关于矩阵的可逆性探讨(1)(可编辑修改word版)
- 格式:docx
- 大小:23.17 KB
- 文档页数:7
矩阵可逆性总结矩阵的可逆性摘要:本文通过由矩阵的除法引出可逆矩阵,介绍了可逆矩阵的定义,性质,算法及其判定方法等等,之后对可逆矩阵进行了推广,还有关于广义逆的介绍。
关键词:可逆矩阵;伴随矩阵;三角矩阵;广义逆矩阵正文:一、逆矩阵的定义:因为数的除法a ÷b 是:已知两数的乘积b 及其中一个因数a 求另外一个因数x ,也就是解方程ax =b 。
只要能求出除数a 的倒数a ?1使aa ?1=1,则除法b ÷a 可以转化为乘法b ×a ?1。
而我们联想到矩阵的运算上,对矩阵A , B ,用B “除以”A 也就是要求一矩阵X 使AX =B 。
在之前的学习过程中已经了解了矩阵的乘法不满足交换律,还应考虑求另一矩阵Y 满足YA =B 。
如果能找到一个A ?1满足条件A ?1A =I ,在矩阵方程AX =B 两边左乘A ?1就得到A ?1AX =A ?1B 从而X =A ?1B 。
如果这个A ?1还满足条件AA ?1=I ,则A (A ?1B )=B ,X =A ?1B 就是AX =B 的唯一解。
类似地,如果上述A ?1存在,可知YA =B 有唯一解Y =BA ?1。
所以给逆矩阵下一个定义:对于矩阵A,如果存在矩阵B满足条件AB=且BA=I (表示单位矩阵),就称A可逆,并且称B是A的逆。
表示成B=A 1-二、矩阵可逆的等价条件:1、A 可逆?F ∈?B ,使得I AB =;(定义法)2、若A 可逆,则A 是方阵且0≠A ;3、若0≠A ,则方阵A 可逆;4、n 级矩阵A 可逆?矩阵A 的秩为n,即r(A )=n ;5、n 级矩阵A 可逆?A 的行向量组线性无关;6、n 级矩阵A 可逆?A 的列向量组线性无关;7、n 级矩阵A 可逆?A 可以表示成一系列初等矩阵的乘积; 8、n 级矩阵A 可逆?A 可以经过一系列初等行变换化为I ; 9、n 级矩阵A 可逆?A 可以经过一系列初等列变换化为I ; 10、n 级矩阵A 可逆?齐次线性方程组A x=0只有唯一零解.三、逆矩阵的性质:1、逆的唯一性:假如A 可逆,那么A 的逆B 是唯一的。
矩阵可逆和不可逆的条件《矩阵可逆和不可逆的条件》话说我有个朋友叫小李,他在大学学线性代数的时候,被矩阵可逆和不可逆这事儿搞得晕头转向的。
有一天,他拿着书本跑到我跟前,一脸愁苦地跟我说:“哥们儿,这矩阵的可逆不可逆到底咋判断啊?感觉就像和一个神秘对手下棋,完全不知道对方的底细。
”这就引出了咱们今天的主题——矩阵可逆和不可逆的条件。
首先呢,从最基本的概念说起。
对于一个方阵(行数和列数相等的矩阵)来说,如果存在一个同阶的方阵,使得这两个矩阵相乘,不管是按哪种顺序乘起来结果都得到单位矩阵,那这个矩阵就是可逆的。
能找到这样的一个“搭档”的矩阵可不容易。
比如说一个二阶矩阵,如果它的行列式的值不为零,那它就是可逆的。
这里行列式可就像一个矩阵的“身份证”,行列式的值等于矩阵主对角线元素之积减去副对角线元素之积。
以矩阵\(A=\begin{bmatrix}a&b\\c&d\end{bmatrix}\)为例,如果\(ad -bc\neq0\),那\(A\)就是可逆矩阵。
那要是行列式等于零呢?这矩阵就不可逆了。
为什么会这样呢?咱们可以想象每个矩阵都是一个特定的线性变换。
可逆矩阵对应的线性变换是可以“还原”的,就好像把东西打乱了又能按照规则重新整理好一样。
而不可逆矩阵对应的线性变换就像是把东西弄丢了一部分,再也还原不回去了。
再深入一点,如果一个矩阵是奇异矩阵(也就是不可逆矩阵),那它的列向量或者行向量是线性相关的。
啥是线性相关呢?就好比一个足球队里有好几个队员,结果其中一个队员总是和其他队员有某种固定的组合关系,他自己单独的作用不大,有点像“多余”的人一样。
比如矩阵\(B=\begin{bmatrix}1&2&3\\2&4&6\\3&6&9\end{bmatrix}\),第二行就是第一行的两倍,第三行是第一行的三倍,这列向量或者行向量就线性相关了,这个矩阵就是不可逆的。
《一类带状无穷Toeplitz矩阵的可逆性》篇一一、引言在矩阵理论中,Toeplitz矩阵是一种特殊的方阵,其每一主对角线上的元素都是常数或者满足某种特定规律。
在各种科学和工程领域中,带状无穷Toeplitz矩阵作为一种重要的数学模型,经常被用来描述某些物理现象或过程。
本文主要研究一类带状无穷Toeplitz矩阵的可逆性,这对于许多需要运用此类矩阵的领域具有实际意义。
二、带状无穷Toeplitz矩阵的描述带状无穷Toeplitz矩阵是指一种特殊的矩阵,其主对角线上的元素按照某种规律排列,且该规律具有带状特性。
这类矩阵在数学建模和数值计算中有着广泛的应用。
我们主要研究的是一类具有特定结构的带状无穷Toeplitz矩阵,其主对角线上的元素不仅具有带状特性,还满足一定的数值条件。
三、可逆性的基本概念及性质在矩阵理论中,如果方阵A的逆矩阵存在,则称A是可逆的。
可逆矩阵在数学和工程领域中具有广泛的应用,如线性方程组的求解、控制系统设计等。
对于带状无穷Toeplitz矩阵而言,其可逆性是研究其性质和应用的重要基础。
四、一类带状无穷Toeplitz矩阵的可逆性分析(一)一般情况下的可逆性分析对于一类带状无穷Toeplitz矩阵,其可逆性受到许多因素的影响,如矩阵的元素分布、元素值的大小等。
在一般情况下,如果这类矩阵的元素满足一定的条件,如所有元素均不为零或具有特定的数值关系,则其可逆性可以通过一定的数学方法进行验证和分析。
(二)特殊情况下的可逆性分析在特殊情况下,一类带状无穷Toeplitz矩阵的可逆性可能受到更严格的限制。
例如,当矩阵的某些元素为零或元素间的数值关系不满足一定条件时,其可逆性可能受到影响。
此时,需要采用更复杂的数学方法进行深入的分析和研究。
五、可逆性的应用及实例分析(一)应用领域一类带状无穷Toeplitz矩阵的可逆性在许多领域都有广泛的应用,如信号处理、控制系统设计、图像处理等。
在这些领域中,带状无穷Toeplitz矩阵被用来描述某些物理现象或过程,其可逆性对于解决实际问题具有重要意义。
《一类带状无穷Toeplitz矩阵的可逆性》篇一一、引言Toeplitz矩阵作为一种特殊的矩阵形式,在数学、物理、工程等领域有着广泛的应用。
其中,带状无穷Toeplitz矩阵作为Toeplitz矩阵的一种特殊形式,其可逆性研究具有重要的理论意义和应用价值。
本文将重点探讨一类带状无穷Toeplitz矩阵的可逆性,并对其进行深入研究。
二、带状无穷Toeplitz矩阵的定义及性质带状无穷Toeplitz矩阵是一种特殊的矩阵,其元素在某条带状区域内呈周期性分布。
具体地,对于一类带状无穷Toeplitz矩阵,其上三角(或下三角)部分的元素呈现出特定的周期性变化规律。
这种矩阵具有独特的数学性质,如循环性、周期性等。
三、可逆性的基本理论在讨论带状无穷Toeplitz矩阵的可逆性之前,我们需要了解一些基本理论。
可逆矩阵是指存在逆矩阵的方阵。
一个矩阵可逆的充分必要条件是其行列式不为零。
对于带状无穷Toeplitz矩阵,由于其特殊的结构,其行列式的计算相对复杂。
然而,我们可以通过分析其元素的变化规律,结合相关数学理论,推导出其可逆性的条件。
四、一类带状无穷Toeplitz矩阵的可逆性分析针对一类带状无穷Toeplitz矩阵,我们首先分析其元素的变化规律。
根据其特殊的带状结构,我们可以将矩阵划分为若干个小的块状区域。
然后,通过分析这些块状区域内元素的周期性变化规律,我们可以推导出矩阵可逆的条件。
具体地,我们需要考虑矩阵的行列式是否为零,以及矩阵是否满足其他可逆性的条件。
在分析过程中,我们可以利用一些已知的数学结论和定理,如行列式的计算方法、矩阵的秩等。
同时,我们还需要结合具体的矩阵形式和元素变化规律进行推导和分析。
五、结论与展望通过对一类带状无穷Toeplitz矩阵的可逆性进行分析,我们可以得出以下结论:在一定条件下,这类带状无穷Toeplitz矩阵是可逆的。
这些条件包括元素的周期性变化规律、行列式不为零等。
同时,我们还发现这类矩阵的可逆性与元素的分布和取值密切相关。
矩阵的可逆性摘要:本文通过由矩阵的除法引出可逆矩阵,介绍了可逆矩阵的定义,性质,算法及其判定方法等等,之后对可逆矩阵进行了推广,还有关于广义逆的介绍。
关键词:可逆矩阵;伴随矩阵;三角矩阵;广义逆矩阵 正文:一、逆矩阵的定义:因为数的除法a ÷b 是:已知两数的乘积b 及其中一个因数a 求另外一个因数x ,也就是解方程ax =b 。
只要能求出除数a 的倒数a −1使aa −1=1,则除法b ÷a 可以转化为乘法b ×a −1。
而我们联想到矩阵的运算上,对矩阵A , B ,用B “除以”A 也就是要求一矩阵X 使AX =B 。
在之前的学习过程中已经了解了矩阵的乘法不满足交换律,还应考虑求另一矩阵Y 满足YA =B 。
如果能找到一个A −1满足条件A −1A =I ,在矩阵方程AX =B 两边左乘A −1就得到A −1AX =A −1B 从而X =A −1B 。
如果这个A −1还满足条件AA −1=I ,则A(A −1B)=B ,X =A −1B 就是AX =B 的唯一解。
类似地,如果上述A −1存在,可知YA =B 有唯一解Y =BA −1。
所以给逆矩阵下一个定义:对于矩阵A,如果存在矩阵B满足条件AB=且BA=I (表示单位矩阵),就称A可逆,并且称B是A的逆。
表示成B=A 1-二、矩阵可逆的等价条件:1、A 可逆⇔F ∈∃B ,使得I AB =;(定义法)2、若A 可逆,则A 是方阵且0≠A ;3、若0≠A ,则方阵A 可逆;4、n 级矩阵A 可逆⇔矩阵A 的秩为n,即r(A )=n ;5、n 级矩阵A 可逆⇔A 的行向量组线性无关;6、n 级矩阵A 可逆⇔A 的列向量组线性无关;7、n 级矩阵A 可逆⇔A 可以表示成一系列初等矩阵的乘积; 8、n 级矩阵A 可逆⇔A 可以经过一系列初等行变换化为I ; 9、n 级矩阵A 可逆⇔A 可以经过一系列初等列变换化为I ; 10、n 级矩阵A 可逆⇔齐次线性方程组A x=0只有唯一零解.三、逆矩阵的性质:1、 逆的唯一性: 假如A 可逆,那么A 的逆B 是唯一的。
《一类带状无穷Toeplitz矩阵的可逆性》篇一一、引言在矩阵理论中,Toeplitz矩阵是一类特殊的方阵,其元素具有特定的模式,即每条对角线上的元素具有相同的索引。
而在众多的Toeplitz矩阵中,带状无穷Toeplitz矩阵因其独特的结构和性质,在数学、物理、工程等领域有着广泛的应用。
本文将重点探讨一类带状无穷Toeplitz矩阵的可逆性,分析其可逆的条件和性质。
二、带状无穷Toeplitz矩阵的定义带状无穷Toeplitz矩阵是一种特殊的Toeplitz矩阵,其元素按照一定的规律排列,且在无穷多个维度上延伸。
这类矩阵通常在信号处理、概率论、微分方程等领域中有所应用。
三、可逆性的基本概念在矩阵理论中,一个方阵A可逆,当且仅当存在另一个方阵B,使得AB=BA=I,其中I是单位矩阵。
此时,我们称B为A的逆矩阵。
一个可逆的矩阵通常具有良好的数学性质和实际意义,例如它能够描述线性方程组的解的存在性和唯一性。
四、带状无穷Toeplitz矩阵的可逆性对于一类带状无穷Toeplitz矩阵,其可逆性取决于多种因素。
首先,这类矩阵的元素应满足一定的规律性,以确保其具有良好的数学性质。
其次,这类矩阵的阶数或大小(即维数)对于其可逆性也具有重要影响。
另外,还需考虑其他相关因素,如矩阵的系数等。
四、一、可逆性的基本条件针对一类带状无穷Toeplitz矩阵,其可逆性的基本条件主要包括以下几点:1. 元素规律性:矩阵的元素应按照一定的规律排列,以确保其具有稳定的数学性质。
这种规律性通常与矩阵的生成方式、系数等因素有关。
2. 阶数和大小:对于方阵而言,其阶数或大小对于可逆性具有重要影响。
然而,对于带状无穷Toeplitz矩阵,由于其是无穷维的,因此阶数和大小的概念需重新定义和考虑。
一般来说,当矩阵在足够大的维度上满足一定条件时,可保证其可逆性。
3. 系数条件:除了元素规律性和阶数大小外,矩阵的系数也是影响其可逆性的重要因素。
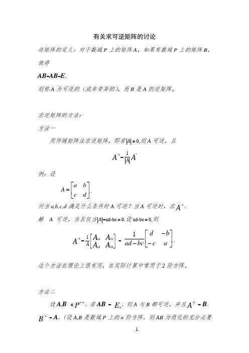
有关求可逆矩阵的讨论逆矩阵的定义:对于数域P 上的矩阵A ,如果有数域P 上的矩阵B ,使得AB =AB =E ,则称A 为可逆的(或非奇异的),而B 是A 的逆矩阵。
求逆矩阵的方法: 方法一用伴随矩阵法求逆矩阵,即若A ≠0,则A 可逆,且A AA*11=-例:设⎥⎦⎤⎢⎣⎡=d c b a A 。
问当a,b,c,d 满足什么条件时A 可逆?当A 可逆时,求A 1-, 解 A 可逆,当且仅当A =ad-bc ≠0.设ad-bc ≠0,则⎥⎦⎤⎢⎣⎡=-AA A A AA 2212211111 = ⎥⎦⎤⎢⎣⎡---a c b d bc ad 1。
这个方法在理论上很有用,在实际计算中常用于2阶方阵。
方法二设A ,B P n n ⨯∈,若AB =En,则A 与B 都可逆,并且A 1- = B ,B1- = A ,(设A,B 是数域P 上的n 阶方阵,则AB 为退化的充分必要条件是A ,B 至少有一个是退化的。
)例 已知A =⎥⎥⎥⎥⎦⎤⎢⎢⎢⎢⎣⎡---7600054000320001,且B = ()()A E A E -+-414,求()B E +-41。
解E 4+B = E4+()()A E A E -+-414= ()()A E A E ++-441+()()A E A E -+-414=()E A E 4124+- = 2()A E +-41,故()B E +-41=21()A E +4 =21⎢⎢⎢⎢⎢⎣⎡⎥⎥⎥⎥⎥⎦⎤⎥⎥⎥⎥⎦⎤⎢⎢⎢⎢⎣⎡---+⎥⎥⎥⎥⎦⎤⎢⎢⎢⎢⎣⎡76000540003200011000010********1= ⎥⎥⎥⎥⎦⎤⎢⎢⎢⎢⎣⎡---4300032000210001. 方法三 初等变换法。
这是最常用的求矩阵的方法,与这个方法有关的定理为:可逆矩阵经过初等变换所得到的行简化阶梯矩阵一定是单位矩阵。
例 设A = ⎥⎥⎥⎦⎤⎢⎢⎢⎣⎡112213324,求A 1-解 不必先求A 的行列式A ,直接对 []E A 3作初等行变换。
目录摘要 (1)关键词 (1)Abstract (1)Keywords (1)前言 (1)1.预备知识 (1)2.可逆矩阵的定义及性质 (1)2.1 可逆矩阵的定义 (1)2.2 可逆矩阵的性质 (2)3.可逆矩阵的判别方法及求逆矩阵的方法 (3)3.1 可逆矩阵的判别方法 (3)3.2 求逆矩阵的方法 (5)3.2.1 公式法 (5)3.2.2矩阵分块法 (6)3.2.3行(列)初等变换法 (7)参考文献 (7)对可逆矩阵的探讨学生姓名:郭来鹏 学号:20085034009 数学与信息科学学院 信息与计算科学专业 指导教师:杨金根 职称:讲师摘 要:本文给出了可逆矩阵的定义和性质,讨论了可逆矩阵的判定方法,并结合例题分析了可逆矩阵求逆的方法.关键词:可逆矩阵;伴随矩阵;单位矩阵Study on the Invertible MatrixAbstract : In this article, we give the definition and the properties of the invertible matrix ,discuss the decision methods that a matrix is invertible matrix or not, and analysis the methods of calculating the inverse matrix combined with some examples. Key Words: invertible matrix; adjoint matrix; unitary matrix前言在复数域中有加、减、乘、除四种运算,并且加与减、乘与除互为逆运算;在矩阵中我们已经学习了矩阵的加法、减法、乘法,而且知道加法与减法在矩阵中也互为逆运算,那么矩阵的乘法是否也存在逆运算呢?这就是本文我们要探讨的.1.预备知识定义 1 设ij A 是矩阵⎪⎪⎪⎪⎪⎭⎫⎝⎛=nn n n n n a a a a a a a a a A212222111211中元素的ij a 代数余子式,则矩阵⎪⎪⎪⎪⎪⎭⎫⎝⎛=nn n n n n A A A A A A A A A A212222111211*称为的矩阵A 伴随矩阵,且有E A A A AA ==**,(按一行展开即可得).2.可逆矩阵的定义及性质2.1 可逆矩阵的定义设矩阵A 是n 阶方阵,若存在n 阶方阵B 使得E BA AB ==,则称A 为可逆矩阵,B 为A 的逆矩阵.记作B A =-1. 2.2 可逆矩阵的性质性质1 设矩阵A 为n 阶可逆矩阵,若矩阵1-A 可逆,且A A =--11)(.证明 因为矩阵A 可逆,所以A A E AA 11--==,所以矩阵1-A 可逆.设1-=A B 则E B A =-1,A B =-1,即A A =--11)(.性质2 设矩阵A 为n 阶可逆矩阵,当0≠k 时,则kA 可逆,且111)(--=Ak kA .证明 因为矩阵A 可逆,所以存在矩阵B 使E BA AB ==,即1-=A B ,又因为0≠k ,所以kE kBA kAB ==,所以11()()()()kA B B kA E kk⨯=⨯=,所以kA 可逆,且1111)(--==AkB kkA .性质3 设矩阵A 为n 阶可逆矩阵,若矩阵T A 可逆,且11()()T T A A --=. 证明 因为矩阵A 可逆,且11()()T T T T A A A A E E --===,所以矩阵T A 可逆 且11()()T T A A --=.性质4 设矩阵A 为n 阶可逆矩阵,则11A A --=.证明 因为矩阵A 可逆,所以1A A E -=,所以111AA A A E --===, 所以11AA-=,即11A A --=.性质5 设矩阵A 和B 均为n 阶可逆矩阵,若0A B =,则0B =.证明 因为矩阵A 可逆,所以它的逆矩阵1-A 存在,使0A B =两边都左乘1-A 可得1100A AB A --==,又因为1AA E -=,所以0E B =,即0B =.性质6 设矩阵A 和B 均为n 阶可逆矩阵,若A B A C =,则B C =.证明 因为矩阵A 可逆,所以1-A 存在,因为使A B A C =两边都左乘1-A 可得11A AB A AC--=,所以E B E C =,即B C =.性质7 若矩阵A B 、均为可逆矩阵,则矩阵A B 可逆且111()AB B A ---=.证明 因为矩阵A B 、为可逆矩阵,所以它们的逆矩阵11A B --、均存在,又由于1111111()()()()BA AB BA AB B A A B B B E-------====111111()()()()AB B A AB B A A B B A AA E ------====.所以1111()()()AB B A B A E ----==,所以矩阵A B 可逆且111()AB B A ---=.推论 若矩阵12k A A A 、、、均为n 阶可逆矩阵,则矩阵12k A A A 可逆,且11111221k kA A A A A A ----= ().性质8 设矩阵A 为n 阶可逆矩阵,则矩阵A 的逆矩阵是唯一的.证明 假设矩阵B C 、均为矩阵A 的逆矩阵,则有E BA AB ==,A C C A E ==.于是有()()B BE B AC BA C EC C =====,所以矩阵A 的逆矩阵唯一.3.可逆矩阵的一些充要条件及求逆矩阵的方法3.1 可逆矩阵的充要条件定理1设矩阵A 为n 阶可逆矩阵,矩阵A 可逆的充要条件是存在n 阶矩阵B 使得E BA AB ==.定理2 设矩阵A 为n 阶矩阵,则以下几个命题是等价的: (1)矩阵A 可逆;(2)矩阵A 的行列式0A ≠; (3)矩阵的A 伴随矩阵*A 可逆;(4)矩阵的A 伴随矩阵*A 的行列式*0A ≠.证明 (1)(2)⇒ 因为矩阵A 可逆,所以存在n 阶矩阵使E BA AB ==,因此1A B A B E ===,所以0A ≠.(2)(1)⇒ 当0A ≠时,因为**AA A A A E==,所以**||AAAE A A A==,所以存在||*A A使得**||AAAE A A A==,所以矩阵A 可逆.(2)(3)⇒ 因为**AA A A A E==,所以**nAA A A A E A ===,又因为0A ≠,所以0nA≠,所以*0A ≠,由(2)(1)⇒的过程可知矩阵A 的伴随矩阵*A 可逆.(3)(2)⇒ 因为矩阵*A可逆,所以*0A ≠,且存在*1()A -使**1()A A E -=成立,则一定有0A ≠(否则假设0A ≠,因为[]0)()()(1*1**1**=====---A E A A AAA A A AE A ,由此可以推得矩阵A 为零矩阵,从而可得*A 也为零矩阵,则*0A =.这与*0A ≠相矛盾,所以0A ≠.(3)(4)⇒和(4)(3)⇒与(1)(2)⇒和(2)(1)⇒的证明方法一样.定理3 矩阵A 可逆的充要条件是存在n 阶矩阵B 使得)(E BA E AB ==. 证明 (必要性)矩阵A 可逆时,由定义可知存在n 阶矩阵B 使得E BA AB ==,所以存在n 阶矩阵B 使得E AB =.(充分性)由E AB =两边同时取行列式可得1===E B A AB ,所以0A ≠,由定理2可知矩阵A 可逆.定理4 矩阵A 可逆的充要条件是矩阵A 为满秩矩阵(即n A rank =)(). 证明 因为矩阵A 为满秩矩阵等价于0A ≠,而由定理2知0A ≠又等价于矩阵A 可逆,因此矩阵A 为满秩矩阵等价于矩阵A 可逆.定理5 矩阵A 可逆的充要条件是矩阵A 与单位矩阵E 等价(对矩阵A 施行初等变换可以使矩阵A 转化为单位矩阵E ).证明 (必要性)因为矩阵A 可逆,所以0A ≠.由定理4知n A rank =)(,又因为n E rank =)(,所以n E rank A rank ==)()(,即矩阵A与单位矩阵E 是等价的.(充分性)由矩阵A 与单位矩阵E 等价可得n E rank A rank ==)()(,所以由定理4知矩阵A 可逆.定理6 矩阵A 为可逆矩阵的充要条件是以矩阵A 为系数矩阵的齐次线性方程组B AX =的解唯一.证明 齐次线性方程组B AX =的解唯一等价于0A ≠,又等价于矩阵A 可逆. 定理7 矩阵A 可逆的充要条件是以矩阵A 为系数矩阵的齐次线性方B AX =的解唯一.本命题的方法和道理与定理7是一样的.定理8 矩阵A 可逆的充要条件是矩阵A 可表示为一些初等矩阵的乘积. 证明 实行初等行变换相当于在矩阵的左边或右边上一个初等矩阵,所以定理4也可以修改为:矩阵A 可逆的充要条件是存在一些初等矩阵l T T T 、、 21和k F F F 、、 21使得EF F AF T T T k l = 2121.又因为初等矩阵都存在可逆矩阵,所以1112111211------=F F F T T T A kl ,因为初等矩阵的逆矩阵还是初等矩阵,所以矩阵A 可表示为一些初等矩阵的乘积.即矩阵A 可逆的充要条件是矩阵A 可表示为一些初等矩阵的乘积.定理9 矩阵A 可逆的充要条件是矩阵A 的特征值均不为0.证明 (必要性)假设矩阵A 有一个特征值为01=λ,则01=-A E λ,又因为A A A E n)1(1-=-=-λ,所以0A =,由此可得矩阵A 不可逆这与矩阵A 可逆相矛盾,所以由矩阵A 可逆可得矩阵A 的特征值均不为0.(充分性)设矩阵A 的全部特征值为n λλλ、、、 21(其中),,2,10(n i i =≠,λ),因为A n =λλλ 21,而021≠n λλλ ,所以|A|≠0,因此矩阵A 可逆. 3.2 求逆矩阵的方法 3.2.1 公式法 若0A ≠,则||*1A AA=-.利用*A 和A 即可求出1-A .例1 已知矩阵⎪⎪⎪⎭⎫⎝⎛-=011102321A ,求出矩阵A 的逆矩阵. 解 用)3,2,1;3,2,1(==j i a ij 表示矩阵A 中的各个元素,ij A 表示元素ij a 的代数余子式,则10110)1(1111-=-=+A 10112)1(2112-=--=+A 21102)1(3113=--=+A30132)1(1221=-=+A 3131)1(2222=--=+A 31121)1(3223-=--=+A2132)1(1331=-=+A 51231)1(2332=-=+A 4221)1(3333-=-=+A且3=A而伴随矩阵⎪⎪⎪⎭⎫ ⎝⎛----=432531231*A ,所以⎪⎪⎪⎪⎭⎫ ⎝⎛----==-341323513132131*1A A A . 3.2.2 矩阵分块法对某一类矩阵作适当的分块,可以将高阶矩阵的求逆转化为低阶矩阵的求逆,从而简化计算,但要本着分块后的矩阵越简单越好的原则对矩阵进行分块.例2 设分块矩阵⎪⎪⎭⎫ ⎝⎛=B CAD 0,其中B A 、分别是k 级、r 级的可逆矩阵,C 是kr ⨯级矩阵, 0是零矩阵,求1D -.解 因为,0≠=B A D 所以D 可逆.设⎪⎪⎭⎫ ⎝⎛=-222112111X X X X D,于是⎪⎪⎭⎫⎝⎛=⎪⎪⎭⎫ ⎝⎛⎪⎪⎭⎫ ⎝⎛r kE E X X X X B C A00022211211这里k E 和r E 分别表示k级和r 级单位矩阵,乘出后比较两边等式可得⎪⎪⎩⎪⎪⎨⎧=+=+==rk E BXCXBX CX AX E AX 22122111121100由一式、二式得,00,112111===--A X A X 代入四式后得122-=B X . 再代入三式可得11121--=-=CACXBX ,所以1121---=CA B X ,因此⎪⎪⎭⎫⎝⎛-=-----111110B CA B A D. 3.2.3 行(列)初等变换法任何一个可逆矩阵A ,可经过一些行(列)初等变换转化为单位矩阵,即)(2112E Q Q AQ E A P P P t l == 其中)),,2,1()(,2,1(t i Q l i P i i ==都是初等矩阵,于是112112()l t A P P P A Q Q Q --== 即()()()11212-=−−−−→−AEE P P P AP P P E Al l 一些初等变换)(12121⎪⎪⎭⎫⎝⎛=⎪⎪⎭⎫ ⎝⎛−−−−→−⎪⎪⎭⎫ ⎝⎛-A E QQ EQ Q Q AQ E A t t 一些初等变换. 例3 我们仍然采用例1的题目. 解⎪⎪⎪⎪⎭⎫ ⎝⎛-----→⎪⎪⎪⎭⎫⎝⎛---→⎪⎪⎪⎭⎫ ⎝⎛-143214300125400013211013300125400013211011010102001321⎪⎪⎪⎪⎭⎫⎝⎛------→⎪⎪⎪⎪⎭⎫ ⎝⎛------→14321430324340403213100114321430320434040431021 ⎪⎪⎪⎪⎭⎫ ⎝⎛----→34132103513101032131001,所以⎪⎪⎪⎪⎭⎫⎝⎛----=-3413235131321311A . 通过对以上三种方法的介绍,可以得知针对第一种方法,当矩阵的阶数≤3时,采用本方法比较容易,然而当阶数比较大时就比较麻烦了;对于第二种方法,当分块后矩阵较为简单时,可以采用;与前两种方法相比第三种方法较为容易,而这种方法正是我们求逆矩阵时通常用的方法.参考文献:[1] 北京大学数学系几何与代数教研室前代数小组. 高等代数[M]. 北京:高等教育出版社,2003.[2] 田孝贵 等. 高等代数[M]. 首都师范大学出版社,1994. [3] 陈维新. 线性代数[M]. 北京:科学出版社,2004.[4] 杨奇、田代军、韩维信. 线性代数与解析几何[M]. 天津大学出版社,2002. [5] 唐亚楠. 高等代数同步辅导[M]. 中国矿业大学出版社,2006. [6] 王向东、周士藩. 高等代数常用方法[M]. 北京:科学出版社,1989.。
矩阵可逆的条件矩阵可逆是线性代数中一个重要的概念,一个矩阵是否可逆对于很多问题都有着重要的意义。
矩阵可逆的条件是怎样的呢?下面我们来详细介绍。
矩阵的定义首先,我们来回顾一下矩阵的定义。
矩阵是一个二维数组,由m行n列的数构成。
比如一个3行2列的矩阵可以表示为:\[ A = \begin{bmatrix} a_{11} & a_{12} \\ a_{21} & a_{22} \\ a_{31} & a_{32}\end{bmatrix} \]其中每一个\(a_{ij}\)表示矩阵A中第i行第j列的元素。
矩阵的可逆一个矩阵A可逆的条件是存在一个矩阵B,使得\[AB=BA=I\],其中I是单位矩阵。
如果一个矩阵可逆,那么我们称这个矩阵为非奇异矩阵;如果一个矩阵不可逆,那么我们称这个矩阵为奇异矩阵。
矩阵的条件矩阵可逆的条件有以下几个方面:行列式不为0对于一个n阶方阵A,如果它的行列式\[|A|eq 0\],那么矩阵A是可逆的,反之亦然。
行列式不为0保证了矩阵A的列是线性独立的,使得矩阵A可以被逆矩阵所逆。
矩阵秩等于行数矩阵A的秩等于它的行数时,矩阵A是可逆的。
这是因为矩阵的秩反映了矩阵A的列空间的维数,如果矩阵的秩等于行数,那么矩阵的列空间就是整个空间,所以矩阵A是可逆的。
列向量线性无关如果一个矩阵的列向量线性无关,那么这个矩阵是可逆的。
列向量线性无关保证了矩阵A的列是一个基,可以表示整个空间,从而使得矩阵A是可逆的。
总的来说,矩阵可逆的条件主要包括行列式不为0、矩阵的秩等于行数和列向量线性无关。
只有在满足这些条件的情况下,一个矩阵才是可逆的。
结论矩阵可逆是线性代数中一个非常重要的概念,矩阵的可逆性决定了很多问题的解的存在性。
通过本文的介绍,我们了解了矩阵可逆的条件,包括行列式不为0、矩阵的秩等于行数和列向量线性无关。
希望本文能帮助读者更好地理解矩阵的可逆性。
关于可逆矩阵及其应用的举例探讨矩阵是数学中一个重要的概念,也是许多科学领域中必不可少的工具。
可逆矩阵是研究矩阵的重要概念之一,具有广泛的应用。
本文将着重探讨可逆矩阵及其应用,并通过具体的实例进行阐述。
一、可逆矩阵的定义与性质可逆矩阵在数学上也称作非奇异矩阵(non-singular matrix)或满秩矩阵(full-rank matrix),其定义如下:假设矩阵$A$是一个$n \times n$的方阵,则称$A$为可逆矩阵,当且仅当它存在一个$n \times n$的矩阵$B$,满足$AB=BA=I$,其中$I$是单位矩阵。
可逆矩阵具有以下的性质:1. 对于任意一个可逆矩阵$A$,它的逆矩阵是唯一的,用$A^{-1}$表示。
2. 如果一个$n \times n$矩阵$A$是可逆的,那么它的$n$个列向量全部线性无关。
二、可逆矩阵的应用1. 方程组解唯一性可逆矩阵在解线性方程组中常常发挥着重要的作用。
假设有一个线性方程组$Ax=b$,其中$A$是一个$n \times n$的可逆矩阵,$x$和$b$都是$n$维列向量。
这个线性方程组的解为$x=A^{-1}b$。
由于可逆矩阵的逆矩阵是唯一的,所以当$A$是可逆矩阵时,线性方程组的解是唯一的。
这说明可逆矩阵作为解线性方程组的一个必要条件,也是一个非常重要的条件。
2. 矩阵的相似性如果矩阵$A$和$B$满足$B=P^{-1}AP$,其中$P$是一个可逆矩阵,则称矩阵$A$和$B$相似。
这个概念在矩阵理论中有着重要的应用。
对于相似的矩阵,它们之间具有许多相似的性质。
比如,它们的特征值相同,而特征向量之间的关系也相同。
通过这个概念,我们可以将矩阵分解成易于处理的形式,进一步进行计算和分析。
3. 线性变换在线性代数中,一个线性变换可以用一个矩阵来表示。
如果矩阵是可逆的,则线性变换是可逆的,它对向量的变换可以被逆转。
4. 数值计算在数值计算中,可逆矩阵是一个非常有用的工具。
矩阵可逆的若干判别方法可逆矩阵是高等代数中不可缺少的一部分,也是矩阵运算中的重要组成部分,对解决数数学问题有重大意义,学习可逆矩阵,对我们解决一些代数问题有极大的帮助。
如何判断矩阵可逆,主要有以下十一种方法。
一、矩阵可逆的基本概念(1)对于n 阶矩阵A ,若存在n 阶矩阵B ,使得AB=BA=I则称矩阵A 为可逆矩阵(或非退化或非奇异或满秩矩阵),或A 可逆,称B 为A 的逆矩阵,记作B= A -1。
注:若矩阵可逆,则A 的逆矩阵由A 唯一确定。
(2)矩阵A 的行秩等于列秩。
(3)矩阵A 经过一系列初等变换得到矩阵B ,则A 与B 等价。
(4)记矩阵A 中元素a ij 的代数余子式为A ij ,则A*=(A ij )Tn ×n ,我们就称A*为A 的伴随矩阵。
二、矩阵可逆的性质(1)若矩阵A 可逆,则A 的逆矩阵A -1也可逆,且(A -1)-1=A 。
(2)若矩阵A,B 均可逆,则矩阵AB 也可逆,且(AB) -1=B -1A -1。
(3)若矩阵A 可逆,则A T 也可逆,且(A T )-1=(A -1)T。
(4)若矩阵A 可逆,λ≠0,则λA 也可逆,且(A λ)=λ1A -1。
(5)若矩阵A 可逆,则|A -1|=||1A 。
(6)矩阵A 的逆矩阵A -1=||*A A 。
(7)若A 为m ×n 阶矩阵,P 为m 阶矩阵,Q 为n 阶矩阵,A,P,Q 均为可逆矩阵,则有r(PAQ)=r(PA)=r(AQ)=r(A)。
三、矩阵可逆的若干判别方法 (一)定义判别法对于n 阶方阵A ,若存在n 阶方阵B ,使得AB=BA=I,则A 可逆,且B 为A 的逆,记为B=A -1。
例1. 判断矩阵A=⎪⎪⎪⎭⎫ ⎝⎛010100001 是否可逆?证 存在矩阵B=⎪⎪⎪⎭⎫ ⎝⎛010100001,使得AB=BA=⎪⎪⎪⎭⎫⎝⎛100010001所以矩阵A 可逆。
注:此方法大多适用于简单的矩阵。
n阶矩阵可逆的充分必要条件(一)n阶矩阵可逆的充分必要条件引言在线性代数领域中,矩阵的可逆性是一个非常重要的概念。
在这篇文章中,我们将探讨n阶矩阵可逆的充分必要条件。
I. 什么是矩阵的可逆性?矩阵的可逆性,也称为矩阵的可逆、非奇异性,指的是一个矩阵是否存在逆矩阵。
如果一个矩阵存在逆矩阵,则称之为可逆矩阵;反之,如果一个矩阵不存在逆矩阵,则称之为不可逆矩阵。
II. n阶矩阵可逆的充分必要条件若矩阵A是一个n阶方阵,则以下条件是矩阵可逆的充分必要条件:1.行列式非零:矩阵A的行列式det(A)不等于零。
2.满秩:矩阵A的秩r等于n。
其中,秩r定义为线性无关的行(或列)的最大数目。
3.存在逆矩阵:矩阵A存在一个n阶逆矩阵A−1,满足AA−1=A−1A=I。
其中,I为n阶单位阵。
III. 可逆矩阵的性质可逆矩阵具有以下性质:1.唯一性:如果一个矩阵是可逆的,那么它的逆矩阵是唯一的。
2.乘积的可逆性:如果矩阵A和矩阵B都是可逆的,那么它们的乘积AB也是可逆的,并且(AB)−1=B−1A−1。
3.转置的可逆性:如果矩阵A是可逆的,那么其转置矩阵A T也是可逆的,并且(A T)−1=(A−1)T。
IV. 可逆矩阵的应用可逆矩阵在实际应用中有广泛的用途,例如:1.线性方程组的求解:通过求解矩阵方程AX=B,可以使用可逆矩阵将其转化为X=A−1B,从而求解未知向量X。
2.矩阵变换的逆运算:通过可逆矩阵的逆矩阵,可以实现对矩阵的逆变换,如旋转、缩放和平移等操作。
3.数据压缩与恢复:可逆矩阵可以用于数据压缩算法,如主成分分析(PCA)和奇异值分解(SVD),用于降低数据维度并实现数据的恢复。
结论在本文中,我们讨论了n阶矩阵可逆的充分必要条件,即行列式非零、满秩和存在逆矩阵。
我们还介绍了可逆矩阵的性质和应用。
理解矩阵可逆性的概念对于我们在线性代数和应用数学中的学习和实践都具有重要意义。
希望通过本文的介绍,读者能够对n阶矩阵的可逆性有更深入的理解,并将这一概念应用于实际问题中。
可逆线性变换与可逆矩阵的定义与性质可逆线性变换与可逆矩阵是线性代数中非常重要的概念。
在研究线性变换和矩阵的性质时,我们经常会遇到可逆变换和可逆矩阵,它们具有很多重要的性质和应用。
本文将深入探讨可逆线性变换与可逆矩阵的定义与性质,帮助读者更好地理解和应用它们。
一、可逆线性变换的定义与性质1. 定义:一个线性变换T称为可逆的,如果存在另一个线性变换S,使得TS = ST = I,其中I为恒等变换。
简单来说,可逆线性变换存在一个逆变换,使得它们的乘积等于恒等变换。
2. 性质1:如果线性变换T可逆,那么它的逆变换是唯一的。
换句话说,如果TS = ST = I,那么逆变换S就是唯一的,记作T^{-1}。
3. 性质2:可逆线性变换的逆变换也是可逆的。
如果T可逆,则T^{-1}也可逆,且(T^{-1})^{-1} = T。
4. 性质3:可逆线性变换的转置也是可逆的。
如果T可逆,则其转置T^T也可逆,且(T^T)^{-1} = (T^{-1})^T。
5. 性质4:可逆线性变换的乘积也是可逆的。
如果T和U都是可逆的线性变换,则TU也是可逆的,且(TU)^{-1} = U^{-1}T^{-1}。
二、可逆矩阵的定义与性质1. 定义:一个n阶方阵A称为可逆的,如果存在另一个n阶方阵B,使得AB = BA = I。
类似于可逆线性变换,可逆矩阵存在一个逆矩阵,使得它们的乘积等于单位矩阵。
2. 性质1:如果矩阵A可逆,那么它的逆矩阵是唯一的。
换句话说,如果AB = BA = I,那么逆矩阵B就是唯一的,记作A^{-1}。
3. 性质2:可逆矩阵的逆矩阵也是可逆的。
如果A可逆,则A^{-1}也可逆,且(A^{-1})^{-1} = A。
4. 性质3:可逆矩阵的转置也是可逆的。
如果A可逆,则其转置A^T也可逆,且(A^T)^{-1} = (A^{-1})^T。
5. 性质4:可逆矩阵的乘积也是可逆的。
如果A和B都是可逆的矩阵,则AB也是可逆的,且(AB)^{-1} = B^{-1}A^{-1}。
可逆矩阵的性质可逆矩阵(invertible matrix)是在线性代数和数学分析中极为重要的概念,它的性质不仅对线性代数有着深远的影响,而且在其他数学领域也有着重要的应用。
在本文中,我们将介绍可逆矩阵的性质,并讨论可逆矩阵的应用。
一、可逆矩阵的定义可逆矩阵是一种复数矩阵,它的定义为:满足其逆矩阵存在的矩阵称为可逆矩阵,记作A,其逆矩阵记作A^(-1),则A^(-1)A=I,其中I为单位矩阵。
二、可逆矩阵的性质1、矩阵的乘法由于可逆矩阵的定义,因此可逆矩阵的乘法也具有一定的特性,即A^(-1)A=I,A*A^(-1)=I。
这表明,可逆矩阵的乘积是一个单位矩阵,这个特性对于解决复杂的线性方程组非常有用。
2、矩阵的逆可逆矩阵的逆也是一个重要的性质,它表明A^(-1)可以由A求得,也就是说,如果A是可逆矩阵,则存在一个可以由A求得的矩阵A^(-1),使得A*A^(-1)=I。
3、矩阵的行列式另外,可逆矩阵的行列式也是一个重要的性质。
如果A是可逆矩阵,则它的行列式必须不为0,反之,如果行列式不为0,则矩阵A也是可逆矩阵。
此外,可逆矩阵的行列式也可以用来计算矩阵A的逆矩阵A^(-1),即A^(-1)=|A|^(-1)A^(-1),其中|A|表示矩阵A的行列式。
三、可逆矩阵的应用1、解决线性方程组由于可逆矩阵的乘积是一个单位矩阵,因此可以用可逆矩阵来解决复杂的线性方程组,这是由于可逆矩阵的乘法可以将一个复杂的线性方程组转换为一个单位矩阵,从而可以解决复杂的线性方程组。
2、求解微分方程由于可逆矩阵具有一定的性质,可以用可逆矩阵来求解微分方程,这是由于可逆矩阵的逆可以用来求解微分方程的积分式。
3、解决线性最优化问题可逆矩阵还可以用于解决线性最优化问题,这是由于可逆矩阵的乘积可以将一个复杂的线性最优化问题转换为一个单位矩阵,从而可以解决复杂的线性最优化问题。
四、结论可逆矩阵是一种重要的数学概念,它不仅对线性代数有着深远的影响,而且在其他数学领域也有着重要的应用。
《一类带状无穷Toeplitz矩阵的可逆性》篇一一、引言在矩阵理论中,Toeplitz矩阵是一种特殊的方阵,其性质和可逆性在数学、物理、工程等多个领域都有广泛的应用。
本文将探讨一类特殊的带状无穷Toeplitz矩阵的可逆性,并对其性质进行深入分析。
二、带状无穷Toeplitz矩阵的定义带状无穷Toeplitz矩阵是一种特殊的Toeplitz矩阵,其元素按照一定的规律在主对角线上呈现带状分布。
这类矩阵在数学建模和实际问题中经常出现,如信号处理、图像分析等领域。
三、可逆性的基本概念在讨论矩阵的可逆性之前,我们需要了解可逆性的基本概念。
一个方阵A是可逆的,当且仅当存在另一个方阵B,使得AB=BA=I,其中I是单位矩阵。
如果矩阵A是可逆的,则其逆矩阵记为A-1。
可逆矩阵在数学和实际应用中具有广泛的应用,如线性方程组的求解、矩阵的运算等。
四、带状无穷Toeplitz矩阵的可逆性分析对于一类带状无穷Toeplitz矩阵,其可逆性受到多种因素的影响。
首先,矩阵的带状结构使得其具有一定的特殊性,这在一定程度上影响了其可逆性。
其次,矩阵的元素分布、值的大小以及符号等因素也会对其可逆性产生影响。
为了分析带状无穷Toeplitz矩阵的可逆性,我们可以采用以下方法:1. 观察法:通过观察矩阵的元素分布和结构,初步判断其可逆性。
2. 代数法:利用行列式、特征值等代数工具,对矩阵进行计算和分析,判断其是否可逆。
3. 数值法:通过数值计算和仿真,对矩阵进行数值分析和验证。
五、实例分析为了更好地理解带状无穷Toeplitz矩阵的可逆性,我们可以结合具体实例进行分析。
例如,考虑一个具有特定元素分布和结构的带状无穷Toeplitz矩阵,通过上述方法判断其可逆性,并给出具体的计算过程和结果。
通过实例分析,我们可以更深入地了解带状无穷Toeplitz矩阵的可逆性及其影响因素。
六、结论通过对一类带状无穷Toeplitz矩阵的可逆性进行分析,我们可以得出以下结论:1. 带状无穷Toeplitz矩阵的可逆性受到其元素分布、值的大小和符号等因素的影响。
上海大学2011~2012 学年冬季学期课程论文课程名称:线性代数与几何课程编号:01014108 论文题目:关于矩阵的可逆性探讨作者姓名: 学号: 成绩:论文评语:评阅人:评阅日期:关于矩阵的可逆性探讨姓名:学号:摘要:本文首先给出矩阵可逆的定义、性质,其次探讨矩阵可逆的判定方法、逆矩阵的求法以及矩阵可逆的应用,特别是在编码、解码方面的应用。
最后,本文对可逆矩阵进行了相应的推广。
关键词:矩阵矩阵的逆秩广义逆正文:引言在这篇文章中涉及到一些线性代数中的专有符号,在此做些说明。
r(A)是矩阵 A 的秩、A是矩阵 A 的行列式。
写这篇文章主要是对矩阵的可逆性由来及定义、性质、应用等等进行探讨。
这篇文章的其余部分是这么编排的,章节一是矩阵的定义,章节二主要是逆阵的性质,章节三是逆矩阵的判定方法,接下来的章节四是逆矩阵的求法,章节五就是逆矩阵的应用,最后一个章节是对矩阵逆的推广。
章节一:矩阵逆的定义首先,迎面而来的问题是逆矩阵是什么呢,我们为何要映入逆矩阵的概念。
从以前学到的知识中我们知道,矩阵和复数相仿,有加、减、乘三种运算,为了要完善矩阵的运算,我们因此引入了矩阵的逆这个概念。
对于 n 阶矩阵 A,如果有一个 n 阶矩阵 B,使得 AB=BA=I,则说矩阵 A 是可逆的,并把矩阵 B 称为A 的逆矩阵,A 的逆矩阵记为A-1 。
章节二:可逆矩阵的性质1、若矩阵 A、B 均可逆,则矩阵 AB 可逆,其逆阵为 B -1 A -1 ,当然这一性质可以推广到多个矩阵相乘的逆。
2、若 A 可逆,则A-1也可逆,且(A-1)-1=A;3、若A 可逆,数≠ 0 ,则A可逆,且(A)-1=1A-1;4、若 A 可逆,则A T 也可逆,且(A T )-15、( A ')-1= ( A-1 )'.=(A -1)T 。
6、逆矩阵还有一个性质,就是矩阵的逆是唯一的,下面给出相应证明:这里运用反证法,如果 A 是可逆矩阵,假设 B,C 都是A 的逆,则有AB=BA=E=AC=CA B=BE=B(AC)=(BA)C=EC=C(与B ≠C 矛盾)所以是唯一的。
章节三:矩阵可逆的判定方法矩阵可逆有如下若干充要条件:(A 为n 阶方阵)1、存在 B 为n 阶方阵,使得 AB=I;2、对于 PAQ=3、A ≠ 0 ;Ir,其中 r(A)=n;4、A 的行向量组线性无关;5、A 的列向量组线性无关;6、A 可表示成一系列初等矩阵的乘积;7、A 可经过一系列初等行变换化成单位矩阵 I;8、A 可经过一系列初等列变换化成单位矩阵 I;9、对于齐次线性方程组 AX=0 只有零解;10、 A 是非奇异矩阵。
章节四:矩阵的逆的求法1、从初等变换角度( A I) −行−初−等变−换→(I A-1)具体方法是:欲求 A 的逆矩阵时,首先由 A 作出一个n ⨯ 2n 矩阵,即( A E) ,其次对这个矩阵施以行初等变换( 且只能用行初等变换) ,将它的左半部的矩阵 A 化为单位矩阵,那么原来右半部的单位矩阵就同时化为AAA ⎪⎨ ⎛ A ⎫ ⎛ E ⎫ 行初等变换-1⎪ ⎪A -1 :( A I) −−−−→(I A ) 或者 ⎪ −列−初−等变−换→ ⎪ E ⎪ A -1 ⎪ ⎝ ⎭ ⎝ ⎭注:在事先不知道 n 阶矩阵是可逆的情况下,也可直接用此方法。
如果在初等变换过程中发现左边的矩阵有一行元素全为 0,则意味着 A 不可逆。
2、从矩阵 A 的伴随阵(伴随矩阵)定义:设 A = (a ij ) 是 n 级方阵,用 A ij 表示 A 的(i , j ) 元的⎛ A 11 代数余子式(i , j = 1 n ) ,矩阵 A 12⎝ 1n A 21 A 22A 2n A n 1 ⎫ A n 2 ⎪ 称为 A 的伴随矩阵,记作 A*。
⎪ nn ⎭定理矩阵 A 可逆的充分必要条件是 A ≠ 0 ,并且当 A 可逆时,有A -1 =1A *。
则根据本定理,也可计算出 A 的逆阵。
这个定理不仅可以求一个矩阵的逆,并且还可以判断矩阵是否可逆,但是这种方法主要用在理论上以及 2 级或 3 级矩阵的情形,如果阶数较大,那么使用此方法计算量太大。
对伴随矩阵的小拓展:伴随矩阵的定义,强调伴随矩阵中元素的构成规律;伴随矩阵常用的性质对于任意的方阵 A 均有此伴随矩阵 A *使得AA * = A * A = A E 。
当 A ≠ 0时,A -1 = 1A *,当 A = 0时:AA * = A * A = 0对于一般地方阵 A ,其伴随矩阵 A * 的秩为:⎧ n r ( A *) = ⎪1 ⎪ ⎩ 若 r ( A ) = n 若r ( A ) = n -1若r ( A ) ≤ n - 2A 0当A≠0时,A*= A n-1,当A = 0时A*= 0 。
由定理逆矩阵判定的方法还有:推论1 n 级矩阵A 可逆的充要条件是矩阵A 的秩为n。
推论2 矩阵A 可逆的充要条件是它的特征值都不为0。
推论3 n 级矩阵A 可逆的充分必要条件是它的行( 或列) 向量组线性无关。
3、初等变换法(初等行变换初等列变换初等行列变换)定义对矩阵施行以下三种变换称为矩阵的初等变换:(1)交换矩阵的两行( 列) ;(2)以一个非零的数k 乘矩阵的某一行( 列) ;(3)把矩阵的某一行(列) 的k 倍加到另一行( 列) 。
定理方阵A 可逆的充分必要条件是A 可表示为若干个同阶初等矩阵的乘积。
4、待定系数法具体说来,待定系数法也就是定义法的具体应用,假设出矩阵 A 的逆阵 B,根据 AB=I,展开相乘再根据矩阵的相等就可解出逆阵 B 的各元。
章节五:矩阵逆的应用(主要在编码、解码方面)矩阵密码法是信息编码与解码的技巧,其中的一种是基于利用可逆短阵的方法.先在26 个英文字母与数字间建立起一一对应,例如可以是A B ……Y Z………………1 2 …… 25 26若要发出信息“SEND MONEY”,使用上述代码,则此信息的编码是19,5, 14,4,13,l 5,14,5,25,其中5 表示字母E.不幸的是,这种编码很容易被别人破译.在一个较长的信息编码中,人们会根据那个出现频率最高的数值而猜出它代表的是哪个字母,比如上述编码中出现次数最多的数值是5,人们自然会想到它代表的是字母E,因为统计规律告诉我们,字母E 是英文单词中出现频率最高的.我们可以利用矩阵乘法来对“明文”SEND MONEY 进行加密,让其变成“密A⎢ ⎥ ⎢ ⎥ ⎢ ⎥ ⎢ ⎥ ⎢ ⎥ 文”后再行传送,以增加非法用户破译的难度,而让合法用户轻松解密.如果一个矩阵A 的元素均为整数,而且其行列式 A= ± 1,那么由 A -1 = 1 A *即知,A -1的元素均为整数.我们可以利用这样的矩阵A 来对明文加密,使加密之后的密文很难破译.现在取⎡1 2 1⎤ ⎢2 5 3⎥ A=⎢⎣2 3 2⎥⎦ 明文“SEND MONEY”对应的9 个数值按3 列被排成以下的矩阵⎡19 4 14⎤ ⎢ 5 13 5 ⎥ B=⎢⎣14 15 25⎥⎦矩阵乘积⎡1 2 1⎤ ⎡19 4 14⎤ ⎡ 43 45 49 ⎤ ⎢2 5 3⎥ ⎢ 5 13 5 ⎥ = ⎢105 118 128⎥ AB=⎢⎣2 3 2⎥⎦ ⎢⎣14 15 25⎥⎦ ⎢⎣ 81 77 93 ⎥⎦ 对应着将发出去的密文编码:43,105,81,45,118,77,49,128,93 合法用户用A 1去左乘上述矩阵即可解密得到明文.为了构造“密钥”矩阵A ,我们可以从单位阵I 开始,有限次地使用第三类初等行变换,而且只用某行的整数倍加到另一行,当然,第一类初等行变换也能使用.这样得到的矩阵A ,其元素均为整数,而且由于 A = ± 1可知, A -1的元素必然均为整数.章节六:可逆矩阵的推广———广义逆众所周知,目前我们所学习、所了解的矩阵的可逆都是建立在 n 阶方阵的基础上,那如果是长方阵呢,对于长方阵,是否也有逆的性质,长方阵的逆又是怎样的呢?现在经过查阅资料,我对矩阵的逆来做些推广,这也就是标题中所说的长方阵的广义逆。
逆是逆元的简称,跟 n 阶方阵一样,长方阵与其广义逆之间也有着相应的关系——AXA=A。
这边的 X 就成为长方阵 A 的广义逆,记为 A 或者 A-。
若A 为非奇异矩阵,则线性方程组A=b 的解为A-=A(A-b,其中A 的逆矩阵A(A-满足 AA(A-=A(A=I(I 为单位矩阵)。
若 A 是奇异阵或长方阵。
A=b 可能无解或有很多解。
若有解,则解为 Xb+(I-XA),其中是维数与 A 的列数相同的任意向量,X 是满足 AXA=A 的任何一个矩阵,通常称 X 为 A 的广义逆矩阵,用 A-等符号表示,有时简称广义逆。
当 A 非异时 ,A(A-也满足 AA(A-A=A,且。
故非异阵的广义逆矩阵就是它的逆矩阵,说明广义逆矩阵确是通常逆矩阵概念的推广。
结束语:本次矩阵可逆性的探讨这个 project 看似很复杂,但其中的大部分只是都是我们已经掌握了的,我想这个 project 帮助我们回忆巩固了许多知识,并且对于逆的推广,是对我们创造力、思维能力的有效培养。
参考文献:[1]王萼芳、石生明.高等代数.高等教育出版社..2003 年第三版;[2]李尚志.线性代数.高等教育出版社.2006 年第一版.。