各国纯铜、无氧铜、脱氧铜、银铜牌号对照
- 格式:pdf
- 大小:38.13 KB
- 文档页数:1
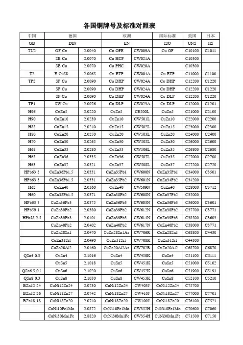
各国铜牌号及标准对照表铜合金牌号对照表一、铅黄铜牌号对照表二、普通黄铜牌号对照表三、紫铜牌号对照表常用铜合金牌号化学成分--中国牌号一、铅黄铜系列二、普通黄铜系列三、紫铜系列常用铜合金牌号化学成分--日本牌号一、铅黄铜系列二、普通黄铜系列三、紫铜系列常用铜合金牌号化学成分--德国牌号一、铅黄铜系列二、普通黄铜系列三、紫铜系列常用铜合金牌号化学成分--德国牌号一、铅黄铜系列二、普通黄铜系列三、紫铜系列常用铜合金牌号化学成分--美国牌号一、铅黄铜系列二、普通黄铜系列三、紫铜系列常用铜合金牌号化学成分--英国牌号一、铅黄铜系列二、普通黄铜系列三、紫铜系列英国标准化学成分对照表标准号:BSG017-1981欧标材质标准(EN12164)化学成份注:CuZn36Pb2As(CW602N) As砷含量:0.02-0.05;Mn含量<0.1。
铜合金管棒型材常见缺陷分析1、过热、过烧:定义:金属在加热或加工过程,由于温度高、时间长岛之组织及晶粒出大现象称为过热,严重过热时晶间决不低熔点组元熔化或晶界弱化现象称为过烧。
产生原因:a、加热温度高、时间长或局部长时间处于高温源处;b、热挤压终了温度过高或者在高温区停留时间长;c、合金中存在低熔点组元或低熔点杂质较多。
2、裂纹或开裂:定义:管棒型材表面出现连续或间断不规则裂纹,轻微的称为裂纹,严重的称为开裂。
产生原因:a、铸造锭中存在裂纹、夹杂、缩孔、疏松、冷隔或其他有害杂质或结晶组织、化学成分严重不均匀;b、铸锭中存在较大应力或加工工艺不当产生较大应力;c、挤压速度过快,加工率过大;d、热处理工艺不当,加工或热处理处于材料的脆性温度区。
3、缩尾:定义:缩尾是挤制品尾部的一种特殊缺陷。
在挤压末期,由于金属紊流,铸锭表面的氧化皮,润滑剂等污物往往流入其中,而导致金属之间的分层。
产生原因:a、挤压尾部金属流动紊乱;b、铸锭表面、次表面有缺陷,挤压筒有润滑剂等污染物。
4、鼓泡定义:经挤制、拉制、退货后的产品表面沿着加工方向拉长的条状鼓起,解剖开后为一空腔,这种鼓起称为鼓泡。
中外铜及铜合金标准对照铜业英才网推荐纯铜: 中国标准GB:T2 美国ASTM标准:C11000 美国CDA标准:110 英国BS标准:C102德国DIN标准:ECu-58 德国数字系统:2.0090 日本JIS标准:C1100中国标准GB:无氧铜TU1 美国ASTM标准:C10200 美国CDA标准:102 英国BS标准:C103德国DIN标准:OF-Cu 德国数字系统:2.0040 日本JIS标准:C1020磷脱氧铜:中国标准GB:TP1 美国ASTM标准:C12000C12100 英国BS标准:C106德国DIN标准:SW-CuSF-Cu 德国数字系统:2.0076 日本JIS标准:C1201C1220中国标准GB:TP2 美国ASTM标准:C12200 美国CDA标准:122德国数字系统:2.00762.0090 日本JIS标准:C1220含银纯铜:中国标准GB:TAg0.08TAg0.1 美国ASTM标准:C13000C12900 美国CDA标准:130 英国BS标准:C101德国DIN标准: CuAg0.1 日本JIS标准: C1271普通黄铜:中国标准GB:H96 美国ASTM标准: C21000 美国CDA标准:210 英国BS标准: CZ125德国DIN标准:CuZn5 德国数字系统:2.0220 日本JIS标准:C2100中国标准GB:H90 美国ASTM标准: C22000 美国CDA标准:220 英国BS标准:CZ101德国DIN标准: CuZn10 德国数字系统: 2.0230 日本JIS标准:C2200中国标准GB:H85 美国ASTM标准:C23000 美国CDA标准:230 英国BS标准:CZ102德国DIN标准:CuZn15 德国数字系统:2.0240 日本JIS标准:C2300中国标准GB:H80 美国ASTM标准:C24000 美国CDA标准:240 英国BS标准:CZ103 德国DIN标准: CuZn20 德国数字系统: 2.0250 日本JIS标准: C2400中国标准GB:H70 美国ASTM标准:C26000 美国CDA标准: 260 英国BS标准:CZ106德国DIN标准: CuZn30 德国数字系统: 2.0265 日本JIS标准: C2600中国标准GB:H68 美国ASTM标准:C26200德国DIN标准:uZn33 德国数字系统: 2.0280 日本JIS标准: C2680中国标准GB: H65 美国ASTM标准:C26800 美国CDA标准:268 英国BS标准:CZ107德国DIN标准: CuZn36 德国数字系统: 2.0335 日本JIS标准: C2700中国标准GB:H63 美国ASTM标准: C27000 美国CDA标准:270CZ108德国DIN标准: CuZn37 德国数字系统: 2.0321 日本JIS标准: C2720中国标准GB: H60 美国ASTM标准: C27200C28000 美国CDA标准:280 英国BS标准: CZ109德国DIN标准:CuZn40 德国数字系统:2.0360 日本JIS标准: C2800C2801铅黄铜:中国标准GB: HPb63-3 美国ASTM标准: C34500C34700 美国CDA标准: 315347 英国BS标准: CZ119 CZ124德国DIN标准: CuZn36Pb1.5CuZn36Pb3 德国数字系统: 2.0331 日本JIS标准:C3560中国标准GB: HPb63-0.1 美国ASTM标准: C34900德国DIN标准:CuZn37Pb0.5德国数字系统: 2.0332中国标准GB:HPb60-2 美国ASTM标准: C36000 英国BS标准: CZ120日本JIS标准: C3713 C3604中国标准GB:HPb59-2 美国ASTM标准: C35300德国DIN标准:CuZn39Pb2 英国BS标准: C3771中国标准GB: HPb59-1 美国ASTM标准: C37800 英国BS标准: CZ122德国DIN标准:CuZn39Pb3 德国数字系统: 2.0380 日本JIS标准: C3710中国标准GB: HPb58-2.5 美国ASTM标准: C38000 英国BS标准: CZ121德国数字系统:2.0401 日本JIS标准: C3603铝黄铜:中国标准GB: HAl77-2 美国ASTM标准: C68700 美国CDA标准:687 英国BS 标准: CZ110德国DIN标准: CuZn22Al德国数字系统: 2.0460 日本JIS标准: C6870中国标准GB:HAi66-6-3-2美国CDA标准: 670 日本JIS标准: C6872中国标准GB: HAi60-1-1 美国ASTM标准:C67000 美国CDA标准: 678德国DIN标准:CuZn37Al 德国数字系统: 2.0510 日本JIS标准: C6782中国标准GB: HAl59-3-2 美国ASTM标准:C67800德国DIN标准: CuZn35Ni 德国数字系统: 2.0540硅黄铜:中国标准GB:HSi80-3 美国ASTM标准: C69400锰黄铜:中国标准GB: HMn58-2 美国ASTM标准: C67400德国DIN标准: CuZn40Mn 德国数字系统: 2.0572中国标准GB: HMn57-3-1德国DIN标准: CuZn35Ni 德国数字系统: 2.0540铁黄铜:中国标准GB:HFE59-1-1 美国ASTM标准: C67820德国DIN标准:CuZn39Sn 德国数字系统:2.0530 日本JIS标准: C6782锡青铜中国标准GB: QSn4-4-4 美国ASTM标准: C54400 美国CDA标准:544日本JIS标准: C5441中国标准GB:QSn6.5-0.1美国CDA标准: 519 英国BS标准: PB100中国标准GB: QSn7-0.2 美国ASTM标准: C52100 美国CDA标准: 521 英国BS标准:PB104德国DIN标准: CuSn8 德国数字系统: 2.1030 日本JIS标准: C5212标准: PB101德国DIN标准: CuSn2 德国数字系统:2.1010 日本JIS标准:C5212C5101铝青铜:中国标准GB:QAl5 美国ASTM标准:C60600 英国BS标准: CA101德国DIN标准: CuAl5 德国数字系统: 2.0916中国标准GB: QAl7 美国ASTM标准: C60800 英国BS标准: CA102德国DIN标准:CuAl8 德国数字系统: 2.0920中国标准GB: QAl9-2 美国ASTM标准:C61000德国DIN标准: CuAl9Mn 德国数字系统: 2.0960中国标准GB: QAl9-4 英国BS标准: CA103德国DIN标准: CuAl8Fe 德国数字系统: 2.0930中国标准GB:QAl10-3-1.5美国ASTM标准: C61900 英国BS标准: CA106德国DIN标准: CuAl10Fe德国数字系统: 2.0936 日本JIS标准:C6161中国标准GB:QAl10-4-4 美国ASTM标准: C63000C63200 美国CDA标准: 630 英国BS标准: CA104 CA105德国DIN标准:CuAl10Ni 德国数字系统: 2.0966 日本JIS标准: C6301硅青铜:中国标准GB: QSi1-3 美国ASTM标准:C64700 英国BS标准: DTD 498德国DIN标准: CuNi2SiCuNi3Si 德国数字系统:2.0855 2.0857中国标准GB:QSi3-1 美国ASTM标准: C65500 C65800 英国BS标准: CS101德国DIN标准: CuSi3Mn 德国数字系统: 2.1525铬青铜:中国标准GB:QCr0.5 美国ASTM标准: C18100C18200C18400 美国CDA标准: 185 英国BS标准: CC101德国DIN标准: CuCr 德国数字系统: 2.1291铬锆铜中国标准GB:QCr0.5-0.1美国ASTM标准: C18150白铜.中国标准GB:BFe10-1-1.美国ASTM标准: C70600.中国标准GB:BFe30-1-1.美国ASTM标准:C71500.。
国内外铜及铜合金牌号对照表知识宝典:国内外不锈钢牌号对照表国内外常用铝及铝合金牌号对照表知识宝典:国内外常用钢钢号对照表alloy tool steel 合金工具钢 aluminium alloy 铝合金钢bearing alloy 轴承合金 blister steel 浸碳钢bonderized steel sheet 邦德防蚀钢板 carbon tool steel 碳素工具钢clad sheet 被覆板 clod work die steel 冷锻模用钢emery 金钢砂 ferrostatic pressure 钢铁水静压力forging die steel 锻造模用钢 galvanized steel sheet 镀锌铁板hard alloy steel 超硬合金钢 high speed tool steel 高速度工具钢hot work die steel 热锻模用钢 low alloy tool steel 特殊工具钢low manganese casting steel 低锰铸钢 marging steel 马式体高强度热处理钢martrix alloy 马特里斯合金 meehanite cast iron 米汉纳铸钢meehanite metal 米汉纳铁 merchant iron 市售钢材molybdenum high speed steel 钼系高速钢 molybdenum steel 钼钢nickel chromium steel 镍铬钢 prehardened steel 顶硬钢silicon steel sheet 矽钢板 stainless steel 不锈钢tin plated steel sheet 镀锡铁板 tough pitch copper 韧铜troostite 吐粒散铁 tungsten steel ?钢vinyl tapped steel sheet 塑胶覆面钢板。
各国铜牌号及标准对照表铜合金牌号对照表一、铅黄铜牌号对照表二、普通黄铜牌号对照表三、紫铜牌号对照表常用铜合金牌号化学成分--中国牌号一、铅黄铜系列二、普通黄铜系列三、紫铜系列一、铅黄铜系列二、普通黄铜系列三、紫铜系列一、铅黄铜系列二、普通黄铜系列三、紫铜系列一、铅黄铜系列二、普通黄铜系列三、紫铜系列一、铅黄铜系列二、普通黄铜系列三、紫铜系列一、铅黄铜系列二、普通黄铜系列三、紫铜系列英国标准化学成分对照表标准号:BSG017-1981欧标材质标准(EN12164)化学成份成份牌号Cu铜Al铝Fe铁Ni镍Pb铅Sn锡 Zn锌其他密度(g/㎝3)CuZn21Si3P (CW724R) 76 ≤0.09 其余CuZn40 (CW509L) 60.5 ≤0.2 其余CuZn42 (CW510L) 58 ≤0.2 其余CuZn38As (CW511L) 62.5 ≤0.2 其余CuZn36Pb3 (CW603N) 60-62 <0.05 <0.3 <0.3 2.5-3.5 <0.2 其余0.2 8.5 CuZn38Pb4 (CW609N) 57-59 <0.05 <0.3 <0.3 3.5-4.2 <0.3 其余0.2 8.4 CuZn39Pb3 (CW614N) 57-59 <0.05 <0.3 <0.3 2.5-3.5 <0.3 其余0.2 8.4 CuZn40Pb2 (CW617N) 57-59 <0.05 <0.3 <0.3 1.6-2.5 <0.3 其余0.2 8.4 CuZn37Pb2 (CW606N) 61-62 <0.05 <0.2 <0.3 1.6-2.5 <0.2 其余0.2 8.4 CuZn38Pb2 (CW608N) 60-61 <0.05 <0.2 <0.3 1.6-2.5 <0.2 其余0.2 8.4 CuZn39Pb2 (CW612N) 59-60 <0.05 <0.3 <0.3 1.6-2.5 <0.3 其余0.2 8.4 CuZn35Pb1 (CW600N) 62.5-64 <0.05 <0.1 <0.3 0.9-1.6 <0.1 其余<0.1 8.5 CuZn35Pb2 (CW601N) 62-63.5 <0.05 <0.1 <0.3 1.6-2.5 <0.1 其余<0.1 8.5 CuZn38Pb1 (CW607N) 60-61 <0.05 <0.2 <0.3 0.8-1.8 <0.2 其余<0.2 8.4 CuZn39Pb0.5(CW610N) 59-60.5 <0.05 <0.2 <0.3 0.2-0.8 <0.2 其余<0.2 8.4 CuZn39Pb1 (CW611N) 59-60 <0.05 <0.2 <0.3 0.8-1.6 <0.2 其余<0.2 8.4 CuZn36Pb2As(CW602N) 61-63 <0.05 <0.1 <0.3 1.7-2.8 <0.1 其余<0.2 8.4注:CuZn36Pb2As(CW602N) As砷含量:0.02-0.05;Mn含量<0.1。
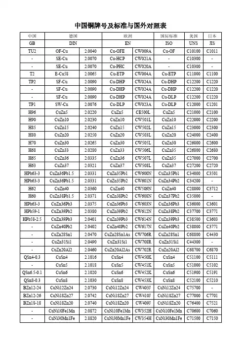
铜牌号及标准与国外对照表Prepared on 24 November 2020中国铜牌号及标准与国外对照表铜合金牌号对照表一、铅黄铜牌号对照表二、普通黄铜牌号对照表三、紫铜牌号对照表常用铜合金牌号化学成分--中国牌号一、铅黄铜系列二、普通黄铜系列三、紫铜系列常用铜合金牌号化学成分--日本牌号一、铅黄铜系列二、普通黄铜系列三、紫铜系列常用铜合金牌号化学成分--德国牌号一、铅黄铜系列二、普通黄铜系列三、紫铜系列常用铜合金牌号化学成分--德国牌号一、铅黄铜系列二、普通黄铜系列三、紫铜系列常用铜合金牌号化学成分--美国牌号一、铅黄铜系列二、普通黄铜系列三、紫铜系列常用铜合金牌号化学成分--英国牌号一、铅黄铜系列二、普通黄铜系列三、紫铜系列英国标准化学成分对照表标准号:BSG017-1981欧标材质标准(EN12164)化学成份注:CuZn36Pb2As(CW602N) As砷含量:;Mn含量<。
铜合金管棒型材常见缺陷分析1、过热、过烧:定义:金属在加热或加工过程,由于温度高、时间长岛之组织及晶粒出大现象称为过热,严重过热时晶间决不低熔点组元熔化或晶界弱化现象称为过烧。
产生原因:a、加热温度高、时间长或局部长时间处于高温源处;b、热挤压终了温度过高或者在高温区停留时间长;c、合金中存在低熔点组元或低熔点杂质较多。
2、裂纹或开裂:定义:管棒型材表面出现连续或间断不规则裂纹,轻微的称为裂纹,严重的称为开裂。
产生原因:a、铸造锭中存在裂纹、夹杂、缩孔、疏松、冷隔或其他有害杂质或结晶组织、化学成分严重不均匀;b、铸锭中存在较大应力或加工工艺不当产生较大应力;c、挤压速度过快,加工率过大;d、热处理工艺不当,加工或热处理处于材料的脆性温度区。
3、缩尾:定义:缩尾是挤制品尾部的一种特殊缺陷。
在挤压末期,由于金属紊流,铸锭表面的氧化皮,润滑剂等污物往往流入其中,而导致金属之间的分层。
产生原因:a、挤压尾部金属流动紊乱;b、铸锭表面、次表面有缺陷,挤压筒有润滑剂等污染物。
1234B 添加义项?文案,原指放书的桌子,后来指在桌子上写字的人。
现在指的是公司或企业中从事文字工作的职位,就是以文字来表现已经制定的创意策略。
文案它不同于设计师用画面或其他手段的表现手法,它是一个与广告创意先后相继的表现的过程、发展的过程、深化的过程,多存在于广告公司,企业宣传,新闻策划等。
基本信息中文名称文案外文名称Copy目录1发展历程2主要工作3分类构成4基本要求5工作范围6文案写法7实际应用折叠编辑本段发展历程汉字"文案"(wén àn)是指古代官衙中掌管档案、负责起草文书的幕友,亦指官署中的公文、书信等;在现代,文案的称呼主要用在商业领域,其意义与中国古代所说的文案是有区别的。
在中国古代,文案亦作" 文按"。
公文案卷。
《北堂书钞》卷六八引《汉杂事》:"先是公府掾多不视事,但以文案为务。
"《晋书·桓温传》:"机务不可停废,常行文按宜为限日。
" 唐戴叔伦《答崔载华》诗:"文案日成堆,愁眉拽不开。
"《资治通鉴·晋孝武帝太元十四年》:"诸曹皆得良吏以掌文按。
"《花月痕》第五一回:" 荷生觉得自己是替他掌文案。
"5旧时衙门里草拟文牍、掌管档案的幕僚,其地位比一般属吏高。
《老残游记》第四回:"像你老这样抚台央出文案老爷来请进去谈谈,这面子有多大!"夏衍《秋瑾传》序幕:"将这阮财富带回衙门去,要文案给他补一份状子。
"文案音译文案英文:copywriter、copy、copywriting文案拼音:wén àn现代文案的概念:文案来源于广告行业,是"广告文案"的简称,由copy writer翻译而来。
多指以语辞进行广告信息内容表现的形式,有广义和狭义之分,广义的广告文案包括标题、正文、口号的撰写和对广告形象的选择搭配;狭义的广告文案包括标题、正文、口号的撰写。
国内外铜及铜合金牌号对照表相关专题:铜合金教你如何用WORD文档(2012-06-27 192246)转载▼标签:杂谈1. 问:WORD 里边怎样设置每页不同的页眉?如何使不同的章节显示的页眉不同?答:分节,每节可以设置不同的页眉。
文件――页面设置――版式――页眉和页脚――首页不同。
2. 问:请问word 中怎样让每一章用不同的页眉?怎么我现在只能用一个页眉,一改就全部改了?答:在插入分隔符里,选插入分节符,可以选连续的那个,然后下一页改页眉前,按一下“同前”钮,再做的改动就不影响前面的了。
简言之,分节符使得它们独立了。
这个工具栏上的“同前”按钮就显示在工具栏上,不过是图标的形式,把光标移到上面就显示出”同前“两个字来。
3. 问:如何合并两个WORD 文档,不同的页眉需要先写两个文件,然后合并,如何做?答:页眉设置中,选择奇偶页不同与前不同等选项。
4. 问:WORD 编辑页眉设置,如何实现奇偶页不同比如:单页浙江大学学位论文,这一个容易设;双页:(每章标题),这一个有什么技巧啊?答:插入节分隔符,与前节设置相同去掉,再设置奇偶页不同。
5. 问:怎样使WORD 文档只有第一页没有页眉,页脚?答:页面设置-页眉和页脚,选首页不同,然后选中首页页眉中的小箭头,格式-边框和底纹,选择无,这个只要在“视图”――“页眉页脚”,其中的页面设置里,不要整个文档,就可以看到一个“同前”的标志,不选,前后的设置情况就不同了。
6. 问:如何从第三页起设置页眉?答:在第二页末插入分节符,在第三页的页眉格式中去掉同前节,如果第一、二页还有页眉,把它设置成正文就可以了●在新建文档中,菜单―视图―页脚―插入页码―页码格式―起始页码为0,确定;●菜单―文件―页面设置―版式―首页不同,确定;●将光标放到第一页末,菜单―文件―页面设置―版式―首页不同―应用于插入点之后,确定。
第2 步与第三步差别在于第2 步应用于整篇文档,第3 步应用于插入点之后。
各国铜牌号及标准对照表铜合金牌号对照表一、铅黄铜牌号对照表二、普通黄铜牌号对照表三、紫铜牌号对照表常用铜合金牌号化学成分--中国牌号一、铅黄铜系列二、普通黄铜系列三、紫铜系列一、铅黄铜系列二、普通黄铜系列三、紫铜系列二、普通黄铜系列三、紫铜系列二、普通黄铜系列三、紫铜系列二、普通黄铜系列三、紫铜系列一、铅黄铜系列二、普通黄铜系列三、紫铜系列英国标准化学成分对照表标准号:BSG017-1981欧标材质标准(EN12164)化学成份成份牌号Cu铜Al铝Fe铁Ni镍Pb铅Sn锡 Zn锌其他密度(g/㎝3)CuZn21Si3P (CW724R) 76 ≤0.09 其余CuZn40 (CW509L) 60.5 ≤0.2 其余CuZn42 (CW510L) 58 ≤0.2 其余CuZn38As (CW511L) 62.5 ≤0.2 其余CuZn36Pb3 (CW603N) 60-62 <0.05 <0.3 <0.3 2.5-3.5 <0.2 其余0.2 8.5 CuZn38Pb4 (CW609N) 57-59 <0.05 <0.3 <0.3 3.5-4.2 <0.3 其余0.2 8.4 CuZn39Pb3 (CW614N) 57-59 <0.05 <0.3 <0.3 2.5-3.5 <0.3 其余0.2 8.4 CuZn40Pb2 (CW617N) 57-59 <0.05 <0.3 <0.3 1.6-2.5 <0.3 其余0.2 8.4 CuZn37Pb2 (CW606N) 61-62 <0.05 <0.2 <0.3 1.6-2.5 <0.2 其余0.2 8.4 CuZn38Pb2 (CW608N) 60-61 <0.05 <0.2 <0.3 1.6-2.5 <0.2 其余0.2 8.4 CuZn39Pb2 (CW612N) 59-60 <0.05 <0.3 <0.3 1.6-2.5 <0.3 其余0.2 8.4 CuZn35Pb1 (CW600N) 62.5-64 <0.05 <0.1 <0.3 0.9-1.6 <0.1 其余<0.1 8.5 CuZn35Pb2 (CW601N) 62-63.5 <0.05 <0.1 <0.3 1.6-2.5 <0.1 其余<0.1 8.5 CuZn38Pb1 (CW607N) 60-61 <0.05 <0.2 <0.3 0.8-1.8 <0.2 其余<0.2 8.4 CuZn39Pb0.5(CW610N) 59-60.5 <0.05 <0.2 <0.3 0.2-0.8 <0.2 其余<0.2 8.4 CuZn39Pb1 (CW611N) 59-60 <0.05 <0.2 <0.3 0.8-1.6 <0.2 其余<0.2 8.4 CuZn36Pb2As(CW602N) 61-63 <0.05 <0.1 <0.3 1.7-2.8 <0.1 其余<0.2 8.4注:CuZn36Pb2As(CW602N) As砷含量:0.02-0.05;Mn含量<0.1。