北京林业大学数理统计64试卷A
- 格式:doc
- 大小:141.50 KB
- 文档页数:2
数理统计学考试题及答案一、单项选择题(每题3分,共30分)1. 下列哪个选项是描述数据集中趋势的统计量?A. 方差B. 标准差C. 平均数D. 极差答案:C2. 假设检验中,若原假设为H0:μ=μ0,备择假设为H1:μ≠μ0,则该检验属于:A. 单尾检验B. 双尾检验C. 左尾检验D. 右尾检验答案:B3. 以下哪个分布是描述二项分布的?A. 正态分布B. t分布C. F分布D. 泊松分布答案:A4. 以下哪个选项是描述数据离散程度的统计量?A. 众数B. 中位数C. 极差D. 均值答案:C5. 以下哪个选项是描述数据分布形态的统计量?A. 偏度B. 方差C. 标准差D. 均值答案:A6. 以下哪个选项是描述数据分布集中趋势的统计量?A. 偏度B. 峰度C. 众数D. 标准差答案:C7. 以下哪个选项是描述数据分布离散程度的统计量?A. 偏度B. 峰度C. 标准差D. 均值答案:C8. 以下哪个选项是描述数据分布形态的统计量?A. 均值B. 方差C. 偏度D. 众数答案:C9. 以下哪个选项是描述数据分布集中趋势的统计量?A. 极差B. 标准差C. 均值D. 偏度答案:C10. 以下哪个选项是描述数据分布离散程度的统计量?A. 均值B. 众数C. 方差D. 偏度答案:C二、多项选择题(每题4分,共20分)1. 以下哪些统计量可以用来描述数据的集中趋势?A. 均值B. 中位数C. 众数D. 方差答案:ABC2. 以下哪些统计量可以用来描述数据的离散程度?A. 极差B. 方差C. 标准差D. 均值答案:ABC3. 以下哪些统计量可以用来描述数据的分布形态?A. 偏度B. 峰度C. 均值D. 方差答案:AB4. 以下哪些分布是描述连续型随机变量的?A. 正态分布B. 泊松分布C. 二项分布D. t分布答案:AD5. 以下哪些检验是用于检验总体均值的?A. t检验B. 方差分析C. 卡方检验D. F检验答案:A三、计算题(每题10分,共50分)1. 给定一组数据:2, 4, 6, 8, 10,求其平均数和标准差。
北京林业大学2009--2010学年第 一 学期考试试卷A课程名称: 数理统计A 课程所在学院: 理学院考试班级 学号 姓名 成绩一、填空(每空2分,共10分)1. 设A 、B 、C 为三个事件,则至少有两个事件发生可以表示为 2.掷两颗均匀的骰子,则点数之和为7的概率为3. 设40.)(=A P ,30.)(=B P ,60.)(=B A P , 则=)(B A P 。
4. ~(2)X P ,则2EX =5. 已知2~(5,3)X N , 令32Y X =-,则~Y 。
二、(10分)某商场供应的电冰箱中,甲厂产品占70% ,乙厂产品占30%,甲厂产品合格率是95% ,乙厂产品合格率是80% 。
(1)求此商场电冰箱的合格率。
(2)每卖出一台合格品为商场盈利300元,而每卖出一台不合格品则亏损500元,求卖出一台所得的平均利润。
三、(10分)设随机变量X 的密度函数1,()20,a x a f x a⎧-≤≤⎪=⎨⎪⎩其它,其中0>a ,且311=>}{X P 。
求(1)a 。
(2) X Y 2=,求Y 的概率密度函数)(y f Y 。
四、(10分)~(2,0.2)X B ,定义1,11,1X Y X -≤⎧=⎨>⎩。
(1)写出Y 的分布列。
(2)求)(Y E 和)(Y D 。
五、(10分)设(X ,Y )在半径为1,圆心在坐标原点的圆内服从均匀分布。
(1) 写出联合密度函数(,)f x y .(2) 求()X f x ,()Y f y .(3) 求{}0p X Y <<和)(X E 。
六、(10分)设12,,, n x x x 是来自均匀总体(0,)U θ的一个样本。
给出θ的矩估计和极大似然估计。
七、(10分)今有刺槐种子若干,将其分成两部分,一部分用温水浸种,播下200粒,其中130粒发芽出土;另一部分不经温水浸种,播下400粒,其中200粒发芽出土。
0.05U =1.96。
北京林业大学2009--2010学年第 二 学期考试试卷课程名称: 数理统计B (A 卷) 课程所在学院: 理学院 考试班级 学号 姓名 成绩 试卷说明:1. 本次考试为闭卷考试。
本试卷共计 四页,共 十 大部分,请勿漏答;2. 考试时间为 120 分钟,请掌握好答题时间;3. 答题之前,请将试卷和答题纸上的考试班级、学号、姓名填写清楚;4.答案写在本试卷上;一、填空题(每小题3分,共15分)1.在10个药丸中有3丸已失效,从中任取4丸,其中有2丸失效的概率为___3/10__ 。
2.已知P(A)=0.4,P(B)=0.3,且A 、B 相互独立,则P(A ∪B)=__0.58____ 。
3.已知5%的男人和0.25%的女人是色盲,假设男人女人各占一半。
现随机地挑选一人,此人恰是色盲患者的概率为__2.625%____。
4.X 服从参数为λ(其中0)λ>的泊松(Poisson)分布,且[(1)(2)]1--=E X X ,则λ= 1 。
5.已知129,, X X X 是来自总体X 的简单随机样本,EX μ=。
令49151ˆ5===+∑∑ii i i XC X θ,则当C = 1/25 时,ˆθ为总体期望μ的无偏估计。
二、单项选择题(每小题3分,共15分)1.已知连续型随机变量X 的概率密度函数为||()x f x A e -=,则A = B 。
A. 1 ;B. 0.5;C. 2;D. 42.设2~(,)X N μσ, 那么当 σ 增大时, {}-<=P X μσ C 。
A .减少; B.增大; C. 不变; D. 增减不定。
3. 设随机事件A 、B 互不相容,且()0P B >,则下列选项必然正确的是 A 。
A. ()0P A B =; B. ()()1=-P A P B ; C. ()1P A B =; D.()0P A B = 4.设总体X 服从均匀分布[2,14]U ,从中随机选取容量为10的样本,则样本均值的方差为 A 。
数理统计自考试题及答案一、单项选择题(每题2分,共20分)1. 以下哪个选项是描述数据集中趋势的度量?A. 方差B. 标准差C. 平均数D. 极差答案:C2. 假设检验中,如果p值小于显著性水平α,我们通常会:A. 拒绝零假设B. 接受零假设C. 无法确定D. 需要更多数据答案:A3. 以下哪个选项是描述数据离散程度的度量?A. 均值B. 中位数C. 众数D. 标准差答案:D4. 在简单线性回归分析中,回归系数β1表示:A. 自变量每变化一个单位,因变量的变化量B. 自变量每变化一个单位,因变量的平均变化量C. 自变量每变化一个单位,因变量的最小变化量D. 自变量每变化一个单位,因变量的最大变化量答案:B5. 以下哪个选项是描述数据分布形态的度量?A. 均值B. 方差C. 偏度D. 峰度答案:C6. 在统计学中,置信区间的宽度与以下哪个因素无关?A. 样本大小B. 置信水平C. 标准差D. 总体均值答案:D7. 以下哪个选项是描述数据分布集中趋势的度量?A. 极差B. 标准差C. 均值D. 方差答案:C8. 在假设检验中,如果零假设是正确的,但被错误地拒绝,这种情况称为:A. 第一类错误B. 第二类错误C. 正确拒绝D. 正确接受答案:A9. 以下哪个选项是描述数据分布集中趋势的度量?A. 极差B. 标准差D. 方差答案:C10. 在统计学中,以下哪个选项不是数据的预处理步骤?A. 数据清洗B. 数据转换C. 数据标准化D. 数据解释答案:D二、多项选择题(每题3分,共15分)11. 以下哪些是描述数据分布的度量?A. 均值B. 方差D. 峰度E. 极差答案:ABCD12. 在统计学中,以下哪些是假设检验的类型?A. 单尾检验B. 双尾检验C. 配对检验D. 方差分析E. 回归分析答案:ABCD13. 以下哪些是描述数据离散程度的度量?A. 极差B. 标准差D. 均值E. 四分位数间距答案:ABCE14. 在统计学中,以下哪些是数据的预处理步骤?A. 数据清洗B. 数据转换C. 数据标准化D. 数据解释E. 数据可视化答案:ABCE15. 以下哪些是描述数据分布形态的度量?A. 均值B. 方差D. 峰度E. 极差答案:CD三、填空题(每题3分,共30分)16. 如果一组数据的平均数是50,中位数是45,众数是40,则这组数据的偏度是________。
中国农业大学2020 ~2021学年春季学期概率论与数理统计 课程考试试题(A )一、 填空题 (每空3分,满分15分)1.设A ,B 相互独立,A 与B 都不发生的概率为1/9,A 发生且B 不发生的概率和B 发生且A 不发生的概率相等,则()P A =__ 2/3____ 2.设一个昆虫产i 个卵的概率为,0,1,2,...!i e i i λλ-=,若设每个卵能孵化为虫的概率为p ,且虫卵的孵化是相互独立的,则这个昆虫下一代有k只的概率为()!kpp e k λλ-3.设总体X 的概率密度函数为1,0()0,0xe xf x x θθ-⎧>⎪=⎨⎪≤⎩,12,,...n X X X 为总体的一个样本,若12min(,,...,)n Z X X X =,则2()E Z =222nθ4.将长度为1米的一根木棍随机的锯成两段,若视这两段的长度分别为随机变量X 和Y ,则相关系数XY ρ=___-1____5. 设12,,...,n X X X 是来自总体(0,1)N 的样本,则2niX ⎛⎫ ⎪⎝⎭∑服从 ___2(1)χ____分布二、选择题 (每题3分,满分21分)1.下列说法一定正确的是( C ) (A )若()()P AB P AB =,则A B =(B )若A 与B 互不相容,则它们相互独立 (C )若()1P A B =,则()1P B A =(D )若A 与B 相互独立,则它们互不相容2. 设123,,X X X 是随机变量,且123~(0,1),~(0,4),~(5,9)X N XNX N ,记{}22,1,2,3i i p P X i=-≤≤=,则( A ) (A )123p p p >> (B )213p p p >> (C )312p p p >> (D )231p p p >> 3. 设随机变量X 和Y 的数学期望分别为-2和2,方差分别为1和4,相关系数为-0.5,则根据切比雪夫不等式,{}6P X Y +≥≤ ( D )(A )1/2 (B )1/4 (C )1/6 (D )1/124. 若221212(,)~(,,,,)X Y N μμσσρ,则下列说法错误的是( D )(A )若=0ρ,则X 与Y 相互独立 (B )X 和Y 均服从一维正态分布(C )若X 与Y 相互独立,则=0ρ (D )221212~(,)X Y N μμσσ--+5. 设12,,...,n X X X 是来自总体~(,)X b n p 的简单随机样本,X 和2S 分别为样本均值和样本方差,若2X kS +是2np 的无偏估计,则k 为( B ) (A )1 (B )-1 (C )0.5 (D )-0.56. 设总体2~(,)X N μσ,其中μ未知,2σ已知,若样本容量n 和置信度1-α均不变,则增大样本均值,总体均值μ的置信区间的长度 ( C )(A )变长 (B )变短 (C )不变 (D )无法确定 7. 设总体X 服从2(,)N μσ,其中2σ未知,μ已知,若在显著性水平α下对总体均值进行双边假设检验,得到的结论是拒绝00:H μμ=,则当α增大时,下列说法正确的是( A )(A )必然拒绝00:H μμ= (B )必然接受00:H μμ=(C )拒绝域会变小 (D )以上说法都不对 三.(10分)四名乒乓球选手的历史战绩如表格所示,若现在丙已经淘汰乙进入决赛,甲与丁将争夺另外一个决赛权,请问在当前情况下,丙最终夺冠的概率是多少?(保留两位小数)注:10:11表示甲与丁在历史上一共进行了21场比赛,其中甲赢10场,丁赢11解:设A 表示丙夺冠,B 1表示半决赛甲获胜,B 2表示半决赛丁获胜,则根据历史数据有:110()21P B =,211()21P B =,117()35P A B =,212()20P A B = 21101711122807()()()0.55213521205145i i i P A P B P A B ===⨯+⨯=≈∑ 四.(10分) 设随机变量X 的概率密度为231,18()30,x x f x -⎧≤≤⎪=⎨⎪⎩其他(1)求X 的分布函数F (x ).(2)若随机变量Y =F (X ),求Y 的分布函数()Y F y .解:(1)(){}()x F x P X x f t dt -∞=≤=⎰当1x <时,F (x )=0当8x ≥时,F (x )=1 当18x ≤<时,213311(){}=13x F x P X x t dt x -=≤=-⎰于是130,1(){}1,181,8x F x P X x x x x <⎧⎪⎪=≤=-≤<⎨⎪≥⎪⎩(2)由于Y =F (X ),Y 在[0,1]上取值 当0y <时,(){}0Y F y P Y y =≤=当1y ≥时,(){}1Y F y P Y y =≤=当01y ≤<时,{}133(){}1(1)Y F y P Y y P X y P X y ⎧⎫=≤=-≤=≤+⎨⎬⎩⎭1333((1))[(1)]1F y y y =+=+-=于是Y 的分布函数为0,0(){},011,1Y y F y P Y y y y y <⎧⎪=≤=≤<⎨⎪≥⎩五、(10分)设二维随机变量(,)X Y 的联合密度函数为1,01,02(,)0,x y x f x y ≤≤≤≤⎧=⎨⎩,其他,求2Z X Y =-的概率密度()z f z .解:当0z ≤时,()0Z F z =;当2z ≥时, ()1Z F z =;当02z <<时,22()(,)d d .4Z x y zz F z f x y x y z -≤==-⎰⎰于是1, 02,()()20,z Z z z f z F z ⎧-<<⎪'==⎨⎪⎩其他.六、(14分)设二维随机变量(,)X Y 的联合分布律为求:(1){}2P X Y =;(2)关于X 的边缘分布律和关于Y 的边缘分布律;(3)X 和Y 的协方差(,)Cov X Y ; (4)X 和Y 的相关系数XY ρ.解:(1){}{}{}1120,02,1044P X Y P X Y P X Y ====+===+= (2)关于X 的边缘分布律:关于Y 的边缘分布律:(3)关于XY 的边缘分布律:经过计算:2()3E X =,()1E Y =,2()3E XY =, 于是(,)()()()0Cov X Y E XY E X E Y =-=(4)0XY ρ==七、(10分)设总体X 在区间[,1]θ上服从均匀分布,其中0θ>为未知参数,n X X X 12,,...,是来自总体X 的一个简单随机样本,求: (1)求θ的矩估计量;(2)求θ的最大似然估计量.解:(1)1,1()10,x f x θθ⎧≤≤⎪=-⎨⎪⎩,其他,,1()2E X θ+= 由1()2X E X θ+==知,θ的矩估计量为ˆ21X θ=- (2)似然函数:1,01,1,2,,(1)()0,i nx i n L θθθ⎧<≤≤=⎪-=⎨⎪⎩,其他,由01,1,2,,i x i n θ<≤≤=,知120min{,,,}n x x x θ<≤因为()L θ是θ的单调递增函数,故θ的最大似然估计值为12ˆmin{,,,}n x x x θ=,则θ的最大似然估计值为12ˆmin{,,,}n X X X θ=八、(10分)(1)设从质量服从正态分布2(,)N μσ的总体X 中随机选取9个样品,称重测量后计算知:6x =,20.33s =.X 和2S 分别为样本均值和样本方差,(1.1)若由以往经验知220.6σ=,求μ的置信度为0.95的置信区间; (1.2)若2σ未知,求μ的置信度为0.95的置信区间.(2)假设某种水果罐头中的维生素C 含量服从正态分布2(,)N μσ,用传统工艺加工的水果罐头中,每瓶维生素C 的平均含量为19毫克,现在改进了加工工艺,随机抽查了16瓶罐头,测量后计算知:20.8x =,221.617s =,给定显著性水平=0.01α,问新工艺下维生素C 的含量是否比旧工艺下维生素C 的含量有显著提高.解:(1.1)若220.6σ=,则μ的置信度为0.95的置信区间为22,X z X z αα⎛⎫-+ ⎪⎝⎭, 所求置信区间为(5.608,6.392)(1.2)若2σ未知,则μ的置信度为0.95的置信区间为22(1),(1)X n X n αα⎛⎫-+- ⎪⎝⎭, 所求置信区间为(5.558,6.442) (2)建立假设01:19, :19H H μμ≤>,~(15)X t t=,拒绝域为(15) 2.6025t t α>=,经过计算 4.45(15)t t α≈>,故拒绝原假设,即新工艺下维生素C 的含量比旧工艺下维生素C 的含量有显著提高。
北京林业大学2022--2022学年第 二 学期考试试卷A课程名称: 数理统计 课程所在学院: 理学院考试班级 学号 姓名 成绩 试卷说明:说明:考试为闭卷;本试卷共计四页,共7大局部;考试时间为 120 分钟;请将试卷纸上的考试班级、学号、姓名填写清楚;答案写在本试卷上 一、填空〔20分〕〔1〕同时掷2枚均匀的骰子。
事件A :2枚骰子点数和是奇数;事件B :点数和是3的倍数。
()P A B = 、()P A B -= 、(|)P A B = 。
〔2〕2~(0,)X N σ,令21Y X =+,那么Y 的期望EY = ,方差DY = ,Y 的密度函数 。
〔3〕2~(,)X N μσ,~()Y P λ并且相互独立。
令1Z X Y =+,2Z X Y =-那么1Z 的方差1DZ = ,那么2Z 的方差2DZ = ,1Z 和2Z 的协方差12cov(,)Z Z = ,1Z 和2Z 的相关系数12(,)Z Z =ρ 。
二、〔15分〕 假设1100,,X X 是相互独立同分布的随机变量,服从[02]区间上的均匀分布,密度函数为0.5,02()0,02i i i i x f x x or x ≤≤⎧=⎨<>⎩〔1〕求i EX 、2i EX 、i DX 。
〔2〕根据中心极限定理,用标准正态的分布函数()x Φ表示1100(50)P X X ++≤三、〔15分〕设总体X 服从2(,)N μσ,1,,n X X 是简单随机样本。
〔1〕用矩估计法给出2,μσ的估计量2,μσ。
〔2〕用极大似然法给出2,μσ的估计量2,μσ。
四、〔15分〕以下两组数据是分别来自两个正态总体的简单随机样本。
31,24,30,26,28, 32, 36,30,36,29,32, 36, 35在0.05=α显著性水平下,进行如下检验。
〔1〕检验2222012112::H σσH σσ=↔≠。
(0.025(5,6) 5.99F =,0.975(5,6)0.14F =)〔2〕如果(1)的检验结果是接受原假设,那么继续检验012112::H μμH μμ=↔≠。
北京林业⼤学数理统计64试卷A北京林业⼤学2009--2010学年第⼀学期考试试卷A课程名称:数理统计A 课程所在学院:理学院考试班级学号姓名成绩⼀、填空(每空2分,共10分)1. 设A 、B 、C 为三个事件,则⾄少有两个事件发⽣可以表⽰为 2.掷两颗均匀的骰⼦,则点数之和为7的概率为3. 设40.)(=A P ,30.)(=B P ,60.)(=B A P , 则=)(B A P 。
4. ~(2)X P ,则2EX =5. 已知2~(5,3)X N ,令32Y X =-,则~Y 。
⼆、(10分)某商场供应的电冰箱中,甲⼚产品占70% ,⼄⼚产品占30%,甲⼚产品合格率是95% ,⼄⼚产品合格率是80%。
(1)求此商场电冰箱的合格率。
(2)每卖出⼀台合格品为商场盈利300元,⽽每卖出⼀台不合格品则亏损500元,求卖出⼀台所得的平均利润。
三、(10分)设随机变量X 的密度函数1,()20,a x af x a ?-≤≤?=其它,其中0>a ,且311=>}{X P 。
求(1)a 。
(2) X Y 2=,求Y 的概率密度函数)(y f Y 。
四、(10分)~(2,0.2)X B ,定义1,11,1X Y X -≤?=?>?。
(1)写出Y的分布列。
(2)求)(Y E 和)(Y D 。
五、(10分)设(X ,Y )在半径为1,圆⼼在坐标原点的圆内服从均匀分布。
(1) 写出联合密度函数(,)f x y .(2) 求()X f x ,()Y f y . (3) 求{}0p X Y <<和)(X E 。
六、(10分)设12,,,n x x x 是来⾃均匀总体(0,)U θ的⼀个样本。
给出θ的矩估计和极⼤似然估计。
七、(10分)今有刺槐种⼦若⼲,将其分成两部分,⼀部分⽤温⽔浸种,播下200粒,其中130粒发芽出⼟;另⼀部分不经温⽔浸种,播下400粒,其中200粒发芽出⼟。
0.05U =1.96。
北京林业大学2012--2013学年第一学期考试试卷A课程名称: 数值计算 课程所在学院: 理学院考试班级 学号 姓名 成绩一、填空题(每题3分,共30分)1. 设*500.123x =是准确值500x =的近似值,则*x 的相对误差为2. 设* 2.40332x =是准确值 2.40154x =的近似值,则*x 有 位有效数字3. *x 是准确值x 的近似值,若*x 具有8位有效数字,则*x 的相对误差*r E ≤ 4.求积公式中Simpson 公式具有 阶代数精度,Cotes 公式具有 阶代数精度5. ()f x 有(1)2,(2)3;(1)0,(2)1f f f f ''====-,则其Hermite 插值多项式为6.设3()1f x x x =+-,则插商[0,1,2,3,4]f =7.写出复合Simpson 公式的余项表达式8.已知n =1,n =2时复合梯形公式分别为 122,5T T ==,则n =1时复合Simpson 公式1S =9.利用复合梯形公式计算积分1()f x dx ⎰的近似值,假定()f x 的二阶导数在[0, 1]内绝对值最大不超过3,为了保证误差不超过410-,积分区间至少分成 等分10.已知A=12040001a ⎛⎫ ⎪⎪ ⎪⎝⎭,为使A 的LU 分解式存在且唯一,则a 的取值范围为二、计算题(每题10分,共70分) 1、用x c o s 在22410,,0ππ===x x x 三个节点处的值写出二次Lagrange 插值多项式函数, 并近似计算6cos π及其绝对误差2、给定函数()ln f x x =的数据表 1)构造差商表(4分)2)写出三次Newton 差商插值多项式3()N x (4分)3)不用计算,简要说明满足数据表的三次Lagrange 插值多项式3()L x 是否与3()N x 相等?(2分)3试用函数 ax b y e +=(a 和b 为待定参数)进行最小二乘拟合(计算过程以及结果保留四位有效数字)4、试确定待定参数,使得数值积分公式20()[(0)()]/2[(0)()]hf x dx h f f h ah f f h ''≈++-⎰有尽可能高的代数精度,并指明所构造求积公式的代数精度5、用直接三角分解法求解方程组: 210033412131234414913-⎛⎫ ⎪--- ⎪ ⎪- ⎪-⎝⎭1234x x x x ⎛⎫ ⎪⎪ ⎪ ⎪⎝⎭10527⎛⎫ ⎪ ⎪= ⎪- ⎪⎝⎭6、建立收敛的迭代格式,求方程3200.80 1.5x x x --==在 附近的一个根(求解过程保留4位有效数字)7.(1)用改进Euler 公式求解初值问题'2,(0)(0)1y y x y =-≥⎧⎨=⎩,步长取h =0.1,计算两步。
(完整版)数理统计考试题及答案1、离散型随机变量X 的分布律为P (X=x i )=p i ,i=1.2…..,则11=∑=ni ip2、设两个随机变量X ,Y 的联合分布函数F (x ,y ),边际分布Fx (x ),Fy (y ),则X 、Y 相互独⽴的条件是)()(),(y F x F y x F Y X ?=3、 X 1,X 2,….X 10是总体X~N (0,1)的样本,若2102221X X X +++=ξ,则ξ的上侧分位数025.0ξ=解:因为X~N (0,1),所以2102221X X X +++=ξ~)10(2χ,查表得025.0ξ=20.54、设X~N (0,1),若Φ(x )=0.576,则Φ(-x )= 解:Φ(-x )=1-Φ(x )=1-0.576=0.4245、设X 1,X 2,….X n 是总体),(~2σµN X 的样本,∑=-=ni iXY 122)(1µσ,则EY=n解:∑=-=ni iXY 122)(1µσ~)(2n χ,E 2χ=n ,D 2χ=2n⼆、设设X 1,X 2,….X n 是总体),(~2σµN X 的样本,∑=-=612)(51i i X X s ,试求)5665.2(22σ≤s P 。
解:因为),(~2σµN X ,所以有)5(~)(126122χσ∑=-i i X X ,则≤-= ≤-=≤=≤∑∑==8325.12)(5665.25)()5665.2()5665.2(261226122222σσσσi ii i X X P X X P s P s P 查2χ分布表得=≤)5665.2(22σs P≤-∑=8325.12)(2612σi i X X P =1-α=1-0.0248=0.9752 三.设总体X 的概率密度为f(x)= (1),(01) 0a x x α?+<,其他,其中α>0,求参数α的矩估计和极⼤似然估计量。
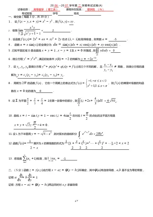
20 06 --20 07 学年第 二 学期考试试卷(A)试卷名称: 高等数学 (理工类) 课程所在院系: 理学院 (N )考试班级 学号 姓名一、填空题(每题 3 分,共 39 分) 1. 设 f (x − y , x + y ) = x2− y 2 ,则 f (x , y ) = xy .x 2 y4. 函数 u = x sin(yz ) 的全微分为du = sin(yz )dx + xz cos(yz )dy + xy cos(yz )dz .5. 已知平面区域 D 是由直线 x + y = 1, x − y = 1及 x = 0 所围成,则 ydxdy = 0D6.微分方程 y ′ = y2 e 2x, 满足初始条件 y (0) = − 2 的特解为 y = −2e −2x .7. 设 y 1 , y 2 , y 3 是微分方程 y ′′+ p (x )y ′+ q (x )y = f (x ) 的三个不同的解, 且 ≠ 常数, 则微分方程的通解为 y = c 1 (y 1 − y 2 ) + c 2 (y 2 − y 3 ) + y 1 .8. 周期为 2π 的函数 f (x ), 它在一个周期上的表达式为 f (x ) = , 则 f (x ) 的傅里叶级数的和函数在 x = 0 处的值为 0 . 9. 设 Σ 为平面 ++ = 1在第一卦限中的部分,则(z +2x + y )dS = 4 .Σ11. 设 L 为下半圆周 y = − ,则对弧长的曲线积分 ∫ ex 2 +y2ds = 2πe 4 .L12.函数 f (x ) =1展开为 x 的幂级数的形式为1 [1 + x + (x ) +2 + (x )n + ], −2 < x < 22 − x 2 2 2 213.若级数(u n +1)收敛,则 l nu n = -1二、(5 分) 函数 z = z (x , y ) 由方程 x − az = φ(y − bz ) 所确定, 其中φ(u ) 有连续导数, a , b 是不全为零的常数,证明: a∂x + b ∂y = 1 证明:方程 x − az = φ(y − bz ) 两边同时对 x , y 求偏导得2. 极限 lim = 2 .3. 设函数 f (x , y ) = 2x2+ ax + xy 2 + 2y 在点 (1, − 1) 处取得极值,则常数 a = -5 .10. 曲线 x = t − sin t , y = 1 − cos t , z = 4sin 在对应 t = 的点处的法平面方程是2 2 π 2x + y + z − −4 = 0 .y x 00− 1 t π∂z ∂z∂x ∂x ∂x a − b φ′ ∂z ∂z ∂z −φ′ ∂y ∂y ∂y a − b φ′ ∂z ∂z ∂x ∂y 三、(5 分)设 z = e ,求1 xy xy1 − a∂z = φ′ ⋅ ( −b ∂z ) ⇒ ∂z =1− a = φ′ ⋅ (1 − b ) ⇒ =故 a + b = 1x 2 y 3 ∂2z∂x ∂y= 2xy 3ex 2 y 3,= (6xy 2+ 6x 3y 5)ex 2 y 3四、(6 分)求微分方程 y ′′ − 3y ′+ 2y = 2e x 满足条件 y (0) = 0, y ′(0) = 1 的特解. 解:特征方程为: r2− 3r + 2 = 0 特征根为: r 1 = 2, r 2 = 1 对应齐次方程的通解是: y = c 1e 2x + c 2 e x设原方程的特解为: y *= axe x ,将其代入原方程待定系数得 a = −2 .所以 y * = −2xe x故原方程的通解为 y = c 1e 2x+ c 2 e x − 2xe x 由 y (0) = 0, y ′(0) = 1 解得c 1 = 3, c 2 = −3因此所求的特解是 y = 3e 2x − 3e x − 2xe x五、(6 分)计算二重积分 (x2+ y )dxdy ,其中 D = {(x , y ) 4 ≤ x 2 + y 2 ≤ 9 } .D解:(x2+ y )dxdy = x 2dxdy =πd θ∫23(r cos θ)2 rdr =πD D六、(5 分) 利用格林公式, 计算(2x 2 y − 2y )dx + (x 3 − 2x )dy , 其中 L 为以 y = x , y = x 2 围成区域的正向L边界. 解:(2x 2y − 2y )dx + (x 3− 2x )dy = − x 2dxdy = − ∫01dx ∫ x 2 dy = −L D七、(6 分) 设 Σ 是由曲线 z = y 2 ,(0 ≤ z ≤ 2) 绕 z 轴旋转而成的曲面.x = 0,(1) 写出 Σ 的方程.(2)计算 4(1 − y2)dzdx + z (8y +1)dxdy ,其中 Σ 取下侧.Σ解: (1) Σ 的方程是 z = x2+ y 2 (0 ≤ z ≤ 2) .(2) 设 Σ 1 为 z = 2, (x2+ y 2 ≤ 2) 的上侧,则4(1 − y 2)dzdx + z (8y +1)dxdy =∫ dv =πd θ 2d ρ∫ρ22 ρdz = 2πΣ+Σ Ω 4(1 − y 2 )dzdx + z (8y +1)dxdy = 2(8y +1)dxdy = 2dxdy =4πΣ D D 4(1 − y 2 )dzdx + z (8y +1)dxdy = 2π− 4π = −2πΣ八、(6 分)求幂级数 的收敛半径与收敛区间,并求出它在收敛区间内的和函数.解: 收敛半径 R = 2 ,收敛区间为[− 1,3)1解:s(x) = s′(x) = ⋅ = ()n−1 =s(1) =0,s′(x)dx== dx,s(x) =ln 2 −ln(3 −x) (−1 ≤ x< 3)九、(5 分)设b n是收敛的正项级数,(a n−a n+1 ) 收敛. 试讨论a n b n的敛散性,并说明理由.解: a n b n是绝对收敛的.因为(a n−a n+1 ) 收敛,所以部分和s m= (a n−a n+1 ) = a1 −a m+1 有界,从而数列{a n}有界即存在常数M> 0 ,使| a n|< M (n= 1, 2, 3, ) ,故| a n b n|< Mb n(n= 1, 2, 3, )由于b n是收敛的正项级数,由比较审敛法知,a n b n绝对收敛.十、(6 分)设可导函数f (x) 满足f (x) cos x+ 2f (t) sin tdt= x+1,求f (x) .解:方程f (x) cos x+ 2f (t) sin tdt= x+1两边对x求导得f′(x) c os x+ f (x) s in x= 1即f′(x) +tan x⋅f (x) =求解上面的一阶线性微分方程得f (x) = e−∫ tan xdx[ ∫ e∫ tan xdx dx+ C] = sin x+ C cos x由于f (0) =1,所以C= 1,故f (x) =sin x+ cos x十一、(5 分)证明: (sin y−y sin x)dx+ (x cos y+cos x)dy为某二元函数f(x, y)的全微分,并求f(x, y),计算(sin y−y sin x)dx+ (x cos y+ cos x)dy.解因为P= sin y−y sin x, Q= x cos y+ cos x∂P= cos y−sin x= ∂Q∂y∂x所以(sin y−y sin x)dx+ (x cos y+cos x)dy为某二元函数f(x, y)的全微分(sin y−y sin x)dx+ (x cos y+ cos x)dy= (sin ydx+ x cos ydy) +(cos xdy−y sin xdx)= d(x sin y+ y cos x)故f (x, y) = x sin y+y cos x+ c(sin y−y sin x)dx+ (x cos y+ cos x)dy= [x sin y+ y cos x]= −1十二、(6 分)求抛物面z= 1+ x2 +y2 的一个切平面,使它与抛物面及圆柱面(x−1)2 + y2 = 1所围成的立体的体积最小,并求出最小的体积,写出所求切平面方程.解:设 F (x , y , z ) = 1 + x2+ y 2 − z ,得F x = 2x , F y = 2y , z F = − 1抛物线在 (x 0 , y 0 , z 0 ) 处的切平面方程为2x 0 (x − x 0 ) + 2y 0 (y − y 0 ) − (z − z 0 ) = 0即 z = 2x 0 x + 2y 0 y + 1 − x 02− y 02该平面与抛物面及圆柱面所围成的立体的体积为2解一、填空题(每小题 3 分,共 30 分) 1、已知两点 M 12(,2,2) 和 M 21(,3,0) ,则模 M 1M 2 = ____ 2 _____。
北京林业大学2006--2007学年第二学期考试试卷(A 卷)试卷名称:数理统计I 课程所在院系:理学院考试班级 学号 姓名 成绩试卷说明:1. 本次考试为闭卷考试。
本试卷共4页,请勿漏答;2. 考试时间为 120分钟,请掌握好答题时间; 一、单项选择(共10小题,每题2分,共20分)1.设A B ,为随机事件,且A B ⊂,则A B _______等于( )A .AB .BC .AB _____D .__A B ___2.同时掷3枚硬币,则至多有1枚硬币正面朝上的概率为( ) A .18B .16C .14D .123.设随机变量的概率密度为f x (),则f x ()一定满足( ) A .0f(x)1≤≤ B .{}X >x x -P =f(t)dt ∞⎰C .+-f(x)dx=1∞∞⎰D . (+)=f 1∞4.已知随机变量X 的分布率为X P1250.20.350.45-,则{}{}()-2<X 4-X >2P=≤( ) A .0 B .0.2 C . 0.35 D . 0.55 5.已知41)(=A P ,31)/(=A B P ,1(/)2P A B =,则P A B ()+=( )A.13B. 12C. 14D.1126.设随机变量X 、Y 相互独立,且()X B ~16,0.5,Y P ~(9),则D X Y (21)()-+=A .-14B .22C .40D .417.设随机变量X 、Y 为二维随机变量,则它们不相关的充分必要条件是( )A .X 、Y 相互独立B .E X Y EX EY ()+=+C .E XY EXEY ()=D . X Y N 221212(,)~(,,,,0)μμσσ8.()i X U i ~0,1,1,2,= ,且1,, n X X 相互独立,则1=∑ni i X 近似服从( )A . ()n n N212, B . ()N 0,1 C .()N11212, D . ()U n 0,9. .设总体X , 12X X ,X ,3为其样本,则E X ()的最有效的无偏估计量是( ) A .X X X 111123333++ B .X X X 111123444++C .X X X 111123555++D .X X X 111123222++10.设总体X N 2~(,)μσ,2σ未知,12X X X , n 为其样本,X 为样本均值,S 2为样本方差,对假设检验问题H H 0010::μμμμ=↔≠,应该选用的统计量是( )A二.填空题(每空2分,共 10分)1.从1,2,3,4,5中任取3个数,则这三个数字中不含有1的概率为____. 2 设随机变量X N ~(0,1),x ()Φ为分布函数,则x x ()()Φ+Φ-=____.3.X B n p ~(,),数学期望EX 4,= 方差D X ()3,=则n =___ 4.X P ~(2),则E X 2()=___ 5. ),(ηξ有联合分布列:则{}P ξη<=___. 三、计算题1、(5分)一批产品由甲(1A )、乙(2A )两厂生产,分别占60%,40%,其次品率分别为1%,2%。
北京林业大学考试试卷4课程名称: 数理统计A (A 卷) 课程所在学院: 理学院考试班级 学号 姓名 成绩 试卷说明:1.本次考试为闭卷考试。
本试卷共计 四 页,请勿漏答;2.考试时间为 120 分钟,请掌握好答题时间;3.本试卷所有答案写在试卷上.一.填空题(共12分)()0.3P A =,()0.4P B =,当它们相互独立时()P AB = ,(|)P A B = ,()P A B -= ,互不相容时()P A B = ,(|)P A B = ,()P A B -= 。
二.(10分)一批产品共有10件, 其中一等品6件, 二等品3件, 三等品1件。
有放回地任取3件, 以X 和Y 分别表示3件中的一等品数和二等品数, (1)求(),X Y 的联合分布列和边缘分布列。
(2)判断(),X Y 是否独立。
三.(10分)X 是连续型随机变量,密度函数为1()0,X x f x <<=⎩其它,求X 的分布函数()X F x 、数学期望()E X 和方差()D X 。
(2)令21Y X =+,求Y 的密度函数()Y f y 和X 与Y 的相关系数。
四.(10分)设X 服从区间()0, 10里的均匀分布,(1)对X 作4次独立观测, 试求至少有3次观测值大于6的概率?(2)对X 作400次独立观测, 用中心极限定理近似计算至少有300次观测值大于6的概率?(用标准正态分布的分布函数)(x Φ表示结果)。
五.(8分)分别从两个总体211~(,)X N μσ和222~(,)X N μσ中抽取相互独立的两组样本,计算结果如下:118, 2.5n x ==, 22227, 2.7,0.24,n x s ===。
(05.0=α,0.05(6) 2.45t = )(1)用第二个总体的样本数据,给出μ的区间估计。
(2)要使1122a x a x +为μ的无偏估计,系数12,a a 应满足什么条件。
六. (10分)分别从两个总体211~(,)X N μσ和222~(,)X N μσ中抽取相互独立的两组样本,计算结果如下:21118, 2.50.22,n x s ===,22227, 2.7,0.24,n x s === (05.0=α,220.0250.9750.05(6)14.45,(6) 1.24,(13) 2.160t χχ=== )(1)用第二个总体的样本数据,在0.95的置信度下给出2σ区间估计。
北京林业大学2015--2016学年第 二 学期考试试卷A课程名称: 数理统计 课程所在学院: 理学院考试班级 学号 姓名 成绩 试卷说明:说明:考试为闭卷;本试卷共计四页,共7大部分;考试时间为 120 分钟;请将试卷纸上的考试班级、学号、姓名填写清楚;答案写在本试卷上一 (20分)填空:1随机变量X 和Y 独立,且0,1EX EY DX DY ====,则2(2)E X Y += 。
2事件A 、B 独立, P(B)=0.3,P(A B)=0.7,则P()=A 。
P(A B)= 。
32(1,2)X N ,2(3,4)Y N ,cov(,)6X Y =,(,)X Y ρ= 。
(231)D X Y +-= 。
4 若θˆ是θ的无偏估计,则θˆE = 。
5 12,,,n X X X ⋅⋅⋅是样本,若12ˆ(,,,)nf X X X θ=⋅⋅⋅是参数θ的相合(一致)估计,则 }|ˆ{|lim εθθ<-∞→P n = 。
612,,,n X X X ⋅⋅⋅是2(,)XN μσ的样本,X 是样本均值,2S 是样本方差,则()E X = 。
()D X = 。
2()E S = 。
二(12分)X 的密度函数是()()x f x Ae -=-∞∞(1)计算A 的值,并画出密度函数图。
(2)计算分布函数()F x 。
(3)计算EX ,(21)E X +。
三(12分)今有甲乙两只袋子,袋中所放的球分别为2白5黑及7白2黑;第一步从甲袋中任取1球放入乙袋;第二步再从乙袋中任取1球。
引入二维离散随机变量X 和Y ,分别表示第一步和第二步取到球的颜色,取到白球记为1,取到黑球记为0。
(1) 写出联合分布列。
(2) 求第二次取到白球的概率。
(3) 写出边缘分布列,并判断X 和Y 是否相互独立。
四(6分)一学校有1000名住校生,每人都以80%的概率去图书馆上自习。
请问图书馆至少应设多少个座位,才能以97.5%的概率保证去上自习的同学都有座位。
北京林业大学20 11--2012学年第一学期考试试卷课程名称: 数理统计B (A 卷) 课程所在学院: 理学院 考试班级 学号 姓名 成绩 试卷说明:1. 本次考试为闭卷考试。
本试卷共计 4 页,共 十 大部分,请勿漏答;2. 考试时间为 120 分钟,请掌握好答题时间;3. 答题之前,请将试卷和答题纸上的考试班级、学号、姓名填写清楚;4. 答案写在本试卷上;5. 答题完毕,请将试卷和答题纸正面向外对叠交回,不得带出考场; 考试中心提示:请你遵守考场纪律,诚信考试、公平竞争!一、填空(每题2分,共10分) 1.袋中有红球4只,黑球3只,不放回地从中任取2只,则这2只球的颜色不相同的概率等于 。
2.若事件A 、B 满足P AB P A B ()()= 且3/1)(=A P ,则P B ()= 。
3.已知()221212(,)~X Y Nr μμσσ,,,,,如果X 和Y 独立, 那么r = 。
4.已知X 的概率密度函数||1()2x X f x e -=,则3Y X =的概率密度函数()Y f y = 。
5.设总体X 服从参数为2的泊松(Poisson)分布,),,(81X X 是来自总体X 的容量为8的样本,X是样本均值,那么()2E X= 。
二、单项选择题(每题2分,共10分)1. 设连续型随机变量X 的分布函数⎪⎩⎪⎨⎧>≤≤+<=ππx x b kx x x F ,10,0,0)(,则以下正确的答案是 。
A .1,b k π== ;B .1/,0b k π==;C .0,1/b k π==;D .,1b k π==2.设2~(3,) X N σ,{34}0.4P X <<=,则{2}P X ≤= 。
A . 0.1 ;B .0.2 ;C .0.3;D .0.93.设X 的方差4DX =, Y 的方差1DY =,X 和Y 相关系数,6.0=XY ρ则32X Y -的方差(32)D X Y -= 。
北京林业大学2009--2010学年第 一 学期考试试卷A
课程名称: 数理统计A 课程所在学院: 理学院
考试班级 学号 姓名 成绩
一、填空(每空2分,共10分)
1. 设A 、B 、C 为三个事件,则至少有两个事件发生可以表示为 2.掷两颗均匀的骰子,则点数之和为7的概率为
3. 设40.)(=A P ,30.)(=B P ,60.)(=B A P , 则=)(B A P 。
4. ~(2)X P ,则2EX =
5. 已知2
~(5,3)X N , 令32Y X =-,则~Y 。
二、(10分)某商场供应的电冰箱中,甲厂产品占70% ,乙厂产品占30%,甲厂产品合格率是95% ,乙厂产品合格率是80% 。
(1)求此商场电冰箱的合格率。
(2)每卖出一台合格品为商场盈利300元,而每卖出一台不合格品则亏损500元,求卖出一台所得的平均利润。
三、(10分)设随机变量X 的密度函数1
,()20,
a x a
f x a ⎧-≤≤⎪=⎨⎪⎩其它,其中0>a ,且
3
1
1=>}{X P 。
求(1)a 。
(2) X Y 2=,求Y 的概率密度函数)(y f Y 。
四、(10分)~(2,0.2)X B ,定义1,11,1X Y X -≤⎧=⎨
>⎩。
(1)写出Y 的分布列。
(2)求)(Y E 和)(Y D 。
五、(10分)设(X ,Y )在半径为1,圆心在坐标原点的圆内服从均匀分布。
(1) 写出联合密度函数(,)f x y .(2) 求()X f x ,()Y f y . (3) 求{}0p X Y <<和)(X E 。
六、(10分)设12,,, n x x x 是来自均匀总体(0,)U θ的一个样本。
给出θ的矩估计和极
大似然估计。
七、(10分)今有刺槐种子若干,将其分成两部分,一部分用温水浸种,播下200粒,其中130粒发芽出土;另一部分不经温水浸种,播下400粒,其中200粒发芽出土。
0.05U =1.96。
(1)写出经过温水浸种后发芽率的置信度为0.95的置信区间。
(2)在=α0.05下检验两种处理方法对种子发芽率影响是否显著? 八、(10分)设有甲、乙两块10年生人工马尾松林,用重复抽样方式分别独立地从两块林地中抽出若干林木,测得胸径数据如下: (假定胸径服从正态分布)0.9750.0250.05(9,7)0.23,(9,7) 4.82,(16) 2.12F F T ===。
甲∶4.5, 8.0, 5.0, 2.0, 3.5, 5.5, 5.0, 7.5, 5.5, 7.5 乙∶3.0, 5.0, 2.0, 4.0, 5.0, 5.0, 3.0 ,3.0
在=α0.05检验两块林地胸径的方差是否相等?胸径的均值是否相等? 九、(10分)某食品公司对一种食品设计了四种新包装。
为了考察哪种包装最受顾客欢迎,选
列出方差分析表;在=
α0.05下判断不同包装对销量是否有显著差异?(0.05(3,6) 4.76F =)
十(10分)设某农作物的产量与施化肥量的试验数据为:
(1)写出经验线性回归方程。
(2)写出相关系数。