三次样条插值的MATLAB实现
- 格式:doc
- 大小:215.00 KB
- 文档页数:4
题目背景:对y=1/(1+x^2)在[-1,1]区间以Xn=-1+0.1*(n-1),n=1 (21)为插值点做三次样条插值求解思路简析:以插值为四段三次函数为例进行说明(题干为插值20段三次函数),可看出方程组为q*x=d,其中q为方程组系数矩阵,x为所求三次函数的系数矩阵,其中方程组系数矩阵和d均呈规律性变化(边界点除外,首位两个点特殊堪虑)function qiujieyangtiao %%定义求解函数q=zeros(80); %%方程组的系数矩阵,赋初值为0n=-1:0.1:1; %%插值点的横坐标nd=zeros(80,1); %%插值点q*x=d中的dy=zeros(21,1); %%插值点的纵坐标向量a=1;for i=-1:0.1:1y(a)=1/(1+i^2);a=a+1; %%给插值点的纵坐标y通过原函数赋值endq(1,3)=2;q(1,4)=6*n(1);q(2,1)=1;q(2,2)=n(1);q(2,3)=n(1)^2;q(2,4)=n(1)^3;d(2)=y(1); %%给左端边界点的两个方程组系数赋值j=2;for i=3:4:75q(i,i-1)=1;q(i,i)=2*n(j);q(i,i+1)=3*n(j)^2;q(i,i+3)=-1;q(i,i+4)=-2*n(j);q(i,i+5)=-3*n(j)^2;d(i)=0;q(i+1,i)=2;q(i+1,i+1)=6*n(j);q(i+1,i+4)=-2;q(i+1,i+5)=-6*n(j);d(i+1)=0;q(i+2,i-2)=1;q(i+2,i-1)=n(j);q(i+2,i)=n(j)^2;q(i+2,i+1)=n(j)^3;d(i+2)=y(j);q(i+3,i+2)=1;q(i+3,i+3)=n(j);q(i+3,i+4)=n(j)^2;q(i+3,i+5)=n(j)^3;d(i+3)=y(j);j=j+1;end %%给系数矩阵赋值q(79,79)=2;q(79,80)=6*n(21);d(79)=0;q(80,77)=1;q(80,78)=n(21);q(80,79)=n(21)^2;q(80,80)=n(21)^3;d(80)=y(21); %%给右端边界点的两个方程组系数赋值result=q\d; %%求解系数矩阵function A=fun(x)if x>=-1&&x<-0.9A=result(1)+result(2)*x+result(3)*x*x+result(4)*x*x*x;elseif x>=-0.9&x<-0.8A=result(5)+result(6)*x+result(7)*x*x+result(8)*x*x*x;elseif x>=-0.8&x<-0.7A=result(9)+result(10)*x+result(11)*x*x+result(12)*x*x*x; elseif x>=-0.7&x<-0.6A=result(13)+result(14)*x+result(15)*x*x+result(16)*x*x*x; elseif x>=-0.6&x<-0.5A=result(17)+result(18)*x+result(19)*x*x+result(20)*x*x*x; elseif x>=-0.5&x<-0.4A=result(21)+result(22)*x+result(23)*x*x+result(24)*x*x*x; elseif x>=-0.4&x<-0.3A=result(25)+result(26)*x+result(27)*x*x+result(28)*x*x*x; elseif x>=-0.3&x<-0.2A=result(29)+result(30)*x+result(31)*x*x+result(32)*x*x*x; elseif x>=-0.2&x<-0.1A=result(33)+result(34)*x+result(35)*x*x+result(36)*x*x*x; elseif x>=-0.1&x<0A=result(37)+result(38)*x+result(39)*x*x+result(40)*x*x*x; elseif x>=0&x<0.1A=result(41)+result(42)*x+result(43)*x*x+result(44)*x*x*x; elseif x>=0.1&x<0.2A=result(45)+result(46)*x+result(47)*x*x+result(48)*x*x*x; elseif x>=0.2&x<0.3A=result(49)+result(50)*x+result(51)*x*x+result(52)*x*x*x; elseif x>=0.3&x<0.4A=result(53)+result(54)*x+result(55)*x*x+result(56)*x*x*x; elseif x>=0.4&x<0.5A=result(57)+result(58)*x+result(59)*x*x+result(60)*x*x*x; elseif x>=0.5&x<0.6A=result(61)+result(62)*x+result(63)*x*x+result(64)*x*x*x; elseif x>=0.6&x<0.7A=result(65)+result(66)*x+result(67)*x*x+result(68)*x*x*x; elseif x>=0.7&x<0.8A=result(69)+result(70)*x+result(71)*x*x+result(72)*x*x*x; elseif x>=0.8&x<0.9A=result(73)+result(74)*x+result(75)*x*x+result(76)*x*x*x; elseA=result(77)+result(78)*x+result(79)*x*x+result(80)*x*x*x; endend %%插值函数用子函数表达,方便调用x=linspace(-1,1);for i=1:length(x)A(i)=fun(x(i));endY=1./(1+x.^2);plot(x,Y,'--',x,A,':')legend('primitive','fitting') %%将原函数与该插值函数画在同一图上进行比较grid ontitle('三次样条插值')for m=1:20fprintf("S%d=%.3f+%.3f*x+%.3f*x.^2+%.3f*x.^3\n",m,result(4*m-3,1),result(4*m-2,1),result(4*m-1,1),result(4*m,1)) %%输出结果endend输出结果:S1=2.049+3.619*x+3.104*x.^2+1.035*x.^3S2=1.010+0.156*x+-0.743*x.^2+-0.390*x.^3S3=1.137+0.632*x+-0.149*x.^2+-0.143*x.^3S4=1.054+0.273*x+-0.660*x.^2+-0.386*x.^3S5=1.023+0.120*x+-0.916*x.^2+-0.528*x.^3S6=1.003+-0.002*x+-1.160*x.^2+-0.691*x.^3S7=0.997+-0.044*x+-1.265*x.^2+-0.779*x.^3S8=0.998+-0.034*x+-1.233*x.^2+-0.743*x.^3S9=1.000+-0.010*x+-1.113*x.^2+-0.543*x.^3S10=1.000+-0.000*x+-1.010*x.^2+-0.200*x.^3S11=1.000+-0.000*x+-1.010*x.^2+0.200*x.^3S12=1.000+0.010*x+-1.113*x.^2+0.543*x.^3S13=0.998+0.034*x+-1.233*x.^2+0.743*x.^3S14=0.997+0.044*x+-1.265*x.^2+0.779*x.^3S15=1.003+0.002*x+-1.160*x.^2+0.691*x.^3S16=1.023+-0.120*x+-0.916*x.^2+0.528*x.^3S17=1.054+-0.273*x+-0.660*x.^2+0.386*x.^3S18=1.137+-0.632*x+-0.149*x.^2+0.143*x.^3S19=1.010+-0.156*x+-0.743*x.^2+0.390*x.^3S20=2.049+-3.619*x+3.104*x.^2+-1.035*x.^3对比图。
实验一 MATLAB 运算基础1. 先求以下表达式的值,尔后显示 MATLAB 工作空间的使用情况并保存全部变量。
(1)2sin 85 z1 21 e(2) 12z ln( x 1 x ) ,其中22 x2 1 2i5(3)ae e az sin( a 0.3) ln , a 3.0, 2.9, L , 2.9, 32 22t 0 t 1(4) 2z t 1 1 t 242t 2t 1 2 t 3,其中解:M 文件:z1=2*sin(85*pi/180)/(1+exp(2))x=[2 1+2*i;-.45 5];z2=1/2*log(x+sqrt(1+x^2))a=-3.0:0.1:3.0;z3=(exp(0.3.*a)-exp(-0.3.*a))./2.*sin(a+0.3)+log((0.3+a)./2)t=0:0.5:2.5;z4=(t>=0&t<1).*(t.^2)+(t>=1&t<2).*(t.^2-1)+(t>=2&t<3) .*(t.^2-2*t+1)4. 完成以下操作:(1) 求[100,999] 之间能被 21 整除的数的个数。
(2) 建立一个字符串向量,删除其中的大写字母。
解:(1) 结果:m=100:999;n=find(mod(m,21)==0);length(n)ans =43(2). 建立一个字符串向量比方:ch='ABC123d4e56Fg9'; 那么要求结果是:ch='ABC123d4e56Fg9';k=find(ch>='A'&ch<='Z');ch(k)=[]ch =123d4e56g9实验二 MATLAB矩阵解析与办理1. 设有分块矩阵 A E R3 3 3 2O S2 3 2 2,其中 E、R、O、S 分别为单位矩阵、随机矩阵、零矩阵和对角阵,试经过数值计算考据 2A E R RS2O S。
佛山科学技术学院实 验 报 告课程名称 数值分析 实验项目 插值法与数据拟合 专业班级 机械工程 姓 名 余红杰 学 号 10 指导教师 陈剑 成 绩 日 期 月 日一、实验目的1、学会Lagrange 插值、牛顿插值和三次样条插值等基本插值方法;2、讨论插值的Runge 现象3、学会Matlab 提供的插值函数的使用方法,会用这些函数解决实际问题。
二、实验原理1、拉格朗日插值多项式2、牛顿插值多项式3、三次样条插值 三、实验步骤1、用MATLAB 编写独立的拉格朗日插值多项式函数2、用MATLAB 编写独立的牛顿插值多项式函数3、用MATLAB 编写独立的三次样条函数(边界条件为第一、二种情形)4、已知函数在下列各点的值为:根据步骤1,2,3编好的程序,试分别用4次拉格朗日多项式4()L x 、牛顿插值多项式4()P x 以及三次样条函数()S x (自然边界条件)对数据进行插值,并用图给出 {(,),0.20.08,0,1,2,,10i i i x y x i i =+=},4()L x 、4()P x 和()S x 。
5、在区间[-1,1]上分别取10,20n =用两组等距节点对龙格函数21(),(11)125f x x x=-≤≤+作多项式插值,对不同n 值,分别画出插值函数及()f x 的图形。
6、下列数据点的插值可以得到平方根函数的近似,在区间[0,64]上作图。
(1)用这9个点作8次多项式插值8()L x 。
(2)用三次样条(第一边界条件)程序求()S x 。
7、对于给函数21()125f x x =+在区间[-1,1]上取10.2(0,1,,10)i x i i =-+=,试求3次曲线拟合,试画出拟合曲线并打印出方程,与第5题的结果比较。
四、实验过程与结果:1、Lagrange 插值多项式源代码:function ya=lag(x,y,xa) %x 所有已知插值点 %y 插值点对应函数值 %xa 所求点,自变量 %ya 所求点插值估计量 ya=0; mu=1; %初始化%循环方式求L 系数,并求和: for i = 1:length(y) for j = 1:length(x) if i ~= jmu = mu * (xa - x(j) ) / ( x(i) - x(j) ); else continue end endya = ya + y(i) * mu ; mu = 1; end2、Newton 源代码:function ya = newton(x,y,xa) %x 所有已知插值点 %y 插值点对应函数值 %xa 所求点,自变量 %ya 所求点插值估计量 %建立系数零矩阵D 及初始化:D = zeros(length(x)-1);ya = y(1);xi = 1;%求出矩阵D,该矩阵第一行为牛顿插值多项式系数:for i=1:(length(x)-1)D(i,1) = (y(i+1) -y(i))/(x(i+1) -x(i));endfor j=2:(length(x)-1)for i=1:(length(x)-j)D(i,j) = (D(i+1,j-1) - D(i,j-1)) / (x(i+j) - x(i)); endend%xi为单个多项式(x-x(1))(x-x(2))...的值for i=1:(length(x)-1)for j=1:ixi = xi*(xa - x(j));endya = ya + D(1,i)*xi;xi = 1;end3、三次样条插值多项式(1)(第一边界条件)源代码:function y=yt1(x0,y0,f_0,f_n,x) _____________(1)%第一类边界条件下三次样条插值;%xi 所求点;%yi 所求点函数值;%x 已知插值点;%y 已知插值点函数值;%f_0左端点一次导数值;%f_n右端点一次导数值;n = length(x0);z = length(y0);h = zeros(n-1,1);k=zeros(n-2,1);l=zeros(n-2,1);S=2*eye(n);for i=1:n-1h(i)= x0(i+1)-x0(i);endfor i=1:n-2k(i)= h(i+1)/(h(i+1)+h(i));l(i)= 1-k(i);end%对于第一种边界条件:k = [1;k]; _______________________(2)l = [l;1]; _______________________(3)%构建系数矩阵S:for i = 1:n-1S(i,i+1) = k(i);S(i+1,i) = l(i);end%建立均差表:F=zeros(n-1,2);for i = 1:n-1F(i,1) = (y0(i+1)-y0(i))/(x0(i+1)-x0(i));endD = zeros(n-2,1);for i = 1:n-2F(i,2) = (F(i+1,1)-F(i,1))/(x0(i+2)-x0(i));D(i,1) = 6 * F(i,2);end%构建函数D:d0 = 6*(F(1,2)-f_0)/h(1); ___________(4)dn = 6*(f_n-F(n-1,2))/h(n-1); ___________(5)D = [d0;D;dn]; ______________(6)m= S\D;%寻找x所在位置,并求出对应插值:for i = 1:length(x)for j = 1:n-1if (x(i)<=x0(j+1))&(x(i)>=x0(j))y(i) =( m(j)*(x0(j+1)-x(i))^3)/(6*h(j))+...(m(j+1)*(x(i)-x0(j))^3)/(6*h(j))+...(y0(j)-(m(j)*h(j)^2)/6)*(x0(j+1)-x(i))/h(j)+... (y0(j+1)-(m(j+1)*h(j)^2)/6)*(x(i)-x0(j))/h(j) ; break;else continue;endendend(2)(自然边界条件)源代码:仅仅需要对上面部分标注的位置做如下修改:__(1):function y=yt2(x0,y0,x)__(2):k=[0;k]__(3):l=[l;0]__(4)+(5):删除—(6):D=[0:D:0]4、——————————————PS:另建了一个f方程文件,后面有一题也有用到。
文章标题:深度解析Matlab三次样条插值1. 前言在数学和工程领域中,插值是一种常见的数值分析技术,它可以用来估计不连续数据点之间的值。
而三次样条插值作为一种常用的插值方法,在Matlab中有着广泛的应用。
本文将从简单到复杂,由浅入深地解析Matlab中的三次样条插值方法,以便读者更深入地理解这一技术。
2. 三次样条插值概述三次样条插值是一种利用分段三次多项式对数据点进行插值的方法。
在Matlab中,可以使用spline函数来进行三次样条插值。
该函数需要输入数据点的x和y坐标,然后可以根据需要进行插值操作。
3. 三次样条插值的基本原理在进行三次样条插值时,首先需要对数据点进行分段处理,然后在每个分段上构造出一个三次多项式函数。
这些多项式函数需要满足一定的插值条件,如在数据点处函数值相等、一阶导数相等等。
通过这些条件,可以得到一个关于数据点的插值函数。
4. Matlab中的三次样条插值实现在Matlab中,可以使用spline函数来进行三次样条插值。
通过传入数据点的x和y坐标,可以得到一个关于x的插值函数。
spline函数也支持在已知插值函数上进行插值点的求值,这为用户提供了极大的灵活性。
5. 三次样条插值的适用范围和局限性虽然三次样条插值在许多情况下都能够得到较好的插值效果,但也存在一些局限性。
在数据点分布不均匀或有较大噪音的情况下,三次样条插值可能会出现较大的误差。
在实际应用中,需要根据具体情况选择合适的插值方法。
6. 个人观点和总结通过对Matlab中三次样条插值的深度解析,我深刻地理解了这一插值方法的原理和实现方式。
在实际工程应用中,我会根据数据点的情况选择合适的插值方法,以确保得到准确且可靠的结果。
我也意识到插值方法的局限性,这为我在实际工作中的决策提供了重要的参考。
通过以上深度解析,相信读者已经对Matlab中的三次样条插值有了更加全面、深刻和灵活的理解。
在实际应用中,希望读者能够根据具体情况选择合适的插值方法,以提高工作效率和准确性。
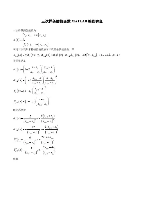
三次样条插值函数MATLAB 编程实现三次样条插值函数为()()[)()[]1011,,,,n n n S x x x x S x S x x x x-⎧∈⎪=⎨⎪∈⎩ 利用三次埃尔米特插值函数表示三次样条插值函数,即()()()()())111111,,j j j j j j j j j j j S x y x y x m x m x x x x ααββ++++++⎡=+++∈⎣(0,1,,1j n =-)基函数满足()()()()()()21112111121121111212jj j j j j j j j j j j j j j j j j j jj j j j x x x x x x x x xx xx x x x x x xx xx x x x xx x x x x x xααββ++++++++++++⎛⎫⎛⎫--=+ ⎪⎪ ⎪⎪--⎝⎭⎝⎭⎛⎫⎛⎫--=+ ⎪⎪ ⎪⎪--⎝⎭⎝⎭⎛⎫-=-⎪ ⎪-⎝⎭⎛⎫-=-⎪ ⎪-⎝⎭由上式易得()()()()()()()()()()()()()()1331111331112211112211612612246246j j j j j j j j j j j j j j j j j j j j j j jj j j j j x x x x x x xx x x x x x x x x x x x x xx xx x x x x x x x x ααββ+++++++++++++++''=---+''=-+--+''=---+''=---则有()()()()()()()()()()()111111113333111111122221111661212242466j j j j j j j j j j j j j j j j j j j j j j j j j j j j j j j j j j j j j S x y x y x m x m x x x x x y x y x x x x x x x x x x x x x m x m x x x x x x x x x ααββ+++++++++++++++++++''''''''''=+++⎡⎤⎡⎤++⎢⎥⎢⎥=-+-+⎢⎥⎢⎥----⎣⎦⎣⎦⎡⎤++⎢⎥+-+-⎢⎥----⎣⎦)1,j j x x x +⎡⎤⎢⎥⎡∈⎣⎢⎥⎣⎦(0,1,,1j n =-)同理有()()()()()()()()()()()()()()()11111113333111111122221111661212242466j j j j j j j j j j j j j j j j j j j j j j j j j j j j j j j j j j j j j S x y x y x m x m x x x x x y x y x x x x x x x x x x x x x m x m x x x x x x x x x ααββ------------------''''''''''=+++⎡⎤⎡⎤++⎢⎥⎢⎥=-+-+⎢⎥⎢⎥----⎣⎦⎣⎦⎡⎤⎡++⎢⎥+-+-⎢⎥----⎣⎦⎣)1,j j x x x -⎤⎢⎥⎡∈⎣⎢⎥⎦(1,,j n =)根据样条函数二阶导数连续性,即()()100j j j j S x S x +''''+=-(1,,1j n =-)即()()()()()()()()()()()()()()()()111111332211111111113322111166426624j j jj j j j j j j jj j j j j j j j j j j j j j jj j j j j jj j j j j j j j x x y x x y x x x x m m x x x x x x x x x x y x x y x x x x m m x x x x x x x x ++++++++++--------------+++--------=+++----(1,,1j n =-)化简得()()()()()111111111111233j j j j j j j j j j j j j j j j j j jj j xx m x x m x x m x x x x y y y y x x x x +-+--+-++-+--+-+---=-+---(1,,1j n =-)可得线性方程组()()()()()()()()()()0121201023231213121221111110212110211032213221322122233333n n n n n n n n n n n n m m x x x x x x m x x x x x x m x x x x x x m m m x x x x y y y y x x x x x x x x y y y y x x x x y ------⨯+-+⨯⎛⎫ ⎪ ⎪ ⎪---⎛⎫⎪ ⎪--- ⎪ ⎪⎪ ⎪⎪ ⎪ ⎪--- ⎪⎝⎭ ⎪ ⎪ ⎪⎝⎭---+------+---=()()()121112112113n n n n n n n n n n n n n x x x x y y y x x x x ----------⨯⎛⎫⎪ ⎪ ⎪ ⎪⎪⎪ ⎪-- ⎪-+- ⎪--⎝⎭为了使样条插值问题有惟一解,我们在原有方程基础上增加两个边界条件。
如何运用MATLAB 三次样条插值的问题,今天做作业,突然想用Matlab搞搞。
题目如下:清华大学出版社的《数值分析(第5版)》P49,20题。
x=[0.25 0.3 0.39 0.45 0.53];y=[ 0.5 0.5477 0.6245 0.6708 0.7280 ]pp=csape(x,y,'second',[0,0.0]);disp(pp.coefs);其中COEFS的含义是在Xi-Xi+1区间上的多项式是,例如COEFS数组第一行的意思是在X=0.25到X=0.3的区间上时表达式是-6.2652*(X-0.25)^3+0.9697*(X-0.25)^1+0.5;-6.2652 0.0000 0.9697 0.50001.8813 -0.9398 0.9227 0.5477-0.4600 -0.4318 0.7992 0.62452.1442 -0.5146 0.7424 0.6708关于csape的用法引用自:/ck436/blog/item/6fe40c46400d3c046b63e52b.htmlcsape,是计算在各种边界条件下的三次样条插值。
pp = csape(x,y,conds)其中conds主要有以下的选项variational(自然边界条件,首末点二阶导数均为0),second (指定首末点的二阶导数),periodic(周期性边界条件,首末点的0~2阶导数相等),complete (给定导数情况,默认)function pp = csape(x,y,conds,valconds)%pp=csape(x,y,'变界类型','边界值'),生成各种边界条件的三次样条插值. 其中,(x,y)为数据向量%边界类型可为:'complete',给定边界一阶导数.% 'not-a-knot',非扭结条件,不用给边界值.% 'periodic',周期性边界条件,不用给边界值.% 'second',给定边界二阶导数.% 'variational',自然样条(边界二阶导数为0)% .%例考虑数据% x | 1 2 4 5% ---|-------------% y | 1 3 4 2%边界条件S''(1)=2.5,S''(5)=-3,% x=[1 2 4 5];y=[1 3 4 2];% pp=csape(x,y,'second',[2.5,-3]);pp.coefs % xi=1:0.1:5;yi=ppval(pp,xi);% plot(x,y,'o',xi,yi);。
MATLAB作业给定一个时间序列,使用三次样条插值方法进行均匀内插(题目的相关说明:按题目要求编写一个MATLAB程序函数,并把自己编制程序所得的结果与MATLAB库函数分析结果进行对比。
)理论基础:时间序列的概念:时间序列是一种定量预测方法,又称简单外延法,时间序列分析是根据系统观测得到的时间序列数据,通过曲线拟合和参数估计来建立数学模型的理论与方法,时间序列分析可分为以下三种情况(1)把一个时间序列的值变动为N 个组成部分,通常可以分为四种 a、倾向变动,又称长期趋势变动 b、循环变动,又称周期变动 c、季节变动,即每年有规则的反复进行变动 d、不规则变动,即随机变动。
然后把这四个综合到一起得出预测的结果。
虽然分成这四部分,但这四部分之间的相互关系是怎么样的呢,目前一般采用相乘的关系,其实各个部分都是在其他部分作用的基础上进行作用的,所以采用相乘是有一定依据的,此种方法适合于短期预测和库存预测(2)把预测对象、预测目标和对预测的影响因素都看成为具有时序的,为时间的函数,而时间序列法就是研究预测对象自身变化过程及发展趋势,如果未来预测是线性的,其数学模型为YT+L=aT+bTL,YT+L为未来预测值,aT为截距,bT为斜率,L为由T到需要预测的单位时间数(如5年、10年等)(3)根据预测对象与影响因素之间的关系及影响程度来推算未来,与目标的相关因素很多,只能选择那些因果关系较强的为预测影响的因素,此时间序列法用于短期预测比较有效,若要用于长期预测,还需要结合其他方法才行。
三次样条插值的实际应用:在制造船体和汽车外形等工艺中传统的设计方法是,首先由设计人员按外形要求,给出外形曲线的一组离散点值,施工人员准备好有弹性的样条(一般用竹条或有弹性的钢条)和压铁,将压铁放在点的位置上,调整竹条的形状,使其自然光滑,这时竹条表示一条插值曲线,我们称为样条函数。
从数学上看,这一条近似于分段的三次多项式,在节点处具有一阶和二阶连续微商。
实验一 MATLAB 运算基础1。
先求下列表达式的值,然后显示MATLAB 工作空间的使用情况并保存全部变量。
(1) 0122sin 851z e =+(2) 21ln(2z x =,其中2120.455i x +⎡⎤=⎢⎥-⎣⎦ (3) 0.30.330.3sin(0.3)ln , 3.0, 2.9,,2.9,3.022a a e e az a a --+=++=--(4) 2242011122123t t z t t t t t ⎧≤<⎪=-≤<⎨⎪-+≤<⎩,其中t =0:0.5:2.5 解:4. 完成下列操作:(1)求[100,999]之间能被21整除的数的个数. (2) 建立一个字符串向量,删除其中的大写字母。
解:(1) 结果:(2)。
建立一个字符串向量例如:ch=’ABC123d4e56Fg9';则要求结果是:实验二 MATLAB 矩阵分析与处理1. 设有分块矩阵33322322E R A O S ⨯⨯⨯⨯⎡⎤=⎢⎥⎣⎦,其中E 、R 、O 、S 分别为单位矩阵、随机矩阵、零矩阵和对角阵,试通过数值计算验证22E R RS A OS +⎡⎤=⎢⎥⎣⎦。
解: M 文件如下;5。
下面是一个线性方程组:1231112340.951110.673450.52111456x x x ⎡⎤⎢⎥⎡⎤⎡⎤⎢⎥⎢⎥⎢⎥⎢⎥=⎢⎥⎢⎥⎢⎥⎢⎥⎢⎥⎢⎥⎣⎦⎣⎦⎢⎥⎢⎥⎣⎦ch =123d4e56g9(1) 求方程的解。
(2) 将方程右边向量元素b 3改为0。
53再求解,并比较b 3的变化和解的相对变化。
(3) 计算系数矩阵A 的条件数并分析结论。
解: M 文件如下:实验三 选择结构程序设计1. 求分段函数的值.2226035605231x x x x y x x x x x x x ⎧+-<≠-⎪=-+≤<≠≠⎨⎪--⎩且且及其他用if 语句实现,分别输出x=-5.0,—3.0,1.0,2。
三次样条插值matlab代码实现三次样条插值是一种常用的插值方法,可以用于曲线拟合和数据逼近。
在Matlab中,可以使用内置函数`interp1`来实现三次样条插值。
下面是一个简单的示例代码,演示了如何在Matlab中实现三次样条插值:matlab.% 创建一些示例数据。
x = 1:5;y = [3 6 5 8 2];% 生成更密集的x值,用于插值。
xi = 1:0.1:5;% 使用interp1进行三次样条插值。
yi = interp1(x, y, xi, 'spline');% 绘制原始数据和插值结果。
plot(x, y, 'o', xi, yi, '-');legend('原始数据', '三次样条插值');在这个示例中,我们首先创建了一些示例数据`x`和`y`,然后生成了更密集的`xi`值,用于插值。
接下来,我们使用`interp1`函数进行三次样条插值,并将结果存储在`yi`中。
最后,我们使用`plot`函数将原始数据和插值结果可视化出来。
需要注意的是,`interp1`函数中的第四个参数'spline'表示我们使用三次样条插值方法。
除了'spline'外,还可以选择'linear'(线性插值)或'pchip'(分段立方插值)等方法,具体选择取决于实际情况和数据特点。
以上就是在Matlab中实现三次样条插值的简单示例代码。
当然,实际应用中可能涉及到更复杂的数据和情况,需要根据具体问题进行相应的调整和处理。
希望这个示例能够帮助到你理解如何在Matlab中实现三次样条插值。
实验13. 先求下列表达式的值,然后显示MATLAB 工作空间的使用情况并保存全部变量。
(1) 0122sin851z e=+ (2) z=pi/(x+y),其中x=12,y=10^(-5)(3) 21ln(2z x =,其中2120.455i x +⎡⎤=⎢⎥-⎣⎦ (4) 0.30.330.3sin(0.3)ln , 3.0, 2.9,,2.9,3.022a a e e a z a a --+=++=--z1=2*sin(85*pi/180)/(1+exp(2))z1 =0.2375>> x=12,y=1*10^(-5); z2=pi/(x+y)x =12z2 =0.2618>> z3=1/2*log(x+sqrt(1+x^2)),x=[2 1+2*i;-0.45 5];z3 =1.5899>>a=-3.0:0.1:3.0;z4=(exp(0.3.*a)-exp(-0.3.*a))./2.*sin(a+0.3)+log((0.3+a)./2),4. 已知:1234413134787,2033657327A B --⎡⎤⎡⎤⎢⎥⎢⎥==⎢⎥⎢⎥⎢⎥⎢⎥-⎣⎦⎣⎦求下列表达式的值:(1) A*B 和A.*B(2) A^3和A.^3(3) A/B 及B\A(4) [A,B]和[A([1,3],:);B^2]A=[12 34 -4;34 7 87;3 65 7];B=[1 3 -1;2 0 3;3 -2 7];A*BA.*BA^3A.^3A/BB\A[A,B][A([1,3],:);B^2]5. 设有矩阵A 和B1234530166789101769,111213141502341617181920970212223242541311A B ⎡⎤⎡⎤⎢⎥⎢⎥-⎢⎥⎢⎥⎢⎥⎢⎥==-⎢⎥⎢⎥⎢⎥⎢⎥⎢⎥⎢⎥⎣⎦⎣⎦(1) 求它们的乘积C。
(2) 将矩阵C的右下角3×2子矩阵赋给D。
实验报告:牛顿差值多项式&三次样条... . (1)问题:在区间[-1,1]上分别取n=10、20用两组等距节点对龙格函数f (x)---作多项式插25 x 2值及三次样条插值对每个n值,分别画出插值函数矽(x)的图形。
实验目的:通过编程实现牛顿插值方法和三次样条方法,加深对多项式插值的理解。
应用所编程序解决实际算例。
实验要求:1.认真分析问题,深刻理解相关理论知识并能熟练应用;2.编写相关程序并进行实验;3.调试程序,得到最终结果;4.分析解释实验结果;5.按照要求完成实验报告。
实验原理:详见《数值分析第5版》第二章相关容。
实验容:(1)牛顿插值多项式1.1 当 n=10 时:在Matlab下编写代码完成计算和画图。
结果如下:代码:clear allclcx1=-1:0.2:1;y1=1./(1+25.*x1.八2);n=length(x1);f=y1(:);for j=2:nfor i=n:-1:jf(i) = (f(i)-f(i-1))/(x1(i)-x1(i-j+1));endendsyms F x p;F(1)=1;p(1)=y1(1);for i=2:nF(i)=F(i-1)*(x-x1(i-1));p(i)=f(i)*F(i);endsyms PP=sum(p);P10=vpa(expand(P),5);x0=-1:0.001:1;y0=subs(P,x,x0);y2=subs(1/(1+25火x八2),x,x0);plot(x0,y0,x0,y2)grid onxlabel('x')ylabel('y')P10即我们所求的牛顿插值多项式,其结果为:P10(x )=-220.94*x A10+494.91*x A8-9.5065e-14*x A7-381.43*x A6-8.504e-14*x A5+123.36*x A4+2.0202e-14*x A3-16.855*x A2-6.6594e-16*x+1.0并且这里也能得到该牛顿插值多项式的在[-1,1]上的图形,并和原函数进行对比(见Fig.1)。
matlab插值类型在MATLAB中,插值是一种常用的数据处理技术,用于估计在已知数据点之间的数值。
MATLAB提供了多种插值方法,每种方法都有其适用的情况和特点。
以下是一些常见的插值类型:1. 线性插值(linear interpolation),线性插值是一种简单的插值方法,通过已知数据点之间的直线来估计新的数据点。
在MATLAB中,可以使用interp1函数来进行线性插值。
2. 三次样条插值(cubic spline interpolation),三次样条插值是一种平滑的插值方法,它利用已知数据点之间的三次多项式来估计新的数据点。
在MATLAB中,可以使用interp1函数并指定'cubic'选项来进行三次样条插值。
3. 最近邻插值(nearest neighbor interpolation),最近邻插值是一种简单的插值方法,它通过找到最接近新数据点的已知数据点来进行估计。
在MATLAB中,可以使用interp1函数并指定'nearest'选项来进行最近邻插值。
4. 二维插值(2D interpolation),除了在一维数据上进行插值外,MATLAB还提供了在二维数据上进行插值的方法。
可以使用interp2函数来进行二维插值,同样可以选择线性插值、三次样条插值或最近邻插值。
除了上述提到的插值方法,MATLAB还提供了其他一些特定的插值函数,如interpft、interpn等,用于处理不同类型的数据和插值需求。
选择合适的插值方法取决于数据的特点、插值精度的要求以及计算效率等因素。
在实际应用中,需要根据具体情况选择合适的插值方法来进行数据处理和分析。
MATLAB 程序设计期中考查
在许多问题中,通常根据实验、观测或经验得到的函数表或离散点上的信息,去研究分析函数的有关特性。
其中插值法是一种最基本的方法,以下给出最基本的插值问题——三次样条插值的基本提法:
对插值区间[]b a ,进行划分:b x x x a n ≤<⋯⋯<<≤10,函数()x f y =在节点
i x 上的值()()n i x f y i i ⋯⋯==,2,1,0,并且如果函数()x S 在每个小区间[]1,+i i x x 上
是三次多项式,于[]b a ,上有二阶连续导数,则称()x S 是[]b a ,上的三次样条函数,如果()x S 在节点i x 上还满足条件 则称()x S 为三次样条插值函数。
三次样条插值问题提法:对[]b a ,上给定的数表如下.
求一个分段三次多项式函数()x S 满足插值条件()()n i y x S i i ⋯⋯==,1,0 式,并在
插值区间[]b a ,上有二阶连续导数。
这就需要推导三次样条插值公式: 记()x f '在节点i x 处的值为()i i m x f ='(n i ⋯⋯=,1,0)(这不是给定插值问题数表中的已知值)。
在每个小区间[]1,+i i x x 利用三次Hermite 插值公式,得三次插值公式:
()()()()1111+++++++=i i i i i i i i i m m x y x y x x S ββαα,[]1,+∈i i x x x 。
为了得到这个公式需要n 4个条件:
(1).非端点处的界点有n 2个;(2).一阶导数连续有1-n 个条件;(3).二阶导数
连续有1-n 个条件,其中边界条件:○1()()n
n m x S m x S ='=' 00
其中:()⎩⎨⎧=≠=j i j i x j i
,1,0α ()0='j i x α ()0=j i x β 且(1,0,=j i )。
()⎩⎨
⎧=≠='j i j i x j i
,1,0β ,i m 为对应变量的一阶导数。
其推导过程如下:
为了确定i m 的值,把()x S 展开为: +
()()
()()
,12
122
21+++--+
--i i
i i i i
i i m h x x x x m h x x x x
这里i i i x x h -=+1,对()x S 连续求两次导,得:
()()
()i i i
i i i i
i i i i
i i y y h x x x m h x x x m h x x x x S --++
--+
--=
''+++++13
112
1
2
1
26246426。
于是
考虑()x S ''在节点i x 处的右极限值,得: ()()i i i
i i i i i y y h m h m h x S -+--
=+''++1216
240。
同理,在相邻小区间[]i i x x ,1-上可得()x S ''的表达式为: 及()x S ''在节点i x 处的左极限值为:
()()12
1
1116
420-------+=
-''i i i i i i i i y y h m h m h x S 。
利用()x S 二阶导数于节点i x 处的连续性条件()()00-''=+''i i x S x S ,这里1,2,1-⋯⋯=n i ,有下式成立:
⎪⎪⎭⎫ ⎝⎛-+-=+⎪⎪⎭⎫ ⎝⎛++--++---211211111311121i i i i i i i i i i i i i h y y h y y m h m h h m h ,用i i h h 111+-除等式两边,并注意[]11,,++=-=i i i
i
i i i x x f h y y f y
,上式可简记为: 且[][]()1111
1,,31+----+=+=-=+=
i i i i i i i i
i i i i i i i i x x f x x f g h h h h h h μλλμλ
最后求得n m m ⋯⋯1的线性方程组为:
⎥⎥⎥⎥⎥⎥⎦
⎤⎢⎢⎢⎢⎢⎢⎣⎡⋯=⎥⎥⎥⎥⎥⎥⎦⎤⎢⎢⎢⎢⎢⎢⎣⎡⋯⎥⎥⎥⎥⎥⎥⎦⎤⎢⎢⎢⎢⎢⎢⎣⎡⋯⋯⋯⋯⋯⋯⋯⋯⋯⋯⋯⋯⋯⋯----n n n n n n n n g g g g m m m m 1211211122112000200000020002 λμμλμλλμ (**) 通过以上复杂的求解和迭代,就可以求解出插值函数的近似表达式。
得出来的表达式就可以用MATLAB 软件来求解。
具体求解过程如下:
已知n 对数据点()()()(),,,,,,,,332211n n y x y x y x y x ⋯⋯,假设函数关系为
()x f y =,但解析式不确定,数据插值就是构造函数关系式()x g y =,使()n i x i ,,3,2,1⋯⋯=,满足关系()()i i x f x g =。
例题:求满足下面函数表所给出的插值条件的三次自然样条函数。
分析:表中所列出的是函数对点,首先要把对应的插值函数求出来,再用
MATLAB 软件来求区间[]5,1上间隔为的各点的值。
求解过程如下:
因自然样条插值函数的边界条件为
这里3=n ,故确定3210,,,m m m m 的方程组形式形如上面的(**)式,其中系数i i μλ,
和i g 可按如下步骤进行:
将上述参数带入(**)式,得到以下方程组: 解得: 由公式 +()()
()()
,12
122
21+++--+
--i i
i i i i
i i m h x x x x m h x x x x
可知,
由所求出的表达式可知区间[]5,1可分为[][]5,44,1⋃,对两个区间分别用MATLAB 命令即可: 针对第一个区间:
147
828123-++-=x x x y ; 其图像如下
命令如下:
x=1:4;y=(-1/8)*x.^3+(2/8)*x.^2+(7/4)*x-1;xi=1::4; y1=interp1(x,y,xi,'spline') 其运行结果如下: y1 =
Columns 1 through 6 Column 7
针对第二个区间:。