244个国家-电话区号、时差查询
- 格式:xls
- 大小:44.00 KB
- 文档页数:6
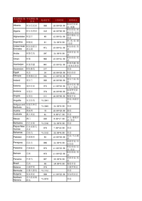
Countries and Regions国家或地区国际域名缩写电话代码时差Angola安哥拉AO244-7Afghanistan阿富汗AF930Albania阿尔巴尼亚AL355-7Algeria阿尔及利亚DZ213-8Andorra安道尔共和国AD376-8Anguilla安圭拉岛AI1264-12Antigua and Barbuda安提瓜和巴布达AG1268-12Argentina阿根廷AR54-11Armenia亚美尼亚AM374-6Ascension阿森松247-8Australia澳大利亚AU61+2Austria奥地利AT43-7Azerbaijan阿塞拜疆AZ994-5Bahamas巴哈马BS1242-13Bahrain巴林BH973-5Bangladesh孟加拉国BD880-2Barbados巴巴多斯BB1246-12Belarus白俄罗斯BY375-6Belgium比利时BE32-7Belize伯利兹BZ501-14Benin贝宁BJ229-7Bermuda Is.百慕大群岛BM1441-12Bolivia玻利维亚BO591-12Botswana博茨瓦纳BW267-6Brazil巴西BR55-11Brunei文莱BN6730Bulgaria保加利亚BG359-6Burkina-faso布基纳法索BF226-8Burma缅甸MM95-1.3Burundi布隆迪BI257-6Cameroon喀麦隆CM237-7Canada加拿大CA1-13Cayman Is.开曼群岛1345-13Central African Republic中非共和国CF236-7Chad乍得TD235-7Chile智利CL56-13China中国CN860Colombia哥伦比亚CO570Congo刚果CG242-7Cook Is.库克群岛CK682-18.3Costa Rica哥斯达黎加CR506-14Cuba古巴CU53-13Cyprus塞浦路斯CY357-6Czech Republic 捷克CZ420-7Denmark丹麦DK45-7Djibouti吉布提DJ253-5Dominica Rep.多米尼加共和国DO1890-13 Ecuador厄瓜多尔EC593-13Egypt埃及EG20-6EI Salvador萨尔瓦多SV503-14Estonia爱沙尼亚EE372-5Ethiopia埃塞俄比亚ET251-5Fiji斐济FJ679+4Finland芬兰FI358-6France法国FR33-8French Guiana法属圭亚那GF594-12 Gabon加蓬GA241-7Gambia冈比亚GM220-8Georgia 格鲁吉亚GE9950Germany 德国DE49-7Ghana加纳GH233-8Gibraltar直布罗陀GI350-8Greece希腊GR30-6Grenada格林纳达GD1809-14Guam关岛GU1671+2Guatemala危地马拉GT502-14Guinea几内亚GN224-8Guyana圭亚那GY592-11Haiti海地HT509-13Honduras洪都拉斯HN504-14 Hongkong香港HK8520Hungary匈牙利HU36-7Iceland冰岛IS354-9India印度IN91-2.3Indonesia印度尼西亚ID62-0.3Iran伊朗IR98-4.3Iraq伊拉克IQ964-5Ireland爱尔兰IE353-4.3Israel以色列IL972-6Italy意大利IT39-7Ivory Coast科特迪瓦225-6Jamaica牙买加JM1876-12Japan日本JP81+1Jordan约旦JO962-6Kampuchea (Cambodia )柬埔寨KH855-1 Kazakstan哈萨克斯坦KZ327-5Kenya肯尼亚KE254-5Korea韩国KR82+1Kuwait科威特KW965-5Kyrgyzstan 吉尔吉斯坦KG331-5Laos老挝LA856-1Latvia 拉脱维亚LV371-5Lebanon黎巴嫩LB961-6Lesotho莱索托LS266-6Liberia利比里亚LR231-8Libya利比亚L Y218-6Liechtenstein列支敦士登LI423-7 Lithuania立陶宛LT370-5Luxembourg卢森堡LU352-7Macao澳门MO8530Madagascar马达加斯加MG261-5Malawi马拉维MW265-6Malaysia马来西亚MY60-0.5Maldives马尔代夫MV960-7Mali马里ML223-8Malta马耳他MT356-7Mariana Is马里亚那群岛1670+1 Martinique马提尼克596-12Mauritius毛里求斯MU230-4Mexico墨西哥MX52-15Moldova, Republic of 摩尔多瓦MD373-5 Monaco摩纳哥MC377-7Mongolia 蒙古MN9760Montserrat Is蒙特塞拉特岛MS1664-12 Morocco摩洛哥MA212-6Mozambique莫桑比克MZ258-6Namibia 纳米比亚NA264-7Nauru瑙鲁NR674+4Nepal尼泊尔NP977-2.3Netheriands Antilles荷属安的列斯599-12 Netherlands荷兰NL31-7New Zealand新西兰NZ64+4Nicaragua尼加拉瓜NI505-14Niger尼日尔NE227-8Nigeria尼日利亚NG234-7North Korea朝鲜KP850+1Norway挪威NO47-7Oman阿曼OM968-4Pakistan巴基斯坦PK92-2.3Panama巴拿马PA507-13Papua New Cuinea巴布亚新几内亚PG675+2Paraguay巴拉圭PY595-12Peru秘鲁PE51-13Philippines菲律宾PH630Poland波兰PL48-7French Polynesia法属玻利尼西亚PF689+3 Portugal葡萄牙PT351-8Puerto Rico波多黎各PR1787-12Qatar卡塔尔QA974-5Reunion留尼旺262-4Romania罗马尼亚RO40-6Russia俄罗斯RU7-5Saint Lueia圣卢西亚LC1758-12Saint Vincent圣文森特岛VC1784-12Samoa Eastern东萨摩亚(美) 684-19Samoa Western西萨摩亚685-19San Marino圣马力诺SM378-7Sao Tome and Principe圣多美和普林西比ST239-8 Saudi Arabia沙特阿拉伯SA966-5Senegal塞内加尔SN221-8Seychelles塞舌尔SC248-4Sierra Leone塞拉利昂SL232-8Singapore新加坡SG65+0.3Slovakia斯洛伐克SK421-7Slovenia斯洛文尼亚SI386-7Solomon Is所罗门群岛SB677+3Somali索马里SO252-5South Africa南非ZA27-6Spain西班牙ES34-8Sri Lanka斯里兰卡LK940St.Lucia圣卢西亚LC1758-12St.Vincent圣文森特VC1784-12Sudan苏丹SD249-6Suriname苏里南SR597-11.3Swaziland斯威士兰SZ268-6Sweden瑞典SE46-7Switzerland瑞士CH41-7Syria叙利亚SY963-6Taiwan台湾省TW8860Tajikstan塔吉克斯坦TJ992-5Tanzania坦桑尼亚TZ255-5Thailand泰国TH66-1Togo多哥TG228-8Tonga汤加TO676+4Trinidad and Tobago特立尼达和多巴哥TT1809-12Tunisia突尼斯TN216-7Turkey土耳其TR90-6Turkmenistan 土库曼斯坦TM993-5Uganda乌干达UG256-5Ukraine乌克兰UA380-5United Arab Emirates阿拉伯联合酋长国AE971-4 United Kiongdom英国GB44-8United States of America美国US1-13Uruguay乌拉圭UY598-10.3Uzbekistan乌兹别克斯坦UZ233-5Venezuela委内瑞拉VE58-12.3Vietnam越南VN84-1Yemen也门YE967-5Yugoslavia南斯拉夫YU381-7Zimbabwe津巴布韦ZW263-6Zaire扎伊尔ZR243-7Zambia赞比亚ZM260-6。
电话国际区号2011年04月17日星期日 17:59亚洲马来西亚 060 印度尼西亚 062 菲律宾 063 新加坡 065 孟加拉国 0880 关岛 0671 文莱 0673 日本 081 韩国 082 越南084 朝鲜 0850 柬埔寨 0855 老挝 0856 中国 086 泰国066 土耳其 090 印度 091 巴基期坦 092 斯里兰卡 094 马尔代夫 0961 黎巴嫩 0962 约旦 0963 叙利亚 0964 伊拉克0965 科威特 0966 沙物阿拉伯 0967 阿富汗 093 阿曼0969 阿拉伯联合酋长国 0972 以色列 0973 巴林 0974 卡塔尔0975 不丹 0976 蒙古 0977 尼泊尔 0978 伊朗 098 阿拉伯也门共和国 0968欧洲俄罗斯 07 希腊 030 荷兰 031 比利时 032 圣马力诺039549 摩纳哥 03393 安道尔 033628 加那利群岛 03422 西班牙 034 直布罗陀 0350 葡萄牙 0351 卢森保 0352 爱尔兰0353 阿尔巴尼亚 0355 冰岛 0354 马耳他 0356 塞浦路斯0357 芬兰 0358 保加利亚 0359 匈牙利 0336 德国0349 南斯拉夫 0338 意大利 039 法国 033 梵蒂冈0396 罗马尼亚 040 瑞士 041 列士敦士登 04175 奥地利043 英国 044 丹麦 045 瑞典 046 挪威 047 法兰 048美洲美国 01 加拿大 01 中途岛 01808 威克岛 01808 夏威夷01808 安圭拉岛 01809 维尔京群岛 01809 特立尼达和多巴哥01809 圣卢西亚 01809 波多黎各 01809 蒙特塞拉特岛01809 巴哈马 01809 巴巴多斯 01809 格林纳达 01809 古巴053 开曼群岛 01809 百慕大群岛 01809 牙买加 01809 特克斯和凯科斯群岛 01809 安提瓜和巴布达 01809 阿拉斯加01907 法罗群岛 0298 格陵兰岛 0299 伯利兹 0501 危地马拉0502 萨尔瓦多 0503 洪都拉斯 0504 尼加拉瓜 0505 哥斯达黎加0506 巴拿马 0507 海地 0509 墨西哥 052 福克兰群岛0500 秘鲁 051 智利 056 阿根延 054 巴西 055 哥伦比亚057 委内瑞拉 058 玻利维亚 0591 圭亚那 0592 厄瓜多尔0593 法属圭亚那 0594 巴拉圭 0595 马提尼克 0596 苏里南 0597 乌拉圭 0598 荷属安的列斯群岛 0599 圣文桑特岛和格雷纳丁斯 01809 圣克里斯托费和尼维斯 01809 多米尼加共和国 01809 非洲埃及 020 摩洛哥 0210 阿尔及利亚 0213 突尼斯 0216 利比亚 0218 冈比亚 0220 塞内加尔 0221 毛里塔尼亚0222 马里0223 几内亚 0224 科特迪瓦 0225 布基纳法索 0226 尼日尔0227 多哥 0228 贝宁 0229 毛里求斯 0230 利比里亚0231 塞拉利昴 0232 加纳 0233 尼日利亚 0234 乍得0235 中非 0236 喀麦隆 0237 佛得角 0238 圣多美和普林西比 0239 赤道几内亚 0240 加蓬 0241 刚果 0242 扎伊尔0243 安哥拉 0244 几内亚比绍 0245 阿森松 0247 塞舌尔0248 苏丹 0249 卢旺达 0250 埃塞俄比亚 0251 索马里0252 吉布提 0253 肯尼亚 0254 坦桑尼亚 0255 乌干达0256 布隆迪 0257 莫桑比克 0258 赞比亚 0260 马达加斯加0261 留尼旺岛 0262 津巴布韦 0263 纳米比亚 0264 马拉维 0265 莱索托 0266 博茨瓦纳 0267 斯威士兰 0268 科摩罗0269 南非 027 圣赫勒拿 0290 阿鲁巴岛 0297大洋洲澳大利亚 061 新西兰 064 马里亚纳群岛 0670 科科斯岛06722 诺福克岛 06723 圣庭岛 06724 瑙鲁 0674 巴布亚新几内亚0675 汤加 0676 所罗门群岛 0677 瓦努阿图 0678 斐济0679 科克群岛 0682 纽埃岛 0683 东萨摩亚 0684 西萨摩亚0685 基里巴斯 0686 新喀里多尼亚群岛 0687 图瓦卢 068 法属波里尼西亚 0689。
埃及:国家区号为0020,与中国时差(比中国晚6个小时)各个地区的区号:伊朗:国家区号为6个月比中国晚4个半小时)各个地区的区号:也门:国家区号为00967,与中国时差(比中国晚5个小时)各个地区的区号:利比亚:国家区号为00218,与中国时差(比中国晚6个小时)各个地区的区号:沙特:国家区号为00966,与中国时差(比中国晚5个小时)各个地区的区号:阿联酋:国家区号为00971,与中国时差(比北京晚4个小时)各个地区的区号:巴西:国家区号为0055,与中国时差(用北京时间减去11再加24)各个地区的区号:摩洛哥:国家区号为00212,与中国时差(北京时间减8小时,夏令期间(自3月之后的最后一个星期天到9月最后一个星期六)减7小时)阿尔及利亚:国家区号为00213,与中国时差(比北京世纪晚7小时)各个地区的区号:突尼斯:国家区号为00216,与中国时差(比北京时间慢7个小时)∙各个地区的区号:Bizerte: 72∙Gabes: 75∙Kairouan: 77∙Monastir: 73∙Sfax: 74∙Sousse: 73∙Tunis: 71哈萨克斯坦:国家区号为007,与中国时差(比北京时间慢3个小时)各个地区的区号:英国:国家区号为0044,与中国时差(比北京时间晚8个小时,每年的三月份最后一个星期天到每年十月份的最后一个星期天是夏令时,夏令时的时候英国和中国的时差是7小时)各个地区的区号:法国:国家区号为0033,与中国的时差(时差在十月到次年三月间法国与中国有7小时的时差,在三月到十月间与中国有6个小时的时差)各个地区的区号:•Paris: 1•Brest, Cherbourg, Le Havre, Nantes, Orleans, Rouen: 2•Boulogne, Calais, Dijon, Lille, Nancy, Strasbourg, Reims, Troyes: 3•Cannes, Grenoble, Lyon, Marseille, Nice, St. Etienne, Toulon, Valence: 4•Bordeaux, Limoges, Lourdes, Toulouse: 5•Corsica: 495瑞典:国家区号为0046,与中国的时差(比北京时间晚7个小时)各个地区的区号:澳大利亚:国家区号为0061,与中国的时差(比北京时间早2~3个小时)各个地区的区号:By stateBy city俄罗斯:国家区号为007,与中国的时差(莫斯科时间比北京时间晚5个小时)各个地区的区号:印度:国家区号为0091,与中国的时差(比北京时间晚2个半小时)各个地区的区号:韩国:国家区号为0082,与中国的时差(比北京时间早1个小时)各个地区的区号:缅甸:国家区号为0095,与中国的时差(比北京时间晚1个半小时)各个地区的区号:泰国:国家区号为0066,与中国的时差(比北京时间晚1个小时)各个地区的区号:Bangkok: 2∙Chiang Mai: 52, 53∙Chon Buri: 33, 38∙Hat Yai: 74∙Lampang: 54∙NakhonRatchasima: 44∙Nonthaburi: 2∙SamutPrakan: 2∙UdonThani: 42格鲁吉亚:国家区号为00995,与中国的时差(比北京时间晚4个小时)各个地区的区号:印度尼西亚:国家区号为0062,与中国的时差(与北京时间时差1小时,如中国北京8:00,印度尼西亚7:00 雅加达、万隆等是1小时时差,巴厘岛等,是没有时差的。
埃及:国家区号为0020,与中国时差(比中国晚6个小时)伊朗:6个月比中国晚4个半小时)各个地区的区号:也门:国家区号为00967,与中国时差(比中国晚5个小时)各个地区的区号:利比亚:国家区号为00218,与中国时差(比中国晚6个小时)各个地区的区号:沙特:国家区号为00966,与中国时差(比中国晚5个小时)各个地区的区号:阿联酋:国家区号为00971,与中国时差(比北京晚4个小时)各个地区的区号:巴西:国家区号为0055,与中国时差(用北京时间减去11再加24)各个地区的区号:摩洛哥:国家区号为00212,与中国时差(北京时间减8小时,夏令期间(自3月之后的最后一个星期天到9月最后一个星期六)减7小时)阿尔及利亚:国家区号为00213,与中国时差(比北京世纪晚7小时)各个地区的区号:突尼斯:国家区号为00216,与中国时差(比北京时间慢7个小时)•各个地区的区号:Bizerte: 72•Gabes: 75•Kairouan: 77•Monastir: 73•Sfax: 74•Sousse: 73•Tunis: 71哈萨克斯坦:国家区号为007,与中国时差(比北京时间慢3个小时)各个地区的区号:英国:国家区号为0044,与中国时差(比北京时间晚8个小时,每年的三月份最后一个星期天到每年十月份的最后一个星期天是夏令时,夏令时的时候英国和中国的时差是7小时)各个地区的区号:法国:国家区号为0033,与中国的时差(时差在十月到次年三月间法国与中国有7小时的时差,在三月到十月间与中国有6个小时的时差)各个地区的区号:•Paris: 1•Brest, Cherbourg, Le Havre, Nantes, Orleans, Rouen: 2•Boulogne, Calais, Dijon, Lille, Nancy, Strasbourg, Reims, Troyes: 3•Cannes, Grenoble, Lyon, Marseille, Nice, St. Etienne, Toulon, Valence: 4•Bordeaux, Limoges, Lourdes, Toulouse: 5•Corsica: 495瑞典:国家区号为0046,与中国的时差(比北京时间晚7个小时)各个地区的区号:澳大利亚:国家区号为0061,与中国的时差(比北京时间早2~3个小时)各个地区的区号:By stateBy city俄罗斯:国家区号为007,与中国的时差(莫斯科时间比北京时间晚5个小时)各个地区的区号:印度:国家区号为0091,与中国的时差(比北京时间晚2个半小时)各个地区的区号:韩国:国家区号为各个地区的区号:缅甸:国家区号为0095,与中国的时差(比北京时间晚1个半小时)各个地区的区号:泰国:国家区号为各个地区的区号:Bangkok: 2•Chiang Mai: 52, 53•Chon Buri: 33, 38•Hat Yai: 74•Lampang: 54•Nakhon Ratchasima: 44•Nonthaburi: 2•Samut Prakan: 2•Udon Thani: 42格鲁吉亚:国家区号为00995,与中国的时差(比北京时间晚4个小时)各个地区的区号:印度尼西亚:国家区号为0062,与中国的时差(与北京时间时差1小时,如中国北京8:00,印度尼西亚7:00 雅加达、万隆等是1小时时差,巴厘岛等,是没有时差的。
世界各国地区区号在全球化的时代,电话通讯成为了人们日常交流和商务往来中不可或缺的一部分。
而要实现跨国或跨地区的电话通话,了解世界各国地区的区号就显得至关重要。
区号,就像是电话通讯中的“地址标签”,能够准确地将您的通话引导到正确的目的地。
先来说说亚洲地区。
中国的区号是+86,这是大家都比较熟悉的。
当您从国外拨打中国的电话时,首先要加上+86,然后再输入具体的地区区号和电话号码。
日本的区号是+81,韩国是+82。
印度的区号为+91,泰国是+66。
这些国家和地区的区号在我们日常的国际交流中经常会用到。
欧洲地区的国家众多,区号也各不相同。
英国的区号是+44,法国是+33,德国是+49,意大利是+39。
俄罗斯的区号是+7,西班牙是+34。
如果您要与欧洲的朋友或合作伙伴通话,准确记住他们所在国家的区号,能让您的通话更加顺畅。
北美洲地区,美国和加拿大是我们经常会联系的地方。
美国的区号是+1,加拿大是+1 但具体的地区还有细分的区号。
比如,纽约的区号是 212、洛杉矶是 213 等等。
南美洲的巴西区号是+55,阿根廷是+54。
大洋洲的澳大利亚区号是+61,新西兰是+64。
非洲地区的国家区号较为复杂。
南非的区号是+27,埃及是+20。
在使用区号拨打电话时,还需要注意一些细节。
比如,不同国家和地区的电话号码位数可能不同。
有的国家电话号码较短,而有的则较长。
另外,国际长途电话的费用通常会比较高,所以在拨打之前最好了解一下相关的资费标准。
有时候,我们可能会因为记错区号或者电话号码而导致通话无法接通。
这时候不要着急,可以通过网络搜索或者咨询相关的电信运营商来获取准确的信息。
总之,了解世界各国地区的区号对于我们进行国际交流和沟通是非常有帮助的。
它不仅能够让我们顺利地与世界各地的人们保持联系,还能避免因为拨错号码而带来的不必要的麻烦和浪费。
希望大家在需要进行国际通话时,都能准确无误地输入区号和电话号码,让交流畅通无阻。
1:美国1:加拿大大多数加勒比海国家:1-264:安圭拉岛1-268:安提瓜和巴布达1-242:巴哈马1-246:巴巴多斯1-441:百慕大1-284:英属维京群岛1-345:开曼群岛1-767:多米尼克1-809:多米尼加共和国1-473:格林纳达1-876:牙买加1-664:蒙特塞拉特1-787/1-939:波多黎各1-869:圣基茨和尼维斯1-758:圣卢西亚1-784:圣文森特和格林纳丁斯1-868:特立尼达和多巴哥1-649:特克斯和凯科斯群岛1-340:美属维京群岛一些太平洋群岛:1-671:关岛1-670:北马里亚纳群岛区域2 -- 大部分是非洲地区20 -- 埃及212 -- 摩洛哥213 -- 阿尔及利亚216 -- 突尼斯218 -- 利比亚220 -- 冈比亚221 -- 塞内加尔222 -- 毛里塔尼亚223 -- 马里224 -- 几内亚225 -- 科特迪瓦226 -- 布基纳法索227 -- 尼日尔228 -- 多哥229 -- 贝宁230 -- 毛里求斯231 -- 利比里亚232 -- 塞拉利昂233 -- 加纳234 -- 尼日利亚235 -- 乍得236 -- 中非共和国237 -- 喀麦隆238 -- 佛得角239 -- 圣多美和普林西比240 -- 赤道几内亚241 -- 加蓬242 -- 刚果共和国(布)243 -- 刚果民主共和国(金)244 -- 安哥拉245 -- 几内亚比绍246 -- 迪戈加西亚247 -- 阿森松岛248 -- 塞舌尔249 -- 苏丹250 -- 卢旺达251 -- 埃塞俄比亚252 -- 索马里253 -- 吉布提254 -- 肯尼亚255 -- 坦桑尼亚256 -- 乌干达257 -- 布隆迪258 -- 莫桑比克260 -- 赞比亚261 -- 马达加斯加262 -- 留尼汪263 -- 津巴布韦264 -- 纳米比亚265 -- 马拉维266 -- 莱索托267 -- 博茨瓦纳268 -- 斯威士兰269 -- 科摩罗和马约特27 -- 南非290 -- 圣赫勒拿291 -- 厄立特里亚297 -- 阿鲁巴298 -- 法罗群岛299 -- 格陵兰区域3 -- 欧洲30 -- 希腊31 -- 荷兰32 -- 比利时33 -- 法国34 -- 西班牙350 -- 直布罗陀351 -- 葡萄牙352 -- 卢森堡353 -- 爱尔兰354 -- 冰岛355 -- 阿尔巴尼亚356 -- 马耳他357 -- 塞浦路斯358 -- 芬兰359 -- 保加利亚36 -- 匈牙利37 -- 曾经是东德的区号,合并后的德国区号为49370 -- 立陶宛371 -- 拉脱维亚372 -- 爱沙尼亚373 -- 摩尔多瓦374 -- 亚美尼亚375 -- 白俄罗斯376 -- 安道尔377 -- 摩纳哥378 -- 圣马力诺379 -- 保留给梵蒂冈38 -- 前南斯拉夫分裂前的区号380 -- 乌克兰381 -- 塞尔维亚382 -- 黑山 (黑山)383 -- 未分配384 -- 未分配385 -- 克罗地亚386 -- 斯洛文尼亚387 -- 波黑388 -- 欧洲电话号码空间――环欧洲服务389 -- 马其顿39 -- 意大利区域4 -- 欧洲40 -- 罗马尼亚41 -- 瑞士42 -- 曾经是捷克斯洛伐克的区号420 -- 捷克共和国421 -- 斯洛伐克423 -- 列支敦士登424 -- 未分配43 -- 奥地利44 -- 英国45 -- 丹麦46 -- 瑞典47 -- 挪威48 -- 波兰49 -- 德国区域5 -- 墨西哥和中南美洲500 -- 福克兰群岛501 -- 伯利兹502 -- 危地马拉503 -- 萨尔瓦多504 -- 洪都拉斯505 -- 尼加拉瓜506 -- 哥斯达黎加507 -- 巴拿马508 -- 圣皮埃尔和密克隆群岛509 -- 海地51 -- 秘鲁52 -- 墨西哥53 -- 古巴54 -- 阿根廷55 -- 巴西56 -- 智利57 -- 哥伦比亚58 -- 委内瑞拉590 -- 瓜德罗普591 -- 玻利维亚592 -- 圭亚那593 -- 厄瓜多尔594 -- 法属圭亚那595 -- 巴拉圭596 -- 马提尼克597 -- 苏里南598 -- 乌拉圭599 -- 荷属安的列斯区域6 -- 东南亚及大洋洲60 -- 马来西亚61 -- 澳大利亚62 -- 印度尼西亚63 -- 菲律宾64 -- 新西兰65 -- 新加坡66 -- 泰国670 -- 东帝汶671 -- 曾经是关岛 (现在是1)672 -- 澳大利亚海外领地:南极洲、圣诞岛、可可斯群岛、和诺福克岛673 -- 文莱674 -- 瑙鲁675 -- 巴布亚新几内亚676 -- 汤加677 -- 所罗门群岛678 -- 瓦努阿图679 -- 斐济680 -- 帕劳681 -- 沃利斯和富图纳群岛682 -- 库克群岛683 -- 纽埃684 -- 美属萨摩亚685 -- 萨摩亚686 -- 基里巴斯,吉尔伯特群岛687 -- 新喀里多尼亚688 -- 图瓦卢,埃利斯群岛689 -- 法属波利尼西亚690 -- 托克劳群岛691 -- 密克罗尼西亚联邦692 -- 马绍尔群岛区域7 - 俄罗斯及附近地区 (前苏联)7 -- 俄罗斯、哈萨克斯坦区域8 -- 东亚以及特殊服务800 -- 国际免费电话81 -- 日本82 -- 韩国84 -- 越南850 -- 北朝鲜851 -- 测试专用852 -- 香港853 -- 澳门855 -- 柬埔寨856 -- 老挝86 -- 中华人民共和国870 -- 海事卫星电话 "SNAC" service 877 -- 预留给海洋移动通讯服务878 -- 环球个人通讯服务879 -- 预留给国家移动/海洋使用880 -- 孟加拉国881 -- 移动卫星系统882 -- 国际网络886 -- 台湾区域9-西亚及南亚、中东90 -- 土耳其91 -- 印度92 -- 巴基斯坦93 -- 阿富汗94 -- 斯里兰卡95 -- 缅甸960 -- 马尔代夫961 -- 黎巴嫩962 -- 约旦963 -- 叙利亚964 -- 伊拉克965 -- 科威特966 -- 沙特阿拉伯967 -- 也门968 -- 阿曼970 -- 预留给巴勒斯坦971 -- 阿拉伯联合酋长国972 -- 以色列973 -- 巴林974 -- 卡塔尔975 -- 不丹976 -- 蒙古977 -- 尼泊尔978 -- 未分配98 -- 伊朗992 -- 塔吉克斯坦993 -- 土库曼斯坦994 -- 阿塞拜疆995 -- 格鲁吉亚996 -- 吉尔吉斯斯坦997 -- 未分配998 -- 乌兹别克斯坦999 -- 保留,可能移作紧急救援。
国家代号与区号Countries and Regions国家或地区域名缩写电话代码 时差Angola安哥拉AO244-7 Afghanistan阿富汗AF930Albania阿尔巴尼亚AL355-7Algeria阿尔及利亚DZ213-8Andorra安道尔共和国AD376-8Anguilla安圭拉岛AI1264-12 Antigua and Barbuda安提瓜和巴布达AG1268-12 Argentina阿根廷AR54-11Armenia亚美尼亚AM374-6 Ascension阿森松247-8Australia澳大利亚AU612Austria奥地利AT43-7 Azerbaijan阿塞拜疆AZ994-5Bahamas巴哈马BS1242-13Bahrain巴林BH973-5 Bangladesh孟加拉国BD880-2Barbados巴巴多斯BB1246-12Belarus白俄罗斯BY375-6Belgium比利时BE32-7Belize伯利兹BZ501-14Benin贝宁BJ229-7 Bermuda Is.百慕大群岛BM1441-12Bolivia玻利维亚BO591-12 Botswana博茨瓦纳BW267-6Brazil巴西BR55-11Brunei文莱BN6730Bulgaria保加利亚BG359-6 Burkina-faso布基纳法索BF226-8 Burma缅甸MM95-1.3Burundi布隆迪BI257-6 Cameroon喀麦隆CM237-7Canada加拿大CA1-13 Cayman Is.开曼群岛1345-13 Central African Republic中非共和国CF236-7 Chad乍得TD235-7Chile智利CL56-13 Colombia哥伦比亚CO57-13Congo刚果CG242-7Cook Is.库克群岛CK682-18.3 Costa Rica哥斯达黎加CR506-14Cuba古巴CU53-13Cyprus塞浦路斯CY357-6 Czech Republic捷克CZ420-7 Denmark丹麦DK45-7Djibouti吉布提DJ253-5 Dominica Rep.多米尼加共和国DO1890-13 Ecuador厄瓜多尔EC593-13Egypt埃及EG20-6 EI Salvador萨尔瓦多SV503-14Estonia爱沙尼亚EE372-5Ethiopia埃塞俄比亚ET251-5Fiji斐济FJ6794Finland芬兰FI358-6France法国FR33-8 French Guiana法属圭亚那GF594-12 Gabon加蓬GA241-7Gambia冈比亚GM220-8Georgia格鲁吉亚GE9950Germany德国DE49-7Ghana加纳GH233-8Gibraltar直布罗陀GI350-8Greece希腊GR30-6Grenada格林纳达GD1809-14Guam关岛GU16712 Guatemala危地马拉GT502-14Guinea几内亚GN224-8Guyana圭亚那GY592-11Haiti海地HT509-13 Honduras洪都拉斯HN504-14 Hungary匈牙利HU36-7Iceland冰岛IS354-9India印度IN91-2.3 Indonesia印度尼西亚ID62-0.3 Iran伊朗IR98-4.3Iraq伊拉克IQ964-5Ireland爱尔兰IE353-4.3Israel以色列IL972-6Italy意大利IT39-7 Ivory Coast科特迪瓦225-6Jamaica牙买加JM1876-12Japan日本JP811Jordan约旦JO962-6 Kampuchea (Cambodia )柬埔寨KH855-1 Kazakstan哈萨克斯坦KZ327-5Kenya肯尼亚KE254-5Korea韩国KR821Kuwait科威特KW965-5 Kyrgyzstan吉尔吉斯坦KG331-5 Laos老挝LA856-1Latvia拉脱维亚LV371-5 Lebanon黎巴嫩LB961-6 Lesotho莱索托LS266-6 Liberia利比里亚LR231-8Libya利比亚LY218-6 Liechtenstein列支敦士登LI423-7 Lithuania立陶宛LT370-5 Luxembourg卢森堡LU352-7 Madagascar马达加斯加MG261-5 Malawi马拉维MW265-6 Malaysia马来西亚MY60-0.5 Maldives马尔代夫MV960-7Mali马里ML223-8Malta马耳他MT356-7 Mariana Is马里亚那群岛16701 Martinique马提尼克596-12 Mauritius毛里求斯MU230-4 Mexico墨西哥MX52-15 Moldova, Republic of摩尔多瓦MD373-5 Monaco摩纳哥MC377-7 Mongolia蒙古MN9760 Montserrat Is蒙特塞拉特岛MS1664-12 Morocco摩洛哥MA212-6 Mozambique莫桑比克MZ258-6 Namibia纳米比亚NA264-7 Nauru瑙鲁NR6744Nepal尼泊尔NP977-2.3 Netheriands Antilles荷属安的列斯599-12 Netherlands荷兰NL31-7 New Zealand新西兰NZ644 Nicaragua尼加拉瓜NI505-14 Niger尼日尔NE227-8 Nigeria尼日利亚NG234-7 North Korea朝鲜KP8501 Norway挪威NO47-7 Oman阿曼OM968-4 Pakistan巴基斯坦PK92-2.3 Panama巴拿马PA507-13 Papua New Cuinea巴布亚新几内亚PG6752 Paraguay巴拉圭PY595-12Peru秘鲁PE51-13 Philippines菲律宾PH630Poland波兰PL48-7 French Polynesia法属玻利尼西亚PF6893 Portugal葡萄牙PT351-8 Puerto Rico波多黎各PR1787-12 Qatar卡塔尔QA974-5Reunion留尼旺262-4 Romania罗马尼亚RO40-6Russia俄罗斯RU7-5 Saint Lueia圣卢西亚LC1758-12 Saint Vincent圣文森特岛VC1784-12 Samoa Eastern东萨摩亚(美)684-19 Samoa Western西萨摩亚685-19 San Marino圣马力诺SM378-7 Sao Tome and Principe圣多美和普林西比ST239-8 Saudi Arabia沙特阿拉伯SA966-5Senegal塞内加尔SN221-8 Seychelles塞舌尔SC248-4 Sierra Leone塞拉利昂SL232-8 Singapore新加坡SG650.3 Slovakia斯洛伐克SK421-7Slovenia斯洛文尼亚SI386-7 Solomon Is所罗门群岛SB6773Somali索马里SO252-5 South Africa南非ZA27-6 Spain西班牙ES34-8 Sri Lanka斯里兰卡LK940St.Lucia圣卢西亚LC1758-12 St.Vincent圣文森特VC1784-12Sudan苏丹SD249-6 Suriname苏里南SR597-11.3 Swaziland斯威士兰SZ268-6Sweden瑞典SE46-7 Switzerland瑞士CH41-7 Syria叙利亚SY963-6Taiwan台湾省TW8860Tajikstan塔吉克斯坦TJ992-5 Tanzania坦桑尼亚TZ255-5Thailand泰国TH66-1Togo多哥TG228-8Tonga汤加TO6764 Trinidad and Tobago特立尼达和多巴哥TT1809-12 Tunisia突尼斯TN216-7Turkey土耳其TR90-6 Turkmenistan土库曼斯坦TM993-5 Uganda乌干达UG256-5Ukraine乌克兰UA380-5 United Arab Emirates阿拉伯联合酋长国AE971-4 United Kiongdom英国GB44-8 United States of America美国US1-13 Uruguay乌拉圭UY598-10.3 Uzbekistan乌兹别克斯坦UZ233-5Venezuela委内瑞拉VE58-12.3 Vietnam越南VN84-1Yemen也门YE967-5 Yugoslavia南斯拉夫YU381-7 Zimbabwe津巴布韦ZW263-6 Zaire扎伊尔ZR243-7Zambia赞比亚ZM260-6。