广东省潮州市高一下学期期中数学试卷
- 格式:doc
- 大小:608.00 KB
- 文档页数:14
2019~2020学年度第二学期高一级数学科期中考试卷 考试时间:120分钟一.选择题(共12小题,每小题5分)1.若函数f(x)=a x +1-3(a >0,a ≠1)的图象经过定点P ,且点P 在角θ的终边上,则tan θ的值等于( )A .2 B.12C .-2 D.-122.已知倾斜角为α的直线l 与直线x +2y -3=0垂直,则2019cos()2πα-的值为( )A. -B.C .2- D.-123.已知AB →=(2,3),AC →=(3,t),|BC →|=1,则AB →·BC →=( ) A .-3B .-2C .2D .3 4.已知sin θ+cos θ=43⎝⎛⎭⎪⎫0<θ<π4,则sin θ-cos θ的值为( ) A.23 B.-23 C.13 D.-135.下列函数中,以π2为周期且在区间⎝ ⎛⎭⎪⎫π4,π2单调递增的是( )A .f(x)=|cos2x|B .f(x)=|sin2x|C .f(x)=cos|x|D .f(x)=sin|x|6.已知函数f(x)=Asin(ωx+φ)(A>0,ω>0,|φ|<π)是奇函数,将y =f(x)的图象上所有点的横坐标伸长到原来的2倍(纵坐标不变),所得图象对应的函数为g(x).若g(x)的最小正周期为2π,且g ⎝ ⎛⎭⎪⎫π4=2,则f ⎝ ⎛⎭⎪⎫3π8=( )A .-2B .- 2 C. 2 D .27.在△ABC 中,点D 在线段BC 上,且BD →=2DC →,点O 在线段CD 上(与点C ,D 不重合).若AO →=xAB→+(1-x)AC →,则x 的取值范围是( ) A .(0,1) B.⎝ ⎛⎭⎪⎫23,1C.⎝ ⎛⎭⎪⎫0,13D.⎝ ⎛⎭⎪⎫13,238.函数y =2|x|sin2x 的图象可能是( )9.已知|a|=|b|=2,a ·b =0,c =12(a +b),|d -c|=2,则|d|的取值范围是( )A .[0,22]B .[0,2]C .[0,2]D .[0,1]10.在Rt △ABC 中,∠C =90°,CB =2,CA =4,P 在边AC 的中线BD 上,则CP →·BP →的最小值为( )A .-12B .0C .4D .-111.已知函数f(x)=sinx -sin3x ,x ∈[0,2π],则f(x)的所有零点之和等于( )A .5πB .6πC .7πD .8π12.已知A ,B ,C ,D 是函数y =sin(ωx+φ)(ω>0,0<φ<π2)一个周期内的图象上的四个点,如图所示,A(-π6,0),B 为y 轴上的点,C 为图象上的最低点,E 为该图象的一个对称中心,B 与D 关于点E 对称,CD →在x 轴上的投影为π12,则( )A .ω=2,φ=π3B .ω=2,φ=π6C .ω=12,φ=π3D .ω=12,φ=π6二.填空题(共4小题,每小题5分)13.设向量a =(3,-4),a +b =(t,8),c =(-1,-1),若b ∥c ,则t =________. 14.已知函数f(x)=1+2sin(2x -π3),x ∈[π4,π2].若不等式f(x)-m<2在x ∈[π4,π2]上恒成立,则实数m的取值范围为 .15.设函数f(x)=Asin(ωx+φ)(A,ω,φ是常数,A>0,ω>0).若f(x)在区间[π6,π2]上具有单调性,且f(π2)=f(2π3)=-f(π6),则f(x)的最小正周期为 .16.已知函数f(x)=2sin(2x+π6),记函数f(x)在区间[t,t+π4]上的最大值为M,最小值为m,设函数h(t)=Mt -mt.若t∈[π12,5π12],则函数h(t)的值域为 . 三.解答题(共70分)17.(本小题10分)某同学用“五点法”画函数f(x)=Asin(ωx+φ)(ω>0,|φ|<π2 )在某一个周期内的图象时,列表并填入了部分数据,如下表:(1)(2)将y=f(x)图象上所有点向左平行移动θ(θ>0)个单位长度,得到y=g(x)的图象.若y=g(x)图象的一个对称中心为(5π12,0),求θ的最小值.18(本小题12分)(1)已知tan α=-43,求sin 2α+2sin αcos α的值.(2)在△ABC 中,点P 是AB 上一点,且CP ―→=23CA ―→+13CB ―→,Q 是BC 的中点,AQ与CP 的交点为M ,又CM ―→=t CP ―→,求实数t 的值.19.(本小题12分)已知向量a =(mx 2,-1),b =⎝ ⎛⎭⎪⎫1mx -1,x (m 是常数),且f(x)=1a ·b .(1)若f(x)是奇函数,求m 的值;(2)设函数g(x)=f ⎝ ⎛⎭⎪⎫x 2-x2,讨论当实数m 变化时,函数g(x)的零点个数.20.(本小题12分)在平面直角坐标系中,O 为坐标原点,已知向量a =(2,1),A(1,0),B(cos θ,t),(1)若a ∥AB →,且|AB →|=5|OA →|,求向量OB →的坐标; (2)若a ∥AB →,求y =cos 2θ-cos θ+t 2的最小值.21.(本小题12分)已知a>0,函数f(x)=-2asin(2x +π6)+2a +b ,当x ∈[0,π2]时,-5≤f(x)≤1.(1)求常数a ,b 的值; (2)设g(x)=f(x +π2)且lg[g(x)]>0,求g(x)的单调区间.22. (本小题12分)已知圆22:()()1(0)C x a y b a -+-=>关于直线320x y -=对称,且与直线3410x y -+=. (1)求圆C 的方程;(2)若直线:2l y kx =+与圆C 交于M ,N 两点,是否存在直线l ,使得6OM ON ⋅=u u u u r u u u r(O 为坐标原点)若存在,求出k 的值;若不存在,请说明理由.2019~2020学年度第二学期高一级数学科期中考试卷答案一.选择题ABCBA CCDAA CA二.填空题13. 15 14. (1,+∞) 15. π 16.[1,22] 三.解答题17 (1)根据表中已知数据,解得A =5,ω=2,φ=-π6,数据补全如下表:且函数解析式为f(x)=5sin(2x -π6).……………………5分(2)由(1)知f(x)=5sin(2x -π6),则g(x)=5sin(2x +2θ-π6).因为函数y =sinx 图象的对称中心为(k π,0),k ∈Z. 令2x +2θ-π6=k π,解得x =k π2+π12-θ,k ∈Z. ……………………8分 由于函数y =g(x)的图象关于点(5π12,0)成中心对称, 所以令k π2+π12-θ=5π12,解得θ=k π2-π3,k ∈Z. ……………………9分由θ>0可知,当k =1时,θ取得最小值π6.……………………10分18(1)sin 2α+2sin αcos α=sin 2α+2sin αcos αsin 2α+cos 2α=tan 2α+2tan αtan 2α+1=169-83169+1=-825.……………………6分 (2)因为CP ―→=23CA ―→+13CB ―→,所以3CP ―→=2CA ―→+CB ―→,即2CP ―→-2CA ―→=CB ―→-CP ―→,所以2AP ―→=PB ―→.即P 为AB 的一个三等分点(靠近A 点), 又因为A ,M ,Q 三点共线,设AM ―→=λAQ ―→.所以CM ―→=AM ―→-AC ―→=λAQ ―→-AC ―→=λ⎝ ⎛⎭⎪⎫12AB ―→+12 AC ―→-AC ―→=λ2AB ―→+λ-22AC ―→,又CM ―→=t CP ―→=t(AP ―→-AC ―→)=t ⎝ ⎛⎭⎪⎫13AB ―→-AC ―→=t 3AB ―→-t AC ―→.故⎩⎪⎨⎪⎧λ2=t 3,λ-22=-t ,解得⎩⎪⎨⎪⎧t =34,λ=12.故t 的值是34.……………………12分19解:(1)由题意知,a ·b =mx 2mx -1-x =x mx -1,所以f(x)=mx -1x =m -1x.由题设,对任意的不为零的实数x ,都有f(-x)=-f(x),即m +1x =-m +1x恒成立,所以m =0. ……………………6分(2)由(1)知,g(x)=m -2x -x2,则g(x)=0⇔x 2-2mx +4=0,Δ=4(m 2-4).………………9分所以当m>2或m<-2时,函数g(x)有两个零点; 当m =±2时,函数g(x)有一个零点;当-2<m<2时,函数g(x)没有零点.……………………12分20解:(1)∵AB →=(cos θ-1,t),又a ∥AB →,∴2t -cos θ+1=0.∴cos θ-1=2t.①……………………1分又∵|AB→|=5|OA →|,∴(cos θ-1)2+t 2=5.②……………………3分由①②得,5t 2=5,∴t 2=1.∴t =±1. ……………………4分 当t =1时,cos θ=3(舍去),当t =-1时,cos θ=-1, ∴B(-1,-1),∴OB →=(-1,-1).……………………6分 (2)由(1)可知t =cos θ-12, ∴y =cos 2θ-cos θ+(cos θ-1)24=54cos 2θ-32cos θ+14=54⎝ ⎛⎭⎪⎫cos 2θ-65cos θ+14=54⎝ ⎛⎭⎪⎫cos θ-352-15,∴当cos θ=35时,y min =-15.……………………12分21解:(1)∵x ∈[0,π2],∴2x +π6∈[π6,7π6]. ∴sin(2x +π6)∈[-12,1],……………………2分 又∵a>0,∴-2asin(2x +π6)∈[-2a ,a]. ∴f(x)∈[b,3a +b], 又∵-5≤f(x)≤1, ∴b =-5,3a +b =1,因此a =2,b =-5. ……………………5分 (2)由(1)得a =2,b =-5,∴f(x)=-4sin(2x +π6)-1, g(x)=f(x +π2)=-4sin(2x +7π6)-1=4sin(2x +π6)-1,……………………7分又由lg[g(x)]>0,得g(x)>1,∴4sin(2x +π6)-1>1, ∴sin(2x +π6)>12,∴2k π+π6<2x +π6<2k π+5π6,k ∈Z ,……………………9分其中当2k π+π6<2x +π6≤2k π+π2,k ∈Z 时,g(x)单调递增,即k π<x ≤k π+π6,k ∈Z , ∴g(x)的单调增区间为(k π,k π+π6],k ∈Z.又∵当2k π+π2<2x +π6<2k π+5π6,k ∈Z 时,g(x)单调递减,即k π+π6<x<k π+π3,k ∈Z.∴g(x)的单调减区间为(k π+π6,k π+π3),k ∈Z. ……………………11分综上,g(x)的递增区间为(k π,k π+π6](k ∈Z);递减区间为(k π+π6,k π+π3)(k∈Z).………12分22【解】…5分(2)假设存在直线l ,使得6=⋅ON OM ,设M (x 1,y 1)N (x 2,y 2),由⎩⎨⎧=-+-+=1)3()2(222y x kx y 得(1+k 2)x 2﹣(2k+4)x+4=0,……………………7分 由△=(2k+4)2﹣16(1+k 2)>0得340<<k ,……………………8分 22:()()1(0)C x a y b a -+-=>22(2)(3)1x y -+-=且⎪⎪⎩⎪⎪⎨⎧+=++=+14142221221k x x k k x x ,……………………9分 ON OM ⋅=x 1x 2+y 1y 2=(1+k 2)x 1x 2+2k (x 1+x 2)+4=(1+k 2)142+k +2k 1422++k k +4=6, 解得k=﹣1或31-=k ,不满足△>0,所以不存在直线l ,使得6=⋅ON OM .……………………12分。
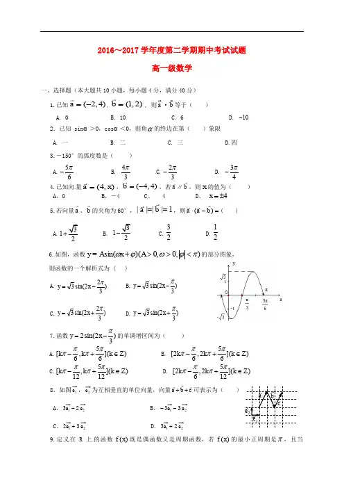
2016~2017学年度第二学期期中考试试题高一级数学一、选择题(本大题共10小题,每小题4分,满分40分) 1.已知(2,4)a =-,(1,2)b =, 则a ·b 等于( )A. 0B. 10C. 6D. 10- 2.已知 sin α>0,cos α<0,则角α的终边在第( )象限 A. 一B. 二C. 三D.四3.-150°的弧度数是( )A.56π-B. 43πC.23π-D. 34π- 4.已知向量),4(x a = ,(4,4)b =-,若a∥b ,则x 的值为( ) A .0 B .-4 C . 4 D . 4x =±5.若向量a 、b 的夹角为60°,1||||==b a ,则=-⋅)(b a a( )A.1+12- C.32 D.126.如图,函数),0,0)(sin(πϕωϕω<>>+=A x A y的部分图象,则函数的一个解析式为 ( ) A.)322sin(3π-=x yB.)32sin(3π-=x yC.)322sin(3π+=x yD.)32sin(3π+=x y7.函数2sin(2)3y x π=-的单调增区间为( )A.5[,]()66k k k Z ππππ-+∈ B. 5[2,2]()66k k k Z ππππ-+∈ C.5[,]()1212k k k Z ππππ-+∈ D. 5[2,2]()612k k k Z ππππ-+∈ 8.如图1e ,2e 为互相垂直的单位向量,向量c b a++可表示为( )A .-13e 22eB .--13e 32eC .+12e 32eD .+13e 22e9.定义在R 上的函数)(x f 既是偶函数又是周期函数,若)(x f 的最小正周期是π,且当]2,0[π∈x 时,x x f sin )(=,则)35(πf 的值为( )A. 21B. 21-C. 23 D. 23-10.当]2,2[ππ-∈x 时,函数x x x f cos 3sin )(+=的( )A .最大值为1,最小值为-1B .最大值为1,最小值为21-C .最大值为2,最小值为-2D .最大值为2,最小值为-1二、填空题(本大题共4小题,每小题4分,满分16分)11.若点P (1,-2)为角α终边上一点,则αtan = 。
广东省潮州市松昌中学2023-2024学年高一下学期期中考试数学试题一、单选题1.在复平面内,表示复数1i z =-的点所在的象限是( ) A .第一象限 B .第二象限C .第三象限D .第四象限2.已知1i22iz -=+,则z z -=( ) A .i -B .iC .0D .13.已知四边形ABCD 为正方形,则下列等式中成立的是( )A .BC CD DB +=u u u r u u u r u u u r B .BA BC DB +=u u u r u u u r u u u rC .AB AD BC +=u u u r u u u r u u u r D .AB BD BC +=u u u r u u u r u u u r4.在△ABC 中,角A ,B ,C 所对的边分别为a ,b ,C .若cos cA b<,则△ABC 为()A .直角三角形B .钝角三角形C .锐角三角形D .等边三角形5.若向量()1,1a =r ,()1,1b =-r ,()1,2c =-r ,则c r等于( )A .1322a b -+r rB .1322a b -r rC .3122a b -r rD .3122a b -+r r6.已知正六棱柱的所有棱长均为2,则该正六棱柱的外接球的体积为( )A .16π3B C D .20π37.已知()1,2A ,()3,4B ,()2,2C -,()3,5D -,则向量AB u u u r在向量CD u u u r 上的投影向量的坐标为( )A .26,55⎛⎫ ⎪⎝⎭B .26,55⎛⎫- ⎪⎝⎭C .26,55⎛⎫-- ⎪⎝⎭D .26,55⎛⎫- ⎪⎝⎭8.密位制是度量角的一种方法,把一周角等分为6000份,每一份叫作1密位的角.在角的密位制中,单位可省去不写,采用四个数码表示角的大小,在百位数与十位数之间画一条短线,如1周角等于6000密位,写成“6000-”,578密位写成“578-”.若在ABC V 中,,,a b c 分别是角,,A B C 所对的边,且有222a c b ab -+=.则角C 用密位制表示正确的是( ) A .250-B .500-C .1000-D .2000-二、多选题9.(多选)下列说法正确的是( ) A .圆柱的底面是圆面B .经过圆柱任意两条母线的截面是一个矩形面C .圆台的任意两条母线的延长线可能相交,也可能不相交D .夹在圆柱的两个截面间的几何体还是一个旋转体10.八卦是中国文化的基本哲学概念,如图1船八卦模型图,其平面图形记为图2中的正八边形ABCDEFGH ,其中1OA =,则下列结论正确的有( )A .OA OD ⋅=u u u r u u u rB .OA OE =u u u r u u u rC .OA OH OD OE ⋅=⋅u u u r u u u r u u u r u u u rD .OG OB =u u u r u u u r11.已知向量1e u r ,2e uu r 不共线,且122OA e e λ=+u u u r u r u u r ,1223OB e e =-+u u u r u r u u r ,12OC e e λ=+u u u r u r u u r ,若A ,B ,C 三点共线,则实数λ的值为( )A .0B .1C .2D .3三、填空题12.已知(1,2),(2,),a b x ==-r r 若//,a b rr 则x =.13.如图所示为一个水平放置的矩形ABCO ,在直角坐标系xOy 中,点B 的坐标为(4,2),则用斜二测画法画出的该矩形的直观图中,顶点B '到x '轴的距离为.14.在ABC V 中,D 为BC 上一点,E 是AD 的中点,若λ=u u u r u u u r BD DC ,13CE AB AC μ=+u u ur u u u r u u u r ,则λμ+=.四、解答题15.如图所示,在平面四边形ABCD 中,1,2,AD CD AC ==(1)求cos CAD ∠的值.(2)若B 为锐角,2,sin BC BAC =∠=B . 16.已知()2,3A ,()4,3B -,点P 在线段AB 的延长线上,且32AP PB =u u u r u u u r,求点P 的坐标.17.已知向量21,e e u r u u r ,且1211,e e e ==u r u u r r 与2e r 的夹角为12π,3m e e λ=+u r u u r r ,1232n e e =-u r u u r r(1)求证:()1222e e e -⊥u r u u r u u r(2)若m n =r r,求λ的值;18.如图,一个几何体是由一个正三棱柱内挖去一个倒圆锥组成,该三棱柱的底面正三角形的边长为2,高为4.圆锥的底面内切于该三棱柱的上底面,顶点在三棱柱下底面的中心处.(1)求圆锥的底面半径; (2)求该几何体的表面积.19.已知1a b ==r r ,a r 与b r的夹角为45°. (1)求2a b +r r的值;(2)若向量()2-a b λr r 与()3a b λ-r r的夹角是锐角,求实数λ的取值范围.。
2021-2022学年广东省潮州市饶平县第二中学高一下学期期初数学试题一、单选题1.集合{}13A x x =<<,集合{4B x x =或2}x <,则集合()R A B =( ) A .R B .[2,3) C .(1,4] D .∅【答案】C【分析】先求得{|24}R B x x =≤≤,结合集合并集的运算,即可求解. 【详解】由题意,集合{4B x x =或2}x <,可得{|24}R B x x =≤≤, 又由{|13}A x x =<<,所以(){|14}(1,4]R A B x x =<≤=. 故选:C.2.已知角α的终边经过点(M ,则cos α=( )AB C D 【答案】B【分析】利用三角函数的定义可求得cos α的值.【详解】由三角函数的定义可得cosα==. 故选:B.3.函数()1ln 22f x x x =+-的零点所在的区间是( )A .()0,1B .()1,2C .()2,3D .()3,4【答案】C【分析】判断函数()1ln 22f x x x =+-是()0,∞+上的增函数,(2)(3)0f f ⋅<,结合零点存在性定理可判断出函数零点所在区间.【详解】解:函数ln y x =是()0,∞+上的增函数,122y x =-是R 上的增函数,故函数()1ln 22f x x x =+-是()0,∞+上的增函数. 1(2)ln 222ln 2102f =+⨯-=-<,11(3)ln 332ln 3>022f =+⨯-=-,则()0,2x ∈时,()0f x <;()3,x ∈+∞时,()0f x >,因为(2)(3)0f f ⋅<,所以函数()1ln 22f x x x =+-在区间()2,3上存在零点.故选:C.4.函数cos y x x =-的部分图像是A .B .C .D .【答案】D【分析】根据函数cos y x x =-的奇偶性和函数值在某个区间上的符号,对选项进行排除,由此得出正确选项.【详解】∵cos y x x =-是奇函数,其图像关于原点对称,∴排除A,C 项;当0,2x π⎛⎫∈ ⎪⎝⎭时,cos 0y x x =-<,∴排除B 项.故选D.【点睛】本小题主要考查函数图像的识别,考查函数的单调性,属于基础题.5.若命题“22103x x -+<”是命题“x a >”的充分不必要条件,则a 的取值范围是( ) A .1a ≥ B .12a ≥C .12a ≤D .1a ≤【答案】C【分析】解不等式22103x x -+<得112x <<,进而根据题意得集合1,12⎛⎫⎪⎝⎭是集合(),+∞a 的真子集,再根据集合关系求解即可.【详解】解:解不等式22103x x -+<得112x <<, 因为命题“22103x x -+<”是命题“x a >”的充分不必要条件,所以集合1,12⎛⎫⎪⎝⎭是集合(),+∞a 的真子集,所以12a ≤故选:C6.设21log 3a =,0.412b ⎛⎫= ⎪⎝⎭,0.513c ⎛⎫= ⎪⎝⎭,则( )A .c b a <<B .a c b <<C .a b c <<D .b a c <<【答案】B【分析】根据指数函数的单调性、对数函数的单调性、幂函数的单调性比较即可求解. 【详解】2log y x =是增函数, 221log log 103a ∴=<=, 12xy ⎛⎫= ⎪⎝⎭是减函数,0.5y x =在(0,)+∞上是增函数, 0.40.50.51110223b c ⎛⎫⎛⎫⎛⎫∴=>>=> ⎪⎪ ⎪⎝⎭⎝⎭⎝⎭a cb ∴<<故选:B7.已知tan α、tan β是方程240x ++=的两个根,且α、,22ππβ⎛⎫∈- ⎪⎝⎭,则αβ+的值是( )A .3πB .23π-C .3π或23π-D .3π-或23π【答案】B【分析】先用根与系数的关系可得tan α+tan β=-tan αtan β=4,从而可得tan α<0,tan β<0,进而,,02παβ⎛⎫∈- ⎪⎝⎭,所以0παβ-<+<,然后求tan()αβ+的值,从而可求出αβ+的值.【详解】由题意得tan α+tan β=-tan αtan β=4, 所以tan 0,tan 0αβ<<,又α、,22ππβ⎛⎫∈- ⎪⎝⎭,故,,02παβ⎛⎫∈- ⎪⎝⎭,所以0παβ-<+<,又tan tan tan()1tan tan 14αβαβαβ+-+===--所以23αβπ+=-. 故选:B.8.若2233x y x y ---<-,则( ) A .ln(1)0y x -+> B .ln(1)0y x -+<C .ln ||0x y ->D .ln ||0x y -<【答案】A【分析】将不等式变为2323x x y y ---<-,根据()23t tf t -=-的单调性知x y <,以此去判断各个选项中真数与1的大小关系,进而得到结果.【详解】由2233x y x y ---<-得:2323x x y y ---<-,令()23t tf t -=-,2x y =为R 上的增函数,3x y -=为R 上的减函数,()f t ∴为R 上的增函数,x y ∴<,0y x ->,11y x ∴-+>,()ln 10y x ∴-+>,则A 正确,B 错误;x y -与1的大小不确定,故CD 无法确定.故选:A.【点睛】本题考查对数式的大小的判断问题,解题关键是能够通过构造函数的方式,利用函数的单调性得到,x y 的大小关系,考查了转化与化归的数学思想.二、多选题9.下列函数是奇函数且在区间()0,1上单调递增的是( )A .()3f x x =-B .()2x f x =C .()sin f x x x =+D .()1f x x x=-【答案】CD【分析】依据题意,结合奇偶函数的定义和单调性的判定方法逐项分析即可求解.【详解】对于A ,因为函数()3f x x =在R 上单调递增,所以函数()3f x x =-在R 上单调递减,故A错误;对于B ,因为()()22xxf x f x --===,所以函数()2xf x =为偶函数,故B 错误;对于C ,因为()()()()sin sin f x x x x x f x -=-+-=-+=-,所以函数为奇函数, 又,任取12,x x ,满足1201x x ,则()()()()()()1211221212sin sin sin sin f x f x x x x x x x x x -=+-+=-+-,由于1201x x ,正弦函数sin y x =在()0,1上单调递增,于是120x x -<,12sin sin 0x x -<, 所以()()120f x f x -<, 即()()12f x f x <,故函数()f x 在()0,1上单调递增,故C 正确; 对于D ,因为()()()11f x x x f x x x ⎛⎫-=--=--=- ⎪-⎝⎭,所以函数为奇函数, 又,任取12,x x ,满足1201x x ,则()()()211212*********x x f x f x x x x x x x x x ⎛⎫⎛⎫⎛⎫-+-=---=- ⎪ ⎪ ⎪⎝⎭⎝⎭⎝⎭,由于1201x x ,于是120x x -<,2110x x -+>,120x x > 所以()()120f x f x -<, 即()()12f x f x <,所以函数()f x 在()0,1上单调递增,故D 正确. 故选:CD.10.下列说法中正确的是( )A .命题“R x ∃∈,220x x -<”的否定是“R x ∀∈,220x x -≥”B .函数3()3x f x a -=+(0a >且1)a ≠的图象经过定点(3,4)AC .幂函数2231()(69)m m f x m m x -+=-+在(0,)+∞上单调递增,则m 的值为4D .函数25()log (23)f x x x =--的单调递增区间是[1,)+∞ 【答案】ABC【分析】A.由全称量词命题的否定是存在量词命题判断;B.令30x -=求解判断;C.根据()f x 是幂函数求得m ,再根据单调性判断; D.利用对数复合函数的单调性判断.【详解】A.命题“R x ∃∈,220x x -<”是全称量词命题,其否定是存在量词命题,即“R x ∀∈,220x x -≥”,故正确;B.因为函数3()3x f x a -=+(0a >且1)a ≠,令30x -=得 3x =,此时 4y = ()f x 的图象经过定点(3,4)A ,故正确;C. 因为2231()(69)m m f x m m x -+=-+是幂函数,所以2691m m -+=,即 2680m m -+=,解得 2m =或 4m =,当2m =时,1()f x x -=在(0,)+∞上单调递减,当 4m =时,5()f x x =在(0,)+∞上单调递增,故正确;D.令2230t x x =-->,得 1x <-或3x >,所以函数的定义域为()(),13,-∞-⋃+∞,又t 在()3,+∞上递增,5log y t =在()0,∞+上递增,所以25()log (23)f x x x =--的单调递增区间是()3,+∞,故选:ABC11.函数()()sin f x A x =+ωϕ(0A >,0ω>,2πϕ<)的部分图象如图所示,则下列结论正确的是( )A .()f x 的最小正周期为2πB .,06π⎛⎫⎪⎝⎭是()y f x =图象的一个对称中心C .()f x 在区间11,212ππ⎡⎤⎢⎥⎣⎦上单调递减 D .把()y f x =图象上所有点向右平移12π个单位长度后得到函数()2cos2g x x =的图象 【答案】BC【分析】根据题意,结合正弦型函数()()sin f x A x =+ωϕ的图象与性质和图象变换知识,即可求解. 【详解】由题意知,2A =,35341234T πππ⎛⎫=--= ⎪⎝⎭,所以周期T π=,2ω=,又552sin 221212f ππϕ⎛⎫⎛⎫=⨯+= ⎪ ⎪⎝⎭⎝⎭,所以3πϕ=-,故()2sin 23f x x π⎛⎫=- ⎪⎝⎭,所以A 错误,又2sin 20663f πππ⎛⎫⎛⎫=⨯-= ⎪ ⎪⎝⎭⎝⎭,故B 正确.因为11,212x ππ⎡⎤∈⎢⎥⎣⎦,所以232,332x πππ⎡⎤-∈⎢⎥⎣⎦,由于正弦函数在其上单调递减, 所以函数()f x 在11,212ππ⎡⎤⎢⎥⎣⎦上单调递减,故C 正确,将()y f x =图象上所有点向右平移12π个单位长度后得到2sin 22cos 2122y f x x x ππ⎛⎫⎛⎫=-=-=- ⎪ ⎪⎝⎭⎝⎭的图象,故D 不正确. 故选:BC.12.已知函数()20lg 0x x f x x x +≤⎧=⎨>⎩,方程()()210f x mf x --=有4个不同的实数根,则下列选项正确的为( )A .函数()f x 的零点的个数为2B .实数m 的取值范围为3,2⎛⎤-∞ ⎥⎝⎦C .函数()f x 无最值D .函数()f x 在()0,∞+上单调递增 【答案】ABC【分析】根据分段函数图像可以判断ABD ,而选项C ,结合分段函数的图像性质,分析得到210t mt --=两个不等的实根122t t <<≤0,0,最后根据二次方程根的分布求出参数的取值范围即可.【详解】因为函数()20lg 0x x f x x x +≤⎧=⎨>⎩,可得函数图像如图:由图知函数()f x 有2个零点,故A 选项正确;函数()f x 没有最值,故C 选项正确;函数()f x 在()0,1上单调递减,在()1,+∞上单调递增,故D 选项错误;由于方程()()210f x mf x --=有4个不同的实数根,令()t f x =则210t mt --=有4个不同的实数根, 因为2m 40∆=+>恒成立,设210t mt --=两个不等的实根为12t t ,,由韦达定理知:1212,1t t m t t +==-, 则12t t ,异号,由图可知:122t t <<≤0,0, 所以22210m --≥,解得32m ≤,故B 选项正确; 故选:ABC【点睛】(1)求分段函数的函数值,要先确定要求值的自变量属于哪一段区间,然后代入该段的解析式求值,当出现f (f (a ))的形式时,应从内到外依次求值.(2)当给出函数值求自变量的值时,先假设所求的值在分段函数定义区间的各段上,然后求出相应自变量的值,切记要代入检验,看所求的自变量的值是否满足相应段自变量的取值范围.三、填空题13.求值:2log 314lg lg 254+-=______.【答案】7【分析】利用指数式与对数式的互化,对数运算法则计算作答. 【详解】22log 3log 23214)(lg 4lg lg 25(2lg 25)3lg1002749-+-=+=-=-=.故答案为:714.若扇形的面积为9,圆心角为2弧度,则该扇形的弧长为______. 【答案】6【分析】先由已知求出半径,从而可求出弧长 【详解】设扇形所在圆的半径为r , 因为扇形的面积为9,圆心角为2弧度, 所以21292r ⨯=,得3r =,所以该扇形的弧长为236⨯=, 故答案为:615.已知sin sin 13πθθ⎛⎫++= ⎪⎝⎭,则sin 6πθ⎛⎫+= ⎪⎝⎭__________.【解析】根据两角和的正弦公式,将原式化简整理,即可得出结果.【详解】由sin sin 13πθθ⎛⎫++= ⎪⎝⎭可得1sin sin 12θθθ+=,则3sin 12θθ=1cos 2θθ+=从而有sin coscos sin66ππθθ+=即sin 6πθ⎛⎫+=⎪⎝⎭16.已知()f x 为偶函数,当04x ≤<时,()23xf x =-,当4x ≥时,()212f x x =-,则不等式()5f x >的解集为__________. 【答案】()()8,33,8--⋃【解析】求出不等式()5f x >在[)0,x ∈+∞的解,然后根据偶函数的性质可得出不等式()5f x >在R 上的解集.【详解】当04x ≤<时,令()235xf x =->,可得28x >,解得3x >,此时34x <<;当4x ≥时,令()2125f x x =->,解得8x <,此时48x ≤<. 所以,不等式()5f x >在[)0,x ∈+∞的解为38x <<.由于函数()y f x =为偶函数,因此,不等式()5f x >的解集为()()8,33,8--⋃. 故答案为:()()8,33,8--⋃.【点睛】本题考查分段函数不等式的求解,同时也涉及了函数奇偶性的应用,考查运算求解能力,属于中等题.四、解答题 17.(1)已知02a π<<,4sin 5α,求tan α的值; (2)若tan 4α=,求()()()πsin π2cos 2sin cos παααα⎛⎫+-+ ⎪⎝⎭--++的值. 【答案】(1)43;(2)43.【分析】(1)由条件利用同角三角函数的基本关系求出3cos 5α=,即可求得tan α的值; (2)把要求的式子利用诱导公式化为sin sin cos ααα-,进而而求得结果.【详解】解:(1)∵π02α<<,4sin 5α,∴cos α=35=∴sin 4tan cos 3ααα== (2)若tan 4α=,则()()()πsin π2cos 2sin cos παααα⎛⎫+-+ ⎪⎝⎭--++sin 2sin sin cos αααα-+=-sin tan 4sin cos tan 13ααααα===--. 18.已知关于x 的不等式13a x b <+≤的解集是{|34}x x <≤. (1)求关于x 的不等式230ax x a -->的解集A ;(2)若非空集合{}22B x k x k =<≤+,A B A ⋃=,求实数k 的取值范围. 【答案】(1)1{2A x x =<-或2}x >(2)5(,)[1,2)2-∞-【分析】(1)先根据题意求出参数,a b 的值,代入不等式230ax x a -->,解关于x 的一元二次不等式即可求解;(2)根据A B A ⋃=得到B A ⊆,然后根据集合的包含关系列出不等式组,解之即可. 【详解】(1)不等式13ax b <+≤的解集为{|34}x x <≤,∴3143a b a b +=⎧⎨+=⎩,解得25a b =⎧⎨=-⎩.将2a =代入不等式整理得(2)(21)0x x -+>,解得2x >或12x <-.故1{2A x x =<-或2}x >.(2)∵A B A ⋃=,∴B A ⊆,又∵B ≠∅,∴22122k kk +>⎧⎪⎨+<-⎪⎩或2222k k k +>⎧⎨≥⎩,∴52k <-或12k ≤<, 故实数k 的取值范围5(,)[1,2)2-∞-.19.已知函数221()sin cos sin )2f x x x x x =-,x ∈R .(1)求()f x 的最小正周期;(2)求()f x 的单调递增区间; (3)求()f x 在区间[,]44ππ-上的最大值和最小值.【答案】(1)π (2)π5π[π,π]1212k k -++,k ∈Z (3)最大值为14,最小值为12-【分析】(1)应用二倍角公式,两角差的正弦公式化简函数为一个角的一个三角函数形式,然后由正弦函数性质得最小正周期; (2)由正弦函数的单调性得增区间; (3)由已知求出23x π-的范围,结合正弦函数性质得结论.【详解】(1)2211()sin cos sin )sin 2224f x x x x x x x =-= 1sin(2)23x π=-所以()f x 的最小正周期22T ππ== (2)由πππ2π22π232k x k -+≤-≤+,k ∈Z ,得π5πππ1212k x k -+≤≤+,k ∈Z . 故函数()f x 的单调递增区间为π5π[π,π]1212k k -++,k ∈Z . (3)当ππ44x -≤≤时,52636πππ-≤-≤x ∴11sin(2)32x π-≤-≤ ∴111sin(2)2234x π-≤-≤故()f x 在区间[,]44ππ-上的最大值为14,最小值为12-. 20.甲、乙两地相距1000千米,某货车从甲地匀速行驶到乙地,速度为v 千米/小时(不得超过120千米/小时).已知该货车每小时的运输成本m (以元为单位)由可变部分1y 和固定部分2y 组成:可变部分与速度v (单位:km/h )的关系是211100y v =;固定部分y 2为81元. (1)根据题意可得,货车每小时的运输成本m=________,全程行驶的时间为t=________; (2)求该货车全程的运输总成本与速度v 的函数解析式;(3)为了使全程的运输总成本最小,该货车应以多大的速度行驶? 【答案】(1)2181100v +;1000v;(2)8100010y v v =+(0 <v ≤120);(3)v=90 km/h.【分析】(1)根据货车每小时的运输成本等于可变部分1y 加上固定部分2y 即可得出答案,再根据全程行驶的时间等于总里程除以速度即可得解;(2)根据货车全程的运输总成本等于货车每小时的运输成本乘以时间即可得出答案; (3)根据函数解析式结合基本不等式即可得解. 【详解】解:(1)2181100v +;1000v. (2)货车全程的运输总成本()21210001100081100y mt y y v v v ⎛⎫==+⨯=+⨯ ⎪⎝⎭8100010v v=+(0 <v ≤ 120).(3)8100010y v v =+≥元, 当且仅当8100010v v=,即v=90时,全程的运输总成本最小,所以为了使全程的运输总成本最小,该货车应以90 km/h 的速度行驶. 21.已知函数x f xb a (a ,b 为常数,0a >且1a ≠)的图象经过点()1,8A ,()3,32B .(1)求函数()f x 的解析式;(2)若关于x 不等式0x x a b λ--≥对[]2,2x ∀∈-都成立,求实数λ的取值范围.【答案】(1)()22x f x +=(2)(],12-∞-【分析】(1)将()1,8A ,()3,32B ,代入函数,利用待定系数法即可得出答案;(2)0x x a b λ--≥对[]2,2x ∀∈-都成立,即()min 24x xλ≤-,[]2,2x ∈-,令2x t =,1,44t ⎡⎤∈⎢⎥⎣⎦,令()2g t t t =-+,求出函数()g t 的最小值即可得解.【详解】(1)解:∵函数()xf x ba =的图象经过点()1,8A ,()3,32B ,∴()()18332f f ⎧=⎪⎨=⎪⎩,即3832ba ba =⎧⎨=⎩,又∵0a >,∴2a =,4b =,∴()42x f x =⨯,即()22x f x +=;(2)解:由(1)知2a =,4b =,∴240x x λ--≥对[]2,2x ∀∈-都成立,即24x x λ≤-对[]2,2x ∀∈-都成立,∴()min 24x xλ≤-,[]2,2x ∈-,令2x t =,[]2,2x ∈-,则1,44t ⎡⎤∈⎢⎥⎣⎦,令()2g t t t =-+,即()21124g t t ⎛⎫=--+ ⎪⎝⎭,1,44t ⎡⎤∈⎢⎥⎣⎦, ∴()g t 的图象是开口向下且关于直线12t =对称的抛物线, ∴()()min 412g t g ==-, ∴12λ≤-,∴λ的取值区间为(],12-∞-. 22.已知函数()1f x x x=+. (1)根据函数单调性的定义,证明()f x 在区间()0,1上单调递减,在区间()1,+∞上单调递增;(2)令()()221522x f g x k k x x ⎛⎫=+-> ⎪⎝⎭,若对1x ∀,21,22x ⎡⎤∈⎢⎥⎣⎦,都有()()12194g g x x -≤成立,求实数k 的取值范围.【答案】(1)证明见解析 (2)5,72⎛⎤⎥⎝⎦【分析】(1)由单调性定义证明;(2)换元,设1z x x=+,()g x =222y z kz =--,由(1)求得z 的范围,然后由二次函数性质求得最大值和最小值,由最大值减去最小值不大于194可得k 的范围. 【详解】(1)证明:设1x ,()20,x ∈+∞,且12x x <,则()()()121212*********x x f x f x x x x x x x x x ⎛⎫⎛⎫⎛⎫--=+-+=- ⎪ ⎪⎪⎝⎭⎝⎭⎝⎭, 当1201x x 时,∴120x x -<,1201x x <<,∴1210x x -<,∴()()120f x f x ->,即()()12f x f x >, ∴函数()f x 在()0,1上单调递减.当121x x <<时,∴120x x -<,121x x >,∴1210x x ->,∴()()120f x f x -<,即()()12f x f x <, ∴函数()f x 在()1,+∞上单调递增.综上,函数()f x 在()0,1上单调递减,在()1,+∞上单调递增.(2)解:由题意知()22112g x x k x x x ⎛⎫=+-+ ⎪⎝⎭, 令1z x x =+,222y z kz =--,由(1)可知函数1z x x =+在1,12⎡⎤⎢⎥⎣⎦上单调递减,在[]1,2上单调递增,∴522z ≤≤,∵函数222y z kz =--的对称轴方程为52z k =>, ∴函数222y z kz =--在52,2⎡⎤⎢⎥⎣⎦上单调递减,当2z =时,222y z kz =--取得最大值,max 42y k =-+, 当52z =时,222y z kz =--取得最小值,min 1754y k =-+, 所以()max 42g x k =-+,()min 1754g x k =-+, 又∵对1x ∀,21,22x ⎡⎤∈⎢⎥⎣⎦,都有()()12194g g x x -≤恒成立,∴()()max min 194g x g x -≤,即171942544k k ⎛⎫-+--+≤ ⎪⎝⎭,解得7k ≤,又∵52k >,∴k 的取值范围是5,72⎛⎤⎥⎝⎦.。
广东省潮州市高一下学期期中数学试卷姓名:________班级:________成绩:________一、 单选题 (共 12 题;共 24 分)1. (2 分) 已知点 P 是△ABC 内一点,且 + =6 , 则=( )A.B.C.D. 2. (2 分) (2017 高一下·禅城期中) 已知向量 =(1,2),则| |=( ) A.3B. C.5D. 3. (2 分) 向量 、 的夹角为 60°,且| |=1,| |=2,则| + |等于( ) A.1B.C.D.4. (2 分) 已知向量 =(1,2), =(x,4),若向量 ∥ , 则 x=( )第 1 页 共 17 页A.2 B . -2 C.8 D . -85. (2 分)是边长为 2 的正三角形,则=( )A . -2 B.1 C.2 D.0 6. (2 分) (2019 高一上·颍上月考) A . 第一象限 B . 第二象限 C . 第三象限 D . 第四象限角的终边落在( )7. (2 分) 若点(a,9)在函数 y=3x 的图象上,则 A.0的值为( )B. C.1 D.8. (2 分) (2020 高三上·浙江月考) 已知,,则的值为( )第 2 页 共 17 页,,A.B.C.D.9. (2 分) (2017 高一上·武汉期末) 如图,四边形 ABCD 是正方形,延长 CD 至 E,使得 DE=CD,若点 P 为 BC的中点,且,则 λ+μ=( )A.3 B.2 C.1 D.10. (2 分) (2020·广东模拟) 已知 A.2 B. C.3,且,则()D. 11. (2 分) 要得到函数 y=sin(2x+ )的图象,只需将函数 y=sin2x 的图象( )A . 向左平移 个单位第 3 页 共 17 页B . 向左平移 个单位C . 向右平移 个单位 D . 向右平移 个单位 12. (2 分) (2019 高三上·长沙月考) 若,则 与 的夹角为( )A. B.C. D.π二、 填空题 (共 4 题;共 4 分)13. (1 分) (2019 高一下·长春期末) 已知向量 ________.夹角为,且,则14. (1 分) (2018·吉林模拟) 已知向量若,则________ .15. (1 分) (1+tan21°)(1+tan24°)的值为________.16. (1 分) (2017 高二上·南昌月考) 设有两个命题, :关于 的不等式(,且)的解集是; :函数数 的取值范围是________.的定义域为 .如果为真命题,为假命题,则实三、 解答题 (共 6 题;共 60 分)17. (10 分) (2019 高一下·铜梁月考) 已知, 与 的夹角为,,,(1) 当时,求实数 的值;(2) 当时,求实数 的值.第 4 页 共 17 页18. (10 分) (2019·温州模拟) 如图,在单位圆上,∠AOB=a( )的面积等于.,∠ BOC=,且△AOC(I)求 sina 的值;(II)求 2cos( )sin)19. (10 分) 已知 cosα+cosβ= ,sinα+sinβ= ,求 cos(α﹣β)的值.20. (10 分) (2019 高一上·田阳月考) 如图,半径为 4m 的水轮绕着圆心 O 逆时针做匀速圆周运动,每分钟 转动 4 圈,水轮圆心 O 距离水面 2m,如果当水轮上点 P 从离开水面的时刻(P0)开始计算时间.(1) 将点 P 距离水面的高度 y(m)与时间 t(s)满足的函数关系; (2) 求点 P 第一次到达最高点需要的时间.21. (10 分) (2017 高三上·惠州开学考) 已知: =(﹣ sinωx,cosωx), =(cosωx,cosωx), ω>0,记函数 f(x)= • ,且 f(x)的最小正周期为 π.(1) 求 ω 的值; (2) 求 f(x)的单调递减区间.第 5 页 共 17 页22. (10 分) 已知函数 f(x)=|x+1|﹣|x|+a. (1) 若 a=0,求不等式 f(x)≥x 的解集; (2) 若对任意 x∈R,f(x)≥0 恒成立,求 a 的范围; (3) 若方程 f(x)=x 有三个不同的解,求实数 a 的取值范围.第 6 页 共 17 页一、 单选题 (共 12 题;共 24 分)答案:1-1、 考点:参考答案解析: 答案:2-1、 考点:第 7 页 共 17 页解析: 答案:3-1、 考点:解析: 答案:4-1、 考点:解析: 答案:5-1、 考点: 解析:答案:6-1、第 8 页 共 17 页考点:解析: 答案:7-1、 考点: 解析:答案:8-1、 考点:解析: 答案:9-1、 考点:第 9 页 共 17 页解析: 答案:10-1、 考点:第 10 页 共 17 页解析:答案:11-1、考点:解析:答案:12-1、考点:解析:二、填空题 (共4题;共4分)答案:13-1、考点:解析:答案:14-1、考点:解析:答案:15-1、考点:解析:答案:16-1、考点:解析:三、解答题 (共6题;共60分)答案:17-1、答案:17-2、考点:解析:答案:18-1、考点:解析:答案:19-1、考点:解析:答案:20-1、答案:20-2、考点:解析:答案:21-1、答案:21-2、考点:解析:答案:22-1、答案:22-2、答案:22-3、考点:解析:。
广东省潮州市高一下学期期中数学试卷姓名:________ 班级:________ 成绩:________一、选择题 (共10题;共20分)1. (2分)直线在y轴上的截距为()A . 3B . 2C . -2D . -32. (2分)下列说法中,正确的有几个()①矩形的水平放置图是平行四边形;②三角形的水平放置图是三角形;③正方形的水平放置图是菱形;④圆的水平放置图是圆.A . 1B . 2C . 3D . 43. (2分)已知直线ax+y﹣1﹣a=0与直线x﹣ y=0平行,则a的值是()A . 1B . ﹣1C . 2D . ﹣24. (2分) (2017高二上·牡丹江月考) 抛物线上的点到直线的距离的最小值是()A .B .C .D . 35. (2分)圆心在曲线y=上,且与直线2x+y+1=0相切的面积最小的圆的方程为()A .B .C .D .6. (2分) (2018高三上·西安模拟) 如图,抛物线与圆交于两点,点为劣弧上不同于的一个动点,与轴平行的直线交抛物线于点,则的周长的取值范围是()A .B .C .D .7. (2分) (2017高二下·嘉兴期末) 已知圆C的方程为x2+y2﹣2x+4y﹣20=0,则其圆C和半径r分别为()A . C(1,﹣2),r=5B . C(﹣1,﹣2),r=5C . C(1,2),r=25D . C(1,﹣2),r=258. (2分)(2018高一下·黑龙江期末) 和点,使得,则实数的取值范围是()A .B .C .D .9. (2分)已知某几何体的三视图如图所示,则此几何体的体积是()A .B .C .D .10. (2分)已知圆心为(2,﹣3),一条直径的两个端点恰好在两个坐标轴上,则圆的方程是()A . (x﹣2)2+(y+3)2=5B . (x﹣2)2+(y+3)2=21C . (x﹣2)2+(y+3)2=13D . (x﹣2)2+(y+3)2=52二、填空题 (共8题;共8分)11. (1分) (2016高二上·平阳期中) 过点P(1,﹣2)且垂直于直线x﹣3y+2=0的直线方程为________12. (1分) (2016高二上·青浦期中) 在平面直角坐标系中, =(1,4), =(﹣3,1),且与在直线l方向向量上的投影的长度相等,若直线l的倾斜角为钝角,则直线l的斜率是________.13. (1分) (2017高一下·扬州期末) 已知α,β,γ是三个平面,m,n是两条直线,有下列四个命题:①如果m⊥α,m⊂β,那么α⊥β;②如果m⊥n,m⊥α,那么n∥α;③如果α⊥β,m∥α,那么m⊥β;④如果α∥β,α∩γ=m,β∩γ=n,那么m∥n.其中正确的命题有________.(写出所有正确命题的序号)14. (1分) (2016高二上·扬州期中) 如果对任何实数k,直线(3+k)x+(1﹣2k)y+1+5k=0都过一个定点A,那么点A的坐标是________.15. (1分)已知直线5x+4y=2a+1与直线2x+3y=a的交点位于第四象限,则a的取值范围是________.16. (1分)已知圆O:x2+y2=8,点A(2,0),动点M在圆上,则∠OMA的最大值为________17. (1分)直线(2m+1)x+(3m﹣2)y+1﹣5m=0被圆x2+y2=16截得弦长的最小值为________18. (1分)已知直三棱柱ABC﹣A1B1C1中,∠ABC=90°,AB=BC=BB1 ,求异面直线A1B与B1C所成的角________三、解答题 (共6题;共50分)19. (10分) (2017高一上·武邑月考) 如图,在平面直角坐标系内,已知点,,圆的方程为,点为圆上的动点.(1)求过点的圆的切线方程.(2)求的最大值及此时对应的点的坐标.20. (10分) (2015高一上·福建期末) 如图(1),在正方形SG1G2G3中,E、F分别是G1G2、G2G3的中点,D是EF的中点,现沿SE、SF及EF把这个正方形折成一个几何体如图(2),使G1、G2、G3三点重合于点G.证明:(1) G在平面SEF上的射影为△SEF的垂心;(2)求二面角G﹣SE﹣F的正弦值.21. (5分) (2019高三上·上海期中) 如图,在四棱锥P-ABCD中,AD∥BC, ADC= PAB=90°,BC=CD= AD.E为棱AD的中点,异面直线PA与CD所成的角为90°.(I)在平面PAB内找一点M,使得直线CM∥平面PBE,并说明理由;(II)若二面角P-CD-A的大小为45°,求直线PA与平面PCE所成角的正弦值.22. (5分)已知直线l:y=3x+3求(1)点P(4,5)关于l的对称点坐标;(2)直线y=x﹣2关于l对称的直线的方程.23. (10分) (2016高三上·枣阳期中) 在直角坐标系xOy中,圆C的参数方程(φ为参数).以O为极点,x轴的非负半轴为极轴建立极坐标系.(1)求圆C的极坐标方程;(2)直线l的极坐标方程是ρ(sinθ+ )=3 ,射线OM:θ= 与圆C的交点为O,P,与直线l的交点为Q,求线段PQ的长.24. (10分) (2018高一下·长阳期末) 如图,四棱锥P-ABCD中,PA⊥平面ABCD ,底面ABCD是边长为2的正方形,PA=AD , F为PD的中点.(1)求证:AF⊥平面PDC;(2)求直线AC与平面PCD所成角的大小.参考答案一、选择题 (共10题;共20分)1-1、2-1、3-1、4-1、5-1、6-1、7-1、8-1、9-1、10-1、二、填空题 (共8题;共8分)11-1、12-1、13-1、14-1、15-1、16-1、17-1、18-1、三、解答题 (共6题;共50分) 19-1、19-2、20-1、20-2、22-1、23-1、23-2、24-1、24-2、。
一、选择题1.(0分)[ID :12426]已知m ,n 表示两条不同直线,α表示平面,下列说法正确的是( ) A .若//,//,m n αα则//m nB .若m α⊥,n α⊂,则m n ⊥C .若m α⊥,m n ⊥,则//n αD .若//m α,m n ⊥,则n α⊥ 2.(0分)[ID :12414]已知正四棱锥P ABCD -的所有顶点都在同一球面上,若球的半径为3,则该四棱锥的体积的最大值为( )A .643B .32C .54D .643.(0分)[ID :12407]下列命题正确的是( )A .经过三点确定一个平面B .经过一条直线和一个点确定一个平面C .两两相交且不共点的三条直线确定一个平面D .四边形确定一个平面4.(0分)[ID :12399]设圆C :223x y +=,直线l :360x y +-=,点()00,P x y l ∈,若存在点Q C ∈,使得60OPQ ∠=︒(O 为坐标原点),则0x 的取值范围是( ) A .1,12⎡⎤-⎢⎥⎣⎦ B .60,5⎡⎤⎢⎥⎣⎦ C .[]0,1 D .16,25⎡⎤-⎢⎥⎣⎦5.(0分)[ID :12372]已知正四面体ABCD 中,M 为棱AD 的中点,设P 是BCM ∆(含边界)内的点,若点P 到平面ABC ,平面ACD ,平面ABD 的距离相等,则符合条件的点P ( )A .仅有一个B .有有限多个C .有无限多个D .不存在6.(0分)[ID :12352]已知直线20ax y a +-+=在两坐标轴上的截距相等,则实数(a = )A .1B .1-C .2-或1D .2或1 7.(0分)[ID :12348]已知圆O :2224110x y x y ++--=,过点()1,0M 作两条相互垂直的弦AC 和BD ,那么四边形ABCD 的面积最大值为( )A .42B .24C .212 D .6 8.(0分)[ID :12342]从点(,3)P m 向圆22(2)(2)1x y +++=引切线,则切线长的最小值( )A.B .5C D .49.(0分)[ID :12384]若圆22240x y x y +--=的圆心到直线0x y a -+=的距离为,则a 的值为( )A .-2或2B .12或32C .2或0D .-2或010.(0分)[ID :12371]若方程21424x kx k +-=-+ 有两个相异的实根,则实数k 的取值范围是( )A .13,34⎛⎤ ⎥⎝⎦ B .13,34⎛⎫ ⎪⎝⎭ C .53,124⎛⎫ ⎪⎝⎭ D .53,12411.(0分)[ID :12418]如图,正四面体ABCD 中,,E F 分别是线段AC 的三等分点,P 是线段AB 的中点,G 是线段BD 的动点,则( )A .存在点G ,使PG EF ⊥成立B .存在点G ,使FG EP ⊥成立C .不存在点G ,使平面EFG ⊥平面ACD 成立D .不存在点G ,使平面EFG ⊥平面ABD 成立 12.(0分)[ID :12410]已知三棱锥S ABC -的所有顶点都在球O 的求面上,ABC ∆是边长为1的正三角形,SC 为球O 的直径,且2SC =,则此棱锥的体积为( ) A 2 B 3C 2 D 2 13.(0分)[ID :12332]长方体的三个相邻面的面积分别为2,3,6,则该长方体外接球的表面积为( )A .72πB .56πC .14πD .64π14.(0分)[ID :12370]如图1,ABC ∆是以B 为直角顶点的等腰直角三角形,T 为线段AC 的中点,G 是BC 的中点,ABE ∆与BCF ∆分别是以AB 、BC 为底边的等边三角形,现将ABE ∆与BCF ∆分别沿AB 与BC 向上折起(如图2),则在翻折的过程中下列结论可能正确的个数为( )图1 图2(1)直线AE ⊥直线BC ;(2)直线FC ⊥直线AE ;(3)平面//EAB 平面FGT ;(4)直线//BC 直线AE .A .1个B .2个C .3个D .4个15.(0分)[ID :12360]如图,网格纸上小正方形的边长为1,粗实(虚)线画出的是某多面体的三视图,则该多面体的体积为( )A .64B .643C .16D .163二、填空题16.(0分)[ID :12493]设P ,A ,B ,C 是球O 表面上的四个点,PA ,PB ,PC 两两垂直,且1PA PB PC ===,则球O 的表面积为____________.17.(0分)[ID :12492]已知平面α与正方体的12条棱所成角相等,设所成角为θ,则sin θ=______.18.(0分)[ID :12477]已知棱长为1的正方体ABCD -A 1B 1C 1D 1中,E ,F ,M 分别是线段AB 、AD 、AA 1的中点,又P 、Q 分别在线段A 1B 1、A 1D 1上,且A 1P =A 1Q =x (0<x <1).设平面MEF ∩平面MPQ=l ,现有下列结论:①l ∥平面ABCD ;②l ⊥AC ;③直线l 与平面BCC 1B 1不垂直;④当x 变化时,l 不是定直线.其中不成立的结论是________.(写出所有不成立结论的序号)19.(0分)[ID :12463]已知圆22:20(0)M x y ay a +-=>截直线0x y +=所得线段的长度是2M 与圆22:(1)(1)1N x y -+-=的位置关系是_________.20.(0分)[ID :12457]点(5,2)到直线()1(21)5m x m y m -+-=-的距离的最大值为________.21.(0分)[ID :12523]已知在直角梯形ABCD 中,AB AD ⊥,CD AD ⊥,224AB AD CD ===,将直角梯形ABCD 沿AC 折叠,使平面BAC ⊥平面DAC ,则三棱锥D ABC -外接球的体积为__________.22.(0分)[ID :12498]函数2291041y x x x +-+_________.23.(0分)[ID :12437]在正方体1111ABCD A B C D -中,①BD 平面11CB D ②直线AD 与1CB 所成角的大小为60︒③1AA BD ⊥ ④平面11A BC ∥平面1ACD请把所有正确命题的序号填在横线上________.24.(0分)[ID :12472]已知棱台的上下底面面积分别为4,16,高为3,则该棱台的体积为________.25.(0分)[ID :12435]已知直线1:1l y x =-上有两个点11(,)A x y 和22(,)B x y , 且12,x x 为一元二次方程2610x x -+=的两个根, 则过点,A B 且和直线2:1l x =-相切的圆的方程为______________.三、解答题26.(0分)[ID :12628]已知点()1,0P ,圆22:6440C x y x y +-++=. (1)若直线l 过点P 且到圆心C 的距离为2,求直线l 的方程;(2)设过点()0,1Q -的直线m 与圆C 交于A 、B 两点(m 的斜率为负),当||4AB =时,求以线段AB 为直径的圆的方程.27.(0分)[ID :12571]如图所示,四棱锥B AEDC -中,平面AEDC ⊥平面ABC ,F 为BC 的中点,P 为BD 的中点,且AE ∥DC ,90ACD BAC ∠=∠=︒,2DC AC AB AE ===.(Ⅰ)证明:平面BDE ⊥平面BCD ;(Ⅱ)若2DC =,求三棱锥E BDF -的体积.28.(0分)[ID :12558]在直角坐标系中,射线OA: x -y=0(x≥0),OB: x+2y=0(x≥0),过点P(1,0)作直线分别交射线OA 、OB 于A 、B 两点.(1)当AB 中点为P 时,求直线AB 的方程;(2)当AB 中点在直线12y x =上时,求直线AB 的方程. 29.(0分)[ID :12551]已知以点C (1,﹣2)为圆心的圆与直线x+y ﹣1=0相切. (1)求圆C 的标准方程;(2)求过圆内一点P (2,﹣)的最短弦所在直线的方程.30.(0分)[ID :12613]如图,直三棱柱111ABC A B C -的底面是边长为4的正三角形,M ,N 分别是BC ,1CC 的中点.(1)证明:平面AMN ⊥平面11B BCC ;(2)若直线1A C 与平面11A ABB 所成的角为30,试求三棱锥M ANC -的体积.【参考答案】2016-2017年度第*次考试试卷 参考答案**科目模拟测试一、选择题1.B2.A3.C4.B5.A6.D7.B8.A9.C10.D11.C12.A13.C14.C15.D二、填空题16.【解析】【分析】利用条件两两垂直且把三棱锥扩展为正方体球的直径即是正方体的体对角线长由球的表面积公式求解【详解】先把三棱锥扩展为正方体则正方体的体对角线的长为所以球的半径为所以球的表面积为【点睛】本17.【解析】【分析】棱与平面所成的角相等所以平面就是与正方体的12条棱的夹角均为θ的平面之一设出棱长即可求出【详解】因为棱与平面所成的角相等所以平面就是与正方体的条棱的夹角均为的平面设棱长为:易知故答案18.④【解析】【详解】连接BDB1D1∵A1P=A1Q=x∴PQ∥B1D1∥BD∥EF则PQ∥平面ME F又平面MEF∩平面MPQ=l∴PQ∥ll∥EF∴l∥平面ABCD故①成立;又EF⊥AC∴l⊥AC故19.相交【解析】【分析】根据直线与圆相交的弦长公式求出的值结合两圆的位置关系进行判断即可【详解】解:圆的标准方程为则圆心为半径圆心到直线的距离圆截直线所得线段的长度是即则圆心为半径圆的圆心为半径则即两个20.【解析】【分析】先判断过定点可得点到直线的距离的最大值就是点与点的距离从而可得结果【详解】化简可得由所以过定点点到直线的距离的最大值就是点与点的距离为故答案为【点睛】本题主要考查直线过定点问题以及两21.【解析】结合题意画出折叠后得到的三棱锥如图所示由条件可得在底面中取AB的中点OAC的中点E连OCOE则∵∴∵平面平面∴平面∴又∴∴∴点O为三棱锥外接球的球心球半径为2∴答案:点睛:(1)本题是一道关22.【解析】【分析】将变形为设则即轴上的一动点到的距离之和作点关于轴的对称点即可求出距离和的最小值;【详解】解:设则即轴上的一动点到的距离之和作点关于轴的对称点连接则即为距离和的最小值故答案为:【点睛】23.①③④【解析】【分析】利用线面平行的判定定理判断①;由异面直线所成角判断②;由线面垂直的性质判断③;由面面平行的判定定理判断④【详解】对于①如下图所示由于则四边形为平行四边形则面面所以平面故①正确;24.28【解析】【分析】由题意结合棱台的体积公式求解棱台的体积即可【详解】由棱台的体积公式可得棱台的体积:故答案为:28【点睛】本题主要考查棱台的体积公式及其应用意在考查学生的转化能力和计算求解能力25.或【解析】【分析】由题意可知所以中点坐标为圆心在直线的中垂线上故过圆心满足直线设圆心的坐标为由圆与直线相切故由弦长公式可得圆心到直线的距离为由勾股定理可知解得:当时;当时得解【详解】上有两个点和为一三、解答题26.27.28.29.30.2016-2017年度第*次考试试卷参考解析【参考解析】**科目模拟测试一、选择题1.B解析:B【解析】试题分析:线面垂直,则有该直线和平面内所有的直线都垂直,故B 正确.考点:空间点线面位置关系.2.A解析:A【解析】【分析】设底面ABCD 的边长为a ,四棱锥的高为h ,可得22122a h h =-,得出四棱锥的体积关于h 的函数()V h ,求出V 的极大值点,即可得到四棱锥的体积的最大值.【详解】正四棱锥P ABCD -的所有顶点都在同一球面上,若球的半径为3,设底面ABCD 的边长为a ,四棱锥的高为h ,设正四棱锥的底面ABCD 的中心为1O .则OA =,1PO ⊥ 平面ABCD .则22211OO O A OA +=,即()222332a h ⎛⎫+-= ⎪ ⎪⎝⎭,可得22122a h h =-. 则该四棱锥的体积为()221112233V a h h h h =⨯=- 令()()2122f h h h h =-,则()2246f h h h '=-当04h <<时,()0f h '>,f h 单调递增.当4h >时,()0f h '<,f h 单调递减.所以当4h =时,该四棱锥的体积有最大值,最大值为:()216412424433⨯⨯-⨯⨯= . 故选:A【点睛】本题考查了四棱锥与球的组合体,求椎体的体积,关键是利用了导数求体积的最值.属于中档题.3.C解析:C【解析】【分析】根据确定一个平面的公理及推论即可选出.【详解】A 选项,根据平面基本性质知,不共线的三点确定一个平面,故错误;B 选项,根据平面基本性质公理一的推论,直线和直线外一点确定一个平面,故错误;C 选项,根据公理一可知,不共线的三点确定一个平面,而两两相交且不共点的三条直线,在三个不共线的交点确定的唯一平面内,所以两两相交且不共点的三条直线确定一个平面,正确;选项D,空间四边形不能确定一个平面,故错误;综上知选C.【点睛】本题主要考查了平面的基本性质公理一及其推论,属于中档题.4.B解析:B【解析】【分析】圆O 外有一点P ,圆上有一动点Q ,OPQ ∠在PQ 与圆相切时取得最大值.如果OP 变长,那么OPQ ∠可以获得的最大值将变小.因为sin QO OPQ PO∠=,QO 为定值,即半径,PO 变大,则sin OPQ ∠变小,由于(0,)2OPQ π∠∈,所以OPQ ∠也随之变小.可以得知,当60OPQ ∠=︒,且PQ 与圆相切时,2PO =,而当2PO >时,Q 在圆上任意移动,60OPQ ∠<︒恒成立.因此,P 的取值范围就是2PO ,即满足2PO ,就能保证一定存在点Q ,使得60OPQ ∠=︒,否则,这样的点Q 是不存在的.【详解】由分析可得:22200PO x y =+又因为P 在直线l 上,所以00(36)x y =--要使得圆C 上存在点Q ,使得60OPQ ∠=︒,则2PO故22220000103634PO x y y y ==+-+ 解得0825y ,0605x 即0x 的取值范围是6[0,]5,故选:B .【点睛】解题的关键是充分利用几何知识,判断出2PO ,从而得到不等式求出参数的取值范围. 5.A解析:A【解析】【分析】根据正四面体的对称性分析到平面ABC ,平面ACD ,平面ABD 的距离相等的点的轨迹,与BCM ∆所在平面的公共部分即符合条件的点P .【详解】在正四面体ABCD 中,取正三角形BCD 中心O ,连接AO ,根据正四面体的对称性,线段AO 上任一点到平面ABC ,平面ACD ,平面ABD 的距离相等,到平面ABC ,平面ACD ,平面ABD 的距离相等的点都在AO 所在直线上,AO 与BCM ∆所在平面相交且交于BCM ∆内部,所以符合题意的点P 只有唯一一个.故选:A【点睛】此题考查正四面体的几何特征,对称性,根据几何特征解决点到平面距离问题,考查空间想象能力.6.D解析:D【解析】【分析】根据题意讨论直线它在两坐标轴上的截距为0和在两坐标轴上的截距不为0时,求出对应a 的值,即可得到答案.【详解】由题意,当2a 0-+=,即a 2=时,直线ax y 2a 0+-+=化为2x y 0+=, 此时直线在两坐标轴上的截距都为0,满足题意;当2a 0-+≠,即a 2≠时,直线ax y 2a 0+-+=化为122x y a a a+=--, 由直线在两坐标轴上的截距相等,可得2a 2a a-=-,解得a 1=; 综上所述,实数a 2=或a 1=.故选:D .【点睛】本题主要考查了直线方程的应用,以及直线在坐标轴上的截距的应用,其中解答中熟记直线在坐标轴上的截距定义,合理分类讨论求解是解答的关键,着重考查了运算与求解能力,属于基础题. 7.B解析:B【解析】【分析】设圆心到AC ,BD 的距离为1d ,2d ,则222128d d MO +==,12S AC BD =⋅=,利用均值不等式得到最值. 【详解】 2224110x y x y ++--=,即()()221216x y ++-=,圆心为()1,2O -,半径4r =. ()1,0M 在圆内,设圆心到AC ,BD 的距离为1d ,2d ,则222128d d MO +==.1122S AC BD =⋅=⨯=2212161624d d ≤-+-=,当22121616d d -=-,即122d d ==时等号成立. 故选:B .【点睛】本题考查了圆内四边形面积的最值,意在考查学生的计算计算能力和转化能力.8.A解析:A【解析】【分析】设切线长为d ,则2222(2)51(2)24d m m =++-=++再利用二次函数的图像和性质求函数的最小值得解.【详解】设切线长为d ,则2222(2)51(2)24d m m =++-=++, min d ∴=故选:A.【点睛】本题主要考查圆的切线问题,考查直线和圆的位置关系,意在考查学生对这些知识的掌握水平和分析推理能力. 9.C解析:C【解析】【分析】把圆的方程化为标准方程,找出圆心坐标,根据点到直线的距离公式列出关于a 的方程,求出方程的解得到a 的值即可.【详解】把圆的方程化为标准式为:22(1)(2)5x y -+-=,所以圆心坐标为(1,2).则圆心到直线0x y a -+=的距离2d ==, 即11a -=,化简得11a -=或11a -=-,解得:2a =或0a =.所以a 的值为0或2.故选C.【点睛】本题考查学生会将圆的一般式方程化为标准式方程,灵活运用点到直线的距离公式化简求值.10.D解析:D【解析】【分析】由题意可得,曲线22(1)4(1)x y y +-=与直线4(2)y k x -=-有2个交点,数形结合求得k 的范围.【详解】如图所示,化简曲线得到22(1)4(1)x y y +-=,表示以(0,1)为圆心,以2为半径的上半圆,直线化为4(2)y k x -=-,过定点(2,4)A ,设直线与半圆的切线为AD ,半圆的左端点为(2,1)B -,当AD AB k k k <,直线与半圆有两个交点,AD 221k =+,解得512AD k =, 4132(2)4AB k -==--,所以53,124k ⎛⎤∈ ⎥⎝⎦. 故选:D【点睛】本题考查直线与圆的位置关系,属于中档题.11.C解析:C【解析】【分析】利用空间中线线、线面、面面间的位置关系对选项进行一一验证,即可得答案.【详解】正四面体ABCD 中,,E F 分别是线段AC 的三等分点,P 是线段AB 的中点,G 是直线BD 的动点,在A 中,不存在点G ,使PG EF ⊥成立,故A 错误;在B 中,不存在点G ,使FG EP ⊥成立,故B 错误;在C 中,不存在点G ,使平面EFG ⊥平面ACD 成立,故C 正确;在D 中,存在点G ,使平面EFG ⊥平面ABD 成立,故D 错误.故选:C.【点睛】本题考查命题真假的判断、考查空间中线线、线面、面面间的位置关系,考查转化与化归思想,考查空间想象能力.12.A解析:A【解析】【分析】【详解】根据题意作出图形:设球心为O,过ABC三点的小圆的圆心为O1,则OO1⊥平面ABC,延长CO1交球于点D,则SD⊥平面ABC.∵CO1=233 323⨯=,∴116 133OO=-=,∴高SD=2OO1=263,∵△ABC是边长为1的正三角形,∴S△ABC=34,∴132623436S ABCV-=⨯⨯=三棱锥.考点:棱锥与外接球,体积.【名师点睛】本题考查棱锥与外接球问题,首先我们要熟记一些特殊的几何体与外接球(内切球)的关系,如正方体(长方体)的外接球(内切球)球心是对角线的交点,正棱锥的外接球(内切球)球心在棱锥的高上,对一般棱锥来讲,外接球球心到名顶点距离相等,当问题难以考虑时,可减少点的个数,如先考虑到三个顶点的距离相等的点是三角形的外心,球心一定在过此点与此平面垂直的直线上.如直角三角形斜边中点到三顶点距离相等等等.13.C解析:C【解析】【分析】由题意首先求得长方体的棱长,然后求解其外接球的表面积即可.【详解】设长方体的棱长分别为,,a b c ,则236ab bc ac =⎧⎪=⎨⎪=⎩,所以()236abc =,于是213a b c =⎧⎪=⎨⎪=⎩,设球的半径为R ,则2222414R a b c =++=,所以这个球面的表面积为24R π=14π. 本题选择C 选项.【点睛】与球有关的组合体问题,一种是内切,一种是外接.解题时要认真分析图形,明确切点和接点的位置,确定有关元素间的数量关系,并作出合适的截面图,如球内切于正方体,切点为正方体各个面的中心,正方体的棱长等于球的直径;球外接于正方体,正方体的顶点均在球面上,正方体的体对角线长等于球的直径.14.C解析:C【解析】【分析】(1)翻折时使得平面ABE ⊥平面ABC ,由面面垂直的性质定理得出BC ⊥平面ABE ,从而使得(1)有可能;(2)翻折时使得点E 、F 两点重合,利用勾股定理可证得此时AE CE ⊥,即AE FC ⊥;(3)翻折时使得平面ABE 和平面BCF 同时与平面ABC 垂直,利用面面垂直的性质定理、直线与平面平行的判定定理以及面面平行的判定定理可证明出平面//EAB 平面FGT ;(4)利用反证法,可推出//BC AE 不成立.【详解】(1)翻折时,若平面ABE ⊥平面ABC ,由于ABC ∆是以B 为直角顶点的等腰直角三角形,则BC AB ⊥,又平面ABE 平面ABC AB =,BC ⊂平面ABC ,BC ∴⊥平面ABE ,AE ⊂平面ABC ,此时AE BC ⊥;(2)设AB BC a ==,则2AC a =,且有AE CF a ==,翻折时,若点E 、F 重合,则AE CE a ==,222AE CE AC ∴+=,此时,AE CE ⊥,即AE FC ⊥;(3)如下图所示:翻折时,若平面ABE 和平面BCF 同时与平面ABC 垂直,取AB 的中点D ,连接DE 、FG 、GT 、FT .ABE ∆是等边三角形,且D 为AB 的中点,DE AB ⊥∴.平面ABE ⊥平面ABC ,平面ABE 平面ABC AB =,DE ⊂平面ABE .DE ∴⊥平面ABC ,同理可证FG ⊥平面ABC ,//DE FG ∴,DE ⊄平面FGT ,FG ⊂平面FGT ,//DE ∴平面FGT .G 、T 分别为BC 、AC 的中点,//AB GT ∴,AB ⊄平面FGT ,GT ⊂平面FGT ,//AB ∴平面FGT .DE AB D =,∴平面//EAB 平面FGT ;(4)假设AE 与BC 可能平行,BC AB ⊥,则AE AB ⊥,事实上60BAE ∠=, 即AE 与AB 不垂直,假设不成立,因此,AE 与BC 不可能平行.因此,可能正确命题的个数为3.故选:C.【点睛】本题考查的是线面位置关系的判定,判断时要熟悉线面、面面平行与垂直的判定、性质定理,考查推理能力,属于中等题. 15.D解析:D【解析】根据三视图知几何体是:三棱锥D ABC -为棱长为4的正方体一部分,直观图如图所示:B 是棱的中点,由正方体的性质得,CD ⊥平面,ABC ABC ∆的面积12442S =⨯⨯=,所以该多面体的体积1164433V =⨯⨯=,故选D.二、填空题16.【解析】【分析】利用条件两两垂直且把三棱锥扩展为正方体球的直径即是正方体的体对角线长由球的表面积公式求解【详解】先把三棱锥扩展为正方体则正方体的体对角线的长为所以球的半径为所以球的表面积为【点睛】本解析:3π【解析】【分析】利用条件PA ,PB ,PC 两两垂直,且1PA PB PC ===把三棱锥P ABC -扩展为正方体,球的直径即是正方体的体对角线长,由球的表面积公式求解.【详解】先把三棱锥P ABC -3,所以球的半径为3 所以球的表面积为234π3π2⎛⎫⨯= ⎪ ⎪⎝⎭.【点睛】 本题主要考查了球的体积公式:343V r π=球(其中r 为球的半径)及长方体的体对角线长公式:222l a b c =++,,a b c 分别是长方体的长、宽、高).17.【解析】【分析】棱与平面所成的角相等所以平面就是与正方体的12条棱的夹角均为θ的平面之一设出棱长即可求出【详解】因为棱与平面所成的角相等所以平面就是与正方体的条棱的夹角均为的平面设棱长为:易知故答案 3【解析】【分析】棱11111,,A A A B A D 与平面11AB D 所成的角相等,所以平面11AB D 就是与正方体的12条棱的夹角均为θ的平面之一,设出棱长,即可求出sin θ.【详解】因为棱11111,,A A A B A D 与平面11AB D 所成的角相等,所以平面11AB D 就是与正方体的12条棱的夹角均为θ的平面,1A AO θ∠=,设棱长为:1,126,22AO AO ==,易知232sin 6θ== 3【点睛】本题考查了线面所成的角,解题的关键是作出线面角,属于基础题. 18.④【解析】【详解】连接BDB1D1∵A1P =A1Q =x ∴PQ ∥B1D1∥BD ∥EF 则PQ ∥平面MEF 又平面MEF∩平面MPQ =l ∴PQ ∥ll ∥EF ∴l ∥平面ABCD 故①成立;又EF ⊥AC ∴l ⊥AC 故解析:④【解析】【详解】连接BD ,B 1D 1,∵A 1P =A 1Q =x ,∴PQ ∥B 1D 1∥BD ∥EF ,则PQ ∥平面MEF , 又平面MEF ∩平面MPQ =l ,∴PQ ∥l ,l ∥EF ,∴l ∥平面ABCD ,故①成立;又EF ⊥AC ,∴l ⊥AC ,故②成立;∵l ∥EF ∥BD ,故直线l 与平面BCC 1B 1不垂直,故③成立;当x 变化时,l 是过点M 且与直线EF 平行的定直线,故④不成立.即不成立的结论是④.19.相交【解析】【分析】根据直线与圆相交的弦长公式求出的值结合两圆的位置关系进行判断即可【详解】解:圆的标准方程为则圆心为半径圆心到直线的距离圆截直线所得线段的长度是即则圆心为半径圆的圆心为半径则即两个解析:相交【解析】【分析】根据直线与圆相交的弦长公式,求出a 的值,结合两圆的位置关系进行判断即可.【详解】解:圆的标准方程为222:()(0)M x y a a a +-=>,则圆心为(0,)a ,半径R a =,圆心到直线0x y +=的距离2d =,圆22:20(0)M x y ay a +-=>截直线0x y +=所得线段的长度是22222222a a ∴-即24a =,2a =,则圆心为(0,2)M ,半径2R =,圆22:(1)(1)1N x y -+-=的圆心为(1,1)N ,半径1r =, 则2MN =3R r +=,1R r -=,R r MN R r ∴-<<+,即两个圆相交.故答案为:相交.【点睛】本题主要考查直线和圆相交的应用,以及两圆位置关系的判断,根据相交弦长公式求出a 的值是解决本题的关键.20.【解析】【分析】先判断过定点可得点到直线的距离的最大值就是点与点的距离从而可得结果【详解】化简可得由所以过定点点到直线的距离的最大值就是点与点的距离为故答案为【点睛】本题主要考查直线过定点问题以及两 解析:213 【解析】 【分析】 先判断()()1215m x m y m -+-=-过定点()9,4-,可得点(5,2)到直线()()1215m x m y m -+-=-的距离的最大值就是点(5,2)与点()9,4-的距离,从而可得结果.【详解】化简()()1215m x m y m -+-=-可得m ()()2150x y x y +--+-=,由2109504x y x x y y +-==⎧⎧⇒⎨⎨+-==-⎩⎩, 所以()()1215m x m y m -+-=-过定点()9,4-,点(5,2)到直线()()1215m x m y m -+-=-的距离的最大值就是点(5,2)与点()9,4-的距离为()224652213-+==,故答案为213.【点睛】本题主要考查直线过定点问题以及两点间距离公式的应用,考查了转化思想的应用,属于中档题. 转化是数学解题的灵魂,合理的转化不仅仅使问题得到了解决,还可以使解决问题的难度大大降低,本解法将求最大值的问题转化成了两点间的距离的问题来解决,转化巧妙. 21.【解析】结合题意画出折叠后得到的三棱锥如图所示由条件可得在底面中取AB 的中点OAC 的中点E 连OCOE 则∵∴∵平面平面∴平面∴又∴∴∴点O 为三棱锥外接球的球心球半径为2∴答案:点睛:(1)本题是一道关解析:323π 【解析】结合题意画出折叠后得到的三棱锥D ABC -如图所示,由条件可得在底面ACB ∆中,90,22ACB AC BC ∠=︒==。
广东省潮州市高一下学期期中数学试卷
姓名:________ 班级:________ 成绩:________
一、选择题 (共12题;共24分)
1. (2分)下列各数中最小的数为()
A .
B .
C .
D .
2. (2分)(2017·商丘模拟) 我国南宋时期的著名数学家秦九韶在他的著作《数学九章》中提出了秦九韶算法来计算多项式的值,在执行如图算法的程序框图时,若输入的n=5,x=2,则输出V的值为()
A . 15
B . 31
C . 63
D . 127
3. (2分)(2012·山东理) 采用系统抽样方法从960人中抽取32人做问卷调查,为此将他们随机编号为1,2,…,960,分组后在第一组采用简单随机抽样的方法抽到的号码为9.抽到的32人中,编号落入区间[1,450]
的人做问卷A,编号落入区间[451,750]的人做问卷B,其余的人做问卷C.则抽到的人中,做问卷B的人数为()
A . 7
B . 9
C . 10
D . 15
4. (2分) (2017高二上·石家庄期末) 某单位要在800名员工中抽去80名员工调查职工身体健康状况,其中青年员工400名,中年员工300名,老年员工100名,下列说法错误的是()
A . 老年人应作为重点调查对象,故抽取的老年人应超过40名
B . 每个人被抽到的概率相同为
C . 应使用分层抽样抽取样本调查
D . 抽出的样本能在一定程度上反映总体的健康状况
5. (2分)甲、乙两队进行排球决赛.现在的情形是甲队只要再赢一局就获冠军,乙队需要再赢两局才能得冠军.若两队胜每局的概率相同,则甲队获得冠军的概率为()
A .
B .
C .
D .
6. (2分)从装有2只红球和2只黒球的口袋内任取2个球,那么互斥而不对立的两个事件是()
A . 至少有一个黒球与都是黒球
B . 至少有一个黒球与都是红球
C . 至少有一个黒球与至少有2个红球
D . 恰有一只黒球与恰有2只黒球
7. (2分) (2019高三上·朝阳月考) 众所周知的“太极图”,其形状如对称的阴阳两鱼互抱在一起,因而也被称为“阴阳鱼太极图”.如图是放在平面直角坐标系中的“太极图”,整个图形是一个圆形,其中黑色阴影区域在y轴右侧部分的边界为一个半圆.给出以下命题:
①在太极图中随机取一点,此点取自黑色阴影部分的概率是;②当时,直线与黑色阴影部分有公共点;③当时,直线与黑色阴影部分有两个公共点.其中所有正确结论的序号是()
A . ①
B . ②
C . ③
D . ①②
8. (2分) (2017高一下·珠海期末) 一组数x,y,4,5,6的均值是5,方差是2,则xy=()
A . 25
B . 24
C . 21
D . 30
9. (2分)(2014·新课标I卷理) 已知集合A={x|x2﹣2x﹣3≥0},B={x|﹣2≤x<2},则A∩B=()
A . [1,2)
B . [﹣1,1]
C . [﹣1,2)
D . [﹣2,﹣1]
10. (2分)已知,,则的值等()
A .
B .
C . 7
D . -7
11. (2分)已知tanα=3,则 =()
A .
B .
C .
D .
12. (2分) (2019高一下·杭州期末) 设函数,若关于x的方程恰有个不同的实数解,则实数a的取值范围为()
A .
B .
C .
D .
二、填空题: (共4题;共6分)
13. (1分)在如图所示的算法中,输出的i的值是________.
14. (1分)五人随机站成一排,则甲、乙不同时站两端的概率是________(用数字作答)
15. (2分)(2017·温州模拟) 在政治、历史、地理、物理、化学、生物、技术7门学科中任选3门,若同学甲必选物理,则甲的不同选法种数为________,乙丙两名同学都选物理的概率是________.
16. (2分)有一扇形其弧长为6,半径为3,则该弧所对弦长为________ 扇形面积为________
三、解答题 (共6题;共60分)
17. (5分)某市为增强市民的环境保护意识,面向全市征召义务宣传志愿者.现从符合条件的志愿者中随机抽取100名按年龄分组:第1组[20,25),第2组[25,30),第3组[30,35),第4组[35,40),第5组[40,45],得到的频率分布直方图如图所示.
(Ⅰ)若从第3,4,5组中用分层抽样的方法抽取6名志愿者参广场的宣传活动,应从第3,4,5组各抽取多少名志愿者?
(Ⅱ)在(1)的条件下,该市决定在第3,4组的志愿者中随机抽取2名志愿者介绍宣传经验,求第4组至少有一名志愿者被抽中的概率.
18. (5分)(2019·天津模拟) 已知某单位甲、乙、丙三个部门的员工人数分别为24,16,16.现采用分层抽样的方法从中抽取7人,进行睡眠时间的调查.
(I)应从甲、乙、丙三个部门的员工中分别抽取多少人?
(II)若抽出的7人中有4人睡眠不足,3人睡眠充足,现从这7人中随机抽取3人做进一步的身体检查.
(i)用X表示抽取的3人中睡眠不足的员工人数,求随机变量X的分布列与数学期望;
(ii)设A为事件“抽取的3人中,既有睡眠充足的员工,也有睡眠不足的员工”,求事件A发生的概率.
19. (10分) (2017高一下·新余期末) 设关于x的一元二次方程x2+ax﹣ +1=0.
(1)若a是从1,2,3这三个数中任取的一个数,b是从0,1,2这三个数中任取的一个数,求上述方程中有实根的概率;
(2)若a是从区间[0,3]中任取的一个数,b是从区间[0,2]中任取的一个数,求上述方程有实根的概率.
20. (10分)(2016·江西模拟) 设关于某产品的明星代言费x(百万元)和其销售额y(百万元),有如表的统计表格:
i12345合计
xi(百万元) 1.26 1.44 1.59 1.71 1.827.82
wi(百万元) 2.00 2.99 4.02 5.00 6.0320.04
yi(百万元) 3.20 4.80 6.507.508.0030.00
=1.56, =4.01, =6, xiyi=48.66, wiyi=132.62,(xi﹣)2=0.20,(wi﹣)
2=10.14
其中.
(1)在坐标系中,作出销售额y关于广告费x的回归方程的散点图,根据散点图指出:y=a+blnx,y=c+dx3哪一个适合作销售额y关于明星代言费x的回归类方程(不需要说明理由);
(2)已知这种产品的纯收益z(百万元)与x,y有如下关系:x=0.2y﹣0.726x(x∈[1.00,2.00]),试写出z=f(x)的函数关系式,试估计当x取何值时,纯收益z取最大值?(以上计算过程中的数据统一保留到小数点第2位)
21. (15分)以下是某地搜集到的新房屋的销售价格y和房屋的面积x的数据:
房屋面积m21109080100120
销售价格(万元)3331283439
(1)画出数据对应的散点图;
(2)求线性回归方程;
(3)据(2)的结果估计当房屋面积为150m2时的销售价格.
(提示:,,1102+902+802+1002+1202=51000,110×33+90×31+80×28+100×34+120×39=16740)
22. (15分) (2019高一下·吉林期中) 已知函数
(1)求对称轴,对称中心
(2)求在的最大值和最小值;
(3)若不等式在上恒成立,求实数的取值范围
参考答案一、选择题 (共12题;共24分)
1-1、
2-1、
3-1、
4-1、
5-1、
6-1、
7-1、
8-1、
9-1、
10-1、
11-1、
12-1、
二、填空题: (共4题;共6分)
13-1、
14-1、
15-1、
16-1、
三、解答题 (共6题;共60分)
17-1、
18-1、
19-1、
19-2、
20-1、
20-2、21-1、
21-2、21-3、
22-1、22-2、22-3、。