宋代年表
- 格式:doc
- 大小:89.50 KB
- 文档页数:3
宋代-大事年表时期政治经济思想文化中外交流宋中央:一参(参知政事)二府(中书门下、枢密院)三司使,分割相权地方:通判禁军转运使,收地方政军财权重文轻武,三冗问题,形成积贫积弱局面官僚(士大夫)政治基本形成;保甲法(乡约)经济重心南移完成,占城稻引进,出现高转筒车;制瓷业出现五大名窑;纸币交子出现,坊市制被打破,促进城市繁荣与草市普及宋代儒学家融合佛道思想解释儒家义理,形成程朱理学(存天理灭人欲),至南宋成为官方正统思想古代科技高峰时期·四大发明广泛使用并向外传播;宋词海上丝绸之路繁盛二府三司制1.史学界常称宋朝的中央机构是“二府三司制”。
“二府”是A.三省长官和枢密院B.中书门下和枢密院C.三司使和枢密使D.同平章事和枢密使【答案】B【解析】【详解】根据所学可知,宋朝的“二府”指的是“中书门下”和“枢密院”;“三司”指的是“盐铁”“度支”和“户部”;宋朝“二府三司制”的实行,削弱了相权,加强了君权,故选B;三省长官是隋唐三省六部制中官职,不是宋朝的中央机构名称,故排除A;“三司使”对应的是“三司”,而不是“二府”,故排除C;同平章事是“二府”的长官名称,不是中央机构名称,故排除D。
2.范缜奏章:“宰相制国用,从古然也。
今中书主民,枢密院主兵,三司主财,各不相知。
故财已匮,而枢密院益兵不已。
民已困,而三司取财不已。
中书视民之困,而不知使枢密减兵……”。
由此可见A.三权分立不利于维护统治B.废除二府三司制势在必行C.二府三司制不如三省六部制优越D.中央过度分权容易出现弊端【答案】D【解析】【分析】【详解】范缜指出(宋代)中书省、枢密院和三司彼此分立,各司其职,国家的民政、财政和军政三个部门之间互不了解,办事效率低,积累的问题日益严重,反映出中央过度分权容易出现弊端,D项正确;材料评价的是北宋初年强化君主专制的措施,不是“三权分立”,A项错误;废除二府三司制势在必行与“宰相制国用,从古然也”不符,B项错误;材料没有对比三省六部制与二府三司制,没有说明哪个更具优越性,C项错误。
北宋纪年、金纪年、西夏纪年、南宋纪年北宋纪年北宋和南宋虽在地理、国民上有所差异,但从帝王世系和政治制度角度来说,应该看作是宋朝的不同时期。
由于金国在北宋末年建立,在南宋后期灭亡,我排列朝代顺序时会把金国排在南北两宋之间,没有像多数纪年表那样排在南宋以后。
而早于北宋建立的辽国,我已经排在了五代和北宋之间。
五代十国中灭亡最晚的是北汉,公元979年被北宋灭亡。
本表中只收录了辽国皇帝登基时的年号,其他年份的年号到上面的辽国纪年中去查。
北宋(公元960-1127年)宋太祖赵匡胤960 庚申建隆元年(辽穆宗耶律璟应历十年)(后周恭帝柴宗训显德七年)后周恭帝柴宗训禅位于赵匡胤,北宋纪年开始。
五代纪年结束,但十国中尚有荆南、后蜀、南汉、南唐、北汉存在,这5国后来也被北宋所灭。
宋朝夺回幽云地区的北伐未能成功,北方的辽朝(契丹)直到北宋末年才被新兴的金国所灭。
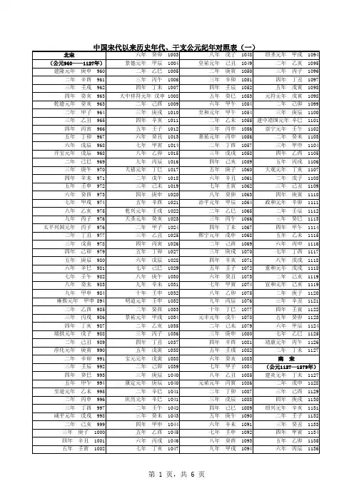
961 辛酉建隆二年962 壬戌建隆三年963 癸亥建隆四年乾德元年(北宋灭荆南)964 甲子乾德二年965 乾德三年(北宋灭后蜀)967 丁卯乾德五年968 戊辰乾德六年开宝元年969 己巳开宝二年(辽穆宗耶律璟应历十九年)(辽景宗耶律贤保宁元年)970 庚午开宝三年971 开宝四年(北宋灭南汉)975 乙亥开宝八年(北宋灭南唐)976 丙子开宝九年(宋太宗赵炅改为太平兴国元年)宋太宗赵炅976 丙子太平兴国元年(开宝九年)977 丁丑太平兴国二年978 戊寅太平兴国三年北宋灭吴越979 己卯太平兴国四年(北宋灭北汉)五代十国全面结束。
983 癸未太平兴国八年(辽景宗耶律贤乾亨五年)(辽圣宗耶律隆绪统和元年)984 甲申太平兴国九年雍熙元年985 乙酉雍熙二年986 丙戌雍熙三年987 丁亥雍熙四年988 戊子端拱元年989 己丑端拱二年990 庚寅淳化元年991 辛卯淳化二年992 壬辰淳化三年993 癸巳淳化四年994 甲午淳化五年995 乙未至道元年996 丙申至道二年997 丁酉至道三年宋真宗赵恒998 戊戌咸平元年999 己亥咸平二年1000 庚子咸平三年1001 辛丑咸平四年1002 壬寅咸平五年1003 癸卯咸平六年1004 甲辰景德元年1005 乙巳景德二年1006 丙午景德三年1007 丁未景德四年1008 戊申大中祥符元年1009 己酉大中祥符二年1015 乙卯大中祥符八年1016 丙辰大中祥符九年1017 丁巳天禧元年1018 戊午天禧二年1019 己未天禧三年1020 庚申天禧四年1021 辛酉天禧五年1022 壬戌乾兴元年宋仁宗赵祯1023 癸亥天圣元年1024 甲子天圣二年1031 辛未天圣九年(辽圣宗耶律隆绪太平十一年)(辽兴宗耶律宗真景福元年)1032 壬申天圣十年明道元年1033 癸酉明道二年1034 甲戌景祐元年1035 乙亥景祐二年1036 丙子景祐三年1037 丁丑景祐四年1038 戊寅景祐五年宝元元年1039 己卯宝元二年1040 庚辰宝元三年康定元年1041 辛巳康定二年庆历元年1042 壬午庆历二年1043 癸未庆历三年1048 戊子庆历八年1049 己丑皇祐元年1050 庚寅皇祐二年1051 辛卯皇祐三年1052 壬辰皇祐四年1053 癸巳皇祐五年1054 甲午皇祐六年至和元年1055 乙未至和二年(辽兴宗耶律宗真重熙二十四年)(辽道宗耶律洪基清宁元年)1056 丙申至和三年嘉祐元年1057 丁酉嘉祐二年1058 戊戌嘉祐三年1062 壬寅嘉祐七年1063 癸卯嘉祐八年宋英宗赵曙1064 甲辰治平元年1065 乙巳治平二年1066 丙午治平三年1067 丁未治平四年宋神宗赵顼1068 戊申熙宁元年1077 丁巳熙宁十年1078 戊午元丰元年1079 己未元丰二年1084 甲子元丰七年1085 乙丑元丰八年宋哲宗赵煦1086 丙寅元祐元年1087 丁卯元祐二年1093 癸酉元祐八年1094 甲戌元祐九年绍圣元年1095 乙亥绍圣二年1096 丙子绍圣三年1097 丁丑绍圣四年1098 戊寅绍圣五年元符元年1099 己卯元符二年1100 庚辰元符三年宋徽宗赵佶1101 辛巳建中靖国元年(辽道宗耶律洪基寿昌七年)(辽天祚帝耶律延禧乾统元年)1102 壬午崇宁元年1103 癸未崇宁二年1104 甲申崇宁三年1105 乙酉崇宁四年1106 丙戌崇宁五年1107 丁亥大观元年1108 戊子大观二年1109 己丑大观三年1110 庚寅大观四年1111 辛卯政和元年1112 壬辰政和二年1113 癸巳政和三年1114 甲午政和四年1115 乙未政和五年(金太祖完颜旻收国元年)完颜旻即完颜阿骨打,建立金国。
太祖建隆元年960 端拱元年988 九年1016 二年961 二年989 天禧元年1017 三年962 淳化元年990 二年1018 乾德元年963 二年991 三年1019 二年964 三年992 四年1020 三年965 四年993 五年1021 四年966 五年994 乾兴元年1022 五年967 至道元年995 仁宗天圣元年1023 开宝元年968 二年996 二年1024 二年969 三年997 三年1025 三年970 真宗咸平元年998 四年1026 四年971 二年999 五年1027 五年972 三年1000 六年1028 六年973 四年1001 七年1029 七年974 五年1002 八年1030 八年975 六年1003 九年1031 太平兴国元年976 景德元年1004 明道元年1032 二年977 二年1005 二年1033 三年978 三年1006 景祐元年1034 四年979 四年1007 二年1035 五年980 大中详符元年1008 三年1036 六年981 二年1009 四年1037七年982 三年1010 宝元元年1038 八年983 四年1011 二年1039 雍熙元年984 五年1012 康定元年1040 二年985 六年1013 庆历元年1041 三年986 七年1014 二年1042 四年987 八年1015 三年1043四年1044 五年1072 三年1100 五年1045 六年1073 建中靖国元年1101 六年1046 七年1074 崇宁元年1102 七年1047 八年1075 二年1103 八年1048 九年1076 三年1104 皇祐元年1049 十年1077 四年1105 二年1050 元丰元年1078 五年1106 三年1051 二年1079 大观元年1107 四年1052 三年1080 二年1108 五年1053 四年1081 三年1109 至和元年1054 五年1082 四年1110 二年1055 六年1083 政和元年1111 嘉祐元年1056 七年1084 二年1112 二年1057 八年1085 三年1113 三年1058 哲宗元祐元年1086 四年1114四年1059 二年1087 五年1115 五年1060 三年1088 六年1116 六年1061 四年1089 七年1117 七年1062 五年1090 重和元年1118 八年1063 六年1091 宣和元年1119 英宗治平元年1064 七年1092 二年1120 二年1065 八年1093 三年1121 三年1066 绍圣元年1094 四年1122 四年1067 二年1095 五年1123 神宗熙宁元年1068 三年1096 六年1124 二年1069 四年1097 七年1125 三年1070 元符元年1098 钦宗靖康元年1126 四年1071 二年1099高宗建炎元年1127 二十五年1155 十年1183 二年1128 二十六年1156 十一年1184 三年1129 二十七年1157 十二年1185 四年1130 二十八年1158 十三年1186 绍兴元年1131 二十九年1159 十四年1187 二年1132 三十年1160 十五年1188 三年1133 三十一年1161 十六年1189 四年1134 三十二年1162 光宗绍熙元年1190五年1135 孝宗隆兴元年1163 二年1191 六年1136 二年1164 三年1192 七年1137 乾道元年1165 四年1193 八年1138 二年1166 五年1194 九年1139 三年1167 宁宗庆元元年1195 十年1140 四年1168 二年1196 十一年1141 五年1169 三年1197 十二年1142 六年1170 四年1198 十三年1143 七年1171 五年1199 十四年1144 八年1172 六年1200 十五年1145 九年1173 嘉泰元年1201 十六年1146 淳熙元年1174 二年1202 十七年1147 二年1175 三年1203 十八年1148 三年1176 四年1204 十九年1149 四年1177 开禧元年1205 二十年1150 五年1178 二年1206 二十一年1151 六年1179 三年1207 二十二年1152 七年1180 嘉定元年1208 二十三年1153 八年1181 二年1209 二十四年1154 九年1182 三年1210四年1211 三年1239 三年1267五年1212 四年1240 四年1268 六年1213 淳祐元年1241 五年1269 七年1214 二年1242 六年1270 八年1215 三年1243 七年1271 九年1216 四年1244 八年1272 十年1217 五年1245 九年1273 十一年1218 六年1246 十年1274 十二年1219 七年1247 恭帝德祐元年1275 十三年1220 八年1248 端宗景炎元年1276 十四年1221 九年1249 二年1277 十五年1222 十年1250 帝昺祥兴元年1278 十六年1223 十一年1251 二年1279 十七年1224 十二年1252理宗宝庆元年1225 宝祐元年1253二年1226 二年1254三年1227 三年1255绍定元年1228 四年1256二年1229 五年1257三年1230 六年1258四年1231 开庆元年1259五年1232 景定元年1260六年1233 二年1261端平元年1234 三年1262 二年1235 四年1263 三年1236 五年1264 嘉熙元年1237 度宗咸淳元年1265 二年1238 二年1266。
宋代文人及文学家时间表宋太祖朝(960年-976年)- 宋太祖赵匡胤(927年-976年):文豪,曾用名赵光义,以《洛阳行》著称。
宋太宗朝(976年-997年)- 宋太宗赵炅(939年-997年):文学家,主张文风雅正,以《春日忆李白》著名。
- 苏洵(1009年-1046年):文学家,与苏轼、苏辙并称“苏门三贤”,代表作品有《东坡乐府》。
宋仁宗朝(997年-1032年)- 苏轼(1037年-1101年):文学家,与苏洵、苏辙并称“苏门三贤”,代表作品有《东坡肆意谈》。
宋英宗朝(1032年-1055年)- 王安石(1021年-1086年):政治家、文学家,主张变法,代表作品有《岳阳楼记》。
宋神宗朝(1067年-1085年)- 陆游(1125年-1210年):诗人,以豪放派的作品著称,代表作品有《秋夜将晓出篱门迎凉有感二首·其二》。
宋高宗朝(1127年-1162年)- 辛弃疾(1140年-1207年):诗人、文学家,以豪放痛快的作品著称,代表作品有《水调歌头·明月几时有》。
宋孝宗朝(1162年-1189年)- 陆游(1125年-1210年):诗人,代表作品有《钗头凤·世情薄》。
宋光宗朝(1189年-1194年)- 郑思肖(1111年-1180年):文学家,以词章写作闻名,代表作《清平乐·杨柳青青江水平》。
宋宁宗朝(1194年-1224年)- 杨万里(1127年-1206年):文学家,主张自然诗,代表作品有《春晓》。
宋理宗朝(1224年-1264年)- 周邦彦(1174年-1227年):音乐家、文学家,创作了许多名曲,代表作品有《秋声赋得凤凰台上忆吹箫》。
宋宣宗朝(1264年-1274年)- 秦桧(1071年-1155年):政治家、文学家,主要创作诗词,代表作品有《咏史十一首·其三》。
宋理宗朝(1274年-1276年)- 陆游(1125年-1210年):诗人,代表作品有《秋夜将晓出篱门迎凉有感二首·其二》。
中国历史纪年表(最详细版)公元前2100年-公元前1600年商代公元前1046年-公元前256年周代公元前770年-公元221年春秋战国时期公元前221年-公元220年秦朝公元前206年-公元220年西汉公元220年-公元280年三国公元265年-公元589年隋朝公元618年-907年唐代公元960年-1279年宋代公元1368年-1644年明朝公元1644年-1911年清朝1911年-1949年中华民国和国共内战1949年-现在中华人民共和国公元前2100年至公元前1600年,是中国的商代时期。
商代是中国历史上最早的一个朝代之一,是中原地区最早的国家之一。
商朝的文明得以保留和发扬,同时也是中国青铜文化的黄金时代。
公元前1046年至公元前256年,是中国的周代时期。
春秋时期和战国时期是周代的发展时期。
在这个时期,诸侯推崇儒家、道家、墨家等学派,形成了中国思想文化的基础。
公元前770年至公元221年,是中国春秋战国时期。
这个时期中国处于分裂的局面,不同的国家之间互相征服和战争。
这个时期是中国哲学、文化和艺术的黄金时期。
公元前221年至公元220年,是中国的秦朝时期。
秦朝是中国历史上第一个大一统政权,不仅完成了统一中国的大业,也开始了中国历史上为数不多的变法。
公元前206年至公元220年,是中国的西汉时期。
西汉时期是中国历史上一个非常辉煌的朝代,同时也是中国历史上第一个中央集权、中国文化的辉煌时期。
公元220年至公元280年,是中国的三国时期。
这个时期是中国的一段非常动荡的时期,因为中国被三个不同的政权所统治,互相征服和战争。
公元265年至公元589年,是中国的隋朝时期。
这个时期推行了一些非常重要的政策,比如全国统一货币、单位标准化、改良水利等。
公元618年-907年,是中国的唐朝时期。
这个时期被认为是文化和科学的黄金时期,唐朝是中国历史上最强大的朝代之一。
公元960年-1279年,是中国的宋朝时期。
宋元文学史年表宋太祖建隆元年庚申(960)赵匡胤发动“陈桥兵变”,建立宋朝,是为宋太祖。
魏野生(-1019)。
宋太祖建隆二年辛酉(961)宋太祖罢石守信等兵权。
寇准生(-1023)。
宋太祖乾德五年丁卯(967)林逋生(-1028)。
宋太祖开宝四年辛未(971)宋灭南汉。
刘筠生(-1031)。
宋太祖开宝六年癸酉(973)宋太祖亲试举人,从此殿试为常式。
柳开进士及第。
宋太祖开宝七年甲戌(974)宋攻江南。
薛居正修《五代史》成。
杨亿生(-1020)。
宋太祖开宝八年乙亥(975)宋灭南唐。
李煜降。
宋太宗太平兴国元年丙子(976)十月宋太祖卒。
弟光义即位,是为太宗。
改元太平兴国。
宋太宗太平兴国二年丁丑(977)宋太宗增加进士名额,达五百人。
命李昉、徐铉等编《太平御览》、《太平广记》。
钱惟演生(~1034)。
宋太宗太平兴国四年已卯(979)宋灭北汉穆修生(~1032)宋太宗太平兴国五年庚辰(980)宋辽交战。
寇准进士及第。
宋太宗太平兴国七年壬午(982)李昉、徐铉奉敕编《文苑英华》宋太宗太平兴国八年癸未(983)《太平御览》编成,凡一千卷。
王禹偁进士及第。
宋太宗雍熙三年丙戌(986)《文苑英华》编成,凡一千卷。
宋太宗雍熙四年丁亥(987)柳永(-1053)生?宋太宗端拱二年已丑(989)范仲淹生(-1052)。
宋太宗淳化元年庚寅(990)张先生(-1078)。
宋太宗淳化二年辛卯(991)徐铉卒(916-)。
晏殊生(-1055)。
宋太宗淳化三年壬辰(992)复试进士始用糊名考校之法。
杨亿赐进士及第。
宋太宗淳化五年甲午(994)寇准为参知政事。
石延年生(~1041)。
宋太宗至道二年丙申(996)宋庠生(~1066)。
宋太宗至道三年丁酉(997)宋太宗卒。
太子恒即位,是为真宗。
宋真宗咸平元年戊戌(998)刘筠进士及第。
宋祁生(~1061)。
宋真宗咸平二年已亥(999)王禹偁在黄州,作《黄州新建小竹楼记》。
宋真宗咸平三年庚子(1000)柳开卒(947~)。
宋代年表宋(公元960――1279年)公元960年(宋太祖建隆元年)•正月,陈桥兵变,拥立殿前都点检赵匡胤,是为宋太祖,国号宋(960~1279),废恭帝,后周亡。
•高丽定百官公服。
公元961年(宋太祖建隆二年)•赵匡胤“杯酒释兵权”。
•罢宿将典中央禁兵•宋修《唐会要》、《周世宗实录》成。
•南唐中主李璟卒,子后主李煜继立•阿拉伯人退出克里特岛。
公元962年(宋太祖建隆三年)•宋禁举人呼知举官为恩师、师门及自称门生。
•日耳曼王鄂图强迫教皇约翰十二世为之加冕为皇帝,神圣罗马帝国形成,意大利被合并于日耳曼。
公元963年(宋太祖建隆四年,乾德元年)•宋出兵攻周保权,假道江陵,高继冲纳地归降,南平亡。
周保权降宋,湖南全境平•宋命文臣知州事、京官知县事。
•高丽行宋年号。
公元964年(宋太祖乾德二年)•宋置参知政事以副宰相。
•基辅大公斯维雅托斯拉夫新政。
为具有斯拉夫化名字的第一人。
公元965年(宋太祖乾德三年)•宋兵攻蜀,孟昶降,后蜀亡。
•宋收节度使兵权,置转运使监察州郡。
•西斯拉夫人地区尽入日耳曼版图。
公元966年(宋太祖乾德四年)•宋禁将帅取精兵为牙兵(私人武装)•越南自吴昌文死,群雄并起,十二人各据一方,称十二使君。
公元967年(宋太祖乾德五年)•因黄河多次决口,宋定制每年春季缮治。
•教皇约翰十三世又为鄂图二世加冕为皇帝。
神圣罗马帝国从此形成两大习惯:(1)教皇之选必为皇帝认可,方为合法;(2)日耳曼王同时为意大利与罗马王,但必须由教皇加冕后才可称尊号为“神圣罗马皇帝”。
公元968年(宋太祖乾德六年,开宝元年)•宋制订复试品官子弟应举者的政策。
•法禘玛系哈里发牟伊斯完全征服埃及。
公元969年(宋太祖开宝二年)•赵匡胤亲征北汉,围太原,不克而返。
•辽穆宗为奴隶杀死,耶律贤嗣位,是为辽景宗。
•回鹘、于阗朝贡于宋。
•埃及营建开罗城。
公元970年(宋太祖开宝三年)•宋赐应进士诸科举人十五举以上者出身。
公元971年(宋太祖开宝四年)•潘美南征,破广州,刘鋹降,南汉亡,立国55年。
苏轼及宋大事年表纪年公元年龄苏轼纪事宋朝大事仁宗景祐三年丙子 1036 一岁 十二月十九日,苏轼生于眉州眉山县纱縠行私宅。
夏五月,诏戒群臣越职言事。
西夏攻回纥,又绝吐蕃与中国通路。
四年丁丑1037 二岁 夏四月,吕夷简、王曾罢,王随、陈尧佐为相。
宝元元年戊寅 1038 三岁 春正月朔,日食,诏求直言。
三月,王随、陈尧佐罢,张士逊、张得象相。
冬十月,戒百官朋党。
西夏李(赵)元昊称帝。
二年 己卯 1039 四岁 弟辙生,小名卯君。
夏六月,削元昊赐姓赐爵。
冬十一月,夏入寇保安军,狄青击败之。
康定元年庚辰 1040 五岁 夏正月,元昊寇延州。
命韩琦安抚陕西。
夏五月,吕夷简复相。
庆历元年辛巳 1041 六岁 春二月,夏寇渭州,任福战死于好水川,关右大震。
二年 壬午 1042 七岁 自七八岁知读书。
春正月,复榷盐法。
富弼出使契丹。
九月加岁币,与契丹和议成。
夏元昊入寇镇戎军,大掠渭州。
三年 癸未 1043 八岁始入小学,从道士张易简为师。
塾中得见石守道《庆历圣德诗》,始有景慕时贤之意。
夏人请和。
秋八月,范仲淹参政,富弼为枢密副使。
四年 甲申 1044 九岁春三月,诏天下州县立学,行科举新法。
宋夏议和,十二月册封元昊为夏国王。
五年 乙酉 1045 十岁父洵宦游四方,母程夫人亲授经史。
由读《后汉书·范滂传》,慨然太息,轼侍侧曰:“某若为滂,夫人亦许之否乎?”夫人曰:“汝能为滂,吾顾不能为滂母耶!”轼始奋励有当世之志。
契丹与夏媾和。
罢科举新法。
黄庭坚生。
六年 1046 十一岁 秋八月,以吴育为枢密副使,丁度参政。
丙戌七年丁亥1047 十二岁 祖父序逝世,父自江南奔丧归。
文彦博参政。
八年 戊子 1048 十三岁文彦博为相。
赵元昊死,子谅祚立,继封为夏国王。
皇祐元年己丑 1049 十四岁 宋庠为相。
九月,广源州侬智高反,寇邕州。
二年庚寅1050 十五岁 秋八月,京东、淮浙饥。
三年 辛卯 1051 十六岁三月,宋庠免,刘沅参政。
宋朝皇帝年谱及大事记大宋王朝立于公元960年,亡于1279年(北宋亡于1127年),共320年,历18帝(北、南各9帝),算是我国很长的朝代了。
宋朝的国号只为一个单字“宋”,“大宋”的“大”只是加上去的尊称(我国只有“大元”和“大清”国号是俩字)。
宋朝皇帝多迷信,认为换个年号能转个好运,故每个皇帝的年号都好几个,这给纪年带来很大的麻烦。
宋朝皇帝在即位前后有改自己的名字的习惯,而且有些都改过不只一次。
并且除了开国皇帝(赵匡胤)外都是一字名,这些名字在今天看来都很特别,不太会读。
宋朝皇帝普遍能书画善诗词,文化艺术素养都很高。
并且相对其它朝代而言宋朝皇帝寿命较长。
都城东京开封府时期,史称北宋(公元960~1127年,共167年,历9帝)宋朝(北宋)开国皇帝(太祖)赵匡胤(“胤”读yìn)【年号】建隆(960~963年)、乾德(963~968年)、开宝(968~976年)【生卒】927~开宝九年(976年)十月十九日,终50岁。
葬于永昌陵(今河南省巩义市)【在位】960年~崩,共17年,称帝时34岁。
【生平】赵匡胤出身军人世家。
公元948年投后汉枢密使郭威幕下,屡立战功。
951年郭威称帝建立后周,是为后周太祖,赵匡胤任禁军军官。
郭威死后传位于养子柴荣,是为后周世宗。
赵匡胤深得世宗赏识,升至殿前都点检(也就是禁卫军老大),世宗死后恭帝即位,显德七年正月初四(960年)赵匡胤以镇定二州的名义谎报契丹联合北汉大举南侵领兵出征,在陈桥驿站(今河南省新乡市封丘县陈桥镇),被众将士黄袍加身高呼万岁,拥其为帝(史称“陈桥兵变”),遂返回都城开封废恭帝,自立为帝,建立宋朝,定都东京开封府(今河南省开封市),改元建隆(赵匡胤当年在“陈桥兵变”中称帝应该是并非自愿,对之前部下的小动作可能是不知情的。
甚至在登基后还有意将帝位还与后周)。
太祖登基后成功地通过“杯酒释兵权”以和平的方式解决了分裂割据的局面(防止军队政变),加强了中央集权,为之后的经济、文化的高度发展创造了良好条件。
宋代文学家及诗词人年表- 杜审言(646年-721年)- 人物简介:杜审言是宋代著名的文学家和诗人,以其婉约清新的作风和感人肺腑的诗词而闻名。
他的作品多以山水田园为主题,表达了对自然和生活的热爱。
- 主要作品:《临江仙·滚滚长江东逝水》、《秋夕》、《江畔独步寻花》等。
- 苏轼(1037年-1101年)- 人物简介:苏轼是宋代最杰出的文学家之一,同时也是一位著名的政治家、书法家和艺术家。
他的诗词深受后世文人的推崇,被称为“苏子”,他的作品独具风格,既写豪放洒脱的诗,也有婉约细腻的词。
- 主要作品:《江城子·密州出猎》、《·赤壁怀古》、《水调歌头·明月几时有》等。
- 辛弃疾(1140年-1207年)- 人物简介:辛弃疾是宋代著名的抗金名将和文学家,他的诗词充满激情和豪情,表达了对祖国和人民的深深思念和痛苦。
他的作品深受后世文人的喜爱和推崇。
- 主要作品:《青玉案·元夕》、《丑奴儿·十咏横吹曲》、《贺新郎·李北海》等。
- 杨万里(1127年-1206年)- 人物简介:杨万里是宋代杰出的文学家和诗人,以描写平凡生活和山水田园为主题而闻名。
他的作品充满自然和写实的风格,表达了对平凡人生和自然之美的赞美。
- 主要作品:《临安春雨初霁》、《山居秋暝》、《临江仙·滚滚长江东逝水》等。
- 周邦彦(1097年-1165年)- 人物简介:周邦彦是宋代著名的音乐家和词人,被誉为千古第一曲。
他的词曲风格极富表现力,擅长创作浪漫优美的爱情词。
- 主要作品:《兰陵王·莺啼序》、《临江仙·滚滚长江东逝水》、《·丁香结》等。
这些宋代文学家和诗词人在不同的时期和风格中独树一帜,对中国文学的发展和影响有着重要贡献。
他们的作品传世至今,成为了后人学习和欣赏的重要文化遗产。
宋(960—1279) 北宋(960—1127)皇帝年号干支时间太祖(赵匡胤[yìn]) 建隆(4) 庚申960 乾德(6) 癸亥(十一) 963 开宝(9) 戊辰(十一) 968太宗(~炅[jiǒng],本名匡义,又名光义) 太平兴国(9) 丙子(十二) 976 雍熙(4) 甲申(十一) 984 端拱(2) 戊子988 淳化(5) 庚寅990 至道(3) 乙未995真宗(~恒) 咸平(6) 戊戌998景德(4) 甲辰1004大中祥符(9) 戊申1008天禧(5) 丁巳1017乾兴(1) 壬戊1022 仁宗(~祯) 天圣(10) 癸亥1023明道(2) 壬申(十一) 1032景祐(5) 甲戌1034宝元(3) 戊寅(十一) 1038康定(2) 庚辰(二) 1040庆历(8) 辛巳(十一) 1041皇祐(6) 己丑1049至和(3) 甲午(三) 1054嘉祐(8) 丙申(九) 1056 英宗(~曙) 治平(4) 甲辰1064神宗(~顼[xū]) 熙宁(10) 戊申1068元丰(8) 戊午1078 哲宗(~煦[xù]) 元祐(9) 丙寅1086绍圣(5) 甲戌(四) 1094元符(3) 戊寅(六) 1098 徽宗(~佶[jí]) 建中靖国(1) 辛巳1101崇宁(5) 壬午1102大观(4) 丁亥1107政和(8) 辛卯1111重和(2) 戊戌(十一) 1118宣和(7) 己亥(二) 1119 钦宗(~桓) 靖康(2) 丙午1126南宋(1127—1279)高宗(赵构) 建炎(4) 丁未(五) 1127绍兴(32) 辛亥1131孝宗(~昚[shèn]) 隆兴(2) 癸未1183乾道(9) 乙酉1165淳熙(16) 甲午1174 光宗(~惇[dūn]) 绍熙(5) 庚戌1190 宁宗(~扩) 庆元(6) 乙卯1195嘉泰(4) 辛酉1201开禧(3) 乙丑1205嘉定(17) 戊辰1208 理宗(~昀[yún]) 宝庆(3) 乙酉1225绍定(6) 戊子1228端平(3) 甲午1234嘉熙(4) 丁酉1237淳祐(12) 辛丑1241宝祐(6) 癸丑1253开庆(1) 己未1259景定(5) 庚申1260 度宗(赵禥[qí]) 咸淳(10) 乙丑1265 恭帝(~顯去“页”[xiǎ德祐(2) 乙亥1275 n])端宗(~昰[shì]) 景炎(3) 丙子(五) 1276 帝昺(~昺[bǐng]) 祥兴(2) 戊寅(五) 1278。