卫生健康年鉴2015:全世界历年人口与社会经济统计(2010-2013)(三)
- 格式:xls
- 大小:38.00 KB
- 文档页数:5
卫生事业管理学期末题库(84题)1下列哪项不是WHO确定的关于慢性病控制与管理的行动原则()。
A立足社区B建立支持环境、强调个人责任C以医疗系统为主D建立广泛的合作伙伴正确答案:C2(《中共中央国务院关于深化医药卫生体制改革的意见》指出,覆盖城乡居民的基本医疗卫生制度将在()年基本建立。
A2011B2050C2010D2020正确答案:D3(WHO在“2000年人人享有卫生保健”的全球规划指标中确定的人均期望寿命要达到()岁以上。
A60B65C70D55正确答案:A4(实现初级卫生保健的关键是()。
A适宜的卫生技术B高精尖的医疗设备C社会经济的高度发展D现代化的医学设备正确答案:A5(下列哪项不属于卫生人力资源绩效考核的内容()A工作态度评价B工作成绩C能力评价D工作效率评价正确答案:D6(单位或者个人设置医疗机构,必须经()卫生行政部门审查批准,并取得设置医疗机构批准书,方可向有关部门办理其他手续。
A市级以上地方人民政府B区级以上地方人民政府C省级以上地方人民政府D县级以上地方人民政府正确答案:D7(医政管理的实质是医疗卫生工作的()A事务管理B政务管理C国务管理D公务管理正确答案:B8(社区卫生服务的“六位一体”是指()A法制教育、预防、营养、康复、计划生育指导、医疗B健康教育、预防、营养、康复、计划生育指导、医疗C健康教育、预防、保健、康复、计划免疫、医疗D健康教育、预防、保健、康复、计划生育指导、医疗正确答案:D9( 以下除了哪个机构外都可以采血以供临床使用?()A三甲医院B血液中心C基层血站D中心血站正确答案:A10(下列哪个不是卫生服务的特征()得分/总分A服务提供方主导B可储存性C差异性或变异性D相关法规约束较多正确答案:B11(目前绝大多数卫生服务机构所采用的都是哪种质量管理模式? ()A服务过程导向的管理模式B整体质量管理模式C供求互动导向的管理模式D客户需求导向的管理模式正确答案:A12(下列不属于农村卫生服务体系的“三级卫生保健网”的是()A县医院、乡(镇)卫生院、村卫生室为依托B乡(镇)卫生院为枢纽C县医院、卫生防疫站、妇幼保健院为中心D村、组卫生室(所)为基础正确答案:A13(以美国为代表的医疗保险模式是()A国家医疗保险B商业医疗保险C储蓄医疗保险D社会医疗保险正确答案:B14(主动获得专业技能和积极提供卫生服务在于卫生人力资源具有( )特性。
2013中国卫生统计年鉴编者说明一、《中国卫生统计年鉴》是一部反映中国卫生事业发展情况和居民健康状况的资料性年刊。
本书收录了全国及31个省、自治区、直辖市卫生事业发展情况和目前居民健康水平的统计数据,以及历史重要年份的全国统计数据。
本书为《中国卫生统计年鉴》2011卷,收编的内容截止2010年底。
二、全书分为15个部分,即:卫生机构、卫生人员、卫生设施、卫生经费、医疗服务、基层医疗卫生服务、妇幼保健、人民健康水平及营养状况、疾病控制与公共卫生、居民病伤死亡原因、卫生监督、医疗保障制度、人口指标,另附主要社会经济指标、世界各国卫生状况。
各篇前设简要说明及主要指标解释,简要说明主要介绍本篇的主要内容、资料来源、统计范围、统计方法以及历史变动情况。
三、资料来源:(一)本资料主要来自年度卫生统计报表,一部分来自抽样调查。
(二)人口和社会经济数据摘自《中国统计年鉴》以及公安部、教育部、民政部统计资料,城镇居民基本医疗保险数据摘自人力资源与社会保障部,各国卫生状况数据摘自世界卫生组织《世界卫生统计》。
四、统计口径:(一)除行政区划外,书中所涉及的全国性统计数据均未包括香港特别行政区、澳门特别行政区和台湾省数据。
(二)卫生部三次修订了《国家卫生统计调查制度》,适当调整了卫生机构和人员的统计口径,导致1996、2002、2007年卫生机构和人员数变动较大。
(三)从2010卷起,村卫生室的机构、人员、和诊疗人次分别计入卫生机构总数、卫生人员总数、总诊疗人次数中(村卫生室不再单独统计)。
各年数据已按此口径调整。
五、统计分组:(一)东、中、西部地区:东部地区包括北京、天津、河北、辽宁、上海、江苏、浙江、福建、山东、广东、海南11个省、直辖市;中部地区包括山西、吉林、黑龙江、安徽、江西、河南、湖北、湖南8个省;西部地区包括内蒙古、重庆、广西、四川、贵州、云南、西藏、陕西、甘肃、青海、宁夏、新疆12个省、自治区、直辖市。
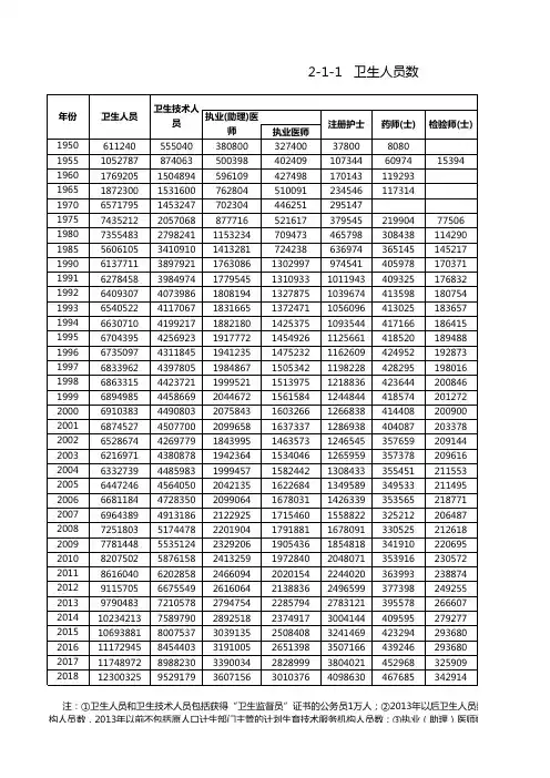
2-1-1 卫生人员数
注:①卫生人员和卫生技术人员包括获得“卫生监督员”证书的公务员1万人;②2013年以后卫生人员数包
构人员数,2013年以前不包括原人口计生部门主管的计划生育技术服务机构人员数;③执业(助理)医师数包括村卫生室执业前乡村医生和卫生员系赤脚医生数。
构人员数,2013年以前不包括原人口计生部门主管的计划生育技术服务机构人员数;③执业(助理)医师数包括村卫生室执业前乡村医生和卫生员系赤脚医生数。
员数包括卫生计生部门主管的计划生育技术服务机助理)医师数包括村卫生室执业(助理)医师数;④1985年以
助理)医师数包括村卫生室执业(助理)医师数;④1985年以。
2013中国卫生统计年鉴编者说明一、《中国卫生统计年鉴》是一部反映中国卫生事业发展情况和居民健康状况的资料性年刊。
本书收录了全国及31个省、自治区、直辖市卫生事业发展情况和目前居民健康水平的统计数据,以及历史重要年份的全国统计数据。
本书为《中国卫生统计年鉴》2011卷,收编的内容截止2010年底。
二、全书分为15个部分,即:卫生机构、卫生人员、卫生设施、卫生经费、医疗服务、基层医疗卫生服务、妇幼保健、人民健康水平及营养状况、疾病控制与公共卫生、居民病伤死亡原因、卫生监督、医疗保障制度、人口指标,另附主要社会经济指标、世界各国卫生状况。
各篇前设简要说明及主要指标解释,简要说明主要介绍本篇的主要内容、资料来源、统计范围、统计方法以及历史变动情况。
三、资料来源:(一)本资料主要来自年度卫生统计报表,一部分来自抽样调查。
(二)人口和社会经济数据摘自《中国统计年鉴》以及公安部、教育部、民政部统计资料,城镇居民基本医疗保险数据摘自人力资源与社会保障部,各国卫生状况数据摘自世界卫生组织《世界卫生统计》。
四、统计口径:(一)除行政区划外,书中所涉及的全国性统计数据均未包括香港特别行政区、澳门特别行政区和台湾省数据。
(二)卫生部三次修订了《国家卫生统计调查制度》,适当调整了卫生机构和人员的统计口径,导致1996、2002、2007年卫生机构和人员数变动较大。
(三)从2010卷起,村卫生室的机构、人员、和诊疗人次分别计入卫生机构总数、卫生人员总数、总诊疗人次数中(村卫生室不再单独统计)。
各年数据已按此口径调整。
五、统计分组:(一)东、中、西部地区:东部地区包括北京、天津、河北、辽宁、上海、江苏、浙江、福建、山东、广东、海南11个省、直辖市;中部地区包括山西、吉林、黑龙江、安徽、江西、河南、湖北、湖南8个省;西部地区包括内蒙古、重庆、广西、四川、贵州、云南、西藏、陕西、甘肃、青海、宁夏、新疆12个省、自治区、直辖市。
2015年我国卫生和计划生育事业发展统计公报发布时间:2016-07-202015年是“十二五”收官之年,各级卫生计生部门落实党中央、国务院决策部署,深化医改在重点领域和关键环节取得突破性进展,计划生育工作取得新的重大进展,公共卫生和重大疾病防控成效显著,医疗服务体系进一步健全、服务能力大幅提升,完成了“十二五”事业发展规划和深化医改规划,为“十三五”健康中国发展奠定了坚实的基础。
一、卫生资源(一)医疗卫生机构总数。
2015年末,全国医疗卫生机构总数达983528个,比上年增加2096个。
其中:医院27587个,基层医疗卫生机构920770个,专业公共卫生机构31927个。
与上年相比,医院增加1727个,基层医疗卫生机构增加3435个,专业公共卫生机构减少3102个(由于资源整合,计划生育技术服务机构减少)(见表1)。
医院中,公立医院13069个,民营医院14518个。
医院按等级分:三级医院2123个(其中:三级甲等医院1236个),二级医院7494个,一级医院8757个,未定级医院9213个。
医院按床位数分:100 张床位以下医院16542个,100-199张医院4073个,200-499张医院3912个,500-799张医院1568个,800张及以上医院1492个。
基层医疗卫生机构中,社区卫生服务中心(站)34321个,乡镇卫生院36817个,诊所和医务室195290个,村卫生室640536个。
政府办基层医疗卫生机构117503个。
专业公共卫生机构中,疾病预防控制中心3478个,其中:省级31个、市(地)级409个、县(区、县级市)级2803个。
卫生计生监督机构2986个,其中:省级31个、市(地)级387个、县(区、县级市)级2505个,另有6个疾病预防控制中心承担卫生监督职责。
表1 全国医疗卫生机构及床位数总计98143298352866012147015220医院258602758749611615330580公立医院133141306941257154296401民营医院12546145188354461034179医院中:三级医院1954212318782672047819二级医院6850749420538962196748一级医院70098757387207481876基层医疗卫生机构91733592077013811971413845#社区卫生服务中心(站)3423834321195913200979 #政府办1830618246138717143002乡镇卫生院369023681711672451196122#政府办364453634411548371183178村卫生室645470640536- -诊所(医务室)188100195290- -专业公共卫生机构3502931927223033236342#疾病预防控制中心34903478--专科疾病防治机构124212343761840349妇幼保健机构30983078184815195352卫生监督机构29752986--其他机构320832443582334453注:#系其中数。
中国2013年调查地区居民两周患病率统计小计东中西小计调查人数273688133393444994477444120140295患病人次数660673766014278118101157228407两周患病率(%)24.128.232.126.426.220.2分性别两周患病率(%) 男性22.426.830.625.324.518.3 女性25.929.633.527.427.922.2年龄别两周患病率(%) 0-4岁10.611.59.99.114.99.9 5-14岁 5.3 5.7 5.9 3.87.45 15-24岁 3.7 4.2 5.1 2.7 4.7 3.3 25-34岁 5.7 5.9 6.35 6.5 5.3 35-44岁12.412.912.51213.912 45-54岁24.326.327.625.825.622.5 55-64岁42475046.843.337 65岁及以上62.273.680.769.469.648.8文化程度别两周患病率(%) 文盲.半文盲42.152.463.655.14437.4 小学34.74656.644.738.928.2 初中23.13135.928.827.916.6 高中.技校22.22528.523.822.216.7 中专24.828.528.626.830.614.2 大专17.6192118.117.611.2 大学及以上15.116.317.614.716.27.4医疗保障形式别两周患病率(%) 城镇职工基本医保38.338.939.738.737.933 城镇居民基本医保23.622.927.522.316.326.2 新型农村合作医疗19.72226.519.522.318.8 城乡居民合作医疗22.722.712.21330.422.7 其他社会医疗保险22.825.227.520.925.619.7 无社保13.113.313.812.414.112.4就业状况别两周患病率(%) 在岗18.717.316.815.519.319.8 离退休63.264.466.160.66753.9 学生 3.4 3.9 4.5 2.5 4.6 2.9 失业28.727.431.125.724.231.8 无业40.740.750.736.636.540.8摘编自《中国卫生和计划生育统计年鉴2015》指标名称合计城市农村东中西458754488349537 117678754788625.719.515.923.617.71427.721.317.912.710.37.27 4.8 3.63.93 3.25.76 4.513.411.810.926.221.819.344.634.331.558.945.540.45233.430.438.526.92119.916.612.720.617.61114.11710.810.413.210.23.813.7 5.230.141.62926.529.519.725.718.514.624.216.123.521.722.114.11611.69.224.418.516.658.856.938.74.3 2.8 1.932.923.238.447.537.635.5。