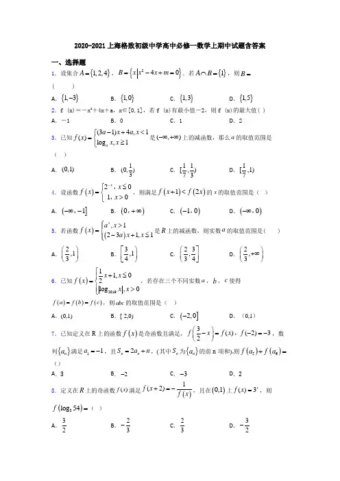
上海市2020年上学期格致中学高一数学周练试题(最新精编)可打印
- 格式:docx
- 大小:207.33 KB
- 文档页数:3
1格致中学2024学年第一学期高一年级数学周练42024.09一、填空题:(每小题4分,满分40分)1.不等式的解集为________.2.已知全集,,,则________.3.不等式组的解集为________.4.关于的不等式的解集为________.5.已知关于的方程,中至少有一个方程有实根,则实数的取值范围为________.6.已知,若关于的方程两根均大于1,则实数的取值范围是________.7.关于的一元二次不等式的解集中有且仅有3个整数,则实数的取值范围是________.8.若实数,满足,,,则________.9.已知关于不等式解集为,解关于不等式有如下的解法:由,得,令,则,即,所以不等式解集为,参考上述解法,已知关于不等式的解集,则关于不等式的解集为_______.10.关于的不等式的解集为或,则不等式2131x x +≥-U R ={}2|20A x x x =-<{}|1B x x =≥A B = 22210340x x x x ⎧-->⎨--≤⎩x 22(1)2(1)x x x -<-x 22150x x a -+-=2610ax x -+=a a R ∈x ()()22310x a x a --++=a x 280x x a -+≤a a b 2320a a +-=42320b b --=22ab ≠222ab b a++=x 20ax bx c -+>()1,2x 20cx bx a -+>20cx bx a -+>2110a b c x x ⎛⎫-+> ⎪⎝⎭1y x =()1,2y ∈112x <<20cx bx a -+>1,12⎛⎫⎪⎝⎭x 0k x b x a x c ++<++()()2,12,3-- x 1011kx bx ax cx -+<--x 20ax bx c ++>{|x x <β}(0)x >γ<β<γ2的解集为________.二、选择题:(每小题4分,满分16分)11.已知且,,则( )A . B .C .D .不能确定12.对任意实数,,,在下列命题中,真命题为( )A .是的必要条件B .是的充要条件C的充分条件 D .是的充分条件13.设关于的一元二次不等式与的解集分别为与,则不等式的解集为( )A .B .C .D .14.已知,,,若关于不等式的解集为,则( )A .不存在有序数组,使得;B .存在唯一有序数组,使得;C .有且只有两组有序数组,使得;D .存在无穷多组有序数组,使得.三、解答题:(满分44分,解答本题,必须要有必要过程)15.(本题共2小题,第1小题5分,第2小题5分,满分10分)已知全集为,集合,,.()()2112a x b x c ax ++-+>x R ∈22m x x =+3n x =-m n <m n =m n>a b c R ∈ac bc <a b <ac bc =a b =<a b <22a b >a b >x 20ax bx c ++≤20dx ex f ++≤(][),23,-∞+∞ ∅()()220ax bx c dx ex f ++++≥(][),23,-∞+∞ []2,3R∅a b c R ∈x 01a cx b x x≤++≤-{}123,x x x ⎡⎤⎣⎦ ()3210x x x >>>(),,a b c 211x x -=(),,a b c 211x x -=(),,a b c 211x x -=(),,a b c 211x x -=R {}2|200A x x x =--<{}2|2150B x x x =+->{}22|680C x x ax a =-+<3(1)求和;(2)若,求实数的取值范围.16.(本题共2小题,第1小题4分,第2小题6分,满分10分)已知关于的不等式的解集是.(1)若且,求实数的取值范围;(2)若,求关于的不等式的解集.17.(本题共2小题,第1小题3分,第2小题7分,满分10分)设,且的解集为.(1)求实数、的值;(2)求关于的不等式的解集,其中.A B A B C B =∅ a x 2310ax x +->M 1M ∈1M -∉a 1,2M b ⎛⎫= ⎪⎝⎭x 0bx a ax b +≤-()()2,f x x bx c b c R =++∈()0f x ≤[]2,1-b c x ()()21mf x x m >-+m R ∈418.(本题共2小题,其中第1小题4分,第2小题10分,满分14分)已知函数(1)若,,求解关于的不等式;(2)若,,,设,,若图像上的点都位于直线的上方,求实数的取值范围;(3)在(2)的条件下,设,如果的解集为,求实数的取值范围.某同学的解法如下:因为的解集为与原不等式同解,故在上恒成立,当时,在上不恒成立;当时,则由判别式,解得.请问:该同学的解法是否正确,如果不正确请写出正确的答案,并说明理由.()()2,,f x ax bx c a b c R =++∈a b =-0c =x ()0f x <1a =2b =-3c =-()()g x f x tx =-()1,4x ∈()g x 4y =-t ()()()22194f x h x mx m x m =++++()0h x >{}|13x x -<<m 2230x x --<{}|13x x -<<()221940mx m x m ++++<R 0m =240x +<R 0m ≠0Δ<12m <-5参考答案一、填空题1.;2.;3.;4.;5.;6.;7.;8.;9.; 10.;9.已知关于不等式解集为,解关于不等式有如下的解法:由,得,令,则,即,所以不等式解集为,参考上述解法,已知关于不等式的解集,则关于不等式的解集为________.【答案】【解析】根据题意,不等式,变形可得,即若不等式的解集为,则有或,解可得:或,即不等式的解集;故答案为:.10.关于的不等式的解集为或,则不等式的解集为________.(]14,()0,114|1123x x x ⎧⎫-≤<-<≤⎨⎬⎩⎭或()(),11,2-∞⋃(][),914,-∞⋃+∞[)16,+∞(]12,1521111322,,⎛⎫⎛⎫--⋃ ⎪ ⎪⎝⎭⎝⎭()()11,,-∞β+⋃γ++∞x 20ax bx c -+>()1,2x 20cx bx a -+>20cx bx a -+>2110a b c x x ⎛⎫-+> ⎪⎝⎭1y x =()1,2y ∈112x <<20cx bx a -+>1,12⎛⎫⎪⎝⎭x 0k x b x a x c ++<++()()2,12,3-- x 1011kx bx ax cx -+<--1111322,,⎛⎫⎛⎫--⋃ ⎪ ⎪⎝⎭⎝⎭1011kx bx ax cx -+<--1011b k x a c x x -+<--1011b k x a c x x ⎛⎫-+ ⎪⎝⎭+<⎛⎫⎛⎫-+-+ ⎪ ⎪⎝⎭⎝⎭0k x b x a x c ++<++()()2123,,--⋃121x -<-<-123x <-<1132x -<<-112x <<1011kx bx ax cx -+<--111,1322,⎛⎫⎛⎫--⋃ ⎪ ⎪⎝⎭⎝⎭1111322,,⎛⎫⎛⎫--⋃ ⎪ ⎪⎝⎭⎝⎭x 20ax bx c ++>{|x x <β}(0)x >γ<β<γ()()2112a x b x c ax ++-+>6【答案】【解析】的解集为或为方程的两根且,则不等式可化为:即解得或不等式解集为:二、选择题11.C 12.C 13.B 14.D13.设关于的一元二次不等式与的解集分别为与,则不等式的解集为( )A .B .C .D .【答案】B【解析】因为关于的一元二次不等式与的解集分别为与,所以是的解且恒成立,由得,.故选:.14.已知,,,若关于不等式的解集为,则( )A .不存在有序数组,使得;B .存在唯一有序数组,使得;()()11,,-∞β+⋃γ++∞20ax bx c ++> {|x x <β},x >γ∴βγ20ax bx c ++=0a >,b ca a∴β+γ=-βγ=(),b a c a∴=-β+γ=βγ()()()2112a x a x a ax+-β+γ-+βγ>()()20112a x x x >∴+-β+γ-+βγ> ()()2210x x -β+γ++β+γ+βγ+>()()110x x ∴-β--γ->1x <β+1x >γ+∴()()11,,-∞β+⋃γ++∞x 20ax bx c ++≤20dx ex f ++≤(][),23,-∞+∞ ∅()()220ax bx c dx ex f ++++≥(][),23,-∞+∞ []2,3R∅x 20ax bx c ++…20dx ex f ++…(][)23,,-∞⋃+∞∅2,3x x ==20ax bx c ++=20,0a dx ex f <++…()()220ax bx c dx ex f ++++…23x ……B a b c R ∈x 01a cx b x x≤++≤-{}123,x x x ⎡⎤⎣⎦ ()3210x x x >>>(),,a b c 211x x -=(),,a b c 211x x -=7C .有且只有两组有序数组,使得;D .存在无穷多组有序数组,使得.【答案】D【解析】因为不等式的解集为,,所以在,上成立,假设,则,根据为一个独立的数得出,所以,且与为方程的两个根,因为,所以,,所以,且点为与的左交点,所以且,,故所以恒成立,所以不论取何值,恒成立,即存在无穷多组有序数组,使得故选项错误,选项正确.故选:D.三.解答题15.(1); (2)16.(1)(2)17.(1)(2)18.(1)当时,无解;当时,;当时,或;(2)(3)(),,a b c 211x x -=(),,a b c 211x x -=01a cx b x x++-……1x ⎡⎣{}23321](0)x x x x x ⋃>>>20x bx a c x ++-……1x x ∈⎡⎣{}23x x ⋃⎤⎦123,1,x m x m x n ==+=20c n n bn a -==++3x n c =1m +n 20x bx a ++=3210x x x >>>11b m n m c -=++=++a mn n mc c =+=+1b m c =---()2111x ,x bx a ++2y x bx a =++y c x =-2m bm a c m ++=-1b m c =---a mc c =+222m bm a m m mc m mc c ++=---++=c m -c m c m -=-,,a b c 211x x -=()a,b,c 211x x -=,,A B C D ()3,5A B = [)5,5A B =- 53,,22a ⎛⎤⎡⎫∈-∞-⋃+∞ ⎪⎥⎢⎝⎦⎣⎭(]2,4a ∈-[)1,2,2⎛⎫-∞-⋃+∞ ⎪⎝⎭1,2b c ==-0a =0a >01x <<0a <0x <1x >(),0-∞1,2⎛⎤-∞- ⎥⎝⎦。
2020-2021上海格致中学高一数学上期中第一次模拟试题(附答案)一、选择题1.已知集合{}220A x x x =-->,则A =R ðA .{}12x x -<< B .{}12x x -≤≤ C .}{}{|12x x x x <-⋃D .}{}{|1|2x x x x ≤-⋃≥2.设集合{1,2,3,4}A =,{}1,0,2,3B =-,{|12}C x R x =∈-≤<,则()A B C =U IA .{1,1}-B .{0,1}C .{1,0,1}-D .{2,3,4}3.设常数a ∈R ,集合A={x|(x ﹣1)(x ﹣a )≥0},B={x|x≥a ﹣1},若A ∪B=R ,则a 的取值范围为( ) A .(﹣∞,2)B .(﹣∞,2]C .(2,+∞)D .[2,+∞)4.在ABC ∆中,内角A 、B 、C 所对应的边分别为a 、b 、c ,则“cos cos a A b B =”是“ABC ∆是以A 、B 为底角的等腰三角形”的( ). A .充分非必要条件 B .必要非充分条件 C .充要条件 D .既非充分也非必要条件5.1()xf x e x=-的零点所在的区间是( ) A .1(0,)2B .1(,1)2C .3(1,)2D .3(,2)26.设log 3a π=,0.32b =,21log 3c =,则( ) A .a c b >>B .c a b >>C .b a c >>D .a b c >>7.已知函数224()(log )log (4)1f x x x =++,则函数()f x 的最小值是A .2B .3116C .158D .18.已知函数2()2f x ax bx a b =++-是定义在[3,2]a a -的偶函数,则()()f a f b +=( ) A .5B .5-C .0D .20199.设奇函数()f x 在[1,1]-上是增函数,且(1)1f -=-,若函数2()21f x t at ≤-+对所有的[1,1]x ∈-都成立,当[1,1]a ∈-时,则t 的取值范围是( ) A .1122t -≤≤ B .22t -≤≤C .12t ≥或12t ≤-或0t = D .2t ≥或2t ≤-或0t =10.已知定义在R 上的函数()f x 是奇函数且满足,3()(2)32f x f x f ⎛⎫-=-=-⎪⎝⎭,,数列{}n a 满足11a =-,且2n n S a n =+,(其中n S 为{}n a 的前n 项和).则()()56f a f a +=() A .3 B .2-C .3-D .211.函数sin21cos xy x=-的部分图像大致为A .B .C .D .12.已知定义在R 上的函数()21()x m f x m -=-为实数为偶函数,记0.5(log 3),a f =2b (log 5),c (2)f f m ==,则,,a b c ,的大小关系为( )A .a b c <<B .c a b <<C .a c b <<D .c b a <<二、填空题13.已知函数()()22log f x x a =+,若()31f =,则a =________.14.若函数()y f x =的定义域是[0,2],则函数0.5()log (43)g x x =-的定义域是__________. 15.已知2a =5b =m ,且11a b+=1,则m =____. 16.已知集合{}{}1,1,2,4,1,0,2,A B =-=-则A B =I __________. 17.已知()21f x x -=,则()f x = ____.18.若集合(){}22210A x k x kx =+++=有且仅有2个子集,则满足条件的实数k 的最小值是____.19.甲、乙、丙、丁四个物体同时从某一点出发向同一个方向运动,其路程()(1,2,3,4)i f x i =关于时间(0)x x ≥的函数关系式分别为1()21x f x =-,22()f x x =,3()f x x =,42()log (1)f x x =+,有以下结论:①当1x >时,甲走在最前面; ②当1x >时,乙走在最前面;③当01x <<时,丁走在最前面,当1x >时,丁走在最后面;④丙不可能走在最前面,也不可能走在最后面; ⑤如果它们一直运动下去,最终走在最前面的是甲.其中,正确结论的序号为 (把正确结论的序号都填上,多填或少填均不得分). 20.若关于的方程有三个不相等的实数根,则实数的值为_______.三、解答题21.已知集合A={x|x <-1,或x >2},B={x|2p-1≤x≤p+3}. (1)若p=12,求A∩B; (2)若A∩B=B,求实数p 的取值范围.22.已知定义域为R 的函数()22xx b f x a-=+是奇函数.()1求a ,b 的值;()2用定义证明()f x 在(),-∞+∞上为减函数;()3若对于任意t R ∈,不等式()()22220f t t f t k -+-<恒成立,求k 的范围.23.设a 为实数,函数()()21f x x x a x R =+-+∈.(1)若函数()f x 是偶函数,求实数a 的值; (2)若2a =,求函数()f x 的最小值;(3)对于函数()y m x =,在定义域内给定区间[],a b ,如果存在()00x a x b <<,满足()0()()m b m a m x b a-=-,则称函数()m x 是区间[],a b 上的“平均值函数”,0x 是它的一个“均值点”.如函数2y x =是[]1,1-上的平均值函数,0就是它的均值点.现有函数()21g x x mx =-++是区间[]1,1-上的平均值函数,求实数m 的取值范围.24.设函数f (x )是增函数,对于任意x ,y ∈R 都有f (x+y )=f (x )+f (y ). (1)求f (0);(2)证明f (x )是奇函数;(3)解不等式f (x 2)—f (x )>f (3x ).25.国庆期间,某旅行社组团去风景区旅游,若旅行团人数在30人或30人以下,每人需交费用为900元;若旅行团人数多于30人,则给予优惠:每多1人,人均费用减少10元,直到达到规定人数75人为止.旅行社需支付各种费用共计15000元. (1)写出每人需交费用y 关于人数x 的函数; (2)旅行团人数为多少时,旅行社可获得最大利润?26.设集合2{|40,}A x x x x R =+=∈,22{|2(1)10,}B x x a x a x R =+++-=∈. (1)若A B B ⋃=,求实数a 的值; (2)若A B B =I ,求实数a 的范围.【参考答案】***试卷处理标记,请不要删除一、选择题 1.B 解析:B 【解析】分析:首先利用一元二次不等式的解法,求出220x x -->的解集,从而求得集合A ,之后根据集合补集中元素的特征,求得结果. 详解:解不等式220x x -->得12x x -或, 所以{}|12A x x x =<->或,所以可以求得{}|12R C A x x =-≤≤,故选B.点睛:该题考查的是有关一元二次不等式的解法以及集合的补集的求解问题,在解题的过程中,需要明确一元二次不等式的解集的形式以及补集中元素的特征,从而求得结果.2.C解析:C 【解析】分析:由题意首先进行并集运算,然后进行交集运算即可求得最终结果. 详解:由并集的定义可得:{}1,0,1,2,3,4A B ⋃=-, 结合交集的定义可知:(){}1,0,1A B C ⋃⋂=-. 本题选择C 选项.点睛:本题主要考查并集运算、交集运算等知识,意在考查学生的计算求解能力.3.B解析:B 【解析】 试题分析:当时,,此时成立,当时,,当时,,即,当时,,当时,恒成立,所以a 的取值范围为,故选B.考点:集合的关系4.B解析:B 【解析】 【分析】化简cos cos a A b B =得到A B =或2A B π+=,再判断充分必要性.【详解】cos cos a A b B =,根据正弦定理得到:sin cos sin cos sin 2sin 2A A B B A B =∴=故22A B A B =∴=或222A B A B ππ=-∴+=,ABC ∆为等腰或者直角三角形.所以“cos cos a A b B =”是“ABC ∆是以A 、B 为底角的等腰三角形”的必要非充分条件 故选B 【点睛】本题考查了必要非充分条件,化简得到A B =或2A B π+=是解题的关键,漏解是容易发生的错误.5.B解析:B 【解析】函数f (x )=e x ﹣1x 是(0,+∞)上的增函数,再根据f (12)2<0,f (1)=e ﹣1>0,可得f (12)f (1)<0,∴函数f (x )=e x ﹣1x 的零点所在的区间是(12,1),故选B .点睛:判定函数的零点所在区间,只需计算区间端点处的函数值,并判断是否异号,只要异号,则区间内至少有一个零点存在.6.C解析:C 【解析】 【分析】先证明c<0,a>0,b>0,再证明b>1,a<1,即得解. 【详解】 由题得21log 3c =2log 10<=,a>0,b>0. 0.30log 3log 1,22 1.a b πππ====所以b a c >>.故答案为C 【点睛】(1)本题主要考查指数函数对数函数的单调性,考查实数大小的比较,意在考查学生对这些知识的掌握水平和分析推理能力.(2)实数比较大小,一般先和“0”比,再和“±1”比.7.B解析:B 【解析】 【分析】利用对数的运算法则将函数()()()224log log 41f x x x =++化为()2221log 1log 12x x +++,利用配方法可得结果. 【详解】化简()()()224log log 41f x x x =++()2221log 1log 12x x =+++22211131log log 224161616x x ⎛⎫=++-≥-= ⎪⎝⎭,即()f x 的最小值为3116,故选B.【点睛】本题主要考查对数的运算法则以及二次函数配方法求最值,属于中档题. 求函数最值常见方法有,①配方法:若函数为一元二次函数,常采用配方法求函数求值域,其关键在于正确化成完全平方式,并且一定要先确定其定义域;②换元法;③不等式法;④单调性法;⑤图象法.8.A解析:A 【解析】 【分析】根据函数f (x )=ax 2+bx +a ﹣2b 是定义在[a ﹣3,2a ]上的偶函数,即可求出a ,b ,从而得出f (x )的解析式,进而求出f (a )+f (b )的值. 【详解】∵f (x )=ax 2+bx +a ﹣2b 是定义在[a ﹣3,2a ]上的偶函数; ∴0320b a a =⎧⎨-+=⎩;∴a =1,b =0; ∴f (x )=x 2+2;∴f (a )+f (b )=f (1)+f (0)=3+2=5. 故选:A . 【点睛】本题考查偶函数的定义,偶函数定义域的对称性,已知函数求值的方法.9.D解析:D 【解析】试题分析:奇函数()f x 在[]1,1-上是增函数, 且()11f -=-,在[]1,1-最大值是21,121t at ∴≤-+,当0t ≠时, 则220t at -≥成立, 又[]1,1a ∈-,令()[]22,1,1r a ta t a =-+∈-, 当0t >时,()r a 是减函数, 故令()10r ≥解得2t ≥, 当0t <时,()r a 是增函数, 故令()10r -≥,解得2t ≤-,综上知,2t ≥或2t ≤-或0t =,故选D. 考点:1、函数的奇偶性与单调性能;2、不等式恒成立问题.【方法点晴】本题主要考查函数的奇偶性与单调性能、不等式恒成立问题,属于难题.不等式恒成立问题常见方法:①分离参数()a f x ≤恒成立(min ()a f x ≤即可)或()a f x ≥恒成立(max ()a f x ≥即可);②数形结合(()y f x =图象在()y g x =上方即可);③讨论最值min ()0f x ≥或max ()0f x ≤恒成立;④讨论参数.本题是利用方法①求得t 的范围.10.A解析:A 【解析】 由奇函数满足()32f x f x ⎛⎫-=⎪⎝⎭可知该函数是周期为3T =的奇函数, 由递推关系可得:112,21n n n n S a n S a n +-=+=+-, 两式做差有:1221n n n a a a -=--,即()()1121n n a a --=-, 即数列{}1n a -构成首项为112a -=-,公比为2q =的等比数列, 故:()1122,21n n n n a a --=-⨯∴=-+,综上有:()()()()()552131223f a f f f f =-+=-==--=,()()()()66216300f a f f f =-+=-==,则:()()563f a f a +=. 本题选择A 选项.11.C解析:C 【解析】 由题意知,函数sin 21cos xy x =-为奇函数,故排除B ;当πx =时,0y =,故排除D ;当1x =时,sin 201cos 2y =>-,故排除A .故选C . 点睛:函数图像问题首先关注定义域,从图像的对称性,分析函数的奇偶性,根据函数的奇偶性排除部分选择项,从图像的最高点、最低点,分析函数的最值、极值,利用特值检验,较难的需要研究单调性、极值等,从图像的走向趋势,分析函数的单调性、周期性等.12.B解析:B 【解析】由()f x 为偶函数得0m =,所以0,52log 3log 32121312,a =-=-=-=2log 521514b =-=-=,0210c =-=,所以c a b <<,故选B.考点:本题主要考查函数奇偶性及对数运算.二、填空题13.-7【解析】分析:首先利用题的条件将其代入解析式得到从而得到从而求得得到答案详解:根据题意有可得所以故答案是点睛:该题考查的是有关已知某个自变量对应函数值的大小来确定有关参数值的问题在求解的过程中需解析:-7 【解析】分析:首先利用题的条件()31f =,将其代入解析式,得到()()2391f log a =+=,从而得到92a +=,从而求得7a =-,得到答案.详解:根据题意有()()2391f log a =+=,可得92a +=,所以7a =-,故答案是7-. 点睛:该题考查的是有关已知某个自变量对应函数值的大小,来确定有关参数值的问题,在求解的过程中,需要将自变量代入函数解析式,求解即可得结果,属于基础题目.14.【解析】首先要使有意义则其次∴解得综上点睛:对于抽象函数定义域的求解(1)若已知函数f(x)的定义域为ab 则复合函数f(g(x))的定义域由不等式a≤g(x)≤b 求出;(2)若已知函数f(g(x))解析:3,14⎛⎫⎪⎝⎭【解析】首先要使(2)f x 有意义,则2[0,2]x ∈, 其次0.5log 430x ->,∴0220431x x ≤≤⎧⎨<-<⎩,解得01314x x ≤≤⎧⎪⎨<<⎪⎩,综上3,14x ⎛⎫∈⎪⎝⎭. 点睛:对于抽象函数定义域的求解(1)若已知函数f(x)的定义域为[a ,b],则复合函数f(g(x))的定义域由不等式a≤g(x)≤b 求出;(2)若已知函数f(g(x))的定义域为[a ,b],则f(x)的定义域为g(x)在x∈[a,b]上的值域.15.10【解析】因为2a=5b=m 所以a=log2mb=log5m 由换底公式可得=logm2+logm5=logm10=1则m=10点睛:(1)在对数运算中先利用幂的运算把底数或真数进行变形化成分数指数解析:10 【解析】因为2a =5b =m ,所以a =log 2m ,b =log 5m , 由换底公式可得11a b+=log m 2+log m 5=log m 10=1,则m =10. 点睛:(1)在对数运算中,先利用幂的运算把底数或真数进行变形,化成分数指数幂的形式,使幂的底数最简,然后再运用对数运算法则化简合并,在运算中要注意化同底或指数与对数互化.(2)熟练地运用对数的三个运算性质并配以代数式的恒等变形是对数计算、化简、证明常用的技巧.16.【解析】【分析】直接利用集合交集的定义求解即可【详解】因为集合两个集合的公共元素为所以故答案为【点睛】研究集合问题一定要抓住元素看元素应满足的属性研究两集合的关系时关键是将两集合的关系转化为元素间的解析:{}12-,【解析】 【分析】直接利用集合交集的定义求解即可. 【详解】因为集合{}{}1,1,2,4,1,0,2,A B =-=- 两个集合的公共元素为1,2-所以{}1,2A B =-I .故答案为{}1,2-. 【点睛】研究集合问题,一定要抓住元素,看元素应满足的属性.研究两集合的关系时,关键是将两集合的关系转化为元素间的关系,本题实质求满足属于集合A 且属于集合B 的元素的集合.17.【解析】【分析】利用换元法求函数解析式【详解】令则代入可得到即【点睛】本题考查利用换元法求函数解析式考查基本代换求解能力 解析:()21?x + 【解析】 【分析】利用换元法求函数解析式. 【详解】 令 1t x -=则 t 1,x =+代入 ()21f x x -=可得到()()21f t t =+ ,即()()21f x x =+. 【点睛】本题考查利用换元法求函数解析式,考查基本代换求解能力.18.-2【解析】【分析】根据题意可知集合只有一个元素从而时满足条件而时可得到求出找到最小的即可【详解】只有2个子集;只有一个元素;时满足条件;②时;解得或2;综上满足条件的实数的最小值为﹣2故答案为﹣2解析:-2 【解析】 【分析】根据题意可知,集合A 只有一个元素,从而2k =-时,满足条件,而2k ≠-时,可得到()24420k k ∆=-+=,求出k ,找到最小的k 即可.【详解】A Q 只有2个子集; A ∴只有一个元素;2k ①∴=-时,14A ⎧⎫=⎨⎬⎩⎭,满足条件;②2k ≠-时,()24420k k ∆=-+=;解得1k =-或2;综上,满足条件的实数k 的最小值为﹣2. 故答案为﹣2. 【点睛】考查子集的概念,描述法和列举法表示集合的定义,以及一元二次方程实根个数和判别式∆的关系.19.③④⑤【解析】试题分析:分别取特值验证命题①②;对数型函数的变化是先快后慢当x=1时甲乙丙丁四个物体又重合从而判断命题③正确;指数函数变化是先慢后快当运动的时间足够长最前面的动物一定是按照指数型函数解析:③④⑤ 【解析】试题分析:分别取特值验证命题①②;对数型函数的变化是先快后慢,当x=1时甲、乙、丙、丁四个物体又重合,从而判断命题③正确;指数函数变化是先慢后快,当运动的时间足够长,最前面的动物一定是按照指数型函数运动的物体,即一定是甲物体;结合对数型和指数型函数的图象变化情况,可知命题④正确.解:路程f i (x )(i=1,2,3,4)关于时间x (x≥0)的函数关系是:,,f 3(x )=x ,f 4(x )=log 2(x+1),它们相应的函数模型分别是指数型函数,二次函数,一次函数,和对数型函数模型. 当x=2时,f 1(2)=3,f 2(2)=4,∴命题①不正确;当x=4时,f1(5)=31,f2(5)=25,∴命题②不正确;根据四种函数的变化特点,对数型函数的变化是先快后慢,当x=1时甲、乙、丙、丁四个物体又重合,从而可知当0<x<1时,丁走在最前面,当x>1时,丁走在最后面,命题③正确;指数函数变化是先慢后快,当运动的时间足够长,最前面的动物一定是按照指数型函数运动的物体,即一定是甲物体,∴命题⑤正确.结合对数型和指数型函数的图象变化情况,可知丙不可能走在最前面,也不可能走在最后面,命题④正确.故答案为③④⑤.考点:对数函数、指数函数与幂函数的增长差异.20.3【解析】令fx=x2-2x-2则由题意可得函数y=fx与函数y=m的图象有三个公共点画出函数fx=x2-2x-2的图象如图所示结合图象可得要使两函数的图象有三个公共点则m=3答案:3解析:3【解析】令,则由题意可得函数与函数的图象有三个公共点.画出函数的图象如图所示,结合图象可得,要使两函数的图象有三个公共点,则.答案:3三、解答题21.(1)722x x⎧⎫<≤⎨⎬⎩⎭;(2)34.2p p><-或【解析】【分析】(1)根据集合的交集得到结果即可;(2)当A∩B=B时,可得B⊆A,分B为空集和不为空集两种情况即可.【详解】(1)当时,B={x|0≤x≤},∴A∩B={x|2<x≤};(2)当A∩B=B时,可得B⊆A;当时,令2p-1>p+3,解得p>4,满足题意;当时,应满足 解得; 即综上,实数p 的取值范围.【点睛】 与集合元素有关问题的思路:(1)确定集合的元素是什么,即确定这个集合是数集还是点集;(2)看这些元素满足什么限制条件;(3)根据限制条件列式求参数的值或确定集合元素的个数,但要注意检验集合是否满足元素的互异性.22.(1) a=1,b=1 (2)见解析 (3) k<-【解析】试题分析:(1)()f x 为R 上的奇函数⇒(0)01f b =⇒=,再由,得1a =即可;(2) 任取12x x R ∈,,且12x x <,计算2112122(22)()()0(21)(2+1)x x x x f x f x --=>+即可;(3) 不等式22(2)(2)0f t t f t k -+-<恒成立等价于22(2)(2)f t t f t k -<--⇔22(2)(2)f t t f k t -<-⇔2222t t k t ->-⇔232k t t<-恒成立,求函数2()32h t t t =-的最小值即可.试题解析: (1)∵()f x 为R 上的奇函数,∴(0)0f =,1b =.又,得1a =.经检验11a b ==,符合题意.(2)任取12x x R ∈,,且12x x <,则1212211212121212(12)(21)(12)(21)()()2121(21)(21)x x x x x x x x x x f x f x --------=-=---- 21122(22)(21)(2+1)x x x x -=+. ∵12x x <,∴12220x x ->,又∴12(21)(21)0x x ++>,∴12()()0f x f x ->,∴()f x 为R 上的减函数(3)∵t R ∈,不等式22(2)(2)0f t t f t k -+-<恒成立,∴22(2)(2)f t t f t k -<--,∴()f x 为奇函数,∴22(2)(2)f t t f k t -<-, ∴()f x 为减函数,∴2222t t k t ->-.即232k t t <-恒成立,而22111323()333t t t -=--≥-,∴13k <- 考点:1.函数的奇偶性;2.函数的单调性;3.函数与不等式. 【名师点睛】本题考查函数的奇偶性、函数的单调性、函数与不等式,属中档题;高考对函数性质的考查主要有以下几个命题角度:1.单调性与奇偶性相结合;2.周期性与奇偶性相结合;3.单调性、奇偶性与周期性相结合.23.(1);(2);(3)()0,2 【解析】试题分析:(1)考察偶函数的定义,利用通过整理即可得到;(2)此函数是一个含有绝对值的函数,解决此类问题的基本方法是写成分段函数的形式,()2221,221{3,2x x x f x x x x x x +-≥=+-+=-+<,要求函数的最小值,要分别在每一段上求出最小值,取这两段中的最小值;(3)此问题是一个新概念问题,这种类型都可转化为我们学过的问题,此题定义了一个均值点的概念,我们通过概念可把题目转化为“存在()01,1x ∈-,使得()0g x m =”从而转化为一元二次方程有解问题.试题解析:解:(1)()f x Q 是偶函数,()()f x f x ∴-=在R 上恒成立,即()2211x x a x x a -+--+=+-+,所以x a x a +=-得0ax = x R ∈Q 0a ∴=(2)当2a =时,()2221,221{3,2x x x f x x x x x x +-≥=+-+=-+< 所以()f x 在[)2,+∞上的最小值为()25f =, ()f x 在(),2-∞上的的最小值为f ()=, 因为<5,所以函数()f x 的最小值为. (3)因为函数()21g x x mx =-++是区间[]1,1-上的平均值函数,所以存在()01,1x ∈-,使()0(1)(1)1(1g g g x --=--) 而(1)(1)1(1g g m --=--),存在()01,1x ∈-,使得()0g x m = 即关于x 的方程21x mx m -++=在()1,1-内有解;由21x mx m -++=得210x mx m -+-=解得121,1x x m ==-所以111m -<-<即02m <<故m 的取值范围是()0,2考点:函数奇偶性定义;分段函数求最值;含参一元二次方程有解问题.24.(1)0;(2)见解析;(3){x|x<0或x>5}【解析】【分析】【详解】试题分析:(1)利用已知条件通过x=y=0,直接求f (0);(2)通过函数的奇偶性的定义,直接证明f (x )是奇函数;(3)利用已知条件转化不等式.通过函数的单调性直接求解不等的解集即可. 试题解析:(1)令,得, ∴定义域关于原点对称 ,得, ∴∴是奇函数 , 即 又由已知得:由函数是增函数,不等式转化为∴不等式的解集{x|x<0或x>5}.考点:抽象函数及其应用;函数单调性的性质;函数奇偶性的判断;其他不等式的解法.25.(1)900,030,120010,3075,x x N y x x x N ++<≤∈⎧=⎨-<≤∈⎩;(2)当人数为60时,旅行社可获最大利润.【解析】【分析】(1)当030x <≤时,900y =;当3075x <≤,用900减去优惠费用,求得y 的表达.由此求得每人需交费用y 关于人数x 的分段函数解析式.(2)用收取的总费用,减去15000,求得旅行社获得利润的分段函数表达式,利用一次函数和二次函数最值的求法,求得当人数为60时,旅行社可获得最大利润.【详解】(1)当030x <≤时,900y =;当3075x <≤,90010(30)120010y x x =--=- 即900,030,120010,3075,x x N y x x x N ++<≤∈⎧=⎨-<≤∈⎩; (2)设旅行社所获利润为S 元,则当030x <≤时,90015000S x =-;当3075x <≤时,2(120010)1500010120015000S x x x x =--=-+-即290015000,030,10120015000,3075,x x x N S x x x x N ++-<≤∈⎧=⎨-+-<≤∈⎩Q 当030x <≤时,900 15000S x =-为增函数30x ∴=时,max 12000S =,当3075x <≤时,210(60)21000S x =--+,60x =,max 2100012000S =>.∴当人数为60时,旅行社可获最大利润.【点睛】本小题主要考查分段函数模型在实际生活中的运用,考查一次函数、二次函数的值域的求法,属于中档题.26.(1)1a =;(2)1a ≤-或1a =【解析】【分析】(1)∵A B B ⋃=,∴A ⊆B ,又B 中最多有两个元素,∴A=B ,从而得到实数a 的值;(2)求出集合A 、B 的元素,利用B 是A 的子集,即可求出实数a 的范围.【详解】(1)∵A B B ⋃=,∴A ⊆B ,又B 中最多有两个元素,∴A=B ,∴x=0,﹣4是方程x 2+2(a+1)x+a 2﹣1=0的两个根,故a=1;(2)∵A={x|x 2+4x=0,x ∈R}∴A={0,﹣4},∵B={x|x 2+2(a+1)x+a 2﹣1=0},且B ⊆A .故①B=∅时,△=4(a+1)2﹣4(a 2﹣1)<0,即a <﹣1,满足B ⊆A ;②B≠∅时,当a=﹣1,此时B={0},满足B ⊆A ;当a >﹣1时,x=0,﹣4是方程x 2+2(a+1)x+a 2﹣1=0的两个根,故a=1;综上所述a=1或a ≤﹣1;【点睛】本题主要考查集合的基本运算,属于基础题.要正确判断两个集合间的关系,必须对集合的相关概念有深刻的理解,善于抓住代表元素,认清集合的特征.。
2020-2021学年上海市黄浦区格致中学高一(上)期末数学试卷试题数:20,总分:01.(填空题,0分)已知集合A={-3,-2,-1,0,1,2,3},B={x||x-1|≤1},则A∩B=___ .2.(填空题,0分)函数f(x)= log2(x−1)x−2的定义域为 ___ .3.(填空题,0分)若指数函数y=f(x)的图像经过点(12,2)则函数y=f(x)-2x+1的零点为 ___ .4.(填空题,0分)不等式1|x|<x的解集为 ___ .5.(填空题,0分)已知log62=a,用a表示log412=___ .6.(填空题,0分)已知函数y=(log2a)x在R上是严格减函数,则实数a的取值范围是___ .7.(填空题,0分)定义区间[a,b](a<b)的长度为b-a,若关于x的不等式x2-4x+m≤0的解集区间长度为2,则实数m的值为 ___ .8.(填空题,0分)设x,y∈(1,+∞),若log2x、log2y的算术平均值为1,则2x、2y的几何平均值的最小值为 ___ .9.(填空题,0分)已知函数y=f(x)是R上的奇函数,且是(-∞,0)上的严格减函数,若f(1)=0,则满足不等式(x-1)f(x)≥0的x的取值范围为 ___ .10.(填空题,0分)已知a∈{-2,-1,13,23,43,2},当x∈(-1,0)∪(0,1)时,不等式x a>|x|恒成立,则满足条件的a形成的集合为 ___ .11.(填空题,0分)函数y=f(x)(x<0)的反函数为y=f-1(x),且函数g(x)={f(x),x<0log2(x+1),x≥0是奇函数,则不等式f-1(x)≥-2的解集为 ___ .12.(填空题,0分)已知函数f(x)=|2x-1|,若函数g(x)=f2(x)+mf(x)+ 14有4个零点,则实数m的取值范围为 ___ .13.(单选题,0分)已知陈述句α是β的必要非充分条件,集合M={x|x满足α},集合N={x|x满足β},则M与N之间的关系为()A.M⊂NB.M⊃NC.M=ND.M∩N=∅14.(单选题,0分)若log3m<log3n且log m3<log n3,则实数m、n满足的关系式为()A.0<m<n<1B.0<n<m<1C.0<m<1<nD.1<m<n15.(单选题,0分)设a1、a2、b1、b2、c1、c2都是非零实数,不等式a1x2+b1x+c1>0的解集为A,不等式a2x2+b2x+c2>0的解集为B,则“A=B是“ a1a2=b1b2=c1c2>0”的()A.充分非必要条件B.必要非充分条件C.充分必要条件D.既非充分又非必要条件16.(单选题,0分)定义在R上的函数y=f(x)的表达式为f(x)= {x2,x∈Qx,x∈Q,给出下列3个判断:(1)函数y=f(x)是非奇非偶函数;(2)当a<0且a∈Q时,方程f(x)=a无解;(3)当a>0时,方程f(x)=a至少有一解;其中正确的判断有()A.0个B.1个C.2个D.3个17.(问答题,0分)已知集合A={x||x-a|≤2},不等式2x−1x+2≥1的解集为B.(1)用区间表示B;(2)若全集U=R,且A∩ B =A,求实数a的取值范围.18.(问答题,0分)已知a、b都是正实数,且ba=b-a.(1)求证:a>1;(2)求b的最小值.19.(问答题,0分)设函数y=f(x)的表达式为f(x)=x2+|x-a|,其中a为实常数.(1)判断函数y=f(x)的奇偶性,并说明理由;在区间(0,a]上为严格减函数,求实数a的最大值.(2)设a>0,函数g(x)= f(x)x20.(问答题,0分)已知非空集合S的元素都是整数,且满足:对于任意给定的x,y∈S(x、y可以相同),有x+y∈S且x-y∈S.(1)集合S能否为有限集,若能,求出所有有限集,若不能,请说明理由;(2)证明:若3∈S且5∈S,则S=Z.2020-2021学年上海市黄浦区格致中学高一(上)期末数学试卷参考答案与试题解析试题数:20,总分:01.(填空题,0分)已知集合A={-3,-2,-1,0,1,2,3},B={x||x-1|≤1},则A∩B=___ . 【正确答案】:[1]{0,1,2}【解析】:求出集合B ,利用交集定义能求出A∩B .【解答】:解:∵集合A={-3,-2,-1,0,1,2,3}, B={x||x-1|≤1}={x|0≤x≤2}, ∴A∩B={0,1,2}, 故答案为:{0,1,2}.【点评】:本题考查交集的求法,考查交集定义等基础知识,考查运算求解能力,是基础题. 2.(填空题,0分)函数f (x )=log 2(x−1)x−2的定义域为 ___ . 【正确答案】:[1](1,2)∪(2,+∞) 【解析】:根据使得函数f (x )= log 2(x−1)x−2的表达式有意义即可解决此题.【解答】:解:要使得函数f (x )=log 2(x−1)x−2的表达式有意义, 则 {x −1>0x −2≠0 ,解得x∈(1,2)∪(2,+∞).∴函数定义域为(1,2)∪(2,+∞). 故答案为:(1,2)∪(2,+∞).【点评】:本题考查函数定义域求法,考查数学运算能力,属于基础题.3.(填空题,0分)若指数函数y=f (x )的图像经过点( 12 ,2)则函数y=f (x )-2x+1的零点为 ___ .【正确答案】:[1]x=1【解析】:利用待定系数法求出f (x )=4x ,再利用零点的定义求解即可.【解答】:解:设指数函数y=a x ,∵图像经过点( 12,2),∴ a 12 =2,解得a=4,∴f (x )=4x , ∴y=f (x )-2x+1=4x -2x+1,令y=0,则4x =2x+1,∴2x=x+1,∴x=1, 故答案为:x=1.【点评】:本题考查了待定系数法求的应用,零点的求法,是基础题. 4.(填空题,0分)不等式 1|x| <x 的解集为 ___ . 【正确答案】:[1](1,+∞)【解析】:结合x 的范围分类讨论,转化为二次不等式进行求解即可.【解答】:解:由题意得, {x |x |>1x ≠0 ,即 {x >0x 2>1 或 {−x 2>1x <0,解得,x >1,所以原不等式的解集(1,+∞). 故答案为:(1,+∞).【点评】:本题主要考查了分式不等式的求解,体现了转化思想的应用,属于基础题. 5.(填空题,0分)已知log 62=a ,用a 表示log 412=___ . 【正确答案】:[1] 1+a2a【解析】:利用换底公式以及对数的运算性质求解.【解答】:解:log 412= log 612log 64 = log 62+12log 62 = 1+a2a, 故答案为: 1+a2a .【点评】:本题主要考查了对数的运算性质以及换底公式的应用,是基础题.6.(填空题,0分)已知函数y=(log 2a )x 在R 上是严格减函数,则实数a 的取值范围是 ___ . 【正确答案】:[1](1,2)【解析】:根据指数函数的单调性,可得0<log2a<1,结合对数函数的图象和性质,可得实数a的取值范围.【解答】:解:∵函数y=(log2a)x在R上是严格减函数,∴0<log2a<1,∴1<a<2,故答案为:(1,2).【点评】:本题考查的知识点是指数函数的图象和性质,对数函数的图象和性质,属于基础题.7.(填空题,0分)定义区间[a,b](a<b)的长度为b-a,若关于x的不等式x2-4x+m≤0的解集区间长度为2,则实数m的值为 ___ .【正确答案】:[1]3【解析】:根据题意利用根与系数的关系,以及解集区间长度为2得到关于m的方程,再求出m即可.【解答】:解:因为不等式x2-4x+m≤0的解集区间长度为2,所以Δ=16-4m>0,解得m<4;设方程x2-4x+m=0的解是x1,x2,则x1+x2=4,x1x2=m,因为|x1-x2|=2,所以√(x1+x2)2−4x1x2 =2,所以16-4m=4,解得m=3,所以实数m的值为3.故答案为:3.【点评】:本题考查了不等式与对应方程的应用问题,也考查了根与系数的关系以及转化思想和方程思想,是基础题.8.(填空题,0分)设x,y∈(1,+∞),若log2x、log2y的算术平均值为1,则2x、2y的几何平均值的最小值为 ___ .【正确答案】:[1]4【解析】:由已知结合对数运算性质可求xy,然后结合基本不等式求出x+y的最小值,再由指数运算性质可求.【解答】:解:由题意得,log2x+log2y=2,所以xy=4,所以x+y ≥2√xy =4,当且仅当x=y=2时取等号,则√2x•2y = √2x+y≥4.故答案为:4.【点评】:本题主要考查了对数与指数的运算性质,考查了算术平均数与几何平均数的概念,还考查了利用基本不等式求解最值,属于基础题.9.(填空题,0分)已知函数y=f(x)是R上的奇函数,且是(-∞,0)上的严格减函数,若f(1)=0,则满足不等式(x-1)f(x)≥0的x的取值范围为 ___ .【正确答案】:[1][-1,0]∪{1}【解析】:偶数形结合分类讨论x<1和x≥1即可求解.【解答】:解:函数f(x)是定义在R上的奇函数,且是(-∞,0)上的严格减函数,f(1)=0,可得f(0)=0,f(-1)=0,f(x)在(0,+∞)上单调递增,由于(x-1)f(x)≥0,当x<1时,f(x)≤0,所以-1≤x≤0,当x≥1时,f(x)≥0,所以x=1,综上所述,x的取值范围是[-1,0]∪{1}.故答案为:[-1,0]∪{1}.【点评】:本题主要考查函数奇偶性与单调性的综合,考查不等式的解法,考查分类讨论与数形结合思想的应用,考查运算求解能力,属于基础题.10.(填空题,0分)已知a∈{-2,-1,13,23,43,2},当x∈(-1,0)∪(0,1)时,不等式x a>|x|恒成立,则满足条件的a形成的集合为 ___ .【正确答案】:[1] {−2,23}【解析】:直接利用幂函数的性质进行分类讨论,即可得到答案.【解答】:解:令f(x)=x a,因为当x∈(-1,0)∪(0,1)时,不等式x a>|x|恒成立,则当x∈(-1,0)∪(0,1)时,幂函数f(x)的图象在y=|x|的图象的上方,如果函数f(x)为奇函数,则第三象限有图象,故f(x)不是奇函数,所以a=-1,a= 13不符合题意;当x∈(0,1)时,函数f(x)=x a>x,即1>x1-a,所以1-a>0,解得a<1,所以a= 43,a=2不符合题意.综上所述,满足条件的a形成的集合为{−2,23}.故答案为:{−2,23}.【点评】:本题考查了函数恒成立问题,幂函数图象与性质的应用,要掌握不等式恒成立问题的一般求解方法:参变量分离法、数形结合法、最值法等,属于中档题.11.(填空题,0分)函数y=f(x)(x<0)的反函数为y=f-1(x),且函数g(x)={f(x),x<0log2(x+1),x≥0是奇函数,则不等式f-1(x)≥-2的解集为 ___ .【正确答案】:[1][-log23,0)【解析】:当x<0时-x>0,所以g(-x)=log2(-x+1),再利用函数g(x)的奇偶性可求出f(x)的解析式,进而求出f-1(x)的解析式,注意不要忽视定义域,从而求出不等式f-1(x)≥-2的解集.【解答】:解:当x<0时,-x>0,∴g(-x)=log2(-x+1),又∵g(x)是奇函数,∴g(-x)=-g(x),∴-g(x)=log2(-x+1),即g(x)=-log2(-x+1),∴f(x)=-log2(-x+1)(x<0),令y=-log2(-x+1),x<0,则y<0,∴-x+1=2-y,∴x=1-2-y,∴f-1(x)=1-2-x(x<0),∴1-2-x≥-2,即2-x≤3,∴-x≤log23,∴x≥-log23,又∵x<0,∴-log23≤x<0,即不等式f-1(x)≥-2的解集为[-log23,0),故答案为:[-log 23,0).【点评】:本题主要考查了利用函数的奇偶性求解析式,考查了求反函数,以及解指数不等式,是中档题.12.(填空题,0分)已知函数f (x )=|2x -1|,若函数g (x )=f 2(x )+mf (x )+ 14 有4个零点,则实数m 的取值范围为 ___ . 【正确答案】:[1](- 54,-1)【解析】:由函数解析式画出函数图象,再令t=f (x ),将g (x )转化为t 的函数,再由图象求m 的范围即可.【解答】:解:由函数f (x )=|2x -1|,如图所示;令t=f (x ), 则h (t )=t 2+mt+ 14, 则h (t )=0,t 最多有两解, 而t=f (x )关于x 最多有两解,故g (x )=0有4解时,必对应h (t )与f (x )均有2解, f (x )=t 有两解,如图, 只要t∈(0,1)即可,故原问题转化为h (t )=0的根t 1,t 2∈(0,1),且t 1≠t 2, 由于h (t )过(0, 14 ), 对称轴t=- m2 必在(0,1)内, 且顶点处h (t )<0,且h (1)>0, 即 {0<−m 2<1ℎ(−m 2)=1−m 24<0ℎ(1)=54+m >0 ,即- 54 <m <-1,,-1).故答案为:(- 54【点评】:本题考查函数的零点与方程的关系,属于中档题.13.(单选题,0分)已知陈述句α是β的必要非充分条件,集合M={x|x满足α},集合N={x|x满足β},则M与N之间的关系为()A.M⊂NB.M⊃NC.M=ND.M∩N=∅【正确答案】:B【解析】:利用充要条件与集合间关系的转化即可求解.【解答】:解:∵α是β的必要非充分条件,集合M={x|x满足α},集合N={x|x满足β},∴N⫋M,故选:B.【点评】:本题考查了充要条件与集合间关系的转化,考查了推理能力与计算能力,属于基础题.14.(单选题,0分)若log3m<log3n且log m3<log n3,则实数m、n满足的关系式为()A.0<m<n<1B.0<n<m<1C.0<m<1<nD.1<m<n【正确答案】:C【解析】:根据对数函数的图象和性质即可判断.【解答】:解:∵log3m<log3n,∴0<m<n,∵log m3<log n3,∴0<m<1,n>1,∴0<m<1<n.故选:C.【点评】:本题考查了对数函数的图象和性质,属于基础题.15.(单选题,0分)设a1、a2、b1、b2、c1、c2都是非零实数,不等式a1x2+b1x+c1>0的解集为A,不等式a2x2+b2x+c2>0的解集为B,则“A=B是“ a1a2=b1b2=c1c2>0”的()A.充分非必要条件B.必要非充分条件C.充分必要条件D.既非充分又非必要条件【正确答案】:B【解析】:根据不等式的基本性质,充分必要条件的定义判断即可.【解答】:解:① 当A=B=∅时,不等式a1x2+b1x+c1>0和a2x2+b2x+c2>0可能是不同的不等式,则a1a2=b1b2=c1c2>0不一定成立,∴充分性不成立,② 若a1a2=b1b2=c1c2=k>0时,则不等式a1x2+b1x+c1>0⇔ka2x2+kb2x+kc2>0⇔a2x2+b2x+c2>0,∴A=B,∴必要性成立,∴A=B是a1a2=b1b2=c1c2>0的必要不充分条件,故选:B.【点评】:本题考查充要条件的判断,不等式的基本性质,属于中档题.16.(单选题,0分)定义在R上的函数y=f(x)的表达式为f(x)= {x2,x∈Qx,x∈Q,给出下列3个判断:(1)函数y=f(x)是非奇非偶函数;(2)当a<0且a∈Q时,方程f(x)=a无解;(3)当a>0时,方程f(x)=a至少有一解;其中正确的判断有()A.0个B.1个C.2个D.3个【正确答案】:C【解析】:根据函数表达式,分别讨论变量是有理数和无理数,即可得到结论.【解答】:解:(1)若x∈Q,则-x∈Q,则f(-x)=x2=f(x),此时为偶函数,若x∈ Q,则-x∈ Q,则f(-x)=-x=-f(x),此时为奇函数,综上y=f(x)是非奇非偶函数,故(1)正确,(2)当a<0且a∈Q时,f(x)=x2≥0,则方程f(x)=a无解,故(2)正确,(3)当a>0时,若a∈Q,则由f(x)=a2=a,得a=1,若a∈ Q,则由f(x)=x=a,得x=a只有一解,故(3)错误,故选:C.【点评】:本题主要考查命题的真假判断,根据分段函数的表达式,利用分类讨论思想进行判断是解决本题的关键,是中档题.17.(问答题,0分)已知集合A={x||x-a|≤2},不等式2x−1x+2≥1的解集为B.(1)用区间表示B;(2)若全集U=R,且A∩ B =A,求实数a的取值范围.【正确答案】:【解析】:(1)根据题意,分析可得2x−1x+2≥1⇔ x−3x+2≥0⇔(x-3)(x+2)≥0且x+2≠0,解可得集合B,即可得答案;(2)根据题意,求出集合A以及B,由A∩ B =A可得A⊆ B,由此分析可得答案.【解答】:解:(1)根据题意,2x−1x+2≥1⇔ x−3x+2≥0⇔(x-3)(x+2)≥0且x+2≠0,解可得:x<-2或x≥3,即B=(-∞,-2)∪[3,+∞);(2)由(1)的结论,B=(-∞,-2)∪[3,+∞),则B =[-2,3),A={x||x-a|≤2}=[a-2,a+2],若A∩ B =A,则A⊆ B,则有-2≤a-2<a+2<3,解可得:0≤a<1,即a的取值范围为[0,1).【点评】:本题考查不等式的解法,涉及集合之间的关系,属于基础题.18.(问答题,0分)已知a 、b 都是正实数,且 b a =b-a .(1)求证:a >1;(2)求b 的最小值.【正确答案】:【解析】:(1)根据已知条件,结合不等式的性质,即可求解.(2)根据已知条件,结合换元法和基本不等式的公式,即可求解.【解答】:证明:(1)∵ b a =b-a ,∴ b (1−1a )=a ,又∵a ,b 都是正实数,∴ (1−1a )>0 ,∴ 1a <1 ,又∵a >0,∴a <1,即得证.(2)∵ b a =b-a ,∴ b (1−1a )=a ,∵a >1,∴ b =a 2a−1 ,令t=a-1(t >0),则b= a 2a−1 = (t+1)2t =t +1t +2≥2√t •1t +2=4 , 当且仅当t=a-1=1,即a=2时,取得最小值,所以a=2时,b 的最小值为4.【点评】:本题主要考查不等式的证明,掌握基本不等式是解本题的关键,属于基础题.19.(问答题,0分)设函数y=f (x )的表达式为f (x )=x 2+|x-a|,其中a 为实常数.(1)判断函数y=f (x )的奇偶性,并说明理由;(2)设a >0,函数g (x )=f (x )x 在区间(0,a]上为严格减函数,求实数a 的最大值.【正确答案】:【解析】:(1)利用奇函数与偶函数的定义,分a=0和a≠0两种情况讨论即可;(2)利用函数单调性的定义分析,列出关于a 的不等式组,求解即可.【解答】:解:(1)函数f (x )=x 2+|x-a|的定义域为R ,关于原点对称,f (-x )=(-x )2+|-x-a|=x 2+|x+a|,当a=0时,f (-x )=f (x ),则f (x )为偶函数,当a≠0时,f (-x )≠f (x )且f (-x )≠-f (x ),则f (x )为非奇非偶函数.(2)当x∈(0,a]时, g (x )=f (x )x =x 2+|x−a|x =x +a x −1 , 设0<x 1<x 2≤a ,则 g (x 1)−g (x 2)=x 1+a x 1−x 2−a x 2 = (x 1−x 2)(x 1x 2−a )x 1x 2 ,因为0<x 1<x 2≤a ,所以x 1-x 2<0且0<x 1x 2<a 2,因为函数g (x )在区间(0,a]上为严格减函数,所以x 1x 2-a <0恒成立,即a >x 1x 2恒成立,所以 {a ≥a 2a >0,解得0<a≤1, 故a 的最大值为1.【点评】:本题考查了奇偶性的判断,函数单调性的应用,函数单调性定义的理解与应用,判断函数奇偶性时要先判断函数的定义域是否关于原点对称,考查了逻辑推理能力与化简运算能力,属于中档题.20.(问答题,0分)已知非空集合S 的元素都是整数,且满足:对于任意给定的x ,y∈S (x 、y 可以相同),有x+y∈S 且x-y∈S .(1)集合S能否为有限集,若能,求出所有有限集,若不能,请说明理由;(2)证明:若3∈S且5∈S,则S=Z.【正确答案】:【解析】:(1)分a∈S,且a≠0和a∈S,且a=0两种情况分别验证即可;(2)结合条件,由5∈S,3∈S,首先证得2的所有整数倍的数都是S中的元素,又3-2=1∈S,所以x=2k+l,k∈Z也是集合S中的元素,即{x|x=2k+1,k=Z}⫋S,所以有{x|x=2k,k∈Z}U{x|x=2k+1,k∈Z}=Z,即证得S=Z.【解答】:解:(1)能,理由如下:若a∈S,且a≠0,由题意知a的所有整数倍的数都是S中的元素,所以S是无限集;若a∈S,且a=0,则S={0},x+y∈S,x-y∈S符合题意,且S={0}是有限集,所以集合S能为有限集,即S={0};(2)证明:因为非空集合S的元素都是整数,且x+y∈Z,x-y∈Z,由5∈S,3∈S,所以5-3=2∈S,所以3-2=l∈S,所以1+1=2∈S,1+2=3∈S,1+3=4∈S,…,1-1=0∈S,0-1=-1∈S,-1-1=-2∈S,-2-1=-3∈S…,所以非空集合S是所有整数构成的集合,由5∈S,3∈S,所以5-3=2∈S,因为x+y∈S,x-y∈S,所以2+2=4∈S,2-2=0∈S,2+4=6∈S,2-4=-2∈S,2+6=8∈S,2-6=-4∈S,…,所以2的所有整数倍的数都是S中的元素,即{x|x=2k,k∈Z}⫋S,且3-2=1∈S,所以x=2k+l,k∈Z也是集合S中的元素,即{x|x=2k+1,k=Z}⫋S,{x|x=2k,k∈Z}U{x|x=2k+1,k∈Z}=Z,综上所述,S=Z.【点评】:本题考查了元素与集合的关系,属于难题.。
2020年上海市格致中学高一上数学周练卷一 2020.09.04一. 填空题1. 方程组20x y x y +=⎧⎨-=⎩的解构成的集合为2. 已知集合2{,2,}A x x x =-且x ∈Z ,若||3x ≤,则满足条件的x 所形成的集合B 用列举法表示为B =3. 已知:x a α≥,:3x β>,若αβ⇒,则实数a 的取值范围是4. 设全集U =R ,{|21}A x x a =>-,{|}B x x a =>,若A ∩B ≠∅,则实数a 的取值范围是5. 已知全集{|010,}U x x x =<<∈N ,若{1}A B =,{2,4,9}A B =,A B ={1,2,4,6,7,9},则B =6. 若{|2}A x x =>-,{|,}B x x b b =≤∈R ,则AB =R 的充要条件是 ,A B =R 的一个必要 非充分条件是 ,A B =R 的一个充分非必要条件是7. 设集合A 是整数集的一个非空子集,对于任意的k A ∈,如果1k A +∉且1k A -∉,则称k 为集合A 的一个 “孤立元”,给定集合{|09,}M x x x =<≤∈N ,由M 中的3个元素组成的所有集合中,不含有“孤立元” 的集合共有 个8. 定义集合A 与B 的差:{|A B x x A -=∈且}x B ∉,对称差:()()A B A B B A ∇=--,已知集合{(,)|1}A x y y x ==+,5{(,)|1}4y B x y x -==-,则A B ∇= 9. 用符号“⇒”或“⇔”或“⇐”将下列各题中的α、β之间关系连接起来:(1)2:9x α=,:3x β=或3x =-,则α β(2):α整数k 是3的倍数,:β整数k 是9的倍数,则α β(3):α集合A ∩B =∅,:A β=∅或B =∅,则α β(4):0m α≤,:β关于x 的方程220x x m -+=有实根,则α β10. 若规定12310{,,,,}E a a a a =⋅⋅⋅的子集12{,,,}l nl l a a a ⋅⋅⋅为E 的第k 个子集,其中k =12111222n l l l ---++⋅⋅⋅+, 则E 的第211个子集为二. 选择题11. 给出下列说法:(1){0}是空集;(2)集合6{|,}x x x∈∈N Q 是有限集;(3)空集不存在子集; (4){|21,}{|21,}x x k k x x k k =+∈==-∈Z Z ; 其中正确的说法个数为( )A. 1个B. 2个C. 3个D. 4个12. 设关于x 的不等式110a x b +>的解集为A ,关于x 的不等式220a x b +>的解集为B ,则“A B =”是 “1122a b a b =”的( ) A. 充分非必要条件 B. 必要非充分条件 C. 充要条件 D. 既非充分又非必要条件13.“a 、b 都不为0”的充分非必要条件是( )A. 0ab >B. 0ab ≠C. 220a b +>D. 0a b +>14. 集合2{|()()0}S x x a x bx c =+++=,2{|(1)(1)0}T x ax cx bx =+++=,其中a 、b 、c 都是实数, 若||S 、||T 分别为S 、T 的元素个数,则下列结论中一定成立的是( )A. 若||0T =,则||1S =B. 若||1S =,则||1T =C. 若||2S =,则||2T =D. 若||3T =,则||2S =三. 解答题15.(1)设:24a x α<≤,:231x a β≤≤+,若α是β的充分非必要条件,求实数a 的取值范围;(2)设集合{|24}A x a x =<≤,集合{|231}B x x a =<<+,若A B ⊂,求实数a 的取值范围.16. 已知U =R ,集合2{|0}A x x px q =++=,2{|10}B x qx px =++=,且集合A 、B 同时满足:(1)A ∩B ≠∅;(2)A ∩B ={−2};其中p 、q 都为不等于零的实数,求实数p 、q 的值.17.(1)已知,,a b c ∈R ,证明:若1a b c ++<,则a 、b 、c 中至少有一个小于13; (2)已知,,a b c ∈R ,判断“1a b c ++<”是“a 、b 、c 中至少有一个小于13”的什么条件?并说明理由.18. 设集合1234{,,,}A a a a a =,22221234{,,,}B a a a a =,其中1a 、2a 、3a 、4a 都是正整数,且1234a a a a <<<. (1)若A ∩B ={a 1,a 4}且1410a a +=,求1a 与4a 的值;(2)在(1)的条件下,若A B 中所有元素的和为124,求集合A .参考答案一. 填空题1. {(1,1)}2. {3,2,1,3}--3. 3a >4. 1a <5. {3,5,6,7,8}6. 2b ≥-,3b ≥-(答案不唯一),1b ≥-(答案不唯一)7. 78. {(4,5)} 9.(1)⇔;(2)⇐;(3)⇐;(4)⇒ 10. 12578{,,,,}a a a a a二. 选择题11. A 12. D 13. A14. A 三. 解答题15.(1)1a ≥;(2)1a >.16. 1p =,2q =-或3p =,2q =.17.(1)证明略;(2)充分不必要.18.(1)11a =,49a =;(2){1,3,5,9}A =.。
2020-2021学年上海市黄浦区格致中学高一(上)期中数学试卷试题数:21.满分:1001.(填空题.3分)当a<b时.化简√(a−b)2 =___ .2.(填空题.3分)已知全集U={0.1.2.3.4}.集合A={x|x2-3x+2≤0.x∈Z}.则A =___ .3.(填空题.3分)已知a>1.比较大小√a√a ___ 1log312+2log122.4.(填空题.3分)命题“设a.b∈R.若a+b<4.则a<2或b≤2”是___ 命题.(填“真”或“假”)5.(填空题.3分)已知x>0.y>0.且2x+5y=20.则lgx+lgy的最大值为___ .6.(填空题.3分)设不等式|x-a|<b的解集为{x|-1<x<2}.当m>0时.用根式表示m ab=___ .7.(填空题.3分)已知关于x的不等式kx2-kx+1≥0的解集为R.则实数k的取值范围是___ .8.(填空题.3分)测量地震级别的里氏震级M的计算公式为:M=lgA-lgA0.其中A是测震仪记录的地震曲线的最大振幅.常数A0是相应的标准地震的振幅.假设在一次地震中.测震仪记录的最大振幅是1000.而此次地震的里氏震级恰好为6级.那么里氏9级地震的最大的振幅是里氏5级地震最大振幅的___ 倍.9.(填空题.3分)若关于x的不等式组{(2x−3)(x+1)≤0x>a没有整数解.则实数a的取值范围是___ .10.(填空题.3分)已知M= m2+1m−1.其中m>1.则M的最小值为___ .11.(填空题.3分)定义:对于非空集合A.若元素x∈A.则必有(m-x)∈A.则称集合A为“m和集合”.已知集合B={1.2.3.4.5.6.7}.则集合B所有子集中.是“8和集合”的集合有___ 个.12.(填空题.3分)研究问题:“已知关于x的不等式ax2-bx+c>0的解集为(1.2).则关于x的不等式cx2-bx+a>0有如下解法:由ax2−bx+c>0⇒a−b(1x )+c(1x)2>0 .令y=1x.则y∈(12,1) .所以不等式cx2-bx+a>0的解集为(12,1).参考上述解法.已知关于x的不等式k x+a +x+bx+c<0的解集为(-2.-1)∪(2.3).则关于x的不等式kxax−1+bx−1cx−1<0的解集 ___ .13.(单选题.4分)如果a<b<0.那么下列不等式中正确的是()A. ab<1B.a2>abC. 1b2<1a2D.- 1a < 1b14.(单选题.4分)下列表示图中的阴影部分的是( )A.(A∪C )∩(B∪C )B.(A∪B )∩(A∪C )C.(A∪B )∩(B∪C )D.(A∪B )∩C15.(单选题.4分)已知a.s.t 都是正实数.且a≠1.下列运算一定正确的是( ) A.a s +a t =a s+t B.a s a t =a s+tC.log a s+log a t=log a (s+t )D.log a s•log a t=log a (st )16.(单选题.4分)已知a 1.a 2.b 1.b 2.c 1.c 2均为非零实数.则“ a 1a 2=b 1b 2=c1c 2”是“关于x 的方程a 1x 2+b 1x+c 1=0与a 2x 2+b 2x+c 2=0解集相同”的( ) A.充分非必要条件 B.必要非充分条件 C.充要条件D.既非充分又非必要条件17.(问答题.6分)解不等式组 {|4x +1|>21x≥3 .18.(问答题.8分)艺术中心要用木料制作如图所示的框架.框架下部是边长分别为x.y (单位:米)的矩形.上部是等腰直角三角形.要求框架围成的总面积为8平方米.问:总用料最省时.用料为多少米?此时x.y 分别为多少米?(最后结果精确到0.01)19.(问答题.10分)已知p:关于x的一元二次方程x2-2 √3 x+|m-2|=0有两个不相等的实数根.q:关于x的一元二次方程x2-mx+|a+1|+|a-3|=0对于任意实数a都没有实数根.(1)若p成立.求实数m的取值范围;(2)若p和q中有且只有一个成立.求实数m的取值范围.20.(问答题.10分)已知有限集A=(a1.a2.…….a n)(n≥2.n∈N).如果中A元素a i(i=1.2.….n)满足a1+a2+…+a n=a1×a2×……×a n.就称A为“完美集”.(1)如果方程:x2-bx+5=0的解集是一个“完美集”.求log √5 b的值.(2)利用反证法证明:若a1.a2是两个不同的正数.且{a1.a2}是“完美集”.则a1.a2至少有一个大于2.21.(问答题.14分)已知一元二次函数f(x)=ax2+bx+c(a>0.c>0)的图象与x轴有两个不同的公共点.其中一个公共点的坐标为(c.0).且当0<x<c时.恒有f(x)>0.时.求出不等式f(x)<0的解;(1)当a=1. c=12(2)求出不等式f(x)<0的解(用a.c表示);(3)若以二次函数的图象与坐标轴的三个交点为顶点的三角形的面积为8.求a的取值范围;(4)若不等式m2-2km+1+b+ac≥0对所有k∈[-1.1]恒成立.求实数m的取值范围.2020-2021学年上海市黄浦区格致中学高一(上)期中数学试卷参考答案与试题解析试题数:21.满分:1001.(填空题.3分)当a<b时.化简√(a−b)2 =___ .【正确答案】:[1]b-a【解析】:根据a-b的符号.去绝对值求出答案即可.【解答】:解:a<b即a-b<0.故√(a−b)2 =|a-b|=b-a.故答案为:b-a.【点评】:本题考查了二次根式的性质.考查转化思想.是一道基础题.2.(填空题.3分)已知全集U={0.1.2.3.4}.集合A={x|x2-3x+2≤0.x∈Z}.则A =___ .【正确答案】:[1]{0.3.4}【解析】:可求出集合A.然后进行补集的运算即可.【解答】:解:∵全集U={0.1.2.3.4}.A={x|1≤x≤2.x∈Z}={1.2}.∴ A={0,3,4}.故答案为:{0.3.4}.【点评】:本题考查了描述法、列举法的定义.一元二次不等式的解法.补集的运算.考查了计算能力.属于基础题.+2log122.3.(填空题.3分)已知a>1.比较大小√a√a ___ 1log312【正确答案】:[1]>+【解析】:根据a>1及指数函数的单调性可得出√a√a>1 .根据对数的运算即可得出1log3122log122=1 .然后即可得出答案.【解答】:解:∵a>1.∴ √a√a=a 34>a0=1 .1log312+2log122=log33log312+log124=log123+log124=1.∴ √a√a>1log312+2log122.故答案为:>.【点评】:本题考查了根式转换成分数指数幂的方法.指数函数的单调性.对数的换底公式.对数的运算性质.考查了计算能力.属于基础题.4.(填空题.3分)命题“设a.b∈R.若a+b<4.则a<2或b≤2”是___ 命题.(填“真”或“假”)【正确答案】:[1]真【解析】:根据不等式的性质即可直接判断.【解答】:解:设a.b∈R.若a+b<4.则a.b至少有一个小于等于2.故若a+b<4.则a<2或b≤2是真命题.故答案为:真.【点评】:本题考查了命题的真假判断.属于基础题.5.(填空题.3分)已知x>0.y>0.且2x+5y=20.则lgx+lgy的最大值为___ .【正确答案】:[1]1【解析】:利用基本不等式先求出xy的范围.再根据对数的运算性质进行化简即可求得最大值.注意等号成立的条件.【解答】:解:∵知x>0.y>0.且2x+5y=20.∴2x+5y=20≥2 √10xy .即xy≤10.当且仅当2x=5y.即x=5.y=2时.取等号.∴lgx+lgy=lgxy≤lg10=1.即最大值为1.故答案为:1.【点评】:本题主要考查了函数的最值及其几何意义.最值问题是函数常考的知识点.属于基础题.6.(填空题.3分)设不等式|x-a|<b的解集为{x|-1<x<2}.当m>0时.用根式表示m ab=___ .【正确答案】:[1] √m34【解析】:先根据|x-a|<b的解集为{x|-1<x<2}.求出a.b的值.再用根式表示m ab即可.【解答】:解:由|x-a|<b.得-b+a<x<a+b.∵|x-a|<b的解集为{x|-1<x<2}.∴-b+a=-1且a+b=2.∴a= 12 .b= 32.∴当m>0时.m ab= √m34.故答案为:√m34.【点评】:本题考查了绝对值不等式的解法.考查了方程思想.属基础题.7.(填空题.3分)已知关于x的不等式kx2-kx+1≥0的解集为R.则实数k的取值范围是___ .【正确答案】:[1][0.4]【解析】:根据题意讨论k=0和k≠0时.求出不等式解集为R时实数k的取值范围.【解答】:解:k=0时.不等式为1≥0.解集为R.满足题意;k≠0时.应满足{k>0△=(−k)2−4k×1≤0.解得0<k≤4;综上知.实数k的取值范围是[0.4].故答案为:[0.4].【点评】:本题考查了含有字母系数的不等式恒成立应用问题.是基础题.8.(填空题.3分)测量地震级别的里氏震级M的计算公式为:M=lgA-lgA0.其中A是测震仪记录的地震曲线的最大振幅.常数A0是相应的标准地震的振幅.假设在一次地震中.测震仪记录的最大振幅是1000.而此次地震的里氏震级恰好为6级.那么里氏9级地震的最大的振幅是里氏5级地震最大振幅的___ 倍.【正确答案】:[1]10000【解析】:根据题意中的假设.可得M=lgA-lgA0=lg1000-lgA0=6;设9级地震的最大的振幅是x.5级地震最大振幅是y.9=lgx+3.5=lgy+3.由此知9级地震的最大的振幅是5级地震最大振幅的10000倍.【解答】:解:根据题意.假设在一次地震中.测震仪记录的最大振幅是1000.此次地震的里氏震级恰好为6级.则M=lgA-lgA 0=lg1000-lgA 0=3-lgA 0=6.解得:lgA 0=-3. 设9级地震的最大的振幅是x.5级地震最大振幅是y. 9=lgx+3.5=lgy+3.解得x=106.y=102. ∴ x y=106102=10000. 故答案为:10000.【点评】:本题考查对数的运算法则.解题时要注意公式的灵活运用.9.(填空题.3分)若关于x 的不等式组 {(2x −3)(x +1)≤0x >a 没有整数解.则实数a 的取值范围是___ .【正确答案】:[1]a≥1【解析】:先求出不等式(2x-3)(x+1)≤0的解集.然后确定不等式组的解集.进而确可求a 的范围.【解答】:解:由(2x-3)(x+1)≤0可得-1 ≤x ≤32 .其中有整数-1.0.1. 因为不等式组 {(2x −3)(x +1)≤0x >a 没有整数解.故不等式组的解集a <x ≤32 且其范围内没有整数. 故a≥1. 故答案为:a≥1.【点评】:本题主要考查了二次不等式的求解.属于基础试题. 10.(填空题.3分)已知M= m 2+1m−1 .其中m >1.则M 的最小值为___ .【正确答案】:[1]2 √2 +2【解析】:M= m 2+1m−1 =(m-1)+ 2m−1 +2.根据基本不等式即可求出.【解答】:解:∵m >1 ∴M= m 2+1m−1 =(m−1)2+2(m−1)+2m−1 =(m-1)+ 2m−1 +2≥2 √2 +2.当且仅当m-1= 2m−1 时.即m=1+ √2 时取等号. 故M 的最小值为2 √2 +2.故答案为:2 √2 +2.【点评】:本题考查了基本不等式的应用.关键掌握应用基本不等式的基本条件.一正二定三相等.属于基础题.11.(填空题.3分)定义:对于非空集合A.若元素x∈A.则必有(m-x)∈A.则称集合A为“m和集合”.已知集合B={1.2.3.4.5.6.7}.则集合B所有子集中.是“8和集合”的集合有___ 个.【正确答案】:[1]15【解析】:考察子集的概念以及对数学新概念的理解.由x∈A及(m-x)∈A可以得到两个数之和为m的元素必须同时出现在集合A中.【解答】:解:①含有1个元素的“8和集合”:{4};② 含有2个元素的“8和集合”:{1.7}.{2.6}.{3.5};③ 含有3个元素的“8和集合”:{1.4.7}.{2.4.6}.{3.4.5};④ 含有4个元素的“8和集合”:{1.7.2.6}.{1.7.3.5}.{2.6.3.5};⑤ 含有5个元素的“8和集合”:{1.7.2.6.4}.{1.7.3.5.4}.{2.6.3.5.4};⑥ 含有6个元素的“8和集合”:{1.7.2.6.3.5};⑦ 含有7个元素的“8和集合”:{1.7.2.6.3.5.4}.【点评】:除了列举法解法.还可以把(1.7).(2.6).(3.5)和4看成四个元素.把此题看成求含有4个元素集合的非空子集个数的问题.利用含有n个元素的集合非空子集个数为2n-1来求解.即“8和集合”的个数为24-1=15.12.(填空题.3分)研究问题:“已知关于x的不等式ax2-bx+c>0的解集为(1.2).则关于x的不等式cx2-bx+a>0有如下解法:由ax2−bx+c>0⇒a−b(1x )+c(1x)2>0 .令y=1x.则y∈(12,1) .所以不等式cx2-bx+a>0的解集为(12,1).参考上述解法.已知关于x的不等式k x+a +x+bx+c<0的解集为(-2.-1)∪(2.3).则关于x的不等式kxax−1+bx−1cx−1<0的解集 ___ .【正确答案】:[1] (−12,−13)∪(12,1)【解析】:先明白题目所给解答的方法:ax2-bx+c>0化为a−b(1x )+c(1x)2>0 .类推为cx2-bx+a>0.解答不等式;然后依照所给定义解答题目即可.【解答】:解:关于x的不等式ka+x + b+xc+x<0的解集为(-2.-1)∪(2.3).用−1x 替换x.不等式可以化为:k(−1x)+a+(−1x)+b(−1x)+c=kxax−1+bx−1cx−1<0可得−1x∈(−2,−1)∪(2,3)可得12<x<1或−12<x<−13故答案为:(−12,−13)∪(12,1).【点评】:本题是创新题目.考查理解能力.读懂题意是解答本题关键.将方程问题和不等式问题进行转化是解答本题的关键.13.(单选题.4分)如果a<b<0.那么下列不等式中正确的是()A. ab<1B.a2>abC. 1b2<1a2D.- 1a <1b【正确答案】:B【解析】:由不等式的性质逐一判断即可.【解答】:解:若a<b<0.则ab>1.故A错误;若a<b<0.则a2>ab.故B正确;若a<b<0.则a+b<0.a-b<0.所以1b2 - 1a2= a2−b2a2b2= (a+b)(a−b)a2b2>0.即1b2>1a2.故C错误;若a<b<0.则- 1a >0>1b.故D错误.故选:B.【点评】:本题主要考查不等式的基本性质.属于基础题.14.(单选题.4分)下列表示图中的阴影部分的是()A.(A∪C)∩(B∪C)B.(A∪B)∩(A∪C)C.(A∪B)∩(B∪C)D.(A∪B)∩C【正确答案】:A【解析】:由韦恩图分析阴影部分表示的集合.关键是要分析阴影部分的性质.先用自然语言将其描述出来.再根据集合运算的定义.将共转化为集合语言.再去利用集合运算的方法.对其进行变形和化简.【解答】:解:图中阴影部分表示元素满足:是C中的元素.或者是A与B的公共元素故可以表示为C∪(A∩B)也可以表示为:(A∪C)∩(B∪C)故选:A.【点评】:韦恩图是分析集合关系时.最常借助的工具.其特点是直观.要分析韦恩图分析阴影部分表示的集合.要先分析阴影部分的性质.先用自然语言将其描述出来.再根据集合运算的定义.将共转化为集合语言.再去利用集合运算的方法.对其进行变形和化简.15.(单选题.4分)已知a.s.t都是正实数.且a≠1.下列运算一定正确的是()A.a s+a t=a s+tB.a s a t=a s+tC.log a s+log a t=log a(s+t)D.log a s•log a t=log a(st)【正确答案】:B【解析】:根据指数幂的运算性质以及对数的运算性质判断即可.【解答】:解:根据指数幂的运算性质得:A错误.B正确;根据对数的运算性质得:C.D错误;故选:B.【点评】:本题考查了指数幂的运算性质以及对数的运算性.是一道基础题.16.(单选题.4分)已知a1.a2.b1.b2.c1.c2均为非零实数.则“ a1a2=b1b2=c1c2”是“关于x的方程a1x2+b1x+c1=0与a2x2+b2x+c2=0解集相同”的()A.充分非必要条件B.必要非充分条件C.充要条件D.既非充分又非必要条件 【正确答案】:A【解析】:根据方程的性质.我们可以判断“a 1a 2=b 1b 2=c 1c 2”⇒“关于x 的方程 a 1x 2+b 1x +c 1=0与 a 2x 2+b 2x +c 2=0 解集相同”;根据方程的解集可能为空集.可判断“M=N”⇒“ a1a 2=b1b 2=c1c 2”的真假.进而得到答案.【解答】:解:∵“ a 1a 2=b 1b 2=c 1c 2”时.对应项系数成比例.对应方程的解集相同.即“ a 1a 2=b 1b 2=c1c 2”是“M=N”的充分条件但当“M=N=∅”时.不等式a 1x 2+b 1x+c 1=0和a 2x 2+b 2x+c 2=0可能是不同的方程.则“ a 1a 2=b 1b 2=c1c 2”不一定成立即“ a 1a 2=b 1b 2=c1c 2”是“M=N”的不必要条件.故“a 1a 2=b 1b 2=c 1c 2”是“M=N”的充分不必要条件. 故选:A .【点评】:本题考查的知识点是充要条件及其判断.属于基础题目. 17.(问答题.6分)解不等式组 {|4x +1|>21x ≥3 .【正确答案】:【解析】:由已知结合绝对值不等式及分式不等式分别求解即可.【解答】:解:由题意可得. {4x +1>21−3x x ≥0 或-4x+1<-2.即 {x >14或x <−340<x ≤13.解得. 14<x≤13.故不等式的解集(14,13].【点评】:本题主要考查了分式不等式及绝对值不等式的求解.属于基础试题.18.(问答题.8分)艺术中心要用木料制作如图所示的框架.框架下部是边长分别为x.y(单位:米)的矩形.上部是等腰直角三角形.要求框架围成的总面积为8平方米.问:总用料最省时.用料为多少米?此时x.y分别为多少米?(最后结果精确到0.01)【正确答案】:【解析】:根据三角形和矩形面积公式得出x和y的关系式.确保有意义求出x的范围得到定义域;根据解析式进而表示出框架用料长度为根据均值不等式求得l的最小值.求得此时的x和y.【解答】:解:由题意得:x•y+ 12x•12x =8(x>0.y>0).∴y= 8x −x4.∵y>0.即8x −x4>0.∴0<x<4 √2 .设框架用料长度为l.则l=2x+2y+ √2x =(32+√2)x+ 16x≥ 2√16(32+√2) = 4√6+4√2 .当且仅当(32+√2)x= 16x.即x=8-4 √2时.取等号.答:故当x为2.343m.y为2.828m时.用料最省.【点评】:本题主要考查了基本不等式在最值问题中的应用.注意取得最值时的条件是否成立.属于中档题.19.(问答题.10分)已知p:关于x的一元二次方程x2-2 √3 x+|m-2|=0有两个不相等的实数根.q:关于x的一元二次方程x2-mx+|a+1|+|a-3|=0对于任意实数a都没有实数根.(1)若p成立.求实数m的取值范围;(2)若p和q中有且只有一个成立.求实数m的取值范围.【正确答案】:【解析】:(1)由题意利用判别式大于零.求得m的范围.(2)求出命题q正确时.m的范围.再分别求得p成立而q不成立、q成立而p不成立时.m的范围.综合可得结论.【解答】:解:(1)若命题p成立.即关于x的一元二次方程x2-2 √3 x+|m-2|=0有两个不相等的实数根.故△=12-4|m-2|>0.求得-1<m<5.(2)由q:关于x的一元二次方程x2-mx+|a+1|+|a-3|=0对于任意实数a都没有实数根.恒成立.可得△′=m2-4(|a+1|+|a-3|)<0.即|a+1|+|a-3|>m24恒成立.-4<m<4.∴4>m24若p成立而q不成立.则4≤m<5.若q成立而p不成立.则-4<m≤-1.综上.当p和q中有且只有一个成立时.则4≤m<5.或-4<m≤-1.【点评】:本题主要考查一元二次方程根的分布与系数的关系.二次函数的性质.属于中档题.20.(问答题.10分)已知有限集A=(a1.a2.…….a n)(n≥2.n∈N).如果中A元素a i(i=1.2.….n)满足a1+a2+…+a n=a1×a2×……×a n.就称A为“完美集”.(1)如果方程:x2-bx+5=0的解集是一个“完美集”.求log √5 b的值.(2)利用反证法证明:若a1.a2是两个不同的正数.且{a1.a2}是“完美集”.则a1.a2至少有一个大于2.【正确答案】:【解析】:(1)设 x1.x2为方程x2-bx+5=0的两根.然后根据条件得到x1+x2=b.x1x2=5且x1+x2=x1x2.再求出b即可得到log√5b的值;(2)假设0<a1≤2 且 0<a2≤2.然后根据条件得到a1+a2>4 或 a1+a2<0.得到矛盾结论.从而证明原命题成立.【解答】:解:(1)设 x1.x2为方程x2-bx+5=0的两根.∵x2-bx+5=0的解集是一个“完美集”.∴x1+x2=b.x1x2=5且x1+x2=x1x2.∴b=5.∴ log√5b=2.(2)证明:假设0<a1≤2 且 0<a2≤2.由a1.a2是两个不同的正数.且{a1.a2}是“完美集”.可知a1+a2=a1a2<(a1+a22)2.∴a1+a2>4 或 a1+a2<0.∴由0<a1≤2 且 0<a2≤2.可得a1+a2≤4与a1+a2>4 或 a1+a2<0矛盾.因此假设不成立.原命题成立.【点评】:本题考查了根与系数的关系和利用反正证明不等式.考查了方程思想.属中档题.21.(问答题.14分)已知一元二次函数f(x)=ax2+bx+c(a>0.c>0)的图象与x轴有两个不同的公共点.其中一个公共点的坐标为(c.0).且当0<x<c时.恒有f(x)>0.(1)当a=1. c=12时.求出不等式f(x)<0的解;(2)求出不等式f(x)<0的解(用a.c表示);(3)若以二次函数的图象与坐标轴的三个交点为顶点的三角形的面积为8.求a的取值范围;(4)若不等式m2-2km+1+b+ac≥0对所有k∈[-1.1]恒成立.求实数m的取值范围.【正确答案】:【解析】:(1)当a=1. c=12时. f(x)=x2+bx+12.f(x)的图象与x轴有两个不同交点.由此能求出 f(x)<0的解集.(2)f(x)的图象与x轴有两个交点.由f(c)=0.设另一个根为x2.由此能求出f(x)<0的解集.(3)由(2)的f(x)的图象与坐标轴的交点分别为(c,0),(1a,0),(0,c) .这三交点为顶点的三角形的面积为S=12(1a−c)c=8 .由此能求出a的取值范围.(4)由f(c)=0.知ac2+bc+c=0.由c>0.知ac+b+1=0.由此能求出实数m的取值范围.【解答】:(本小题满分(14分).(1)(2)小题每题(3分).(3)(4)小题每题4分)解:(1)当a=1. c=12时. f(x)=x2+bx+12.f(x)的图象与x轴有两个不同交点.∵ f(12)=0 .设另一个根为x2.则12x2=12.∴x2=1.则 f(x)<0的解集为(12,1).…(3分)(2)f(x)的图象与x轴有两个交点.∵f(c)=0.设另一个根为x2.则cx2=ca ∴x2=1a.又当0<x<c时.恒有f(x)>0.则1a>c .∴f(x)<0的解集为(c,1a)…(6分)(3)由(2)的f(x)的图象与坐标轴的交点分别为(c,0),(1a,0),(0,c)这三交点为顶点的三角形的面积为S=12(1a−c)c=8 .…(8分)∴ a=c16+c2≤2√16c=18故a∈(0, 18].…(10分)(4)∵f(c)=0.∴ac2+bc+c=0.又∵c>0.∴ac+b+1=0.…(11分)要使m2-2km≥0.对所有k∈[-1.1]恒成立.则当m>0时.m≥(2k)max=2当m<0时.m≤(2k)min=-2当m=0时.02≥2k•0.对所有k∈[-1.1]恒成立从而实数m的取值范围为m≤-2或m=0或m≥2.…(14分)【点评】:本题考查二次函数的性质和应用.综合性强.难度大.解题时要认真审题.注意挖掘题设中的隐含条件.合理地进行等价转化.。
2020-2021上海格致初级中学高中必修一数学上期中试题含答案一、选择题1.设集合{}1,2,4A =,{}240B x x x m =-+=.若{}1A B ⋂=,则B =( ) A .{}1,3- B .{}1,0 C .{}1,3 D .{}1,5 2.f (x)=-x 2+4x +a ,x∈[0,1],若f (x)有最小值-2,则f (x)的最大值( )A .-1B .0C .1D .23.已知(31)4,1()log ,1a a x a x f x x x -+<⎧=⎨≥⎩是(,)-∞+∞上的减函数,那么a 的取值范围是( ) A .(0,1)B .1(0,)3C .11[,)73D .1[,1)74.设函数()2010x x f x x -⎧≤=⎨>⎩,,,则满足()()12f x f x +<的x 的取值范围是( )A .(]1-∞-,B .()0+∞,C .()10-,D .()0-∞,5.若函数()(),1231,1xa x f x a x x ⎧>⎪=⎨-+≤⎪⎩是R 上的减函数,则实数a 的取值范围是( )A .2,13⎛⎫⎪⎝⎭B .3,14⎡⎫⎪⎢⎣⎭C .23,34⎛⎤⎥⎝⎦D .2,3⎛⎫+∞⎪⎝⎭6.已知()201911,02log ,0x x f x x x ⎧+≤⎪=⎨⎪>⎩,若存在三个不同实数a ,b ,c 使得()()()f a f b f c ==,则abc 的取值范围是( ) A .(0,1)B .[-2,0)C .(]2,0-D .(0,1)7.已知定义在R 上的函数()f x 是奇函数且满足,3()(2)32f x f x f ⎛⎫-=-=-⎪⎝⎭,,数列{}n a 满足11a =-,且2n n S a n =+,(其中n S 为{}n a 的前n 项和).则()()56f a f a +=() A .3B .2-C .3-D .28.定义在R 上的奇函数()f x 满足()1(2)f x f x +=-,且在()0,1上()3xf x =,则()3log 54f =( )A .32B .23-C .23D .32-9.已知函数(),1log ,1x a a x f x x x ⎧≤=⎨>⎩(1a >且1a ≠),若()12f =,则12f f⎛⎫⎛⎫= ⎪ ⎪⎝⎭⎝⎭( )A .1-B .12- C .12 D10.已知函数()f x =2log (1),(1,3)4,[3,)1x x x x ⎧+∈-⎪⎨∈+∞⎪-⎩,则函数[]()()1g x f f x =-的零点个数为( ) A .1 B .3 C .4 D .6 11.设0.60.3a =,0.30.6b =,0.30.3c =,则a ,b ,c 的大小关系为( ) A .b a c <<B .a c b <<C .b c a <<D .c b a <<12.已知函数()y f x =在区间(),0-∞内单调递增,且()()f x f x -=,若12log 3a f ⎛⎫= ⎪⎝⎭,()1.22b f -=,12c f ⎛⎫= ⎪⎝⎭,则a 、b 、c 的大小关系为( )A .a c b >>B .b c a >>C .b a c >>D .a b c >> 二、填空题13.已知函数2()121()f x ax x ax a R =+++-∈的最小值为0,则实数a =_________. 14.若函数()f x 满足()3298f x x +=+,则()f x 的解析式是_________.15.已知函数()log ,03,40a x x f x x x >⎧=⎨+-≤<⎩,其中0a >且1a ≠,若函数()f x 的图象上有且只有一对点关于y 轴对称,则a 的取值范围是__________.16.定义在[3,3]-上的奇函数()f x ,已知当[0,3]x ∈时,()34()x xf x a a R =+⋅∈,则()f x 在[3,0]-上的解析式为______. 17.若4log 3a =,则22a a -+= .18.已知312ab +=a b =__________. 19.有15人进家电超市,其中有9人买了电视,有7人买了电脑,两种均买了的有3人,则这两种都没买的有 人.20.甲、乙、丙、丁四个物体同时从某一点出发向同一个方向运动,其路程()(1,2,3,4)i f x i =关于时间(0)x x ≥的函数关系式分别为1()21x f x =-,22()f x x =,3()f x x =,42()log (1)f x x =+,有以下结论:①当1x >时,甲走在最前面;②当1x >时,乙走在最前面;③当01x <<时,丁走在最前面,当1x >时,丁走在最后面; ④丙不可能走在最前面,也不可能走在最后面; ⑤如果它们一直运动下去,最终走在最前面的是甲.其中,正确结论的序号为 (把正确结论的序号都填上,多填或少填均不得分).三、解答题21.已知集合A ={x|2a +1≤x≤3a -5},B ={x|x <-1,或x >16},分别根据下列条件求实数a 的取值范围.(1)A∩B =∅;(2)A ⊆(A∩B ). 22.计算下列各式的值:(Ⅰ)322log 3lg25lg4log (log 16)++- (Ⅱ)2102329273()( 6.9)()()482-----+23.围建一个面积为360m 2的矩形场地,要求矩形场地的一面利用旧墙(利用旧墙需维修),其它三面围墙要新建,在旧墙的对面的新墙上要留一个宽度为2m 的进出口,如图所示,已知旧墙的维修费用为45元/m ,新墙的造价为180元/m ,设利用的旧墙的长度为x (单位:元).(Ⅰ)将y 表示为x 的函数;(Ⅱ)试确定x ,使修建此矩形场地围墙的总费用最小,并求出最小总费用. 24.已知函数()22f x ax ax b =-+()0a >在[]2,3上的值域为[]1,4.(1)求a ,b 的值; (2)设函数()()f xg x x=,若存在[]2,4x ∈,使得不等式()22log 2log 0g x k x -≥成立,求k 的取值范围.25.我校高一年级某研究小组经过调查发现:提高北环隧道的车辆通行能力可有效改善交通状况,在一般情况下,隧道内的车流速度v (单位:千米/小时)是车流密度x (单位:辆/千米,车流密度指每千米道路上车辆的数量)的函数.当隧道内的车流密度达到210辆/千米时,将造成堵塞,此时车流速度为0;当车流密度不超过30辆/千米时,车流速度为60千米/小时,研究表明:当30210x ≤≤时,车流速度v 是车流密度x 的一次函数. (1)求函数()v x 的表达式;(2)当车流密度为多大时,车流量(单位时间内通过某观测点的车辆数,单位:辆/小时) ()()f x x v x =⋅可以达到最大,并求出最大值. 26.计算下列各式的值:(1)()11102327102π20.25927--⎛⎫⎛⎫--+ ⎪ ⎪⎝⎭⎝⎭.(2)()221log 3lg52lg2lg5lg2-++++⋅.【参考答案】***试卷处理标记,请不要删除一、选择题 1.C 解析:C 【解析】∵ 集合{}124A ,,=,{}2|40B x x x m =-+=,{}1A B ⋂= ∴1x =是方程240x x m -+=的解,即140m -+= ∴3m =∴{}{}{}22|40|43013B x x x m x x x =-+==-+==,,故选C2.C解析:C 【解析】因为对称轴2[0,1]x =∉,所以min max ()(0)2()(1)31f x f a f x f a ===-∴==+= 选C.3.C解析:C 【解析】 【分析】要使函数()f x 在(,)-∞+∞上为减函数,则要求①当1x <,()(31)4f x a x a =-+在区间(,1)-∞为减函数,②当1x ≥时,()log a f x x =在区间[1,)+∞为减函数,③当1x =时,(31)14log 1a a a -⨯+≥,综上①②③解方程即可.【详解】令()(31)4g x a x =-+,()log a h x x =.要使函数()f x 在(,)-∞+∞上为减函数,则有()(31)4g x a x =-+在区间(,1)-∞上为减函数,()log a h x x =在区间[1,)+∞上为减函数且(1)(1)g h ≥,∴31001(1)(31)14log1(1)aaag a a h-<⎧⎪<<⎨⎪=-⨯+≥=⎩,解得1173a≤<.故选:C.【点睛】考查分段函数求参数的问题.其中一次函数y ax b=+,当0a<时,函数y ax b=+在R上为减函数,对数函数log,(0)ay x x=>,当01a<<时,对数函数log ay x=在区间(0,)+∞上为减函数.4.D解析:D【解析】分析:首先根据题中所给的函数解析式,将函数图像画出来,从图中可以发现若有()()12f x f x+<成立,一定会有2021xx x<⎧⎨<+⎩,从而求得结果.详解:将函数()f x的图像画出来,观察图像可知会有2021xx x<⎧⎨<+⎩,解得0x<,所以满足()()12f x f x+<的x的取值范围是()0-∞,,故选D.点睛:该题考查的是有关通过函数值的大小来推断自变量的大小关系,从而求得相关的参数的值的问题,在求解的过程中,需要利用函数解析式画出函数图像,从而得到要出现函数值的大小,绝对不是常函数,从而确定出自变量的所处的位置,结合函数值的大小,确定出自变量的大小,从而得到其等价的不等式组,从而求得结果.5.C解析:C【解析】【分析】由题意结合分段函数的解析式分类讨论即可求得实数a的取值范围.【详解】当1x>时,x a为减函数,则01a<<,当1x ≤时,一次函数()231a x -+为减函数,则230a -<,解得:23a >,且在1x =处,有:()12311a a -⨯+≥,解得:34a ≤, 综上可得,实数a 的取值范围是23,34⎛⎤ ⎥⎝⎦. 本题选择C 选项. 【点睛】对于分段函数的单调性,有两种基本的判断方法:一保证各段上同增(减)时,要注意上、下段间端点值间的大小关系;二是画出这个分段函数的图象,结合函数图象、性质进行直观的判断.6.C解析:C 【解析】 【分析】画出函数图像,根据图像得到20a -<≤,1bc =,得到答案. 【详解】()201911,02log ,0x x f x x x ⎧+≤⎪=⎨⎪>⎩,画出函数图像,如图所示:根据图像知:20a -<≤,20192019log log b c -=,故1bc =,故20abc -<≤. 故选:C .【点睛】本题考查了分段函数的零点问题,画出函数图像是解题的关键.7.A解析:A 【解析】由奇函数满足()32f x f x ⎛⎫-=⎪⎝⎭可知该函数是周期为3T =的奇函数, 由递推关系可得:112,21n n n n S a n S a n +-=+=+-, 两式做差有:1221n n n a a a -=--,即()()1121n n a a --=-, 即数列{}1n a -构成首项为112a -=-,公比为2q =的等比数列, 故:()1122,21n n n n a a --=-⨯∴=-+,综上有:()()()()()552131223f a f f f f =-+=-==--=,()()()()66216300f a f f f =-+=-==,则:()()563f a f a +=. 本题选择A 选项.8.D解析:D 【解析】 【分析】由题意结合函数的性质整理计算即可求得最终结果. 【详解】由题意可得:()354f log =()3log 23f +, 则()354f log =()31log 21f -+,且()()331log 21log 21f f +=--, 由于()3log 211,0-∈-,故()()31log 2333log 211log 232f f --=--=-=-,据此可得:()()3312log 21log 213f f +=-=-,()354f log =32-.本题选择D 选项. 【点睛】本题主要考查函数的奇偶性,函数的周期性及其应用等知识,意在考查学生的转化能力和计算求解能力.9.C解析:C 【解析】 【分析】由()12f =,求得2a =,得到函数的解析式,进而可求解1(())2f f 的值,得到答案. 【详解】由题意,函数(),1(1log ,1x a a x f x a x x ⎧≤=>⎨>⎩且1)a ≠,()12f =, 所以()12f a ==,所以()22,1(1log ,1x x f x a x x ⎧≤=>⎨>⎩且1)a ≠, 所以121()222f ==,所以211(())(2)log 222f f f ===,故选C . 【点睛】本题主要考查了函数解析式的求解,以及函数值的运算问题,其中解答中根据题意准确求得函数的解析式,合理利用解析式求解是解答的关键,着重考查了运算与求解能力,属于基础题.10.C解析:C 【解析】 【分析】令[]()()10g x f f x =-=,可得[]()1f f x =,解方程()1f x =,结合函数()f x 的图象,可求出答案. 【详解】令[]()()10g x f f x =-=,则[]()1f f x =,令()1f x =,若2log (1)1x +=,解得1x =或12x =-,符合(1,3)x ∈-;若411x =-,解得5x =,符合[3,)x ∈+∞.作出函数()f x 的图象,如下图,(]1,0x ∈-时,[)()0,f x ∈+∞;()0,3x ∈时,()()0,2f x ∈;[3,)x ∈+∞时,(]()0,2f x ∈. 结合图象,若()1f x =,有3个解;若1()2f x =-,无解;若()5f x =,有1个解. 所以函数[]()()1g x f f x =-的零点个数为4个. 故选:C.【点睛】本题考查分段函数的性质,考查了函数的零点,考查了学生的推理能力,属于中档题.11.B解析:B 【解析】 【分析】根据指数函数的单调性得出0.60.30.30.3<,而根据幂函数的单调性得出0.30.30.30.6<,从而得出a ,b ,c 的大小关系. 【详解】解:0.3xy =Q 在定义域上单调递减,且0.360.<,0.60.30.30.3∴<,又0.3y x∴=在定义域上单调递增,且0.360.<,0.30.30.30.6∴<, 0.60.30.30.30.30.6∴<<,a cb ∴<<故选:B . 【点睛】考查指数函数和幂函数的单调性,以及增函数和减函数的定义.12.B解析:B 【解析】 【分析】由偶函数的性质可得出函数()y f x =在区间()0,∞+上为减函数,由对数的性质可得出12log 30<,由偶函数的性质得出()2log 3a f =,比较出2log 3、 1.22-、12的大小关系,再利用函数()y f x =在区间()0,∞+上的单调性可得出a 、b 、c 的大小关系. 【详解】()()f x f x -=Q ,则函数()y f x =为偶函数,Q 函数()y f x =在区间(),0-∞内单调递增,在该函数在区间()0,∞+上为减函数,1122log 3log 10<=Q ,由换底公式得122log 3log 3=-,由函数的性质可得()2log 3a f =,对数函数2log y x =在()0,∞+上为增函数,则22log 3log 21>=, 指数函数2xy =为增函数,则 1.2100222--<<<,即 1.210212-<<<,1.22102log 32-∴<<<,因此,b c a >>. 【点睛】本题考查利用函数的奇偶性与单调性比较函数值的大小关系,同时也考查了利用中间值法比较指数式和代数式的大小关系,涉及指数函数与对数函数的单调性,考查分析问题和解决问题的能力,属于中等题.二、填空题13.【解析】【分析】设计算可得再结合图象即可求出答案【详解】解:设则则由于函数的最小值为0作出函数的大致图象结合图象得所以故答案为:【点睛】本题主要考查分段函数的图象与性质考查转化思想考查数形结合思想属解析:±1. 【解析】 【分析】 设2()()1()()21g x h x ax g x h x x ax +=+⎧⎨-=+-⎩,计算可得2(),()()()2(),()()g x g x h x f x h x g x h x ≥⎧=⎨<⎩,再结合图象即可求出答案. 【详解】解:设2()()1()()21g x h x ax g x h x x ax +=+⎧⎨-=+-⎩,则22()()1g x x ax h x x ⎧=+⎨=-⎩, 则()()()()()f x g x h x g x h x =++-2(),()()2(),()()g x g x h x h x g x h x ≥⎧=⎨<⎩, 由于函数()f x 的最小值为0,作出函数()g x ,()h x 的大致图象,结合图象,210x -=,得1x =±, 所以1a =±, 故答案为:±1. 【点睛】本题主要考查分段函数的图象与性质,考查转化思想,考查数形结合思想,属于中档题.14.【解析】【分析】设带入化简得到得到答案【详解】设代入得到故的解析式是故答案为:【点睛】本题考查了利用换元法求函数解析式属于常用方法需要学生熟练掌握解析:()32f x x =+ 【解析】 【分析】设32t x =+,带入化简得到()32f t t =+得到答案. 【详解】()3298f x x +=+,设32t x =+ 代入得到()32f t t =+故()f x 的解析式是() 32f x x =+ 故答案为:()32f x x =+ 【点睛】本题考查了利用换元法求函数解析式,属于常用方法,需要学生熟练掌握.15.【解析】将在轴左侧的图象关于轴对称到右边与在轴右侧的图象有且只有一个交点当时一定满足当时必须解得综上的取值范围是点睛:已知函数有零点求参数取值范围常用的方法和思路(1)直接法:直接根据题设条件构建关解析:(0,1)1,4⋃() 【解析】将()f x 在y 轴左侧的图象关于y 轴对称到右边,与()f x 在y 轴右侧的图象有且只有一个交点.当01a <<时一定满足,当1a >时必须log 41a >,解得4a <.综上a 的取值范围是()0,11,4⋃().点睛:已知函数有零点求参数取值范围常用的方法和思路(1)直接法:直接根据题设条件构建关于参数的不等式,再通过解不等式确定参数范围; (2)分离参数法:先将参数分离,转化成求函数值域问题加以解决;(3)数形结合法:先对解析式变形,在同一平面直角坐标系中,画出函数的图象,然后数形结合求解.16.f (x )=4﹣x ﹣3﹣x 【解析】【分析】先根据计算再设代入函数利用函数的奇偶性得到答案【详解】定义在﹣33上的奇函数f (x )已知当x∈03时f (x )=3x+a4x (a∈R)当x =0时f (0)=0解得解析:f (x )=4﹣x ﹣3﹣x【解析】先根据()00f =计算1a =-,再设30x ≤≤﹣ ,代入函数利用函数的奇偶性得到答案. 【详解】定义在[﹣3,3]上的奇函数f (x ),已知当x ∈[0,3]时,f (x )=3x +a 4x (a ∈R ), 当x =0时,f (0)=0,解得1+a =0,所以a =﹣1. 故当x ∈[0,3]时,f (x )=3x ﹣4x .当﹣3≤x ≤0时,0≤﹣x ≤3,所以f (﹣x )=3﹣x ﹣4﹣x ,由于函数为奇函数,故f (﹣x )=﹣f (x ),所以f (x )=4﹣x ﹣3﹣x . 故答案为:f (x )=4﹣x ﹣3﹣x 【点睛】本题考查了利用函数的奇偶性求函数解析式,属于常考题型.17.【解析】【分析】【详解】∵∴∴考点:对数的计算 解析:433【解析】 【分析】 【详解】∵4log 3a =,∴4323a a =⇒=,∴24223333a-+=+=. 考点:对数的计算18.3【解析】【分析】首先化简所给的指数式然后结合题意求解其值即可【详解】由题意可得:【点睛】本题主要考查指数幂的运算法则整体数学思想等知识意在考查学生的转化能力和计算求解能力解析:3 【解析】 【分析】首先化简所给的指数式,然后结合题意求解其值即可. 【详解】 由题意可得:13212233333a b a b aa b a+-+====.【点睛】本题主要考查指数幂的运算法则,整体数学思想等知识,意在考查学生的转化能力和计算求解能力.19.【解析】【分析】【详解】试题分析:两种都买的有人所以两种家电至少买一种有人所以两种都没买的有人或根据条件画出韦恩图:(人)考点:元素与集合的关系 解析:【解析】【详解】试题分析:两种都买的有人,所以两种家电至少买一种有人.所以两种都没买的有人.或根据条件画出韦恩图:(人).考点:元素与集合的关系.20.③④⑤【解析】试题分析:分别取特值验证命题①②;对数型函数的变化是先快后慢当x=1时甲乙丙丁四个物体又重合从而判断命题③正确;指数函数变化是先慢后快当运动的时间足够长最前面的动物一定是按照指数型函数解析:③④⑤【解析】试题分析:分别取特值验证命题①②;对数型函数的变化是先快后慢,当x=1时甲、乙、丙、丁四个物体又重合,从而判断命题③正确;指数函数变化是先慢后快,当运动的时间足够长,最前面的动物一定是按照指数型函数运动的物体,即一定是甲物体;结合对数型和指数型函数的图象变化情况,可知命题④正确.解:路程f i(x)(i=1,2,3,4)关于时间x(x≥0)的函数关系是:,,f3(x)=x,f4(x)=log2(x+1),它们相应的函数模型分别是指数型函数,二次函数,一次函数,和对数型函数模型.当x=2时,f1(2)=3,f2(2)=4,∴命题①不正确;当x=4时,f1(5)=31,f2(5)=25,∴命题②不正确;根据四种函数的变化特点,对数型函数的变化是先快后慢,当x=1时甲、乙、丙、丁四个物体又重合,从而可知当0<x<1时,丁走在最前面,当x>1时,丁走在最后面,命题③正确;指数函数变化是先慢后快,当运动的时间足够长,最前面的动物一定是按照指数型函数运动的物体,即一定是甲物体,∴命题⑤正确.结合对数型和指数型函数的图象变化情况,可知丙不可能走在最前面,也不可能走在最后面,命题④正确.故答案为③④⑤.考点:对数函数、指数函数与幂函数的增长差异.三、解答题21.(1){a|a≤7};(2){a|a<6或a>15 2}【分析】(1)根据A∩B=∅,可得-1≤2a+1≤x≤3a -5≤16,解不等式可得a 的取值范围;(2)由A ⊆(A∩B )得A ⊆B ,分类讨论,A =∅与A≠∅,分别建立不等式,即可求实数a 的取值范围 【详解】(1)若A =∅,则A∩B =∅成立. 此时2a +1>3a -5, 即a <6.若A≠∅,则2135{2113516a a a a +≤-+≥--≤解得6≤a≤7.综上,满足条件A∩B =∅的实数a 的取值范围是{a|a≤7}. (2)因为A ⊆(A∩B ),且(A∩B )⊆A , 所以A∩B =A ,即A ⊆B . 显然A =∅满足条件,此时a <6.若A≠∅,则2135{351a a a +≤--<-或2135{2116a a a +≤-+>由2135{351a a a +≤--<-解得a ∈∅;由2135{2116a a a +≤-+>解得a >152.综上,满足条件A ⊆(A∩B )的实数a 的取值范围是{a|a <6或a >152}. 考点:1.集合关系中的参数取值问题;2.集合的包含关系判断及应用22.(Ⅰ)12;(Ⅱ)12. 【解析】试题分析:(1)根据对数运算法则log ,lg lg lg ,ma a m m n mn =+= 化简求值(2)根据指数运算法则01(),1,m n mn mma a a a a -===,化简求值 试题解析:(Ⅰ)原式()3111log 3lg 254222222=+⨯-=+-=. (Ⅱ)原式1223233343441112292992⎛⎫⨯⨯- ⎪⎝⎭⎛⎫⎛⎫=--+=--+= ⎪ ⎪⎝⎭⎝⎭. 23.(Ⅰ)y =225x +2360360(0)x x-〉n(Ⅱ)当x =24m 时,修建围墙的总费用最小,最小总费用是10440元. 【解析】试题分析:(1)设矩形的另一边长为am ,则根据围建的矩形场地的面积为360m 2,易得360a x=,此时再根据旧墙的维修费用为45元/m ,新墙的造价为180元/m ,我们即可得到修建围墙的总费用y 表示成x 的函数的解析式;(2)根据(1)中所得函数的解析式,利用基本不等式,我们易求出修建此矩形场地围墙的总费用最小值,及相应的x 值 试题解析:(1)如图,设矩形的另一边长为a m 则45x+180(x-2)+180·2a=225x+360a-360由已知xa=360,得a=,所以y=225x+(2).当且仅当225x=时,等号成立.即当x=24m 时,修建围墙的总费用最小,最小总费用是10440元. 考点:函数模型的选择与应用 24.(1)1,1a b == (2) 1,8⎛⎤-∞ ⎥⎝⎦【解析】 【分析】(1)先求得函数()f x 的对称轴,然后根据函数()f x 在[]2,3上的单调性列方程组,解方程组求得,a b 的值.(2)由(1)求得函数()f x 的解析式,进而求得()g x 的解析式,将不等式()22log 2log 0g x k x -≥分离常数2k ,利用换元法,结合二次函数的性质,求得k 的取值范围. 【详解】(1)由已知可得()()21f x a x b a =-+-,对称轴为1x =. 因为0a >,所以()f x 在[]2,3上单调递增,所以()()21,34,f f ⎧=⎪⎨=⎪⎩即1,44,a b a a b a +-=⎧⎨+-=⎩解得1,1,a b =⎧⎨=⎩(2)由(1)可得()221f x x x =-+,则()()12f x g x x x x==+-. 因为()22log 2log 0g x k x -≥,所以2221log 22log log x k x x+-≥. 又[]2,4x ∈,所以()2221221log log k xx ≤-+.令21log t x=,则2221k t t ≤-+. 因为[]2,4x ∈,所以1,12x ⎡⎤∈⎢⎥⎣⎦. 记()221h t t t =-+,1,12t ⎡⎤∈⎢⎥⎣⎦,所以当12t =时,()max 14h t =,所以124k ≤,解得18k ≤,故k 的取值范围是1,8⎛⎤-∞ ⎥⎝⎦.【点睛】本小题主要考查根据二次函数的对称轴、单调性和值域求解析式,考查存在性问题的求解策略,考查化归与转化的数学思想方法,属于中档题.25.(1) 60,030()170,302103x v x x x ≤≤⎧⎪=⎨-+≤≤⎪⎩;(2) 当车流密度为105辆/小时车流量达到最大值3675 【解析】 【分析】(1)根据题意可知, ()v x 为分段函数,且当030x ≤≤时()60v x =,再根据当30x =与210x =时()v x 的值,设()v x ax b =+代入求解即可.(2)根据(1)中的分段函数解析式,求出()()f x x v x =⋅的解析式,再分段求解函数的最大值分析即可. 【详解】(1)由题意可知, 当030x ≤≤时()60v x =,当210x =时, ()0v x =,又当30210x ≤≤时,车流速度v 是车流密度x 的一次函数,故设()v x ax b =+,所以02106030a b a b =+⎧⎨=+⎩,解得1370a b ⎧=-⎪⎨⎪=⎩ ,故当30210x ≤≤时,1()703v x x =-+. 故60,030()170,302103x v x x x ≤≤⎧⎪=⎨-+≤≤⎪⎩. (2)由题, 260,030()()170,302103x x f x x v x x x x ≤≤⎧⎪=⋅=⎨-+≤≤⎪⎩,故当030x ≤≤时,()f x 最大值为(30)1800f =.当30210x ≤≤时, 21703()f x x x -+=开口向下且对称轴为70105123x =-=⎛⎫⨯- ⎪⎝⎭,故此时()f x 最大值为2(105)10517031053675f -⨯+⨯==.综上,当车流密度为105辆/小时车流量达到最大值3675 【点睛】本题主要考查了分段函数与二次函数在实际中的模型运用,需要根据题意设函数方程求解参数,再根据二次函数性质求最值,属于中档题. 26.(1)9512;(2)3. 【解析】 【分析】(1)利用指数的运算法则化简求值.(2)利用对数的运算法则化简求值. 【详解】 (1)原式113113232232232256415415395111892743323412----⎡⎤⎡⎤⎡⎤⎛⎫⎛⎫⎛⎫⎛⎫⎛⎫⎛⎫=--+=--+=--+=⎢⎥⎢⎥⎢⎥ ⎪ ⎪ ⎪ ⎪ ⎪ ⎪⎝⎭⎝⎭⎝⎭⎝⎭⎝⎭⎝⎭⎢⎥⎢⎥⎢⎥⎣⎦⎣⎦⎣⎦(或写成11712). (2)原式()()2log 3111113lg522lg22lg55231322222lg lg lg -=++⋅++=+++⨯=++=. 【点睛】 本题主要考查指数对数的运算法则,意在考查学生对这些知识的掌握水平和分析推理计算能力.。
2020-2021学年上海市格致中学高一上学期10月月考数学试题一、单选题1.若,a b ∈R ,且0ab ≠,则“a b >”是“11a b<”的 A .充分不必要条件 B .必要不充分条件 C .充要条件 D .既不充分也不必要条件【答案】D【解析】根据充分必要条件的定义分别进行判断即可. 【详解】 当0a b >>时,11a b<不成立;当110a b <<时,a b >不成立,所以“a b >”是“11a b<”的既不充分也不必要条件.故选D . 【点睛】本题考查了充分必要条件,考查了不等式的性质,是一道基础题.2.如图,U 为全集,M 、P 、S 是U 的三个子集,则阴影部分所表示的集合是( )A .()M P S ⋂⋂B .()M P S ⋂⋃C .()()UM P S ⋂⋂D .()()UM P S ⋂⋃【答案】C【解析】先根据图中的阴影部分是M∩P 的子集,但不属于集合S ,属于集合S 的补集,然后用关系式表示出来即可. 【详解】图中的阴影部分是: M∩P 的子集,不属于集合S ,属于集合S 的补集,即是C U S 的子集则阴影部分所表示的集合是(M∩P )∩(∁U S). 故选C . 【点睛】本题主要考查了Venn 图表达集合的关系及运算,同时考查了识图能力,属于基础题.3.直角坐标平面中除去两点(1,1)A 、(2,2)B -可用集合表示为( ) A .{(,)|1,1,2,2}x y x y x y ≠≠≠≠-B .1{(,)|1x x y y ≠⎧⎨≠⎩或2}2x y ≠⎧⎨≠-⎩C .2222{(,)|[(1)(1)][(2)(2)]0}x y x y x y -+--++≠D .2222{(,)|[(1)(1)][(2)(2)]0}x y x y x y -+-+-++≠ 【答案】C【解析】直角坐标平面中除去两点(1,1)A 、(2,2)B -,其余的点全部在集合中,逐一排除法. 【详解】直角坐标平面中除去两点(1,1)A 、(2,2)B -,其余的点全部在集合中,A 选项中除去的是四条线1,1,2,2x y x y ====-;B 选项中除去的是(1,1)A 或除去(2,2)B -或者同时除去两个点,共有三种情况,不符合题意;C 选项2222{(,)|[(1)(1)][(2)(2)]0}x y x y x y -+--++≠,则22(1)(1)0x y -+-≠且22(2)(2)0x y -++≠,即除去两点(1,1)A 、(2,2)B -,符合题意;D 选项2222{(,)|[(1)(1)][(2)(2)]0}x y x y x y -+-+-++≠,则任意点(),x y 都不能2222[(1)(1)][(2)(2)]0x y x y -+-+-++=,即不能同时排除A ,B 两点.故选:C 【点睛】本题考查了集合的基本概念,考查学生对集合的识别,属于中档题.4.已知关于x 的不等式组222802(27)70x x x k x k ⎧-->⎨+++<⎩仅有一个整数解,则k 的取值范围为( ) A .(5,3)(4,5)- B .[5,3)(4,5]-C .(5,3][4,5)-D .[5,3][4,5]-【答案】B【解析】求出第一个不等式的解,讨论k 的范围得出第二个不等式的解,根据不等式组只含有一个整数得出第二个不等式解的端点的范围,从而得出k 的范围. 【详解】解:解不等式2280x x -->得2x <-或4x >, 解方程22(27)70x k x k +++=得172x ,2x k =-. (1)若72k -<-即72k >时,不等式22(27)70x k x k +++<的解集是7(,)2k --,若不等式组只有1个整数解,则54k --<-,解得:45k <,(2)若72k ->-即72k <时,不等式22(27)70x k x k +++<的解集是7(2-,)k -,若不等式组只有1个整数解,则35k -<-,解得:53k -<,综上,k 的取值范围是[5-,3)(4⋃,5],故选:B . 【点睛】本题考查了一元二次不等式的解法,分类讨论思想,借助数轴可方便得出区间端点的范围,属于中档题.二、填空题5.若{}2,2,3,4A =-,{}2|,B x x t t A ==∈,用列举法表示B = .【答案】{}4,9,16【解析】解决该试题的关键是对于t 令值,分别得到x 的值,然后列举法表示. 【详解】因为集合{}2,2,3,4A =-,而集合B 中的元素是将集合A 中的元素一一代入,通过平方得到的集合,即{}2|,B x x t t A ==∈,2,4t x ∴=±=;3,9t x ==;4,16t x ==,{}4,9,16B ∴=,那么用列举法表示B ={}4,9,16.本试题主要是考查了集合的描述法与列举法的准确运用,属于基础题.6.方程组2354x y x y -=⎧⎨+=⎩的解集为___________.【答案】{(1,1)}-【解析】由二元一次方程,应用消元法或逆矩阵解方程组求解即可. 【详解】法一:由2354x y x y -=⎧⎨+=⎩,得231028x y x y -=⎧⎨+=⎩,∴两式相加得:1111x =,1x =, 代入23x y -=,得1y =-,法二:由原方程组知:1251A -⎡⎤=⎢⎥⎣⎦,x X y ⎡⎤=⎢⎥⎣⎦,34B ⎡⎤=⎢⎥⎣⎦,∴12||11051A -==≠,即A 可逆,∴1121111511111A -⎡⎤⎢⎥=⎢⎥⎢⎥-⎢⎥⎣⎦,有11231111151411111X A B -⎡⎤⎢⎥⎡⎤⎡⎤===⎢⎥⎢⎥⎢⎥-⎣⎦⎣⎦⎢⎥-⎢⎥⎣⎦ ∴1x =,1y =- 故答案为:{(1,1)}- 【点睛】本题考查了二元一次方程组的解法,分别可用消元法、逆矩阵求解,属于简单题. 7.{|||1,}A y y x x ==-∈R ,2{|28,}B y y x x x ==-++∈R ,A B =___________.【答案】[1,9]-【解析】结合绝对值和二次函数的性质分别求出两函数的值域,从而可求出两集合的交集. 【详解】解:因为0x ≥,所以||11y x =-≥-,即[)1,A =-+∞,因为()2228199y x x x =-++=--+≤,所以(],9B =-∞,所以AB =[1,9]-,故答案为: [1,9]-. 【点睛】本题考查了集合的交集运算,属于基础题.本题的关键是分别化简两集合.8.写出2a >的一个必要非充分条件___________. 【答案】1a >【解析】根据必要非充分条件的定义,知:21a a >⇒>,而1a >不一定有2a >,即1a >是2a >的一个必要非充分条件. 【详解】∵21a a >⇒>,而2a >⇏1a >, ∴1a >是2a >的一个必要非充分条件. 故答案为:1a > 【点睛】本题考查了必要非充分条件,根据定义法写出一个必要非充分条件,属于简单题. 9.已知全集{4,3,1,2,0,1}U =---,2{,1,3}A a a =+-,2{3,21,1}B a a a =--+,若{3}A B ⋂=-,则UA B =___________.【答案】{3,1,0,1}--【解析】根据集合交集的定义,结合集合元素的互异性、集合并集和补集的定义分类讨论进行求解即可. 【详解】因为{3}A B ⋂=-,所以有33a -=-或213a -=-或213a +=-,当33a -=-时,解得0a =,此时{0,1,3}A =-,{3,1,1}B =--,而{3,1}A B ⋂=-,这与已知矛盾,故不符合题意,舍去;当213a -=-时,解得1a =-,此时{0,1,3}A =-,{4,23,}B =--,符合题意,故1a =-;当213a +=-时,此方程无实根,综上所述:1a =-, 所以UAB ={3,1,0,1}--.故答案为:{3,1,0,1}-- 【点睛】本题考查了已知集合交集的结果求参数问题,考查了集合并集和补集的运算,考查了数学运算能力.10.不等式2117x x+≤-的解集为___________.【答案】(,2](7,)-∞+∞【解析】对不等式移项通分,利用公式可得出不等式的解集. 【详解】2117x x +≤-等价于21-107x x +≤-,即3607x x-≤- 化简得()()270x x x --≥,不等于7 则原不等式的解集为(,2](7,)-∞+∞ 故答案为:(,2](7,)-∞+∞ 【点睛】本题考查分式不等式的解集,考查学生计算能力,属于基础题. 11.已知集合{2,1}A =-,{|2,B x ax ==其中,}x a ∈R ,若A B B =,则a 的取值集合为___________. 【答案】{}1,0,2- 【解析】根据A B B =得到,A B 之间的关系,由此确定出可取的a 的值.【详解】 因为AB B =,所以B A ⊆,当B =∅时,0a =;当B ≠∅时,若{}2B =-,则22a -=,所以1a =-;若{}1B =,则2a =. 综上可知:a 的取值集合为{}1,0,2-, 故答案为:{}1,0,2-. 【点睛】本题考查根据集合间的包含关系求解参数,难度一般.分析集合间的子集关系时,注意分析空集的存在.12.已知关于x 的不等式210ax bx +-≥的解集为11[,]23--,则不等式20x bx a --<的解集为___________. 【答案】(3,2)--【解析】由题意知-12,-13是方程210+-=ax bx 的两根,求出65a b =-⎧⎨=⎩,再解不等式得解. 【详解】 由题意知-12,-13是方程210+-=ax bx 的两根, 所以由根与系数的关系得11()23111()23b aa ⎧-+-=-⎪⎪⎨⎪-⨯-=-⎪⎩,解得65a b =-⎧⎨=-⎩. 不等式20x bx a --<即为2560x x ++<, 所以(2)(3)0x x ++< 所以解集为(3,2)--. 故答案为:(3,2)-- 【点睛】本题主要考查一元二次不等式的解法,考查根据一元二次不等式的解集求参数,意在考查学生对这些知识的理解掌握水平.13.若关于x 的不等式2(2)3m x x m +>-+的解集是(3,)+∞,则m 的值为___________. 【答案】5【解析】由题意可得10m ->,22331m m m --=-,由此求得m 的值.【详解】解:关于x 的不等式2(2)3m x x m +>-+的,即2(1)32m x m m ->--,它解集是(3,)+∞,故10m ->,22331m m m --=-,求得5m =,故答案为:5. 【点睛】本题主要考查含参数的一次不等式的解法,属于中档题.14.已知集合2{|()(1)0}M x x a x ax a =--+-=各元素之和等于3,则实数a =___________.【答案】2或32【解析】由题意知M 中各元素为描述中方程的解,由集合的性质讨论23,x x 是否相等即可求实数a . 【详解】由题意知:2{|()(1)0}M x x a x ax a =--+-=中元素,即为2()(1)0x a x ax a --+-=的解,∴0x a -=或210x ax a -+-=,可知:1x a =或23x x a += ∴当23x x ≠时,23a =;当23x x =时,332a =, ∴2a =或32a =, 故答案为:2或32【点睛】本题考查了集合的性质,根据集合描述及元素之和,结合互异性讨论求参数,属于基础题.15.若三个关于x 的方程24430x x a +-+=,225(1)04a x a x ++-+=,2210x ax ++=中至少有一个方程有实根,则实数a 的取值范围为___________.【答案】1(,1][,)4-∞--+∞【解析】结合判别式求出当三个方程都没有实根时的实数a 的取值范围,进而可求出所求答案. 【详解】解:若三个方程都没有实根,则()()2222444316405142404440a a a a a a ⎧∆=--+=+<⎪+⎪∆=--⋅=--<⎨⎪∆=-<⎪⎩,解得114a -<<-,所以当至少有一个方程有实根时,1a ≤-或14a ≥-,故答案为: 1(,1][,)4-∞--+∞. 【点睛】本题考查了方程的实数解的问题,将至少有一个方程转化为都没有实根再求解是解题的关键.16.设数集4{|}5M x m x m =≤≤+,1{|}4N x n x n =-≤≤,且集合M 、N 都是集合{|01}U x x =≤≤的子集,如果把b a -称为非空集合{|}x a x b ≤≤的“长度”,那么集合M N ⋂的“长度”的取值范围为___________. 【答案】11[,]204【解析】根据“长度”定义确定集合,M N 的“长度”,由M N ⋂“长度”最小时,两集合位于集合I 左右两端即可确定结果. 【详解】由“长度”的定义可知:集合M 的长度为45,集合N 的长度为14; 若集合M N ⋂的“长度”最小,则M 与N 分别位于集合I 的左右两端,MN ∴的“长度”的最小值为45411120+-=若集合M N ⋂的“长度”最大,则M 与N 分别重合的部分最多,MN ∴的“长度”的最大值为14则集合M N ⋂的“长度”的取值范围为11[,]204故答案为:11[,]204【点睛】本题考查集合中的新定义运算问题的求解,解题关键是能够确定“长度”最小时,两集合的位置.三、解答题17.已知集合2{|8160,,}A x kx x k x =-+=∈∈R R .(1)若A 只有一个元素,试求实数k 的值,并用列举法表示集合A ; (2)若A 至多有两个子集,试求实数k 的取值范围.【答案】(1)0k =,{2}A =;1k =,{4}A =;(2){}[)01,+∞.【解析】(1)当0k =时,易知符合题意,当0k ≠时,利用0∆=即可求出k 的值; (2)由A 至多有两个子集,可知集合A 中元素个数最多1个,再分0k =和0k ≠两种情况讨论,即可求出实数k 的取值范围. 【详解】(1)①当0k =时,方程化为:8160x -+=,解得2x =, 此时集合{2}A =,满足题意; ②当0k ≠时,方程28160kx x -+=有一个根,∴∆2(8)4160k =--⨯=,解得:1k =,此时方程为28160x x -+=,解得4x =,∴集合{4}A =,符合题意,综上所述,0k =时集合{2}A =;1k =时集合{4}A =; (2)A 至多有两个子集,∴集合A 中元素个数最多1个,①当0k ≠时,一元二次方程28160kx x -+=最多有1个实数根,∴∆2(8)4160k =--⨯,解得1k ,②当0k =时,由(1)可知,集合{2}A =符合题意, 综上所述,实数k 的取值范围为:{}[)01,+∞.【点睛】本题主要考查了集合的表示方法,考查了集合的元素个数,属于基础题. 18.已知a ∈R ,求关于x 的不等式2(21)20ax a x --->的解集. 【答案】见解析【解析】当0a =时,求解一次不等式,当0a ≠时,求出对应方程的根11x a=-,22x ,从而对a 分类讨论一元二次不等式的解集. 【详解】当0a =时,20x ->,∴2x >,则2(21)20ax a x --->的解集为(2,)+∞ 当0a ≠时,解2(21)20ax a x ---=,得11x a =-,22x ①当0a >时,12a-<,则2(21)20ax a x --->的解集为1(,)(2,)a -∞-+∞. ②当0a <时,(1)12a -=,即12a =-,则2(21)20ax a x --->可化简为()220x -<,无解;(2)12a ->,即102a >>-,则2(21)20ax a x --->的解集为1(2,)a -; (3)12a -<,即12a <-,则2(21)20ax a x --->的解集为1(,2)a-; 综上:(1)0a =时,解集为(2,)+∞;(2)当0a >时,解集为1(,)(2,)a -∞-+∞;(3)当12a =-时,无解; (4)当102a >>-时,解集为1(2,)a -; (5)当12a <-时,解集为1(,2)a-. 【点睛】 本题考查含参不等式的求解,涉及一元一次不等式,含参数的一元二次不等式分类讨论,属于基础题.19.已知集合{|2134}A x m x m =+≤≤+,{|17}B x x =≤≤.(1)若A B ⊂,求实数m 的取值范围;(2)若C B Z =,求C 的所有子集中所有元素的和.【答案】(1)(,3)[0,1]-∞-;(2)1792.【解析】(1)根据集合的包含关系求m 的取值范围即可;(2)首先确定子集的个数为72128=,根据元素与集合的关系判断每一个元素存在于多少个子集中,即可求和.【详解】(1)由A B ⊂,知:当A =∅时,2134m m +>+,解得3m <-;当A ≠∅时,2113473421m m m m +≥⎧⎪+≤⎨⎪+≥+⎩,解得01m ≤≤;∴综上,有(,3)[0,1]-∞-.(2){1,2,3,4,5,6,7}C B Z ==,由C 的所有子集的个数为72128=,而对于任意元素子集:在任意子集中存在或不存在,即每一个元素都存在于64个子集中, ∴(1234567)641792++++++⨯=【点睛】本题考查了根据集合包含关系求参数,由元素个数求所有子集中元素之和,利用元素与集合的关系判断元素存在的子集个数,属于基础题.20.设二次函数2()f x ax bx c =++,其中a 、b 、R c ∈. (1)若2(1)b a =+,94c a =+,且关于x 的不等式28200()x x f x -+<的解集为R ,求a 的取值范围;(2)若a 、b 、c Z ∈,且(0)f 、(1)f 均为奇数,求证:方程()0f x =无整数根; (3)若1a =,21b k =-,2c k =,求证:方程()0f x =有两个大于1的根的充要条件是2k <-.【答案】(1)1(,)2-∞-;(2)证明见解析;(3)证明见解析. 【解析】(1)根据不等式解集为R ,结合分式、二次函数的性质即可求参数a 的范围;(2)利用反证法,分类讨论12,x x 都为整数、1x 为整数,2x 不为整数,结合a 、b 的奇偶性即可证明;(3)根据二次方程根的分布列条件求解证明即可.【详解】(1)由28200()x x f x -+<知:2282000x x ax bx c ⎧-+>⎨++<⎩且解集为R , ∴2040a b ac <⎧⎨∆=-<⎩即208210a a a <⎧⎨+->⎩,解得:12a <-. (2)(0)f c =,(1)f abc =++均为奇数,知:+a b 为偶数,∴2()0f x ax bx c =++=有两根为12,x x ,则12b x x a +=-,12c x x a=,1、当a 、b 为偶数时,若12,x x 都为整数,则b 、c 必须同时可被a 整除,显然不成立;若1x 为整数,2x 不为整数,211,ax bx 都为偶数,则2110ax bx c ++≠与题设矛盾;2、当a 、b 为奇数时,若12,x x 都为整数,12b x x a +=-必为奇数,则12,x x 必有一奇一偶,12x x 必为偶数,而c a为奇数,不成立;若1x =11()x ax b c +=-,当1x 为奇数时,1ax b +为偶数,则c 为偶数,与题设矛盾;当1x 为偶数时,1ax b +为奇数,则c 为偶数,与题设矛盾;综上,知:方程()0f x =无整数根;(3)由题意,知:22()(21)f x x k x k =+-+,若()0f x =有两个大于1的根时,有2121220k k k -⎧>⎪⎨⎪+>⎩,解得2k <-;若2k <-时,有()f x 开口向上且对称轴为12522k x -=>,2(1)20f k k =+>,22(21)4149k k k ∆=--=->,所以()0f x =有两个大于1的根;综上,有:方程()0f x =有两个大于1的根的充要条件是2k <-.【点睛】本题考查了根据分式不等式、二次函数的性质求参数范围,应用反证法证明存在性问题,以及定义法证明条件间的充要性.。
2020-2021学年上海市黄浦区格致中学高一(上)10月月考数学试卷试题数:20,总分:1001.(填空题,3分)若A={-2,2,3,4},B={x|x=t2,t∈A},用列举法表示B=___ .2.(填空题,3分)方程组{x−2y=35x+y=4的解集为___ .3.(填空题,3分)A={y|y=|x|-1,x∈R},B={y|y=-x2+2x+8,x∈R},A∩B=___ .4.(填空题,3分)写出a>2的一个必要非充分条件___ .5.(填空题,3分)已知全集U={-4,-3,-1,2},A={a2,a+1,-3},B={a-3,2a-1,a2+1},若A∩B={-3},则A∪ B =___ .6.(填空题,3分)不等式2x+17−x≤1的解集为___ .7.(填空题,4分)已知集合A={-2,1},B={x|ax=2,其中x,a∈R},若A∩B=B,则a的取值集合为___ .8.(填空题,4分)已知关于x的不等式ax2+bx-1≥0的解集为[−12,−13],则不等式x2-bx-a<0的解集为___ .9.(填空题,4分)若关于x的不等式m(x+2)>x-3+m2的解集是(3,+∞),则m的值为___ .10.(填空题,4分)已知集合M={x|(x-a)(x2-ax+a-1)=0}中各元素之和为3,则实数a 的值为___ .11.(填空题,4分)若三个关于x的方程x2+4x-4a+3=0,x2+(a-1)x+ a2+54=0,x2+2ax+1=0中至少有一个方程有实根,则实数a的取值范围为___ .12.(填空题,4分)设数集M={x|m≤x≤m+45},N={x|n−14≤x≤n},且集合M、N都是集合U={x|0≤x≤1}的子集,如果把b-a称为非空集合{x|a≤x≤b}的“长度”,那么集合M∩N 的“长度”的取值范围为___ .13.(单选题,4分)已知a,b∈R,且ab≠0,则“a>b”是“ 1a <1b”成立的()A.充分不必要条件B.必要不充分条件C.充要条件D.既不充分也不必要条件14.(单选题,4分)如图,I 为全集,M 、P 、S 是I 的三个子集,则阴影部分所表示的集合是( )A.(M∩P )∩SB.(M∩P )∪SC.(M∩P )∩C I SD.(M∩P )∪C I S15.(单选题,4分)直角坐标平面中除去两点A (1,1)、B (2,-2)可用集合表示为( )A.{(x ,y )|x≠1,y≠1,x≠2,y≠-2}B.{(x ,y )| {x ≠1y ≠1 或 {x ≠2y ≠−2} C.{(x ,y )|[(x-1)2+(y-1)2][(x-2)2+(y+2)2]≠0} D.{(x ,y )|[(x-1)2+(y-1)2]+[(x-2)2+(y+2)2]≠0}16.(单选题,4分)已知关于x 的不等式组 {x 2−2x −8>02x 2+(2k +7)x +7k <0 仅有一个整数解,则k的取值范围为( ) A.(-5,3)∪(4,5) B.[-5,3)∪(4,5] C.(-5,3]∪[4,5) D.[-5,3]∪[4,5]17.(问答题,10分)已知集合A={x|kx 2-8x+16=0,k∈R ,x∈R}. (1)若A 只有一个元素,试求实数k 的值,并用列举法表示集合A ; (2)若A 至多有两个子集,试求实数k 的取值范围.18.(问答题,10分)已知a∈R ,求关于x 的不等式ax 2-(2a-1)x-2>0的解集.19.(问答题,10分)已知集合A={x|2m+1≤x≤3m+4},B={x|1≤x≤7}.(1)若A⊂B,求实数m的取值范围;(2)若C=B∩Z,求C的所有子集中所有元素的和.20.(问答题,12分)设二次函数f(x)=ax2+bx+c,其中a、b、c∈R.(1)若b=2(a+1),c=9a+4,且关于x的不等式x 2−8x+20f(x)<0的解集为R,求a的取值范围;(2)若a、b、c∈Z,且f(0)、f(1)均为奇数,求证:方程f(x)=0无整数根;(3)若a=1,b=2k-1,c=k2,求证:方程f(x)=0有两个大于1的根的充要条件是k<-2.2020-2021学年上海市黄浦区格致中学高一(上)10月月考数学试卷参考答案与试题解析试题数:20,总分:1001.(填空题,3分)若A={-2,2,3,4},B={x|x=t 2,t∈A},用列举法表示B=___ . 【正确答案】:[1]{4,9,16}【解析】:由题意,A={-2,2,3,4},B={x|x=t 2,t∈A},依次计算出B 中元素,按题目要求用列举法写出即可【解答】:解:由题,A={-2,2,3,4},B={x|x=t 2,t∈A}, ∴B={4,9,16}, 故答案为{4,9,16}【点评】:本题考点是集合的表示法,考查了集合的表示方法--列举法,解题的关键是理解集合B 的元素属性,计算出B 中的所有元素 2.(填空题,3分)方程组 {x −2y =35x +y =4的解集为___ .【正确答案】:[1]{(1,-1)}【解析】:直接利用加减消元法求出方程组的解集即可.【解答】:解:方程组 {x −2y =35x +y =4 ,可得11x=11,解得x=1,y=-1. 方程组的解集为{(1,-1)}. 故答案为:{(1,-1)}.【点评】:本题考查两条直线的交点坐标的求法,考查计算能力.3.(填空题,3分)A={y|y=|x|-1,x∈R},B={y|y=-x 2+2x+8,x∈R},A∩B=___ . 【正确答案】:[1][-1,9]【解析】:分别求出A ,B ,再结合交集的定义求出结论即可.【解答】:解:∵A={y|y=|x|-1,x∈R}={y|y≥-1}=[-1,+∞),B={y|y=-x2+2x+8,x∈R}={y|y=-(x-1)2+9,x∈R}=(-∞,9].∴A∩B=[-1,9].故答案为:[-1,9].【点评】:本题考查了交集及其运算,并涉及到函数值域的求解,属于基础题.4.(填空题,3分)写出a>2的一个必要非充分条件___ .【正确答案】:[1]a>1【解析】:利用必要非充分条件即可判得出结论.【解答】:解:由a>2,可得a>1.而a>1不出a>2.∴a>2的一个必要非充分条件为a>1.故答案为:a>1.(答案不唯一).【点评】:本题考查了简易逻辑的判定方法,考查了推理能力与计算能力,属于基础题.5.(填空题,3分)已知全集U={-4,-3,-1,2},A={a2,a+1,-3},B={a-3,2a-1,a2+1},若A∩B={-3},则A∪ B =___ .【正确答案】:[1]{-3,-1,0,1}【解析】:由A,B,以及A与B的交集求出a的值,确定出A与B,进而求出两集合的交集.【解答】:解:A={a2,a+1,-3},B={a-3,2a-1,a2+1},A∩B={-3},当a-3=-3时,解得a=0,集合A={0,1,-3},B={-3,-1,1},不满足A∩B={-3},当2a-1=-3时,解得a=-1,集合A={1,0,-3},B={-4,-3,2},满足A∩B={-3},显然a2+1≠-3,综上所述a=-1,∴ B ={-1},∴A∪ B ={-3,-1,0,1},故答案为:{-3,-1,0,1}.【点评】:此题考查了并集及其运算,熟练掌握并集的定义是解本题的关键.≤1的解集为___ .6.(填空题,3分)不等式2x+17−x【正确答案】:[1](-∞,2]∪(7,+∞)【解析】:要求的不等式即3x−6x−7≥0,可得(3x-6)(x-7)≥0且x≠7,由此求得x的范围.【解答】:解:不等式2x+17−x ≤1,即3x−6x−7≥0,∴(3x-6)(x-7)≥0且x≠7,求得x≤2 或x>7,故答案为:(-∞,2]∪(7,+∞).【点评】:本题主要考查分式不等式、一元二次不等式的解法,属于中档题.7.(填空题,4分)已知集合A={-2,1},B={x|ax=2,其中x,a∈R},若A∩B=B,则a的取值集合为___ .【正确答案】:[1]{-1,0,2}【解析】:根据A∩B=B,可以得到B⊆A,求出集合A的子集,这样就可以求出实数a值集合.【解答】:解:A∩B=B⇒B⊆A,A={-2,1}的子集有ϕ,{-2},{1},{-2,1},当B=ϕ时,显然有a=0;当B={-2}时,-2a=2⇒a=-1;当B={1}时,a•1=2⇒a=2;当B={-2,1},不存在a,符合题意,∴实数a值集合为{-1,0,2},故答案为:{-1,0,2}.【点评】:本题考查了通过集合的运算结果,得出集合之间的关系,求参数问题.重点考查了一个集合的子集,本题容易忽略空集是任何集合的子集这一结论,属基础题.8.(填空题,4分)已知关于x的不等式ax2+bx-1≥0的解集为[−12,−13],则不等式x2-bx-a<0的解集为___ .【正确答案】:[1](-3,-2)【解析】:根据不等式ax2+bx-1≥0的解集求出a、b的值,代入不等式x2-bx-a<0中化简求解即可.【解答】:解:关于x的不等式ax2+bx-1≥0的解集为[−12,−13],所以关于x的方程ax2+bx-1=0的实数解是- 12和- 13,由根与系数的关系知,{−12−13=−ba−12×(−13)=−1a,解得a=-6,b=-5;所以不等式x2-bx-a<0化为x2+5x+6<0,解得-3<x<-2,所以所求不等式的解集为(-3,-2).【点评】:本题考查了不等式的解法与应用问题,也考查了一元二次不等式与对应方程的关系应用问题,是基础题.9.(填空题,4分)若关于x的不等式m(x+2)>x-3+m2的解集是(3,+∞),则m的值为___ .【正确答案】:[1]5【解析】:由题意可得m-1>0,m 2−2m−3m−1=3,由此求得m的值.【解答】:解:关于x的不等式m(x+2)>x-3+m2的,即(m-1)x>m2-3-2m,它解集是(3,+∞),故m-1>0,m 2−2m−3m−1=3,求得m=5,故答案为:5.【点评】:本题主要考查含参数的一次不等式的解法,属于中档题.10.(填空题,4分)已知集合M={x|(x-a)(x2-ax+a-1)=0}中各元素之和为3,则实数a 的值为___ .【正确答案】:[1]2或32【解析】:先求出方程的解,x=a,a-1,或1.由于集合中的元素要满足互异性,所以需讨论方程解的情况,分成a=1,a-1=1,a≠1且a-1≠1三种情况进行讨论,根据元素之和为3便可求出a.【解答】:解:x2-ax+a-1=[x-(a-1)](x-1)=0;∴方程(x-a)(x2-ax+a-1)=0的解为:x1=a,x2=a-1,x3=1;若a=1,则A={1,0},不满足A中元素之和为3;若a-1=1,则A={2,1},元素和为3;若a≠1,且a≠2,则A={a,a-1,1},∴a+a-1+1=3,解得a= 32.∴a=2或a= 32.故答案为:2或 32 .【点评】:注意需对方程解中是否有相等的情况进行讨论,不能直接让方程的解的和为3求a ,并且讨论时不要漏了可能的情况.11.(填空题,4分)若三个关于x 的方程x 2+4x-4a+3=0,x 2+(a-1)x+ a 2+54=0,x 2+2ax+1=0中至少有一个方程有实根,则实数a 的取值范围为___ . 【正确答案】:[1] (−∞,−1]∪[−14,+∞)【解析】:先求出当三个方程均无实根时,实数a 满足的范围,再取补集即可.【解答】:解:当三个方程均无实根时,有 {△1=16−4(3−4a )<0△2=(a −1)2−(a 2+5)<0△3=4a 2−4<0,解得 {a <−14a >−2−1<a <1 ,∴ −1<a <−14 ,∴要使三个方程至少一个有实根,则a≤-1或 a ≥−14 , 故答案为: (−∞,−1]∪[−14,+∞) .【点评】:本题考查函数零点与方程根的关系,同时也涉及了一元二次不等式的解法及补集运算,考查运算求解能力及集合思想,属于基础题.12.(填空题,4分)设数集 M ={x|m ≤x ≤m +45} , N ={x|n −14≤x ≤n} ,且集合M 、N 都是集合U={x|0≤x≤1}的子集,如果把b-a 称为非空集合{x|a≤x≤b}的“长度”,那么集合M∩N 的“长度”的取值范围为___ . 【正确答案】:[1][ 120 , 14 ]【解析】:根据题意,由集合M 、N 分析集合M ,N 的“长度”,由交集的定义分析M∩N 的“长度”最大值、最小值,即可得答案.【解答】:解:根据题意, M ={x|m ≤x ≤m +45} ,则集合M 的“长度”为 45 , N={x|n- 14 ≤x≤n},则集合N 的“长度”为 14 . 而M ,N 都是集合{x|0≤x≤1}的子集,当N⊆M时,M∩N的“长度”最大值为集合N的“长度”,即14,当M与N应分别在区间[0,1]的左右两端时,集合M∩N的“长度”最小,为45 + 14-1= 120,即集合M∩N的“长度”的取值范围为[ 120,14],故答案为:[ 120,14].【点评】:本题主要考查了集合交集的性质,注意分析集合“长度”的定义,属于基础题.13.(单选题,4分)已知a,b∈R,且ab≠0,则“a>b”是“ 1a <1b”成立的()A.充分不必要条件B.必要不充分条件C.充要条件D.既不充分也不必要条件【正确答案】:D【解析】:对a与b进行赋值,然后说明a>b是否推出1a <1b,以及1a<1b能否推出a>b,从而可得结论.【解答】:解:当a=1>b=-1,1a =1>1b=-1,故a>b不能推出1a<1b;满足条件1a <1b,取a=-1,b=1,不能推出a>b∴a>b是1a <1b的既不充分又不必要故选:D.【点评】:本题主要考查了必要条件、充分条件与充要条件的判断,以及赋值法的应用,同时考查了分析问题的能力,属于基础题.14.(单选题,4分)如图,I为全集,M、P、S是I的三个子集,则阴影部分所表示的集合是()A.(M∩P)∩SB.(M∩P)∪SC.(M∩P)∩C I SD.(M∩P)∪C I S【正确答案】:C【解析】:先根据图中的阴影部分是M∩P的子集,但不属于集合S,属于集合S的补集,然后用关系式表示出来即可.【解答】:解:图中的阴影部分是:M∩P的子集,不属于集合S,属于集合S的补集即是C I S的子集则阴影部分所表示的集合是(M∩P)∩∁I S故选:C.【点评】:本题主要考查了Venn图表达集合的关系及运算,同时考查了识图能力,属于基础题.15.(单选题,4分)直角坐标平面中除去两点A(1,1)、B(2,-2)可用集合表示为()A.{(x,y)|x≠1,y≠1,x≠2,y≠-2}B.{(x,y)| {x≠1y≠1或{x≠2y≠−2 }C.{(x,y)|[(x-1)2+(y-1)2][(x-2)2+(y+2)2]≠0}D.{(x,y)|[(x-1)2+(y-1)2]+[(x-2)2+(y+2)2]≠0}【正确答案】:C【解析】:直角坐标平面中除去两点A(1,1)、B(2,-2),其余的点全部在集合中,逐一排除法.【解答】:解:直角坐标平面中除去两点A(1,1)、B(2,-2),其余的点全部在集合中,A选项中除去的是四条线;B选项中是一个或字,没有同时排除两点;C选项符合题意;D选项不能同时排除A,B两点.故选:C.【点评】:本题考查了集合的基本概念,属于基础题.16.(单选题,4分)已知关于x 的不等式组 {x 2−2x −8>02x 2+(2k +7)x +7k <0仅有一个整数解,则k 的取值范围为( )A.(-5,3)∪(4,5)B.[-5,3)∪(4,5]C.(-5,3]∪[4,5)D.[-5,3]∪[4,5]【正确答案】:B【解析】:求出第一个不等式的解,讨论k 的范围得出第二个不等式的解,根据不等式组只含有一个整数得出第二个不等式解的端点的范围,从而得出k 的范围.【解答】:解:解不等式x 2-2x-8>0得x <-2或x >4,解方程2x 2+(2k+7)x+7k=0得x 1=- 72 ,x 2=-k .(1)若-k <- 72 即k > 72 时,不等式2x 2+(2k+7)x+7k <0的解集是(-k ,- 72 ), 若不等式组只有1个整数解,则-5≤-k <-4,解得:4<k≤5,(2)若-k >- 72 即k < 72 时,不等式2x 2+(2k+7)x+7k <0的解集是(- 72 ,-k ), 若不等式组只有1个整数解,则-3<-k≤5,解得:-5≤k <3,综上,k 的取值范围是[-5,3)∪(4,5],故选:B .【点评】:本题考查了一元二次不等式的解法,分类讨论思想,借助数轴可方便得出区间端点的范围,属于中档题.17.(问答题,10分)已知集合A={x|kx 2-8x+16=0,k∈R ,x∈R}.(1)若A 只有一个元素,试求实数k 的值,并用列举法表示集合A ;(2)若A 至多有两个子集,试求实数k 的取值范围.【正确答案】:【解析】:(1)当k=0时,易知符合题意,当k≠0时,利用△=0即可求出k 的值;(2)由A 至多有两个子集,可知集合A 中元素个数最多1个,再分k=0和k≠0两种情况讨论,即可求出实数k的取值范围.【解答】:解:(1)① 当k=0时,方程化为:-8x+16=0,解得x=2,此时集合A={2},满足题意;② 当k≠0时,∵方程kx2-8x+16=0有一个根,∴△=(-8)2-4k×16=0,解得:k=1,此时方程为x2-8x+16=0,解得x=4,∴集合A={4},符合题意,综上所述,k=0时集合A={2};k=1时集合A={4};(2)∵A至多有两个子集,∴集合A中元素个数最多1个,① 当k≠0时,一元二次方程kx2-8x+16=0最多有1个实数根,∴△=(-8)2-4k×16≤0,解得k≥1,② 当k=0时,由(1)可知,集合A={2}符合题意,综上所述,实数k的取值范围为:{0}∪[1,+∞).【点评】:本题主要考查了集合的表示方法,考查了集合的元素个数,是基础题.18.(问答题,10分)已知a∈R,求关于x的不等式ax2-(2a-1)x-2>0的解集.【正确答案】:【解析】:不等式可化为(ax+1)(x-2)>0,讨论a=0、a>0和a<0时,分别求出对应不等式的解集即可.【解答】:解:不等式ax2-(2a-1)x-2>0,可化为(ax+1)(x-2)>0,当a=0时,不等式为x-2>0,解得x>2;当a>0时,不等式化为(x+ 1a )(x-2)>0,解得x<- 1a或x>2;当a<0时,不等式化为(x+ 1a)(x-2)<0,令- 1a =2,即a=- 12时,不等式为(x-2)2<0,则不等式的解集是∅,当- 1a >2,即- 12 <a <0时,解不等式得2<x <- 1a ;当- 1a <2,即a <- 12 时,解不等式得- 1a <x <2;综上所述,当a=0,不等式的解集为(2,+∞);当a >0,不等式的解集为(-∞,- 1a )∪(2,+∞);当- 12 <a <0时,不等式的解集为(2,- 1a );当a <- 12 时,不等式的解集为(- 1a ,2);当a=- 12 ,不等式的解集为∅.【点评】:本题考查了含有字母系数的不等式解法与应用问题,也考查了分类讨论思想,是中档题.19.(问答题,10分)已知集合A={x|2m+1≤x≤3m+4},B={x|1≤x≤7}.(1)若A⊂B ,求实数m 的取值范围;(2)若C=B∩Z ,求C 的所有子集中所有元素的和.【正确答案】:【解析】:(1)根据A⊂B 即可讨论A 是否为空集:A=∅时,2m+1>3m+4;A≠∅时, {2m +1≤3m +42m +1≥13m +4≤7,解出m 的范围即可; (2)可求出C={1,2,3,4,5,6,7},可知集合C 的每个元素在集合C 的所有子集中出现的次数为26,然后即可求出C 的所有子集中所有元素的和.【解答】:解:(1)∵A⊂B ,∴ ① A=∅时,2m+1>3m+4,解得m <-3;② A≠∅时, {m ≥−32m +1≥13m +4≤7,解得0≤m≤1,∴m 的取值范围为(-∞,-3)∪[0,1];(2)C=B∩Z={1,2,3,4,5,6,7},C 中每个元素在C 的子集中出现的次数都是26=64,且1+2+3+4+5+6+7=28,∴C 的所有子集中所有元素的和为28×64=1792.【点评】:本题考查了子集的定义,子集个数的计算公式,描述法、列举法的定义,交集的定义及运算,考查了计算能力,属于基础题.20.(问答题,12分)设二次函数f (x )=ax 2+bx+c ,其中a 、b 、c∈R .(1)若b=2(a+1),c=9a+4,且关于x 的不等式x 2−8x+20f (x )<0 的解集为R ,求a 的取值范围;(2)若a 、b 、c∈Z ,且f (0)、f (1)均为奇数,求证:方程f (x )=0无整数根;(3)若a=1,b=2k-1,c=k 2,求证:方程f (x )=0有两个大于1的根的充要条件是k <-2.【正确答案】:【解析】:(1)根据不等式解集为R ,结合分式,二次函数的性质,即可求参数a 的取值范围;(2)利用反证法,分x 1,x 2都为整数,x 1为整数,x 2不为整数三种情况,结合a 、b 的奇偶性即可证明方程f (x )=0无整数根;(3)根据二次方程根的分布列条件,证明即可.【解答】:解:(1)由 x 2−8x+20f (x ) <0,知 {x 2−8x +20>0ax 2+bx +c <0 且解集为R , 所以 {a <0△=b 2−4ac <0 ,即 {a <08a 2+2a −1>0,解得a <- 12 , 所以a 的取值范围(-∞,- 12 ).(2)f (0)=c ,f (1)=a+b+c 均为奇数,知a+b 为偶数,所以f (x )=ax 2+bx+c=0有两个根为x 1,x 2,则x 1+x 2=- b a ,x 1x 2= c a ,1.当a 、b 为偶数时,若x 1,x 2都为整数,则b 、c 必须同时可被a 整除,显然不成立; 若x 1为整数,x 2不为整数,ax 12,bx 1都为偶数,则ax 12+bx 1+c=0与题设矛盾,2.当a 、b 为奇数时,若x 1,x 2都为整数,x 1+x 2=- b a 必为奇数,则x 1,x 2必有一奇一偶, x 1x 2必为偶数,而 c a 为奇数,不成立,若x 1= −b+√b 2−4ac 2a ,整理得x 1(ax 1+b )=-c ,当x 1为奇数时,ax 1+b 为偶数,则c 为偶数,与题设矛盾;x 1为偶数时,ax 1+b 为奇数,则c 为偶数,与题设矛盾;综上,知方程f (x )=0无整数根.(3)由题意,知f (x )=x 2+(2k-1)x+k 2,若f (x )=0有两个大于1的根时,有 {1−2k 2>1k 2+2k >0,解得k <-2, 若k <-2时,有f (x )开口向上且对称轴为x=1−2k 2 > 52 , f (1)=k 2+2k >0,△=(2k-1)2-4k 2=1-4k >9,所以f (x )=0有两个根大于1的根,综上,方程f (x )=0有两个大于1的根的充要条件是k <-2.【点评】:本题考查了根据分式不等式、二次函数的性质求参数范围,应用反证法证明存在性问题,以及定义法证明条件的充要性,属中档题.。
2020-2021上海格致中学高一数学上期末第一次模拟试题(附答案)一、选择题1.已知集合21,01,2A =--{,,},{}|(1)(2)0B x x x =-+<,则A B =I ( )A .{}1,0-B .{}0,1C .{}1,0,1-D .{}0,1,22.已知4213332,3,25a b c ===,则 A .b a c << B .a b c << C .b c a <<D .c a b <<3.函数y =a |x |(a >1)的图像是( ) A .B .C .D .4.已知二次函数()f x 的二次项系数为a ,且不等式()2f x x >-的解集为()1,3,若方程()60f x a +=,有两个相等的根,则实数a =( )A .-15B .1C .1或-15D .1-或-155.已知函数2()2log x f x x =+,2()2log x g x x -=+,2()2log 1x h x x =⋅-的零点分别为a ,b ,c ,则a ,b ,c 的大小关系为( ). A .b a c << B .c b a << C .c a b <<D .a b c <<6.函数()2sin f x x x =的图象大致为( )A .B .C .D .7.函数()()212log 2f x x x =-的单调递增区间为( ) A .(),1-∞ B .()2,+∞ C .(),0-∞ D .()1,+∞8.已知函数()()y f x x R =∈满足(1)()0f x f x ++-=,若方程1()21f x x =-有2022个不同的实数根i x (1,2,3,2022i =L ),则1232022x x x x ++++=L ( )A .1010B .2020C .1011D .20229.用二分法求方程的近似解,求得3()29f x x x =+-的部分函数值数据如下表所示:x1 2 1.5 1.625 1.75 1.875 1.8125 ()f x-63-2.625-1.459-0.141.34180.5793则当精确度为0.1时,方程3290x x +-=的近似解可取为 A .1.6B .1.7C .1.8D .1.910.点P 从点O 出发,按逆时针方向沿周长为l 的平面图形运动一周,O ,P 两点连线的距离y 与点P 走过的路程x 的函数关系如图所示,则点P 所走的图形可能是A .B .C .D .11.若函数()[)[]1,1,0{44,0,1xx x f x x ⎛⎫∈- ⎪=⎝⎭∈,则f (log 43)=( ) A .13B .14C .3D .412.已知函数()()f x g x x =+,对任意的x ∈R 总有()()f x f x -=-,且(1)1g -=,则(1)g =( )A .1-B .3-C .3D .1二、填空题13.若函数()(0,1)xf x a a a =>≠且在[1,2]上的最大值比最小值大2a,则a 的值为____________.14.已知函数241,(4)()log ,(04)x f x xx x ⎧+≥⎪=⎨⎪<<⎩.若关于x 的方程,()f x k =有两个不同的实根,则实数k 的取值范围是____________.15.已知()f x 是定义域为R 的单调函数,且对任意实数x 都有21()213xf f x ⎡⎤+=⎢⎥+⎣⎦,则52(log )f =__________.16.已知()()22,02,0x a b x x f x x ⎧+++≤=⎨>⎩,其中a 是方程lg 4x x +=的解,b 是方程104x x +=的解,如果关于x 的方程()f x x =的所有解分别为1x ,2x ,…,n x ,记121==+++∑nin i xx x x L ,则1ni i x ==∑__________.17.已知()f x 、()g x 分别是定义在R 上的偶函数和奇函数,且()()2xf xg x x -=-,则(1)(1)f g +=__________.18.对数式lg 25﹣lg 22+2lg 6﹣2lg 3=_____. 19.若函数()22xxe a x ef x -=++-有且只有一个零点,则实数a =______.20.设是两个非空集合,定义运算.已知,,则________.三、解答题21.某地下车库在排气扇发生故障的情况下,测得空气中一氧化碳含量达到了危险状态,经抢修,排气扇恢复正常.排气4min 后,测得车库内的一氧化碳浓度为64L /L μ,继续排气4min ,又测得浓度为32L /L μ,经检测知该地下车库一氧化碳浓度(L /L)y μ与排气时间(min)t 存在函数关系:12mty c ⎛⎫= ⎪⎝⎭(c ,m 为常数)。
上海市黄浦区格致中学2020-2021学年髙一上学期期中数学试卷注意事项:1. 答题前填写好自己的姓名、班级、考号等信息2 -请将答案正确填写在答题卡上第I 卷(选择题)2•如果GVbvO,那么下列不等式中正确的是()2•下列表示图形中的阴影部分的是()A.(AUC )n (BUC ) B ・(4UB )n (AUC ) C"UB )fl (BUC ) D.(AUB ) DC3 •已知a^t 都是正实数,且dHl,下列运算一左正确的是()s . JD J J J+了・a +a = a a = aC. log 。
s + log 。
t = log n (s +1)D . log" s log J = log" (st) a. b } C| 4•已知5讣%2均为非零实数,pit —于尤的不等式 u 。
S G ■ ■ ■a }x 2 +b i x+c l >0与偽兀2 +gx + C2 >0解集相同"的().A ・充分非必要条件 B.必要非充分条件 C •充要条件件第II 卷(非选择题)6•已知全集U = {0,123,4},集合A = {^d x 2-3x + 2<0,xeZ},则兔= ________________ 评卷人 得分 请点击修改第I 卷的文字说明一、选择题A 评卷人得分 请点击修改第II 卷的文字说明二、填空题5•当a<b 时,化简J(“_b)2 =D ・既不充分也不必要条 < 1 -力7. _________________________ 已知“>i,比较大小乔石 ^77?+21°8122.8. 命题"a.beR,若a+bv4,则a<2^b<2,f 是 __________________ 命题.(填“真”或“假”)9. _________________________________________________ 已知x>0,y >0 ,且2x + 5y = 20,则lgx + Igy 的最大值为 __________________________________ •10. 设不等式\x-a\<h 的解集为{x\-\<x<2},当加>0时,用根式表示m ah = ________________ 11 •已知关于x 的不等式也2 一也+ ]〉0的解集为/?,则实数R 的取值范围是 ______ ・ 12 •测量地震级别的里氏役级M 的计算公式为:M=lgA-lg4门其中A 是测震仪记录的地 忘曲线的最大振幅,常数A (>是相应的标准地震的振幅•假设在一次地役中,测役仪记录的 最大振幅是1000,而此次地怠的里氏震级恰好为6级,那么里氏9级地震的最大的振幅是里氏5级地康最大振幅的 _____ 倍.f(2x-3)(x + l)<0 13•若关于x 的不等式组{x> a 2 | 14•已知K 中加>1,则M 的最小值为 ______________________加一 115 •定义:对于非空集合A ,若元素xeA,则必有(m-x )eA 9则称集合A 为r”和集合"•已知集合B 二{1234567},则集合3所有子集中,是"和集合"的集合有 __________ 个. 16•〃已知关于x 的不等式(lx 2-b x + c >0的解集为(1,2),解关于x 的不等式ex 2-bx+a >0"有如下解法:由ex 2 -bx + a>0^ 得a (丄)-Z?- + c>0 » 令歹=十‘则知关于x 的不等式 —+ — <0的解集为(―2,—1)U (2,3),则关于x 的不等式 x + a x + c 18•艺术中心要用木料制作如图所示的框架,框架下部是边长分别为x, y (单位:米)的矩形, 上部是等腰直角三角形,要求框架用成的总而积为8平方米,问:总用料最省时,用料为多 少米?此时X. y 分别为多少米?(最后结果精确到0.01)没有整数解,则实数a 的取值范围是ye (U )RP :1<1<2, x 所以不等式cr-bx+a> 0的解集为 •参考上述解法,19.已知命题p:关于x的一元二次方程x2 — 2、®x+ |m — 2| = 0有两个不相等的实数根:命题q:关于X的一元二次方程x2_mx+|a+l|+|a — 3| = 0对于任意实数a都没有实数根. (1)若命题P为真命题,求实数m的取值范围:(2)若命题p和命题q中有且只有一个为真命题,求实数m的取值范围.20.已知有限集A = {q,a2,・rd“}("n2,"eN),如果A中元素= 1,2,…,“)满足q+E+•••+% =a,xa2x...xa n,就称A 为“完美集(1)如果方程:x2-bx + 5 = 0的解集是一个“完美集",求log/的值:(2)利用反证法证明:若®,①是两个不同的正数,且{q,®}是“完美集",则®,①至少有一个大于2.21.已知一元二次函数f(x) = ax2+bx + c(a>0,c>0)的图像与x轴有两个不同的公共点, 其中一个公共点的坐标为(c,0),且当0 VX<c时,恒有fM > 0 .(1)当“ =1,c =丄时,求出不等式/«<0的解:2(2)求岀不等式/(x) <0的解(用o,c表示):(3)若以二次函数的图象与坐标轴的三个交点为顶点的三角形的而积为&求d的取值范围:(4)若不等式〃,一2£用+ 1 + /2 +仇・工0对所有*已[一1,1]恒成立,求实数加的取值范用.参考答案l.B【解析】1.根据不等式的性质分析ABC,采用举例的方式分析D,由此得到正确的结果.A.因为ci <b <0所以—> —»所以一>1,故错误;h b bB.因为avbvO,所以a-a>ab.所以a2 > ab•故正确:C・因为Cl <b <0 9所以cr > b> 0 9所以一r > -r 9 b" aD.取a = -2,b = _l,所以一丄=丄>一1 = 1,故错误,a 2 b故选:B.2.A【解析】2.由韦恩图可以看出,阴影部分中的元素满足“是A的元素且是3的元素,或是C的元素”,由韦恩图与集合之间的关系易得答案.解:由已知中阴影部分所表示的集合元素满足“是A的元素且是B的元素,或是C的元素”,故阴影部分所表示的集合是CU(AnB) = (AUC)D(BUC)故选:A3.B【解析】3.采用举例方式分析ACD,根据指数幕的运算法则判断B,由此分析出结果.A.当a = s = t = 2时,22 + 22 22*2»故错误;B.根据指数幕的运算性质可知:同底数幕相乘,底数不变指数相加,故B正确:C.当d = 2, s = t= 4时,1 og24+log,4log,(4+4),故错误;D.当a = s = t = 2时,1 og22-log22^1og2(2x2),故错误,故选:B.4.D【解析】4.通过—=^ = — = -1可知所得两个不等式不等价,充分性不成立;通过反例仇C-)■ ■ ■F+x+l>0与疋_兀+ 1>0解集均为R,可知必要性不成立,从而得到最终结论.a. Z?. c. 7若一=—=—=-1,则a x x +b[x+c l=-a2x -b2x-c2>0 9即a2x +b2x + c2<Q6 q 5与ay+b^x + c^ 0的解集不同,故充分性不成立■厶厶若qF+biX + C] =x2+x+l>O t a2x2 +b2x + c2 = x2 -x +1 >0a. c.b.不等式解集均为R,此时—= —^71>故必要性不成立5 5 6■厶■综上所述:"―=^ =—"是“关于兀的不等式qF+bx + q〉0与■ ■ ■a2x2+b2x + c2> 0解集相同”的既不充分也不必要条件故选:Ds.b-a【解析】5.根据a-b的正负,结合yj(a-b)1 =\a-b\得到结果.因为=”_/?],且d-b<0,所以yl(ci-b)2 = \a-h\ = b-a »故答案为:b-a.6. {0,3,4}【解析】6.先求解出一元二次不等式的解集即可求解出A,然后根据补集的概念即可求解出7. 因为疋_3X + 2SO,所以(X —1)(—2)50,所以xe[l,2], 又因为xeZ,所以A = {1,2},且卩={0,1,2,3,4}所以A = {0,3,4},故答案为:{0,3,4}.7.>【解析】7.由二次根式的性质可得乔石>1 ,再由对数的运算法则及换底公式可得 1—- + 21og 122 = l,即可得解.logs 12因为"> 1 ,所以 > 1,Clyfcl > 1 » 所以 yjciy/u > 1,乂 + 21og )2 2 = log 12 3 + log|24 = log 1212 = 1, logs 12所以丄行+21og|22.logs 12 故答案为:>.8.真【解析】8.先写岀逆否命题,然后根据逆否命题的貞•假判断原命题的貞•假.因为逆否命题为:“db 已R,若心2且Z?〉2,则a+b>^ ,显然a>2且b 〉2时,a+b>4满足,所以逆否命题为真命题,所以原命题为真命题,故答案为:真.9.1【解析】9.试题因为2x + 5y = 20,所以20 = 2x+5yn2jI5$,Q510,当且仅当2x = 5y = 10,x = 5,y = 2时取等号.因此lgx + lgy = lgx )* <lglO= 1,即lgx+lgy 的最大 值为1.10•府【解析】10.先根据\x-a\<b 的解集为{.rl-l<x<2),求出的值,再利用指数幕的运算,即可 求解. 由题意,不等式卜一 d|<b,解得一/? + d VX Vd+b,因为不等式\x-a\<b 的解集为{x\-\<x<2},—b + a = —\当加>0时,用根式表示n严=师•故答案为:疗.11.[0,4)【解析】H.根据题意,分R=0和R H O两种情况讨论,结合二次函数的性质,即可求解.由题意,关于x的不等式kx2-kx+\> 0的解集为乩当R=0时,不等式可化为1>0恒成立:当kHO时,要使得不等式尬2-也+1>0的解集为&>>0则满足< / 、2 ,解得0vkv4,△ = (_廿_4£v0综上可得,实数R的取值范围是(0,4).故答案为:[0,4).12.10000【解析】12.根据条件先汁算岀血的值,然后分别汁算岀里氏9级地震的最大的振幅和里氏5级地震最大振幅,由此可求解出最终结果.由条件可知:6 = lgl000-lg4,所以观=10",设里氏9级地震的最大的振幅为人,里氏5级地震最大振幅为A,, 所以『=仗人iglO 所以人]06,儿=]02,所以A = 10000,[5 = lgA2-lglO 3一 4故答案为:10000.13.[l,+oo)【解析】13.先求岀不等式(2x-3)(x+l)< 0的解集,然后确左不等式组的解集,进而确立实数a的取值范围,得到答案.3由题意,不等式(2x — 3)(x + l)S0,解得一 = ,英中有整数一1,0」,3故不等式组的解集为«<x<-且其范用内没有整数,所以a>\.2即实数d 的取值范围是|1,2).14.2 + 2>/2【解析】14., 2先将原式变形为M =(加-1) + — + 2,然后利用基本不等式求解岀M 的最小值.加一 1因为 M = ------- = ------------ = (m + 1) + --- =(加-1) + ----- + 2 ,m -1 加一 1 m -1 m -1所以M >2」(加-1)・,一+2 = 2血+2,取等号时(("》)=29即〃尸血+1,V 冊一1 m > 1 所以M 的最小值为:2 + 2JI ,故答案为:2 + 2>/2 •15.15【解析】15.由新立义可得集合3的子集中,1,7、2,6、3,5、4一左成组岀现,再由子集的概念即可 得解.由题意,集合〃的子集中,1,7、2,6. 3,5、4一泄成组岀现,当集合3的子集中只有1个元素时,即为{4}.共1个: 当集合3的子集中有2个元素时,即为{1,7},{2,6},{3,5},共3个; 当集合3的子集中有3个元素时,即为{147},{246},{3,4,5},共3个;即为{1,726},{1,7,3,5}{263,5},共 3 个:当集合3的子集中有5个元素时,即为{17426},{1,743,5},{264,3,5}.共3个: 当集合B 的子集中有6个元素时,即为B 二{1,2,3,5,6,7},共1个.则集合3所有子集中,是"8和集合"的集合有15个. 故答案为:15.因为不等式组彳\2x-3)(x + l)<0 x> a 没有整数解, 当集合B 的子集中有4个元素时, 当集合3的子集中有7个元素时, 即为 B 二{123,4,567},共 1 个.【解析】16.根据已知条件将不等式变形为,由此得到-丄的取值范用,从而x可求解出X的取值范用,即可求解出不等式解集.X *4" /? |已知关”的不等式贡+忌V。