苏价服[2001]113号江苏工程质量检测和建筑材料验收收费标准
- 格式:doc
- 大小:541.50 KB
- 文档页数:22
江苏省物价局
江苏省建设厅
苏价服(2001)113号
关于核定《江苏省建设工程质量检测
和建筑材料试验收费标准》的通知
各市物价局、建委、常熟市物价局、建委:
自1998年《江苏省建设工程质量检测和建筑材料试验收费标准》下达试行以来,我省建设工程质量检测和建筑材料试验收费行为得到了初步规范,促进了质量检测和建筑材料试验水平的提高。
近年来,国家对关检测和试验行业标准又作了新的调整与补充,现结合我省具体实际,将重新修订的《江苏省建设工程质量检测和建筑材料试验收费标准》印发给你们,并就有关问题通知如下:
一、具有省建设在厅颁发的《工程质量检测机构资质等级证书》的检测单位,接受委托、提供建设工程质量检测和建筑材料试验经营服务应按《江苏省建设工程质量检测和建筑材料试验收费标准》进行收费。
二、本批复标准为最高限标准(其中含省质量检测管理,其标准
由原5%降为2.5%)。
检测单位可视情况适当下浮,未列入本标准的新材料检测收费由检测双方协商确定。
三、本通知自2001年5月1日起实行。
原标准同时废止。
江苏省物价局江苏省建设厅
二00一年四月九日
主题词:建设材料检测收费通知
抄送:省财政厅
江苏省物价局办公室2001年4月12日印发
共印48份
江苏省建设工程质量检测和建筑材料试验收费标准。
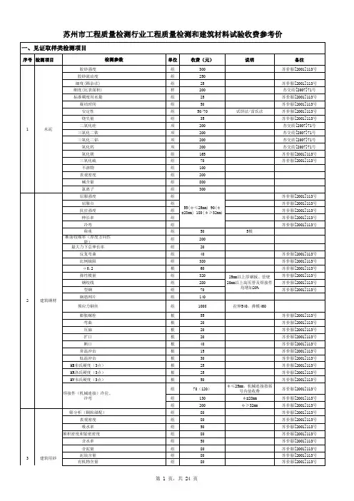
建设工程质量检测收费价格表
建设工程质量检测收费价格表
建设工程质量检测收费价格表
建设工程质量检测收费价格表
建设工程质量检测收费价格表
建设工程质量检测收费价格表
建设工程质量检测收费价格表
建设工程质量检测收费价格表
建设工程质量检测收费价格表
建设工程质量检测收费价格表
建设工程质量检测收费价格表
建设工程质量检测收费价格表
建设工程质量检测收费价格表
建设工程质量检测收费价格表
建设工程质量检测收费价格表
建设工程质量检测收费价格表
建设工程质量检测收费价格表
建设工程质量检测收费价格表
建设工程质量检测收费价格表
建设工程质量检测收费价格表
建设工程质量检测收费价格表
建设工程质量检测收费价格表
建设工程质量检测收费价格表
建设工程质量检测收费价格表
建设工程质量检测收费价格表
建设工程质量检测收费价格表
说明:
1、本汇编收费价格主要依据省建设厅、省物价局苏价服[2001]113号、苏价服[2005]72号文件。
新增项目
参数的收费价格依据南通市检测行业现行执行价格汇编而成,经海安县恒源建设工程质量检测有限公司、海安县苏中工程质量检测中心有限公司、海安县建筑工程质量检测中心有限公司复核,以上价格从2014年1月1日起统一执行。
2、加粗黑字体的项目为必检项目。
(注:文档可能无法思考全面,请浏览后下载,供参考。
可复制、编制,期待你的好评与关注)。
见证取样送检制度为进一步提高建设工程质量,保证检测数据的真实性、公正性和准确性,本中心制度定如下见证取样送样制度;1、本市所有受监工程使用的全部原材料、半成品材料及砼、砂浆试块、钢筋连接件等均必须见证取样送检;否则,业务室应拒收样本。
2、见证员、取样员应经市建设局培训考核合格,并持证上岗履行其职责。
3、取样员必须在见证员旁证下按规定取样封样;见证员应盖章或签字于封条上,否则应监护送样,并在委托书上签字。
4、每一工程办理质监手续时,由质监站签发见证卡,并同时加盖质监站和见证单位印章,复印件无效。
该卡一式两份,中心及见证人各执一份,送检时应出示对照,并存入竣工档案。
5、见证卡所有见证内容必须由见证人亲笔填写并签名,他人填写一律无效,且不得随意更改;若确需更改,应经调查核实并经有关各方同意后方可更改,签更改人名。
6、见证取样送检的检测报告均加盖红色“见证取样”印章;本中心或质监站现场抽样的报告加盖“现场抽样”印章,作为评定工程质量等级的依据;其他检测加盖蓝色“送样”印章,并不得作为工程质保资料。
7、所有检测试验,其结果达不到规定标准的,必须在24小时内报告质监站,不经质监站处理并同意,不得进行二次取样试验,二次取样试验一般应进行现场抽样或现场检测。
以上制度特向社会公布,并恳请有关方面和人员进行广泛监督。
封闭式管理和密码管理制度根据省质量监督管理的规定,本中心实行封闭管理和密码管理制度以确保检测试验工作的公正性,特制定以下管理制度;1、本中心所有检测试验均必须实行密码检测。
与检测无关人员一律不得进入检测现场,否则,追究检测人员责任。
2、所有检测项目均只有业务室对处联络,业务员不得从事检测试验,检测人员亦不得插手业务联系,不得查阅委托书及密码编制薄。
3、送检委托书由业务员按数字编码。
所有送检样品不得现接现试,应上午接样下午下达检测任务,下午接样第二上午下达检测任务。
4、委托书数码由业务员通过密码本进行编制,且一律随机用英文编码,然后再将该码填入检测任务单下达送给各检测组,并一律隐去与送样单位有关的可能泄密的内容。
江苏省建设工程质量检测和建筑材料试验收费标准江苏省物价局江苏省建设厅苏价服(2001)113号关于核定《江苏省建设工程质量检测和建筑材料试验收费标准》的通知各市物价局、建委,常熟市物价局、建委:近几年来,建设工程质量检测机构不断发展,促进了建设工程质量的提高。
为适应建设工程质量检测工作的需要,经研究,省物价局、省建委重新核定《江苏省建设工程质量检测和建筑材料试验收费标准》。
一、《江苏省建设工程质量检测和建筑材料试验收费标准》是具有省建委颁发的工程质量检测机构资质等级证书的检测单位,接受委托、提供建设工程质量检测经营服务的收费标准。
二、本收费标准为最高标准(其中含质量检测管理费5%)。
经省建设行政主管部门核定为综合一级、土建(安装、市政)一级检测资质的检测机构可在本标准的基础上增收5%检测费。
未列进本标准的新材料检测,其费用按公式计算,即:检测费用=(材料费用+水电燃料费+检测用房维修费+仪器设备折旧费+仪器设备维修、检定费)*(1+10%),并报省辖市价格部门备案。
三、本通知自一九九九年元月一日起试行,试行期一年,原有关收费标准同时废止。
附件:江苏省建设工程质量检测和建筑材料试验收费标准——1/13——附件:附件:江苏省建设工程质量检测和建筑材料试验收费标准——2/13————3/13————4/13————5/13————6/13————7/13————8/13————9/13————10/13————11/13————12/13————录自《建设工程造价资料汇编(十四)》(中国建设银行南京分行,1999/4出版)——13/13——。
江苏省物价局
江苏省建设厅
苏价服(2001)113号
关于核定《江苏省建设工程质量检测
和建筑材料试验收费标准》的通知
各市物价局、建委,常熟市物价局、建委:
近几年来,建设工程质量检测机构不断发展,促进了建设工程质量的提高。
为适应建设工程质量检测工作的需要,经研究,省物价局、省建委重新核定《江苏省建设工程质量检测和建筑材料试验收费标准》。
一、《江苏省建设工程质量检测和建筑材料试验收费标准》是具有省建委颁发的工程质量检测机构资质等级证书的检测单位,接受委托、提供建设工程质量检测经营服务的收费标准。
二、本收费标准为最高标准(其中含质量检测管理费5%)。
经省建设行政主管部门核定为综合一级、土建(安装、市政)一级检测资质的检测机构可在本标准的基础上增收5%检测费。
未列进本标准的新材料检测,其费用按公式计算,即:检测费用=(材料费用+水电燃料费+检测用房维修费+仪器设备折旧费+仪器设备维修、检定费)*(1+10%),并报省辖市价格部门备案。
三、本通知自一九九九年元月一日起试行,试行期一年,原有关收费标准同时废止。
附件:江苏省建设工程质量检测和建筑材料试验收费标准
附件:
附件:
江苏省建设工程质量检测和建筑材料试验收费标准
——9/13——
——11/13——
——12/13——
——录自《建设工程造价资料汇编(十四)》(中国建设银行南京分行,
1999/4出版)
——13/13——。
见证取样送检制度为进一步提高建设工程质量,保证检测数据的真实性、公正性和准确性,本中心制度定如下见证取样送样制度;1、本市所有受监工程使用的全部原材料、半成品材料及砼、砂浆试块、钢筋连接件等均必须见证取样送检;否则,业务室应拒收样本。
2、见证员、取样员应经市建设局培训考核合格,并持证上岗履行其职责。
3、取样员必须在见证员旁证下按规定取样封样;见证员应盖章或签字于封条上,否则应监护送样,并在委托书上签字。
4、每一工程办理质监手续时,由质监站签发见证卡,并同时加盖质监站和见证单位印章,复印件无效。
该卡一式两份,中心及见证人各执一份,送检时应出示对照,并存入竣工档案。
5、见证卡所有见证内容必须由见证人亲笔填写并签名,他人填写一律无效,且不得随意更改;若确需更改,应经调查核实并经有关各方同意后方可更改,签更改人名。
6、见证取样送检的检测报告均加盖红色“见证取样”印章;本中心或质监站现场抽样的报告加盖“现场抽样”印章,作为评定工程质量等级的依据;其他检测加盖蓝色“送样”印章,并不得作为工程质保资料。
7、所有检测试验,其结果达不到规定标准的,必须在24小时内报告质监站,不经质监站处理并同意,不得进行二次取样试验,二次取样试验一般应进行现场抽样或现场检测。
以上制度特向社会公布,并恳请有关方面和人员进行广泛监督。
封闭式管理和密码管理制度根据省质量监督管理的规定,本中心实行封闭管理和密码管理制度以确保检测试验工作的公正性,特制定以下管理制度;1、本中心所有检测试验均必须实行密码检测。
与检测无关人员一律不得进入检测现场,否则,追究检测人员责任。
2、所有检测项目均只有业务室对处联络,业务员不得从事检测试验,检测人员亦不得插手业务联系,不得查阅委托书及密码编制薄。
3、送检委托书由业务员按数字编码。
所有送检样品不得现接现试,应上午接样下午下达检测任务,下午接样第二上午下达检测任务。
4、委托书数码由业务员通过密码本进行编制,且一律随机用英文编码,然后再将该码填入检测任务单下达送给各检测组,并一律隐去与送样单位有关的可能泄密的内容。
见证取样送检制度为进一步提高建设工程质量,保证检测数据的真实性、公正性和准确性,本中心制度定如下见证取样送样制度;1、本市所有受监工程使用的全部原材料、半成品材料及砼、砂浆试块、钢筋连接件等均必须见证取样送检;否则,业务室应拒收样本。
2、见证员、取样员应经市建设局培训考核合格,并持证上岗履行其职责。
3、取样员必须在见证员旁证下按规定取样封样;见证员应盖章或签字于封条上,否则应监护送样,并在委托书上签字。
4、每一工程办理质监手续时,由质监站签发见证卡,并同时加盖质监站和见证单位印章,复印件无效。
该卡一式两份,中心及见证人各执一份,送检时应出示对照,并存入竣工档案。
5、见证卡所有见证内容必须由见证人亲笔填写并签名,他人填写一律无效,且不得随意更改;若确需更改,应经调查核实并经有关各方同意后方可更改,签更改人名。
6、见证取样送检的检测报告均加盖红色“见证取样”印章;本中心或质监站现场抽样的报告加盖“现场抽样”印章,作为评定工程质量等级的依据;其他检测加盖蓝色“送样”印章,并不得作为工程质保资料。
7、所有检测试验,其结果达不到规定标准的,必须在24小时内报告质监站,不经质监站处理并同意,不得进行二次取样试验,二次取样试验一般应进行现场抽样或现场检测。
以上制度特向社会公布,并恳请有关方面和人员进行广泛监督。
封闭式管理和密码管理制度根据省质量监督管理的规定,本中心实行封闭管理和密码管理制度以确保检测试验工作的公正性,特制定以下管理制度;1、本中心所有检测试验均必须实行密码检测。
与检测无关人员一律不得进入检测现场,否则,追究检测人员责任。
2、所有检测项目均只有业务室对处联络,业务员不得从事检测试验,检测人员亦不得插手业务联系,不得查阅委托书及密码编制薄。
3、送检委托书由业务员按数字编码。
所有送检样品不得现接现试,应上午接样下午下达检测任务,下午接样第二上午下达检测任务。
4、委托书数码由业务员通过密码本进行编制,且一律随机用英文编码,然后再将该码填入检测任务单下达送给各检测组,并一律隐去与送样单位有关的可能泄密的内容。
见证取样送检制度为进一步提高建设工程质量,保证检测数据的真实性、公正性和准确性,本中心制度定如下见证取样送样制度;1、本市所有受监工程使用的全部原材料、半成品材料及砼、砂浆试块、钢筋连接件等均必须见证取样送检;否则,业务室应拒收样本。
2、见证员、取样员应经市建设局培训考核合格,并持证上岗履行其职责。
3、取样员必须在见证员旁证下按规定取样封样;见证员应盖章或签字于封条上,否则应监护送样,并在委托书上签字。
4、每一工程办理质监手续时,由质监站签发见证卡,并同时加盖质监站和见证单位印章,复印件无效。
该卡一式两份,中心及见证人各执一份,送检时应出示对照,并存入竣工档案。
5、见证卡所有见证内容必须由见证人亲笔填写并签名,他人填写一律无效,且不得随意更改;若确需更改,应经调查核实并经有关各方同意后方可更改,签更改人名。
6、见证取样送检的检测报告均加盖红色“见证取样”印章;本中心或质监站现场抽样的报告加盖“现场抽样”印章,作为评定工程质量等级的依据;其他检测加盖蓝色“送样”印章,并不得作为工程质保资料。
7、所有检测试验,其结果达不到规定标准的,必须在24小时内报告质监站,不经质监站处理并同意,不得进行二次取样试验,二次取样试验一般应进行现场抽样或现场检测。
以上制度特向社会公布,并恳请有关方面和人员进行广泛监督。
封闭式管理和密码管理制度根据省质量监督管理的规定,本中心实行封闭管理和密码管理制度以确保检测试验工作的公正性,特制定以下管理制度;1、本中心所有检测试验均必须实行密码检测。
与检测无关人员一律不得进入检测现场,否则,追究检测人员责任。
2、所有检测项目均只有业务室对处联络,业务员不得从事检测试验,检测人员亦不得插手业务联系,不得查阅委托书及密码编制薄。
3、送检委托书由业务员按数字编码。
所有送检样品不得现接现试,应上午接样下午下达检测任务,下午接样第二上午下达检测任务。
4、委托书数码由业务员通过密码本进行编制,且一律随机用英文编码,然后再将该码填入检测任务单下达送给各检测组,并一律隐去与送样单位有关的可能泄密的内容。
见证取样送检制度为进一步提高建设工程质量,保证检测数据的真实性、公正性和准确性,本中心制度定如下见证取样送样制度;1、本市所有受监工程使用的全部原材料、半成品材料及砼、砂浆试块、钢筋连接件等均必须见证取样送检;否则,业务室应拒收样本。
2、见证员、取样员应经市建设局培训考核合格,并持证上岗履行其职责。
3、取样员必须在见证员旁证下按规定取样封样;见证员应盖章或签字于封条上,否则应监护送样,并在委托书上签字。
4、每一工程办理质监手续时,由质监站签发见证卡,并同时加盖质监站和见证单位印章,复印件无效.该卡一式两份,中心及见证人各执一份,送检时应出示对照,并存入竣工档案。
5、见证卡所有见证内容必须由见证人亲笔填写并签名,他人填写一律无效,且不得随意更改;若确需更改,应经调查核实并经有关各方同意后方可更改,签更改人名。
6、见证取样送检的检测报告均加盖红色“见证取样”印章;本中心或质监站现场抽样的报告加盖“现场抽样”印章,作为评定工程质量等级的依据;其他检测加盖蓝色“送样”印章,并不得作为工程质保资料。
7、所有检测试验,其结果达不到规定标准的,必须在24小时内报告质监站,不经质监站处理并同意,不得进行二次取样试验,二次取样试验一般应进行现场抽样或现场检测.以上制度特向社会公布,并恳请有关方面和人员进行广泛监督.封闭式管理和密码管理制度根据省质量监督管理的规定,本中心实行封闭管理和密码管理制度以确保检测试验工作的公正性,特制定以下管理制度;1、本中心所有检测试验均必须实行密码检测。
与检测无关人员一律不得进入检测现场,否则,追究检测人员责任。
2、所有检测项目均只有业务室对处联络,业务员不得从事检测试验,检测人员亦不得插手业务联系,不得查阅委托书及密码编制薄.3、送检委托书由业务员按数字编码。
所有送检样品不得现接现试,应上午接样下午下达检测任务,下午接样第二上午下达检测任务。
4、委托书数码由业务员通过密码本进行编制,且一律随机用英文编码,然后再将该码填入检测任务单下达送给各检测组,并一律隐去与送样单位有关的可能泄密的内容。
江苏省物价局江苏省建设厅
苏价服[2001]113号
关于核定《江苏省建设工程质量检测
和建筑材料试验收费标准》的通知
各市物价局、建委,常熟市物价局、建委:
自1998年《江苏省建设工程质量检测和建筑材料试验收费标准》下达试行以来,我省建设工程质量检测和建筑材料试验收费行为得到了初步规范,促进了质量检测和建筑材料试验水平的提高。
近年来,国家对有关检测和试验行业标准又作了新的调整与补充,现结合我省具体实际,将重新修订的《江苏省建设工程质量检测和建筑材料试验收费标准》印发给你们,并就有关问题通知如下:
一、具有省建设厅颁发的《工程质量检测机构资质等级证书》的检测单位,接受委托、提供建设工程质量检测和建筑材料试验经营服务应按《江苏省建设工程质量检测和建筑材料试验收费标准》进行收费。
二、本批复标准为最高限标准(其中含省质量检测管理费,其标准由原5%降为2.5%)。
检测单位可视情况适当下浮,未列入本标准的新材料检测收费由检测双方协商确定。
三、本通知自2001年5月1日起实行。
原标准同时废止。
附件:
江苏省建设工程质量检测和建筑材料试验收费标准
说明:各项检测和试验必须严格按规范要求执行,若检测和试验未按规范进行,可拒付费用。