2007年天津大学考研电路题解
- 格式:doc
- 大小:3.47 MB
- 文档页数:10
电路历年真题试卷汇编6(总分88,考试时间90分钟)1. 单项选择题单项选择题下列各题的备选答案中,只有一个是符合题意的。
1. (西安电子科技大学2010年考研试题)如图7一44所示电路,t<0电路已处于稳态,t=0开关闭合,iC(0+)为( )。
A. 一2mAB. 2/3mAC. 4/3mAD. 2mA2. (西安电子科技大学2009年考研试题)如图7一50所示电路,t<0时己处于稳态,t=0时开关S打开,则iC(0+)为( )。
A. 一2 AB. 一1 AC. 1AD. 2A2. 判断题请判断下列各题正误。
1. (重庆大学2007年考研试题)判断题:线性动态电路输入一输出方程的阶数等于电路中储能元件的个数。
A. 正确B. 错误3. 解答题1. (清华大学2007年考研试题)电路如图7一8所示。
开关S换路前电路已达稳态,t=0时开关S由位置1合向位置2。
求开关换掉后的电流i1(t)、i2(f)和电压u(t),并画出波形图(本题限时域求解)。
2. (清华大学2006年考研试题)电路如图7一10所示。
(1)写出电路的状态方程,并整理成标准形式X=AX+BV,其中;(2)定性画出uc的变化曲线。
3. (清华大学2006年考研试题)如图7一12所示电路,t<0时S1断开、S2闭合,电路已达稳态。
t=0时,同时闭合开关S1,打开开关S2。
求电流i(t)并定性画出i(t)的变化曲线。
4. (清华大学2006年考研试题)如图7一15所示电路,网络N内都仅含线性电阻。
如图7一15(a)所示,t=0时a、b端通过开关S接通一个iL(0一)=3A、电感值为1H的电感,则c、d 端的电流i=一0.5e一2tA(t>0)。
如图7一15(b)所示,现在C、d端并接一大小为6A的电流源,t=0时a、b端仍通过开关S接通一个iL(0一)=1A、电感值为2H的电感,求电感中的电流iL(t)(t>0)。
5. (清华大学2005年考研试题)如图7一17所示电路,开关S闭合前电路处于稳态,t=0时闭合开关S。
天津大学电路考研真题-考研资料-笔记讲义天津考研网独家推出天津大学电路考研资料、真题解析班等辅导资料,帮助考生在考研复习中能够理清做题思路,出题方向及复习重点。
以下为相关资料的介绍。
【适用对象】2014年报考天津大学电路且初试科目为811电路(电路基础、网络分析)的专业课基础不扎实、对院系内部信息了解甚少的同学,适合跨校考生使用【推荐理由】由本部签约的天津大学电路在读本硕博团队搜集整理精心编制成套,严格依照天津大学最新考研大纲及考研参考书目整理,目前为市面上最全面的资料,作为基础强化及冲刺全程使用,分售600余元,全套购买享受大幅优惠并有赠品【使用方法】天津大学电路基础阶段使用多媒体电子教案、讲义配合指定教材复习,梳理知识点,切实感受天大课题氛围;强化阶段使用历年考研辅导班笔记总结分析总结天大授课重点;冲刺阶段使用历年试题等试题资料进行测试,通过试题答案可以检验做题效果,同时可以分析出题思路及重点【包含资料】第一部分天津大学电路考研真题及答案:1、天津大学811电路1991-2013年考研真题(市场独家最全,其中2012、2013年试题由本站特约考生团队回忆,全国独家推出,其余试卷均为原版,掌握最新试题动向先人一步),众所周知天大出题重复率高,一般多年的试题就是一个小题库,所以历年试题一定要仔细研究,通过多年试卷可总结出出题重点及思路;2、天津大学811电路1999-2011年考研试题参考答案,解决学生答题后勘误的困惑,同时还对历年试题做了分析,历年考点一览无遗,众所周知天大出题重复率高,一般多年的试题就是一个小题库,所以历年试题一定要仔细研究,为考研必备资料。
尤其近几年试题保证100%正确率,市面上的答案基本都有错误,尤其是没有解题步骤很难作为参考使用,本套答案为签约团队独家主创,附有详细解题步骤及答题思路分析,请同学认真分辨市面一些低价劣质的资料,以免耽误考研;3、天津大学811电路2005-2010年考研真题解析,由本院资深团队主创,视频格式,光盘发送,对考研真题进行了详细讲解并做深度分析,总结出题规律,进行必要的答题技巧点拨,同时在关键时刻做考点预测,全国独家研发;第二部分天津大学电路其他重要资料:1、天津大学811电路04年考研辅导班笔记,最后一届校方主编,众所周知透题班,出题老师授课,含金量极高;2、天津大学811电路08年考研辅导班笔记,为天大权威老师授课,手写版主次分明,明确考研重点;3、天津大学811电路09年考研辅导班笔记,天大名师授课,手写版50余页字迹工整,重点突出,明确了核心知识点,同时结合近年题(包含08年)进行了分析。
电路历年真题试卷汇编1(总分72,考试时间90分钟)1. 解答题1. (清华大学2007年考研试题)求如图10-5所示电路中电压源发出的有功功率。
已知电源电压为,理想变压器变比n=2,回转器回转电阻α=2Ω。
2. (清华大学2005年考研试题)电路的相量模型如图10-7所示。
已知ωM=2Ω,I1=I2=I3=10A,电路消耗的功率P=1000W。
求R、ωL2和之值。
3. (华中科技大学2006年考研试题)如图10-9所示的含理想变压器的正弦稳态电路中,UL=200V,UR=50V,IS=5A,ω=10rad/s,且有iS与uC同相位,试求R、L、C的值。
4. (华中科技大学2005年考研试题)在如图10-10所示电路中,已知角频率ω=1000rad/s,电源电压的有效值为18V,I=1A,瓦特表的读数为32.4W,L1=L2=0.5H,L3=0.1H,C3=10μF,R1=R2=10Ω,试求互感系数M。
5. (西安交通大学2007年考研试题)图10-11所示电路中含有理想变压器,原边匝数为N1,副边匝数为N2,。
当原边分别由电流源is与电压源us激励时,在保持原边匝数N1不变的前提下,若要使R2上的功率增加,副边匝数N2应增加还是减少?请说出理由。
6. (西安交通大学2007年考研试题)图10一12所示正弦稳态电路中,己知电压源,XL1=1Ω,XL2=2Ω,XM=1Ω,XC=-4Ω。
试求。
7. (哈尔滨工业大学2006年考研试题)图10-14所示非正弦电路中,已知us=10+,L2=M=1H,L1=2H,求电流i2的瞬时值和有效值以及电压源发出的平均功率。
8. (哈尔滨工业大学2005年考研试题)图10一16所示正弦交流电路,已知,L=0.1H,R=10Ω,C=10-3F。
求负载ZL为何值时它可以获得最大功率,最大功率为多少?并求此时电流i2的瞬时值。
9. (东南大学2005年考研试题)如图10-18所示电路,设L1与L2全耦合,则两个理想电压表V1的读数为_________;V2的读数为__________。
天津大学招收2007年硕士学位研究生入学考试试题考试科目名称:运筹学基础 考试科目编号:432一、填空(20分)型):(1)初表的出基变量为 ,进基变量为 。
[]=-1*)2(B 最优基逆(3)填完终表。
=*)4(X 最优解=*)5(y 对偶问题最优解(6)若原问题增加一个新的非负变量,则对偶问题的最优目标值将(变大、不变、变小) 。
2.将非平衡运输问题化为平衡运输问题,在表上相当于增加一个虚设的 ,在模型中相当于增加若干个 变量。
3.在确定性存贮问题中,记C 1为订货费,C 2为存贮费,C 3为缺货费,R 为需求率,设 C 1、、C 2、C 3、和R 均为常数,不需要提前订货,且一订货即可全部供货,则不允许缺货时最佳批量相应的单位时间总费用为—C = ,允许缺货时(缺货要补)最佳批量相应的单位时间总费用C= 。
二者的大小关系为—C (≥或≤)C 。
4.在M/M/1/N/∞排队模型中,顾客的平均到达率为λ,平均服务率为μ,系统的状态概率为P i (i=0,1,…,N ),则到达的顾客被拒绝排队的概率为 ;系统的有效到达率为 。
二(20分)、某化学制药厂有m 种有害副产品,它们的数量为b i (i=1,…,m )。
按照规定,必须经过处理,制成n 种无害物后才能废弃。
设aij 为每制成一单位第j (j=1,…,n )种无害物可以处理掉第i 种有害物的数量,cj 为制成一单位第j 种无害物的费用。
1. 现欲求各无害物的产量xj 以使总的处理费用为最小,请写出此问题的线性规划模型; 2. 写出此问题的对偶规划模型,并解释对偶规划模型的经济意义。
三(15分)、考虑下面两个线性规划:[][]'')()(≥≥====X X b AX bAX XC z Min II CX z Min I 约束条件约束条件()()0'')(')(****≤--X X C C II X I X 的最优解,试证:是的最优解,是已知 四(25分)、某投资者拟对A 与B 两种基金进行投资,投资期限5年。
天津大学2007年硕士研究生入学考试试题一、填空题(36分,每小题3分)1.(天津大学2007年考研试题)H 2(g )在298.15K 时的c m H ∆=-285.83kJ mol 1-,则同温度下H 2O (l )的f m H ∆ =( )。
答案:-285.83kJ mol1-2.(天津大学2007年考研试题)某真实气体的节流膨胀过程,焦耳—汤姆逊系数J T 0μ-<,则过程的T ∆( ),∆H ( ),∆S ( )(注:选择填入<0、=0或>0)。
答案:>0,=0,>03.(天津大学2007年考研试题)一定量的系统,VA T ∂⎛⎫⎪∂⎝⎭( )(注:选择填入<0、=0或>0)。
答案:<04.(天津大学2007年考研试题)m VS T ∂⎛⎫⎪∂⎝⎭=( )。
答案:V,m C T5.(天津大学2007年考研试题)写出单相、多组分、考虑界面的系统热力学基本方程:dG=( )。
答案:-SdT+Vdp+B BBdnμ∑+S dA γ6.(天津大学2007年考研试题)325℃时,Hg x =0.497的某汞齐中汞的蒸气压Hg p 与纯汞的蒸汽压*Hg p 有如下关系:Hg p =0.433*Hg p ,则该汞齐中汞的活度因子γ=( )。
答案:0.8717.(天津大学2007年考研试题)对于反应32O (g )32O (g ),已知其m r H ∆=285.4 kJ mol1-,偌要提高3O 的平衡产率,反应应在( )条件下进行。
(a )高温、低压; (b )高温、高压; (c )低温、低压; (d )低温、高压。
答案:b8.(天津大学2007年考研试题)温度为T 时,液体A 、B 的饱和蒸气压分别为A *p 、*B p ,且3A *p =*B p 。
二者形成理想液态混合物。
当气液两相平衡时,气相中A 的摩尔分数A y =0.5,则A 在液相中的摩尔分数A x =( )。
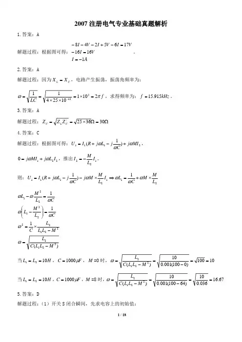
一、填空题(30分):1. (6分)由晶闸管构成的三相半波可控整流电路,当输入交流电压为t u ωsin 3112=,纯阻性负载且其值为10R =Ω,当控制角45α=时,输出平均电压为 ,输出的功率因数是 。
2.(6分)由晶闸管构成的单相桥式全控整流电路,当输入交流电压为t u ωsin 1412=,负载为反电动势且直流侧串联平波电抗器,已知60V, L=2E R =∞=Ω,,当控制角30α=时,输出平均电压为 ,输出平均电流为 。
3.(3分)缓冲电路( Snubber Circuit ) 的作用是 。
4.(3分)在交流供电系统中,当基波电流为140A I =,各次谐波电流分别为35792A, 1A, 0.5A, 0.2A I I I I ====, 则电流谐波总畸变THD 为 。
5.(3分)在逆变电路中,对于同一桥臂的开关管要采取“先断后通”的方法,也就是死区时间的设定,其目的是 。
6.(6分)单相桥式电压型逆变电路,180导通角,d 560V U =,则输出电压的基波有效值是 ,当只考虑10次以内的谐波电压时,输出电压的有效值是 。
7.(3分)在SPWM (Sinusoidal Pulse Width Modulation )控制的三相逆变电路中,设定的开关管的开关频率是20KHz ,逆变电路输出交流电压的频率为400Hz ,那么SPWM 控制电路中载波频率和调制波频率应分别设置为 和 。
二、简答题(60分):1. (7分)IGBT 在过流及短路过程中,系统如何检测并实施保护的?2. (7分)为什么晶闸管的触发信号通常不使用直流信号? 3. (7分)试说明有关晶闸管和电力晶体管的关断过程?4. (7分)请叙述电力二极管的反向恢复过程,在高频开关电路中,应选择什么型号的二极管?5. (8分)利用晶闸管SCR 构成的简易照明延时开关电路如图1所示,HL 是灯泡,SB 是开关,试分析此电路的工作原理。
天津大学电气工程考研真题及学长谈做电气工程考研真题经验相信大家都知道,真题是应该好好钻研的。
真题就是历年考题的原题,在真实性方面,它的作用是任何模拟试题都难以代替的,所以同学们复习真题的时候,一定要在“真”方面下功夫,细细品味。
接下来就和大家介绍一下天津大学电气工程考研真题的做题经验。
天津大学电气工程专业考研都会考到的专业课就是811电路。
专业目录:080800电气工程_01电力系统及其自动化、高电压与绝缘技术①101思想政治理论②201英语一或203日语③301数学一④811电路复试科目:电力系统基础_02电机与电器、电力电子与电力传动、电工理论与新技术①101思想政治理论②201英语一③301数学一④811电路复试科目:电气控制085207电气工程(专业学位)_01电力系统及其自动化、高电压与绝缘技术①101思想政治理论②201英语一或203日语③301数学一④811电路复试科目:电力系统基础_02电机与电器、电力电子与电力传动、电工理论与新技术①101思想政治理论②201英语一③301数学一④811电路复试科目:电气控制天津大学811电路2016及2015年考研大纲对比:天津大学811电路2016年考研大纲天津大学811电路2015年考研大纲一、考试的总体要求掌握电路的基本理论和分析计算电路的基本方法,灵活运用所学的电路理论及方法解决复杂的综合性电路问题。
二、考试的内容及比例1.基本概念:电压、电流及其参考方向,电阻、电容、电感、电压源和受控源等元件的特性及其电压电流关系,线性和非线性的概念,电功率和电能量,电路模型,基尔霍夫定律。
2.线性电阻电路的分析:简单电阻电路的计算,星角转换,非理想电源的模型及其等效转换,支路分析法,回路分析法,节点分析法,叠加定理,互易定理,替代定理,戴维南定理和诺顿定理,匹配的概念。
3.正弦交流电路的稳态分析:正弦量的基本概念,正弦量的相量、相量图、电路元件电压电流关系的相量形式、阻抗和导纳,基尔霍夫定律的相量形式,正弦电路的功率,功率因数,正弦电路的分析计算(复数运算、相量图分析),含互感电路的计算(互感电压、同名端、串联、并联、互感消去),谐振电路的特点及其分析计算,三相电路的连接方式,对称三相电路的电压、电流和功率的计算,非正弦周期电流电路的分析计算方法。
第13章 非正弦周期电流电路和信号的频谱一、选择题1.某非正弦周期电流电路的电压为,电流为,则其三次谐波的功率为( )。
[南京航空航天大学2012研]A .B .C .D . 【答案】A【解析】由题目所给电压电流表达式,可知,三次谐波电压超前三次谐波电流60°,则三次谐波功率。
2.如图13-1所示电路中则电容C 2两端电压的有效值应为( )。
[上海交通大学2005研]12030)u t t V ωω=+++13930) 1.732sin(330)i t t A ωω=+++-25.95W 45W 51.9W 65W图13-1A.150VB.360VC.390VD.540V【答案】C【解析】分解u s=u1+u2+u3,其中u1单独作用时,可得uu2单独作用时,由于L1,C1并联谐振,u3单独作用时,由于L2,C1串联谐振,等效为如图13-2所示。
图13-2从而得根据有效值的计算方法,可得u C2的有效值为。
二、填空题1.已知某无源二端网络的端口电压和电流分别为则此网络吸收的功率为()W。
[北京交通大学2011研]【答案】43W【解析】(1)考虑直流分量可知其吸收的功率为0W(2)考虑频率为500的分量可知其吸收的功率为W (3)考虑频率为1000的分量可知其吸收的功率为0W(4)考虑频率为1500的分量可知其吸收的功率为。
因此,总功率为0+25+0+18=43W2.图13-3所示非正弦电路中,电源电压u S=10+cos3ωt V,R=5Ω,ωL=5Ω,=45Ω,则电压表的读数为();电流表的读数为()。
[华南理工大学2010研]图13-3【答案】10V;0.2A【解析】直流电压单独作用时,,三次谐波单独作用时,发生串联谐振,,所以电压表上读数为10V,电流表上读数为0.2A三、计算题1.图13-4所示非正弦电路中,已知,电流源。
试求:(1)图中ab两点间的电压u ab(t)及其有效值U ab;(2)电流源i S供出的有功功率P IS。
天津大学招收2011年硕士学位研究生入学考试试题考试科目名称:自动控制理论考试科目代码:812所有答案必须写在试卷纸上,并写清楚题号,答案写在试题上无效。
提示:本套考卷的部分试题对于学术型硕士研究生考生和全日制专业学位硕士研究生考生有所区别,前面未标注的试题为所有考生必答题,前面有标注的试题请考生务必选择相应类型试题作答,选错不得分。
一、(25分)某直流电机电枢电压输入uα与转角输出θm间满足的微分方程为(1)给出从电枢电压uα到电机转速间的传递函数,给出从电枢电压uα到电机转角θm间的传递函数,求时电机转速的稳态值。
(2)引入反馈控制式中为θr转角的给定值,求系统的闭环传递函数。
(3)为使闭环系统的超调量为16%,试确定K的取值,问此时系统的调节时间?二.(25分)已知被控对象由下列三个传递函数顺序串联而成(1)试将G1(S)、G2(S)、G3(S)的输出依次取状态变量X1、X2、X3,列写被控对象的状态方程描述。
(2)设计状态反馈矩阵K T=[k1,k2,k3],使系统的闭环极点为-3,-2±j2。
三.(25分)某单位反馈系统被控对象的传递函数为调节器的传递函数为(1)试绘制系统kp 从0到+∞、Ti从0到4两参数变化的根轨迹簇(具体绘图时取T=0.25、0.5、1、2、4)。
(2)根据根轨迹图,分别讨论kp 变化时、Ti变化时对系统闭环极点阻尼比和自然振荡频率的影响。
(3)谈论kp Ti=1、Ti变化时闭环系统的动态响应特性。
四.(25分)某单位反馈系统校正前的开环传递函数为要求校正后系统的加速度误差系数K a=31.6,系统开环传递函数中频段的斜率为-20dB /dec,函数穿越频率10rad/s,高频段的斜率为-40db/dec,且对频率为100rad/s的测量噪声扰动信号有-30dB的衰减。
(1)绘制希望的对数幅频特性曲线。
(2)给出校正装置的传递函数,它是一种什么校正装置?(3)计算校正前和校正后的系统相角裕度,定性说明系统的静态特性、稳定性和快速性的变化。
2007-1(18分)直流电路如图,已知Ω=21R ,Ω=22R ,Ω=13R ,Ω=24R ,Ω=15R ,A 4S =I ,V 81S =U ,V 42S =U ,电压控制电流源U I 2CS =。
求各独立电源供出的功率。
-答案P U S1 =-8W P I S =24W 。
:;P U S2 =28W ;I CS解法1:用节点法。
选参考点并设三个节点电压1U 、2U 和3U (见图),有V 42S 1==U U 。
可列如下方程组⎪⎪⎪⎩⎪⎪⎪⎨⎧⨯+-=+-=-++=⨯-+41244)211(284421)2121(3232U U U U U U解得 V 6V,8,V 1032===U U U 。
最后得:W 8)2108(8)(121S S11S -=-⨯=-=R U U U P U ;W 28)1842104(4)(332S 122S 2S 2S -=-+-⨯=-+-=R U U R U U U P U ;W 2464S S =⨯==U I P I 。
解法2:用回路法。
用非理想受控电源间的等效变换,将已知电路化简为下图,并在此图中选三个网孔电流分别为I S 、I a 和I b ,可有如下方程组。
I 2=4A 8CS⎪⎩⎪⎨⎧++++=-=⨯++-=⨯++4)4()4(24441)21(4842)22(b a b a I I U U I I解得:A 1a -=I ,A 8b -=I ,V 6=U 。
最后得:W 8)1(8a 1S 1S -=-⨯==I U P U ;W28)18(4)(a b 2S 2S -=+-⨯=-=I I U P U ;W2464S S =⨯==U I P I 。
2007-2 (18分)直流电路如图,已知Ω=61R ,Ω=32R ,Ω=23R ,Ω=24R ,Ω=25R ,A 4S =I ,V 12S =U ,电流控制电压源I U 4CS =。
用戴维南定理求电流I 。
S 答案I =1.5A 。
:解:将电阻R 3去掉而开路,由于控制变量I 消失,则电流控制电压源U CS 随之为零。
开路后的电路为下图(a)。
得开路电压为V 62221243OC =⨯+-⨯=U 求入端电阻的电路为图(b ),此图可化简为图(c )。
在端口处依关联方向设电压U in 和电流I in ,则电流控制电压源为一个“-2Ω”电阻。
可得入端电阻为(c)2I in R inΩ=-+=2213inR原电路的等效电路为图(d )OC(d)最后得 A 5.1226=+=I2007-3 (12分)图示S N 为线性含源电阻网络,外接电路如图(a )所示,当A 4S =I 时,A 11=I ,V 62=U ;当A 16S =I 时,A 71=I ,V 182=U 。
求:1. 0S =I 时,2U 等于多少?2. 若外接电路换接如图(b )所示,则1I 等于多少?Ω(a)(b)答案2. I 1 = -4A 。
:1. U 2=2V ;解:1. 在图(a )电路中,有如下线性关系NS S 2K KI U +=由已知条件可有如下方程组⎩⎨⎧+=+=NS NS161846K K K K 解得 2,1NS ==K K ,由此可得0S =I 时V 2NS 2==K U2. 对图(a)电路,当N S 内部电源置零时为图(c )。
Ω(c)UI S (d)(e)由第1问可得,当A 4S =I 且N S 内部电源置零时,对图(c )电路有V 442==K U根据齐次性原理若A 6S =I ,则有V 64642=⨯='U 根据互易定理形式2图(c )可互易为图(d ),此时V 61='U 。
当A 6S =I 时,利用非理想电源间的等效变换可为图(e ),此图即为当N S 内部电源置零时的图(b )电路,由此可得A 3261-=-='I 当图(b )外接18V 电源置零时的电路与图(a )外接I S 电源置零时的电路相同。
在图(a )中有如下线性关系NSS 1K I K I '+'= 由已知条件可有如下方程组⎩⎨⎧'+'='+'=NS NS16741K K K K 解得 1,5.0NS-='='K K ,由此可得0S =I 时 A 1NS 1-='=''K I 根据叠加定理,最后得在图(b )电路中A 4131-=--=''+'=I I I2007-4 (8分)图示正弦交流电路,已知电源电压源V 0100 ∠=U ,ab 两点间电压V 18050ab∠=U ,电路的有功功率W 50=P ,且I U,同相。
求R 1 、R 2 、X L 和X C 之值。
.2- j X C答案:R 1=R 2=300Ω ,X L =X C =100 Ω =173Ω.√3C解法1:相量图解析法。
在电路中设两个支路电流相量L I 和C I ,并设定各元件电压相量的参考方向(见上图)。
选电源电压U为参考相量。
依如下步骤画相量图。
..c.○1取长度为100的线段cd 画参考向量U; ○2以cd 为直径画圆,圆心为o ;○3取长度为50的线段ab ,平行于线段cd 置于下半圆内为弦,并与U 反相为abU ; ○4连接ca 两点得相量1R U ; ○5连接ad 两点得相量LU ; ○6以c 点为起点,在上半圆内做与ca 线段长度相等的弦得相量2R U (因为I I I C L =+,I 与U 同相,必然C L I I =,且1R I 与1R U ,2R I 与2R U 同相,则21R R U U =); ○7连接2R U 和U 两相量顶端得相量CU 。
由相量图可知V 50ab ===U U U C L ,C L I I =,则21R R =,C L X X =且有V 3502310030cos 21=⨯=== U U U R R 由已知条件W 50=P 可有W 50)350()350(1212222121=+=+=R R R U R U P R R解得Ω==30021R RA 6330035011====R U I I R C L 可得Ω=Ω====17331006350L L C L I U X X 解法2:参数分析法。
电路的总阻抗为2221212112222112212122212112212112212121)()())(())((j)()())(())(()()()j())]((j()[()j()()j()()j ()j ()j )(j (C L C L C L C L C L C L C L C L C L C L C L C L C L C L C L C L C L X X R R X X X X R R R R X R X R X X R R X X X R X R R R X X R R X X R R X X R R X R X R X X R R X X R R X R X R X X R R X R X R X R X R Z -++-+-+-+-++--+++=-++--+-++=-++-++=-++-+= 其虚部为2221212112)()()X )(X ())((C L C L C L C L X X R R X X R R R R X R X R -++-+-+- 由已知条件得知虚部为零,即 0)X )(X ())((212112=-+-+-C L C L C L X X R R R R X R X R 即))(())((212112C L C L C L X X X X R R R R X R X R -+=+- (1)由电路得18050j 0100j j 0100221ab-∠=-∠-+∠=R X R X X R U CL L 即有21j j j 221-=--+C L L X R R X R X即21)j )(j ()j ()j (j 21122-=-++--C L L C L X R X R X R R X R X即21)j )(j (2112-=-+-C L C L X R X R R R X X即C L C L C L X X X R X R R R X X R R +-+=-121212j j 22即0)j()3(1212=---C L C L X R X R X X R R则有)3(0)2(031212 =-=-C L C L X R X R X X R R将(3)式代人(1)式,因为)(21C L X X R R +不可能为零,则有0X =-C L X ,即X X X C L ==,将此关系代人(3)式又可得R R R ==21 。
由已知条件可有50)100()100(222222=+++=R X R R X R P即有)4(25)100(222=+XR R 由(2)式可有0322=-X R 即3R X =(不考虑开方后的负值),将此关系代人(4)式可有25)3100(222=+R R R 最后解得Ω===30021R R RΩ=Ω===1733100X X X C L2007-5 (16分 ) 图示非正弦周期电流电路,已知,Ω=401R ,Ω=101L ω,Ω=1011C ω,Ω=302L ω,Ω=12012C ω,A 2sin 25.1)45sin(262S t t i ωω+-+= 。
求电感电流2L i 及其有效值2L I 。
C 2答案:;sin (ω90 )=t i A OL +128L 2=I +-sin(ω90 )t O2-2A 34 = 5.83。
解:直流分量A 12)0(S )0(2I I L = 基波分量:111C L ωω=,C 1 、L 1串联谐振。
A 456)1(S-∠=IC 2 ,L 2 并联复阻抗为Ω=--⨯==40j 120j 30j )120j (30j ZA 90243424045240120j 30j 120j 40j 4040456)1(2 -∠=⨯-∠=--⨯+⨯-∠=L I二次谐波分量:11212C L ωω=,C 2 、L 2 并联谐振。
A 05.1)2(S∠=I A 90160j 405.12-∠==L I最后得A )902sin(2)90sin(2412 -+-+=t t i L ωωA 83.5341)24(12222==++=L I2007-6 (16分) 电路如图,Ω=31R ,Ω=62R , Ω=23R , H 5.0=L ,,V 61S =U ,V 32S =U 。
开关S 闭合前电路已达稳态,t =0时S 闭合。
求S 闭合后1. 电感电流i L (t );2. R 3中电流i R (t ) ;3.电流i (t ) 。