激光原理 周炳琨版课后习题答案
- 格式:doc
- 大小:2.35 MB
- 文档页数:41
《激光原理》习题解答作者:周炳琨等 国防工业出版社 第五版解答人:广东海洋大学理学院光电科学系 石友彬(2008年修正版)习题解答说明:习题解答参考蓝信鉅的激光技术、陈家璧版激光原理及应用等,在此对上述作者表示敬意! 本章习题是在我系前外聘教授郭振华习题解答基础上汇总而成,在此表示衷心感谢。
1 静止氖原子的4223P S →谱线中心波长为632.8纳米,设氖原子分别以0.1C 、O.4C 、O.8C 的速度向着观察者运动,问其表观中心波长分别变为多少? 解答:根据公式(激光原理P136)ccυυνν-+=110υλν=由以上两个式子联立可得:0λυυλ⨯+-=C C代入不同速度,分别得到表观中心波长为:nm C 4.5721.0=λ,nm C 26.4144.0=λ,nm C 9.2109.0=λ解答完毕(验证过)2 设有一台麦克尔逊干涉仪,其光源波长为λ,试用多普勒原理证明,当可动反射镜移动距离L 时,接收屏上的干涉光强周期性的变化L 2次。
证明:对于迈氏干涉仪的两个臂对应两个光路,其中一个光路上的镜是不变的,因此在这个光路中不存在多普勒效应,另一个光路的镜是以速度υ移动,存在多普勒效应。
在经过两个光路返回到半透镜后,这两路光分别保持本来频率和多普勒效应后的频率被观察者观察到(从半透境到观察者两个频率都不变),观察者感受的是光强的变化,光强和振幅有关。
以上是分析内容,具体解答如下:无多普勒效应的光场:()t E E ⋅=πνν2cos 0 产生多普勒效应光场:()t E E ⋅=''02cos ''πνν在产生多普勒效应的光路中,光从半透经到动镜产生一次多普勒效应,从动镜回到半透镜又产生一次多普勒效应(是在第一次多普勒效应的基础上) 第一次多普勒效应:⎪⎭⎫⎝⎛+=c υνν1'第二次多普勒效应:⎪⎭⎫ ⎝⎛+≈⎪⎭⎫ ⎝⎛+=⎪⎭⎫ ⎝⎛+=c c c υνυνυνν21112'''在观察者处:()⎪⎭⎫⎝⎛⋅⋅⎪⎭⎫ ⎝⎛⋅+⋅==⎭⎬⎫⎩⎨⎧⎪⎪⎭⎫ ⎝⎛⋅⎪⎭⎫ ⎝⎛++⋅=+=t c t c t E t c t E E E E πνυπνυπνυπνπν2cos 22cos 2212cos 2cos 0021观察者感受到的光强:⎭⎬⎫⎩⎨⎧⎥⎦⎤⎢⎣⎡⋅⎪⎭⎫ ⎝⎛⋅+=t c I I υνπ22cos 120 显然,光强是以频率cυν⋅2为频率周期变化的。
周炳琨激光原理第二章习题解答(完整版)1.试利用往返矩阵证明对称共焦腔为稳定腔,即任意傍轴光线在其中可以往返无限多次,而且两次往返即自行闭合。
证明:设从镜M 1→M 2→M 1,初始坐标为⎪⎪⎭⎫ ⎝⎛θ00r ,往返一次后坐标变为⎪⎪⎭⎫ ⎝⎛θ11r =T ⎪⎪⎭⎫⎝⎛θ00r ,往返两次后坐标变为⎪⎪⎭⎫⎝⎛θ22r =T •T ⎪⎪⎭⎫ ⎝⎛θ00r 而对称共焦腔,R 1=R 2=L 则A=1-2R L 2=-1 B=2L ⎪⎪⎭⎫⎝⎛-2R L 1=0 C=-⎥⎦⎤⎢⎣⎡⎪⎪⎭⎫ ⎝⎛-+121R L 21R 2R 2=0 D=-⎥⎦⎤⎢⎣⎡⎪⎪⎭⎫ ⎝⎛-⎪⎪⎭⎫ ⎝⎛--211R L 21R L 21R L 2=-1 所以,T=⎪⎪⎭⎫ ⎝⎛--1001故,⎪⎪⎭⎫⎝⎛θ22r =⎪⎪⎭⎫ ⎝⎛--1001⎪⎪⎭⎫ ⎝⎛--1001⎪⎪⎭⎫ ⎝⎛θ00r =⎪⎪⎭⎫⎝⎛θ00r 即,两次往返后自行闭合。
2.试求平凹、双凹、凹凸共轴球面镜腔的稳定性条件。
解:共轴球面腔的稳定性条件为0<g 1•g 2<1,其中g 1=1-1R L ,g 2=1-2R L(a 对平凹腔:R 2=∞,则g 2=1,0<1-1R L<1,即0<L<R 1 (b)对双凹腔:0<g 1•g 2<1, 0<⎪⎪⎭⎫⎝⎛-⎪⎪⎭⎫ ⎝⎛-21R L 1R L 1<1 LR >1,L R >2或L R <1L R <2且LR R >+21(c)对凹凸腔:R 1=1R ,R 2=-2R ,0<⎪⎪⎭⎫⎝⎛+⎪⎪⎭⎫ ⎝⎛-21R L 1R L 1<1,L R >1且LR R <-||213.激光器的谐振腔由一面曲率半径为1m 的凸面镜和曲率半径为2m 的凹面镜组成,工作物质长0.5m ,其折射率为1.52,求腔长L 在什么范围内是稳定腔。
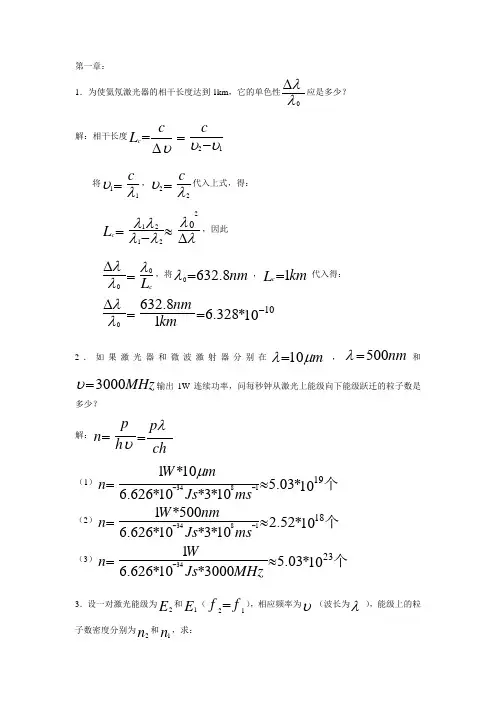
《激光原理》习题解答第一章习题解答1 为了使氦氖激光器的相干长度达到1KM ,它的单色性0λ∆应为多少?解答:设相干时间为τ,则相干长度为光速与相干时间的乘积,即 c L c ⋅=τ根据相干时间和谱线宽度的关系 cL c ==∆τν1又因为 0γνλλ∆=∆,00λνc=,nm 8.6320=λ由以上各关系及数据可以得到如下形式: 单色性=0ννλλ∆=∆=cL 0λ=101210328.61018.632-⨯=⨯nmnm解答完毕。
2 如果激光器和微波激射器分别在10μm、500nm 和Z MH 3000=γ输出1瓦连续功率,问每秒钟从激光上能级向下能级跃迁的粒子数是多少。
解答:功率是单位时间内输出的能量,因此,我们设在dt 时间内输出的能量为dE ,则功率=dE/dt激光或微波激射器输出的能量就是电磁波与普朗克常数的乘积,即d νnh E =,其中n 为dt 时间内输出的光子数目,这些光子数就等于腔内处在高能级的激发粒子在dt 时间辐射跃迁到低能级的数目(能级间的频率为ν)。
由以上分析可以得到如下的形式:ννh dth dE n ⨯==功率 每秒钟发射的光子数目为:N=n/dt,带入上式,得到:()()()13410626.61--⨯⋅⨯====s s J h dt n N s J νν功率每秒钟发射的光子数 根据题中给出的数据可知:z H mms c13618111031010103⨯=⨯⨯==--λν z H mms c1591822105.110500103⨯=⨯⨯==--λνz H 63103000⨯=ν把三个数据带入,得到如下结果:19110031.5⨯=N ,182105.2⨯=N ,23310031.5⨯=N3 设一对激光能级为E1和E2(f1=f2),相应的频率为ν(波长为λ),能级上的粒子数密度分别为n2和n1,求(a)当ν=3000兆赫兹,T=300K 的时候,n2/n1=? (b)当λ=1μm ,T=300K 的时候,n2/n1=? (c)当λ=1μm ,n2/n1=0.1时,温度T=?解答:在热平衡下,能级的粒子数按波尔兹曼统计分布,即: TK E E T k h f f n n b b )(expexp 121212--=-=ν(统计权重21f f =) 其中1231038062.1--⨯=JK k b 为波尔兹曼常数,T 为热力学温度。
第二章 开放式光腔与高斯光束习题(缺2.18 2.19 2.20)1. 题略证明:设入射光()11,r θ,出射光()22,r θ,由折射定理1122sin sin ηθηθ=,根据近轴传输条件,则1122sin ,sin θθθθ≈≈1122ηθηθ∴=,联立21r r =,则所以变换矩阵为 2. 题略证明:由题目1知,光线进入平面介质时的变换矩阵为:经过距离d的传播矩阵为: 光线出射平面介质时: 故3. 试利用往返矩阵证明共焦腔为稳定腔,即任意傍轴光线在其中可以往返无限多次,而且两次往返即自行闭合。
证:设光线在球面镜腔内的往返情况如下图所示:其往返矩阵为:122212111210101122110101212(1) 222222[(1)][(1)(1)]A B L L T C D R R L L L R R L L L L R R R R R R ⎛⎫⎛⎫⎛⎫⎛⎫⎛⎫ ⎪ ⎪== ⎪ ⎪⎪ ⎪ ⎪--⎝⎭⎝⎭⎝⎭⎪ ⎪⎝⎭⎝⎭⎛⎫-- ⎪⎪= ⎪-+----- ⎪⎝⎭212211100r r θηηθ⎛⎫⎛⎫⎛⎫= ⎪ ⎪⎪⎝⎭⎝⎭⎝⎭21100T ηη⎛⎫= ⎪⎝⎭121100T ηη⎛⎫= ⎪⎝⎭2100d T ⎛⎫=⎪⎝⎭312100T ηη⎛⎫= ⎪⎝⎭3113213112211101010000r r r d T T T θθηηηηθ⎛⎫⎛⎫⎛⎫⎛⎫⎛⎫⎛⎫== ⎪ ⎪ ⎪ ⎪⎪ ⎪⎝⎭⎝⎭⎝⎭⎝⎭⎝⎭⎝⎭123211221101011000000d d T T T T ηηηηηη⎛⎫⎛⎫⎛⎫⎛⎫∴=== ⎪ ⎪ ⎪ ⎪⎝⎭⎝⎭⎝⎭⎝⎭由于是共焦腔,有 12R R L == 往返矩阵变为若光线在腔内往返两次,有可以看出,光线在腔内往返两次的变换矩阵为单位阵,所以光线两次往返即自行闭合。
于是光线在腔内往返任意多次均不会溢出腔外,所以共焦腔为稳定腔。
4. 试求平凹、双凹、凹凸共轴球面镜腔的稳定性条件。
周炳琨激光原理第三章习题解答(完整版)1. 试由式(3.3.5)导出式(3.3.7),说明波导模的传输损耗与哪些因素有关。
在其他条件不变时,若波导半径增大一倍,损耗将如何变化?若λ减小到原来的21,损耗又将如何变化?在什么条件下才能获得低的传输损耗? 解:由)]21()(211[2ka i ka u k n nm nm ηγ--≈及nm nm nm i αβγ+=可得: })]Im{21()(211[}Re{2n nm nm nmka ka u k ηγβ+-== }Re{)2(}Re{2)(21}Im {32022n nm n nm nm nm au ka ka u k ηλπηγα=--== 波导模的传输损耗nm α与波导横向尺寸a ,波长0λ,波导材料的折射率实部以及不同波导模对应得不同nm u 值有关。
(a )波导半径增大一倍,损耗减为原来的81。
(b )波长减小到原来的一半,损耗减为原来的41。
获得低的传输损耗应增大波导横向尺寸,选择折射率实部小的介质材料和nm u 小的波导模。
2.试证明,当η为实数时,若02.2>η,最低损耗模为01TE 模,而当02.2<η时,为11EH 模,并证明01TE 模的损耗永远比01TM 模低。
证明: ⎪⎪⎪⎪⎩⎪⎪⎪⎪⎨⎧-+--=模对模对模对nm m m nm nm EH TM TE a u ,1121,1,11)2(22022023202ηηηηηλπα (3.3.8) 对于以上三种不同模,参看书中表3.1,对于同一种模式,m 越小,损耗越小,因此以下考虑01TE ,01TM ,11EH 模之间谁最小(11EH 中1=n 最小)题中设η为实数,显然1>η,所以01010101TE TM αα>,只需考虑01TE 与11EH : 当112221120111011101>+=ηααu u EH TE 时,11EH 小02.2<⇒η当111011101<EH TE αα时,01TE 小02.2>⇒η 3.BeO 在m μ6.10波长时033.0}Re{=n η,试求在内径为mm a 4.12=的BeO 波导管中11EH 模和12EH 模的损耗11a 和12a ,分别以1-cm ,1-m 以及m dB 来表示损耗的大小。
第二章 开放式光腔与高斯光束习题(缺2.18 2.19 2.20)1. 题略证明:设入射光()11,r θ,出射光()22,r θ,由折射定理1122sin sin ηθηθ=,根据近轴传输条件,则1122sin ,sin θθθθ≈≈1122ηθηθ∴=,联立21r r =,则所以变换矩阵为 2. 题略证明:由题目1知,光线进入平面介质时的变换矩阵为:经过距离d的传播矩阵为: 光线出射平面介质时:故3. 试利用往返矩阵证明共焦腔为稳定腔,即任意傍轴光线在其中可以往返无限多次,而且两次往返即自行闭合。
证:设光线在球面镜腔内的往返情况如下图所示:其往返矩阵为:122212111210101122110101212(1) 222222[(1)][(1)(1)]A B L L T C D R R L L L R R L L L L R R R R R R ⎛⎫⎛⎫⎛⎫⎛⎫⎛⎫ ⎪ ⎪== ⎪ ⎪ ⎪ ⎪ ⎪--⎝⎭⎝⎭⎝⎭ ⎪ ⎪⎝⎭⎝⎭⎛⎫-- ⎪⎪= ⎪-+----- ⎪⎝⎭212211100r r θηηθ⎛⎫⎛⎫⎛⎫= ⎪ ⎪⎪⎝⎭⎝⎭⎝⎭21100T ηη⎛⎫= ⎪⎝⎭121100T ηη⎛⎫= ⎪⎝⎭2100d T ⎛⎫=⎪⎝⎭312100T ηη⎛⎫= ⎪⎝⎭3113213112211101010000r r r d T T T θθηηηηθ⎛⎫⎛⎫⎛⎫⎛⎫⎛⎫⎛⎫== ⎪ ⎪ ⎪⎪⎪ ⎪⎝⎭⎝⎭⎝⎭⎝⎭⎝⎭⎝⎭1232112211010*******0d d T T T T ηηηηηη⎛⎫⎛⎫⎛⎫⎛⎫∴=== ⎪ ⎪ ⎪ ⎪⎝⎭⎝⎭⎝⎭⎝⎭由于是共焦腔,有 12R R L == 往返矩阵变为若光线在腔内往返两次,有可以看出,光线在腔内往返两次的变换矩阵为单位阵,所以光线两次往返即自行闭合。
于是光线在腔内往返任意多次均不会溢出腔外,所以共焦腔为稳定腔。
4. 试求平凹、双凹、凹凸共轴球面镜腔的稳定性条件。
第四章 电磁场和物质的共振相互作用习题(缺7)1.解:根据多普勒效应,有ccz z /1/10υυυυ-+=则ccc c cc z z z z /1/1/1/1/0υυλυυυυλ+-=+-== 当c z 1.0=υ时,nm 4.5721≈λ 当c z 4.0=υ时,nm 3.4142≈λ 当c z 8.0=υ时,nm 9.2103≈λ2.设有一台迈克尔逊干涉仪,其光源波长为λ。
试用多普勒原理证明,当可动反射镜移动距离L 时,接收屏上的干涉光强周期地变化2/L λ次。
证明:如右图所示,光源S 发出频率为ν的光,从M 上反射的光为I ',它被1M 反射并且透过M ,由图中的I 所标记;透过M 的光记为II ',它被2M 反射后又被M 反射,此光记为II 。
由于M 和1M 均为固定镜,所以I 光的频率不变,仍为ν。
将2M 看作光接收器,由于它以速度v 运动,故它感受到的光的频率为:因为2M 反射II '光,所以它又相当于光发射器,其运动速度为v 时,发出的光的频率为:这样,I 光的频率为ν,II 光的频率为(12/)v c ν+。
在屏P 上面,I 光和II 光的广场可以分别表示为:S2M (1)v cνν'=+2(1)(1)(12)vv v c c cνννν'''=+=+≈+因而光屏P 上的总光场为:光强正比于电场振幅的平方,所以P 上面的光强为:它是t 的周期函数,单位时间内的变化次数为:由上式可得在dt 时间内屏上光强亮暗变化的次数为:(2/)mdt c dL ν=因为dt 是镜2M 移动dL 长度所花费的时间,所以mdt 也就是镜2M 移动dL 过程中屏上光强的明暗变化的次数。
对上式两边积分,即可以得到镜2M 移动L 距离时,屏上面光强周期性变化的次数S :式中1t 和2t 分别为镜2M 开始移动的时刻和停止移动的时刻;1L 和2L 为与1t 和2t 相对应的2M 镜的空间坐标,并且有21L L L -=。
第二章 开放式光腔与高斯光束习题(缺2.18 2.19 2.20)1. 题略证明:设入射光()11,r θ,出射光()22,r θ,由折射定理1122sin sin ηθηθ=,根据近轴传输条件,则1122sin ,sin θθθθ≈≈1122ηθηθ∴=,联立21r r =,则所以变换矩阵为 2. 题略证明:由题目1知,光线进入平面介质时的变换矩阵为:经过距离d的传播矩阵为: 光线出射平面介质时: 故3. 试利用往返矩阵证明共焦腔为稳定腔,即任意傍轴光线在其中可以往返无限多次,而且两次往返即自行闭合。
证:设光线在球面镜腔内的往返情况如下图所示:其往返矩阵为:122212111210101122110101212(1) 222222[(1)][(1)(1)]A B L L T C D R R L L L R R L L L L R R R R R R ⎛⎫⎛⎫⎛⎫⎛⎫⎛⎫ ⎪ ⎪== ⎪ ⎪ ⎪ ⎪ ⎪--⎝⎭⎝⎭⎝⎭ ⎪ ⎪⎝⎭⎝⎭⎛⎫-- ⎪⎪= ⎪-+----- ⎪⎝⎭212211100r r θηηθ⎛⎫⎛⎫⎛⎫= ⎪ ⎪⎪⎝⎭⎝⎭⎝⎭21100T ηη⎛⎫= ⎪⎝⎭121100T ηη⎛⎫= ⎪⎝⎭2100d T ⎛⎫=⎪⎝⎭312100T ηη⎛⎫= ⎪⎝⎭3113213112211101010000r r r d T T T θθηηηηθ⎛⎫⎛⎫⎛⎫⎛⎫⎛⎫⎛⎫== ⎪ ⎪ ⎪ ⎪⎪ ⎪⎝⎭⎝⎭⎝⎭⎝⎭⎝⎭⎝⎭123211221101011000000d d T T T T ηηηηηη⎛⎫⎛⎫⎛⎫⎛⎫∴=== ⎪ ⎪ ⎪ ⎪⎝⎭⎝⎭⎝⎭⎝⎭由于是共焦腔,有 12R R L == 往返矩阵变为若光线在腔内往返两次,有可以看出,光线在腔内往返两次的变换矩阵为单位阵,所以光线两次往返即自行闭合。
于是光线在腔内往返任意多次均不会溢出腔外,所以共焦腔为稳定腔。
4. 试求平凹、双凹、凹凸共轴球面镜腔的稳定性条件。