铜及铜合金牌号对照表
- 格式:doc
- 大小:175.50 KB
- 文档页数:5
各国铜牌号及标准对照表铜合金牌号对照表一、铅黄铜牌号对照表二、普通黄铜牌号对照表三、紫铜牌号对照表常用铜合金牌号化学成分--中国牌号一、铅黄铜系列二、普通黄铜系列三、紫铜系列常用铜合金牌号化学成分--日本牌号一、铅黄铜系列二、普通黄铜系列三、紫铜系列常用铜合金牌号化学成分--德国牌号一、铅黄铜系列二、普通黄铜系列三、紫铜系列常用铜合金牌号化学成分--德国牌号一、铅黄铜系列二、普通黄铜系列三、紫铜系列常用铜合金牌号化学成分--美国牌号一、铅黄铜系列二、普通黄铜系列三、紫铜系列常用铜合金牌号化学成分--英国牌号一、铅黄铜系列二、普通黄铜系列三、紫铜系列英国标准化学成分对照表标准号:BSG017-1981欧标材质标准(EN12164)化学成份注:CuZn36Pb2As(CW602N) As砷含量:0.02-0.05;Mn含量<0.1。
铜合金管棒型材常见缺陷分析1、过热、过烧:定义:金属在加热或加工过程,由于温度高、时间长岛之组织及晶粒出大现象称为过热,严重过热时晶间决不低熔点组元熔化或晶界弱化现象称为过烧。
产生原因:a、加热温度高、时间长或局部长时间处于高温源处;b、热挤压终了温度过高或者在高温区停留时间长;c、合金中存在低熔点组元或低熔点杂质较多。
2、裂纹或开裂:定义:管棒型材表面出现连续或间断不规则裂纹,轻微的称为裂纹,严重的称为开裂。
产生原因:a、铸造锭中存在裂纹、夹杂、缩孔、疏松、冷隔或其他有害杂质或结晶组织、化学成分严重不均匀;b、铸锭中存在较大应力或加工工艺不当产生较大应力;c、挤压速度过快,加工率过大;d、热处理工艺不当,加工或热处理处于材料的脆性温度区。
3、缩尾:定义:缩尾是挤制品尾部的一种特殊缺陷。
在挤压末期,由于金属紊流,铸锭表面的氧化皮,润滑剂等污物往往流入其中,而导致金属之间的分层。
产生原因:a、挤压尾部金属流动紊乱;b、铸锭表面、次表面有缺陷,挤压筒有润滑剂等污染物。
4、鼓泡定义:经挤制、拉制、退货后的产品表面沿着加工方向拉长的条状鼓起,解剖开后为一空腔,这种鼓起称为鼓泡。
各国铜牌号及标准对照表铜合金牌号对照表一、铅黄铜牌号对照表二、普通黄铜牌号对照表三、紫铜牌号对照表常用铜合金牌号化学成分--中国牌号一、铅黄铜系列二、普通黄铜系列常用铜合金牌号化学成分--日本牌号一、铅黄铜系列二、普通黄铜系列三、紫铜系列常用铜合金牌号化学成分--德国牌号一、铅黄铜系列二、普通黄铜系列三、紫铜系列常用铜合金牌号化学成分--德国牌号一、铅黄铜系列二、普通黄铜系列常用铜合金牌号化学成分--美国牌号一、铅黄铜系列二、普通黄铜系列三、紫铜系列常用铜合金牌号化学成分--英国牌号一、铅黄铜系列二、普通黄铜系列英国标准化学成分对照表标准号:BSG017-1981欧标材质标准(EN12164)化学成份CuZn39Pb2(CW612N)59-60 <0.05 <0.3 <0.3 1.6-2.5 <0.3 其余0.2 8.4CuZn35Pb1 (CW600N) 62.5-64<0.05 <0.1 <0.3 0.9-1.6 <0.1 其余<0.1 8.5CuZn35Pb2 (CW601N) 62-63.5<0.05 <0.1 <0.3 1.6-2.5 <0.1 其余<0.1 8.5CuZn38Pb1(CW607N)60-61 <0.05 <0.2 <0.3 0.8-1.8 <0.2 其余<0.2 8.4CuZn39Pb0.5(CW610N) 59-60.5<0.05 <0.2 <0.3 0.2-0.8 <0.2 其余<0.2 8.4CuZn39Pb1(CW611N)59-60 <0.05 <0.2 <0.3 0.8-1.6 <0.2 其余<0.2 8.4 CuZn36Pb2As(CW602N)61-63 <0.05 <0.1 <0.3 1.7-2.8 <0.1 其余<0.2 8.4 注:CuZn36Pb2As(CW602N) As砷含量:0.02-0.05;Mn含量<0.1。
铜合金管棒型材常见缺陷分析1、过热、过烧:定义:金属在加热或加工过程,由于温度高、时间长岛之组织及晶粒出大现象称为过热,严重过热时晶间决不低熔点组元熔化或晶界弱化现象称为过烧。
各国最常用铜及铜合金牌号对照表品种分类中国 (GB)国际标准 (ISO)美国 (ASTM)日本 (JIS)英国 (BS)德国 (DIN)欧洲 (EN)TU2 Cu-OF C10100 C1011 C101 OF-Cu CW008AT2 Cu-FRHC C11000 C1100 C101 E-Cu58TP2 Cu-DHP C12200 C1220 C106 SF-Cu CW024A 紫铜 (红铜)TP1 Cu-DLP C12000 C1201 SW-CuCW023A银铜TAg0.1 CuAg0.1 C10400 C1040 CuAg0.1H90 CuZn10 C22000 C2200 CZ101 CuZn10 CW501L H70 CuZn30 C26000 C2600 CZ106 CuZn30 CW505LH68 C26200 C2620 CuZn33 CW506LH65 CuZn35 C27000 C2700 CZ107 CuZn36 CW507L H63 CuZn37 C27200 C2720 CZ108 CuZn37 CW508L 黄铜H62 CuZn40 C28000 C2800 CZ109 CW509L CuSn4 C51100 C5111 PB101 CuSn4 CW450K QSn4-0.3CuSn5 C51000 C5101 CuSn5CW451K QSn6.5-0.1 CuSn6 C51900 C5191 PB103 CuSn6 CW452K QSn8-0.3 CuSn8 C52100 C5210 CuSn8 CW453K 锡青铜QSn6.5-0.4BZn18-18 CuNi18Zn20 C75200 C7521 NS106 CuNi18Zn20 CW409JBZn18-26 CuNi18Zn27 C77000 C7701 NS107 CuNi18Zn27 CW410J BZn15-20 C7541 锌白铜BZn18-10C7350QFe0.1(XYK-1) C19210 KFC引线框架QFe2.5 (XYK-4)C19400 C1940注:1、铜管的材质必须是TP2 或TU2挤压轧制拉伸铜管。
各国铜牌号及标准对照表铜合金牌号对照表一、铅黄铜牌号对照表?二、普通黄铜牌号对照表三、紫铜牌号对照表常用铜合金牌号化学成分--中国牌号一、铅黄铜系列二、普通黄铜系列三、紫铜系列常用铜合金牌号化学成分--日本牌号一、铅黄铜系列二、普通黄铜系列三、紫铜系列常用铜合金牌号化学成分--德国牌号一、铅黄铜系列二、普通黄铜系列三、紫铜系列常用铜合金牌号化学成分--德国牌号一、铅黄铜系列二、普通黄铜系列三、紫铜系列常用铜合金牌号化学成分--美国牌号一、铅黄铜系列二、普通黄铜系列三、紫铜系列常用铜合金牌号化学成分--英国牌号一、铅黄铜系列二、普通黄铜系列三、紫铜系列英国标准化学成分对照表标准号:BSG017-1981欧标材质标准(EN12164)化学成份N)注:CuZn36Pb2As(CW602N) As砷含量:;Mn含量<。
铜合金管棒型材常见缺陷分析1、过热、过烧:定义:金属在加热或加工过程,由于温度高、时间长岛之组织及晶粒出大现象称为过热,严重过热时晶间决不低熔点组元熔化或晶界弱化现象称为过烧。
产生原因:a、加热温度高、时间长或局部长时间处于高温源处;b、热挤压终了温度过高或者在高温区停留时间长;c、合金中存在低熔点组元或低熔点杂质较多。
2、裂纹或开裂:定义:管棒型材表面出现连续或间断不规则裂纹,轻微的称为裂纹,严重的称为开裂。
产生原因:a、铸造锭中存在裂纹、夹杂、缩孔、疏松、冷隔或其他有害杂质或结晶组织、化学成分严重不均匀;b、铸锭中存在较大应力或加工工艺不当产生较大应力;c、挤压速度过快,加工率过大;d、热处理工艺不当,加工或热处理处于材料的脆性温度区。
3、缩尾:定义:缩尾是挤制品尾部的一种特殊缺陷。
在挤压末期,由于金属紊流,铸锭表面的氧化皮,润滑剂等污物往往流入其中,而导致金属之间的分层。
产生原因:a、挤压尾部金属流动紊乱;b、铸锭表面、次表面有缺陷,挤压筒有润滑剂等污染物。
4、鼓泡定义:经挤制、拉制、退货后的产品表面沿着加工方向拉长的条状鼓起,解剖开后为一空腔,这种鼓起称为鼓泡。
各国铜牌号及标准对照表铜合金牌号对照表一、铅黄铜牌号对照表二、普通黄铜牌号对照表三、紫铜牌号对照表常用铜合金牌号化学成分--中国牌号一、铅黄铜系列二、普通黄铜系列三、紫铜系列一、铅黄铜系列二、普通黄铜系列三、紫铜系列一、铅黄铜系列二、普通黄铜系列三、紫铜系列一、铅黄铜系列二、普通黄铜系列三、紫铜系列一、铅黄铜系列二、普通黄铜系列三、紫铜系列一、铅黄铜系列二、普通黄铜系列三、紫铜系列英国标准化学成分对照表标准号:BSG017-1981欧标材质标准(EN12164)化学成份成份牌号Cu铜Al铝Fe铁Ni镍Pb铅Sn锡 Zn锌其他密度(g/㎝3)CuZn21Si3P (CW724R) 76 ≤0.09 其余CuZn40 (CW509L) 60.5 ≤0.2 其余CuZn42 (CW510L) 58 ≤0.2 其余CuZn38As (CW511L) 62.5 ≤0.2 其余CuZn36Pb3 (CW603N) 60-62 <0.05 <0.3 <0.3 2.5-3.5 <0.2 其余0.2 8.5 CuZn38Pb4 (CW609N) 57-59 <0.05 <0.3 <0.3 3.5-4.2 <0.3 其余0.2 8.4 CuZn39Pb3 (CW614N) 57-59 <0.05 <0.3 <0.3 2.5-3.5 <0.3 其余0.2 8.4 CuZn40Pb2 (CW617N) 57-59 <0.05 <0.3 <0.3 1.6-2.5 <0.3 其余0.2 8.4 CuZn37Pb2 (CW606N) 61-62 <0.05 <0.2 <0.3 1.6-2.5 <0.2 其余0.2 8.4 CuZn38Pb2 (CW608N) 60-61 <0.05 <0.2 <0.3 1.6-2.5 <0.2 其余0.2 8.4 CuZn39Pb2 (CW612N) 59-60 <0.05 <0.3 <0.3 1.6-2.5 <0.3 其余0.2 8.4 CuZn35Pb1 (CW600N) 62.5-64 <0.05 <0.1 <0.3 0.9-1.6 <0.1 其余<0.1 8.5 CuZn35Pb2 (CW601N) 62-63.5 <0.05 <0.1 <0.3 1.6-2.5 <0.1 其余<0.1 8.5 CuZn38Pb1 (CW607N) 60-61 <0.05 <0.2 <0.3 0.8-1.8 <0.2 其余<0.2 8.4 CuZn39Pb0.5(CW610N) 59-60.5 <0.05 <0.2 <0.3 0.2-0.8 <0.2 其余<0.2 8.4 CuZn39Pb1 (CW611N) 59-60 <0.05 <0.2 <0.3 0.8-1.6 <0.2 其余<0.2 8.4 CuZn36Pb2As(CW602N) 61-63 <0.05 <0.1 <0.3 1.7-2.8 <0.1 其余<0.2 8.4注:CuZn36Pb2As(CW602N) As砷含量:0.02-0.05;Mn含量<0.1。
1234B 添加义项?文案,原指放书的桌子,后来指在桌子上写字的人。
现在指的是公司或企业中从事文字工作的职位,就是以文字来表现已经制定的创意策略。
文案它不同于设计师用画面或其他手段的表现手法,它是一个与广告创意先后相继的表现的过程、发展的过程、深化的过程,多存在于广告公司,企业宣传,新闻策划等。
基本信息中文名称文案外文名称Copy目录1发展历程2主要工作3分类构成4基本要求5工作范围6文案写法7实际应用折叠编辑本段发展历程汉字"文案"(wén àn)是指古代官衙中掌管档案、负责起草文书的幕友,亦指官署中的公文、书信等;在现代,文案的称呼主要用在商业领域,其意义与中国古代所说的文案是有区别的。
在中国古代,文案亦作" 文按"。
公文案卷。
《北堂书钞》卷六八引《汉杂事》:"先是公府掾多不视事,但以文案为务。
"《晋书·桓温传》:"机务不可停废,常行文按宜为限日。
" 唐戴叔伦《答崔载华》诗:"文案日成堆,愁眉拽不开。
"《资治通鉴·晋孝武帝太元十四年》:"诸曹皆得良吏以掌文按。
"《花月痕》第五一回:" 荷生觉得自己是替他掌文案。
"5旧时衙门里草拟文牍、掌管档案的幕僚,其地位比一般属吏高。
《老残游记》第四回:"像你老这样抚台央出文案老爷来请进去谈谈,这面子有多大!"夏衍《秋瑾传》序幕:"将这阮财富带回衙门去,要文案给他补一份状子。
"文案音译文案英文:copywriter、copy、copywriting文案拼音:wén àn现代文案的概念:文案来源于广告行业,是"广告文案"的简称,由copy writer翻译而来。
多指以语辞进行广告信息内容表现的形式,有广义和狭义之分,广义的广告文案包括标题、正文、口号的撰写和对广告形象的选择搭配;狭义的广告文案包括标题、正文、口号的撰写。
国内外铜及铜合金牌号对照表相关专题:铜合金教你如何用WORD文档(2012-06-27 192246)转载▼标签:杂谈1. 问:WORD 里边怎样设置每页不同的页眉?如何使不同的章节显示的页眉不同?答:分节,每节可以设置不同的页眉。
文件――页面设置――版式――页眉和页脚――首页不同。
2. 问:请问word 中怎样让每一章用不同的页眉?怎么我现在只能用一个页眉,一改就全部改了?答:在插入分隔符里,选插入分节符,可以选连续的那个,然后下一页改页眉前,按一下“同前”钮,再做的改动就不影响前面的了。
简言之,分节符使得它们独立了。
这个工具栏上的“同前”按钮就显示在工具栏上,不过是图标的形式,把光标移到上面就显示出”同前“两个字来。
3. 问:如何合并两个WORD 文档,不同的页眉需要先写两个文件,然后合并,如何做?答:页眉设置中,选择奇偶页不同与前不同等选项。
4. 问:WORD 编辑页眉设置,如何实现奇偶页不同比如:单页浙江大学学位论文,这一个容易设;双页:(每章标题),这一个有什么技巧啊?答:插入节分隔符,与前节设置相同去掉,再设置奇偶页不同。
5. 问:怎样使WORD 文档只有第一页没有页眉,页脚?答:页面设置-页眉和页脚,选首页不同,然后选中首页页眉中的小箭头,格式-边框和底纹,选择无,这个只要在“视图”――“页眉页脚”,其中的页面设置里,不要整个文档,就可以看到一个“同前”的标志,不选,前后的设置情况就不同了。
6. 问:如何从第三页起设置页眉?答:在第二页末插入分节符,在第三页的页眉格式中去掉同前节,如果第一、二页还有页眉,把它设置成正文就可以了●在新建文档中,菜单―视图―页脚―插入页码―页码格式―起始页码为0,确定;●菜单―文件―页面设置―版式―首页不同,确定;●将光标放到第一页末,菜单―文件―页面设置―版式―首页不同―应用于插入点之后,确定。
第2 步与第三步差别在于第2 步应用于整篇文档,第3 步应用于插入点之后。
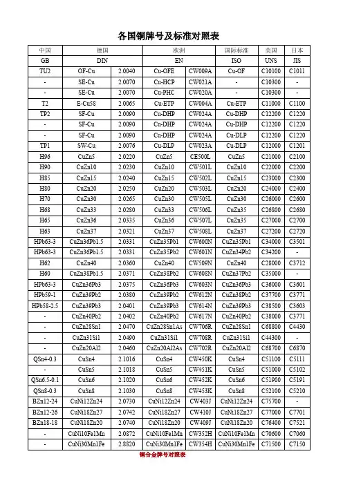
各国铜牌号及标准对照表中国德国欧洲国际标准美国日本GB DIN EN ISO UNS JIS KRUZZEICHEN NUMBER Symbol Number Symbol Number Number TU2 OF-Cu 2.0040 Cu-OFE CW009A Cu-OF C10100 C1011 - SE-Cu 2.0070 Cu-HCP CW021A - C10300 - - SE-Cu 2.0070 Cu-PHC CW020A - C10300 - T2 E-Cu58 2.0065 Cu-ETP CW004A Cu-ETP C11000 C1100 TP2 SF-Cu 2.0090 Cu-DHP CW024A Cu-DHP C12200 C1220 - SF-Cu 2.0090 Cu-DHP CW024A Cu-DHP C12200 C1220 - SF-Cu 2.0090 Cu-DHP CW024A Cu-DLP C12200 C1220 TP1 SW-Cu 2.0076 Cu-DLP CW023A Cu-DLP C12000 C1201 H96 CuZn5 2.0220 CuZn5 CE500L CuZn5 C21000 C2100 H90 CuZn10 2.0230 CuZn10 CW501L CuZn10 C22000 C2200 H85 CuZn15 2.0240 CuZn15 CW502L CuZn15 C23000 C2300 H80 CuZn20 2.0250 CuZn20 CW503L CuZn20 C24000 C2400 H70 CuZn30 2.0265 CuZn30 CW505L CuZn30 C26000 C2600 H68 CuZn33 2.0280 CuZn33 CW506L CuZn35 C26800 C2680 H65 CuZn36 2.0335 CuZn36 CW507L CuZn35 C27000 C2700 H63 CuZn37 2.0321 CuZn37 CW508L CuZn37 C27200 C2720 HPb63-3 CuZn36Pb1.5 2.0331 CuZn35Pb1 CW600N CuZn35Pb1 C34000 C3501 HPb63-3 CuZn36Pb1.5 2.0331 CuZn35Pb2 CW601N CuZn34Pb2 C34200 -H62 CuZn40 2.0360 CuZn40 CW509N CuZn40 C28000 C3712 H60 CuZn38Pb1.5 2.0371 CuZn38Pb2 CW608N CuZn37Pb2 C35000 -HPb63-3 CuZn36Pb3 2.0375 CuZn36Pb3 CW603N CuZn36Pb3 C36000 C3601 HPb59-1 CuZn39Pb2 2.0380 CuZn39Pb2 CW612N CuZn38Pb2 C37700 C3771 HPb58-2.5 CuZn39Pb3 2.0401 CuZn39Pb3 CW614N CuZn39Pb3 C38500 C3603 - CuZn40Pb2 2.0402 CuZn40Pb2 CW617N CuZn40Pb2 C38000 C3771 - CuZn28Sn1 2.0470 CuZn28Sn1As CW706R CuZn28Sn1 C68800 C4430 - CuZn31Si1 2.0490 CuZn31Si1 CW708R CuZn31Si1 C44300 - - CuZn20Al2 2.0460 CuZn20Al2As CW702R CuZn20Al2 C68700 C6870 QSn4-0.3 CuSn4 2.1016 CuSn4 CW450K CuSn4 C51100 C5111 - CuSn5 2.1018 CuSn5 CW451K CuSn5 C51000 C5102 QSn6.5-0.1 CuSn6 2.1020 CuSn6 CW452K CuSn6 C51900 C5191 QSn8-0.3 CuSn8 2.1030 CuSn8 CW453K CuSn8 C52100 C5210 BZn12-24 CuNi12Zn24 2.0730 CuNi12Zn24 CW403J CuNi12Zn24 C75700 - BZn12-26 CuNi18Zn27 2.0742 CuNi18Zn27 CW410J CuNi18Zn27 C77000 C7701 BZn18-18 CuNi18Zn20 2.0740 CuNi18Zn20 CW409J CuNi18Zn20 C76400 C7521 - CuNi10Fe1Mn 2.0872 CuNi10Fe1Mn CW352H CuNi10Fe1Mn C70600 C7060 - CuNi30Mn1Fe 2.8820 CuNi30Mn1Fe CW354H CuNi30Mn1Fe C71500 C7150第二节铜及铜合金铜及铜合金具有以下性能特点。