电机与拖动基础第三章答案
- 格式:doc
- 大小:496.00 KB
- 文档页数:14
《电机与拖动基础》习题解答.docx《电机与抱助基珊》习题解答第一章直流电机原理P33 1-21-台并励肓流发电机P V = 16W, S=230V,/厂69.6A,g=1600r/min,电枢冋路电阻R 厂0.128Q,励磁冋路电阻心=1500,额定效率仏=85.5%. 试求额定T 作状态下的励磁电流、电枢电流、电枢电动势、电枢铜耗、输入功率、电磁功率。
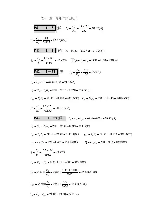
解:/炉=字=瞥R.53A仃厂/斗+/外=69.6+1.53=71.13/1K ( 1J\JE (I N =U N + I aN R a =230+ 71.13x0.128 =239.1 VPcua = /^2 /?a = 71.132 x0.128=647.6W E aN 7,jV = 239.1 x 71.13 = 17kW1-29并励有流发电机P N =7.5kW, U N =220V, I n =40.GA, n N =3000r/min,Ra=0.213定励磁电流/刖=0.683A,不计附加损耗,求电机工作在额定状态下的电枢电流、额定效率、输出转矩、电枢铜耗、励磁铜耗、空载损耗、电磁功率、电磁转矩及空载转矩。
解:I a = I N ? /刖=40.6-0.683=40/1Pi=U N g = 220 X 40.6 =8932W^=7X 100%=^X ,00%=84%p (^=//Ra=402x0.213=341 IVp cuf =[建? R 『=U “= 220 x 0.683 =1501^P O = P\—P N — %厂 P 呵=8932 - 7500-341-150 = 941P 厂 P\— P cua 一 Pc U f = 8932 - 341 -150 = 8441 W C9550 也~=9550 冬丝=27N -mzz v 3000 7; =T-T 2 =27-24=3 N ? m第二章电力拖动系统的动力学P482-9负载的机械特性又哪几种主要类型?各有什么特点?答:负载的机械特性有:恒转矩负载特性、风机、泵类负载特性以及恒功率负载特性,其中恒转矩负载特性又有反抗性恒转矩负载与位能性恒转矩负载,反抗性负载转矩的特点是它的绝对值大小不变,但作用方向总是与旋转方向相反,是阻碍运动的制动性转矩,而位能性转矩的特点是转输出功率p 1N = ^L16 1685.5% 85.5%7; =9550厶 5 =9550x^-=24/V ?加3000 Rf220-0.683= 322Q矩绝对值大小恒定不变,而作用方向也保持不变。
第三章第一节三相异步电动机的基本结构和工作原理(P59)1.三相异步电动机为什么会旋转,怎样改变它的转向?答:三相异步电动机的旋转原理是当定子绕组通入三相交流电流后,在空间产生了一个转速为n1的旋转磁场,设旋转磁场以顺时针方向旋转,则相当于转子导体向逆时针方向旋转切割磁场,在转子导体中就产生感应电动势。
方向由右手定则判定。
因为转子导体已构成闭合回路,转子绕组中有电流通过。
根据电磁力定律,转子载流导体在磁场中受到电磁力的作用,产生电磁转矩,使电动机转子跟着旋转磁场方向顺时针旋转,方向由左手定则判定,其转速为n。
要想改变它的转向可以将三相异步电动机接三相电源的三根引线中的任意两根对调。
2.异步电动机中的空气气隙为什么做的很小?答:异步电动机气隙小的目的是为了减小其励磁电流(空载电流),从而提高电动机功率因数。
因为异步电动机的励磁电流是由电网供给的,故气隙越小,电网供给的励磁电流就小。
而励磁电流又属于感性无功性质、故减小励磁电流,相应就能提高电机的功率因数。
3.三相异步电动机转子电路断开能否起动运行?为什么?答:不可以。
转子绕组中不能产生电流,也就不能产生电磁力。
4.三相异步电动机断了一根电源线后,为什么不能起动?而运行中断了一相电源线,为什么仍能继续转动?这两种情况对电动机将产生什么影响?答:三相异步电动机断了一根电源线后,则三相电源变成了单相电源,由于单相电源所产生的磁场为脉动磁场,所以三相异步电动机不能正常起动(原理同单相异步电动机)。
而三相异步电动机在运行时断了一根电源线,虽此时也为单相运行,但因转子是转动的,脉动磁场对转子导体产生的作用力在两方向上不同,所以电动机仍能继续转动。
这两种情况对电动机均有很大的影响。
两种情况均为过载运行,长时间工作会损坏电动机。
5.假如有一台星形联结的三相异步电动机,在运行中突然切断三相电流,并同时将任意两相定子绕组(例如U、V相)立即接入直流电源,这时异步电动机的工作状态如何?画图分析。
习题参考答案第一章1-5 解:cm /A 98H ,T 1002.0002.0A B ====φ(1) F=Hl=98A/cm ⨯30cm=2940A;I=F/N=2940/1000=2.94A.(2) 此时,F 总=H 铁l 铁+H δδ其中:H 铁l 铁=98A/cm ⨯29.9cm=2930.2A; H δδ=δ⨯B/μ0=0.001/(4π⨯10-7)=795.8A; 所以:F 总=2930.2+795.8=3726A1-6 解:(1);5.199sin Z x ;1407.0200cos Z r 2005.0100Z 1111111ΩϕΩϕΩ===⨯====(2);66.8sin Z x ;55.010cos Z r 1010100Z 1221222ΩϕΩϕΩ===⨯====1-7 解:每匝电势为:匝744884.036N ;V 4884.00022.05044.4f 44.4e m 1===⨯⨯==φ第二章2-13 解:作直线运动的总质量为:Kg 63966.128022m )1m m (2m =⨯⨯+++⨯=总 转动惯量为:222L m kg 63964D m m J ⋅=⨯==总ρ 系统折算后总转动惯量为:2M 2m L eq m kg 74.49J iJ J 2J J ⋅=+++= 总负载静转矩为:Nm 127792/D g )Hq m (T 2L =⨯⨯+= 折算后负载转矩为:Nm 710i T T L'L ==η 电动机转速加速度等于:5.95dt dv D 60i dt dn i dt dn m ===π 由运动方程的启动转矩:Nm 4.12075.9555.974.49710dt dn 55.9J T T eq 'L k =⨯+=+=第三章3-12 解:因为:n 60Np E a φ=(1)单叠:a=2;6004.02602N 230⨯⨯⨯⨯=; N=5750。
第一章作业解答参考1—8.解:)(630230101453A U P I N N N =⨯==)(1619.0145KW P P NN===ηλ 1—20.解:(1)U V n a pN E a <=⨯⨯⨯⨯==)(186150001.0160372260φ 是电动机状态。
∴(2))(46.163208.0186220A R E U I a a a =-=-=)(63.19315002604.30)(4.3046.163186m N P T KW I E P M a a M ⋅=⨯⨯⨯=Ω==⨯==π (3))(6.5208.046.16322KW R I p a a cua =⨯==)(79.292403624.30)(366.54.3021KW p p P P KW p P P Fa M cua M =--=--==+=+=Ω%823679.2912===P P η 1—23.解:(1))(112.54300014.326010172603m N n P P T N N N N N ⋅=⨯⨯⨯⨯=⨯=Ω=π%2.82942201017)(812.557.1112.54)(7.1344014.32608.2)316.08.2220(26030'00000=⨯⨯==⋅=+=+=⋅=⨯⨯⨯⨯⨯-=⨯=Ω=N N N N N a a M I U P m N T T T m N n I E P T ηπ(2)N e e C C Φ=Φ∴0忽略电枢反应影响, 恒定。
0'0Φ-=e a a N C R I U n , 0636,03440316.08.22200=⨯-=Φe C)min (34590636.022000r C U n e N ==Φ=(3) Φ=Φe M C C 55.9)min (27860636.0)15.0316.0(89.91220)()(89.910636.055.9812.55r C R R I U n I T T A C T I e a a N a Z M a =+⨯-=Φ+-=→==⨯=Φ=Ω不变不变,第二章 习题解答参考2—6.解:(1)T T T n C C R R C U n Nm e a N e N 64.1115819.055.94.006.01158202-=⨯+-='-=Φ+-Φ=Ωβ (2)T T T n C C R C U n N m e a N e 21.057921.019.011002-=-=-'=Φ-Φ=β (3)T T T n C C R C U n m e a e N 35.0146717.006.015.022002-=-=''-''=Φ-Φ=β 19.0=ΦN e C N Φ=Φ8.0 15.019.08.0=⨯=Φ∴e C2N m e C C Φ=()255.9N e C Φ=219.055.9⨯=0.28 2Φm e C C =17.028.08.02=⨯2—16.解:(1)[]V R I U E a N N a 20425.064220=⨯-=-=[]A R R E U I Z a a N a 84.67625.0204220max -=+--=---=29.0700204==-=ΦN a N N N e n R I U C 76.229.055.955.9=⨯=Φ=ΦN e N m C C[]m N I C T anax N m ⋅-=-⨯=Φ=23.187)84.67(76.2max停机时 n=0 0=Φ=n C E N e a[]A R R U I Z a N a 2.35625.0220-=+-=+-=[]m N I C T a N m ⋅-=-⨯=Φ=15.97)2.35(76.2此时反抗性负载 []m N I C T N N m Z⋅-=⨯-=Φ-='64.1766476.2 由于 T T Z>' 故系统不会反向起动。
电机与拖动基础习题1(第3-6章)第三章:直流电机原理一、简答题:1、换向器在直流电机中起什么作用在直流发电机中,换向器起整流作用,即把电枢绕组里交流电整流为直流电,在正、负电刷两端输出。
在直流电动机中,换向器起逆变作用,即把电刷外电路中的直流电经换向器逆变为交流电输入电枢元件中。
2、直流电机铭牌上的额定功率是指什么功率直流电机铭牌上的额定功率:对直流发电机而言,指的是输出的电功率的额定值;对直流电动机而言,指的是电动机轴上输出的机械功率的额定值3、直流电机主磁路包括哪几部分磁路未饱和时,励磁磁通势主要消耗在哪一部分直流电机的主磁路主要包括;主磁极、定、转子之间的气隙电枢齿、电枢磁轭、定子磁轭。
磁路未饱和时,铁的磁导率远大于空气的磁导率,气隙的磁阻比磁路中的铁心部分大得多,所以,励磁磁通势主要消耗在气隙上。
4、如何改变他励直流发电机的电枢电动势的方向如何改变他励直流电动机空载运行时的转向通过改变他励直流发电机励磁电流的方向,继而改变主磁通的方向,即可改变电枢电动势的方向;也可以通过改变他励直流发电机的旋转方向来改变电枢电动势的方向。
改变励磁电流的方向,继而改变主磁通的方向,即可改变电动机旋转方向;也可通过改变电枢电压的极性来改变他励直流电动机的旋转方向。
5、直流发电机的损耗主要有哪些铁损耗存在于哪一部分,它随负载变化吗电枢铜损耗随负载变化吗直流发电机的损耗主要有:(1)励磁绕组铜损耗;(2)机械摩擦损耗;(3)铁损耗;(4)电枢铜损耗;(5)电刷损耗;(6)附加损耗。
铁损耗是指电枢铁心在磁场中旋转时硅钢片中的磁滞和涡流损耗。
这两种损耗与磁密大小以及交变频率有关。
当电机的励磁电流和转速不变时,铁损耗也几乎不变。
它与负载的变化几乎没有关系。
电枢铜损耗由电枢电流引起,当负载增加时,电枢电流同时增加,电枢铜损耗随之增加。
电枢铜损耗与电枢电流的平方成正比。
6、他励直流电动机的电磁功率指什么在直流发电机中,电磁功率指的是由机械功率转化为电功率的这部分功率。
许晓峰《电机拖动》第三章习题第三章变压器3.1 变压器是怎样实现变压的?为什么能变电压,⽽不能变频率?3.2 变压器铁⼼的作⽤是什么?为什么要⽤0.35mm厚、表⾯涂有绝缘漆的硅钢⽚叠成?3.3 变压器⼀次绕组若接在直流电源上,⼆次侧会有稳定的直流电压吗,为什么?3.4 变压器有哪些主要部件,其功能是什么?3.5 变压器⼆次额定电压是怎样定义的?3.6 双绕组变压器⼀、⼆次侧的额定容量为什么按相等进⾏设计?3.7 ⼀台380/220V的单相变压器,如不慎将380V加在低压绕组上,会产⽣什么现象?3.8 为什么要把变压器的磁通分成主磁通和漏磁通,它们有哪些区别?并指出空载和负载时产⽣各磁通的磁动势?3.9 变压器空载电流的性质和作⽤如何,其⼤⼩与哪些因素有关?3.11 ⼀台220/110V的单相变压器,试分析当⾼压侧加220V电压时,空载电流i0呈何波形?加110V时⼜呈何波形?若110V加到低压侧,此时i0⼜呈何波形?3.12 当变压器⼀次绕组匝数⽐设计值减少⽽其他条件不变时,铁⼼饱和程度、空载电流⼤⼩、铁损耗、⼆次侧感应电动势和变⽐都将如何变化?3.13 ⼀台频率为60H z的变压器接在50H z的电源上运⾏,其他条件都不变,问主磁通、空载电流、铁损耗和漏抗有何变化?为什么?3.14 变压器的励磁电抗和漏电抗各对应于什么磁通,对已制成的变压器,它们是否是常数?当电源电压降⾄额定值的⼀半时,它们如何变化?这两个电抗⼤好还是⼩好,为什么?并⽐较这两个电抗的⼤⼩。
3.15 ⼀台220/110V的单相变压器,变⽐k=N1/N2=2,能否⼀次绕组⽤2匝,⼆次绕组⽤1匝,为什么?3.16 变压器运⾏时电源电压降低,试分析对变压器铁⼼饱和程度、励磁电流、励磁阻抗和铁损耗有何影响?3.17 变压器制造时:①叠⽚松散、⽚数不⾜;②接缝增⼤;③⽚间绝缘损伤。
试分析以上⼏种情况对变压器铁⼼饱和程度、励磁电流和铁损耗有何影响?3.18 变压器负载时,⼀、⼆次绕组各有哪些电动势或电压降,它们产⽣的原因是什么?并写出电动势平衡⽅程式。
电机拖动第三章答案【篇一:电机与拖动作业答案】p class=txt>姓名:年级:学号:学习中心:1-13 已知直流电机的极对数p=2,槽数z=22,元件数及换向片数s=k=22,试画出单迭绕组展开图、磁极和电刷位置,并画出并联支路图。
解:(1)计算绕组数据:y?yk?1,y1?(2)绕组展开图z221?????5 为短距绕组。
2p42(3)并联支路图电枢电流ia=800[a],问此时电磁转矩为多少?如改为单波绕组,保持支路电流不变,其电磁转矩为多少?mem?cm???ia?pn2?216???ia??2.2?10?2?800?605.35(n?m) 2?a2???2ia800??200(a) 2a2?2单波绕组a=1,支路电流ia?电枢电流 ia?2a?ia?2?200?400(a) 电磁转矩 mem?cm???ia??pn???ia?605.35(n?m) 2?a1-21 某他励直流电动机额定电压un =220[v],额定电流in =10[a],额定转速nn =1500(2)保持额定时励磁电流及总负载转矩不变而端电压降为190[v],则稳定后的电枢电流与转速为多少?(电枢反应忽略不计)。
解:(1)由于他励ian?in, 所以ean?un?inra?220?10?0.5?215(v) pm?eaia?215?10?2150(w)t?pmp?602150?60?m??13.7(n?m) ?n2?nn2??1500(2)由于if?ifn不变且电枢反应忽略不计,则有???n;又因tz不变,所以有ia?tzntz??ian?in?10(a) cm?cm?nea?u?iara?190?10?0.5?185(v)由于 ???n,所以eannn?eae?nn185?1500?n?a??1291(r/min) nean2151-22 某并励直流电动机额定电压un =220[v],额定电流in =75[a],额定转速nn =1000(3)实际空载电流i0及实际空载转速。
电机与拖动基础第三章答案第八章8 . 1 何谓同步电动机异步起动法?为什么同步电动机要采用异步起动法起动?答: 利用异步电动机的工作原理来起动同步电动机的方法,称为同步电动机的异步起动法。
同步电动机没有起动转矩,为了起动的需要,一般在转子磁极的极靴上装有类似于异步电动机的笼型绕组,称为起动绕组,利用起动绕组产生的电磁转矩来起动同步电动机,所以同步电动机要采用异步起动法起动。
8 . 2 为什么异步起动时,同步电动机转子励磁绕组既不能开路,又不能短路,而要串接约为励磁绕组电阻值的5 ~10倍的电阻?答: 同步电动机起动时转差率为s=1, 励磁绕组匝数很多,如果将励磁绕组开路,就会在其中感应出高电压,可能会危及设备和人身安全; 如果将励磁绕组短路, 会在其中产生较大电流, 对起动有不利影响,所以同步电动机起动时转子励磁绕组既不能开路,又不能短路,而要串接约为励磁绕组电阻值的5 ~10倍的电阻。
8 . 3 装在同步电动机磁极极靴中类似于感应电动机的笼型绕组有什么作用?答: 装在同步电动机磁极极靴中类似于感应电动机的笼型绕组作用有二:一是在起动时产生起动转矩;二是在同步电动机振荡时产生阻尼作用,使之能稳定运行。
8 . 4 何谓投励?投励的最佳时间在什么时候?为什么?答: 同步电动机起动时转子励磁绕组不接直流电源,而是串接电阻,等到转速上升到接近同步转速时才将励磁绕组接直流电源励磁,称为投励; 投励的最佳时间是在电动机转速上升到接近同步转速即亚同步转速时,约为同步转速95%左右时投励; 投励过早, 即在转速比较低时就投励,同步转矩有可能不能将电动机牵入同步,使起动失败; 投励过晚,使同步电动机异步运行时间增长,会使过流保护装置动作,主回路跳闸, 同步电动机断电停转,所以在转速上升到接近同步转速95%左右时投励为最佳。
8 . 5 为什么用变频器来起动同步电动机的时候要限制频率的上升率?答: 由1n =p f 160可知, 同步电动机定子磁场的同步转速与变频器输出频率成正比,如果变频器输出频率的上升率太大,即频率上升太快,则定子磁场的同步转速上升也很快,而转子是有惯性的, 转子转速跟不上定子磁场的同步转速而使起动失败, 所以用变频器来起动同步电动机的时候要限制频率的上升率。
第一章 直流电机原理3141060.87()230N N N P I A U ⨯===11416.37()0.855NNP P Kw η=== 1110131430()N NP U I W ==⨯=311.11076.92%1430N N P P η⨯===114301100330()Np P PW =-=-=∑)(53.1150230A R U I f N f ===)(13.7153.16.69A I I I f N a =+=+=23071.130.128239.1()a N a a E U I R V =+=+⨯=)(6.647128.013.7122W R I p a a cu =⨯== )(1700713.711.239W I E P a a M =⨯==)(5.18713855.0101631W P P N N=⨯==η)(92.39683.06.40A I I I fN N a =-=-=)(5.211213.092.39220V R I U E a a N a =⨯-=-= )(1.844392.395.211W I E P a a M =⨯== )(4.339213.092.3922W R I p a a cu =⨯==)(26.150683.0220W U I p N fN f =⨯==)(89326.402201W I U P N N =⨯==%97.838932105.731=⨯==P P N η)(1.943105.71.84433W P P p N M o =⨯-=-=)(88.2630001000/1.844395509550m N n P T N M N ⋅=⨯=⨯= 27.59550955023.88()3000N N N P T N m n =⨯=⨯=⋅ 226.8823.883()o N N T T T N m =-=-=⋅或者)(330001000/1.94395509550m N n P T N o o ⋅=⨯=⨯=)(5.24511027000A U P I N N N ===)(5.25055.245A I I I fN N aN =+=+=1.0115002.05.250110=⨯+=+=N a aN N N e n R I U C φrpm C R I U n N e a aN N 10501.002.05.250110=⨯-=-=φ 或者:)(11502.05.250110V R I U E a aN N aN=⨯+=+=110250.50.02105()a N aN a E U I R V =-=-⨯=rpm E n E n nE nE aN N a aN aN 10501151150105=⨯==∴=Θ)(8411397)(97113110V R I E U V R I U E E I I n n n C E a N a a N N aN a aNa N NNN e aN =⨯-=-==⨯-=-==∴====φφφΘ)(2505255A I I I fN N aN =-=-=841.0500078.0250440=⨯-=-=N a aN N N e n R I U C φ 30π=T e C C Θ032.8841.055.930=⨯=⨯=∴N e N T C C φπφ(1)296955095501833.6()500N N N P T N m n =⨯=⨯=⋅ (2))(2008250032.8m N I C T aN N T N⋅=⨯==φ(3)220081833.6174.4()o N N T T T N m =-=-=⋅(4)rpm C U n N e N o 523841.0440===φ(5)'20.078174.45235210.8418.032N a o o e N e T N U R n T rpm C C C φφ⨯=-⨯=-=⨯ 或者:)(71.21032.84.174A C T I N T o ao ===φ rpm C R I U n N e a ao N o 521841.0078.071.21440'=⨯-=-=φ)(179747.812201W I U P N N =⨯== )(1527885.0179741W P P N N =⨯==η)(48.28.88220A R U I f N fN ===)(22.7948.27.81A I I I fN N aN =-=-=)(6.6271.022.7922W R I p a aN cu =⨯==)(5468.8848.222W R I p ffN f =⨯== )(269615278179741W PP p N=-=-=∑2696627.65461522()m Fe cu f p p p p p W +=--=--=∑15278152216800()M N m Fe P P p p W =++=+=(1)27595509550955()750N N N P T N m n =⨯=⨯=⋅ (2))(1874191A I I I fN N aN=-=-=)(7.424082.0187440V R I U E a aN N aN =⨯-=-= )(794191877.424W I E P aN aN M =⨯==)(3.1011750419.7995509550m N n P T N M N ⋅=⨯=⨯= (3)566.07507.424===N aN Ne n E C φ440777.40.566N o e N U n rpm C φ=== (4)21011.395556.3()o N NT T T N m =-=-=⋅)(42.10566.055.93.5655.9A C T C T I N e o N T o ao =⨯===φφ rpm C R I U n N e a ao N o 776566.0082.042.10440'=⨯-=-=φ)(5.885.291A I I I fN N aN =-=-=142.01500074.05.88220=⨯-=-=N a aN N N e n R I U C φ220500.07415230.142N a a e N U I R n rpm C φ--⨯=== 第三章 直流电动机的电力拖动(1)估算:3322101122030560100.038()22305N N N a N U I P R I -⨯⨯-⨯=⨯==Ω2084.01000038.0305220=⨯-=-=N a aN N N e n R I U C φrpm C U n N e N o 7.10552084.0220===φ 9.559.550.2084305607()N e N aN T C I N m φ==⨯⨯=⋅过(n o = 1056rpm ,T = 0),(n N = 1000rpm T N = 607 N.m )两点,可画出固有机械特性。
作业题参考答案一.思考题3.1 下图中箭头表示转矩与转速的实际方向,试利用电力拖动系统的动力学方程式说明在附图所示的几种情况下,系统可能的运行状态(加速、减速或匀速)。
(a) (b) (c) (d) (e)图3.50 题3.1图答: 由拖动系统的动力学方程式dt dnGD T T L em 3752=−可知:(a)减速(b)减速(c)加速(d)匀速(e)匀速3.2 在起重机提升重物与下放重物过程中,传动机构的损耗分别是由电动机承担还是由重物势能承担?提升与下放同一重物时其传动机构的效率一样高吗?答:3.3 试指出附图中电动机的电磁转矩与负载转矩的实际方向(设顺时针方向为转速n 的正方向)。
(a) (b)(c) (d)图3.51 题3.3图答: 对于图a em T >0 , L T >0,则有动力学方程式的符号规定:em T 顺时针方向,L T 为逆时针方向;电机工作于正向电动状态。
对于图b em T <0 , L T <0,则有动力学方程式的符号规定:em T 逆时针方向,L T 为顺时针方向;电机工作于正向回馈制动状态。
对于图c em T <0 , L T <0,则有动力学方程式的符号规定:em T 逆时针方向,L T 为顺时针方向;电机工作于反向电动状态。
对于图dem T >0 , L T >0,则有动力学方程式的符号规定:em T 顺时针方向,L T 为逆时针方向;电机工作于反向回馈制动状态。
3.4 根据电力拖动系统的稳定运行条件,试判断图3.52中A 、B 、C 三点是否为稳定运行点?图3.52 题3.4图答:根据电力拖动系统的稳定运行条件:可以得出:系统在A 点、B 点是稳定的; C 点是不稳定运行点。
3.5 一般他励直流电动机为什么不能直接起动?采用什么样的起动方法最好? 答:直接起动时启动电流远远大于额定电流。
带来的危害:会带来很大的电流冲击,导致电网电压下降,影响周围其他用电设备的正常运行。
《电机与拖动基础》课后习题第一章 习题答案1.直流电机有哪些主要部件?各用什么材料制成?起什么作用? 答:主要部件:(1)定子部分:主磁极,换向极,机座,电刷装置。
(2)转子部分:电枢铁心,电枢绕组,换向器。
直流电机的主磁极一般采用电磁铁,包括主极铁心和套在铁心上主极绕组(励磁绕组)主磁极的作用是建立主磁通.换向极也是由铁心和套在上面的换向绕组构成,作用是用来改善换向。
机座通常采用铸钢件或用钢板卷焊而成,作用两个:一是用来固定主磁极,换向极和端盖,并借助底脚将电机固定在机座上;另一个作用是构成电机磁路的一部分。
电刷装置由电刷、刷握、刷杆、刷杆座和汇流条等组成,作用是把转动的电枢与外电路相连接,并通过与换向器的配合,在电刷两端获得直流电压。
电枢铁心一般用原0.5mm 的涂有绝缘漆的硅钢片冲片叠加而成.有两个作用,一是作为磁的通路,一是用来嵌放电枢绕组。
电枢绕组是用带有绝缘的圆形或矩形截面的导线绕成的线圈按一定的规律联接而成,作用是感应电动势和通过电流,使电机实现机电能量装换,是直流电机的主要电路部分。
换向器是由许多带有鸠尾的梯形铜片组成的一个圆筒,它和电刷装置配合,在电刷两端获得直流电压。
2.一直流电动机,已知,,,,0.85r/min 1500n V 220U kw 13P N N N ====η求额定电流N I 。
解:电动机η⋅=N N N I U P , 故 A =⨯⨯=⋅=5.6985.02201013U P I 3N N N η3. 一直流电动机,已知,,,,0.89r/min 1450n V 230U kw 90P N N N ====η求额定电流N I .解:发电机N N N I U P =, 故 A ⨯==3912301090U P I 3N N N7.什么叫电枢反应?电枢反应的性质与哪些因素有关?一般情况下,发电机的电枢反应性质是什么?对电动机呢?答:负载时电枢磁动势对主磁场的影响称为电枢反应. 电刷反应的性质与电刷的位置有关系。
武汉纺织大学第三章3 . 1 三相异步电动机的结构主要是哪几部分?它们分别起什么作用?答: 三相异步电动机的结构分定子和转子两部分,定、转子之间有空气隙。
定子是由定子铁心、定子绕组和机座三个部分组成。
定子铁心是磁路的一部分, 同时用来嵌放定子绕组; 定子绕组通电时能产生磁场; 机座用来固定与支撑定子铁心。
转子部分有转子铁心和转子绕组。
转子铁心也是磁路的一部分, 同时用来嵌放转子绕组; 转子绕组的作用是产生感应电动势、流过电流并产生电磁转矩。
3 . 2 异步电动机的基本工作原理是什么?为什么异步电动机在电动运行状态时,其转 子的转速总是低于同步转速?答: 异步电动机是应用通电导体在磁场中产生电磁力的原理而工作的。
电动机在工作时 定子旋转磁场与转子之间要有相对切割运动,否则在转子绕组中不能产生感应电动势, 不能产生电流,也就没有电磁转矩,所以在电动运行状态时,转子的转速不能等于同步转速,只能低于同步转速。
3 . 3 什么叫转差率?三相异步电动机的额定转差率为多少?为什么转差率是异步电动 机最重要的一个技术参数?答: 旋转磁场转速即同步转速1n 与转子转速n 之差(1n - n)称为转差。
转差(1n - n)与同步转速1n 之比,称为转差率,用s 表示,即 s=11n nn 额定转差率N s 很小,约为0.015~0.05。
转子转速n=1n ( 1 - s),用转差率s 能表示转子转速, 转子的感应电动势也与转差率相关,所以转差率是最重要的一个技术参数。
3 .4 已知一台三相异步电动机的额定功率N P =10 kW ,额定电压N U =380 V ,额定功 率因数cos N ϕ=0 . 75 ,额定效率N η=86 %,问其额定电流N I 为多少?解: 由 N P =3N U N I cos N ϕN η× 310-kW则有75.086.038031010cos 31033⨯⨯⨯⨯=⨯=NN N N N U P I ϕη=23.6A3 .5 一台异步电动机定子绕组有6根引出线,其铭牌上标明“电压380 /220 V ,接法 Y/Δ”。
第三章习题与答案1.双闭环调速系统在突加给定的起动过程中,转速调节器为什么能迅速达到限幅值,其限幅值是如何整定的?电流调节器是否应达到限幅值,其限幅值是如何整定的?双闭环调速系统在突加给定时,由于电机的机械惯性,转速为零,使转速反馈电压fn U 为零,这时加在转速调节器输入端的偏差电压n U ∆很大,而转速调节器的积分时间常数较小,所以转速调节器的输出能迅速达到限幅值,其限幅值按所要限制的最大电流值来整定,dm gi I U β=。
电流调节器不应达到限幅值,否则将失去调节作用,其限幅值应大于最大的输出控制电压,s fz gdm e K km K R I n C U U +=>。
2.双闭环调速系统对电网及负载扰动,其调节过程的特点是什么?对电网电压的扰动无需等到电机转速发生变化,只要电枢回路电流发生变化时,由电流调节器调节即可,有效减小电机转速的变化。
负载扰动要电机的转速发生变化后,由转速调节器来调节。
3-1开环系统额定静态速降是由什么因素决定的? 开环系统的静态速降为e d C RI n =∆其中e C 为电机所固有的常数,因此开环系统额定静态速降主要由电机的额定电流、电枢回路总电阻决定。
3.转速负反馈系统能减小稳态速降的原因是什么?转速负反馈系统能减小稳态速降的原因是闭环系统的自动调节作用。
在开环系统中,当负载电流增大时,电枢电流Id 在电阻R 上的压降也增大,转速就要降下来。
现在引入了转速负反馈,转速稍有降落,反馈电压Un 就感觉出来了。
因给定电压Un*不变。
因此加到触发器上的控制电压Uc=Kp(Un*-Un)便会自动增加了,它可使晶闸管整流电压Ud0增加,电动机转速便相应回升。
由于电枢电压的增量ΔUd0,补偿ΔIdR 压降,就使转速基本维持不变。
4.有一V -M 调速系统,已知电动机的电势系数Ce =1.27(v/rpm),IN =15A ,nN =150转/分,电枢回路总电阻R =3Ω,晶闸管整流装置的放大倍数Ks =30,要求调速范围D =20,S =10%,(1)计算开环系统的静态速降和调速要求所允许的静态速降。
第三章3 . 1 三相异步电动机的结构主要是哪几部分?它们分别起什么作用?答: 三相异步电动机的结构分定子和转子两部分,定、转子之间有空气隙。
定子是由定子铁心、定子绕组和机座三个部分组成。
定子铁心是磁路的一部分, 同时用来嵌放定子绕组; 定子绕组通电时能产生磁场; 机座用来固定与支撑定子铁心。
转子部分有转子铁心和转子绕组。
转子铁心也是磁路的一部分, 同时用来嵌放转子绕组; 转子绕组的作用是产生感应电动势、流过电流并产生电磁转矩。
3 . 2 异步电动机的基本工作原理是什么?为什么异步电动机在电动运行状态时,其转 子的转速总是低于同步转速?答: 异步电动机是应用通电导体在磁场中产生电磁力的原理而工作的。
电动机在工作时 定子旋转磁场与转子之间要有相对切割运动,否则在转子绕组中不能产生感应电动势, 不能产生电流,也就没有电磁转矩,所以在电动运行状态时,转子的转速不能等于同步转速,只能低于同步转速。
3 . 3 什么叫转差率?三相异步电动机的额定转差率为多少?为什么转差率是异步电动 机最重要的一个技术参数?答: 旋转磁场转速即同步转速1n 与转子转速n 之差(1n - n)称为转差。
转差(1n - n)与同步转速1n 之比,称为转差率,用s 表示,即 s=11n nn 额定转差率N s 很小,约为0.015~0.05。
转子转速n=1n ( 1 - s),用转差率s 能表示转子转速, 转子的感应电动势也与转差率相关,所以转差率是最重要的一个技术参数。
3 .4 已知一台三相异步电动机的额定功率N P =10 kW ,额定电压N U =380 V ,额定功 率因数cos N ϕ=0 . 75 ,额定效率N η=86 %,问其额定电流N I 为多少? 解: 由 N P =3N U N I cos N ϕN η× 310-kW则有75.086.038031010cos 31033⨯⨯⨯⨯=⨯=NN N N N U P I ϕη=23.6A3 .5 一台异步电动机定子绕组有6根引出线,其铭牌上标明“电压380 /220 V ,接法 Y/Δ”。
如果三相电源电压是380 V ,定子绕组应采用哪种接法?出线盒内的接线端子应如 何连接?答: 应采用Y 接法, 出线盒内三个绕组的末端2U 、2V 、2W 连接在一起,三个首端出线头1U 、1V 、1W 接三相电源,3 . 6 三相异步电动机的定子绕组是如何组成的?按什么规律连接?有什么特点? 答: 三相异步电动机的定子绕组由三个匝数相等、相位互差0120的绕组组成。
三个绕组可以连接成Y 联接(星形联接),也可以连接成∆联接(三角形联接)。
其特点是对称的三相绕组。
3 .7 三相异步电动机铭牌上标注的额定功率N P 是输入功率还是输出功率?是电功率 还是机械功率?答: 三相异步电动机铭牌上标注的额定功率N P 不是输入功率,而是输出功率, 不是电功率,而是机械功率。
3 . 8 单相绕组通以单相交流电将在气隙中产生什么性质的磁场?三相对称绕组通以三 相对称电流将在气隙中产生什么性质的磁场?两种磁场之间有何内在联系?答: 单相绕组通以单相交流电将在气隙中产生脉动磁场。
三相对称绕组通以三相对称电流将在气隙中产生旋转磁场。
脉动磁场可以分解为基波与高次谐波磁场, 三相对称绕组的基波磁场叠加在一起就形成了基波旋转磁场。
3 . 9 三相旋转磁动势的幅值与极数及绕组系数之间有什么关系? 答: 由三相旋转磁动势幅值表达式 1F =1 .35pN I 111N k 可知, 磁动势幅值1F 与极对数p 成反比关系,与绕组系数1N k 成正比。
3 . 10 若将三相异步电动机三相电源的任何两相引线对调,异步电动机转子的转向将 作何变化?为什么?答: 若将三相异步电动机三相电源的任何两相引线对调,则电动机反转。
因为当电动机定子绕组外接电源相序变化时, 定子旋转磁场就反向,所以电动机也就反向旋转。
3 . 11 为什么三相异步电动机空载电流的标么值要比变压器的大?答: 变压器的磁路是铁心构成的磁路,磁阻小,产生一定的额定磁通所需要的励磁电流比较小;而三相异步电动机的磁路中包含有定、转子之间的气隙, 气隙的磁阻比较大,产生同样大小的额定磁通所需要的励磁电流就比较大,所以三相异步电动机空载电流的标么值要比变压器的大。
3 . 12 三相异步电动机转子绕组短路并堵转,若定子绕组加额定电压,将会产生什么 后果?并分析原因。
答: 当三相异步电动机转子绕组短路并堵转时,若定子绕组加额定电压,则流过绕组的电流会很大,使电动机发热严重,导致烧坏电动机。
其原因是: 转子绕组短路并堵转时, 转子转速为零, 旋转磁场与转子的相对切割速度为最大,在转子绕组中产生的感应电动势最大, 转子电流最大,定子电流也就最大,约为额定电流的5~7倍,会烧坏电动机。
3 . 13 异步电动机的转差率s 是如何定义的?电机运行时,转子绕组感应电动势、电 流的频率2f 与定子频率1f 是什么关系?答: 转差率s 的定义是转差(1n - n)与同步转速1n 之比,即s=11n nn 电机运行时,转子绕组感应电动势的频率、电流的频率2f 与定子频率1f 成成正比,即12sf f3 . 14 异步电机的时空相量图中,哪些是时间相量,哪些是空间相量?答: 异步电机的时空相量图中,表示电流、电压、感应电动势的相量是时间相量, 表示磁通、磁动势的相量是空间相量。
3 . 15 一台额定电压380 V 、星形联结的三相异步电动机,如果误连成三角形联结,并 接到380 V 的电源上,会有什么后果?为什么?答: 一台额定电压380 V 、星形联结的三相异步电动机,如果误连成三角形联结,并接到380 V 的电源上, 电动机会被烧坏。
因为额定电压380 V 、星形联结的三相异步电动机,其定子绕组额定电压为220V ,若将星形联结的定子绕组误连成三角形联结, 并接到380 V 的电源上,这时定子绕组电压为380 V ,大大超过其额定电压,会使定子电流变得很大, 会烧坏电动机。
3 . 16 一台额定电压380 V 、三角形联结的三相异步电动机,如果误连成星形联结,并 接到380 V 的电源上满载运行时,会有什么后果?为什么?答: 额定电压380 V 、三角形联结的三相异步电动机,如果误连成星形联结,并接到380 V 的电源上满载运行时, 电动机不能起动,不能运行。
额定电压380 V 、三角形联结的三相异步电动机,如果误连成星形联结,并接到380 V 的电源上时,其一相绕组电压降为380/3=220V , 由于起动转矩与绕组电压的平方成正比, 这时起动转矩降低为原来的31,故而在满载时电动机不能起动,不能运行,时间一长会烧坏电动机。
3 . 17 三相异步电动机带恒转矩负载额定运行时,会产生哪些损耗?请画出功率流程图。
答: 电动机运行时的损耗有定子铜损耗1cu P ,定子铁损耗Fe P ,转子铜损耗2cu P ,机械摩擦损耗mec P ,附加损耗s P 。
其功率流程图如题3.17图。
题3.17图3 . 18 三相异步电动机的电磁功率、转子铜损耗和机械功率之间在数量上存在着什么 关系?答: 三相异步电动机的电磁功率、转子铜损耗和机械功率之间存在着比例关系,三者之比为1︰s ︰3 . 19 ? 答: 5~0.05, sR 2'就比较大, , m Z 与2Z '相比,T 形等值电路简3 . 20 异步电动机的过载倍数m λ、起动转矩倍数T K 有何意义?它们是否越大越好? 答: 异步电动机的过载倍数m λ表示电动机的过载能力,用最大转矩m T 与额定转矩N T 之比来表示,即m λ=NmT T 起动转矩倍数T K 表示电动机起动时带负载的能力,等于起动转矩st T 与额定转矩N T 之比,即T K =NstT T m λ较大时, 电动机的过载能力较大, T K 较大时, 电动机起动时带负载的能力较大,但它们不是越大越好,因为电动机的最大转矩m T 是一定的,m λ过大时,N T 就小, 电动机带额定负载的能力降低,这是不可取的,一般m λ为1.8~2.2, T K 为2左右。
3 . 21 异步电动机带负载起动,负载越大,起动电流是不是越大?为什么?答: 并不是负载越大,起动电流就越大。
, 与负载无关,起动加速度就变小,3 . 22 答:3 . 23 试简述三相异步电动机的运行性能优劣主要通过哪些技术指标来反映?答: 三相异步电动机的运行性能优劣主要通过功率因数和效率等技术指标来反映, 功率因数越高, 运行性能越优越; 效率越高, 能量利用率高,运行性能越优越。
另外,最大转矩m T 越大,电动机带负载能力越大; 起动转矩st T 越大,电动机带负载起动能力越大。
3 . 24 三相异步电动机T 形等值电路的参数主要通过什么实验来测定?答: 三相异步电动机T 形等值电路的参数主要通过空载实验和短路实验来测定。
通过空载实验测定电动机的励磁阻抗m m m jX R Z +=和铁损耗Fe P 及机械损耗mec P 。
通过短路实验测定电动机的短路阻抗)()(2121X X j R R jX R Z K K K '++'+=+=,短路实验又称堵转实验。
3 . 25 为什么三相异步电动机的功率因数总是滞后的?答: 三相异步电动机要从电网吸收滞后的励磁电流产生磁场;定子和转子绕组都是感性负载,所以三相异步电动机的功率因数总是滞后的。
3 . 26 为什么要进行频率折算?折算应遵循什么样的基本原则?答: 三相异步电动机运行时,定子电流频率为1f ,转子电流频率为12sf f =,定、转子电流频率不相等, 对不同频率的电量列出的方程组不能联立求解,也不能根据它们求出等值电路和相量图。
所以要把转子的频率折合,使定、转子有相同的频率。
频率折算的原则是保持转子磁动势2F 不变,也就是保持转子电流2I 不变。
3 . 27 说明三相异步电动机等值电路中,参数1R 、1X 、 2R '、 2X ' 、m R 、m X 各代表什么意义?三相异步电动机转子附加电阻[( 1 - s)/ s] 2R '是如何产生的?它代表什么物理意义?答: 1R 、1X 分别表示三相异步电动机定子一相绕组的电阻和电抗;2R '、 2X '分别表示转子一相绕组的电阻和电抗折算到定子的折算值; m R 、m X 分别表示励磁电阻和电抗。
转子附加电阻[( 1 - s)/ s] 2R '是频率折算产生的, 它代表了电动机输出的机械功率 222)1(3I R ssP m ''-=3 . 28 一台三相异步电动机,额定运行时转速N n =1 450 r /min,问这时传递到转子的 电磁功率有百分之几消耗在转子电阻上?有百分之几转化成机械功率? 解: 033.015001450150011=-=-=n n n s N N 电磁功率M P 、总机械功率m P 、转子铜损耗2cu P 之间的比例为M P ∶ m P ∶ 2cu P =1 ∶( 1 - s)∶ s,所以传递到转子的电磁功率中有3.3%消耗在转子电阻上, 有96.7%转化成机械功率。