数值分析 第五章习题
- 格式:pdf
- 大小:181.11 KB
- 文档页数:3
第一章 绪论(12) 第二章 插值法(40-42)2、当2,1,1-=x 时,4,3,0)(-=x f ,求)(x f 的二次插值多项式。
[解]372365)1(34)23(21)12)(12()1)(1(4)21)(11()2)(1()3()21)(11()2)(1(0))(())(())(())(())(())(()(2221202102210120120102102-+=-++--=+-+-⨯+------⨯-+-+-+⨯=----+----+----=x x x x x x x x x x x x x x x x x x x y x x x x x x x x y x x x x x x x x y x L 。
3、给出x x f ln )(=的数值表用线性插值及二次插值计算54.0ln 的近似值。
X 0.4 0.5 0.6 0.7 0.8 x ln -0.916291 -0.693147 -0.510826 -0.357765 -0.223144[解]若取5.00=x ,6.01=x ,则693147.0)5.0()(00-===f x f y ,510826.0)6.0()(11-===f x f y ,则604752.182321.1)5.0(10826.5)6.0(93147.65.06.05.0510826.06.05.06.0693147.0)(010110101-=---=--⨯---⨯-=--+--=x x x x x x x x x y x x x x y x L ,从而6202186.0604752.19845334.0604752.154.082321.1)54.0(1-=-=-⨯=L 。
若取4.00=x ,5.01=x ,6.02=x ,则916291.0)4.0()(00-===f x f y ,693147.0)5.0()(11-===f x f y ,510826.0)6.0()(22-===f x f y ,则 217097.2068475.404115.2)2.09.0(5413.25)24.0(3147.69)3.01.1(81455.45)5.06.0)(4.06.0()5.0)(4.0()510826.0()6.05.0)(4.05.0()6.0)(4.0()693147.0()6.04.0)(5.04.0()6.0)(5.0(916291.0))(())(())(())(())(())(()(22221202102210120120102102-+-=+--+-⨯++-⨯-=----⨯-+----⨯-+----⨯-=----+----+----=x x x x x x x x x x x x x x x x x x x x x x y x x x x x x x x y x x x x x x x x y x L ,从而61531984.0217097.21969765.259519934.0217097.254.0068475.454.004115.2)54.0(22-=-+-=-⨯+⨯-=L补充题:1、令00=x ,11=x ,写出x e x y -=)(的一次插值多项式)(1x L ,并估计插值余项。
第四版数值分析习题第一章绪论1. 设x >0,x 的相对误差为δ,求ln x 的误差.2. 设x 的相对误差为2%,求nx 的相对误差.3. 下列各数都是经过四舍五入得到的近似数,即误差限不超过最后一位的半个单位,试指出它们是几位有效数字: *****123451.1021,0.031,385.6,56.430,7 1.0.x x x x x =====⨯4. 利用公式(3.3)求下列各近似值的误差限:********12412324(),(),()/,i x x x ii x x x iii x x ++其中****1234,,,x x x x 均为第3题所给的数.5. 计算球体积要使相对误差限为1%,问度量半径R 时允许的相对误差限是多少?6. 设028,Y =按递推公式1n n Y Y -=( n=1,2,…)计算到100Y .27.982(五位有效数字),试问计算100Y 将有多大误差?7. 求方程25610x x -+=的两个根,使它至少具有四位有效数字27.982).8. 当N 充分大时,怎样求211N dx x +∞+⎰?9. 正方形的边长大约为100㎝,应怎样测量才能使其面积误差不超过1㎝2? 10. 设212S gt =假定g 是准确的,而对t 的测量有±0.1秒的误差,证明当t 增加时S 的绝对误差增加,而相对误差却减小. 11. 序列{}n y 满足递推关系1101n n y y -=-(n=1,2,…),若0 1.41y =≈(三位有效数字),计算到10y 时误差有多大?这个计算过程稳定吗?12.计算61)f =,1.4≈,利用下列等式计算,哪一个得到的结果最好?3--13.()ln(f x x =,求f (30)的值.若开平方用六位函数表,问求对数时误差有多大?若改用另一等价公式ln(ln(x x =-计算,求对数时误差有多大?14. 试用消元法解方程组{101012121010;2.x x x x +=+=假定只用三位数计算,问结果是否可靠?15. 已知三角形面积1sin ,2s ab c =其中c 为弧度,02c π<<,且测量a ,b ,c 的误差分别为,,.a b c ∆∆∆证明面积的误差s ∆满足.s a b cs a b c ∆∆∆∆≤++第二章插值法1. 根据(2.2)定义的范德蒙行列式,令2000011211121()(,,,,)11n n n n n n n n n x x x V x V x x x x x x x xx x ----==证明()n V x 是n 次多项式,它的根是01,,n x x -,且 101101()(,,,)()()n n n n V x V x x x x x x x ---=--.2. 当x = 1 , -1 , 2 时, f (x)= 0 , -3 , 4 ,求f (x )的二次插值多项式.3.4. ,研究用线性插值求cos x 近似值时的总误差界.5. 设0k x x kh =+,k =0,1,2,3,求032max ()x x x l x ≤≤.6. 设jx 为互异节点(j =0,1,…,n ),求证:i) 0()(0,1,,);nk kj j j x l x xk n =≡=∑ii)()()1,2,,).nk jj j xx l x k n =-≡0(=∑7. 设[]2(),f x C a b ∈且()()0f a f b ==,求证21()()().8max max a x ba xb f x b a f x ≤≤≤≤≤-"8. 在44x -≤≤上给出()x f x e =的等距节点函数表,若用二次插值求xe 的近似值,要使截断误差不超过610-,问使用函数表的步长h 应取多少?9. 若2nn y =,求4n y ∆及4n y δ.10. 如果()f x 是m 次多项式,记()()()f x f x h f x ∆=+-,证明()f x 的k 阶差分()(0)k f x k m ∆≤≤是m k -次多项式,并且()0(m l f x l +∆=为正整数).11. 证明1()k k k k k k f g f g g f +∆=∆+∆.12. 证明110010.n n kkn n k k k k f gf g f g g f --+==∆=--∆∑∑13. 证明1200.n j n j y y y -=∆=∆-∆∑14. 若1011()n n n n f x a a x a x a x --=++++有n 个不同实根12,,,n x x x ,证明{10,02;, 1.1()n k njk n a k n j jx f x -≤≤-=-=='∑15. 证明n 阶均差有下列性质: i)若()()F x cf x =,则[][]0101,,,,,,n n F x x x cf x x x =;ii) 若()()()F x f x g x =+,则[][][]010101,,,,,,,,,n n n F x x x f x x x g x x x =+.16. 74()31f x x x x =+++,求0172,2,,2f ⎡⎤⎣⎦及0182,2,,2f ⎡⎤⎣⎦.17. 证明两点三次埃尔米特插值余项是 (4)22311()()()()/4!,(,)k k k k R x f x x x x x x ++=ξ--ξ∈并由此求出分段三次埃尔米特插值的误差限.18. 求一个次数不高于4次的多项式()P x ,使它满足(0)(1)P P k =-+并由此求出分段三次埃尔米特插值的误差限. 19. 试求出一个最高次数不高于4次的函数多项式()P x ,以便使它能够满足以下边界条件(0)(0)0P P ='=,(1)(1)1P P ='=,(2)1P =.20. 设[](),f x C a b ∈,把[],a b 分为n 等分,试构造一个台阶形的零次分段插值函数()n x ϕ并证明当n →∞时,()n x ϕ在[],a b 上一致收敛到()f x .21. 设2()1/(1)f x x =+,在55x -≤≤上取10n =,按等距节点求分段线性插值函数()h I x ,计算各节点间中点处的()h I x 与()f x 的值,并估计误差.22. 求2()f x x =在[],a b 上的分段线性插值函数()h I x ,并估计误差. 23. 求4()f x x =在[],a b 上的分段埃尔米特插值,并估计误差.试求三次样条插值并满足条件 i) (0.25) 1.0000,(0.53)0.6868;S S '='= ii)(0.25)(0.53)0.S S "="=25. 若[]2(),f x C a b ∈,()S x 是三次样条函数,证明 i)[][][][]222()()()()2()()()bbbba a a a f x dx S x dx f x S x dx S x f x S x dx "-"="-"+""-"⎰⎰⎰⎰;ii) 若()()(0,1,,)i i f x S x i n ==,式中i x 为插值节点,且01n a x x x b =<<<=,则[][][]()()()()()()()()()baS x f x S x dx S b f b S b S a f a S a ""-"="'-'-"'-'⎰.26. 编出计算三次样条函数()S x 系数及其在插值节点中点的值的程序框图(()S x 可用(8.7)式的表达式).第三章函数逼近与计算1. (a)利用区间变换推出区间为[],a b 的伯恩斯坦多项式.(b)对()sin f x x =在[]0,/2π上求1次和三次伯恩斯坦多项式并画出图形,并与相应的马克劳林级数部分和误差做比较. 2. 求证:(a)当()m f x M ≤≤时,(,)n m B f x M ≤≤. (b)当()f x x =时,(,)n B f x x =.3. 在次数不超过6的多项式中,求()sin 4f x x =在[]0,2π的最佳一致逼近多项式.4. 假设()f x 在[],a b 上连续,求()f x 的零次最佳一致逼近多项式.5. 选取常数a ,使301max x x ax≤≤-达到极小,又问这个解是否唯一?6. 求()sin f x x =在[]0,/2π上的最佳一次逼近多项式,并估计误差.7. 求()xf x e =在[]0,1上的最佳一次逼近多项式.8. 如何选取r ,使2()p x x r =+在[]1,1-上与零偏差最小?r 是否唯一? 9. 设43()31f x x x =+-,在[]0,1上求三次最佳逼近多项式. 10. 令[]()(21),0,1n n T x T x x =-∈,求***0123(),(),(),()T x T x T x T x .11. 试证{}*()nT x 是在[]0,1上带权ρ=的正交多项式.12. 在[]1,1-上利用插值极小化求11()f x tg x -=的三次近似最佳逼近多项式. 13. 设()xf x e =在[]1,1-上的插值极小化近似最佳逼近多项式为()n L x ,若n f L ∞-有界,证明对任何1n ≥,存在常数n α、n β,使11()()()()(11).n n n n n T x f x L x T x x ++α≤-≤β-≤≤14. 设在[]1,1-上234511315165()128243843840x x x x x x ϕ=-----,试将()x ϕ降低到3次多项式并估计误差. 15. 在[]1,1-上利用幂级数项数求()sin f x x =的3次逼近多项式,使误差不超过0.005.16. ()f x 是[],a a -上的连续奇(偶)函数,证明不管n 是奇数或偶数,()f x 的最佳逼近多项式*()n n F x H ∈也是奇(偶)函数.17. 求a 、b 使[]22sin ax b x dx π+-⎰为最小.并与1题及6题的一次逼近多项式误差作比较.18. ()f x 、[]1(),g x C a b ∈,定义 ()(,)()();()(,)()()()();b baaa f g f x g x dxb f g f x g x dx f a g a =''=''+⎰⎰问它们是否构成内积?19. 用许瓦兹不等式(4.5)估计6101x dx x +⎰的上界,并用积分中值定理估计同一积分的上下界,并比较其结果.20. 选择a ,使下列积分取得最小值:1122211(),x ax dx x ax dx----⎰⎰.21. 设空间{}{}10010121,,,span x span x x 1ϕ=ϕ=,分别在1ϕ、2ϕ上求出一个元素,使得其为[]20,1x C ∈的最佳平方逼近,并比较其结果.22. ()f x x =在[]1,1-上,求在{}2411,,span x x ϕ=上的最佳平方逼近.23.sin (1)arccos ()n n x u x +=是第二类切比雪夫多项式,证明它有递推关系()()()112n n n u x xu x u x +-=-.24. 将1()sin 2f x x=在[]1,1-上按勒让德多项式及切比雪夫多项式展开,求三次最佳平方逼近多项式并画出误差图形,再计算均方误差.25. 把()arccos f x x =在[]1,1-上展成切比雪夫级数.26.2y a bx =+.27.用最小二乘拟合求.29. 编出用正交多项式做最小二乘拟合的程序框图. 30. 编出改进FFT 算法的程序框图. 31. 现给出一张记录{}{}4,3,2,1,0,1,2,3k x =,试用改进FFT 算法求出序列{}k x 的离散频谱{}k C (0,1,,7).k =第四章数值积分与数值微分1. 确定下列求积公式中的待定参数,使其代数精度尽量高,并指明所构造出的求积公式所具有的代数精度:(1)101()()(0)()hhf x dx A f h A f A f h --≈-++⎰;(2)21012()()(0)()hh f x dx A f h A f A f h --≈-++⎰;(3)[]1121()(1)2()3()/3f x dx f f x f x -≈-++⎰;(4)[][]20()(0)()/1(0)()hf x dx h f f h ah f f h ≈++'-'⎰.2. 分别用梯形公式和辛普森公式计算下列积分:(1)120,84xdx n x =+⎰; (2)1210(1),10x e dx n x --=⎰;(3)1,4n =⎰;(4),6n =.3. 直接验证柯特斯公式(2.4)具有5次代数精度.4. 用辛普森公式求积分10x e dx-⎰并计算误差. 5. 推导下列三种矩形求积公式:(1)2()()()()()2ba f f x dxb a f a b a 'η=-+-⎰; (2)2()()()()()2ba f f x dxb a f b b a 'η=---⎰;(3)3()()()()()224baa b f f x dx b a f b a +"η=-+-⎰. 6. 证明梯形公式(2.9)和辛普森公式(2.11)当n →∞时收敛到积分()baf x dx⎰.7. 用复化梯形公式求积分()baf x dx⎰,问要将积分区间[],a b 分成多少等分,才能保证误差不超过ε(设不计舍入误差)?8.1x e dx-,要求误差不超过510-.9. 卫星轨道是一个椭圆,椭圆周长的计算公式是S a =θ,这里a 是椭圆的半长轴,c 是地球中心与轨道中心(椭圆中心)的距离,记h 为近地点距离,H 为远地点距离,6371R =公里为地球半径,则(2)/2,()/2a R H h c H h =++=-.我国第一颗人造卫星近地点距离439h =公里,远地点距离2384H =公里,试求卫星轨道的周长. 10. 证明等式3524sin3!5!n nn n ππππ=-+-试依据sin(/)(3,6,12)n n n π=的值,用外推算法求π的近似值.11. 用下列方法计算积分31dyy ⎰并比较结果.(1) 龙贝格方法;(2) 三点及五点高斯公式;(3) 将积分区间分为四等分,用复化两点高斯公式.12. 用三点公式和五点公式分别求21()(1)f x x =+在x =1.0,1.1和1.2处的导数值,并估计误()f x 第五章常微分方程数值解法1. 就初值问题0)0(,=+='y b ax y 分别导出尤拉方法和改进的尤拉方法的近似解的表达式,并与准确解bx ax y +=221相比较。
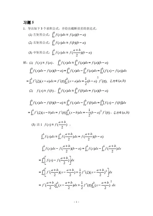
习题51.导出如下3个求积公式,并给出截断误差的表达式。
(1) 左矩形公式:⎰-≈ba ab a f dx x f ))(()((2) 右矩形公式:))(()(a b b f dx x f ba-≈⎰(3) 中矩形公式:⎰-+≈baa b ba f dx x f ))(2()( 解:(1) )()(a f x f ≈, )()()()(a b a f dx a f dx x f baba -=≈⎰⎰⎰⎰⎰⎰-=-=--ba ba ba ba dx a f x f dx a f dx x f ab a f dx x f ))()(()()())(()(),()(21)()()()(2ηηξf a b dx a x f dx a x f ba b a'-=-'=-'=⎰⎰),(,b a ∈ηξ(2) )()(b f x f ≈,⎰⎰-=≈b abaa b a f dx b f dx x f ))(()()(⎰⎰⎰⎰-=-≈--b a b a b a ba dxb f x f dx b f dx x f a b b f dx x f )]()([)()())(()()()(21)()()()(2ηηξf a b dx b x f dx b x f ba b a'--=-'=-'=⎰⎰,),(,b a ∈ηξ(3) 法1 )2()(ba f x f +≈ , ⎰⎰-+=+≈ba baa b b a f dx b a f dx x f ))(2()2()(⎰-+-baa b b a f dx x f ))(2()(⎰⎰+-=b a b a dx b a f dx x f )2()( dx b a f x f b a ⎰⎥⎦⎤⎢⎣⎡+-=)2()( dx b a x f b a x ba fb a ⎰⎥⎦⎤⎢⎣⎡+-''++-+'=2)2)((21)2)(2(ξ dx b a x f dx b a x b a f ba b a 2)2()(21)2()2(⎰⎰+-''++-+'=η3))((241a b f -''=η 法2 可以验证所给公式具有1次代数精度。
]第一章 绪论姓名 学号 班级习题主要考察点:有效数字的计算、计算方法的比较选择、误差和误差限的计算。
1若误差限为5105.0-⨯,那么近似数有几位有效数字(有效数字的计算) 解:2*103400.0-⨯=x ,325*10211021---⨯=⨯≤-x x 故具有3位有效数字。
2 14159.3=π具有4位有效数字的近似值是多少(有效数字的计算) 解:10314159.0⨯= π,欲使其近似值*π具有4位有效数字,必需!41*1021-⨯≤-ππ,3*310211021--⨯+≤≤⨯-πππ,即14209.314109.3*≤≤π即取( , )之间的任意数,都具有4位有效数字。
3已知2031.1=a ,978.0=b 是经过四舍五入后得到的近似值,问b a +,b a ⨯有几位有效数字(有效数字的计算)解:3*1021-⨯≤-aa ,2*1021-⨯≤-b b ,而1811.2=+b a ,1766.1=⨯b a 2123****102110211021)()(---⨯≤⨯+⨯≤-+-≤+-+b b a a b a b a故b a +至少具有2位有效数字。
2123*****10210065.01022031.1102978.0)()(---⨯≤=⨯+⨯≤-+-≤-b b a a a b b a ab 故b a ⨯至少具有2位有效数字。
4设0>x ,x 的相对误差为δ,求x ln 的误差和相对误差(误差的计算)~解:已知δ=-**xx x ,则误差为 δ=-=-***ln ln xx x x x则相对误差为******ln ln 1ln ln ln xxx x xxx x δ=-=-5测得某圆柱体高度h 的值为cm h 20*=,底面半径r 的值为cm r 5*=,已知cm h h 2.0||*≤-,cm r r 1.0||*≤-,求圆柱体体积h r v2π=的绝对误差限与相对误差限。
(误差限的计算)解:*2******2),(),(h h r r r h r r h v r h v -+-≤-ππ绝对误差限为πππ252.051.02052)5,20(),(2=⨯⋅+⨯⋅⋅⋅≤-v r h v相对误差限为%420120525)5,20()5,20(),(2==⋅⋅≤-ππv v r h v 6设x 的相对误差为%a ,求nx y =的相对误差。
数值分析第五版课后习题答案数值分析是一门应用数学的分支学科,主要研究如何利用数值方法解决实际问题。
在学习这门课程的过程中,课后习题是不可或缺的一部分。
本文将对《数值分析第五版》的课后习题进行一些探讨和解答。
第一章是数值分析的导论,主要介绍了误差分析和计算方法的基本概念。
在课后习题中,有一道题目是关于误差传播的。
假设有一个函数f(x, y) = x^2 + y^2,其中x和y的测量误差分别为Δx和Δy,要求计算f(x, y)的误差。
解答:根据误差传播公式,可以得到f(x, y)的误差为Δf = √[(∂f/∂x)^2 *(Δx)^2 + (∂f/∂y)^2 * (Δy)^2]。
对于本题而言,∂f/∂x = 2x,∂f/∂y = 2y。
代入公式,得到Δf = √[(2x)^2 * (Δx)^2 + (2y)^2 * (Δy)^2] = 2√(x^2 * (Δx)^2+ y^2 * (Δy)^2)。
第二章是插值与多项式逼近的内容。
其中一道习题涉及到拉格朗日插值多项式。
给定n+1个数据点(x0, y0), (x1, y1), ..., (xn, yn),要求构造一个n次多项式p(x),使得p(xi) = yi (i = 0, 1, ..., n)。
解答:拉格朗日插值多项式的表达式为p(x) = Σ(yi * Li(x)),其中Li(x) = Π[(x - xj) / (xi - xj)],j ≠ i。
将数据点代入表达式中,即可得到所求的多项式。
第三章是数值微积分的内容,其中一道习题是关于数值积分的。
给定一个函数f(x),要求使用复化梯形公式计算定积分∫[a, b]f(x)dx。
解答:复化梯形公式的表达式为∫[a, b]f(x)dx ≈ h/2 * [f(a) + 2Σf(xi) + f(b)],其中h = (b - a)/n,xi = a + i * h (i = 1, 2, ..., n-1)。
根据给定的函数f(x),代入公式中的各个值,即可得到近似的定积分值。
第五章习题解答1、给出数据点:013419156i i x y =⎧⎨=⎩(1)用012,,x x x 构造二次Lagrange 插值多项式2()L x ,并计算15.x =的近似值215(.)L 。
(2)用123,,x x x 构造二次Newton 插值多项式2()N x ,并计算15.x =的近似值215(.)N 。
(3)用事后误差估计方法估计215(.)L 、215(.)N 的误差。
解:(1)利用012013,,x x x ===,0121915,,y y y ===作Lagrange 插值函数2202130301191501031013303152933()()()()()()()()()()()()()()i i i x x x x x x L x l x y x x =------==⨯+⨯+⨯-------++=∑代入可得2151175(.).L =。
(2)利用123134,,x x x ===,1239156,,y y y ===构造如下差商表:于是可得插值多项式:229314134196()()()()()N x x x x x x =+-+---=-+-代入可得215135(.).N =。
(3)用事后误差估计的方法可得误差为1501511751350656304.(.)(..).R -=-=-◆ 2、设Lagrange 插值基函数是0012()(,,,,)nj i j i jj ix x l x i n x x =≠-==-∏试证明:①对x ∀,有1()ni i l x ==∑②00110001211()()(,,,)()()nki i i n n k l x k n x x x k n =⎧=⎪==⎨⎪-=+⎩∑其中01,,,n x x x 为互异的插值节点。
证明:①由Lagrange 插值多项式的误差表达式101()()()()()!n ni i f R x x x n ξ+==-+∏知,对于函数1()f x =进行插值,其误差为0,亦即0()()ni ii f x l x f==∑精确成立,亦即1()ni i l x ==∑。
习题主要考察点:有效数字的计算、计算方法的比较选择、误差和误差限的计算。
1若误差限为0.5x103那么近似数0. 003400有几位有效数字?(有效数字的计算)2兀= 3.14159…具有4位有效数字的近似值是多少?(有效数字的计算)3已知cul.2031, b = 0.978是经过四舍五入后得到的近似值,问a + b, axb有几位有效数字?(有效数字的计算)4设x>0, x的相对误差为5,求lnx的误差和相对误差?(误差的计算)5测得某圆柱体高度力的值为ir = 20cw ,底面半径厂的值为r* = 5cm ,已知\h-h* |<0.2cm, |r-r* |<0.1c/w,求圆柱体体积v = m^h的绝对误差限与相对误差限。
(误差限的计算)6设x的相对误差为c/%,求y = 的相对误差。
(函数误差的计算)7计算球的体枳,为了使体积的相对误差限为1%,问度量半径厂时允许的相对误差限为多人?(函数误差的计算)18 设l H=e~^x n e x dx,求证:(1)/… = 1 - nl^ (n = 0,1, 2 - • ■)(2)利用(1)中的公式正向递推计算时误差逐步增人;反向递推计算时误差逐步减小。
(计算方法的比较选择)习题主要考察点:拉格朗日插值法的构造,均差的计算,牛顿插值和埃尔米特插值构造,插 值余项的计算和应甩1己知/(—1) = 2,/(1) = 1,/(2) = 1,求/(x)的拉氏插值多项式。
(拉格朗口插值) 2已知y =习=9,用线性插值求J7的近似值。
(拉格朗口线性插值)3若x.(y = O,Uw)为互异节点,且有试证明土屮卫)三扌(k = 0,1,...//)o (拉格朗口插值基函数的性质) 7=04 已sill0.32 = 0.314567, sin 034 = 0333487, sin 036 = 0352274,用抛物线插值计算sin 0.3367的值并估计截断误差。
WORD格式.分享第5章复习与思考题1、用高斯消去法为什么要选主元?哪些方程组可以不选主元?k答:使用高斯消去法时,在消元过程中可能出现a的情况,这时消去法无法进行;即kkk时主元素0和舍入增长a,但相对很小时,用其做除数,会导致其它元素数量级的严重kk计误差的扩散,最后也使得计算不准确。
因此高斯消去法需要选主元,以保证计算的进行和算的准确性。
当主对角元素明显占优(远大于同行或同列的元素)时,可以不用选择主元。
计算时一般选择列主元消去法。
2、高斯消去法与LU分解有什么关系?用它们解线性方程组Ax=b有何不同?A要满足什么条件?答:高斯消去法实质上产生了一个将A分解为两个三角形矩阵相乘的因式分解,其中一个为上三角矩阵U,一个为下三角矩阵L。
用LU分解解线性方程组可以简化计算,减少计算量,提高计算精度。
A需要满足的条件是,顺序主子式(1,2,⋯,n-1)不为零。
3、楚列斯基分解与LU分解相比,有什么优点?楚列斯基分解是LU分解的一种,当限定下三角矩阵L的对角元素为正时,楚列斯基分解具有唯一解。
4、哪种线性方程组可用平方根法求解?为什么说平方根法计算稳定?具有对称正定系数矩阵的线性方程可以使用平方根法求解。
,切对角元素恒为正数,因此,是一个稳定的平方根法在分解过程中元素的数量级不会增长算法。
5、什么样的线性方程组可用追赶法求解并能保证计算稳定?对角占优的三对角方程组6、何谓向量范数?给出三种常用的向量范数。
向量范数定义见p53,符合3个运算法则。
正定性齐次性三角不等式x为向量,则三种常用的向量范数为:(第3章p53,第5章p165)设n||x|||x|1ii11n22||x||(x)2ii1||x||max|x i|1in7、何谓矩阵范数?何谓矩阵的算子范数?给出矩阵A=(a ij)的三种范数||A||1,||A||2,精品.资料WORD格式.分享||A||∞,||A||1与||A||2哪个更容易计算?为什么?向量范数定义见p162,需要满足四个条件。
第5章
)矩阵行列式的值很小。
)矩阵的范数小。
)矩阵的范数大。
(7)奇异矩阵的范数一定是零。
答:错误,
∞
•可以不为0。
(8)如果矩阵对称,则|| A||1 = || A||∞。
答:根据范数的定义,正确。
(9)如果线性方程组是良态的,则高斯消去法可以不选主元。
答:错误,不选主元时,可能除数为0。
(10)在求解非奇异性线性方程组时,即使系数矩阵病态,用列主元消去法产生的误差也很小。
答:错误。
对于病态方程组,选主元对误差的降低没有影响。
(11)|| A ||1 = || A T||∞。
答:根据范数的定义,正确。
(12)若A是n n的非奇异矩阵,则
)
(
cond
)
(
cond1-
=A
A。
答:正确。
A是n n的非奇异矩阵,则A存在逆矩阵。
根据条件数的定义有:
1
111111 cond()
cond()()
A A A
A A A A A A A
-
------
=•
=•=•=•
习题
如有侵权请联系告知删除,感谢你们的配合!。
数值分析习题集(适合课程《数值方法A 》和《数值方法B 》)长沙理工大学第一章 绪 论1. 设x >0,x 的相对误差为δ,求ln x 的误差.2. 设x 的相对误差为2%,求nx 的相对误差.3. 下列各数都是经过四舍五入得到的近似数,即误差限不超过最后一位的半个单位,试指出它们是几位有效数字: *****123451.1021,0.031,385.6,56.430,7 1.0.x x x x x =====⨯4. 利用公式(3.3)求下列各近似值的误差限:********12412324(),(),()/,i x x x ii x x x iii x x ++其中****1234,,,x x x x 均为第3题所给的数.5. 计算球体积要使相对误差限为1%,问度量半径R 时允许的相对误差限是多少?6. 设028,Y =按递推公式1n n Y Y -= ( n=1,2,…)计算到100Y .27.982(五位有效数字),试问计算100Y 将有多大误差?7. 求方程25610x x -+=的两个根,使它至少具有四位有效数字≈27.982).8. 当N 充分大时,怎样求211Ndx x +∞+⎰?9. 正方形的边长大约为100㎝,应怎样测量才能使其面积误差不超过1㎝2?10. 设212S gt =假定g 是准确的,而对t 的测量有±0.1秒的误差,证明当t 增加时S 的绝对误差增加,而相对误差却减小.11. 序列{}n y 满足递推关系1101n n y y -=-(n=1,2,…),若0 1.41y =≈(三位有效数字),计算到10y 时误差有多大?这个计算过程稳定吗?12. 计算61)f =, 1.4≈,利用下列等式计算,哪一个得到的结果最好?3--13. ()ln(f x x =,求f (30)的值.若开平方用六位函数表,问求对数时误差有多大?若改用另一等价公式ln(ln(x x =-计算,求对数时误差有多大?14. 试用消元法解方程组{101012121010;2.x x x x +=+=假定只用三位数计算,问结果是否可靠?15. 已知三角形面积1sin ,2s ab c =其中c 为弧度,02c π<<,且测量a ,b ,c 的误差分别为,,.a b c ∆∆∆证明面积的误差s ∆满足.s a b c s a b c ∆∆∆∆≤++第二章 插值法1. 根据(2.2)定义的范德蒙行列式,令2000011211121()(,,,,)11n n n n n n n n n x x x V x V x x x x x x x xx x ----==证明()n V x 是n 次多项式,它的根是01,,n x x - ,且101101()(,,,)()()n n n n V x V x x x x x x x ---=-- .2. 当x = 1 , -1 , 2 时, f (x)= 0 , -3 , 4 ,求f (x )的二次插值多项式.3.4. 给出cos x ,0°≤x ≤90°的函数表,步长h =1′=(1/60)°,若函数表具有5位有效数字,研究用线性插值求cos x 近似值时的总误差界.5. 设0k x x kh =+,k =0,1,2,3,求032max ()x x x l x ≤≤.6. 设jx 为互异节点(j =0,1,…,n ),求证:i) 0()(0,1,,);nk kj jj x l x x k n =≡=∑ii) 0()()1,2,,).nk jj j xx l x k n =-≡0(=∑7. 设[]2(),f x C a b ∈且()()0f a f b ==,求证21()()().8max max a x ba xb f x b a f x ≤≤≤≤≤-"8. 在44x -≤≤上给出()xf x e =的等距节点函数表,若用二次插值求xe 的近似值,要使截断误差不超过610-,问使用函数表的步长h 应取多少? 9. 若2nn y =,求4n y ∆及4n y δ. 10. 如果()f x 是m 次多项式,记()()()f x f x h f x ∆=+-,证明()f x 的k 阶差分()(0)k f x k m ∆≤≤是m k -次多项式,并且()0(m l f x l +∆=为正整数).11. 证明1()k k k k k k f g f g g f +∆=∆+∆. 12. 证明110010.n n kkn n k k k k f gf g f g g f --+==∆=--∆∑∑13. 证明1200.n j n j y y y -=∆=∆-∆∑14. 若1011()n n n n f x a a x a xa x --=++++ 有n 个不同实根12,,,n x x x ,证明{10,02;, 1.1()n k njk n a k n j jx f x -≤≤-=-=='∑15. 证明n 阶均差有下列性质: i)若()()F x cf x =,则[][]0101,,,,,,n n F x x x cf x x x = ;ii) 若()()()F x f x g x =+,则[][][]010101,,,,,,,,,n n n F x x x f x x x g x x x =+ .16. 74()31f x x x x =+++,求0172,2,,2f ⎡⎤⎣⎦ 及0182,2,,2f ⎡⎤⎣⎦ . 17. 证明两点三次埃尔米特插值余项是(4)22311()()()()/4!,(,)k k k k R x f x x x x x x ++=ξ--ξ∈并由此求出分段三次埃尔米特插值的误差限.18. 求一个次数不高于4次的多项式()P x ,使它满足(0)(1)P P k =-+并由此求出分段三次埃尔米特插值的误差限. 19. 试求出一个最高次数不高于4次的函数多项式()P x ,以便使它能够满足以下边界条件(0)(0)0P P ='=,(1)(1)1P P ='=,(2)1P =.20. 设[](),f x C a b ∈,把[],a b 分为n 等分,试构造一个台阶形的零次分段插值函数()n x ϕ并证明当n →∞时,()n x ϕ在[],a b 上一致收敛到()f x .21. 设2()1/(1)f x x =+,在55x -≤≤上取10n =,按等距节点求分段线性插值函数()h I x ,计算各节点间中点处的()h I x 与()f x 的值,并估计误差.22. 求2()f x x =在[],a b 上的分段线性插值函数()h I x ,并估计误差.23. 求4()f x x =在[],a b 上的分段埃尔米特插值,并估计误差.试求三次样条插值并满足条件i) (0.25) 1.0000,(0.53)0.6868;S S '='= ii)(0.25)(0.53)0.S S "="=25. 若[]2(),f x C a b ∈,()S x 是三次样条函数,证明i)[][][][]222()()()()2()()()bbbbaaaaf x dx S x dx f x S x dx S x f x S x dx"-"="-"+""-"⎰⎰⎰⎰;ii) 若()()(0,1,,)i i f x S x i n == ,式中i x 为插值节点,且01n a x x x b =<<<= ,则[][][]()()()()()()()()()b aS x f x S x dx S b f b S b S a f a S a ""-"="'-'-"'-'⎰.26. 编出计算三次样条函数()S x 系数及其在插值节点中点的值的程序框图(()S x 可用(8.7)式的表达式).第三章 函数逼近与计算1. (a)利用区间变换推出区间为[],a b 的伯恩斯坦多项式.(b)对()sin f x x =在[]0,/2π上求1次和三次伯恩斯坦多项式并画出图形,并与相应的马克劳林级数部分和误差做比较. 2. 求证:(a)当()m f x M ≤≤时,(,)n m B f x M ≤≤. (b)当()f x x =时,(,)n B f x x =. 3. 在次数不超过6的多项式中,求()sin 4f x x =在[]0,2π的最佳一致逼近多项式. 4. 假设()f x 在[],a b 上连续,求()f x 的零次最佳一致逼近多项式. 5. 选取常数a ,使301max x x ax≤≤-达到极小,又问这个解是否唯一?6. 求()sin f x x =在[]0,/2π上的最佳一次逼近多项式,并估计误差.7. 求()xf x e =在[]0,1上的最佳一次逼近多项式.8. 如何选取r ,使2()p x x r =+在[]1,1-上与零偏差最小?r 是否唯一?9. 设43()31f x x x =+-,在[]0,1上求三次最佳逼近多项式.10. 令[]()(21),0,1n n T x T x x =-∈,求***0123(),(),(),()T x T x T x T x .11. 试证{}*()nTx 是在[]0,1上带权ρ=的正交多项式.12. 在[]1,1-上利用插值极小化求11()f x tg x -=的三次近似最佳逼近多项式.13. 设()xf x e =在[]1,1-上的插值极小化近似最佳逼近多项式为()n L x ,若nf L ∞-有界,证明对任何1n ≥,存在常数n α、n β,使11()()()()(11).n n n n n T x f x L x T x x ++α≤-≤β-≤≤14. 设在[]1,1-上234511315165()128243843840x x x x x x ϕ=-----,试将()x ϕ降低到3次多项式并估计误差.15. 在[]1,1-上利用幂级数项数求()sin f x x =的3次逼近多项式,使误差不超过0.005.16. ()f x 是[],a a -上的连续奇(偶)函数,证明不管n 是奇数或偶数,()f x 的最佳逼近多项式*()n n F x H ∈也是奇(偶)函数.17. 求a 、b 使[]220sin ax b x dx π+-⎰为最小.并与1题及6题的一次逼近多项式误差作比较.18. ()f x 、[]1(),g x C a b ∈,定义 ()(,)()();()(,)()()()();b baaa f g f x g x dxb f g f x g x dx f a g a =''=''+⎰⎰问它们是否构成内积?19. 用许瓦兹不等式(4.5)估计6101x dx x +⎰的上界,并用积分中值定理估计同一积分的上下界,并比较其结果.20. 选择a ,使下列积分取得最小值:1122211(),x ax dx x ax dx----⎰⎰.21. 设空间{}{}10010121,,,span x span x x 1ϕ=ϕ=,分别在1ϕ、2ϕ上求出一个元素,使得其为[]20,1x C ∈的最佳平方逼近,并比较其结果.22. ()f x x =在[]1,1-上,求在{}2411,,span x x ϕ=上的最佳平方逼近.23.sin (1)arccos ()n n x u x +=是第二类切比雪夫多项式,证明它有递推关系()()()112n n n u x xu x u x +-=-.24. 将1()sin2f x x=在[]1,1-上按勒让德多项式及切比雪夫多项式展开,求三次最佳平方逼近多项式并画出误差图形,再计算均方误差.25. 把()arccos f x x =在[]1,1-上展成切比雪夫级数.26.2y a bx =+.27.用最小二乘拟合求.29. 编出用正交多项式做最小二乘拟合的程序框图. 30. 编出改进FFT 算法的程序框图. 31. 现给出一张记录{}{}4,3,2,1,0,1,2,3k x =,试用改进FFT 算法求出序列{}k x 的离散频谱{}k C (0,1,,7).k =第四章 数值积分与数值微分1. 确定下列求积公式中的待定参数,使其代数精度尽量高,并指明所构造出的求积公式所具有的代数精度:(1)101()()(0)()hhf x dx A f h A f A f h --≈-++⎰; (2)21012()()(0)()hh f x dx A f h A f A f h --≈-++⎰;(3)[]1121()(1)2()3()/3f x dx f f x f x -≈-++⎰;(4)[][]20()(0)()/1(0)()hf x dx h f f h ah f f h ≈++'-'⎰.2. 分别用梯形公式和辛普森公式计算下列积分:(1)120,84xdx n x =+⎰; (2)1210(1),10x e dx n x --=⎰;(3)1,4n =⎰;(4),6n =.3. 直接验证柯特斯公式(2.4)具有5次代数精度.4. 用辛普森公式求积分10x e dx-⎰并计算误差. 5. 推导下列三种矩形求积公式:(1)2()()()()()2ba f f x dxb a f a b a 'η=-+-⎰; (2)2()()()()()2baf f x dx b a f b b a 'η=---⎰; (3)3()()()()()224baa b f f x dx b a f b a +"η=-+-⎰. 6. 证明梯形公式(2.9)和辛普森公式(2.11)当n →∞时收敛到积分()baf x dx⎰.7. 用复化梯形公式求积分()baf x dx⎰,问要将积分区间[],a b 分成多少等分,才能保证误差不超过ε(设不计舍入误差)?8.1x e dx-,要求误差不超过510-.9. 卫星轨道是一个椭圆,椭圆周长的计算公式是S a =θ,这里a 是椭圆的半长轴,c 是地球中心与轨道中心(椭圆中心)的距离,记h 为近地点距离,H 为远地点距离,6371R =公里为地球半径,则(2)/2,()/2a R H h c H h =++=-.我国第一颗人造卫星近地点距离439h =公里,远地点距离2384H =公里,试求卫星轨道的周长.10. 证明等式3524sin3!5!n n nnππππ=-+-试依据sin(/)(3,6,12)n n n π=的值,用外推算法求π的近似值.11. 用下列方法计算积分31dyy ⎰并比较结果.(1) 龙贝格方法;(2) 三点及五点高斯公式;(3) 将积分区间分为四等分,用复化两点高斯公式.12. 用三点公式和五点公式分别求21()(1)f x x =+在x =1.0,1.1和1.2处的导数值,并估计误()f x第五章 常微分方程数值解法1. 就初值问题0)0(,=+='y b ax y 分别导出尤拉方法和改进的尤拉方法的近似解的表达式,并与准确解bx ax y +=221相比较。
第一章绪论习题一1.设x>0,x*的相对误差为δ,求f(x)=ln x的误差限。
解:求lnx的误差极限就是求f(x)=lnx的误差限,由公式(1.2.4)有已知x*的相对误差满足,而,故即2.下列各数都是经过四舍五入得到的近似值,试指出它们有几位有效数字,并给出其误差限与相对误差限。
解:直接根据定义和式(1.2.2)(1.2.3)则得有5位有效数字,其误差限,相对误差限有2位有效数字,有5位有效数字,3.下列公式如何才比较准确?(1)(2)解:要使计算较准确,主要是避免两相近数相减,故应变换所给公式。
(1)(2)4.近似数x*=0.0310,是 3 位有数数字。
5.计算取,利用:式计算误差最小。
四个选项:第二、三章插值与函数逼近习题二、三1. 给定的数值表用线性插值与二次插值计算ln0.54的近似值并估计误差限. 解:仍可使用n=1及n=2的Lagrange插值或Newton插值,并应用误差估计(5.8)。
线性插值时,用0.5及0.6两点,用Newton插值误差限,因,故二次插值时,用0.5,0.6,0.7三点,作二次Newton插值误差限,故2. 在-4≤x≤4上给出的等距节点函数表,若用二次插值法求的近似值,要使误差不超过,函数表的步长h 应取多少?解:用误差估计式(5.8),令因得3. 若,求和.解:由均差与导数关系于是4. 若互异,求的值,这里p≤n+1.解:,由均差对称性可知当有而当P=n+1时于是得5. 求证.解:解:只要按差分定义直接展开得6. 已知的函数表求出三次Newton均差插值多项式,计算f(0.23)的近似值并用均差的余项表达式估计误差.解:根据给定函数表构造均差表由式(5.14)当n=3时得Newton均差插值多项式N3(x)=1.0067x+0.08367x(x-0.2)+0.17400x(x-0.2)(x-0.3) 由此可得f(0.23) N3(0.23)=0.23203由余项表达式(5.15)可得由于7. 给定f(x)=cosx的函数表用Newton等距插值公式计算cos 0.048及cos 0.566的近似值并估计误差解:先构造差分表计算,用n=4得Newton前插公式误差估计由公式(5.17)得其中计算时用Newton后插公式(5.18)误差估计由公式(5.19)得这里仍为0.5658.求一个次数不高于四次的多项式p(x),使它满足解:这种题目可以有很多方法去做,但应以简单为宜。
32 第五章 习题解答与问题一、习题解答1.求经过A (0,1),B (1,2),C (2,3)三个样点的插值多项式解:令x 0 = 0,x 1 = 1,x 2 = 2,则有f (x 0)=1,f (x 1)=2,f (x 2)=3,由Lagrange 二次插值公式)())(())(()())(())(()())(())(()(2120210121012002010212x f x x x x x x x x x f x x x x x x x x x f x x x x x x x x x L ----+----+----=3)12)(02()1)(0(2)21)(01()2)(0(1)20)(10()2)(1(⨯----+⨯----+⨯----=x x x x x x = x+12.已知函数)(x f y =的数据如下表试作一个三次插值多项式P 3(x ),利用P 3(x )计算3解:令x k = kk根据Newton )]}()[({))(()()(2342121213412213-+-++=--+-++=x x xx x x x x x x P由于被插值函数xx f 3=)(,故取 x = 1/2,便得222134212122112133=-+-++=≈)]}()[({)/(P3.已知函数y = f (x )解:由于x=0是二重零点,令3。
又由3,H 3(1)=1得方程组33⎩⎨⎧=+-=-11b a a b 解之:a =1,b = 0 所以,H 3(x ) = x 3。
4.设被插值函数f (x )在区间[x 0,x 1]上具有2阶连续导数,求证:两点线性插值函数L (x )的误差界满足不等式8)(|)(|max |)(|20110x x x f x R x x x -''≤≤≤证:由拉格朗日插值误差定理,得))((!2)()()()(10x x x x f x L x f x R --''=-=ξ 令h (x ) = (x – x 0)(x – x 1),求导数并令其为零,可得极值点x *=0.5×(x 0 + x 1)。
第四版数值分析习题答案第一章 绪论习题参考答案1. ε(lnx )≈***()()r x x xεεδ==。
2.1******()()()()0.02n nnr nn n x x x n x x n xxxεεεε-=≈==。
3. *1x 有5位有效数字,*2x 有2位有效数字,*3x 有4位有效数字,*4x 有5位有效数字,*5x 有2位有效数字。
4.******4333124124()()()()0.5100.5100.510 1.0510x x x x x x εεεε----++≈++=⨯+⨯+⨯=⨯************123231132123()()()()0.214790825x x x x x x x x x x x x εεεε≈++=****62224***24441()()()8.85566810x x x x x x x εεε-≈-=⨯。
5.1()1()()()0.00333333r r r V R V V V εεεε=≈===。
6.33100111()100101010022Y ε--=⨯⨯⨯=⨯。
7.12855.982x =≈,21280.0178655.982x ==≈≈。
8. 21arc 12N dx tgN x π+∞=-+⎰9.121()()0.0052x S S εεε-=≈=。
10. ()()0.1S g t t g t εε≈=,2()2()0.2()12r g t t t S t t gt εεε≈==,故t 增加时S 的绝对误差增加,相对误差减小。
11. 1081001()10()102y y εε==⨯,计算过程不稳定。
12.61)0.005051f =≈,1.4=,则611)0.004096f ==,20.005233f ==,33(30.008f =-=,40.005125f ==,5991f =-=,4f 的结果最好。
13.(30) 4.094622f =-,开平方时用六位函数表计算所得的误差为41102ε-=⨯,分别代入等价公式)1x x (ln )x (f ),1x x (ln )x (f 2221++-=--=中计算可得411()ln(1(60103102f x εε--=+≈=+=⨯⨯=⨯,47211()ln(1108.3310602f ε--=+≈=⨯⨯=⨯。
重点考察内容第一章:基本概念第二章:Gauss消去法,Lu分解法第三章:题型:具体题+证明,误差分析三个主要迭代法,条件误差估计,范数的小证明第四章:掌握三种插值方法:拉格朗日,牛顿,厄尔米特,误差简单证明,构造复合函数第五章:最小二乘法计算第六章:梯形公式,辛普森(抛物线)公式,高斯公式三个重要公式,误差分析高斯求积公式的构造第七章:几种常用的迭代格式构造,收敛性证明第九章:基本概念(收敛阶,收敛条件,收敛区域等)简单欧拉法第一章误差1. 科学计算中的误差来源有4个,分别是 _________ , ________ , ________ , ________ 。
2. 用Taylor 展开近似计算函数f (x ) :、f (x 0) f'(x 0)(x-x 0),这里产生是什么误差?3. 0.7499作3的近似值,是位有效数字,65.380是舍入得到的近似值,有 几4位有效数字,相对误差限为 _______ . 0.0032581是四舍五入得到的近似值,有 ________ 位有效数字.4. 改变下列表达式,使计算结果比较精确:(1) —|x|=1( 2) +J 1-丄,|x|=11 +2x 1 +x Y x Y x1「cosx(3), x=0,|x| 1. (4) sin : -sin :, 一—■x5. 采用下列各式计算(、、2-1)6时,哪个计算效果最好?并说明理由。
1 1(1) 6 ( 2) 99-70,2( 3) (3-2、月)6( 4) 3(V2+1)6(3 + 2问36. 已知近似数x *有4位有效数字,求其相对误差限。
上机实验题:kx匸 Xx1、 利用Taylor 展开公式计算 e,编一段小程序,上机用单精度计算 e 的函数k£k !值.分别取x =1, 5, 10, 20, -1,-5,-10,-15,-20,观察所得结果是否合理,如不合 理请分析原因并给出解决方法.1 n2、 已知定积分I n— dx,n =0,1,2,…,20,有如下的递推关系 ‘° x +6可建立两种等价的计算公式11(1) I n 61 nd ,取 I 。
数值分析第五章答案【篇一:数值分析第五版计算实习题】第二章2-1程序:clear;clc;x1=[0.2 0.4 0.6 0.8 1.0];y1=[0.98 0.92 0.81 0.64 0.38];n=length(y1);c=y1(:);or j=2:n %求差商for i=n:-1:jc(i)=(c(i)-c(i-1))/(x1(i)-x1(i-j+1));endendsyms x df d;df(1)=1;d(1)=y1(1);for i=2:n %求牛顿差值多项式df(i)=df(i-1)*(x-x1(i-1));d(i)=c(i)*df(i);enddisp(4次牛顿插值多项式);p4=vpa(collect((sum(d))),5) %p4即为4次牛顿插值多项式,并保留小数点后5位数 pp=csape(x1,y1, variational);%调用三次样条函数 q=pp.coefs;disp(三次样条函数);for i=1:4s=q(i,:)*[(x-x1(i))^3;(x-x1(i))^2;(x-x1(i));1];s=vpa(collect(s),5)endx2=0.2:0.08:1.08;dot=[1 2 11 12];figureezplot(p4,[0.2,1.08]);hold ony2=fnval(pp,x2);x=x2(dot);y3=eval(p4);y4=fnval(pp,x2(dot));plot(x2,y2,r,x2(dot),y3,b*,x2(dot),y4,co);title(4次牛顿插值及三次样条);结果如下:4次牛顿插值多项式p4 = - 0.52083*x^4 + 0.83333*x^3 - 1.1042*x^2 + 0.19167*x + 0.98 三次样条函数x∈[0.2,0.4]时, s = - 1.3393*x^3 + 0.80357*x^2 - 0.40714*x + 1.04 x∈[0.4,0.6]时,s = 0.44643*x^3 - 1.3393*x^2 + 0.45*x +0.92571 x∈[0.6,0.8]时,s = - 1.6964*x^3 + 2.5179*x^2 - 1.8643*x + 1.3886 x∈[0.8,1.0]时,s =2.5893*x^3 - 7.7679*x^2 + 6.3643*x - 0.80571 输出图如下2-3(1)程序:clear;clc;x1=[0 1 4 9 16 25 36 49 64];y1=[0 1 2 3 4 5 6 7 8];%插值点n=length(y1);a=ones(n,2);a(:,2)=-x1;c=1;for i=1:nc=conv(c,a(i,:));endq=zeros(n,n);r=zeros(n,n+1);for i=1:n[q(i,:),r(i,:)]=deconv(c,a(i,:));%wn+1/(x-xk)enddw=zeros(1,n);for i=1:ndw(i)=y1(i)/polyval(q(i,:),x1(i));%系数endp=dw*q;syms x l8;for i=1:nl8(i)=p(n-i+1)*x^(i-1);enddisp(8次拉格朗日插值);l8=vpa(collect((sum(l8))),5)xi=0:64;yi=polyval(p,xi);figureplot(xi,yi,x1,y1,r*);hold ontitle(8次拉格朗日插值);结果如下:8次拉格朗日插值l8 =- 3.2806e-10*x^8 + 6.7127e-8*x^7 - 5.4292e-6*x^6 +0.00022297*x^5 - 0.0049807*x^4 + 0.060429*x^3 - 0.38141*x^2 +1.3257*x输出图如下:第五章4-1(3)程序:clc;clear;y= @(x) sqrt(x).*log(x);a=0;b=1;tol=1e-4;p=quad(y,a,b,tol);fprintf(采用自适应辛普森积分结果为: %d \n, p);结果如下:采用自适应辛普森积分结果为: -4.439756e-01第九章9-1(a)程序:clc;clear;a=1;b=2;%定义域h=0.05;%步长n=(b-a)/h;y0=1;%初值f= @(x,y) 1/x^2-y/x;%微分函数xn=linspace(a,b,n+1);%将定义域分为n等份 yn=zeros(1,n);%结果矩阵yn(1)=y0;%赋初值%以下根据改进欧拉公式求解for i=1:nxn=xn(i);xnn=xn(i+1);yn=yn(i);yp=yn+h*f(xn,yn);yc=yn+h*f(xnn,yp);yn=(yp+yc)/2;yn(i+1)=yn;endxn=yn;%以下根据经典四阶r-k法公式求解for i=1:nxn=xn(i);yn=yn(i);k1=f(xn,yn);k2=f(xn+h/2,yn+h/2*k1);k3=f(xn+h/2,yn+h/2*k2);k4=f(xn+h,yn+h*k3);yn=yn+h/6*(k1+2*k2+2*k3+k4);yn(i+1)=yn;enddisp(改进欧拉法四阶经典r-k法); disp([xn yn])结果如下:改进欧拉法四阶经典r-k法 110.998870.998850.99577 0.99780.991140.996940.985320.996340.978570.996030.971110.996060.963110.996450.95470.997230.945980.998410.9370510.92798 1.0020.91883 1.00440.90964 1.00730.90045 1.01060.89129 1.01430.88218 1.01840.87315 1.02290.86421 1.02780.85538 1.03310.84665 1.0388(b)程序:clc;clear;a=0;b=1;%定义域h=[0.1 0.025 0.01];%步长y0=1/3;%初值f= @(x,y) -50*y+50*x^2+2*x;%微分函数 xi=linspace(a,b,11);y=1/3*exp(-50*xi)+xi.^2;%准确解 ym=zeros(1,11);for j=1:3【篇二:数值分析(第五版)计算实习题第五章作业】题:lu分解法:建立m文件function h1=zhijielu(a,b)%h1各阶主子式的行列式值[n n]=size(a);ra=rank(a);if ra~=ndisp(请注意:因为a的n阶行列式h1等于零,所以a不能进行lu 分解。
第五章 习 题
1. 用高斯消去法解方程组
123234011921261x x x ⎡⎤⎡⎤⎡⎤⎢⎥⎢⎥⎢⎥=⎢⎥⎢⎥⎢⎥⎢⎥⎢⎥⎢⎥−⎣⎦⎣⎦⎣⎦
2. 用LU 分解,将第1题中的系数矩阵分解为L 和U 的乘积,L 是对角线元素为1的下三角矩阵,U 是上三角矩阵.
3. 用平方根法和T
LDL 分解为求解方程组 123121332522334x x x x x x x ++=⎧⎪+=⎨⎪+=⎩
4. 证明
(1)两个下三角矩阵的乘积仍为下三角矩阵.
(2)下三角矩阵之逆仍为下三角矩阵.
5. 用列主元素消去法解方程组
1231231
233472212320x x x x x x x x x −+=⎧⎪−+−=−⎨⎪−−=⎩ 取4位数字计算.
6. 对四阶Hilbert 矩阵为系数的方程组
12341234
1234
12341111
234111102345111103456111104
567x x x x x x x x x x x x x x x x ⎧+++=⎪⎪⎪+++=⎪⎨⎪+++=⎪⎪⎪+++=⎩ 试求其系数方程组A 的条件数()cond A ∞并分析方程组的性态。
7. 如果A 是一个对称正定矩阵,且带宽为21m +,证明在A 的三角分解T A LL =中出现的矩阵L 也是带状矩阵.
8. 设有三对角方程组
11121
2122232
b x
c x
d a x b x c x d +=+++=
(121111)
1n n n n n n n n n n n n a x b x c x d a x b x d −−−−−−−++=+=
其系数矩阵有严格对角优势. 试写出用LU 分解求其解的计算公式.
9. 画出2R 中满足下列不等式的集合. (1)11x ≤ (2)21x
≤ (3)1x ∞≤
10. 求证1I ≥,11A
A −≥. 11. 试证明2
21A
A A ∞≤
12. 对矩阵 2100121001210012A −⎡⎤⎢⎥−⎢⎥=⎢⎥−⎢⎥−⎣⎦
求A ∞,2A ,1A 和2()Cond A .
13. 比较下面两个方程组的解.
123123123111
2311102341110345x x x x x x x x x ⎧++=⎪⎪⎪++=⎨⎪⎪++=⎪⎩
,1231231231.000.500.3310.500.330.2500.330.250.200x x x x x x x x x ++=⎧⎪++=⎨⎪++=⎩
15. 用LU 分解法求解线性方程组Ax=b,其中
0 19 9 -27118 45 0 -45
2,9 0 126 91627 -45 9 1358A b ⎡⎤⎡⎤
⎢⎥⎢
⎥⎢⎥⎢⎥==⎢⎥
⎢
⎥
⎢⎥⎢⎥−⎣⎦⎣⎦
16. 求解线性方程组
4
4
121210102
x x x x ⎧+=⎨+=⎩。