭,()7102f f ⎛⎫∴+< ⎪⎝⎭,故B 错误;对于C ,结合()f x 在区间[]2,4上单调递减,故()()()()2222log 482log 488log 93f f f f =-=<,故C 正确:对于D ,因为()()()422f x f x f ++=-,取2x =-可得()()()2222f f f +-=-,又()20f =,所以()()220f f -==,所以()()40f x f x ++=,因为函数()y f x =的对称中心为()2,0,故()()40f x f x ++-=,所以()()f x f x -=因为1ln2ln32 1.099 2.1989=-≈-⨯=-,故()()1ln 2.198 2.1989f f f ⎛⎫=-= ⎪⎝⎭,且ππ4sin4sin14sin 43<<,4sin1∴<< 2.1984sin14<<,结合()f x 在区间[]2,4上单调递减,故()14sin1ln 9f f ⎛⎫< ⎪⎝⎭,故D 错误.故选:C二、选择题:本题共3小题,每小题6分,共18分.在每小题给出的选项中,有多项符合题目要求.全部选对的得6分,部分选对得部分分,有选错的得0分.9.设四个复数13i z =+,()2i 13i z =+,32z =-+,()43i 0z a a =->在复平面xOy 内的对应点1Z 、2Z 、3Z 、4Z 在同一个圆上,则下述结论正确的是()A.1z 与2z 互为共轭复数B.点3Z 在第二象限C.复数12z z 的虚部是35- D.14OZ OZ ⊥【答案】BCD 【解析】【分析】首先需要求出这四个复数在复平面内的坐标,根据共轭复数概念,几何意义,除法,虚部概念来判断前面ABC 选项,再根据四个点在同一个圆上这一条件,可利用圆的方程相关知识来判断D 选项.【详解】对于13i z =+,其对应点1(3,1)Z .对于22i(13i)i 3i 3i z =+=+=-+,其对应点2(3,1)Z -.对于32z =-+,其对应点3(Z -.对于43i(0)z a a =->,其对应点4(,3)Z a -.对于选项A,13i z =+,23=-+z i ,它们实部不同,不是共轭复数,所以选项A 错误.对于选项B,对于3(Z -,所以点3Z 在第二象限,选项B 正确.对于选项C,13i z =+,23=-+z i ,21223i (3i)(3i)93i 3i i 86i 43i 3i (3i)(3i)9i 1055z z ++--------=====---+-+---.其虚部是35-,选项C 正确.对于选项D ,1(3,1)Z ,2(3,1)Z -,3(Z -,4(,3)Z a -在同一个圆上.设圆的方程为222()()x m y n r -+-=.将1(3,1)Z 代入方程得222(3)(1)m n r -+-=,即2226210m m n n r -+-+=①.将2(3,1)Z -代入方程得222(3)(1)m n r --+-=,即2226210m m n n r ++-+=②.将3(Z -代入方程得222(2))m n r --+=,即222410m m n r ++-+=③.用②-①可得:2222226210(6,210)m m n n m m n n r r ++-+--+-+=-即120,m =解得0m =.将0m =代入①和③,①变为22210n n r -+=,③变为2210n r -+=.用③-①可得:222210(210)n n n r r -+--+=-,解得0n =.将0,0m n ==代入222(3)(1)m n r -+-=,可得222319110r =+=+=.所以圆的方程为2210x y +=.将4(,3)Z a -代入2210x y +=,得到22(3)10a +-=,即2910a +=,21(0)a a =>,解得1a =.1(3,1)OZ = ,4(1,3)OZ =-.则140OZ OZ ⋅=,即14OZ OZ ⊥ ,所以选项D 正确.故选:BCD.10.已知两个正数a ,b 满足2a b +=,则下述结论正确的是()A.11a b -=-B.224a b +≥ C.1lg lga b≥ D.241b a-<-【答案】ABD 【解析】【分析】变形等式判断A ;利用基本不等式判断B ;举例说明判断C ;作差与0比较大小判断D.【详解】对于A ,由2a b +=,得11a b -=-,因此11a b -=-,A 正确;对于B ,由2a b +=,得224a b +≥==,当且仅当1a b ==时取等号,B 正确;对于C ,取31,22a b ==,满足2a b +=,而31lg lg lg 2lg 2a b =<=,C 错误;对于D ,由2a b +=,得2,02a b b =-<<,则224411(2)b b a b -+=-+-22222(44)(44)4(3)0(2)(2)b b b b b b b b b -++-+--==<--,D 正确.故选:ABD11.已知函数3,0(),0x x f x ax x x -≤⎧=⎨+>⎩,若不等式(1)()f x f x -≥对任意x ∈R 都成立,则实数a 的值可以为()A.3227-B.1627-C.2-D.1-【答案】AC 【解析】【分析】根据给定条件,按0,0a a ≥<分类作出函数()y f x =和(1)=-y f x 的图象,结合图象可得当0a <,01x <≤,31ax x x +≤-+成立时,(1)()f x f x -≥恒成立,再构造函数,利用导数求出最小值即可得解.【详解】依题意,函数(1)=-y f x 的图象恒在()y f x =的图象及上方,作函数()y f x =和(1)=-y f x 的图象,当0a ≥时,如上左图所示,观察图知(1)()f x f x -≥在 上不恒成立,不合题意;当0a <时,如上右图所示,观察图知,当且仅当01x <≤,31ax x x +≤-+成立时,(1)()f x f x -≥恒成立,即当01x <≤时,312x a x -≤,令312()x g x x -=,01x <≤,求导得443()x g x x -'=,当304x <<时,()0g x '<,当314x <≤时,()0g x '>,函数()g x 在3(0,)4上递减,在3(,1]4上递增,因此min 73()32()42g x g =-=,所以实数a 的取值范围是3227a ≤-,a 的值可以为AC.故选:AC【点睛】关键点睛:分类作出函数()y f x =和(1)=-y f x 的图象,结合图象确定求解条件是关键.三、填空题:本题共3小题,每小题5分,共15分.12.已知函数()()ππsin sin 063f x x x ωωω⎛⎫⎛⎫=-+> ⎪ ⎪⎝⎭⎝⎭的最小正周期是π2,则ω的值为______.【答案】2【解析】【分析】k 利诱导公式化简,结合二倍角正弦和周期公式计算即可.【详解】解:()πππsin sin 626f x x x ωω⎛⎫⎛⎫=-+- ⎪ ⎪⎝⎭⎝⎭ππ1πsin cos sin 26623x x x ωωω⎛⎫⎛⎫⎛⎫=--=- ⎪ ⎪ ⎪⎝⎭⎝⎭⎝⎭,所以2ππ22T ω==,2ω=.故答案为:2.13.已知两个单位向量a ,b 满足1a b -=r r ,则向量2a b - 和a 的夹角为______.【答案】π6【解析】【分析】由条件结合数量积运算律可求a b ⋅,再求()2a b a -⋅ ,2a b - ,根据向量夹角公式求结论.【详解】因为向量a ,b为单位向量,所以1a = ,1b = ,又1a b -=r r ,所以2221a b a b +-⋅=,所以12a b ⋅= ,所以()23222a b a a a b -⋅=-⋅= ,2a b -==所以()322cos 2,22a b a a b a a b a-⋅-==-⋅,又[]2,0,πa b a -∈ ,所以π2,6a b a -= .故答案为:π6.14.设数列{}n a 的前n 项和为n S ,若{}n a 是以a 为首项,公差为1的等差数列,并且存在实数t ,使得数列也成等差数列,则实数a 的取值范围是______.【答案】1[,)2-+∞【解析】【分析】根据给定条件,求出nS ,再利用等差数列通项的特征分析求解即得.【详解】依题意,(1)2n n n S an -=+=由数列为等差数列,得2212()2a t -=,21||22a n -=+是n的一次式而对任意正整数n ,2102a n -+≤不恒成立,因此2102a n -+≥对n *∈N 恒成立,即21102a -+≥,解得12a ≥-,所以实数a 的取值范围是1[,)2-+∞.故答案为:1[,)2-+∞【点睛】关键点点睛:由为等差数列,探求得2212()2a t -=是解决问题的关键.四、解答题:本题共5小题,共77分.请在答题卡指定区域内作答.解答时应写出文字说明、证明过程或演算步骤.15.记n S 是等差数列{}n a 的前n 项和,12a =,且22a -,34a -,46a -成等比数列.(1)求n a 和n S ;(2)若2n n b S =,求数列{}n b 的前20项和20T .【答案】(1)2n a n =;()1n S n n =+(2)204021T =【解析】【分析】(1)设出等差数列的公差d ,由给定条件列出方程求出d ,利用等差数列前n 项和公式求解即可.(2)由(1)的结论求出n b ,利用裂项相消法求和即得.【小问1详解】设等差数列{}n a 的公差为d ,则()21n a n d =+-,由2324(4)(2)(6)a a a -=--,得2(22)(34)d d d -=-,即2440d d -+=,解得2=d ,所以2n a n =,()()112n n n a a S n n +==+.【小问2详解】由(1)知,()1n S n n =+,又2n n b S =,则2112()(1)1n b n n n n ==-++因此1111111112[()()()(2(112233411n T n n n =-+-+-+⋅⋅⋅+-=-++,所以201402(12121T =-=.16.记ABC V 的内角A ,B ,C 的对边分别为a ,b ,c ,分别以a ,b ,c 为边长的三个正三角形的面积依次为1S ,2S ,3S ,已知123S S S -+=,1sin 3B =.(1)求ABC V 的面积;(2)若sin sin 3A C =,求b 【答案】(1)24;(2)22.【解析】【分析】(1)根据给定条件,结合正三角形面积可得2224a c b +-=,再利用余弦定理及三角形面积公式计算即得.(2)由(1)中信息,利用正弦定理求得sin b B =即可.【小问1详解】在ABC V 中,依题意,221133224S a a =⋅⋅=,2234S b =,2334S c =,则222123444S S S a b c -+=-+=,即2224a c b +-=,由余弦定理得222cos 2a c b B ac+-=,整理得cos 2ac B =,cos 0B >,由1sin 3B =,得22cos 3B ==,则132cos 2ac B ==,所以ABC V 的面积12sin 24ABC S ac B ==△.【小问2详解】由正弦定理sin sin sin b a c B A C ==,得223292sin sin sin sin sin 223b ac ac B A C A C =⋅===,则sin b B =,所以sin 22b B ==.17.已知角α的始边与x 轴的非负半轴重合,终边与单位圆O 交于点 ,将射线OA 按逆时针方向旋转π2后于单位圆O 交于点 ,()12f x x α=-,()12g xx α=⋅.(1)若π[0,]2α∈,求()fα的取值范围;(2)在(1)的条件下,当函数()()()22m F g mf ααα=+-的最大值是152-时,求m 的值.【答案】(1);(2)3m =-或4m =+.【解析】【分析】(1)利用三角函数的定义求出12,x x ,进而求出()f α,利用正弦函数的性质求出范围.(2)利用(1)的信息,求出()F α,利用换元法,结合闭区间上二次函数最值求解即得.【小问1详解】由三角函数定义,得1cos x α=,2πcos(2x α=+,12ππ()cos cos()cos sin )24f x x αααααα=-=-+=+=+,由π[0,2α∈,得ππ3π444α≤+≤,则2πsin(124α≤+≤,因此π1)4α≤+≤,()f α的取值范围是.【小问2详解】由(1)及已知,得2()sin cos (sin cos )2m F m ααααα=-⋅++-,π[0,2α∈,令πsin cos )[1,4t ααα+=+=∈222111()())2222t m F G t mt t m α-==-+-=--+,t ∈,①当1m ≤时,()G t 在上单调递减,2max 15()(1)22m G t G m ==-=-,则3m =-;②当1m <<时,()G t 在[1,]m 上单调递增,在[m 上单调递减,max 115()()22G t G m ==≠-,不符合题意;③当m ≥()G t 在单调递增,2max115()222m G t G ==-+-=-,则4m =+,所以3m =-或4m =+.18.已知2x =为函数21()()ef x x x c =--的极小值点.(1)求c 的值;(2)设函数()ex kxg x =,若对1(0,)x ∀∈+∞,2x ∃∈R ,使得12()()0f x g x -≥,求k 的取值范围.【答案】(1)2c =;(2)(,1](0,)-∞-⋃+∞.【解析】【分析】(1)求出函数()f x 的导数()f x ',由(2)0f '=求出c 并验证即可得解.(2)由(1)求出()f x 在(0,)+∞上的最小值,再按0,0,0k k k >=<分类,并借助导数讨论()g x 值即可求解.【小问1详解】函数21()()ef x x x c =--的定义域为R ,求导得()()(3)f x x c x c '=--,依题意,(2)(2)(6)0f c c '=--=,解得2c =或6c =,当2c =时,()(2)(32)f x x x '=--,当23x <或2x >时,()0f x '>,当223x <<时,()0f x '<,因此2x =为函数21()()ef x x x c =--的极小值点,符合题意,则2c =;当6c =时,()(6)(36)f x x x '=--,当2x <或6x >时,()0f x '>,当26x <<时,()0f x '<,因此2x =为函数21()()ef x x x c =--的极大值点,不符合题意,所以2c =.【小问2详解】由(1)知,函数()f x 在2(0,)3+∞上单调递增,在2(,2)3上单调递减,因此min 1()(2)ef x f ==-,①当0k >时,对1(0,)x ∀∈+∞,21x k ∃=-,使得121)11()(e 1(ek g x g f x k =-=-<-<-≤,因此12()()0f x g x -≥,符合题意,则0k >;②当0k =时,()0g x =,取12x =,对2x ∀∈R ,有12()()0f x g x -<,不符合题意;③当0k <时,函数()ex kxg x =,求导得()(1)e x g x k x -'=-,当1x <时,()0g x '<,()g x 在(,1)-∞上单调递减;当1x >时,()0g x '>,()g x 在(1,)+∞上单调递增,则()min ()1ek g x g ==,若对1(0,)x ∀∈+∞,2x ∃∈R ,使得12()()0f x g x -≥,只需min min ()()g x f x ≤,即1e ek ≤-,解得1k ≤-,所以k 的取值范围为(,1](0,)-∞-⋃+∞.19.已知正实数构成的集合{}()12,,,2,n A a a a n n *=⋅⋅⋅≥∈N(1)若定义{},i j i j A A a a a a A +=+∈,当集合A A +中的元素恰有()12n n +个数时,称集合A 具有性质P .①当{}1,2,3A =,{}1,2,4B =时,判断集合A ,B 是否具有性质P ,并说明理由;②设集合{}12,,,n A a a a =⋅⋅⋅,其中数列{}n a 为等比数列,10a >且公比为2,判断集合A 是否具有性质P 并说明理由.(2)若定义{},,i j i j A A a a a a A i j +=+∈≠且,当集合A A +中的元素恰有()12n n -个数时,称集合A具有性质Ω.设集合A 具有性质Ω且A A +中的所有元素能构成等差数列.问:集合A 中的元素个数是否存在最大值?若存在,求出该最大值;若不存在,请说明理由.【答案】(1)①集合A 不具有性质P ,集合B 具有性质P ,理由见解析;②集合A 具有性质P ,理由见解析;(2)存在,最大值为4.【解析】【分析】(1)①写出,A A B B ++中的所有元素,利用定义判断即可;②求出等比数列的通项,证明该数列任意两项的和不等,由此求出A A +中的元素个数即可判断.(2)根据新定义得在集合A A +中,121321n n n n a a a a a a a a --+<+<<+<+ ,得到3221n n a a a a --+=+,由此分类讨论,可确定n 的取值,可得答案.【小问1详解】①集合A 不具有性质P ,集合B 具有性质P :{}2,3,4,5,6A A +=,A A +中元素个数()33152+=≠不具有性质P ;{}2,3,4,5,6,8B B +=,B B +中元素个数()33162+==具有性质P .②若集合A 具有性质P ,设1112(0)n n a a a -=>,假设当i k l j <≤<时有i j l k a a a a +=+成立,则有2221j i k i l i ---=+-,等式左边为偶数,右边为奇数,显然不成立,则i j l k a a a a +=+不成立,因此A A +中元素个数()121C C 2n n n n +=+=,所以集合A 具有性质P .【小问2详解】不妨设1231n n a a a a a -<<<<< ,则在集合A A +中,121321n n n n a a a a a a a a --+<+<<+<+ ,又A A +中的所有元素能构成等差数列,设公差为d ,则()()()()131212n n n n d a a a a a a a a --=+-+=+-+,即3212n n d a a a a --=-=-,于是3221n n a a a a --+=+,当5n >时,2321,,,n n a a a a --是集合A 中互不相同的4项,从而A A +中元素个数小于(1)2n n -,与集合A 具有性质Ω矛盾,当5n =时,3242a a a =+,即234,,a a a 成等差数列,且公差也为d ,则A A +中的元素从小到大的前三项为121314,,a a a a a a +++,且第四项只能是15a a +或23a a +,(i )若第四项为15a a +,则1415a a d a a ++=+,从而5432a a d a a -==-,于是5234a a a a +=+,A A +中元素个数小于(1)2n n -,与集合A 具有性质Ω矛盾;(ii )若第四项为23a a +,则1423a a d a a ++=+,有122a d a +=,而()4512()9a a a a d +-+=,即517a a d =+,于是1512342723a a a d a d a a +=+=+=+,因此A A +中元素个数小于()12n n -,与集合A 具有性质Ω矛盾,则4n ≤,取{1,3,4,5}A =,{}4,5,6,7,8,9A A +=,则集合A 具有性质Ω,所以集合A 中的元素个数存在最大值,最大值为4.【点睛】关键点睛:本题是关于集合新定义类型题目,解答的关键是要理解新定义,并依据该定义去解决问题.。
2019-2020学年鄂东南省级示范高中教育教学改革联盟学校高一下学期期中数学试卷一、单选题(本大题共12小题,共60.0分)1.8.下列命题为真命题的是A. 已知,则“”是“”的充分不必要条件B. 已知数列为等比数列,则“”是“”的既不充分也不必要条件C. 已知两个平面,,若两条异面直线满足且//,//,则//D. ,使成立2.已知向量p⃗=(2,−3),q⃗=(x,6),且p⃗//q⃗,则|p⃗+q⃗|的值为()A. √5B. √13C. 5D. 133.已知集合A={x∈Z|x2+x−6≤0},B={x|x≥1},则A∩B=()A. {x|1≤x≤2}B. {x|1≤x≤3}C. {1,2}D. {1,2,3}4.锐角△ABC中,若tanC=2,则sinAsinB的取值范围是()A. (√22,√2) B. (√33,√3) C. (√55,√5) D. (12,2)5.知|a⃗|=1,|b⃗ |=2,a⃗与b⃗ 的夹角为60°,c⃗=3a⃗+b⃗ ,d⃗=λa⃗−b⃗ ,若c⃗⊥d⃗,则实数λ的值为()A. 72B. −72C. 74D. −746.在△ABC中,若(a+b+c)(c+b−a)=3bc,则角A=()A. 2π3B. 5π6C. π3D. π67.已知集合A={x|x2−5x+6≤0},B={x||2x−1|>3},则集合A∩B=()A. {x|2≤x≤3}B. {x|2≤x<3}C. {x|2<x≤3}D. {x|−1<x<3}8.在△ABC中,a=4,b=5,c=6,则sin2AsinC=()A. 1B. 2C. 3D. 49. 已知锐角△ABC 中,角A ,B ,C 的对边分别为a ,b ,c ,外接圆半径为1,D 为边BC 上一点,AD ⃗⃗⃗⃗⃗⃗ ⋅BC ⃗⃗⃗⃗⃗ =0,向量m⃗⃗⃗ =(sinA,a),n ⃗ =(sinB,c),且m ⃗⃗⃗ //n ⃗ ,则AD +BC 的取值范围为( ) A. (0,√5+1)B. (2,√5+1]C. (3,√5+1)D. (2,3)10. 将函数的图象向左个单位,再将图象上各点的横坐标变为原来的2倍,纵坐标不变,则所得图象对应的函数解析式是( )A.B. C.D.11. 下列能判定向量a ⃗ ,b ⃗ 垂直的是( )A. a ⃗ ⋅b ⃗ =0B. a ⃗ =(1,0,3),b ⃗ =(0,2,0)C. a ⃗ =λb ⃗D. (a ⃗ +b ⃗ )=(a ⃗ −b ⃗ )12. 若一直角三角形的三边长组成公差为 3 的等差数列,则此三边长分别为( )A. 5,8,11B. 9,12,15C. 10,13,16D. 15,18,21二、单空题(本大题共4小题,共12.0分)13. 在正三角形ABC 中,D 是BC 上的点,AB =4,BD =1,则AB ⃗⃗⃗⃗⃗ ⋅AD⃗⃗⃗⃗⃗⃗ = ______ .14. cos15°sin30°cos75°sin150°的值等于______. 15. 已知a ,b 均为正数,且a +b =1,a 2+12ab−1的最小值为______.16. 在△ABC 中,角A ,B ,C 的对边分别为a ,b ,c ,A =60°,b =4,a =2√3,则△ABC 的面积等于______.三、解答题(本大题共6小题,共72.0分)17. 已知cosα=1√10,α∈(0,π2),tanβ=2,β∈(0,π2),求:α+β18.(滚动单独考查)在△ABC中,角A,B,C所对的边分别为a,b,c,且满足ccosA=asinC.若4sinC=c2sinB,求△ABC的面积.若·=4,求a的最小值.19.若不等式的解集是,(1)求的值;(2)求不等式的解集.20.已知|a⃗|=√2,|b⃗ |=1,a⃗与b⃗ 的夹角为135°.(1)求(a⃗+b⃗ )⋅(2a⃗−b⃗ )的值;(2)若k为实数,求|a⃗+k b⃗ |的最小值.21. 已知某品牌手机公司生产某款手机的年固定成本为40万美元,每生产1万部还需另投入16万美元.设公司一年内共生产该款手机x 万部并全部销售完,每万部的销售收入为R(x)万美元,且R(x)={400−6x,0<x ≤408000x −57600x 2,x >40.(Ⅰ)写出年利润f(x)(万美元)关于年产量x(万部)的函数解析式;(Ⅱ)当年产量为多少万部时,公司在该款手机的生产中所获得的利润最大?并求出最大利润.22. (1)已知| |=3,||=4,且与不共线,当为何值时,向量 +与 −互相垂直⋅(2)已知,是两个非零向量,且| |=||=| + |,求向量与 −的夹角.【答案与解析】1.答案:C解析:故答案为C.2.答案:B解析:本题考查了两个平行向量的坐标表示,考查了平面向量的坐标运算,考查了向量模的求法,是基础题.根据两个向量平行的坐标表示求出x的值,然后运用向量的坐标加法运算求出两个和向量的坐标,最后利用求模公式求模.解:由向量p⃗=(2,−3),q⃗=(x,6),且p⃗//q⃗,则2×6−(−3)x=0,解得:x=−4.所以q⃗=(−4,6),则p⃗+q⃗=(2,−3)+(−4,6)=(−2,3).所以|p⃗+q⃗|=√(−2)2+32=√13.故选B.3.答案:C解析:本题考查一元二次不等式的解法,以及交集的运算,属于简单题.可求出集合A,然后进行交集的运算即可.解:A={x∈Z|−3≤x≤2}={−3,−2,−1,0,1,2};∴A∩B={1,2}.故选:C.4.答案:C解析:解:由锐角△ABC中,tanC=2.可得:cosC=√11+tan2C =√55,因为锐角△ABC中,0<A<π2,0<B<π2,所以当B=π2时,sinAsinB=sinA=cosC=√55,当A=π2时,sinAsinB=1sinB=1cosC=√5,所以sinAsinB 的取值范围是(√55,√5).故选:C.由已知利用同角三角函数基本关系式可求得cosC=√55,结合范围0<A<π2,0<B<π2,分类讨论当B=π2时,可得sinAsinB=sinA=cosC=√55,当A=π2时,sinAsinB=1sinB=1cosC=√5,即可求解sinAsinB的取值范围.本题考查了同角三角函数基本关系式,诱导公式在解三角形中的应用,考查了分类讨论思想,属于中档题.5.答案:C解析:解:由题意c⃗⊥d⃗可得c⃗⋅d⃗=0,又c⃗=3a⃗+b⃗ ,d⃗=λa⃗−b⃗∴3λa⃗2−b⃗ 2+(λ−3)a⃗⋅b⃗ =0又|a⃗|=1,|b⃗ |=2,a⃗与b⃗ 的夹角为60°∴3λ−4+λ−3=0∴λ=74故选C由题设条件c⃗⊥d⃗可得c⃗⋅d⃗=0,将c⃗=3a⃗+b⃗ ,d⃗=λa⃗−b⃗ 代入,展开,再将|a⃗|=1,|b⃗ |=2,a⃗与b⃗ 的夹角为60°代入,即可得到关于参数的方程,求出参数的值本题考查平面向量的综合题,解答本题关键是熟练掌握向量垂直的条件,数量积的运算性质,数量积公式,本题属于向量的基本运算题,难度中等.6.答案:C解析:解:已知等式整理得:(a+b+c)(c+b−a)=(b+c)2−a2=b2+c2−a2+2bc=3bc,即b2+c2−a2=bc,∴cosA=b2+c2−a22bc =bc2bc=12,∵A为三角形内角,∴A=π3.故选:C.已知等式左边利用平方差公式化简,再利用完全平方公式展开,整理得到关系式,利用余弦定理表示出cos A,将得出的关系式代入求出cos A的值,即可确定出A的度数.此题考查了余弦定理,平方差公式,以及特殊角的三角函数值,熟练掌握余弦定理是解本题的关键.7.答案:C解析:解:已知集合A={x|x2−5x+6≤0}={x|2≤x≤3},集合B={x||2x−1|>3}{x|x>2或x<−1},则集合A∩B={x|2<x≤3},故选:C.根据题意把集合A,B中的不等式分别解出来,然后求出集合A∩B.此题考查集合的定义及两集合的交集,另外还考查了一元不等式的解法,是一道比较基础的题.8.答案:A解析:解:∵△ABC 中,a =4,b =5,c =6, ∴cosC =16+25−362×4×5=18,cosA =25+36−162×5×6=34, ∴sinC =3√78,sinA =√74, ∴sin2A sinC=2sinAcosA sinC=2×√74×343√78=1.故选:A .利用余弦定理求出cos C ,cos A ,即可得出结论. 本题考查余弦定理,考查学生的计算能力,比较基础.9.答案:B解析:解:∵AD ⃗⃗⃗⃗⃗⃗ ⋅BC ⃗⃗⃗⃗⃗ =0,∴AD ⊥BD , ∵向量m ⃗⃗⃗ =(sinA,a),n ⃗ =(sinB,c),且m ⃗⃗⃗ //n ⃗ ,∴csinA =asinB ,ca =cb ,b =c ,锐角△ABC 为等腰三角形. 根据正弦定理得出BC =2RsinA =2sinA , 在RT △ABD 中,AD =tanB ×BD =cot A2×12BC =1+cosA sinA×2sinA =1+cosA ,所以AD +BC =2sinA +1+cosA =1+√5sin(A +θ), 其中tanθ=12,θ为锐角(即θ=arctan 12),A ∈(0,π2).当sin(A +θ)=1时,取得最大值√5+1,当A →0时,sin(A +θ)→sinθ=√55,此时AD +BC →2.综上所述AD +BC 的取值范围(2,√5+1] 故选:B .由已知,得出△ABC 为等腰三角形,AD ⊥BD ,利用正弦定理得出AD +BC =f(A)=2sinA +1+cosA =1+√5sin(A +θ),再利用三角函数性质求范围即可.本题考查三角知识的综合应用,建立AD +BC =f(A)=2sinA +1+cosA 是关键.10.答案:B解析:本题考查正弦函数的图象变换。
期中数学试卷题号一二三总分得分一、选择题(本大题共12小题,共60.0分) 1.下列不等式正确的是()A.若a>b,则a•c>b•cB.若a>b,则a•c2>b•c2C.若a>b,则<D.若a•c2>b•c2,则a>b2.若向量=(-2,0),=(2,1),=(x,1),满足条件3为()与共线,则x的值A.2B.-2C.4D.-43.已知关于x的不等式x2-ax-b<0的解集是(-2,3),则a+b的值是()A.-11B.11C.-7D.74.在△ABC中,已知B=45°,c=2,b=4,则角C=()A.60°B.30°C.30°或150°D.150°5.已知||=2,(2 -)⊥,则在方向上的投影为()A.-4B.-2C.2D.46.已△知ABC的三内角A、B、C所对的边分别为a、b、c,若c=b cos A,则此三角形必是()A.等边三角形B.等腰三角形C.直角三角形D.钝角三角形7.当x∈R时,不等式kx2-kx+1>0恒成立,则k的取值范围是()8.A. B. C. D.在△ABC中,角A,B,C所对的边分别为a,b,c,若a=7,b=5,c=8,△则ABC的面积S等于()A.10B.10C.20D.209.如图,△在ABC中,=3,=m,=n,m>0,n>0,则=()A.3B.4C.D.10. 若函数y=f(x)的图象上每一点的纵坐标不变,横坐标伸长为原来的2倍,再将整个函数图象向右平移个单位,沿y轴向下平移1个单位,得到函数y=sin x-cos x的图象,则y=f(x)的解析式为()A. C.y=sin(2x+)+1y=sin(2x+)+1B.D.y=sin(2x+)+1y=sin(2x+)+111. 在△ABC中,•=3,其面积s∈[],则与夹角的取值范围为()A.[,]B.[,]C.[,]D.[,]12. 如图,在某海岸A处,发现北偏东30°方向,距离A处1海里的B处有一艘走私船,在A处北偏西60°的方向,距离A处海里的C处的缉私船奉命以5海里/小时的速度追截走私船.此时,走私船正以5海里/小时的速度从B处按照北偏东30°方向逃窜,则缉私船沿()方向能最快追上走私船A.北偏东30°B.北偏东45°C.北偏东60°D.正东二、填空题(本大题共4小题,共12.0分)13. 已知与的夹角为120°,||=2,|+|=,则||=______.14.计算:tan70°•cos10°•(1-tan20°)=______.15.已知正数a,b满足2ab=2a+b,则a+8b的最小值是______.16.已知△在ABC中,角A,B,C的对边分别为a,b,c,则下列四个论断中正确的是______,(把你认为是正确论断的序号都写上)①若,则B=或;②若B=,b=2,满足条件的三角形恰有一个,则a的取值范围是(0,2]③在ABC中,若cos C=,b cos A+a cos B=2,△则ABC的外接圆面积为9π④若a=5,c=2△,ABC的面积S=4,则cos B=.△ABC三、解答题(本大题共6小题,共72.0分)17. 已知α∈(,π),且sinα=.(1)求sin2α的值(2)若sin(α+β)=-,β∈(0,),求sinβ的值.18. 已△知ABC是锐角三角形,角A,B,C所对的边分别为a,b,c,且b2+c2=bc+a2.(1)求A的大小;(2)若a=,求b+c的取值范围.19. 已知函数f(x)=(ax+a+1)(x-1)(x∈R)(1)若a=1解不等式f(x)>0;(2)若a<0,解关于x的不等式(ax+a+1)(x-1)>0.20. 如图,在矩形ABCD中,点E在边AB上,且=2,M是线段CE上一动点.(1)=m+n,求m+2n的值;(2)若AB=6,•=﹣17,求(+2)•的最小值.21.武汉地铁项目正在如火如茶的进行中,通车后将给市民出行带来便利,已知某条线路通车后,列车的发车时间间隔t(单位:分钟)满足10≤t≤30,经市场调研测算,列车载客量与发车时间间隔t相关,当20≤t≤30时列车为满载状态,载客量为500人,当10≤t<20时,载客量会从满载状态减少,减少的人数与(20-t)的平方成正比,且发车时间间隔为12分钟时的载客量为244人,记列车载客量为P(t).(1)求P(t)的表达式,并求当发车时间间隔为18分钟时,列车的载客量;(2)若该线路每分钟的净收益为Q(t)=(元),问当发车时间间隔为多少时,该线路每分钟的净收益最大,并求出最大值.22.已知=(sinωx,),=(cosωx,cos2ωx-),x∈R,ω>0且函数f(x)=,y=f(x)的图象的一个对称中心到它的对称轴的最近距离为.(1)求f(x)的单调递增区间和对称中心;,(1)△在ABC中,角A,B,C的对边分别为a,b,c,若f(A)=,sin B=,a=求△ABC的面积.答案和解析1.【答案】D【解析】解:A.c≤0不成立;B.c=0时不成立;C.取a=2,b=-1不成立;D.a•c2>b•c2,可得a>b.故选:D.利用不等式的基本性质即可得出.本题考查了不等式的基本性质,考查了推理能力与计算能力,属于基础题.2.【答案】D【解析】解:向量=(-2,0),=(2,1),=(x,1),满足条件3=(-4,1)与共线,即-4×1=1×x,可得x=-4,故选:D.由向量的加法运算和向量共线的坐标表示,即可得到所求值.本题考查向量的加法运算和向量共线定理的运用,考查运算能力,属于基础题.3.【答案】D【解析】解:关于x的不等式x2-ax-b<0的解集是(-2,3),所以方程x2-ax-b=0的解-2和3,由根与系数的关系知,a=-2+3=1,-b=-2×3,解得b=6,所以a+b=7.故选:D.利用不等式x2-ax-b<0与对应方程的关系,和根与系数的关系,求出a、b的值,再计算a+b.本题考查了一元二次不等式与对应方程的关系应用问题,也考查了根与系数的关系应用问题,是基础题.4.【答案】B【解析】【分析】本题主要考查了正弦定理,大边对大角,特殊角的三角函数值在解三角形中的综合应用,考查了转化思想,属于基础题.由已知利用正弦定理可求sin C的值,利用大边对大角,特殊角的三角函数值可求C的值.【解答】解:∵B=45°,c=2,b=4,∴由正弦定理,可得:sin C===,∵c<b,可得C<45°,∴C=30°.故选:B.5.【答案】D【解析】【分析】本题考查向量投影的定义,涉及数量积的运算,属基础题.根据向量的垂直的条件和向量的投影的定义即可求出.【解答】解:由则即,,,又∴,,∴在方向上的投影为.故选D.6.【答案】B【解析】【分析】利用正弦定理和三角形内角和定理化简即可判断.本题考查三角形形状的判断,考查正弦定理的运用,考查运算能力,属于基础题.【解答】解:∵c=2bcosA,由正弦定理,可得:sin C=2sin B c osA,即sin(A+B)=2sinB c osA,sinA c osB+cosA sin B=2sinB cosA,∴sinAcosB-sinB c osA=0即sin(A-B)=0,∵A、B△是ABC的三内角,∴A=B.△故ABC的是等腰三角形.故选:B.7.【答案】C【解析】【分析】本题主要考查了二次不等式的恒成立问题的求解,解题的关键是熟练应用二次函数的性质.当k=0时,不等式显然成立;当k≠0时,不等式kx2-kx+1>0恒成立,则,解不等式可求k的范围.【解答】解:当k=0时,不等式kx2-kx+1>0可化为1>0,显然恒成立;当k≠0时,若不等式kx2-kx+1>0恒成立,则对应函数的图象开口朝上且与x轴无交点,则解得:0<k<4综上,k的取值范围是[0,4),故选C.8.【答案】B【解析】【分析】本题考查余弦定理的应用,同角三角函数的基本关系,求出sin C是解题的关键,属于基础题.利用余弦定理求得cos C,再利用同角三角函数的基本关系求得sin C,代△入ABC的面积公式进行运算即可.【解答】解:△在ABC中,a=7,b=5,c=8,由余弦定理可得64=49+25-2×7×5cos C,∴cos C=,=∵0<C<π,∴sin C=∴S=,=10.故选B.9.【答案】B【解析】解:依题意,=+= = +=+又因为=m,=n,,所以所以=+ =+,=,=+.=+=+因为D,E,F三点共线,所以,即=4.故选:B.用向量,表示出向量,再根据=m,=n,将用向量和表示出来,因为D,E,F三点共线,所以和向量的系数和为1,即可得到的值.本题考查了向量的共线,以及共起点的向量的终点共线的性质,属于中档题.△ABC10.【答案】A【解析】【分析】本题主要考查两角差的正弦公式的应用,函数y=A sin(ωx+φ)的图象变换规律,属于基础题.由题意利用两角差的正弦公式,函数y=A sin(ωx+φ)的图象变换规律,得出结论.【解答】解:∵函数y=f(x)的图象上每一点的纵坐标不变,横坐标伸长为原来的2倍,再将整个函数图象向右平移个单位,沿y轴向下平移1个单位,得到函数y=sinx-cos x的图象;∴把函数y=sin x-cos x=sin(x- )的图象沿y轴向上平移1个单位,再将整个函数图象向左平移个单位,可得y=sin(x+ - )+1=sin(x+)+1的图象,再把横坐标变为原来的倍,纵坐标不变,可得函数y=f(x)=sin(2x+)+1的图象,故选:A.11.【答案】C【解析】解:∵;∴∴又∴∴∴∴的夹角为锐角,设;;;;;;的夹角为θ,则:cosθ=3;∴与夹角的取值范围为故选:C..可设与夹角为θ,则据题意得出θ为锐角,且可得出,这样根据正切函数在,从而根△据ABC的面积的单调性即可求出θ的范围.考查向量数量积的计算公式,三角形的面积公式,以及正切函数的单调性.12.【答案】C【解析】解:设缉私船在D处追上走私船,所用时间为t小时,则CD=5t,BD=5t,由题意可知∠CAD=90°,AC=,AB=1,∴AD=5t+1,由勾股定理可得(5t+1)2+3=75t2,解得t=或t=-(舍).,∴AD=3,故tan∠DCA==∴∠DCA=60°,又由题得,∴∠NCD=60°.故选:C.根据勾股定理计算追赶时间,从而可求出∠DCA,进而得出追赶方向.本题考查了解三角形的应用,属于基础题.13.【答案】3【解析】解:根据题意,设||=t>0,若|+ |=,则|+|2=2+2•+2=4-2t+t2=7,解可得:t=-1或3,又由t>0,则||=3,故答案为:3.根据题意,设||=t>0,由向量模的计算公式可得|+|2=2+2•+ 2=4-2t+t2=7,解可得t的值,即可得答案.本题考查平面向量数量积的计算,关键是掌握向量的模的计算公式,属于基础题.14.【答案】1【解析】解:tan70°•cos10°•(1-tan20°)====1.故答案为:1.首先,将题目中的正切化为正弦与余弦的比,然后,通分并结合辅助角公式进行化简即可.本题重点考查了三角恒等变换公式、三角公式、同角三角函数基本关系式等知识,属于中档题.15.【答案】【解析】【分析】本题主要考查了基本不等式在最值求解中的应用,解题的关键是进行1的代换.由已知可得,,从而a+8b=(a+8b)(),利用基本不等式即可求解.【解答】解:∵正数a,b满足2ab=2a+b,,∴则a+8b=(a+8b)()=,当且仅当即a=,b=时取得等号,故答案为:.16.【答案】③【解析】解:对于①:由正弦定理:,可得cos B sin A=sin B sin A,即cos B=sin B,0<B<π,可得B=.故①错误;对于②:由余弦定理可得:b2=a2+c2-2ac cosB,可得:c2-c+a2-4=0,∴△=0△或-4≤0,∴解得:a=2或0<a≤2,∴b的取值范围为(0,2]∪{2 },故②错误;a2对于③:∵b cos A+a cos B=2,∴由余弦定理可得:b×+a×=2,整理解得:c=2,又∵cos C=,可得:sin C==,∴设三角形的外接圆的半径为R,则2R===6,可得:R=3,∴△ABC的外接圆的面积S=πR2=9π.故③正确;△ABC对于④:a=5,c=2△,ABC的面积S=ac sin B=4,即sin B=,∵<<,∴<B<或<B<.∴cos B=±,故④错误.故答案为:③.根据正余弦定理和三角形内角和定理依次判断即可得答案.本题考查了正、余弦定理的灵活运用和计算能力,角的判断.考查了计算能力和转化思想,属于中档题.17.【答案】解:(1)已知α∈(,π),且sinα=.所以:cos.所以:sin2α=2sinαcosα=.(2)由于α∈(,π),β∈(0,),第10 页,共14 页则:,所以:,则:sinβ=sin[(α+β)-α]==.【解析】(1)直接利用同角三角函数的诱导公式的应用求出结果.(2)利用三角函数关系式的和角公式的应用求出结果.本题考查的知识要点:三角函数关系式的变换,同角三角函数关系式的应用,主要考察学生的运算能力和转换能力,属于基础题型.18.【答案】解:(1)△在ABC中,由b2+c2=bc+a2,可得:cos A=又0<A<π,故A=.(2)∵A=,a=又∵=,,=2,∴可得:b+c=2(sinB+sinC)=2[sin B+sin(-B)]=2sin(B+),∵在锐角三角形ABC中,<B<,∴<B+<,∴<sin(B+)≤1,∴b+c∈(3,2].【解析】(1)根据余弦定理即可求出可求cos A的值,结合A的范围可求A的值.(2)根据正弦定理,三角函数恒等变换的应用可求b+c=2sin(B+),根据范围<B <,可求<B+<,利用正弦函数的性质可求其取值范围.本题考查正弦定理,余弦定理,三角函数恒等变换的应用以及推理论证能力、运算求解能力,转化与化归思想,属于中档题.19.【答案】解:(1)a=1时,函数f(x)=(x+2)(x-1),不等式f(x)>0化为(x+2)(x-1)>0,解得x<-2或x>1,所以不等式的解集为{x|x<-2或x>1};(2)a<0时,不等式(ax+a+1)(x-1)>0化为(x+1+)(x-1)<0,若-<a<0,则-1->1,解不等式得1<x<-1-;若a=-,则-1-=1,不等式化为(x-1)2<0,无解;若a<-,则-1-<1,解不等式得-1-<x<1;综上所述,-<a<0时,不等式的解集为{x|1<x<-1- };a=-时,不等式的解集为∅;a<-时,不等式的解集为{x|-1-<x<1}.【解析】(1)a=1时不等式f(x)>0化为(x+2)(x-1)>0,求出解集即可;(2)a<0时原不等式化为(x+1+)(x-1)<0,讨论-<a<0,a=-和a<-,从而求出不等式的解集.本题考查了一元二次不等式的解法与应用问题,熟练掌握一元二次不等式的解法和分类讨论的思想方法是解题的关键.20.【答案】解:(1)根据题意,在矩形ABCD中,点E在边AB上,且=2,则=,=+=+(-)=+,又由=m+n,则m=,n=,则m+2n=;(2)根据题意,•=(+)•(+ )=-(+)(+)=-=-17,又由|AB|=6,则有|BC|=,又由|AB|=6,即|BE|=2,则|CE|==3,由(1)的结论,=+,则+2=3,则(+2)•=3•=-3|ME||MC|,=,又由|ME|+|MC|=3,则3|ME||MC|≤3×当且仅当|ME|=|MC|时取得等号,变形可得(+2)•=3•=-3|ME||MC|≥-,则(+2)•的最小值为-.【解析】本题考查向量数量积的计算,涉及向量的加法以及数乘运算,属于中档题.-)=+,又(1)根据题意,由向量加法的三角形法则可得=+=+(由,分析可得m、n的值,进而计算可得答案;=m+n(2)根据题意,由数量积的计算公式可得•=-=-17,变形可得|BC|=,进而计算可得|CE|的值,进而由向量数量积的计算公式可得(+2)•=3•=-3|ME||MC|,又由|ME|+|MC|=3,结合基本不等式的性质分析可得答案.21.【答案】解:(1)当10≤t<20时,设P(t)=500-k(20-t)2,由题意可知P(12)=244,故500-64k=244,解得k=4.∴P(t)=.当t=18时,P(18)=500-4×22=484.故当发车时间间隔为18分钟时,列车的载客量为484人.(2)Q(t)=当10≤t<20时,Q(t)=-8t-等号,,+320≤-2+320=80,当且仅当8t=即t=15时取当20≤t≤30时,Q(t)=为减函数,故当t=20时,Q(t)取得最大值70.∴发车时间间隔为15分钟时,该线路每分钟的净收益最大,最大值为80元.【解析】(1)利用待定系数法求出当10≤t<20时,P(t)的解析式,得出P(t)的分段解析式,再计算P(18)的值;(2)化简Q(t),分段求出Q(t)的最大值即可得出结论.本题考查了函数解析式的求解,分段函数的最值计算,属于中档题.22.【答案】解:(1)已知=(sinωx,),=(cosωx,cos2ωx-函数f(x)=),=sinωx cosωx+(=)=,由于y=f(x)的图象的一个对称中心到它的对称轴的最近距离为,故:函数的周期为2π,则:ω=,则:f(x)=.令:解得:所以函数的单调递增区间为[(k∈Z),(k∈Z),](k∈Z).令:解得:x=k ,(k∈Z),所以函数的对称中心为(k(2)由于f(x)=f (A)=,即,0)..,又,,故:,即,sin B=,a=,利用正弦定理得:,解得:b=,则cos B=±,sin C=sin(A+B)=sinA cos B+cos A sin B=所以,==.∴△ABC的面积为或.【解析】本题考查三角函数关系式的恒等变换,正弦型函数性质的应用,正弦定理余弦定理和三角形面积的应用,属于中档题.(1)首先利用平面向量的坐标运算和三角变换,把函数的关系式变形成正弦型函数,进一步求出函数的对称中心和单调区间;(2)利用(1)的结论,进一步利用解三角形知识求出结果.。
湖北省鄂东南省级示范高中教育教学改革联盟学校2024-2025学年高三上学期期中联考数学试题一、单选题1.已知集合{}0,1,2,3A =,{}2log 1B x x =≤,则A B = ()A .{}0,1,2B .{}1,2C .{}0,1D .{}12.已知()1cos 2αβ+=,1cos cos 3αβ=,则tan tan αβ=()A .2-B .2C .12-D .123.设,a b ∈R ,则“10b a>>”是“1a b <”的()A .充分不必要条件B .必要不充分条件C .充要条件D .既不充分也不必要条件4.已知函数()1514xf x x ⎛⎫=- ⎪⎝⎭,那么在下列区间中含有函数()f x 零点的是()A .10,5⎛⎫ ⎪⎝⎭B .11,54⎛⎫ ⎪⎝⎭C .1,14⎛⎫ ⎪⎝⎭D .()1,45.在ABC V 中,点D ,E 分别为AB ,AC 边上的中点,点F 满足2DF FE = ,则BF =()A .1126BA BC+B .13BA BC+C .2133BA BC+D .1123BA BC+6.古代数学家刘徽编撰的《重差》是中国最早的一部测量学著作,也为地图学提供了数学基础,根据刘徽的《重差》测量一个球体建筑的高度,已知点A 是球体建筑物与水平地面的接触点(切点),地面上,B C 两点与点A 在同一条直线上,且在点A 的同侧,若在,B C 处分别测量球体建筑物的最大仰角为60o 和20 ,且100m BC =,则该球体建筑物的高度约为()()cos100.985≈A .45.25mB .50.76mC .56.74mD .58.60m7.已知函数()πsin π6f x x ⎛⎫=- ⎪⎝⎭,当[]0,20x ∈时,把()f x 的图象与直线12y =的所有交点的横坐标限依次记为123,,,,n a a a a ⋅⋅⋅,记它们的和为n S ,则n S =()A .11603B .5803C .5603D .28038.已知定义在R 上的函数()f x 在区间[]0,2上单调递减,且满足()()()422f x f x f ++=-,函数()2y f x =-的对称中心为()4,0,则下述结论正确的是()(注:ln3 1.099≈)A .()20240f =B .()7102f f ⎛⎫+> ⎪⎝⎭C .()()232log 48f f >D .()14sin1ln 9f f ⎛⎫> ⎪⎝⎭二、多选题9.设四个复数13i z =+,()2i 13i z =+,32z =-,()43i 0z a a =->在复平面xOy 内的对应点1Z 、2Z 、3Z 、4Z 在同一个圆上,则下述结论正确的是()A .1z 与2z 互为共轭复数B .点3Z 在第二象限C .复数12z z 的虚部是35-D .14OZ OZ ⊥10.已知两个正数a ,b 满足2a b +=,则下述结论正确的是()A .11a b -=-B .224a b +≥C .1lg lga b≥D .241b a -<-11.已知函数3,0(),0x x f x ax x x -≤⎧=⎨+>⎩,若不等式(1)()f x f x -≥对任意x ∈R 都成立,则实数a的值可以为()A .3227-B .1627-C .2-D .1-三、填空题12.已知函数()()ππsin sin 063f x x x ωωω⎛⎫⎛⎫=-+> ⎪ ⎪⎝⎭⎝⎭的最小正周期是π2,则ω的值为.13.已知两个单位向量a ,b 满足1a b -=r r ,则向量2a b - 和a 的夹角为.14.设数列{}n a 的前n 项和为n S ,若{}n a 是以a 为首项,公差为1的等差数列,并且存在实数t ,使得数列也成等差数列,则实数a 的取值范围是.四、解答题15.记n S 是等差数列{}n a 的前n 项和,12a =,且22a -,34a -,46a -成等比数列.(1)求n a 和n S ;(2)若2n n b S =,求数列{}n b 的前20项和20T .16.记ABC V 的内角A ,B ,C 的对边分别为a ,b ,c ,分别以a ,b ,c 为边长的三个正三角形的面积依次为1S ,2S ,3S ,已知123S S S -+=,1sin 3B =.(1)求ABC V 的面积;(2)若2sin sin 3A C =,求b 17.已知角α的始边与x 轴的非负半轴重合,终边与单位圆O 交于点1,1,将射线OA 按逆时针方向旋转π2后于单位圆O 交于点2,2,()12f x x α=-,()12g x x α=⋅.(1)若π[0,]2α∈,求()f α的取值范围;(2)在(1)的条件下,当函数()()()22m F g mf ααα=+-的最大值是152-时,求m 的值.18.已知2x =为函数21()()ef x x x c =--的极小值点.(1)求c 的值;(2)设函数()e xkxg x =,若对1(0,)x ∀∈+∞,2x ∃∈R ,使得12()()0f x g x -≥,求k 的取值范围.19.已知正实数构成的集合{}()12,,,2,n A a a a n n *=⋅⋅⋅≥∈N (1)若定义{},i j i j A A a a a a A +=+∈,当集合A A +中的元素恰有()12n n +个数时,称集合A 具有性质P .①当{}1,2,3A =,{}1,2,4B =时,判断集合A ,B 是否具有性质P ,并说明理由;②设集合{}12,,,n A a a a =⋅⋅⋅,其中数列{}n a 为等比数列,10a >且公比为2,判断集合A 是否具有性质P 并说明理由.(2)若定义{},,i j i j A A a a a a A i j +=+∈≠且,当集合A A +中的元素恰有()12n n -个数时,称集合A 具有性质Ω.设集合A 具有性质Ω且A A +中的所有元素能构成等差数列.问:集合A 中的元素个数是否存在最大值?若存在,求出该最大值;若不存在,请说明理由.。
2023年秋季鄂东南省级示范高中教育教学改革联盟学校期中联考19.解:(1)设}{n a 的公差为d ,则:⎪⎩⎪⎨⎧=⨯+==+=6427881121813d a S d a a ⎩⎨⎧-==⇒2151d a ,n a n 217-=∴;(5分)(2)n n nn S n 162)21715(2+-=-+=,当80217≤⇒>-=n n a n ,当8≤n 时,0>n a ,nn n a a a a a a T ++=++=2121||||||n n S n 162+-==,(8分)当9≥n 时,0<n a ,)(||||||982121n n n a a a a a a a a T ++-+++=++= nn S S S S S -=--=8882)(12816)16()8168(2222+-=+--⨯+-=n n n n .(11分)综上所述:⎪⎩⎪⎨⎧≥+-≤+-=9,1281681622n n n n n n T n ,.(12分)20.解:(1)x a e x f xsin 1)(--=x a e x f xcos )(-='⇒,11)0(-=-='∴a f 2=⇒a 且此时切线方程为x y -=;(4分)(2)依题意:,min )1)((21+≤x f c ,当2=a 时,x e x f xsin 21)(--=,x e x f xcos 2)(-=',且)(x f '在],0[π上单调递增,01)0(<-='f ,024(4>-='ππe f ,)4,0(0π∈∃∴x ,使得0)(0='x f ,即0cos 20x e x =,)(x f 在),0(0x 上单调递减,)(0π,x 上单调递增,1sin 2)()(00min 0--==x e x f x f x 1sin 2cos 200--=x x 1)4cos(220-+=πx ,(8分)4,0(0π∈x ,2,4(40πππ∈+∴(x ,)22,0(4cos0∈+)(πx ,)1,1()()2,0(4cos 2200-∈⇒∈+∴x f x (π,)1,0()1)((210∈+x f ,0,≤∴∈c Z c ,c 的最大值为0.(12分)21.解:(1)⎩⎨⎧+=+=++)1(214342432a a a a a a ⎪⎩⎪⎨⎧==⎩⎨⎧==⇒2142433q a q a 或12-=∴n n a 或n n a -=52;(5分)(2))12)(12(223)1(1+++⋅-=+n n n nn b 121121(11+++-=+n n n)((7分)当n 为偶数时,)121121(121121(121121(1322++++++++++++-=+n n n T 121311++-=+n 在*∈N n 上单调递减,]92,31(--∈∴n T ,(9分);当n 为奇数时,121121(121121(121121(1322+++-++++++++-=+n n n T 121311+--=+n 在*∈N n 上单调递增,31,158[--∈∴n T ,(11分)158-≥∴m.(12分)()()()()()()()()()()()()()()()()()()()()[] ()()()()()()()()()()()()()()()exxexxemxmexexxge qxqexqxxqexxxqexexxgxqmxxxgxxgxxxpxxxgxpexyBxgxyOAeBAexxxxxxxxxgxgxgxgxgxgxgxghx hx hxlxgxgxhxxgxgx hexxmggxgxgxxgxgxxxmxgxgxxxgxxxxmxxxfeexxxexxxexxxxmxxxxxmxmxxf<+<<+∴+-<∴>+-∴+-<∴=<∴∴>-='--=<<+--=<>∴>∴>-=<<-=+-==<+>+∴->∴>->-<∴=-<-<∴=<∴∴>+---=-'+'='∴<<--=<<<<<<∴=>=<'+∞∈>'∈-='==-=-=∴<∴=≤∴<'>>'<<--='<-=∞+-<<+-<2121222211121211212122111221212121max2,0)()(,1)(.0ln1)(,)ln2()()1)(()()(,)(,0ln)()10()()()(,),0,(),1,1(22,12,122,2,011011n2121,1e,011,0,1)(,01,0lng,,ln1,)ln1(,)()2(e1m1)1()()(,0)(1)(,0)(1,ln1)()(,ln)(lnln1)(1.22综上递增,在则设即则设处的切线为在的方程直线设下证又即递增,,在令不妨设,又递减时递增,当时,当又则令有两个不同实根有两个不同零点递减时,当递增时,当只需令)有解,在(即得)由(ϕϕϕϕϕϕϕϕϕ。
湖北省鄂东南省级示范教学改革联盟学校2022-2023学年高一下学期期中联考数学试题学校:___________姓名:___________班级:___________考号:___________一、单选题二、多选题A .筒车转动的角速度πrad /s 30ω=B .当筒车旋转50秒时,盛水筒M 对应的点C .当筒车旋转50秒时,盛水筒M 和初始点D .盛水筒M 第一次到达最高点需要的时间是11.已知函数()()22log 22f x ax ax =-+,下列说法正确的是A .若()f x 定义域为R ,则()0,2a ∈C .若()f x 最小值为0,则1a =12.已知函数()f x ,()g x 的定义域均为R ,且()()25f x g x +-=,()()47g x f x --=.若()y g x =的图象关于直线2x =对称,()24g =,则下列结论正确的是()A .()36g =B .()11f -=-C .()11f =D .()202312025k f k ==-∑四、解答题(1)求两座高塔底部A ,(2)为庆祝2023年春节的到来,在两座高塔顶部各安装了一个大型彩色灯饰.政府部门为了方便市民观赏这两个彩色灯饰,决定在搭建一个水上观景台,为了达到最佳的观赏效果,要求∠多远处搭建,才能达到最佳的观赏效果?22.已知函数()ln f x =(1)求值:()122f f ⎛+ ⎝(2)判断函数()f x 的单调性,并证明你的结论:(3)求证()f x 有且仅有两个零点参考答案:故选:BCD.12.ABD【分析】根据抽象函数的奇偶性,对称性,结合条件,化简变形,再利用赋值法,判断ABC ;判断函数的周期性,结合条件,即可判断D.【详解】由题意知函数()f x ,()g x 的定义域均为R ,∵()y g x =的图象关于直线x =2对称,则()()22g x g x -=+,∵()()25f x g x +-=,∴()()25f x g x -++=,∴()()f x f x -=,故()f x 为偶函数,由()()47g x f x --=,得()()227g x f x -=--+,代入()()25f x g x +-=,得()()22f x f x +--=-,令=1x -,则()()112f f -+-=-,∴()11f -=-,则()11f =-,故B 正确,C 错误;因为()()25f x g x +-=,令=1x -,则()()135f g -+=,即()36g =,A 正确;由()()f x f x -=,故()()22f x f x --=+,故由()()22f x f x +--=-得()()22f x f x ++=-,∴()()242f x f x +++=-,故()()4f x f x +=.所以()f x 是以4为周期的周期函数,由()24g =,()()25f x g x +-=,令0x =,则()()025f g +=,得()01f =,则()()401f f ==,又()()22f x f x ++=-,令0x =得()()022f f +=-,得()23f =-,由A ,M ,D 三点共线,可得存在实数由B ,M ,C 三点共线,可得存在实数所以()()113112t m t m⎧=-⎪⎪⎨⎪-=⎪⎩,解得m t ⎧⎪⎪⎨⎪⎪⎩因为E ,M ,F 三点共线,所以存在实数所以()21515x x μλ⎧=-⎪⎪⎨⎪=⎪⎩,解得15λ则()0,0A ,()1,3B -,C 选①,显然条件PA PB ++ 则AC 的中点()2,0D ,BD ()1,2,1,3PD BD x y ⎛=--= ⎝ 31,3x y ∴==,则重心P 2cos 43PA PBAPB PA PB∠==选②,显然条件表示ABC 由PA PB = ,得222y +∴432,3P ⎛⎫ ⎪ ⎪⎝⎭,2,PA ⎛=-- ⎝ 所以cos PA PB APB PA PB∠=则()1,PA y =-,(5,BC = 由PA BC ⊥,得PA BC ⋅ ∴533y =-,∴1,P ⎛-- ⎝cos PA PBAPB PA PB∠==20.(1)π4(2)()1,0-【分析】(1)先利用三角恒等变换化简(2)先得出63ππ,B ⎛⎫∈ ⎪⎝⎭,再利用正弦定理将得出范围即可.【详解】(1)由题意得则四边形ABED 为矩形,所以设AB x =,CDE θ∠=tan tan 4BDC πθ⎡⎛∠=+ ⎢⎝⎣()()90150x x -+=,两座高塔底部A ,B 之间的距离为(2)设AP =t (0≤t ≤90当090t <<时,所以30tan DPA t ∠=,所以(tan tan DPC π∠=tan tan 1tan tan DPA BPC DPA BPC ∠+∠=--∠⋅∠当0=t 时,tan DPC ∠当90t =时,tan DPC ∠设60t m +=(60≤m ≤150所以(tan 45DPC m ∠=45112502102m m =+-≤当且仅当11250m m=即又因为在锐角范围内,。