高中数学新教材人教B版必修第一册课时分层作业均值不等式的应用 Word版含解析
- 格式:doc
- 大小:186.15 KB
- 文档页数:6
新教材高中数学:第2课时 均值不等式的应用学 习 目 标核 心 素 养1.熟练掌握利用均值不等式求函数的最值问题.(重点)2.会用均值不等式求解实际应用题.(难点)1.通过均值不等式求最值,提升数学运算素养.2.借助均值不等式在实际问题中的应用,培养数学建模素养.(1)某养殖场要用100米的篱笆 围成一个矩形的鸡舍,怎样设计才能 使鸡舍面积最大?(2)某农场主想用篱笆围成一个10 000平方米的矩形农场,怎样设计才能使所用篱笆最省呢? 问题 实例中两个问题的实质是什么?如何求解?已知x ,y 都是正数.(1)若x +y =S (和为定值),则当x =y 时,积xy 取得最大值S 24.(2)若xy =p (积为定值),则当x =y 时,和x +y 取得最小值2p . 上述命题可归纳为口诀:积定和最小,和定积最大.[拓展] 在应用均值不等式求最值时,要把握不等式成立的三个条件:一正、二定、三相等,这三个条件缺一不可.一正:各项必须为正数.例如,求代数式x +1x 的最值时,不能直接用x +1x≥2x ·1x=2.取特殊值x =-1,x +1x =-2,可见x +1x的最小值不为2,产生错误的原因是这里的x 不一定为正数.只有各项为正数时才能利用均值不等式.二定:积或和为定值.积为定值和有最小值;和为定值积有最大值.为了利用均值不等式,有时对给定的代数式要进行适当变形.例如:①当x >2时,x +1x -2=(x -2)+1x -2+2≥2+2=4(当且仅当x =3时,等号成立). ②当0<x <83时,x (8-3x )=13(3x )(8-3x )≤13⎝ ⎛⎭⎪⎫3x +8-3x 22=163(当且仅当x =43时,等号成立). 三相等:等号能否取到.例如,x 2+2+1x 2+2中,虽然x 2+2与1x 2+2的积为定值1,但是当x 2+2=1x 2+2时,有x 2=-1不成立.所以x 2+2+1x 2+2≥2中等号不成立,即此时不能用均值不等式求最值.另外,在连续使用公式求最值时,取等号的条件很严格,要求同时满足任何一次等号成立的字母取值存在且一致.1.思考辨析(正确的打“√”,错误的打“×”)(1)两个正数的积为定值,一定存在两数相等时,它们的和有最小值. ( ) (2)若a >0,b >0且a +b =4,则ab ≤4. ( )(3)当x >1时,函数y =x +1x -1≥2x x -1,所以函数y 的最小值是2x x -1.( )[答案] (1)√ (2)√ (3)× [提示] (1)由a +b ≥2ab 可知正确.(2)由ab ≤⎝ ⎛⎭⎪⎫a +b 22=4可知正确.(3)xx -1不是常数,故错误.2.已知a ,b ∈R ,则“ab >0”是“a b +b a>2”的( ) A .充分不必要条件 B .必要不充分条件 C .充要条件D .既不充分也不必要条件B [ab >0时,ab >0,b a >0,∴a b +b a≥2,当且仅当a =b 时取等号,故充分性不成立.反之,∵a b +b a>2,∴a 2+b 2ab -2>0,∴(a -b )2ab >0,∴ab >0,∴“ab >0”是“a b +b a>2”的必要不充分条件.]3.(教材P76练习A ①改编)若x >0,则x +2x的最小值是________.22 [x +2x≥2x ·2x=22,当且仅当x =2时,等号成立.] 4.设x ,y ∈N *满足x +y =20,则xy 的最大值为________. 100 [∵x ,y ∈N *, ∴20=x +y ≥2xy , ∴xy ≤100.]利用均值不等式求最值【例1】 (1)已知x <54,求y =4x -2+14x -5的最大值;(2)已知0<x <12,求y =12x (1-2x )的最大值.[思路点拨] (1)看到求y =4x -2+14x -5的最值,想到如何才能出现乘积定值;(2)要求y =12x (1-2x )的最值,需要出现和为定值.[解] (1)∵x <54,∴5-4x >0,∴y =4x -2+14x -5=-⎝ ⎛⎭⎪⎫5-4x +15-4x +3≤-2+3=1,当且仅当5-4x =15-4x ,即x =1,x =32(舍去)时,上式等号成立,故当x =1时,y max =1. (2)∵0<x <12,∴1-2x >0,∴y =14×2x (1-2x )≤14×⎝ ⎛⎭⎪⎫2x +1-2x 22=14×14=116.∴当且仅当2x =1-2x ⎝⎛⎭⎪⎫0<x <12,即x =14时,y max =116. ,利用均值不等式求最值的关键是获得满足均值不等式成立条件,即“一正、二定、三相等”.解题时应对照已知和欲求的式子运用适当的“拆项、添项、配凑、变形”等方法创设应用均值不等式的条件.具体可归纳为三句话:若不正,用其相反数,改变不等号方向;若不定,应凑出定和或定积;若不等,一般用后面第三章函数的单调性解决.[跟进训练]1.(1)已知x >0,求函数y =x 2+5x +4x的最小值;(2)已知0<x <13,求函数y =x (1-3x )的最大值.[解] (1)∵y =x 2+5x +4x =x +4x+5≥24+5=9,当且仅当x =4x,即x =2时等号成立.故y =x 2+5x +4x(x >0)的最小值为9.(2)法一:∵0<x <13,∴1-3x >0.∴y =x (1-3x )=13·3x (1-3x )≤13⎣⎢⎡⎦⎥⎤3x +(1-3x )22=112,当且仅当3x =1-3x ,即x =16时,等号成立.∴当x =16时,函数取得最大值112.法二:∵0<x <13,∴13-x >0.∴y =x (1-3x )=3·x ⎝ ⎛⎭⎪⎫13-x ≤3·⎝ ⎛⎭⎪⎪⎫x +13-x 22=112,当且仅当x =13-x ,即x =16时,等号成立. ∴当x =16时,函数取得最大值112.利用均值不等式求条件最值【例2】 已知x >0,y >0,且满足8x +1y=1.求x +2y 的最小值.[解] ∵x >0,y >0,8x +1y=1,∴x +2y =⎝ ⎛⎭⎪⎫8x +1y (x +2y )=10+x y +16y x≥10+2x y ·16yx=18, 当且仅当⎩⎪⎨⎪⎧8x +1y =1,x y =16y x ,即⎩⎪⎨⎪⎧x =12,y =3时,等号成立,故当x =12,y =3时,(x +2y )min =18.若把“8x +1y =1”改为“x +2y =1”,其他条件不变,求8x +1y的最小值.[解] ∵x ,y ∈R +,且x +2y =1, ∴8x +1y=(x +2y )⎝ ⎛⎭⎪⎫8x +1y=8+16y x +x y +2=10+16y x +xy≥10+216=18.当且仅当16y x =xy时取等号,结合x +2y =1,得x =23,y =16,∴当x =23,y =16时,8x +1y取到最小值18.常数代换法求最值的方法步骤常数代换法适用于求解条件最值问题.应用此种方法求解最值的基本步骤为: (1)根据已知条件或其变形确定定值(常数). (2)把确定的定值(常数)变形为1.(3)把“1”的表达式与所求最值的表达式相乘或相除,进而构造和或积的形式. (4)利用均值不等式求最值.[跟进训练]2.已知a >0,b >0,a +2b =1,求1a +1b的最小值.[解] 法一:1a +1b =⎝ ⎛⎭⎪⎫1a +1b ·1=⎝ ⎛⎭⎪⎫1a +1b ·(a +2b ) =1+2b a+a b +2=3+2b a +ab≥3+22b a ·a b=3+22,当且仅当⎩⎪⎨⎪⎧2b a =a b ,a +2b =1,即⎩⎪⎨⎪⎧a =2-1,b =1-22时等号成立.∴1a +1b的最小值为3+2 2.法二:1a +1b =a +2b a +a +2b b =1+2b a +a b+2=3+2b a+ab≥3+22,当且仅当⎩⎪⎨⎪⎧2b a =a b ,a +2b =1,即⎩⎪⎨⎪⎧a =2-1,b =1-22时等号成立,∴1a +1b的最小值为3+2 2.利用均值不等式解决实际问题【例3】 (教材P74例3改编)如图,动物园要围成相同面积的长方形虎笼四间,一面可利用原有的墙,其他各面用钢筋网围成.现有36 m 长的钢筋网材料,每间虎笼的长、宽分别设计为多少时,可使每间虎笼面积最大?[解] 设每间虎笼长x m ,宽y m , 则由条件知,4x +6y =36,即2x +3y =18. 设每间虎笼面积为S ,则S =xy .法一:由于2x +3y ≥22x ·3y =26xy , 所以26xy ≤18,得xy ≤272,即S max =272,当且仅当2x =3y 时,等号成立.由⎩⎪⎨⎪⎧2x +3y =18,2x =3y ,解得⎩⎪⎨⎪⎧x =4.5,y =3. 故每间虎笼长为4.5 m ,宽为3 m 时,可使每间虎笼面积最大. 法二:由2x +3y =18,得x =9-32y .∵x >0,∴0<y <6,S =xy =y ⎝ ⎛⎭⎪⎫9-32y =32y (6-y ).∵0<y <6,∴6-y >0. ∴S ≤32⎣⎢⎡⎦⎥⎤(6-y )+y 22=272.当且仅当6-y =y ,即y =3时,等号成立,此时x =4.5. 故每间虎笼长为4.5 m ,宽为3 m 时,可使每间虎笼面积最大.用均值不等式解决实际问题的步骤 (1)理解题意,设好变量;(2)建立相应的关系式,把实际问题转化、抽象为最大值或最小值问题; (3)在自变量范围内,求出最大值或最小值; (4)结合实际意义求出正确的答案,回答实际问题.[跟进训练]3.某单位用2 160万元购得一块空地,计划在该地块上建造一栋至少10层,每层2 000平方米的楼房.经测算,如果将楼房建为x (x ≥10)层,则每平方米的平均建筑费用为560+48x (单位:元).为了使楼房每平方米的平均综合费用最少,该楼房应建为多少层?(注:平均综合费用=平均建筑费用+平均购地费用,平均购地费用=购地总费用建筑总面积)[解] 设将楼房建为x 层,则每平方米的平均购地费用为2 160×1042 000x =10 800x .∴每平方米的平均综合费用y =560+48x +10 800x=560+48⎝ ⎛⎭⎪⎫x +225x .当x +225x取最小值时,y 有最小值.∵x >0,∴x +225x≥2x ·225x=30.当且仅当x =225x,即x =15时,上式等号成立. ∴当x =15时,y 有最小值2 000元.因此该楼房建为15层时,每平方米的平均综合费用最少.知识:1.利用均值不等式求最值(1)利用均值不等式求最值要把握下列三个条件:①“一正”——各项为正数;②“二定”——“和”或“积”为定值;③“三相等”——等号一定能取到.这三个条件缺一不可.(2)利用均值不等式求最值的关键是获得定值条件,解题时应对照已知和欲求的式子运用适当的“拆项、添项、配凑、变形”等方法创建应用均值不等式的条件.(3)在求最值的一些问题中,有时看起来可以运用均值不等式求最值,但由于其中的等号取不到,所以运用均值不等式得到的结果往往是错误的.2.不等式的应用题大都与函数相关联,在求最值时,均值不等式是经常使用的工具,但若对自变量有限制,一定要注意等号能否取到.方法:利用均值不等式求最值时,得出定值常用的方法有:配凑法、分离因式法、“1”的代换法等.1.若实数a ,b 满足1a +2b=ab ,则ab 的最小值为( )A . 2B .2C .2 2D .4C [由题意知a >0,b >0, 则1a +2b ≥22ab=22ab,当且仅当1a =2b,即b =2a 时,等号成立.因为1a +2b=ab ,所以ab ≥22ab,即ab ≥22,所以ab 的最小值为22,故选C.]2.若正实数a ,b 满足a +b =2,则ab 的最大值为( ) A .1 B .2 2 C .2 D .4A [由均值不等式得,ab ≤⎝ ⎛⎭⎪⎫a +b 22=1,当且仅当a =b =1时取到等号.]3.已知0<x <1,则x (3-3x )取最大值时x 的值为( ) A .12 B .34 C .23D .25A [∵0<x <1,∴1-x >0,则x (3-3x )=3[x (1-x )]≤3×⎝ ⎛⎭⎪⎫x +1-x 22=34,当且仅当x =1-x ,即x =12时取等号.]4.已知a >1,当a =________时,代数式a +2a -1有最小值. 1+2 [∵a >1,∴a -1>0,2a -1>0, ∴a +2a -1=a -1+2a -1+1≥2(a -1)×2a -1+1 =22+1, 当且仅当a -1=2a -1时,等号成立. 即a =1+2或a =1-2(舍)时,代数式a +2a -1有最小值. ∴a =1+ 2.] 5.已知x >0,求y =2xx 2+1的最大值. [解] y =2x x 2+1=2x +1x. ∵x >0,∴x +1x≥2x ·1x=2, ∴y ≤22=1,当且仅当x =1x ,即x =1时等号成立.。
课时分层作业(十七) 均值不等式的应用(建议用时:60分钟)[合格基础练]一、选择题1.若a >1,则a +1a -1的最小值是( ) A .2 B .a C.2a a -1D .3 D [∵a >1,∴a -1>0,∴a +1a -1=a -1+1a -1+1≥2 (a -1)·1a -1+1=3.] 2.已知x <0,则y =x +1x -2有( )A .最大值为0B .最小值为0C .最大值为-4D .最小值为-4C [∵x <0,∴y =-⎣⎢⎡⎦⎥⎤(-x )+1(-x )-2≤-2-2=-4,当且仅当-x =1-x,即x =-1时取等号.]3.设x >0,则y =3-3x -1x 的最大值是( )A .3B .-3 2C .3-2 3D .-1C [∵x >0,∴y =3-⎝ ⎛⎭⎪⎫3x +1x ≤3-23x ·1x =3-2 3.当且仅当3x =1x ,且x >0,即x =33时,等号成立.] 4.若x >0,y >0,且1x +4y =1,则x +y 的最小值是( )A .3B .6C .9D .12C [x +y =(x +y )·⎝ ⎛⎭⎪⎫1x +4y =1+y x +4x y +4 =5+y x +4x y ≥5+2y x ·4x y =5+4=9. 当且仅当⎩⎪⎨⎪⎧ 1x +4y =1,y x =4x y ,即⎩⎪⎨⎪⎧x =3,y =6时等号成立,故x +y 的最小值为9.] 5.已知x >0,y >0,且x +y =8,则(1+x )(1+y )的最大值为( )A .16B .25C .9D .36B [(1+x )(1+y )≤⎣⎢⎡⎦⎥⎤(1+x )+(1+y )22 =⎣⎢⎡⎦⎥⎤2+(x +y )22=⎝ ⎛⎭⎪⎫2+822=25, 当且仅当1+x =1+y ,即x =y =4时,(1+x )(1+y )取最大值25,故选B.]二、填空题6.函数y =x +1x +1(x ≥0)的最小值为________. [答案] 17.如图,有一张单栏的竖向张贴的海报,它的印刷面积为72 dm 2(图中阴影部分),上下空白各宽2 dm ,左右空白各宽1 dm ,则四周空白部分面积的最小值是________dm 2.56 [设阴影部分的高为x dm ,则宽为72x dm ,四周空白部分的面积是y dm 2.由题意,得y =(x +4)⎝ ⎛⎭⎪⎫72x +2-72 =8+2⎝ ⎛⎭⎪⎫x +144x ≥8+2×2x ·144x =56(dm 2). 当且仅当x =144x ,即x =12 dm 时等号成立.]8.若a ,b ∈(0,+∞),满足a +b +3=ab ,则a +b 的取值范围是________.[6,+∞) [∵a +b +3=ab ≤⎝ ⎛⎭⎪⎫a +b 22, ∴(a +b )2-4(a +b )-12≥0,解得a +b ≥6,当且仅当a =b =3时取等号.]三、解答题9.当x <32时,求函数y =x +82x -3的最大值. [解] y =12(2x -3)+82x -3+32 =-⎝ ⎛⎭⎪⎪⎫3-2x 2+83-2x +32, ∵当x <32时,3-2x >0,∴3-2x 2+83-2x ≥23-2x 2 ·83-2x =4,当且仅当3-2x 2=83-2x ,即x =-12时取等号.于是y ≤-4+32=-52,故函数有最大值-52.10.为了改善居民的居住条件,某城建公司承包了棚户区改造工程,按合同规定在4个月内完成.若提前完成,则每提前一天可获2 000元奖金,但要追加投入费用;若延期完成,则每延期一天将被罚款5 000元.追加投入的费用按以下关系计算:6x +784x +3-118(千元),其中x 表示提前完工的天数,试问提前多少天,才能使公司获得最大附加效益?(附加效益=所获奖金-追加费用)[解] 设城建公司获得的附加效益为y 千元,由题意得y =2x -⎝ ⎛⎭⎪⎫6x +784x +3-118=118-⎝ ⎛⎭⎪⎫4x +784x +3 =118-⎣⎢⎡⎦⎥⎤4(x +3)+784x +3-12 =130-⎣⎢⎡⎦⎥⎤4(x +3)+784x +3 ≤130-24(x +3)·784x +3=130-112=18(千元), 当且仅当4(x +3)=784x +3,即x =11时取等号. 所以提前11天,能使公司获得最大附加效益.[等级过关练]1.若-4<x <1,则y =x 2-2x +22x -2( ) A .有最小值1B .有最大值1C .有最小值-1D .有最大值-1 D [y =x 2-2x +22x -2=12⎣⎢⎡⎦⎥⎤(x -1)+1x -1, 又∵-4<x <1,∴x -1<0.∴-(x -1)>0.故y =-12⎣⎢⎡⎦⎥⎤-(x -1)+1-(x -1)≤-1.当且仅当x -1=1x -1,即x =0时等号成立.]2.已知x >0,y >0,且2x +1y =1,若x +2y >m 2恒成立,则实数m 的取值范围是( )A .m ≤-22或m ≥2 2B .m ≤-4或m ≥2C .-2<m <4D .-22<m <2 2D [∵x >0,y >0且2x +1y =1,∴x +2y =(x +2y )⎝ ⎛⎭⎪⎫2x +1y =4+4y x +x y ≥4+24y x ·x y =8,当且仅当4y x =x y , 即x =4,y =2时取等号,∴(x +2y )min =8,要使x +2y >m 2恒成立,只需(x +2y )min >m 2恒成立,即8>m 2,解得-22<m <2 2.]3.若x >0,y >0,且x +4y =1,则xy 的最大值为________.116[1=x +4y ≥24xy =4xy , ∴xy ≤116,当且仅当x =4y =12时等号成立.]4.若实数x ,y 满足x 2+y 2+xy =1,则x +y 的最大值是________.233 [x 2+y 2+xy =(x +y )2-xy =1,∴(x +y )2=xy +1≤⎝ ⎛⎭⎪⎫x +y 22+1.∴34(x +y )2≤1.∴-233≤x +y ≤233,当且仅当x =y =33时等号成立.]5.在下面等号右侧两个分数的分母方块处,各填上一个正整数,并且使这两个正整数的和最小,1=1□+9□,试求这两个数.[解] 设1a +9b =1,a ,b ∈N *,∴a +b =(a +b )·1=(a +b )⎝ ⎛⎭⎪⎫1a +9b =1+9+b a +9a b≥10+2b a ·9ab=10+2×3=16, 当且仅当b a =9a b ,即b =3a 时等号成立.又1a +9b =1,∴1a +93a =1,∴a =4,b =12.这两个数分别是4,12.。
2.2.4 第2课时 均值不等式的应用1、若0,0,a b a b ab >>+=,则a b +的最小值为( )A.2B.4C.6D.8【答案】B【解析】∵0,0a b >>,∴2()4a b a b ab ++=≤,即4a b +≥,当且仅当2a b ==时等号成立,所以a b +的最小值为4.故选B. 2、若关于x 的不等式2162a b x x b a+<+对任意的0,0a b >>恒成立,则实数x 的取值范围是( ) A.{20}x x -<< B.{20}x x x <->或C.{42}x x -<<D.{42}x x x <->或【答案】C【解析】因为0,0a b >>,所以161628a b a b b a b a+≥⋅ (当且仅当4a b =时等号成立),所以由题意,得228x x +<,解得42x -<<,故选C.3、若0,0x y >>,则1122x y x y +++的最小值是( ) A.32 B.42 C.4 D.2【答案】A 【解析】11112222223222x y x y x y x y +++≥⋅⋅==22x y =时等号成立. 4、若0,0,a b >>且4a b +=,则下列不等式恒成立的是( )A.114ab ≤ B. 111a b +≤ C. 2ab ≥D. 228a b +≥【答案】D 【解析】42a b ab =+≥112,4,,4ab ab ab ≤≤≥选项A,C 均不成立;1141,a ba b ab ab ++==≥选项B 不成立;222()21628a b a b ab ab +=+-=-≥ (当且仅当a b =时,等号成立),选项D 成立.5、若41x -<<,则222()22x x f x x -+=-( )A.有最小值1B.有最大值1C.有最小值-1D.有最大值-1 【答案】D 【解析】()22211(1)2221x x f x x x x -+⎡⎤==-+⎢⎥--⎣⎦,又∵41x -<<,∴10x -<.∴()10x -->.∴()11(1)12(1)f x x x ⎡⎤=---+≤-⎢⎥--⎣⎦.当且仅当111x x -=-,即0x =时等号成立.6、已知两个正数,a b 满足321a b +=,则32a b +的最小值是( )A.23B.24C.25D.26【答案】C【解析】根据题意,正数,a b 满足321a b +=, 则32326666(32)()13()1325a b a ba b a b a b b a b a +=++=++≥+⨯=,,当且仅当15a b ==时,取到等号,即32a b +的最小值是25.故选C .7、若正数 ,x y 满足35x y xy +=,当34x y +取得最小值时, 2x y +的值为( )A. 245B. 2C. 285D. 5【答案】B【解析】∵35,0,0x y xy x y +=>>∴13155y x +=∴()1313341331235555555534354x y x y y x y x y x y x y x ⎛⎫+=++⨯+≥+⋅= ⎪⎭=+⎝当且仅当tan tan 1tan tan A C A C -++即21x y ==时取等号, 2x y +的值为2.故答案为:B.8、某工厂第一年产量为A ,第二年增长率为(0)a a >,第三年的增长率为(0)b b >,这两年的平均增长率为x ,则( )A. 2a b x +=B. 2a b x +≤C. 2a b x +>D. 2a b x +≥ 【答案】B【解析】这两年的平均增长率为2,(1)(1)(1)x A x A a b ∴+=++,22(1)(1)(1)x a b ∴+=++,111(1)(1)122a b a b x a b ++++∴+=++=+,2a b x +∴≤,当且仅当11a b +=+,即a b =时取等号. 9、已知0x >,0y >,228x y xy ++=,则2x y + 的最小值是( ) A.3 B.4 C. 92 D. 112【答案】B【解析】∵228x y xy ++=,∴8022x y x -=>+,∴08x <<∴()899221221242211x x y x x x x x x -+=+⋅=++-≥+⋅=+++,当且仅当911x x +=+,即2x =时,取“=”号,此时1y =.10、已知正实数,a b 满足21a b +=,则1112a b ⎛⎫⎛⎫++ ⎪⎪⎝⎭⎝⎭的最小值为____________. 【答案】18 【解析】因为1112121212222a b a b b a ab ab ab ++⎛⎫⎛⎫++=+++=+=+ ⎪⎪⎝⎭⎝⎭,又1222a b ab =+≥18ab ≤,即2222818ab +≥+⨯=,当且仅当2a b =,即11,24a b ==时取等号. 11、若,a b R ∈,0ab >,则4441a b ab++的最小值为__________. 【答案】4【解析】44224141a b a b ab ab +++≥114244ab ab ab ab=+≥⋅,(前一个等号成立条件是222a b =,后一个等号成立的条件是12ab =,两个等号可以同时取得,则当且仅当222a =,224b =时取等号).12、已知,,a b c 均为正实数,求证: )2222222a b b c c a a b c +++++.【解析】∵222a b ab +≥,当且仅当a b =时等号成立,∴()()2222222a b a ab b a b +≥++=+,∴()2222a b a b ++≥, 222a b + 222b c +,②222c a +.③①+②+③,得)22222222a b b c c a a b c +++=++,当且仅当a b c ==的时等号成立.。
分层作业16 均值不等式的应用A级必备知识基础练1.[探究点一]若m>0,n>0,1m +4n=1,则m+n( )A.有最大值,最大值为6B.有最大值,最大值为9C.有最小值,最小值为6D.有最小值,最小值为92.[探究点一]已知正数x,y满足x+2y-xy=0,则x+2y的最小值为( )A.8B.4C.2D.03.[探究点二](多选题)若a,b均为正数,且a+2b=1,则下列结论正确的是( )A.ab的最大值为18B.1a+2b的最小值为9C.a2-b2的最小值为-13D.a2+b2的最小值为154.[探究点一]若m>0,n>0,m+n=1且tm +1n(t>0)的最小值为9,则t= .5.[探究点三]为净化水质,向一个游泳池中加入某种化学药品,加药后池水中该药品的浓度c(单位:mg·L-1)随时间t(单位:h)的变化关系为c=20tt2+4,则经过h后池水中该药品的浓度达到最大.6.[探究点三]某人准备租一辆车从甲地出发去乙地,已知从出发点到目的地的距离为100 km,按交通法规定:这段公路车速限制在40~100(单位:km/h).假设目前油价为7.2元/L,汽车的耗油率为(3+x 2360)L/h,其中x(单位:km/h)为汽车的行驶速度,耗油率指汽车每小时的耗油量.租车需付给司机每小时的工资为76.4元,不考虑其他费用,这次租车的总费用最少是多少?此时的车速x 是多少?(注:租车总费用=耗油费+司机的工资)7.[探究点一·河南周口高一校联考阶段练习] (1)若x>1,求y=x+4x -1的最小值及对应x 的值; (2)若0<x<2,求4x+12-x 的最小值及对应x 的值.B级关键能力提升练8.已知x>0,y>0,且x+y=8,则(1+x)(1+y)的最大值为( )A.16B.25C.9D.369.若a,b为大于1的实数,且满足a+b=ab,则4a-1+1b-1的最小值是( )A.2B.4C.6D.810.[河北秦皇岛高一校考阶段练习](多选题)已知x,y是正实数,则下列选项正确的是( )A.若x+y=2,则1x +1y有最小值2B.若x+y=3,则x(y+1)有最大值5C.若4x+y=1,则2√x+√y有最大值√2D.x4+y2x+1y有最小值9411.已知a>0,b>0,且a+2b=1,则1b +b2a+b的最小值为.12.已知正数a,b,x,y满足a+b=10,ax +by=1,x+y的最小值为18,求a,b的值.13.第一机床厂投资A生产线500万元,每万元可创造利润1.5万元.该厂通过引进先进技术,在A生产线的投资减少了x(x>0)万元,且每万元创造的利润变为原来的(1+0.005x)倍.现将在A生产线少投资的x万元全部投入B生产线,且每万元创造的利润为1.5(a-0.013x)万元,其中a>0. (1)若技术改进后,A生产线的利润不低于原来A生产线的利润,求x的取值范围;(2)若B生产线的利润始终不高于技术改进后A生产线的利润,求a的最大值.C级学科素养创新练14.若实数x,y满足x2+y2+xy=1,则x+y的最大值是.分层作业16 均值不等式的应用1.D 因为m+n=(m+n)(1m+4n)=5+nm+4m n≥5+2√n m·4m n=9,当且仅当nm=4m n,即m=3,n=6时等号成立,所以m+n 的最小值为9.2.A 由x+2y-xy=0得,2x+1y=1,且x>0,y>0.所以x+2y=(x+2y)(2x+1y)=4y x+x y+4≥4+4=8,当且仅当x=2y,即x=4,y=2时等号成立.3.ABD 因为a,b 均为正数,且a+2b=1,则有ab=12·a·2b≤12·(a+2b 2)2=18,当且仅当a=2b=12时等号成立,即ab 的最大值为18,A 正确;1a+2b=(a+2b)(1a+2b)=5+(2b a+2a b)≥5+2√2b a·2a b=9,当且仅当a=b=13时等号成立,即1a+2b的最小值为9,B 正确;显然0<b<12,a 2-b 2=(1-2b)2-b 2=3b 2-4b+1,在b ∈(0,12)上无最小值,C 不正确;a 2+b 2=(1-2b)2+b 2=5b 2-4b+1=5(b-25)2+15≥15,当且仅当b=25时等号成立,即a 2+b 2的最小值为15,D 正确.故选ABD.4.4 因为t m+1n=(t m+1n)(m+n)=t+1+tnm +m n ≥t+1+2√tn m ·mn=(√t +1)2,所以最小值为(√t +1)2=9,当且仅当tn 2=m 2时,等号成立,所以√t =2,即t=4. 5.2 c=20tt 2+4=20t+4t.因为t>0,所以t+4t≥2√t ·4t=4. 所以c=20t+4t≤204=5,当且仅当t=4t,即t=2时,c 取得最大值.6.解设总费用为y 元,由题意,得y=76.4×100x+7.2×100x×(3+x 2360)=9800x+2x(40≤x≤100).因为y=9800x+2x=196002x+2x≥2√19600=280,当且仅当9800x=2x,即x=70时等号成立.所以这次租车的总费用最少是280元,此时的车速为70km/h. 7.解(1)因为x>1,所以x-1>0,4x -1>0,y=x-1+4x -1+1≥2√(x -1)·4x -1+1=5,当且仅当x-1=4x -1(x>1),即x=3时等号成立,函数取得最小值5.(2)y=12(4x +12-x)×2=12(4x+12-x )[x+(2-x)]=12[5+4(2-x )x +x 2-x]≥12(5+2√4(2-x )x·x 2-x )=92,当且仅当4(2-x )x=x 2-x(0<x<2),即x=43时等号成立,函数取得最小值92. 8.B (1+x)(1+y)≤[(1+x )+(1+y )2]2=[2+(x+y )2]2=(2+82)2=25,当且仅当1+x=1+y,即x=y=4时,(1+x)(1+y)取得最大值25,故选B. 9.B 因为a,b 为大于1的实数,所以4a -1>0,1b -1>0.由a+b=ab 可知ab-(a+b)=0,所以4a -1+1b -1≥2√4a -1·1b -1=√ab -b -a+1=4.当且仅当a=3,b=32时等号成立.10.AC 对于A,∵x>0,y>0,x+y=2,∴1x +1y =12(x+y)(1x +1y )=12(2+y x +x y )≥12(2+2√y x ·xy )=2,当且仅当{x +y =2,y x=x y,即x=y=1时等号成立,则1x+1y有最小值2,故A 正确;对于B,∵x>0,y>0,x+y=3,∴x+y+1=4,∴x(y+1)≤[x+(y+1)2]2=4,当且仅当{x +y =3,x =y +1,即x=2,y=1时等号成立,则x(y+1)有最大值4,故B 错误; 对于C,∵x>0,y>0,4x+y=1,∴(2√x +√y )2=4x+y+4√xy =1+2×2√x ·√y ≤1+(2√x )2+(√y )2=1+4x+y=2,∴0<2√x +√y ≤√2,当且仅当{4x +y =1,2√x =√y ,即x=18,y=12时等号成立,则2√x +√y 有最大值√2,故C 正确;对于D,当x=2,y=1时,x4+y 2x+1y=12+12+1=2<94,故D 错误.故选AC.11.32+√21b+b 2a+b=a+2b b+b 2a+b=a+12b+32bb +b 2a+b =2a+b 2b+b 2a+b+32≥2√2a+b 2b·b2a+b+32=√2+32,当且仅当2a+b 2b=b2a+b,即a=4√2-57,b=6-2√27时等号成立. 即1b +b 2a+b的最小值为32+√2.12.解因为a x+by=1,所以x+y=(x+y)(a x+by)=a+bx y+ay x+b=10+bx y+ay x.因为x,y>0,a,b>0,所以x+y≥10+2√ab =18, 当且仅当bx y=ay x时,等号成立.即√ab =4.又a+b=10,所以{a =2,b =8或{a =8,b =2.第11页 共11页 13.解(1)由题意,得1.5(1+0.005x)(500-x)≥1.5×500,整理得x 2-300x≤0,解得0≤x≤300,又x>0,故0<x≤300,即x 的取值范围为(0,300].(2)由题意知,B 生产线的利润为1.5(a-0.013x)x 万元,技术改进后,A 生产线的利润为1.5(1+0.005x)(500-x)万元,则1.5(a-0.013x)x≤1.5(1+0.005x)(500-x)恒成立,又x>0,∴a≤x 125+500x +1.5恒成立,又x 125+500x ≥4,当且仅当x=250时,等号成立,∴0<a≤5.5,即a 的最大值为5.5.14.2√33 x 2+y 2+xy=(x+y)2-xy=1,∴(x+y)2=xy+1≤(x+y 2)2+1,∴34(x+y)2≤1. ∴x+y≤2√33,故x+y 的最大值为2√33,当且仅当x=y=√33时,等号成立.。
第二章等式与不等式第2课时均值不等式的应用第二章等式与不等式考点证明不等式学习目标会利用均值不等式证明不等式问题核心素养逻辑推理会利用均值不等式解决与函解决实际问题b数关的实际问题数学建模解决恒成立问题会将不等式的恒成立问题,过分离参数转化为均值不等式问题求解逻辑推理、数学运算讲练互动已知a, b9 cW(O, +°°),且a+b+c = l・求证:~~1yr 丿探究点利用均值不等式证明不等式解惑•探究•突破OO【证明】因为a, b, cG(O, +°°), a+b+c = l9所以1=同理A* A*上述三个不等式两边均为正,分别相乘,得当且仅当a=b=c=^f等号成立.互动探究在本例条件下,求证::+£+*$9.证明:因为 a, b, cG(O, + °°),且 “+方+c = l, 所以++出。
+方+0+"+心+心+。
+〃+(a rM3+2+2+2=9・当且仅当a=〃=c=f 时,等号成立.b=3+件辺0113圈利用均值不等式证明不等式的思路利用均值不等式证明不等式时,要先观察题中要证明的不等式的结构特征,若不能直接使用均值不等式证明,则考虑对代数式进行拆项、变形、配凑等,使之达到能使用基本不等式的形式;若题目中还有已知条件,则先观察已知条件和所证不等式之间的联系,当已知条件中含有“1”时,要注意“1”的代换.另外,解题时要时刻注意等号能否取到.1.已知a, b都是正实数,且ab=2f求证:(l+2a)(l+〃)M9. 证明:因为a, 〃都是正实数,且ab=2f所以寸而=4,所以(l+2«)(l+〃) = l+2a+方+2ab=5+2a+〃M5+4=9・即(1+勿)(1+方)$9・护方2 c22.已知a, b, c>0,求证:牛+7+[纹+方+c.2证明:因为a, b, c>0,所以利用均值不等式可得,+心2a,12 2 2 12 2—+cM2b, —+aM2c,所以〒+—+—+a+〃+cM2«+2方+2c, c a u c d2>22故彳+7+》Ma+b+c,当且仅当a=b=c时,等号成立.探究点酉利用均值不等式解实际应用题每吨面粉的价格为1 800元,面粉的保管费及其他费用为平均某食品厂定期购买面粉, 已知该厂每天需用面粉6吨,每吨每天3元,购买面粉每次需支付运费900元.求该厂多少天购买一次面粉,才能使平均每天支付的总费用最少?【解】 设该厂每兀天购买一次面粉,其购买量为6x 吨. 由题意可知,面粉的保管费等其他费用为3X[6x+6(x-l)+6(x-2) + -+6Xl]=9x(x+l)(元).设平均每天所支付的总费用为y 元,则 J = ~[9x(x + 1) + 900] + 6X1 800 = 9兀 +型+ 10 809M故该厂每10天购买一次面粉,才能使平均每天所支付的总费用 最少.也+10 809=10 989(元),当且仅当%=響即x = 10时,等号成立.利用均值不等式解决实际问题的思路利用均值不等式解决应用问题的关键是构建模型,一般来说, 都是从具体的几何图形,通过相关的关系建立关系式.在解题过程中尽量向模型ax^~^2\[ab(a>09 b>09兀>0)上靠拢•1.某公司购买一批机器投入生产,据市场分析,每台机器生产 的产品可获得的总利润刃单位:万元)与机器运转时间班单位: -X 2 + 18X -25(X EN*),则当每台机器运转解析:每台机器运转x 年的年平均利润为^=18—兀+丁,且 X \ X ) x>0,故[W18-2何=8,当且仅当x=5时等号成立,此时年 平均利润最大,最大值为8万元.答案:5 8年时,年平均利润最大,最大值是 万元•年)的关系为y =25、2・用一段长为36 m的篱笆围成一个矩形菜园,问这个矩形的长.宽各为多少时,菜园的面积最大,最大面积是多少?解:设矩形菜园的长为x m>宽为ym, 则2(x+j)=36, x+j = 18, 矩形菜园的面积为xjm2.可得巧W81,当且仅当x=j,即x=y=9时,等号成立.因此,这个矩形的长、宽都为9: 面积为81 m2.m时,菜园的面积最大,最大2働[3)不等式9x +1(常数a>0),对一切正实数x 成立, 求。
2.2.4均值不等式及其应用 第二章 等式与不等式2.2 不等式2.2.4 均值不等式及其应用考点1均值不等式的理解1.(2018·山东兖州二中高二月考)若a ,b ∈R,且ab >0,则下列不等式中,恒成立的是( )。
A.a 2+b 2>2ab B.a +b ≥2√ab C.1a +1b>2√abD.b a +a b≥2答案:D解析:a 2+b 2≥2ab ,所以A 错误;ab >0,只能说明两实数同号,同为正数,或同为负数,所以当a <0,b <0时,B 错误;同理,C 错误;a b或b a都是正数,根据不等式求最值,a b +b a≥2√a b×b a=2,故D 正确。
2.若a ,b ∈R,则下列不等式恒成立的是( )。
A.|a+b |2≥√|ab | B.b a +a b≥2C.a 2+b 22≥(a+b 2)2 D.(a +b )(1a +1b)≥4 答案:C解析:对于A ,当a ,b 同号时,不等式成立,当a ,b 异号时,不等式不成立,故A 中不等式不恒成立;对于B ,当a ,b 同号时,不等式成立,当a ,b 异号时,-(a b+b a)≥2√a b ·b a=2,那么a b +b a≤-2,故B 中不等式不恒成立;对于C ,a 2+b 22≥(a+b 2)2,故C 中不等式恒成立;对于D ,(a +b )1a +1b=2+a b +b a,当a ,b 同号时a b +b a≥2,原不等式成立,当a ,b 异号时,-(a b+b a)≥2√a b ·b a=2,那么a b +b a≤-2,原不等式不成立,故D 中不等式不恒成立。
故选C 。
3.(2019·北京第九十四中高二期中)若正实数a ,b 满足1a +2b=√2ab ,则ab 的最小值为( )。
A.√2 B.2 C.2√2 D.4答案:B解析:对于正实数a ,b ,由均值不等式可知1a +2b ≥√2√ab ,当且仅当1a =2b 时取等号,则√2ab ≥√2√ab⇒ab ≥2,故选B 。
课时分层作业(十六) 均值不等式(建议用时:60分钟)[合格根底练]一、选择题1.设t =a +2b ,s =a +b 2+1,那么t 与s 的大小关系是( ) A .s ≥t B .s >t C .s ≤tD .s <tA [∵b 2+1≥2b ,∴a +2b ≤a +b 2+1.] 2.以下不等式中正确的选项是( ) A .a +4a≥4B .a 2+b 2≥4ab C.ab ≥a +b2D .x 2+3x2≥2 3D [a <0,那么a +4a≥4不成立,故A 错;a =1,b =1,a 2+b 2<4ab ,故B 错; a =4,b =16,那么ab <a +b2,故C 错;由均值不等式可知D 项正确.]3.a >0,b >0,那么以下不等式中错误的选项是( )A .ab ≤⎝ ⎛⎭⎪⎫a +b 22 B .ab ≤a 2+b 22C.1ab ≥2a 2+b 2D.1ab ≤⎝⎛⎭⎪⎫2a +b 2D [由均值不等式知A 、C 正确,由重要不等式知B 正确,由a 2+b 22≥ab 得,ab ≤⎝⎛⎭⎪⎫a +b 22,∴1ab ≥⎝ ⎛⎭⎪⎫2a +b 2,应选D.] 4.假设a >b >0,那么以下不等式成立的是( ) A .a >b >a +b2>abB .a >a +b2>ab >b C .a >a +b2>b >abD.a >ab >a +b2>bB [a =a +a 2>a +b2>ab >b ·b =b ,因此只有B 项正确.]5.假设a >0,b >0,且a +b =4,那么以下不等式恒成立的是( ) A.1ab >12 B.1a +1b≤1C.ab ≥2D.1a 2+b 2≤18D [由ab ≤2得ab ≤4, ∴1ab ≥14,故A 错; B 中,1a +1b =a +b ab =4ab≥1,故B 错;由a +b =4,得ab ≤a +b 2=42=2,故C 错;由a 2+b 22≥⎝⎛⎭⎪⎫a +b 22得a 2+b 2≥2×⎝ ⎛⎭⎪⎫422=8, ∴1a 2+b 2≤18,D 正确.] 二、填空题6.a >b >c ,那么(a -b )(b -c )与a -c2的大小关系是________.(a -b )(b -c )≤a -c2[∵a >b >c ,∴a -b >0,b -c >0,∴(a -b )(b -c )≤(a -b )+(b -c )2=a -c2.]7.某工厂第一年的产量为A ,第二年的增长率为a ,第三年的增长率为b ,那么这两年的平均增长率x 与增长率的平均值a +b2的大小关系为________.x ≤a +b2[用两种方法求出第三年的产量分别为A (1+a )(1+b ),A (1+x )2,那么有(1+x )2=(1+a )(1+b ).∴1+x =(1+a )(1+b )≤1+a +1+b 2=1+a +b2, ∴x ≤a +b2.当且仅当a =b 时等号成立.]8.函数y =4x +ax(x >0,a >0)在x =3时取得最小值,那么a =________.36 [y =4x +a x≥24x ·a x =4a (x >0,a >0),当且仅当4x =a x,即x =a2时等号成立,此时y 取得最小值4a .又由x =3时,y min =4a ,∴a2=3,即a =36.]三、解答题9.a ,b ,c 为正实数,且a +b =1.求证:1a +1b≥4.[证明] 1a +1b =a +b a +a +bb=1+b a +ab +1 =2+b a +a b≥2+2b a ·ab=4. 当且仅当a =b 时“=〞成立. 10.a ,b ,c 为正数,求证:b +c -a a +c +a -b b +a +b -cc≥3. [证明] 左边=b a +c a -1+c b +a b-1+a c +bc-1=⎝ ⎛⎭⎪⎫b a +a b +⎝ ⎛⎭⎪⎫c a +a c +⎝ ⎛⎭⎪⎫c b +b c -3.∵a ,b ,c 为正数,∴b a +a b≥2(当且仅当a =b 时取“=〞);c a +ac≥2(当且仅当a =c 时取“=〞); c b +bc≥2(当且仅当b =c 时取“=〞). 从而⎝⎛⎭⎪⎫b a +a b +⎝⎛⎭⎪⎫c a +a c +⎝⎛⎭⎪⎫c b +bc≥6(当且仅当a =b =c 时取等号). ∴⎝ ⎛⎭⎪⎫b a +a b +⎝ ⎛⎭⎪⎫c a +a c +⎝ ⎛⎭⎪⎫c b +b c -3≥3, 即b +c -a a +c +a -b b +a +b -cc≥3. [等级过关练]1.以下不等式一定成立的是( ) A .x +1x≥2B.x 2+2x 2+2≥ 2C.x 2+3x 2+4≥2D .2-3x -4x≥2B [A 项中当x <0时,x +1x<0<2,∴A 错误.B 项中,x 2+2x 2+2=x 2+2≥2,∴B 正确.而对于C ,x 2+3x 2+4=x 2+4-1x 2+4,当x =0时,x 2+3x 2+4=32<2,显然选项C 不正确.D 项中取x =1,2-3x -4x<2,∴D 错误.]2.a ≥0,b ≥0,且a +b =2,那么( ) A .ab ≤12B .ab ≥12C .a 2+b 2≥2D .a 2+b 2≤3C [∵a ≥0,b ≥0,且a +b =2,∴ab ≤⎝⎛⎭⎪⎫a +b 22=1,而4=(a +b )2=a 2+b 2+2ab ≤2(a 2+b 2), ∴a 2+b 2≥2.]3.假设x 2+y 2=4,那么xy 的最大值为________. 2 [xy ≤x 2+y 22=2,当且仅当x =y 时取“=〞.]4.设a ,b 为非零实数,给出不等式: ①a 2+b 22≥ab ;②a 2+b 22≥⎝⎛⎭⎪⎫a +b 22;③a +b 2≥aba +b ; ④a b +b a≥2.其中恒成立的不等式是________.①② [由重要不等式a 2+b 2≥2ab 可知①正确; ②a 2+b 22=2(a 2+b 2)4=(a 2+b 2)+(a 2+b 2)4≥a 2+b 2+2ab 4=(a +b )24=⎝ ⎛⎭⎪⎫a +b 22,故②正确;对于③,当a =b =-1时,不等式的左边为a +b2=-1,右边为ab a +b =-12,可知③不正确;令a =1,b =-1可知④不正确.]5.a ,b ,c 为不全相等的正实数,求证:a +b +c >ab +bc +ca . [证明] ∵a >0,b >0,c >0,∴a +b2≥ab ,b +c2≥bc ,c +a2≥ca ,∴a +b 2+b +c2+c +a2≥ab +bc +ca ,即a +b +c ≥ab +bc +ca .由于a ,b ,c 不全相等, ∴等号不成立,∴a +b +c >ab +bc +ca .。
2.2.4 均值不等式及其应用第1课时均值不等式1.均值不等式(基本不等式)(1)算术平均值与几何平均值.前提给定两个正数a,b结论数a+b2称为a,b的算术平均值数ab 称为a,b的几何平均值(2)均值不等式前提a,b都是正数,结论a+b2≥ab ,等号成立的条件当且仅当a=b时,等号成立几何意义所有周长一定的矩形中,正方形的面积最大.(3)本质:算数平均值的本质就是数a ,b 在数轴上对应点的中点坐标.几何平均值的本质就是a ,b 乘积的开方.均值不等式就是在正数的前提下其算数平均值大于等于其几何平均值. (4)应用:应用均值不等式求最值.(1)均值不等式中的a ,b 只能是具体的某个数吗? 提示:Xa ,b 既可以是具体的某个数,也可以是代数式.(2)均值不等式的叙述中,“正数”两个字能省略吗?请举例说明. 提示:不能,如(-3)+(-4)2 ≥(-3)×(-4) 是不成立的. 2.均值不等式与最值两个正数的积为常数时,它们的和有最小值; 两个正数的和为常数时,它们的积有最大值.通过以上结论可以得出,利用均值不等式求最值要注意哪几方面? 提示:求最值时,要注意三个条件,即“一正”“二定”“三相等”.1.辨析记忆(对的打“√”,错的打“×”).(1)两个不等式a 2+b 2≥2ab 与a +b2 ≥ab 成立的条件是相同的.( )提示:×.不等式a 2+b 2≥2ab 成立的条件是a ,b ∈R ;不等式a +b2 ≥ab成立的条件是a >0,b >0.(2)当a >0,b >0时a +b ≥2ab .( ) 提示:√.均值不等式的变形公式.(3)当a >0,b >0时ab ≤⎝⎛⎭⎪⎫a +b 2 2.( ) 提示:√.均值不等式的变形公式. (4)函数y =x -1+1x -1的最小值是2.( )提示:×.当x -1<0,即x <1时,x -1+1x -1 是负数.2.若正实数a ,b 满足a +b =2,则ab 的最大值为( ) A .1 B .22 C .2 D .4【解析】选A.当a ,b 为正实数时,由ab ≤a +b 2 ,ab ≤⎝ ⎛⎭⎪⎪⎫a +b 2 2 =⎝ ⎛⎭⎪⎫22 2=1,当且仅当a =b =1时等号成立,所以ab 的最大值为1. 3.(教材例题改编)已知x >1,y =x +1x -1 ,则y 的最小值是( )A .1B .2C .3D .4【解析】选C.因为x >1,则x -1>0,由基本不等式得y =x -1+1x -1+1≥2(x -1)·1x -1+1=3,当且仅当x =2时,等号成立,因此,y 的最小值是3.类型一 对均值不等式的理解(数学抽象)1.给出下列条件:①ab >0;②ab <0;③a >0,b >0;④a <0,b <0.其中能使b a +ab ≥2成立的条件个数为( )A .1B .2C .3D .4【解析】选C.由均值不等式的前提需“一正、二定、三相等”,即当ba ,ab 均为正数时,可得b a +ab ≥2,此时只需a ,b 同号即可,所以①③④均满足要求.2.不等式a +1≥2 a (a >0)中等号成立的条件是( ) A .a =0 B .a =12 C .a =1 D .a =2【解析】选C.因为a >0,根据均值不等式ab ≤a +b2 ,当且仅当a =b 时等号成立,故a +1≥2 a 中等号成立当且仅当a =1. 3.若a >0,b >0,且M =a +b2 ,G =ab ,H =a 2+b 22 ,则M ,G ,H 的大小关系为________.【解析】因为a >0,b >0,所以有a +b2 ≥ab (当且仅当a =b 时取等号),因此有M ≥G .a 2+b 2≥2ab ⇒a 2+b 2+a 2+b 2≥2ab +a 2+b 2⇒a 2+b 2≥(a +b )22 ⇒a 2+b 22 ≥(a +b )24(当且仅当a =b 时取等号),因为a >0,b >0,所以有a 2+b 22 ≥a +b2 ,因此有H ≥M . 答案:H ≥M ≥G均值不等式使用的条件利用均值不等式求最值时,一定要正确理解和掌握“一正,二定,三相等”的内涵:“一正”是,要判断参数是否为正;“二定”是,要看和或积是否为定值(和定积最大,积定和最小);“三相等”是,一定要验证等号能否成立(主要注意两点,一是相等时参数是否在定义域内,二是多次用≥或≤时等号能否同时成立).【补偿训练】设0<a<b ,则下列不等式中正确的是( ) A .a<b<ab <a +b 2 B .a<ab <a +b2 <b C .a<ab <b<a +b 2 D .ab <a<a +b2 <b【解析】选B .因为0<a<b ,所以0< a < b ,所以a<ab ,同样由0<a<b 得a 2 <b 2 ,所以a +b 2 <b ,由均值不等式可得,ab <a +b 2 ,综上,a<ab <a +b2 <b.类型二 利用均值不等式求最值(数学运算)【典例】当x>1时,求x 2+8x -1 的最小值.探求解书写表达令t=x2+8x-1=(x-1)2+2(x-1)+9x-1=(x-1)+9x-1+2,①因为x-1>0,所以t≥2(x-1)·9x-1+2=8,当且仅当x-1=9x-1,即x=4时,t的最小值为8.②注意书写的规范性:①为了表达式的完整性,可以将表达式记为t=x2+8x-1②步骤中不能省略验证等号成立的条件题后反思表达式的恒等变形是解题的关键,ax2+bx+cdx+e(ad≠0)形式的表达式通常分母不变,将分子化为m(dx+e)2+n(dx+e)+q的形式(m,n,q为常数)并展开,再利用均值不等式求解,均值不等式的应用必须一正、二定、三相等,三者缺一不可利用均值不等式求最值的两种类型和一个关注点(1)两种类型:①若a+b=p(两个正数a,b的和为定值),则当a=b时,积ab有最大值p24,可以用均值不等式ab ≤a+b2求得.②若ab=S(两个正数的积为定值),则当a=b时,和a+b有最小值2S ,可以用均值不等式a+b≥2ab 求得.(2)一个关注点:不论哪种情况都要注意等号取得的条件.(2021·潍坊高一检测)规定记号“⊙”表示一种运算,即a⊙b=ab +a +b(a,b为正实数).若1⊙k=3,则k的值为________,此时函数y=k⊙xx的最小值为________.【解析】由题意得1⊙k=k +1+k=3,即k+k -2=0,所以k =1或k =-2(舍去),所以k=1.y=k⊙xx =x+x+1x=1+x +1x≥1+2x×1x=3,当且仅当x =1x,即x=1时,等号成立.答案:1 3【拓展延伸】1.一次式除以二次式形式的表达式的最值的求法(1)分子一次形式不变,将分母的二次形式改写为分子一次形式的平方或者一次形式的几倍或者常数形式.(2)分子分母同除以分子后利用均值不等式求解.2.利用均值不等式求解整式形式的最值(1)判断所求表达式中未知量的正负.(2)直接使用均值不等式求解,特别注意最后要进行等号成立时的未知量的检验.【拓展训练】对任意x>0,xx 2+3x +1的最大值为________.【解析】由题意,对任意x>0,有x x 2+3x +1 =1x 2+3x +1x =1x +1x +3≤12x·1x +3 =15 ,当且仅当x =1x ,即x =1时,等号成立, 即x x 2+3x +1 的最大值为15 . 答案:15总结:本题主要考查了均值不等式的应用,解答中对xx 2+3x +1 进行等价转化求得最大值是解答的关键,着重考查了推理与运算能力.类型三 间接利用均值不等式求最值“不正”问题【典例】已知x<0,则3x +12x 的最大值为________. 【思路导引】变形为各项均大于0后利用均值不等式求最值. 【解析】因为x<0,所以-x>0.则3x +12x =-⎣⎢⎢⎡⎦⎥⎥⎤12-x +(-3x ) ≤-212(-x )·(-3x ) =-12,当且仅当12-x=-3x ,即x =-2时,3x +12x 取得最大值为-12. 答案:-12若条件改为“x<1”,结论改为“则3(x -1)+12x -1 的最大值为________.”如何求解?【解析】因为x<1,所以x -1<0,故-(x -1)>0,所以3(x -1)+12x -1 =-⎣⎢⎢⎡⎦⎥⎥⎤-3(x -1)+⎝ ⎛⎭⎪⎪⎫-12x -1 ≤ -2-3(x -1)·⎝ ⎛⎭⎪⎪⎫-12x -1 =-12,当且仅当-3(x -1)=-12x -1 ,即x =-1时,3(x -1)+12x -1 取得最大值-12.答案:-12“不定”问题【典例】(1)已知x>2,求x +1x -2的最小值.【思路导引】先对式子变形,凑定值后再利用均值不等式求最值. 【解析】(1)因为x>2,所以x -2>0,所以x +1x -2 =x -2+1x -2 +2≥2(x -2)⎝ ⎛⎭⎪⎪⎫1x -2 +2=4,所以当且仅当x -2=1x -2 (x>2),即x =3时,x +1x -2 的最小值为4.(2)已知0<x<4,求x(8-2x)的最大值.【解析】因为0<x<4,所以8-2x>0,所以x(8-2x)=12 ×2x(8-2x)≤12 ⎝ ⎛⎭⎪⎪⎫2x +8-2x 2 2 =8, 所以当且仅当2x =8-2x ()0<x<4 , 即x =2时有最大值,x(8-2x)的最大值为8.若把本例(1)改为:已知x<54 , 试求4x -2+14x -5的最大值.【解析】因为x<54 ,所以4x -5<0,5-4x>0. 所以4x -5+3+14x -5 =-⎝ ⎛⎭⎪⎪⎫5-4x +15-4x +3≤-2(5-4x )·15-4x+3=1.当且仅当5-4x =15-4x 时等号成立,又5-4x>0,所以5-4x =1,x =1时,4x -2+14x -5的最大值是1.1.负数在均值不等式中的应用当所给式子均小于0时,也可以利用均值不等式求最值,但是要注意不等号方向的变化.2.通过拼凑法利用均值不等式求最值的策略(1)拼凑的技巧,以整式为基础,注意利用系数的变化以及等式中常数的调整,做到等价变形.(2)代数式的变形以拼凑出和或积的定值为目标. (3)拆项、添项应注意检验利用均值不等式的前提.1.(2021·宜春高一检测)已知两个正数a ,b 满足3a +2b =1,则3a +2b 的最小值是( )A .23B .24C .25D .26【解析】选C .根据题意,正数a ,b 满足3a +2b =1, 则3a +2b =⎝⎛⎭⎫3a +2b ⎝⎛⎭⎪⎫3a +2b =13+⎝⎛⎭⎪⎫6a b +6b a≥13+26a b ·6ba =25,当且仅当a =b =15 时等号成立. 即3a +2b 的最小值是25.2.不等式9x -2 +(x -2)≥6(其中x>2)中等号成立的条件是( )A .x =3B .x =-3C .x =5D .x =-5【解析】选C .由均值不等式知等号成立的条件为9x -2 =x -2,即x =5(x =-1舍去).3.已知x<0,则x +94x 的最大值是________.【解析】已知x<0,则x +94x =-⎝ ⎛⎭⎪⎪⎫-x +9-4x ≤-294 =-3,当-x =9-4x,即x =-32 时,等号成立.答案:-3【补偿训练】(2020·潍坊高一检测)设a>b>0,则a 2+1ab +1a (a -b )的最小值是( )A .1B .2C .3D .4【解析】选D .因为a>b>0,所以a 2+1ab +1a (a -b )=a 2-ab +ab +1ab +1a (a -b )=ab +1ab +a(a -b)+1a (a -b ) ≥2+2=4,(当且仅当ab =1且a(a -b)=1即a = 2 ,b =22 时,取“=”号),故应选D .备选类型 “不等”问题【典例】下列命题中,正确的是( ) A .x +4x 的最小值是4B .x 2+4 +1x 2+4的最小值是2C .如果a>b ,c>d ,那么a -c>b -dD .如果ac 2>bc 2,那么a>b【思路导引】利用均值不等式和对勾函数的性质,以及不等式的性质,分别对四个选项进行判断,得到答案.【解析】选D .选项A 中,若x<0,则无最小值,所以错误;选项B 中,t =x 2+4 ≥2,则函数y =x 2+4 +1x 2+4转化为函数y =t +1t ,在[2,+∞)上单调递增,所以最小值为52 ,所以错误; 选项C 中,若a =c ,b =d ,则a -c =b -d ,所以错误; 选项D 中,如果ac 2>bc 2,则c≠0,所以c 2>0,所以可得a>b.运用均值不等式解“不等”问题(1)观察运用均值不等式求最值的表达式是否满足一正二定; (2)使用均值不等式,检验等号是否成立,成立即运用均值不等式,否则结合单调性加以求解.下列各式中,最小值是2的为( )A .(x +1)+⎝ ⎛⎭⎪⎫1x +1B .(x +2)+⎝ ⎛⎭⎪⎫1x +2C .(x 2+1)+⎝ ⎛⎭⎪⎫1x 2+1 D .x 2+3 +1x 2+3【解析】选C .选项A ,只有当x +1>0,即x >-1时,才有(x +1)+⎝ ⎛⎭⎪⎪⎫1x +1≥2(x +1)·⎝ ⎛⎭⎪⎪⎫1x +1 =2(当且仅当x =0时取等号)成立,此时(x +1)+⎝ ⎛⎭⎪⎪⎫1x +1 的最小值为2,当x +1<0,即x<-1时,(x +1)+⎝ ⎛⎭⎪⎪⎫1x +1 没有最小值,因此选项A 是错误的;选项B ,只有当x +2>0,即x >-2时,才有(x +2)+⎝ ⎛⎭⎪⎪⎫1x +2 ≥2(x +2)·1(x +2)=2(当且仅当x =-1时取等号)成立,此时(x +2)+⎝ ⎛⎭⎪⎪⎫1x +2 的最小值为2,当x +2<0,即x <-2时,(x +2)+⎝ ⎛⎭⎪⎪⎫1x +2 没有最小值,因此选项B 是错误的;选项C ,因为x 2+1>0,所以⎝⎛⎭⎫x 2+1 +⎝ ⎛⎭⎪⎪⎫1x 2+1 ≥ 2⎝⎛⎭⎫x 2+1·⎝ ⎛⎭⎪⎪⎫1x 2+1 =2(当且仅当x =0时取等号),因此⎝⎛⎭⎫x 2+1 +⎝ ⎛⎭⎪⎪⎫1x 2+1 的最小值为2,所以本选项是正确的; 选项D ,因为x 2+3 >0,所以x 2+3 +1x 2+3≥2x 2+3·1x 2+3=2,x 2+3 =1x 2+3⇒x 2+3=1⇒x 2=-2方程无实数根,故不等式取不到等号,因此本选项是错误的.1.若x 2+y 2=4,则xy 的最大值是( ) A .12 B .1 C .2 D .4【解析】选C.xy ≤x 2+y 22 =2,当且仅当x =y 时取“=”.2.(2021·烟台高一检测)已知a >0,b >0,若不等式4a +1b ≥ma +b 恒成立,则m 的最大值为( )A .10B .12C .16D .9【解析】选D.由已知a >0,b >0,若不等式4a +1b ≥ma +b恒成立,所以m ≤⎝ ⎛⎭⎪⎫4a +1b (a +b )恒成立,转化成求y =⎝ ⎛⎭⎪⎫4a +1b (a +b )的最小值,y=⎝ ⎛⎭⎪⎫4a +1b (a +b )=5+4b a +ab ≥5+24b a ·ab =9,当且仅当a =2b 时等号成立,所以m ≤9.3.(教材练习改编)已知x>3,y =x 2-3x +1x -3 ,则y 的最小值为( )A .2B .3C .4D .5【解析】选D .因为x>3,所以x -3>0,则y =x 2-3x +1x -3=x +1x -3=x -3+1x -3+3≥2(x -3)×1x -3+3=5,当且仅当x -3=1x -3,即x =4时取等号. 4.已知0<x<4,则4x +14-x 的最小值为________,此时x =________.【解析】因为x +4-x4 =1,且0<x<4,所以4x +14-x =⎝ ⎛⎭⎪⎪⎫4x +14-x ⎝ ⎛⎭⎪⎪⎫x 4+4-x 4 =54 +x 4(4-x ) +4-x x ≥54 +2x 4(4-x )·4-x x =94 ,当且仅当x =83 时等号成立.答案:94 835.若a>0,b>0且2a +1b =3,则ab 的最大值为________. 【解析】因为a>0,b>0,所以2a +1b =3≥22a b ,当且仅当2a =1b ,即a =34 ,b =23 时,等号成立,所以a b ≤98 . 答案:98。
课时分层作业(十四) 不等式及其性质(建议用时:40分钟)一、选择题1.已知1<x <3,0<y <1,则x -y 的取值范围是( ) A .(1,2) B .(0,2) C .(0,3)D .(0,1)C [因为0<y <1,所以-1<-y <0,又1<x <3,所以0<x -y <3.] 2.已知a <0,b <-1,则下列不等式成立的是( ) A .a >a b >ab 2B .a b 2>a b >aC .a b >a >ab 2D .a b >a b 2>aD [取a =-2,b =-2,则a b =1,a b 2=-12,∴a b >ab 2>a .故选D.]3.已知a >b ,则下列不等式:①a 2>b 2;②1a <1b ;③1a -b >1a .其中不成立的个数是( )A .0B .1C .2D .3D [虽然已知a >b ,但并不知道a ,b 的正负,如有2>-3,但22<(-3)2,故①错;2>-3⇒12>-13,②错;若有a =1,b =-2,则1a -b =13,1a =1,1a -b <1a ,故③错.]4.若abcd <0,且a >0,b >c ,d <0,则( ) A .b <0,c <0 B .b >0,c >0 C .b >0,c <0D .0<c <b 或c <b <0D [由a >0,d <0,且abcd <0,知bc >0,又∵b >c ,∴0<c <b 或c <b <0.故选D.] 5.若a >b >c ,且a +b +c =0,则下列不等式恒成立的是( ) A .ac >bc B .ab >ac C .a |b |>c |b |D .a 2>b 2>c 2B [∵a +b +c =0且a >b >c ,∴a >0,c <0,∴A 不正确;对于B ,ab >ac ⇔a (b -c )>0.又b -c >0,a >0,故B 正确;由于|b |有可能为0,故C 不正确;若a =2,b =1,c =-3,显然a +b +c =0,但a 2>b 2且b 2<c 2,故D 不正确.]二、填空题6.给出以下四个命题:①a >b ⇒a n >b n (n ∈N *);②a >|b |⇒a n >b n (n ∈N *);③a <b <0⇒1a >1b ;④a <b <0⇒1a -b>1a .其中真命题的序号是________. ②③ [①中取a =-1,b =-2,n =2,不成立;②a >|b |,得a >0,∴a n >b n 成立;③a <b <0,1a >1b 成立;④a <b <0,得a -b <0,且a -b >a ,故1a -b <1a ,④不成立.]7.设x >1,-1<y <0,试将x ,y ,-y 按从小到大的顺序排列:________. y <-y <x [∵-1<y <0,∴0<-y <1,∴y <-y ,又x >1,∴y <-y <x .] 8.若8<x <10,2<y <4,则xy 的取值范围是________. (2,5) [∵2<y <4,∴14<1y <12.∵8<x <10,∴2<xy <5.] 三、解答题9.(1)a <b <0,求证:b a <ab ; (2)已知a >b ,1a <1b ,求证:ab >0.[证明] (1)由于b a -a b =b 2-a 2ab =(b +a )(b -a )ab ,∵a <b <0,∴b +a <0,b -a >0,ab >0, ∴(b +a )(b -a )ab <0,故b a <ab .(2)∵1a <1b ,∴1a -1b <0, 即b -aab <0,而a>b,∴b-a<0,∴ab>0.10.已知3<a+b<4,0<b<1,求下列各式的取值范围.(1)a;(2)a-b;(3)a b.[解](1)∵3<a+b<4,0<b<1,∴-1<-b<0,∴2<a+b+(-b)<4,即2<a<4.(2)∵0<b<1,∴-1<-b<0.又∵2<a<4,∴1<a-b<4.(3)∵0<b<1,∴1b>1,又∵2<a<4,∴ab>2.11.(多选题)已知a,b,c,d∈R,则下列结论中不成立的是() A.若a>b,c>b,则a>cB.若a>-b,则c-a<c+bC.若a>b,c<d,则ac>bdD.若a2>b2,则-a<-bACD[选项A,若a=4,b=2,c=5,显然不成立;选项C,不满足倒数不等式的条件,如a>b>0,c<0<d时,不成立;选项D,只有当a>b>0时才成立.故选ACD.]12.已知条件甲:a>0,条件乙:a>b且1a>1b,则甲是乙的()A.充分不必要条件B.必要不充分条件C.充要条件D.既不充分也不必要条件B[a>0不能推出a>b,若a>b且1a>1b,则a>b且b-aab>0,可得a>b且ab<0,则a>0,b<0,即a>b且1a>1b能推出a>0,所以可得甲是乙的必要不充分条件,故选B.]13.x=2,y=7-3,z=6-2,则x,y,z的大小关系是________.x>z>y[y=7-3=47+3,z=6-2=46+2,又∵7+3>6+2>0,∴z>y.∵x-z=2-(6-2)=22-6=8-6>0,∴x>z,∴x>z >y.]14.(一题两空)李明自主创业,在网上经营一家水果店,销售的水果中有草莓、京白梨、西瓜、桃,价格依次为60元/盒、65元/盒、80元/盒、90元/盒.为增加销量,李明对这四种水果进行促销:一次购买水果的总价达到120元,顾客就少付x元.每笔订单顾客网上支付成功后,李明会得到支付款的80%.①当x=10时,顾客一次购买草莓和西瓜各1盒,需要支付________元;②在促销活动中,为保证李明每笔订单得到的金额均不低于促销前总价的七折,则x的最大值为________.13015[①顾客一次购买草莓和西瓜各1盒,总价为60+80=140(元),又140>120,所以优惠10元,顾客实际需要付款130元.②设顾客一次购买的水果总价为m元.由题意易知,当0<m<120时,x=0;当m≥120时,(m-x)×80%≥m×70%,得x≤m 8对任意m≥120恒成立,又m8≥15,所以x的最大值为15.]15.(1)用分析法证明:已知n∈N*,n+1-n>n+3-n+2;(2)用反证法证明:若a,b为正实数,则ab+ba≥a+b.[证明](1)要证n+1-n>n+3-n+2,只需证n+1+n+2>n+n+3,只需证(n+1+n+2)2>(n+n+3)2,。
第2课时 均值不等式的应用关键能力·攻重难类型 用均值不等式证明不等式 ┃┃典例剖析__■1.无附加条件的不等式的证明典例1 已知a ,b ,c >0,求证:a 2b +b 2c +c 2a≥a +b +c .思路探究:由条件中a ,b ,c >0及待证不等式的结构特征知,先用均值不等式证a 2b +b ≥2a ,b 2c +c ≥2b ,c 2a+a ≥2c ,再进行证明即可. 解析:∵a ,b ,c >0,∴利用均值不等式可得a 2b +b ≥2a ,b 2c +c ≥2b ,c 2a +a ≥2c ,∴a 2b +b 2c +c 2a +a +b +c ≥2a +2b +2c ,故a 2b +b 2c +c 2a≥a +b +c , 当且仅当a =b =c 时,等号成立.归纳提升:利用均值不等式证明不等式的注意点: (1)多次使用均值不等式时,要注意等号能否成立.(2)累加法是不等式证明中的一种常用方法,证明不等式时注意使用.(3)对不能直接使用均值不等式的证明可重新组合,达到使用均值不等式的条件. 2.有附加条件的不等式的证明典例2 已知a >0,b >0,a +b =1,求证:(1+1a )(1+1b)≥9.思路探究:本题的关键是把分子的“1”换成a +b ,由均值不等式即可证明. 解析:方法一:因为a >0,b >0,a +b =1, 所以1+1a =1+a +b a =2+ba .同理1+1b =2+ab.故(1+1a )(1+1b )=(2+b a )(2+a b )=5+2(b a +ab )≥5+4=9.所以(1+1a )(1+1b )≥9,当且仅当a =b =12时取等号.方法二:(1+1a )(1+1b )=1+1a +1b +1ab =1+a +b ab +1ab =1+2ab,因为a ,b 为正数,所以ab ≤(a +b 2)2=14,所以1ab ≥4,2ab≥8.因此(1+1a )(1+1b )≥1+8=9,当且仅当a =b =12时等号成立.归纳提升:利用均值不等式证明不等式的两种题型(1)无附加条件的不等式的证明.其解题思路:观察待证不等式的结构形式,若不能直接使用均值不等式,则结合左、右两边的结构特征,进行拆项、变形、配凑等,使之达到使用均值不等式的条件.(2)有附加条件的不等式的证明.观察已知条件与待证不等式之间的关系,恰当地使用已知条件,条件的巧妙代换是一种较为重要的变形.┃┃对点训练__■1.已知x >0,y >0,z >0,求证:(y x +z x )(x y +z y )(x z +yz )≥8.证明:∵x >0,y >0,z >0, ∴y x +z x ≥2yz x >0,x y +z y ≥2xz y >0, x z +y z ≥2xy z>0, 当且仅当x =y =z 时,以上三式等号同时成立. ∴(y x +z x )(x y +z y )(x z +y z )≥8yz ·xz ·xy xyz =8, 当且仅当x =y =z 时等号成立. 类型 利用均值不等式解决实际问题 ┃┃典例剖析__■典例3 如图所示,动物园要围成相同的长方形虎笼四间,一面可利用原来的墙,其他各面用钢筋网围成.(1)现有36 m 长的钢筋网,则每间虎笼的长、宽各设计为多少时,可使每间虎笼面积最大? (2)若使每间虎笼面积为24 m 2,则每间虎笼的长、宽各设计为多少时,可使围成四间虎笼的钢筋网总长最小?思路探究:设每间虎笼长为x m ,宽为y m ,则问题(1)是在4x +6y =36的前提下求xy 的最大值;而问题(2)是在xy =24的前提下求4x +6y 的最小值,因此可用均值不等式来解决.解析:设每间虎笼长为x m ,宽为y m ,每间虎笼的面积为S m 2. (1)由条件知4x +6y =36,即2x +3y =18,S =xy . 方法一:由2x +3y ≥22x ·3y =26xy , 得26xy ≤18,解得xy ≤272,S ≤272,当且仅当2x =3y 时,等号成立. 由⎩⎪⎨⎪⎧2x +3y =18,2x =3y ,解得⎩⎪⎨⎪⎧x =92,y =3.故每间虎笼长为92 m ,宽为3 m 时,可使每间虎笼面积最大.方法二:由2x +3y =18,得x =9-32y .∵x >0,∴0<y <6,S =xy =(9-32y )y =32(6-y )·y .∵0<y <6,∴6-y >0. ∴S ≤32·[(6-y )+y 2]2=272.当且仅当6-y =y ,即y =3时,等号成立,此时x =4.5,故每间虎笼长为4.5 m ,宽为3 m 时,可使每间虎笼面积最大.(2)由条件知S =xy =24.设钢筋网总长为l m ,则l =4x +6y . 方法一:∵2x +3y ≥22x ·3y =26xy =24,∴l =4x +6y =2(2x +3y )≥48,当且仅2x =3y 时等号成立.由⎩⎪⎨⎪⎧ 2x =3y ,xy =24,解得⎩⎪⎨⎪⎧x =6,y =4.故每间虎笼长为6 m ,宽为4 m 时,可使钢筋网总长最小.方法二:由xy =24,得x =24y. ∴l =4x +6y =96y +6y =6(16y+y )≥6×216y·y =48. 当且仅当16y =y ,即y =4时,等号成立,此时x =6.故每间虎笼长为6 m ,宽为4 m 时,可使钢筋网总长最小. 归纳提升:求实际问题中最值的一般思路 1.读懂题意,设出变量,列出函数关系式. 2.把实际问题转化为求函数的最大值或最小值问题.3.在定义域内,求函数的最大值或最小值时,一般先考虑用均值不等式,当用均值不等式求最值的条件不具备时,再考虑利用第三章要学习的函数的单调性求解.4.正确地写出答案. ┃┃对点训练__■2.某公司计划建一面长为a 米的玻璃幕墙,先等距安装x 根立柱,然后在相邻的立柱之间安装一块与立柱等高的同种规格的玻璃.一根立柱的造价为6 400元,一块长为m 米的玻璃造价为(50m +100m 2)元.假设所有立柱的粗细都忽略不计,且不考虑其他因素,记总造价为y 元(总造价=立柱造价+玻璃造价).(1)求y 关于x 的函数关系式;(2)当a =56时,怎样设计能使总造价最低? 解析:(1)依题意可知a m =x -1,所以m =ax -1,y =6 400x +⎣⎢⎡⎦⎥⎤50a x -1+100⎝ ⎛⎭⎪⎫a x -12(x -1) =6 400x +50a +100a 2x -1(x ∈N ,且x ≥2).(2)y =6 400x +50a +100a 2x -1=100⎣⎢⎡⎦⎥⎤64(x -1)+a 2x -1+50a +6 400.∵x ∈N ,且x ≥2,∴x -1>0. ∴y ≥20064(x -1)·a 2x -1+50a +6 400=1 650a +6 400,当且仅当64(x -1)=a 2x -1,即x =a8+1时,等号成立.又∵a =56,∴当x =8时,y min =98 800.所以,安装8根立柱时,总造价最低. 易混易错警示 忽略等号成立的条件 ┃┃典例剖析__■典例4 求函数y =x (1-x ),x ∈[23,1)的最大值.错因探究:由23≤x <1,易知1-x >0,从而错解为y =x (1-x )≤[x +(1-x )2]2=14.而x =1-x在x =12时才能取“=”,但23≤x <1,因而不等式取不到等号,从而最大值为14是错误的.解析:y =x (1-x )=-x 2+x =-(x -12)2+14,当x =23时,y max =23×(1-23)=29.误区警示:利用均值不等式求最值时,等号必须取得到才能求出最值,若题设条件中的限制条件使等号不能成立,则要转换到另一种形式解答.学科核心素养 与不等式有关的恒成立问题 ┃┃典例剖析__■不等式恒成立问题的实质是已知不等式的解集求不等式中参数的取值范围.对于求不等式成立时参数的范围问题,在可能的情况下把参数分离出来,使不等式一端是含有参数的式子,另一端是一个区间上具体的函数,这样就把问题转化为一端是函数,另一端是参数的不等式,便于问题的解决.常见求解策略是将不等式恒成立问题转化为求最值问题,即y ≥m 恒成立⇔y min ≥m ; y ≤m 恒成立⇔y max ≤m .但要注意分离参数法不是万能的,如果分离参数后,得出的函数解析式较为复杂,性质很难研究,就不要使用分离参数法.典例5 已知函数y =-1a +2x,若y +2x ≥0在(0,+∞)上恒成立,则实数a 的取值范围是__(-∞,0)∪[14,+∞)__.解析:∵y +2x ≥0在(0,+∞)上恒成立, 即-1a +2x +2x ≥0在(0,+∞)上恒成立,∴1a ≤2(x +1x )在(0,+∞)上恒成立. 当a <0时,不等式恒成立;当a >0时,∵2(x +1x)≥4,当且仅当x =1时,等号成立,∴0<1a ≤4,解得a ≥14.∴a <0或a ≥14.课堂检测·固双基1.若实数a ,b 满足ab >0,则a 2+4b 2+1ab 的最小值为( C )A .8B .6C .4D .2解析:直接利用关系式的恒等变换和均值不等式求出结果.实数a ,b 满足ab >0,则a 2+4b 2+1ab ≥4ab +1ab ≥4,当且仅当a =2b ,且ab =12时,等号成立,故选C .2.若a >0,b >0,且a +b =4,则下列不等式恒成立的是( D ) A .1ab ≤14B .1a +1b ≤1C .ab ≥2D .a 2+b 2≥8解析:4=a +b ≥2ab (当且仅当a =b 时,等号成立),即ab ≤2,ab ≤4,1ab ≥14,A ,C不成立;1a +1b =a +b ab =4ab≥1,B 不成立;a 2+b 2=(a +b )2-2ab =16-2ab ≥8.3.若把总长为20 m 的篱笆围成一个矩形场地,则矩形场地的最大面积是__25_m 2__. 解析:设矩形的一边为x m , 则另一边为12×(20-2x )=(10-x )m ,所以y =x (10-x )≤[x +(10-x )2]2=25,当且仅当x =10-x ,即x =5时,y max =25 m 2. 4.已知关于x 的不等式2x +2x -a≥7在x ∈(a ,+∞)上恒成立,则实数a 的最小值为__32__.解析:由x >a ,知x -a >0,则2x +2x -a =2(x -a )+2x -a +2a ≥22(x -a )·2x -a+2a =4+2a ,由题意可知4+2a ≥7,解得a ≥32,即实数a 的最小值为32.。
课时分层作业(十九) 不等式的实际应用(建议用时:40分钟)[学业达标练]一、选择题1.要制作一个容积为4 m 3,高为1 m 的无盖长方体容器,已知该容器的底面造价是每平方米20元,侧面造价是每平方米10元,则该容器的最低总造价是( )【320】A .80元B .120元C .160元D .240元C [设底面长为x m ,则宽为4x m ,(x >0)则该容器的总造价y =4×20+10×(2x +2×4x )×1=80+20(x +4x )≥80+20×2x ×4x =160.当且仅当x =4x .即x =2时等号成立.]2.某出版社,如果以每本2.50元的价格发行一种图书,可发行80 000本.如果一本书的定价每升高0.1元,发行量就减少2 000本,那么要使收入不低于200 000元,这种书的最高定价应当是( )A .2元B .3元C .4元D .5元C [设这本书定价x 元时收入为y .则y =x (80 000-2 000×x -2.50.1), 要使收入不低于200 000,即y ≥200 000. 解得2.5≤x ≤4,所以最高定价应当是4元.]3.行驶中的汽车,在刹车时由于惯性作用,要继续往前滑行一段距离才能停下,这段距离叫做刹车距离.在某种路面上,某种型号汽车的刹车距离s (m)与汽车的车速v (km/h)满足下列关系:s =n v 100+v 2400(n 为常数,且n ∈N ),做了两次刹车试验,有关试验数据如图3-4-2所示,其中⎩⎨⎧6<s 1<8,14<s 2<17.则n 为( )图3-4-2【321】A .7B .5C .6D .8C[依题意得⎩⎪⎨⎪⎧6<40n 100+1 600400<8,14<70n 100+4 900400<17,解得⎩⎨⎧5<n <10,52<n <9514.又n ∈N ,所以n =6.]4.某商品在最近30天内的价格f (t )与时间t (单位:天)的函数关系是f (t )=t +10(0<t ≤20,t ∈N );销售量g (t )与时间t 的函数关系是g (t )=-t +35(0<t ≤30,t ∈N ),则使这种商品日销售金额不小于500元的时间t 满足( )A .15≤t ≤20B .10≤t ≤15C .10<t <15D .0<t ≤10B [由题知,日销售金额h (t )=f (t )g (t )=(t +10)(-t +35)≥500,即t 2-25t +150≤0,解得10 ≤t ≤15.]5.某车间分批生产某种产品,每批的生产准备费用为800元,若每批生产x 件(x >0),则平均仓储时间为x8天,且每件产品每天的仓储费用为1元,为使平均到每件产品的生产准备费用与仓储费用之和最小,每批应生产产品( )【322】A .60件B .80件C .100件D .120件B [由题意知,平均每件的生产准备费用与仓储费用之和为f (x )=800+18x 2x=800x +18x (x ∈N +),f (x )≥2800x ×18x =20.当且仅当800x =18x ,即x =80时,f (x )取得最小值.]二、填空题6.某家庭用14.4万元购买了一辆汽车,使用中维修费用逐年上升,第n 年维修费用约为0.2n 万元,每年其他费用为0.9万元.报废损失最小指的是购车费、维修费及其他费用之和的年平均值最小,则这辆车应在________年后报废损失最小.12 [年平均值y =14.4+0.9n +0.2(1+2+…+n )n =14.4n +0.1n +1≥3.4,当且仅当14.4n =0.1n ,即n =12时,年平均值最小,所以12年后报废损失最小.]7.某公司一年购买某种货物400吨,每次都购买x 吨,运费为4万元/次,一年的总存储费用为4x 万元,要使一年的总运费与总存储费用之和最小,则x =________吨.【323】20 [设一年总费用为y 万元,每年购买次数为400x 次,则y =400x ·4+4x =1 600x +4x ≥21 600x ·4x =2 6 400=160(万元).当且仅当1 600x =4x ,即x =20时等号成立,故x =20.]8.某校要建一个面积为392 m 2的长方形游泳池,并且在四周要修建出宽为2 m 和4 m 的小路(如图3-4-3所示),则占地面积的最小值为________m 2.图3-4-3648 [设游泳池的长为x m ,则游泳池的宽为392x m ,又设占地面积为y m 2,依题意,得y =(x +8)⎝ ⎛⎭⎪⎫392x +4=424+4⎝ ⎛⎭⎪⎫x +784x ≥424+224=648(m 2),当且仅当x =784x ,即x =28时,取“=”.]三、解答题9.甲厂以x 千克/小时的速度匀速生产某种产品(生产条件要求1≤x ≤10),每小时可获得利润是100⎝ ⎛⎭⎪⎫5x +1-3x 元.(1)要使生产该产品2小时获得的利润不低于3 000元,求x 的取值范围; (2)要使生产900千克该产品获得的利润最大,问:甲厂应该选取何种生产速度?并求最大利润.【324】[解] (1)根据题意, 200⎝ ⎛⎭⎪⎫5x +1-3x ≥3 000, 整理得5x -14-3x ≥0, 即5x 2-14x -3≥0, 又1≤x ≤10,可解得3≤x ≤10.即要使生产该产品2小时获得的利润不低于3 000元,x 的取值范围是[3,10]. (2)设利润为y 元,则 y =900x ·100⎝ ⎛⎭⎪⎫5x +1-3x =9×104⎝ ⎛⎭⎪⎫5+1x -3x 2=9×104⎣⎢⎡⎦⎥⎤-3⎝ ⎛⎭⎪⎫1x -162+6112, 故x =6时,y max =457 500元.即甲厂以6千克/小时的生产速度生产900千克 该产品获得的利润最大,最大利润为457 500元.10.某森林出现火灾,火势正以每分钟100 m 2的速度顺风蔓延,消防站接到警报立即派消防员前去,在火灾发生后5分钟到达救火现场.已知消防队员在现场平均每人每分钟可灭火50 m 2,所消耗的灭火材料、劳务津贴等费用为每人每分钟125元,另附加每次救火所耗损的车辆、器械和装备等费用平均每人100元,而烧毁1 m 2森林损失费为60元.则应该派多少名消防队员前去救火,才能使总损失最少?并求最少损失费.[解] 设派x 名消防队员前去救火,用t 分钟将火扑灭,总损失为y 元,则t =5×10050x -100=10x -2. y =125tx +100x +60(500+100t ) =125x ·10x -2+100x +30 000+60 000x -2=1 250·x -2+2x -2+100(x -2+2)+30 000+60 000x -2=31 450+100(x -2)+62 500x -2≥31 450+2100×62 500 =36 450(元), 当且仅当100(x -2)=62 500x -2,即x =27时,y 有最小值36 450.所以应该派27名消防队员去救火,才能使总损失最少,最少损失为36 450元.[冲A 挑战练]1.小王从甲地到乙地往返的时速分别为a 和b (a <b ),其全程的平均时速为v ,则( )【325】A .a <v <abB .v =ab C.ab <v <a +b2D .v =a +b2A [设路程为s ,则v =2s sa +s b=2ab a +b,因为0<a <b ,所以a +b >2ab >0∴2ab a +b<2ab 2ab =ab .因为v -a =2aba +b -a =2ab -a 2-ab a +b =a (b -a )a +b >0,所以v >a .综上可得,a <v <ab .]2.在如图3-4-4所示的锐角三角形空地中,欲建一个面积不小于300 m 2的内接矩形花园(阴影部分),则其边长x(单位:m)的取值范围是( )图3-4-4A .[15,20]B .[12,25]C .[10,30]D .[20,30]C [设矩形的另一边长为y m , 则由三角形相似知,x 40=40-y 40, ∴y =40-x . ∵xy ≥300, ∴x (40-x )≥300, ∴x 2-40x +300≤0, ∴10≤x ≤30.]3.某商家一月份至五月份累计销售额达3 860万元,预测六月份销售额为500万元,七月份销售额比六月份递增x %,八月份销售额比七月份递增x %,九、十月份销售总额与七、八月份销售总额相等.若一月份至十月份销售总额至少达7 000万元,则x 的最小值是________.【326】20 [七月份的销售额为500(1+x %),八月份的销售额为500(1+x %)2,则一月份到十月份的销售总额是3 860+500+2[500(1+x %)+500(1+x %)2],根据题意有3 860+500+2[500(1+x %)+500(1+x %)2]≥7 000,即25(1+x %)+25(1+x %)2≥66,令t =1+x %,则25t 2+25t -66≥0, 解得t ≥65或者t ≤-115(舍去), 故1+x %≥65,解得x ≥20.]4.现有含盐7%的食盐水200克,生产上需要含盐5%以上、6%以下的食盐水,设需要加入含盐4%的食盐水为x 克,则x 的取值范围是________.(100,400) [依题意,得5%<x ·4%+200·7%x +200<6%,解得x 的范围是(100,400).]5.某工厂生产某种产品,每日的成本C (单位:万元)与日产量x (单位:吨)满足函数关系式C =3+x ,每日的销售额S (单位:万元)与日产量x 满足函数关系式S =⎩⎪⎨⎪⎧3x +k x -8+5(0<x <6),14(x ≥6).已知每日的利润L =S -C ,且当x =2时,L =3. (1)求k 的值.(2)当日产量为多少吨时,每日的利润可以达到最大?并求出最大值.【327】[解] 由题意得,每日的利润L 与日产量x 的函数关系式为L =⎩⎪⎨⎪⎧2x +kx -8+2(0<x <6),11-x (x ≥6).(1)当x =2时,L =3,即3=2×2+k 2-8+2,得k =18.(2)当x ≥6时,L =11-x 为单调递减函数,故当x =6时,L max =5. 当0<x <6时,L =2x +18x -8+2=2(x -8)+18x -8+18≤6,当且仅当2(x -8)=18x -8(0<x <6),即x =5时等号成立,即L max =6.综上,当日产量为5吨时,每日的利润可以达到最大,最大值为6万元.。
课时作业18不等式的实际应用时间:45分钟分值:100分一、选择题(每小题6分,共计36分)1.某种产品的总成本y(万元)与产量x(台)之间的函数关系式是y =3 000+20x-0.1x2(0<x<240),若每台产品的售价为25万元,则生产者不亏本时的最低产量是(B)A.200台B.150台C.100台D.50台解析:要使生产者不亏本,则应满足25x≥3 000+20x-0.1x2,整理得x2+50x-30 000≥0,解得x≥150或x≤-200(舍去),故最低产量是150台.2.制作一个面积为1 m2,形状为直角三角形的铁架框,有下列四种长度的铁管供选择,较经济的(够用,又耗材量少)是(C) A.4.6 m B.4.8 mC.5 m D.5.2 m解析:设三角形两直角边长分别为a m,b m,则ab=2,周长L =a+b+a2+b2≥2ab+2ab=(2+2)·ab,当且仅当a=b时等号成立,即L≥2+22≈4.828,故应选C.3.银行计划将某项资金给项目M和N投资一年,其中40%的资金给项目M,60%的资金给项目N,项目M能获得10%的年利润,项目N能获得35%的年利润,年终银行必须回笼资金,同时按一定的回报率支付给储户.为了使银行年利润不小于给M、N总投资的10%而不大于总投资的15%,则给储户回报率的最小值为(B) A.5% B.10%C.15% D.20%解析:设共有资金a元,给储户的回报率为x,由题意,得0.1a≤0.1×0.4a+0.35×0.6a-xa≤0.15a,解得0.1≤x≤0.15.4.某债券市场常年发行三种债券,A种面值为1 000元,一年到期本息和为1 040元;B种面值为1 000元,但买入价为960元,一年到期本息和为1 000元;C 种面值为1 000元,半年到期本息和为1 020元.设这三种债券的年收益率分别为a ,b ,c ,则a ,b ,c 的大小关系是( C )A .a =c 且a <bB .a <b <cC .a <c <bD .c <a <b解析:一年到期的年收益率分别为a =401 000=0.04,b =40960≈0.041 7,c =(1+2%)2-1=0.040 4,所以a <c <b .5.某公司租地建仓库,每月土地占用费y 1与仓库到车站的距离成反比,而每月库存货物的运费y 2与到车站的距离成正比,如果在距离车站10公里处建仓库,这两项费用y 1和y 2分别为2万元和8万元,那么要使这两项费用之和最小,仓库应建在离车站( A )A .5公里B .4公里C .3公里D .2公里解析:设仓库与车站距离为d ,则y 1=k 1d ,y 2=k 2d ,由题意知:2=k 110,8=10k 2,∴k 1=20,k 2=0.8.∴y 1+y 2=20d +0.8d ≥216=8,当且仅当20d =0.8d 即d =5时,等号成立.∴选A.6.某汽车运输公司买一批豪华大客车投入营运,据市场分析,每辆客车营运的总利润y (单位:10万元)与营运年数x (x ∈N +)为二次函数关系(如图所示),则每辆客车营运的年平均利润最大时,营运了( C )A .3年B .4年C .5年D .6年解析:设y =a (x -6)2+11,由条件知7=a (4-6)2+11,∴a =-1.∴y =-(x -6)2+11=-x 2+12x -25.∴每辆客车营运的年平均利润y x =-x 2+12x -25x=-(x +25x )+12≤-225+12=2,当且仅当x =25x ,即x =5时等号成立,故选C.二、填空题(每小题8分,共计24分)7.现有含盐7%的食盐水200 g ,生产上需要含盐5%以上、6%以下的食盐水,设需要加入含盐4%的食盐水x g ,则x 的取值范围是{x |100<x <400}.解析:由条件得:5%<200×7%+4%x 200+x<6%, 即5<200×7+4x 200+x<6. 解得:100<x <400.所以x 的取值范围是{x |100<x <400}.8.某车间分批生产某种产品,每批的生产准备费用为800元.若每批生产x 件,则平均仓储时间为x 8天,且每件产品每天的仓储费用为1元.为使平均到每件产品的生产准备费用与仓储费用之和最小,每批应生产产品80件.解析:由题意得平均每件产品生产准备费用为800x 元.仓储费用为x 8元,得费用和为800x +x 8≥2800x ·x 8=20. 当且仅当800x =x 8,即x =80时等号成立.9.某公司一年购买某种货物400吨,每次都购买x 吨,运费为4万元/次.一年的总存储费用为4x 万元,要使一年的总运费与总存储费用之和最小,则x =20吨.解析:每年购买次数为400x 次,∴总费用为400x ·4+4x ≥2 6 400=160,当且仅当1 600x =4x ,即x =20时等号成立.故x =20.三、解答题(共计40分.解答应写出必要的文字说明、证明过程或演算步骤10.(10分)某摩托车生产企业,上年度生产摩托车的投入成本为1万元/辆,出厂价为1.2万元/辆,年销售量为1 000辆.本年度为适应市场需求,计划提高产品档次,适度增加投入成本.若每辆车投入成本增加的比例为x (0<x <1),则出厂价相应的提高比例为0.75x ,同时预计年销售量增加的比例为0.6x .已知年利润=(出厂价-投入成本)×年销售量.(1)写出本年度预计的年利润y 与投入成本增加的比例x 的关系式;(2)为保证本年度的年利润比上年度有所增加,问投入成本增加的比例x 应在什么范围内?解:(1)依题意得y =[1.2×(1+0.75x )-1×(1+x )]×1 000×(1+0.6x )(0<x <1).整理,得:y =-60x 2+20x +200(0<x <1).(2)要保证本年度的年利润比上年度有所增加,则⎩⎨⎧ y -(1.2-1)×1 000>00<x <1, 即⎩⎨⎧-60x 2+20x >00<x <1,解不等式组,得0<x <13. 答:为保证本年度的年利润比上年度有所增加,投入成本增加的比例x 应满足0<x <13.11.(15分)某企业上年度的年利润为200万元,本年度为适应市场需求,计划提高产品档次,适度增加投入成本,投入成本增加的比例为x (0<x <1).现在有甲、乙两种方案可供选择,通过市场调查后预测,若选用甲方案,则年利润y 万元与投入成本增加的比例x 的函数关系式为y 1=-20x 2+60x +200(0<x <1);若选用乙方案,则y 与x 的函数关系式为y 2=-30x 2+65x +200(0<x <1).试根据投入成本增加的比例x ,讨论如何选择最合适的方案.解:y 1-y 2=(-20x 2+60x +200)-(-30x 2+65x +200)=10x 2-5x .由10x 2-5x >0,解得x >12,或x <0(舍去). 所以当投入成本增加的比例0<x <12时,选择乙方案;当投入成本增加的比例12<x <1时,选择甲方案;当投入成本增加的比例x =12时,选择甲方案或乙方案都可以.12.(15分)运货卡车以每小时x 千米的速度匀速行驶130千米(50≤x ≤100)(单位:千米/时).假设汽油的价格是每升2元,而卡车每小时耗油(2+x 2360)升,司机的工资是每小时14元.(1)求这次行车总费用y 关于x 的表达式;(2)当x 为何值时,这次行车的总费用最低,并求出最低费用.解:(1)行车所用时间为t =130x h ,y =130x ×2×(2+x 2360)+14×130x ,50≤x ≤100,所以,这次行车总费用y 关于x 的表达式是y =2 340x +1318x,50≤x ≤100.(2)y =2 340x +1318x ≥2610,当且仅当2 340x =1318x ,即x =1810时等号成立,所以当x =1810时,这次行车的总费用最低,最低费用为2610元.由Ruize收集整理。
课时分层作业(十一) 均值不等式(建议用时:60分钟)[合格基础练]一、选择题1.如果正数a ,b ,c ,d 满足a +b =cd =4,那么( ) A .ab ≤c +d ,且等号成立时,a ,b ,c ,d 的取值唯一 B .ab ≥c +d ,且等号成立时,a ,b ,c ,d 的取值唯一 C .ab ≤c +d ,且等号成立时,a ,b ,c ,d 的取值不唯一 D .ab ≥c +d ,且等号成立时,a ,b ,c ,d 的取值不唯一A [正数a ,b ,c ,d 满足a +b =cd =4,∴4=a +b ≥2ab ,即ab ≤4,当且仅当a =b =2时,等号成立.又4=cd ≤⎝⎛⎭⎪⎫c +d 22,∴c +d ≥4,当且仅当c =d =2时,等号成立.综上,ab ≤c +d ,且等号成立时,a ,b ,c ,d 的取值都为2.] 2.已知a ,b ∈R ,且ab >0,则下列结论恒成立的是( ) A .a 2+b 2>2ab B .a +b ≥2ab C.1a +1b >2abD.b a +a b ≥2D [对于A ,当a =b 时,a 2+b 2=2ab ,所以A 错误;对于B ,C ,虽然ab >0,只能说明a ,b 同号,当a ,b 都小于0时,B ,C 错误;对于D ,因为ab >0,所以b a >0,ab >0, 所以b a +a b ≥2b a ·a b ,即b a +a b ≥2恒成立.]3.设正实数x ,y ,z 满足x 2-3xy +4y 2-z =0,则xyz 的最大值为( ) A .1 B .3 C. 3 D .4A [xy z =xy x 2-3xy +4y 2=1x y +4y x -3≤14-3=1,当且仅当x =2y 时等号成立.]4.若a >1,则a +1a -1的最小值是( ) A .2 B .a C.2aa -1D .3 D [∵a >1,∴a -1>0,∴a +1a -1=a -1+1a -1+1≥2 (a -1)·1a -1+1=3.]5.下列不等式一定成立的是( ) A .x +1x ≥2 B.x 2+2x 2+2≥ 2C.x 2+3x 2+4≥2 D .2-3x -4x ≥2B [A 项中当x <0时,x +1x <0<2,∴A 错误. B 项中,x 2+2x 2+2=x 2+2≥2,∴B 正确.而对于C ,x 2+3x 2+4=x 2+4-1x 2+4,当x =0时,x 2+3x 2+4=32<2,显然选项C 不正确.D 项中取x =1,2-3x -4x <2,∴D 错误.] 二、填空题6.设a >0,b >0,给出下列不等式: ①a 2+1>a ; ②⎝ ⎛⎭⎪⎫a +1a ⎝ ⎛⎭⎪⎫b +1b ≥4; ③(a +b )⎝ ⎛⎭⎪⎫1a +1b ≥4;④a 2+9>6a .其中恒成立的是________.(填序号)①②③ [由于a 2+1-a =⎝ ⎛⎭⎪⎫a -122+34>0,故①恒成立;由于a +1a ≥2,b +1b ≥2,∴⎝ ⎛⎭⎪⎫a +1a ⎝ ⎛⎭⎪⎫b +1b ≥4,当且仅当a =1且b =1时等号成立.故②恒成立; 由于a +b ≥2ab ,1a +1b ≥21ab ,故(a +b )·⎝ ⎛⎭⎪⎫1a +1b ≥4,当且仅当a =b 时等号成立.故③恒成立;当a =3时,a 2+9=6a ,故④不能恒成立.]7.已知0<x <1,则x (3-3x )取得最大值时x 的值为________.12 [由x (3-3x )=13×3x (3-3x )≤13×⎝ ⎛⎭⎪⎫3x +3-3x 22=34,当且仅当3x =3-3x ,即x =12时等号成立.]8.建造一个容积为8 m 3,深为2 m 的长方体无盖水池,如果池底和池壁的造价每平方米分别为120元和80元,那么水池的最低总造价为________元.1 760 [设水池的造价为y 元,长方体底面的一边长为x m ,由于底面积为4 m 2,所以另一边长为4x m .那么y =120·4+2·80·⎝ ⎛⎭⎪⎫2x +2·4x =480+320⎝ ⎛⎭⎪⎫x +4x ≥480+320·2x ·4x =1 760(元).当且仅当x =2,即底为边长为2 m 的正方形时,水池的造价最低,为1 760元.]三、解答题9.(1)已知x <3,求y =4x -3+x 的最大值; (2)已知x ,y 是正实数,且x +y =4,求1x +3y 的最小值. [解] (1)∵x <3,∴x -3<0, ∴y =4x -3+x =4x -3+(x -3)+3 =-⎣⎢⎡⎦⎥⎤43-x +(3-x )+3≤-243-x·(3-x )+3=-1, 当且仅当43-x=3-x ,即x =1时取等号,∴y 的最大值为-1. (2)∵x ,y 是正实数,∴(x +y )⎝ ⎛⎭⎪⎫1x +3y =4+⎝ ⎛⎭⎪⎫y x +3x y ≥4+2 3.当且仅当y x =3xy ,即x =2(3-1),y =2(3-3)时取“=”号. 又x +y =4,∴1x +3y ≥1+32, 故1x +3y 的最小值为1+32.10.已知x >0,y >0,且2x +8y -xy =0,求: (1)xy 的最小值; (2)x +y 的最小值.[解] (1)法一:由2x +8y -xy =0,得8x +2y =1,又x >0,y >0, 则1=8x +2y ≥28x ·2y =8xy,得xy ≥64, 当且仅当x =16,y =4时,等号成立. 所以xy 的最小值为64.法二:因为x >0,y >0,2x +8y -xy =0,所以xy =2x +8y ≥216xy ,所以xy ≥8xy ,所以xy ≥8,xy ≥64.当且仅当x =16,y =4时,等号成立,所以xy 的最小值为64.(2)由2x +8y -xy =0,得8x +2y =1, 则x +y =⎝ ⎛⎭⎪⎫8x +2y ·(x +y )=10+2x y +8y x ≥10+22x y ·8yx =18.当且仅当x =12且y =6时等号成立, 所以x +y 的最小值为18.[等级过关练]1.若-4<x <1,则y =x 2-2x +22x -2( )A .有最小值1B .有最大值1C .有最小值-1D .有最大值-1D [y =x 2-2x +22x -2=12⎣⎢⎡⎦⎥⎤(x -1)+1x -1,又∵-4<x <1,∴x -1<0.∴-(x -1)>0. 故y =-12⎣⎢⎡⎦⎥⎤-(x -1)+1-(x -1)≤-1. 当且仅当x -1=1x -1,即x =0时等号成立.]2.已知x >0,y >0,且2x +1y =1,若x +2y >m 2+2m 恒成立,则实数m 的取值范围是( )A .m ≤-2或m ≥4B .m ≤-4或m ≥2C .-2<m <4D .-4<m <2D [∵x >0,y >0且2x +1y =1, ∴x +2y =(x +2y )⎝ ⎛⎭⎪⎫2x +1y =4+4y x +x y≥4+24y x ·x y =8,当且仅当4y x =x y ,即x =4,y =2时取等号,∴(x +2y )min =8,要使x +2y >m 2+2m 恒成立, 只需(x +2y )min >m 2+2m 恒成立, 即8>m 2+2m ,解得-4<m <2.]3.若实数x ,y 满足x 2+y 2+xy =1,则x +y 的最大值是________. 233 [x 2+y 2+xy =(x +y )2-xy =1,∴(x +y )2=xy +1≤⎝⎛⎭⎪⎫x +y 22+1.∴34(x +y )2≤1.∴x +y ≤233,当且仅当x =y =33时等号成立.]4.若a >0,b >0,a +b =2,则下列不等式①ab ≤1;②a +b ≤2;③a 2+b 2≥2;④1a +1b ≥2,对满足条件的a ,b 恒成立的是________.(填序号)①③④ [ab ≤⎝⎛⎭⎪⎫a +b 22=1,故①正确;(a +b )2=a +b +2ab ≤a +b +a +b =4,故a +b ≤2,②不正确;a 2+b 2=(a +b )2-2ab ≥(a +b )2-2×⎝⎛⎭⎪⎫a +b 22=2,故③正确;1a +1b =12⎝ ⎛⎭⎪⎫1a +1b (a +b )=12⎝ ⎛⎭⎪⎫2+b a +a b ≥12(2+2)=2,故④正确.]5.某汽车公司购买了4辆大客车,每辆200万元,用于长途客运,预计每辆车每年收入约100万元,每辆车第一年各种费用约为16万元,且从第二年开始每年比上一年所需费用要增加16万元.(1)写出4辆车运营的总利润y (万元)与运营年数x (x ∈N +)的函数关系式; (2)这4辆车运营多少年,可使年平均运营利润最大? [解] (1)依题意,每辆车x 年总收入为100x 万元, 每辆车总支出为200+16×(1+2+…+x ) =200+12x (x +1)·16(万元). ∴y =4⎣⎢⎡⎦⎥⎤100x -200-12x (x +1)·16 =16(-2x 2+23x -50)(x ∈N +). (2)年平均利润为y x =16⎝ ⎛⎭⎪⎫23-2x -50x =16⎣⎢⎡⎦⎥⎤23-2⎝ ⎛⎭⎪⎫x +25x . 又x ∈N +,∴x +25x ≥2x ·25x =10,当且仅当x =5时,等号成立, 此时yx ≤16×(23-20)=48.∴运营5年可使年平均运营利润最大,最大利润为48万元.。
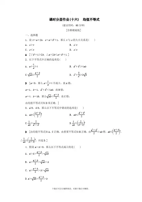
课时分层作业(十七) 均值不等式的应用
(建议用时:40分钟)
一、选择题 1.若a >1,则a +
1
a -1
的最小值是( ) A .2 B .a C .2a
a -1 D .3
D [∵a >1,∴a -1>0,∴a +1a -1=a -1+1
a -1
+1≥2 (a -1)·1
a -1
+
1=3.当且仅当a -1=
1
a -1
时,即a =2时取等号.故选D.] 2.已知x <0,则y =x +1
x -2有( ) A .最大值为0 B .最小值为0 C .最大值为-4
D .最小值为-4
C [∵x <0,∴-x >0,∴y =-⎣⎢⎡
⎦⎥⎤(-x )+1(-x )-2≤-2-2=-4,当且
仅当-x =
1
-x
,即x =-1时取等号.故选C.] 3.设x >0,则y =3x -3x 2-1
x 的最大值是( )
A .3
B .-3 2
C .3-2 3
D .-1
C [∵x >0,∴y =3-⎝ ⎛⎭⎪⎫3x +1x ≤3-23x ·
1x =3-23,当且仅当3x =1
x ,且
x >0,即x =3
3时,等号成立.故选C.]
4.若x >0,y >0,且1x +4
y =1,则x +y 的最小值是( ) A .3 B .6 C .9 D .12 C [x +y =(x +y )·
⎝ ⎛⎭
⎪⎫
1x +4y =1+y x +4x y +4
=5+y x +4x
y ≥5+2y x ·4x
y =5+4=9.
当且仅当⎩⎪⎨⎪⎧1x +4y =1,
y x =4x y ,
即⎩⎨⎧x =3,
y =6
时等号成立,故x +y 的最小值为9.故选C.] 5.已知x >0,y >0,且x +y =8,则(1+x )(1+y )的最大值为( ) A .16 B .25 C .9 D .36 B [(1+x )(1+y )≤⎣⎢
⎡⎦⎥⎤(1+x )+(1+y )22
=⎣⎢
⎡⎦⎥⎤2+(x +y )22=⎝ ⎛⎭⎪⎫2+822
=25, 当且仅当1+x =1+y ,即x =y =4时, (1+x )(1+y )取最大值25,故选B.] 二、填空题 6.函数y =x +1
x +1
(x ≥0)的最小值为________. [答案] 1
7.如图,有一张单栏的竖向张贴的海报,它的印刷面积为72 dm 2(图中阴影部分),上下空白各宽2 dm ,左右空白各宽1 dm ,则四周空白部分面积的最小值是________dm 2.
56 [设阴影部分的竖边长为x dm ,则宽为72
x dm ,四周空白部分的面积是y dm 2.
由题意,得y =(x +4)⎝ ⎛⎭⎪⎫
72x +2-72
=8+2⎝ ⎛⎭⎪⎫
x +144x ≥8+2×2
x ·144
x =56(dm 2).
当且仅当x =144x , 即x =12 dm 时等号成立.]
8.若a ,b ∈(0,+∞),满足a +b +3=ab ,则a +b 的取值范围是________. [6,+∞) [∵a +b +3=ab ≤⎝
⎛⎭
⎪⎫a +b 22
, ∴(a +b )2-4(a +b )-12≥0,解得a +b ≥6或a +b ≤-2(舍去),当且仅当a =b =3时取等号.]
三、解答题
9.当x <32时,求函数y =x +8
2x -3的最大值.
[解] y =12(2x -3)+82x -3+3
2
=-⎝ ⎛⎭⎪⎫3-2x
2+
83-2x +32, ∵当x <3
2时,3-2x >0, ∴3-2x 2+83-2x
≥2
3-2x 2·83-2x =4,当且仅当3-2x 2=83-2x
,即x =-1
2时取等号.于是y ≤-4+32=-52,故函数有最大值-5
2.
10.为了改善居民的居住条件,某城建公司承包了棚户区改造工程,按合同规定在4个月内完成.若提前完成,则每提前一天可获2 000元奖金,但要追加投入费用;若延期完成,则每延期一天将被罚款5 000元.追加投入的费用按以下关系计算:6x +
784
x +3
-118(千元),其中x 表示提前完工的天数,试问提前多少天,才能使公司获得最大附加效益?(附加效益=所获奖金-追加费用)
[解] 设城建公司获得的附加效益为y 千元,由题意得 y =2x -⎝ ⎛⎭⎪⎫6x +784x +3-118=118-⎝ ⎛⎭
⎪⎫4x +784x +3
=118-⎣⎢⎡⎦⎥⎤
4(x +3)+784x +3-12
=130-⎣⎢⎡⎦⎥⎤4(x +3)+784x +3 ≤130-2
4(x +3)·784
x +3
=130-112=18(千元),
当且仅当4(x +3)=784
x +3,即x =11时取等号.
所以提前11天完工,能使公司获得最大附加效益.
11.若-4<x <1,则y =x 2-2x +2
2x -2( )
A .有最小值1
B .有最大值1
C .有最小值-1
D .有最大值-1
D [y =x 2-2x +22x -2=12⎣⎢⎡
⎦⎥⎤(x -1)+1x -1,
又∵-4<x <1,∴x -1<0.∴-(x -1)>0. 故y =-12⎣⎢⎡⎦⎥⎤
-(x -1)+1-(x -1)≤-1.
当且仅当x -1=
1
x -1
,即x =0时等号成立.故选D.] 12.已知x >0,y >0,且2x +1
y =1,若x +2y >m 2恒成立,则实数m 的取值范围是( )
A .m ≤-22或m ≥2 2
B .m ≤-4或m ≥2
C .-2<m <4
D .-22<m <22
D [∵x >0,y >0且2x +1
y =1, ∴x +2y =(x +2y )⎝ ⎛⎭⎪⎫
2x +1y =4+4y x +x y
≥4+2
4y x ·x y =8,当且仅当4y x =x y ,
即x =4,y =2时取等号,
∴(x +2y )min =8,要使x +2y >m 2恒成立,。