同济大学第六版高等数学综合测试题答案
- 格式:docx
- 大小:1.66 MB
- 文档页数:4
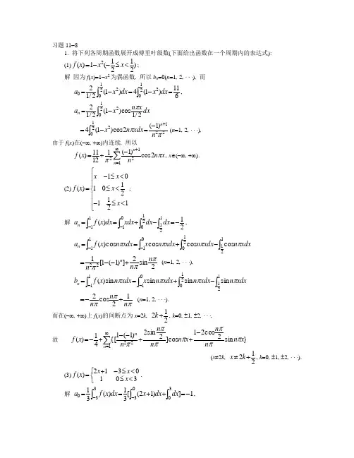
习题11-81. 将下列各周期函数展开成傅里叶级数(下面给出函数在一个周期内的表达式): (1))2121(1)(2<≤--=x x x f ;解 因为f (x )=1-x 2为偶函数, 所以b n =0(n =1, 2, ⋅ ⋅ ⋅), 而611)1(4)1(2/12210221020=-=-=⎰⎰dx x dx x a ,⎰-=21022/1cos )1(2/12dx x n x a n π 2212102)1(2cos )1(4ππn xdx n x n +-=-=⎰(n =1, 2, ⋅ ⋅ ⋅),由于f (x )在(-∞, +∞)内连续, 所以∑∞=+-+=12122cos )1(11211)(n n x n n x f ππ, x ∈(-∞, +∞).(2)⎪⎪⎩⎪⎪⎨⎧<≤-<≤<≤-=121 1210 101 )(x x x x x f ;解 21)(1212100111-=-+==⎰⎰⎰⎰--dx dx xdx dx x f a n ,⎰⎰⎰⎰-+==--1212100111cos cos cos cos )(xdx n xdx n xdx n x xdx n x f a n ππππ 2sin 2])1(1[122πππn n n n +--= (n =1, 2, ⋅ ⋅ ⋅),dx x n xdx n xdx n x xdx n x f b n ⎰⎰⎰⎰-+==--121210111sin sin sin sin )(πππππππn n n 12cos 2+-= (n =1, 2, ⋅ ⋅ ⋅). 而在(-∞, +∞)上f (x )的间断点为x =2k , 212+k , k =0, ±1, ±2, ⋅ ⋅ ⋅, 故 }s i n 2c o s 21c o s ]2s i n 2)1(1{[41)(122x n n n x n n n n x f n n πππππππ-++--+-=∑∞=(x ≠2k , 212+≠k x , k =0, ±1, ±2, ⋅ ⋅ ⋅).(3)⎩⎨⎧<≤<≤-+=30 1 03 12)(x x x x f .解 1])12([31)(313003330-=++==⎰⎰⎰--dx dx x dx x f a ,]3cos 3cos )12([313cos )(31300333⎰⎰⎰--++==dx x n dx x n x dx x n x f a n πππ])1(1[622n n --=π(n =1, 2, ⋅ ⋅ ⋅ ), ]3sin 3sin )12([313sin )(31300333⎰⎰⎰--++==dx x n dx x n x dx x n x f b n πππn n )1(6-=π(n =1, 2, ⋅ ⋅ ⋅ ),而在(-∞, +∞)上, f (x )的间断点为 x =3(2k +1), k =0, ±1, ±2, ⋅ ⋅ ⋅,故 }3sin 6)1(3cos])1(1[6{21)(1122∑∞=+-+--+-=n n n x n n x n n x f ππππ,(x ≠3(2k +1), k =0, ±1, ±2, ⋅ ⋅ ⋅).2. 将下列函数分别展开成正弦级数和余弦级数:(1)⎪⎩⎪⎨⎧≤≤-<≤=lx x l l x x x f 2l20 )(; 解 正弦级数:对f (x )进行奇延拓, 则函数的傅氏系数为 a 0=0(n =0, 1, 2, ⋅ ⋅ ⋅),2sin 4]sin )(sin [22221210ππππn n l dx l x n x l dx l x n x l b l n =-+=⎰⎰(n =1, 2, ⋅ ⋅ ⋅ )故 ∑∞==122sin 2sin14)(n l x n n nl x f πππ, x ∈[0, l ].余弦级数:对f (x )进行偶延拓, 则函数的傅氏系数为2])([2212100l dx x l xdx l a l =-+=⎰⎰,⎰⎰-+=l n dx l x n x l dx l x n x l a 21210]cos )(cos [2ππ])1(12cos2[222n n n l ---=ππ(n =1, 2, ⋅ ⋅ ⋅ )b n =0(n =1, 2, ⋅ ⋅ ⋅ ),故 lx n n n l l x f n n πππcos ])1(12cos2[124)(122∑∞=---+=, x ∈[0, l ].(2)f (x )=x 2(0≤x ≤2).解 正弦级数:对f (x )进行奇延拓, 则函数的傅氏系数为 a 0=0(n =0, 1, 2, ⋅ ⋅ ⋅),]1)1[()(168)1(2sin2231202--+-==+⎰n n n n n dx x n x b πππ,故 2sin }]1)1[()(168)1{()(131x n n n x f n n n πππ∑∞=+--+-=2sin}]1)1[(2)1({811x n n n n n n ππ∑∞=+--+-=, x ∈[0, 2).余弦级数:对f (x )进行偶延拓, 则函数的傅氏系数为38222020==⎰dx x a 2202)(16)1(2cos22ππn dx x n x a n n -==⎰(n =1, 2, ⋅ ⋅ ⋅),b n =0(n =1, 2, ⋅ ⋅ ⋅),故 2cos)(16)1(34)(12x n n x f n n ππ∑∞=-+=2cos)1(1634122x n n n n ππ∑∞=-+=, x ∈[0, 2].总习题十一 1. 填空: (1)对级数∑∞=1n n u , 0lim =∞→n n u 是它收敛的________条件, 不是它收敛的________条件; 解 必要; 充分.(2)部分和数列{s n }有界是正项级数∑∞=1n n u 收敛的________条件; 解 充分必要. (3)若级数∑∞=1n n u 绝对收敛, 则级数∑∞=1n n u 必定________; 若级数∑∞=1n n u 条件收敛, 则级数∑∞=1||n n u 必定________. 解 收敛; 发散.2. 判定下列级数的收敛性: (1)∑∞=11n n nn ; 解 因为11lim 11lim==∞→∞→n n n n nn n n ,而调和级数∑∞=11n n发散, 故由比较审敛法知, 级数发散. (2)∑∞=1222)!(n nn ;解 因为∞==⋅++=∞→∞→+∞→222221lim )!(2)1(2])!1[(lim lim n n n n n u u n n n n n , 故由比值审敛法知, 级数发散.(3) ∑∞=1223cos n n n n π; 解 因为n n n n n 223cos 2<π, 12121lim 2lim <==∞→∞→n n n n n n n 所以由根值审敛法, 级数∑∞=12n n 收敛; 由比较审敛法, 级数∑∞=1223cos n nn n π收敛. (4)∑∞=110ln 1n n;解 因为∞==∞→∞→nn n u n n n 10ln lim 1lim , 而调和级数∑∞=11n n 发散, 故由比较审敛法知, 原级数发散. 提示: ∞===⋅⋅⋅==⋅=∞→∞→∞→∞→∞→xx x xx x x x x x x x x x 11lim !101ln lim !101 ln lim 1011ln 101lim ln lim 9910 (5)∑∞=1n s n na (a >0, s >0). 解 因为 a n a n a sn n ns n n ==∞→∞→)(lim lim , 故由根值审敛法知, 当a <1时级数收敛, 当a >1时级数发散. 当a =1时, 原级数成为∑∞=11n s n, 这是p =s 的p -级数, 当s >1时级数收敛, 当s ≤1时级数发散. 3. 设正项级数∑∞=1n n u 和∑∞=1n n v 都收敛, 证明级数∑∞=+12)(n n n v u 与收敛. 证明 因为∑∞=1n n u 和∑∞=1n n v 都收敛, 所以0lim =∞→n n u , 0lim =∞→n n v . 又因为0)2(lim 2lim 2=+=+∞→∞→n n n nn n n n v u u v u u , 0lim lim 2==∞→∞→n n n nn v v v ,所以级数∑∞=+12)2(n n n n v u u 和级数∑∞=12n n v 都收敛, 从而级数∑∑∞=∞=+=++12122)(])2[(n n n n n n n n v u v v u u也是收敛的.4. 设级数∑∞=1n n u 收敛, 且1lim =∞→nnn u v , 问级数∑∞=1n n v 是否也收敛?试说明理由. 解 级数∑∞=1n n v 不一定收敛. 当∑∞=1n n u 和∑∞=1n n v 均为正项级数时, 级数∑∞=1n n v 收敛, 否则未必. 例如级数∑∞=-11)1(n n 收敛, 但级数∑∞=+-1]11)1[(n n n 发散, 并且有11)1(11)1(lim=-+-∞→nn n n . 5. 讨论下列级数的绝对收敛性与条件收敛性: (1)∑∞=-11)1(n p n n ; 解 ∑∑∞=∞==-111|1)1(|n p n p nnn 是p 级数. 故当p >1时级数∑∞=11n p n 是收敛的, 当p ≤1时级数∑∞=11n p n 发散. 因此当p >1时级数∑∞=-11)1(n p n n 绝对收敛. 当0<p ≤1时, 级数∑∞=-11)1(n p n n 是交错级数, 且满足莱布尼茨定理的条件, 因而收敛, 这时是条件收敛的.当p ≤0时, 由于01)1(lim ≠-∞→p nn n , 所以级数∑∞=-11)1(n p n n 发散.综上所述, 级数∑∞=-11)1(n p n n 当p >1时绝对收敛, 当0<p ≤1时条件收敛, 当p ≤0时发散.(2)∑∞=+++-1111sin )1(n n n n ππ; 解 因为1111|1s i n )1(|+++≤+-n n n n πππ, 而级数∑∞=+111n n π收敛, 故由比较审敛法知级数|1sin )1(|111∑∞=+++-n n n n ππ收敛, 从而原级数绝对收敛.(3)∑∞=+-11ln )1(n n n n ; 解 因为1ln )11ln(lim 1ln lim 1|1ln )1(|lim ==+=+=+-∞→∞→∞→e n n n n n n n n n n n n , 而级数∑∞=11n n发散, 故由比较审敛法知级数|1ln)1(|1∑∞=+-n n n n 发散, 即原级数不是绝对收敛的.另一方面, 级数∑∞=+-11ln )1(n nn n 是交错级数, 且满足莱布尼茨定理的条件, 所以该级数收敛, 从而原级数条件收敛.(4)∑∞=++-11)!1()1(n n n nn . 解 令1)!1()1(++-=n n n n n u . 因为11)11(112lim )1(12lim)!1()1()!2(lim ||||lim 121<=+⋅++=+⋅++=+⋅++∞→∞→++∞→+∞→e nn n n n n n n n n n u u n n n n n n n n n n ,故由比值审敛法知级数|)!1()1(|11∑∞=++-n n n n n 收敛, 从而原级数绝对收敛.6. 求下列级限:(1)∑=∞→+nk k k n k n 12)11(311lim ;解 显然∑=+=nk k k n k s 12)11(31是级数∑∞=+12)11(31n n n n 的前n 项部分和.因为13)11(31lim )11(31lim 2<=+=+∞→∞→e n n n n nn n n , 所以由根值审敛法, 级数∑∞=+12)11(31n n n n 收敛, 从而部分和数列{s n }收敛.因此01lim )11(311lim 12=⋅=+∞→=∞→∑n n nk k k n s n k n .(2)])2( 842[lim 312719131n n ⋅⋅⋅⋅⋅∞→.解n n nn3 27392313127191312)2( 842+⋅⋅⋅+++=⋅⋅⋅⋅⋅.显然n n n s 3 2739231+⋅⋅⋅+++=是级数∑∞=13n n n 的前n 项部分和.设∑∞=-=11)(n n nx x S , 则210)1(1]111[][])([)(x x x dx x S x S n n x-='--='='=∑⎰∞=. 因为43)311(131)31(31)31(3132111=-⋅===∑∑∞=-∞=S n n n n n n , 所以43lim =∞→n n s , 从而4331271913122lim ])2( 842[lim ==⋅⋅⋅⋅⋅∞→∞→n n s n nn .7. 求下列幂级数的收敛域:(1)∑∞=+153n n n n x n ; 解 51)53(5)53(31lim 53153lim ||lim 111=++⋅+=+⋅++=∞→++∞→+∞→n n n n n n n n n n n n n n n a a , 所以收敛半径为51=R . 因为当51=x 时, 幂级数成为]1)53[(11+∑∞=n n n , 是发散的;当51-=x 时, 幂级数成为]1)53[()1(1+-∑∞=n n n n , 是收敛的, 所以幂级数的收敛域为)51 ,51[-. (2)∑∞=+12)11(n n n x n ;解 n n n x n u 2)11(+=, 因为||||)11(lim ||lim x e x nu n n n n n =+=∞→∞→, 由根值审敛法, 当e |x |<1, 即ex e 11<<-时, 幂级数收敛; 当e |x |>1, 时幂级数发散. 当e x 1-=时, 幂级数成为∑∞=+1)1()11(2n n n e n ; 当e x 1=时, 幂级数成为∑∞=+-1)1()11()1(2n n n n e n .因为21)1ln(lim 11)11ln(lim ])11ln([lim 2022-=-+=-+=-++→+∞→+∞→t t t x x x x x x t x x , 所以 0lim )1()11(lim 21)11ln(22≠==+--+∞→∞→e ee n n n n n n n n , 因此级数∑∞=+-1)1()11()1(2n n n n e n 和∑∞=+1)1()11(2n n n e n 均发散, 从而收敛域为)1 ,1(e e -. (3)∑∞=+1)1(n n x n ; 解u n =n (x +1)n . 因为 |1||1|1lim ||lim 1+=++=∞→+∞→x x nn u u n n n n , 根据比值审敛法, 当|x +1|<1, 即-2<x <0时, 幂级数收敛; 当|x +1|>1时, 幂级数发散.又当x =0时, 幂级数成为∑∞=1n n , 是发散的; 当x =-2时, 幂级数成为∑∞=-1)1(n n n , 也是发散的, 所以幂级数的收敛域为(-2, 0). (4)∑∞=122n n n x n .解 n n n x n u 22=. 因为 221121221lim ||lim x x n n u u n n n n n n =⋅⋅+=+∞→+∞→, 根据比值审敛法, 当1212<x , 即22<<-x 时, 幂级数收敛; 当1212>x 时, 幂级数发散. 又当2±=x 时, 幂级数成为∑∞=1n n , 是发散的, 所以收敛域为)2 ,2(-.8. 求下列幂级数的和函数: (1)∑∞=--1)1(2212n n n x n ;解 设幂级数的和函数为S (x ), 则])2(2[]21[])([)(1121120'='='=∑∑⎰∞=-∞=-n n n n xx x x dx x S x S)12( )2(2]2112[22222<-+='-⋅=x x x x x , 即 )22( )2(2)(222<<--+=x x x x S . (2)∑∞=----112112)1(n n n xn ; 解 设幂级数的和函数为S (x ), 则 )1( arctan 11)1()()(20212210<=+=-='=⎰⎰∑⎰∞=--x x dx x xdx x S x S xx n n n x.因为当x =±1时, 幂级数收敛, 所以有 S (x )=arctan x (-1≤x ≤1). (3)∑∞=-1)1(n n x n ; 解 设幂级数的和函数为S (x ), 则 ])1()[1()1()1()1()(1111'--=--=-=∑∑∑∞=∞=-∞=n n n n n nx x x n x x n x S)1|1(| )2(1])1(11)[1(])1()1)[(1(211<---='----='---=∑∞=-x x x x x x x x x n n , 即 )20( )2(1)(2<<--=x x x x S .(4)∑∞=+1)1(n n n n x . 解 易知幂级数的收敛域为[-1, 1].设幂级数的和函数为S (x ), 则当x ≠0时∑∑∞=+∞=+=+=111)1(11)1(1)(n n n n x n n x x n n x Sdx dx x x dx x n x x x n n x n n ][111001101⎰⎰∑⎰∑∞=-∞===dx x x dx dx x x x x x ⎰⎰⎰--=-=000)1ln(1]11[1 )]1ln()1ln([1x x x x x-----= )1ln(11x xx --+=, x ∈[-1, 0)⋃(0, 1], 又显然S (0)=0, 因此⎪⎩⎪⎨⎧=⋃-∈--+=0 0]1 ,0()0 ,1[ )1ln(11)(x x x xx x S .9. 求下列数项级数的和: (1)∑∞=12!n n n ; 解 ∑∑∑∑∞=∞=∞=∞=+-=+-=11112!!)1(!)1(!n n n n n n n n n n n n n n n .因为n n xx n e ∑∞==1!1, 两边求导得11!-∞=∑=n n x x n n e , 再求导得22!)1(-∞=∑-=n n x x n n n e , 因此x x n n n n n n n n n n e e x x n n x n n n x x n n x n n n x n n +=+-=+-=∑∑∑∑∑∞=∞=-∞=∞=∞=221221112!!)1(!!)1(!,从而 e S n n n 2)1(!12==∑∞=. (2)∑∞=++-0)!12(1)1(n n n n . 解 ∑∑∑∞=∞=∞=+-+++-=++-000)!12(1)1(21)!12(12)1(21)!12(1)1(n n n n n nn n n n n 1sin 211cos 21)!12(1)1(21)!2(1)1(2100+=+-+-=∑∑∞=∞=n n n n n n . 提示: ∑∞=++-=012)!12(1)1(sin n n nx n x , ∑∞=++-=02)!12(12)1(cos n n n x n n x .10. 将下列函数展开成x 的幂级数: (1))1ln(2++x x ;解 ⎰⎰+='++=++xxdx x dx x x x x 0202211])1[ln()1ln(, 因为 ∑∞=---+=+=+122122!)!2(!)!12()1(1)1(11n n x n n x x , |x |≤1,故 ∑∞=++--+=++1122)12(!)!2(!)!12()1()1ln(n n n x n n n x x x (-1≤x ≤1).(2)2)2(1x -.解 ∑∞='='-='-=-02])2([21)211(21)21()2(1n n x x x x ∑∑∞=-+∞=+='=111012]21[n n n n n n x n x (-2≤x ≤2). 11. 设f (x )是周期为2π的函数, 它在[-π, π)上的表达式为 ⎩⎨⎧∈-∈=) ,0[ )0 ,[ 0)(ππx e x x f x. 将f (x )展开成傅里叶级数. 解 πππππππ11)(10-===⎰⎰-e dx e dx x f a x ,n n xn a n e nxdx e nxdx x f a 201)1(cos 1cos )(1---===⎰⎰-πππππππ, 即 ππ)1(1)1(2+--=n e a n n (n =1, 2, ⋅ ⋅ ⋅ ), ⎰⎰==-πππππ0sin 1sin )(1nxdx e nxdx x f b x nn x na nxdx e n -=-=⎰ππ0cos 1)((n =1, 2, ⋅ ⋅ ⋅ ).因此 ∑∞=-+--+-=12)sin (cos )1(1)1(21)(n n x n nx n e e x f ππππ (-∞<x <+∞且x ≠n π, n =0, ±1, ±2, ⋅ ⋅ ⋅).12. 将函数 ⎩⎨⎧≤<≤≤=πx h h x x f 00 1)( 分别展开成正弦级数和余弦级数.解 若将函数进行奇延拓, 则傅里叶系数为 a n =0(n =0, 1, 2, ⋅ ⋅ ⋅), ππππn nh nxdx nxdx x f b h n )cos 1(2sin 2sin )(200-===⎰⎰. 因此, 函数展开成正弦级数为∑∞=-=1sin cos 12)(n nx nnh x f π, x ∈(0, h )⋃(h , π),当x =h 时, 21)(=h f . 若将函数进行偶延拓, 则傅里叶系数为ππππh dx dx x f a h 22)(2000===⎰⎰, ππππn nh nxdx nxdx x f a hn sin 2cos 2cos )(200===⎰⎰(n =1, 2, ⋅ ⋅ ⋅), b n =0(n =1, 2, ⋅ ⋅ ⋅),.因此, 函数展开成余弦级数为∑∞=+=1cos sin 2)(n nx nnh h x f ππ, x ∈[0, h )⋃(h , π), 当x =h 时, 21)(=h f .总习题十二1. 填空:(1)xy '''+2x 2y '2+x 3y =x 4+1是______阶微分方程;解 是3阶微分方程.(2)若M (x , y )dx +N (x , y )dy =0是全微分方程, 则函数M 、N 应满足______;解 xN y M ∂∂=∂∂. (3)与积分方程⎰=xx dx y x f y 0),(等价的微分方程初值问题是______; 解 方程两边对x 求导得y '=f (x , y ). 显然当x =x 0时, y =0.因此与积分方程等价的微分方程初值问题是y '=f (x , y ), 0|0==x x y .(4)已知y =1、y =x 、y =x 2是某二阶非齐次线性微分方程的三个解, 则该方程的通解为______.解 容易证明非齐次线性微分方程的任意两个解的差是对应齐次线性微分方程的的解. 因此y 1=x -1和y 2=x 2-1都是对应齐次线性微分方程的的解. 显然y 1与y 2是线性无关. 所以非齐次线性微分方程的通解为y =C 1(x -1)+C 2(x 2-1)+1.2. 求以下列各式所表示的函数为通解的微分方程:(1)(x +C )2+y 2=1(其中C 为任意常数);解 将等式变形21y C x -±=+,两边对x 求导得211yy y -'±=, 从而1-y 2=y 2y '2, 即所求微分方程为y 2(1+y '2)=1.(2)y =C 1e x +C 2e 2x (其中C 1、C 2为任意常数).解 两边对x 求导得y '=C 1e x +2C 2e 2x =y +C 2e 2x ,即 y '=y +C 2e 2x ,⋅ ⋅ ⋅(1)再求导得y ''=y '+2C 2e 2x . ⋅ ⋅ ⋅(2)(2)-(1)⨯2得y ''-2y '=y '-2y ,即所求微分方程为y ''-3y '+2y =0.3. 求下列微分方程的通解:(1)xy y y x 2=+';解 将方程变形为xy x y y 1212=+', 即x y x y 121)(=+'. 其通解为)(1)1(2121C x xC dx e x e y dx x dx x +=+⎰⎰=⎰-, 即原方程的通解为xC x y 2)(+=. (2) xy 'ln x +y =ax (ln x +1);解 将方程变形为)ln 11(ln 1xa y x x y +=+', 其通解为)ln (ln 1])ln 11([ln 1ln 1C x ax x C dx e x a e y dx x x dx x x +=+⎰+⎰=⎰-, 即原方程的通解为xC ax y ln +=. (3))(ln 2x y y dx dy -=; 解 将方程变形为yy x y dy dx ln 22=+, 其通解为)21ln (1)ln 2(22222C y y y y C dy e y y e x dy y dy y +-=+⎰⎰=⎰-, 即原方程的通解为221ln yCy x +-=. (4)033=-+y x xy dxdy ; 解 将方程变形为 3231x xy dxdy y =+-, 即32222)(x xy dx y d -=---, 其通解为)())2([22222322C e e x e C dx e x e y x x x xdx xdx ++=+⎰-⎰=----⎰,即原方程的通解为1222++=-x Ce y x .(5)022=+-++yx xdy ydx ydy xdx ; 解 因为)2(22y x d y d y x d x +=+, 2222)(11y x d y y d x yx y x x d y y d x -⋅+=+- )(a r c t a n )()(112y x d y x d y x =+=,所以原方程可写成0)a r c t a n 22(22=++yx y x d , 从而原方程的通解为C yx y x =++a r c t a n 222.(6) yy ''-y '2-1=0;解 令y '=p , 则dy dp py ='', 原方程化为 012=--p dydp yp , 或 yp y dy p d 22)(22=-, 其通解为1)()2(222222-=+-=+⎰⎰=--⎰Cy C y y C dy e y e p dy y dy y . 于是 12-±='Cy y , 即dx y C dy ±=-1)(21(C =C 12), 积分得 2211)1)(l n (C x y C y C +±=-+, 化简得原方程的通解)(ch 121C x C y +±=. (7) y ''+2y '+5y =sin2x ;解 齐次方程y ''+2y '+5y =0的特征方程为r 2+2r +5=0,其根为r 1, 2=-1±2i .因为f (x )=sin2x , λ+ωi =2i 不是特征方程的根,所以非齐次方程的特解应设为y *=A cos2x +B sin2x ,代入原方程得(A +2B )cos2x +(B -4A )sin2x =sin2x , 比较系数得174-=A , 171=B , x x y 2sin 1712cos 174*+-=. 因此原方程的通解为x x x C x C e y x 2s i n 1712cos 174)2sin 2cos (21+-+=-. (8) y '''+y ''-2y '=x (e x +4);解 齐次方程y '''+y ''-2y '=0的特征方程为r 3+r 2-2r =0,其根为r 1=0, r 2=1, r 3=2.齐次方程y '''+y ''-2y '=0的通解为y =C 1+C 2e x +C 3e -2x .原方程中f (x )=f 1(x )+f 2(x ), 其中f 1(x )=xe x , f 2(x )=4x .对于方程y '''+y ''-2y '=xe x , 因为λ=1是特征方程的根, 故其特解可设为 y 1*=x (Ax +B )e x ,代入y '''+y ''-2y '=xe x 得(6Ax +8A +3b )e x =xe x , 比较系数得61=A , 94-=B , 故x e x x y )9461(*1-=. 对于方程y '''+y ''-2y '=4x , 因为λ=0是特征方程的根, 故其特解可设为 y 2*=x (Cx +D ),代入y '''+y ''-2y '=4x 得-4Cx +2C -2D =4x ,比较系数得C =-1, D =-1, 故y 2*=x (-x -1).因此原方程的通解为x x e x x e C e C C y x x x ---+++=-222321)9461(.(9) (y 4-3x 2)dy +xydx =0;解 将原方程变形为323y x y dy dx x -=-, 或32226)(y x ydy x d -=-, 其通解为)(])2([266362C y y C dy e y e x dy y dy y +=+⎰-⎰=--⎰, 即原方程的通解为x 2=y 4+Cy 6.(10)y x x y +=+'2.解 令y x u +=2, 则y =u 2-x 2, x dxdu u dx dy 22-=, 故原方程化为u x dx du u =-2, 即21)(21+=u x dx du . 这是齐次方程, 因此令z xu =, 则u =xz , dx dz x z dx du +=, 则上述齐次方程化为 2121+=+z dx dz x z , 即)112(21---=zz dx dz x , 分离变量得x dx z z zdz 21122-=--, 积分得 123ln 21)132ln(61C x z z +-=+-, 即 2z 3-3z 2+1=Cx -3)(16C e C =. 将xu z =代入上式得 2u 3-3xu 2+x 3=C , 再代入y x u +=2, 得原方程的通解C xy x y x =--+32)(2332.4. 求下列微分方程满足所给初始条件的特解:(1) y 3dx +2(x 2-xy 2)dy =0, x =1时y =1;解 原方程变形为2322x yx y dy dx -=-, 即 31222yx y dy dx x -=---, 或 31122)(yx y dy x d =+--, 其通解为)ln 2(1)2(22321C y y C dy e y e x dy +=+⎰⎰=⎰--, 即原方程的通解为y 2=x (2ln y +C ).由y |x =1=1, 得C =1. 故满足所给初始条件的特解为y 2=x (2ln y +1).(2) y ''-ay '2=0, x =0时y =0, y '=-1;解 令y '=p , 则原方程化为02=-ap dxdp .分离变量得a d x p dp =2, 两边积分得11C ax p +=-, 即11C ax y +-='. 代入初始条件y '(0)=-1得C 1=1,故 11+-='ax y . 方程两边积分得2)1l n (1C ax ay ++-=. 代入初始条件y (0)=0得C 2=0.因此满足所给初始条件的特解为)1ln(1+-=ax ay .(3) 2y ''-sin2y =0, x =0时2π=y , y '=1; 解 令y '=p , 则原方程化为02s i n 2=-y dydp p . 分离变量得2pdp =sin2ydy ,两边积分得122c o s 21C y p +-=. 代入初始条件y '(0)=1得211=C , 因而 y y y 22s i n 212c o s 21=+-=', 即 y '=sin y .分离变量得dx ydy =sin , 两边积分得2c o s 1c o s 1ln 21C x yy +=+-.代入初始条件2)0(π=y 得C 2=0. 因此满足所给初始条件的特解为yy x cos 1cos 1ln 21+-=. (4) y ''+2y '+y =cos x , x =0时y =0, 23='y . 解 齐次方程y ''+2y '+y =0的特征方程为r 2+2r +1=0,其根为r 1, 2=-1.齐次方程y ''+2y '+y =0的通解为y =(C 1+C 2x )e -x .因为f (x )=cos x , λ+ωi =i 不是特征方程的根, 所以非齐次方程的特解应设为 y *=A cos x +B sin x ,代入原方程得-2A sin x +2B cos x =cos x ,比较系数得A =0, 21=B . 故x y sin 21*=. 从而原方程的通解为 x e x C C y x s i n 21)(21++=- . 将初始条件代入通解得⎪⎩⎪⎨⎧=++-=23210211C C C , 解之得C 1=0, C 2=1.因此满足所给初始条件的特解为x xe y x sin 21+=-. 5. 已知某曲线经过点(1, 1), 它的切线在纵轴上的截距等于切点的横坐标, 求它的方程.解 设点(x , y )为曲线上任一点, 则曲线在该点的切线方程为Y -y =y '(X -x ),其在纵轴上的截距为y -xy ', 因此由已知有y -xy '=x , 即11-=-'y xy . 这是一个一阶线性方程, 其通解为)ln (])1([11C x x C dx e e y dx x dx x +-=+⎰-⎰=⎰-, 即方程的通解为y =x (C -ln x ).由于曲线过点(1, 1), 所以C =1.因此所求曲线的方程为y =x (1-ln x ).6. 已知某车间的容积为30⨯30⨯6m 3, 其中的空气含0.12%的CO 2(以容积计算). 现以含CO 20.04%的新鲜空气输入, 问每分钟应输入多少, 才能在30min 后使车间空气中CO 2的含量不超过0.06%?(假定输入的新鲜空气与原有空气很快混合均匀后, 以相同的流量排出).解 设每分钟应输入的空气为a m 3, t 时刻车间中CO 2的浓度为x (t ), 则车间中CO 2的含量(以体积计算)在t 时刻经过dt min 的改变量为30⨯30⨯6 dx =0.0004adt -axdt ,分离变量得dt a dx x 54000004.01-=-, 由于x >0.0004, 故两边积分得C t a x ln 5400)0004.0ln(+-=-, 即 t a Ce x 54000004.0-+=.由于开始时车间中的空气含0.12%的CO 2, 即当t =0时, x =0.0012, 代入上式得C =0. 0008. 因此t a e x 54000008.00004.0-+=.由上式得0008.0004.0ln 5400--=x t a . 由于要求30min 后车间中CO 2的含量不超过0.06%, 即当t =30时, x ≤0.0006, 将t =30, x =0. 0006代入上式得a =180ln 4≈250.因为054000008.05400<-='-t ae x , 所以x 是a 的减函数, 考试当a ≥250时可保证x ≤0.0006.因此每分钟输入新鲜空气的量不得小于250m 3.7. 设可导函数ϕ(x )满足1s i n )(2c o s )(0+=+⎰x t d t t x x xϕϕ, 求ϕ(x ).解 在等式两边对x 求导得ϕ'(x )cos x -ϕ(x )sin x +2ϕ(x )sin x =1,即 ϕ'(x )+tan x ϕ(x )=sec x .这是一个一阶线性方程, 其通解为)s e c ()(t a n t a n C dx xe e x xdx xdx +⎰⎰=⎰-ϕ=cos x (tan x +C )=sin x +C cos x .在已知等式中, 令x =0得ϕ(0)=1, 代入通解得C =1. 故ϕ(x )=sin x +cos x . 8. 设函数u =f (r ), 222z y x r ++=在r >0内满足拉普拉斯(Laplace)方程0222222=∂∂+∂∂+∂∂z u y u x u , 其中f (r )二阶可导, 且f (1)=f '(1)=1. 试将拉普拉斯方程化为以r 为自变量的常微分方程, 并求f (r ).解 因为rx z y x x x r =++=∂∂22222, 所以 )()(r f rx x r r f x u '=∂∂'=∂∂, )()()()(22322222r f r x r f r x r x r r f r x r f r x r x r x u '+'-=∂∂'+'∂∂-=∂∂. 同理可得)()(2232222r f ry r f r y r y u '+'-=∂∂, )()(2232222r f r z r f r z r z u '+'-=∂∂. 于是 )()(3222232222222222r f rz y x r f r z y x r z u y u x u '+++'---=∂∂+∂∂+∂∂ 22322)()(2dr u d dr du r r f r f rr+='+'=. 因此拉普拉斯方程化为0222=+dr u d dr du r , 即0222=+drdu r dr u d . 令)(r p drdu =, 则以上方程进一步变成 02=+dr dp p r , 即02=+p rdr dp , 其通解为2121rC e C p dr r =⎰=-, 即21r C dr du =. 由于f '(1)=1, 即r =1时1=drdu , 所以C 1=1, 21r dr du =. 在方程21r dr du =的两边积分得21C ru +-=. 又由于f (1)=1, 即r =1时u =1, 所以C 2=2, 从而21+-=r u , 即21)(+-=rr f .9. 设y 1(x )、y 2(x )是二阶齐次线性方程y ''+p (x )y '+q (x )y =0的两个解, 令)()()()()()()()()(21212121x y x y x y x y x y x y x y x y x W '-'=''=, 证明:(1)W (x )满足方程W '+p (x )W =0; 证明 因为y 1(x )、y 2(x )都是方程y ''+p (x )y '+q (x )y =0的解, 所以 y 1''+p (x )y 1'+q (x )y 1=0, y 2''+p (x )y 2'+q (x )y 2=0, 从而 W '+p (x )W =(y 1'y 2'+ y 1y 2''- y 1''y 2- y 1'y 2')+p (x )( y 1y 2'- y 1'y 2) =y 1[y 2''+p (x )y 2']- y 2[y 1''+p (x )y 1'] =y 1[-q (x )y 2]- y 2[-q (x )y 1] =0,即W (x )满足方程W '+p (x )W =0.(2)⎰=-x x dt t p e x W x W 0)(0)()(. 证明 已知W (x )满足方程 W '+p (x )W =0,分离变量得dx x p WdW )(-=. 将上式两边在[x 0, x ]上积分, 得 ⎰-=-x x dt t p x W x W 0)()(ln )(ln 0, 即 ⎰=-x x dt t p ex W x W 0)(0)()(.。
高等数学习题解答第一章(7-11) 第六节 极限存在准则 两个重要极限1.0;1;1;0;2;2/32. 1-e ;1432;0;;;--e e e e3. 证明:{n x }显然单调递增,1x 3≤,若31≤-n x ,则n x ≤33+≤3∴ {n x }单调有界,∴{n x }收敛,不妨设∞→n lim n x =a , 则有 a =3+a ,解得,a =(1+13)/2,2)131(-=a∴2)131(lim +=∞→n n x4. 解:1)12111(22222+≤++++++≤+n n nn n n n n n11limlim22=+=+∞→∞→n nn n n n n∴1)12111(lim 222=++++++∞→nn n n n第七节 无穷小的比较1.(B )2. (A )3. 证明: 令t x sin = , 1sin lim arcsin lim00==→→ttx x t x∴当0→x 时,x x ~arcsin 。
4. 解:(1)0lim →x x x 25tan =0lim →x x x 25=25(2)0lim →x ())cos 1(arcsin 2x x x -=0lim →x 222x x x =∞(3)0lim →x x x )sin 21ln(-=0lim→x 2sin 2-=-xx(4)0lim →x =-+1)21ln(3x e x 3232lim 0=→x x x(5)0lim→x x x x 3sin sin tan -=0lim →x =-xx x x cos )cos 1(sin 30lim →x 322xx x=1/2(6)0lim →x ⎪⎭⎫ ⎝⎛-x x tan 1sin 1=0lim →x x x sin cos 1-=0lim →x 022=x x (7)431)3tan arctan (lim 220=+=+++→nn n n n a n n第八节 函数的连续性与间断点1. 0 ;2. 充要;3. 2;4. D5. B6. C7. 解:12121lim 1212lim )(lim0=+-=+-=--+∞→+∞→→+t tt t t t x x f1)(lim 0-=-→x f x ∴ )(x f 在x=0 不连续,且x=0 为函数)(x f 的第一类间断点。
同济六版高等数学课后答案全集第一章习题1,11, 设A,(,,~ ,5),(5~,,)~ B,[,10~ 3)~写出A,B~ A,B~ A\B及A\(A\B)的表达式,2, 设A、B是任意两个集合~证明对偶律: (A,B)C,AC ,BC , ,3, 设映射f : X ,Y~ A,X~ B,X , 证明(1)f(A,B),f(A),f(B),(2)f(A,B),f(A),f(B),g,f,If,g,IXY 4, 设映射f : X,Y~若存在一个映射g: Y,X~使~~其中IX、IY分别是X、Y上的恒等映射~即对于每一个x,X~有IX x,x, 对于每一个y,Y~有IY y,y, 证明: f是双射~且g是f的逆映射: g,f ,1, 5, 设映射f : X,Y~ A,X , 证明:(1)f ,1(f(A)),A,(2)当f是单射时~有f ,1(f(A)),A ,6, 求下列函数的自然定义域:111y,2y,y,,1,x22y,3x,2y,sinx4,xx1,x (1),, (2), (3),(4),(5),1y,3,x,arctanx (6) y,tan(x,1),(7) y,arcsin(x,3), (8),, (9)y,ln(x,1),1xy,e (10),7, 下列各题中~函数f(x)和g(x)是否相同,为什么,(1)f(x),lg x2~ g(x),2lg x,2x (2) f(x),x~ g(x),,3343f(x),x,xg(x),xx,1 (3)~,(4)f(x),1~ g(x),sec2x,tan2x ,,,|sinx| |x|,,3,(x),,,,,,x0 ||,,()()(,),,,3,644 8, 设~求~~~ ,(,2)~并作出函数y,,(x)的图形,, 9, 试证下列函数在指定区间内的单调性:xy,1,x (1)~ (,,~ 1),(2)y,x,ln x~ (0~,,),10, 设 f(x)为定义在(,l~ l)内的奇函数~若f(x)在(0~ l)内单调增加~证明f(x)在(,l~ 0)内也单调增加,11, 设下面所考虑的函数都是定义在对称区间(,l~ l)上的~证明:(1)两个偶函数的和是偶函数~两个奇函数的和是奇函数,(2)两个偶函数的乘积是偶函数~两个奇函数的乘积是偶函数~偶函数与奇函数的乘积是奇函数,12, 下列函数中哪些是偶函数~哪些是奇函数~哪些既非奇函数又非偶函数,(1)y,x2(1,x2),(2)y,3x2,x3,21,xy,21,x (3),(4)y,x(x,1)(x,1),(5)y,sin x,cos x,1,x,xa,ay,2 (6)13, 下列各函数中哪些是周期函数,对于周期函数~指出其周期:(1)y,cos(x,2),,(2)y,cos 4x,(3)y,1,sin ,x,(4)y,xcos x,(5)y,sin2x,14, 求下列函数的反函数:3y,x,1 (1)错误~未指定书签。
同济六版高等数学课后答案全集第一章习题1-11. 设A =(-∞, -5)⋃(5, +∞), B =[-10, 3), 写出A ⋃B , A ⋂B , A \B 及A \(A \B )的表达式.解 A ⋃B =(-∞, 3)⋃(5, +∞),A ⋂B =[-10, -5),A \B =(-∞, -10)⋃(5, +∞),A \(A \B )=[-10, -5).2. 设A 、B 是任意两个集合, 证明对偶律: (A ⋂B )C =A C ⋃B C .证明 因为x ∈(A ⋂B )C ⇔x ∉A ⋂B ⇔ x ∉A 或x ∉B ⇔ x ∈A C 或x ∈B C ⇔ x ∈A C ⋃B C , 所以 (A ⋂B )C =A C ⋃B C .3. 设映射f : X →Y , A ⊂X , B ⊂X . 证明(1)f (A ⋃B )=f (A )⋃f (B );(2)f (A ⋂B )⊂f (A )⋂f (B ).证明 因为y ∈f (A ⋃B )⇔∃x ∈A ⋃B , 使f (x )=y⇔(因为x ∈A 或x ∈B ) y ∈f (A )或y ∈f (B )⇔ y ∈f (A )⋃f (B ),所以 f (A ⋃B )=f (A )⋃f (B ).(2)因为y ∈f (A ⋂B )⇒∃x ∈A ⋂B , 使f (x )=y ⇔(因为x ∈A 且x ∈B ) y ∈f (A )且y ∈f (B )⇒ y ∈ f (A )⋂f (B ),所以 f (A ⋂B )⊂f (A )⋂f (B ).4. 设映射f : X →Y , 若存在一个映射g : Y →X , 使X I f g = , Y I g f = , 其中I X 、I Y 分别是X 、Y 上的恒等映射, 即对于每一个x ∈X , 有I X x =x ; 对于每一个y ∈Y , 有I Y y =y . 证明: f 是双射, 且g 是f 的逆映射: g =f -1.证明 因为对于任意的y ∈Y , 有x =g (y )∈X , 且f (x )=f [g (y )]=I y y =y , 即Y 中任意元素都是X 中某元素的像, 所以f 为X 到Y 的满射.又因为对于任意的x 1≠x 2, 必有f (x 1)≠f (x 2), 否则若f (x 1)=f (x 2)⇒g [ f (x 1)]=g [f (x 2)] ⇒ x 1=x 2.因此f 既是单射, 又是满射, 即f 是双射.对于映射g : Y →X , 因为对每个y ∈Y , 有g (y )=x ∈X , 且满足f (x )=f [g (y )]=I y y =y , 按逆映射的定义, g 是f 的逆映射.5. 设映射f : X →Y , A ⊂X . 证明:(1)f -1(f (A ))⊃A ;(2)当f 是单射时, 有f -1(f (A ))=A .证明 (1)因为x ∈A ⇒ f (x )=y ∈f (A ) ⇒ f -1(y )=x ∈f -1(f (A )),所以 f -1(f (A ))⊃A .(2)由(1)知f -1(f (A ))⊃A .另一方面, 对于任意的x ∈f -1(f (A ))⇒存在y ∈f (A ), 使f -1(y )=x ⇒f (x )=y . 因为y ∈f (A )且f 是单射, 所以x ∈A . 这就证明了f -1(f (A ))⊂A . 因此f -1(f (A ))=A . 6. 求下列函数的自然定义域:(1)23+=x y ;解 由3x +2≥0得32->x . 函数的定义域为) ,32[∞+-. (2)211xy -=; 解 由1-x 2≠0得x ≠±1. 函数的定义域为(-∞, -1)⋃(-1, 1)⋃(1, +∞).(3)211x xy --=; 解 由x ≠0且1-x 2≥0得函数的定义域D =[-1, 0)⋃(0, 1].(4)241x y -=; 解 由4-x 2>0得 |x |<2. 函数的定义域为(-2, 2).(5)x y sin =;解 由x ≥0得函数的定义D =[0, +∞).(6) y =tan(x +1);解 由21π≠+x (k =0, ±1, ±2, ⋅ ⋅ ⋅)得函数的定义域为 12-+≠ππk x (k =0, ±1, ±2, ⋅ ⋅ ⋅).(7) y =arcsin(x -3);解 由|x -3|≤1得函数的定义域D =[2, 4].(8)xx y 1arctan 3+-=;解 由3-x ≥0且x ≠0得函数的定义域D =(-∞, 0)⋃(0, 3).(9) y =ln(x +1);解 由x +1>0得函数的定义域D =(-1, +∞).(10)x e y 1=.解 由x ≠0得函数的定义域D =(-∞, 0)⋃(0, +∞).7. 下列各题中, 函数f (x )和g (x )是否相同?为什么?(1)f (x )=lg x 2, g (x )=2lg x ;(2) f (x )=x , g (x )=2x ;(3)334)(x x x f -=,31)(-=x x x g .(4)f (x )=1, g (x )=sec 2x -tan 2x .解 (1)不同. 因为定义域不同.(2)不同. 因为对应法则不同, x <0时, g (x )=-x .(3)相同. 因为定义域、对应法则均相相同.(4)不同. 因为定义域不同.8. 设⎪⎩⎪⎨⎧≥<=3|| 03|| |sin |)(ππϕx x x x , 求)6(πϕ, )4(πϕ, )4(πϕ-, ϕ(-2), 并作出函数y =ϕ(x )的图形.解 21|6sin |)6(==ππϕ, 22|4sin |)4(==ππϕ, 22|)4sin(|)4(=-=-ππϕ, 0)2(=-ϕ. 9. 试证下列函数在指定区间内的单调性:(1)xx y -=1, (-∞, 1); (2)y =x +ln x , (0, +∞).证明 (1)对于任意的x 1, x 2∈(-∞, 1), 有1-x 1>0, 1-x 2>0. 因为当x 1<x 2时, 0)1)(1(112121221121<---=---=-x x x x x x x x y y , 所以函数xx y -=1在区间(-∞, 1)内是单调增加的. (2)对于任意的x 1, x 2∈(0, +∞), 当x 1<x 2时, 有0l n )()l n ()l n (2121221121<+-=+-+=-x x x x x x x x y y , 所以函数y =x +ln x 在区间(0, +∞)内是单调增加的.10. 设 f (x )为定义在(-l , l )内的奇函数, 若f (x )在(0, l )内单调增加, 证明f (x )在(-l , 0)内也单调增加.证明 对于∀x 1, x 2∈(-l , 0)且x 1<x 2, 有-x 1, -x 2∈(0, l )且-x 1>-x 2.因为f (x )在(0, l )内单调增加且为奇函数, 所以f (-x 2)<f (-x 1), -f (x 2)<-f (x 1), f (x 2)>f (x 1),这就证明了对于∀x 1, x 2∈(-l , 0), 有f (x 1)< f (x 2), 所以f (x )在(-l , 0)内也单调增加. 11. 设下面所考虑的函数都是定义在对称区间(-l , l )上的, 证明:(1)两个偶函数的和是偶函数, 两个奇函数的和是奇函数;(2)两个偶函数的乘积是偶函数, 两个奇函数的乘积是偶函数, 偶函数与奇函数的乘积是奇函数.证明 (1)设F (x )=f (x )+g (x ). 如果f (x )和g (x )都是偶函数, 则F (-x )=f (-x )+g (-x )=f (x )+g (x )=F (x ),所以F (x )为偶函数, 即两个偶函数的和是偶函数.如果f (x )和g (x )都是奇函数, 则F (-x )=f (-x )+g (-x )=-f (x )-g (x )=-F (x ),所以F (x )为奇函数, 即两个奇函数的和是奇函数.(2)设F (x )=f (x )⋅g (x ). 如果f (x )和g (x )都是偶函数, 则F (-x )=f (-x )⋅g (-x )=f (x )⋅g (x )=F (x ),所以F (x )为偶函数, 即两个偶函数的积是偶函数.如果f (x )和g (x )都是奇函数, 则F (-x )=f (-x )⋅g (-x )=[-f (x )][-g (x )]=f (x )⋅g (x )=F (x ),所以F (x )为偶函数, 即两个奇函数的积是偶函数.如果f (x )是偶函数, 而g (x )是奇函数, 则F (-x )=f (-x )⋅g (-x )=f (x )[-g (x )]=-f (x )⋅g (x )=-F (x ),所以F (x )为奇函数, 即偶函数与奇函数的积是奇函数.12. 下列函数中哪些是偶函数, 哪些是奇函数, 哪些既非奇函数又非偶函数?(1)y =x 2(1-x 2);(2)y =3x 2-x 3;(3)2211xxy +-=; (4)y =x (x -1)(x +1);(5)y =sin x -cos x +1;(6)2x x a a y -+=. 解 (1)因为f (-x )=(-x )2[1-(-x )2]=x 2(1-x 2)=f (x ), 所以f (x )是偶函数.(2)由f (-x )=3(-x )2-(-x )3=3x 2+x 3可见f (x )既非奇函数又非偶函数. (3)因为())(111)(1)(2222x f x x x x x f =+-=-+--=-, 所以f (x )是偶函数. (4)因为f (-x )=(-x )(-x -1)(-x +1)=-x (x +1)(x -1)=-f (x ), 所以f (x )是奇函数.(5)由f (-x )=sin(-x )-cos(-x )+1=-sin x -cos x +1可见f (x )既非奇函数又非偶函数.(6)因为)(22)()()(x f a a a a x f x x x x =+=+=-----, 所以f (x )是偶函数. 13. 下列各函数中哪些是周期函数?对于周期函数, 指出其周期:(1)y =cos(x -2);解 是周期函数, 周期为l =2π.(2)y =cos 4x ;解 是周期函数, 周期为2π=l . (3)y =1+sin πx ;解 是周期函数, 周期为l =2.(4)y =x cos x ;解 不是周期函数.(5)y =sin 2x .解 是周期函数, 周期为l =π.14. 求下列函数的反函数:(1)31+=x y 错误!未指定书签。
习题8-31. 求下列函数的全微分: (1)yx xy z +=;解 dy y z dx x z dz ∂∂+∂∂=dy y x x dx y y )()1(2-++=.(2)xy e z =;解 xdy e x dx e x y dy y z dx x z dz y x y 12+-=∂∂+∂∂=.(3) 22y x yz +=;解 因为2/3222322)()(21y x xy y x y x z +-=+-=∂∂-, 2/3222222222)(y x x y x y x yy y x y z +=++⋅-+=∂∂, 所以 dy y x x dx y x xy dz 2/32222/322)()(+++-=)()(2/322xdy ydx y x x -+-=.(4)u =x yz . 解 因为1-⋅=∂∂yz x yz x u , x zx yu yz ln =∂∂, x yx z u yz ln =∂∂,所以 xdz yx xdy zx dx yzx du yz yz yz ln ln 1++=-.2. 求函数z =ln(1+x 2+y 2)当x =1, y =2时的全微分. 解 因为2212y x x x z ++=∂∂, 2212y x y y z ++=∂∂, 3121=∂∂==y x xz, 3221=∂∂==y x y z , 所以 dy dx dz y x 323121⋅+===.3. 求函数xyz =当x =2, y =1, ∆x =0.1, ∆y =-0.2时的全增量和全微分.解 因为xy x x y y z -∆+∆+=∆, y x x x ydz ∆+∆-=12, 所以, 当x =2, y =1, ∆x =0.1, ∆y =-0.2时,119.0211.02)2.0(1-=-+-+=∆z , 125.0)2.0(211.041-=-⨯+⨯-=dz .4. 求函数z =e xy 当x =1, y =1, ∆x =0.15, ∆y =0.1时的全微分. 解 因为y xe x ye y yz x x z dz xy xy ∆+∆=∆∂∂+∆∂∂=所以, 当x =1, y =1, ∆x =0.15, ∆y =0.1时, e e e dz 25.01.015.0=⋅+⋅=.*5. 计算33)97.1()102(+的近似值. 解 设33y x z +=, 由于y yz x x z y x y y x x ∆∂∂+∆∂∂++≈∆++∆+3333)()(332233233yx y y x x y x +∆+∆++=,所以取x =1, y =2, ∆x =0.02, ∆y =-0.03可得95.2212)03.0(2302.0321)97.1()02.1(32333=+-⋅⋅+⋅++≈+. *6. 计算(1.97)1.05的近似值(ln2=0.693). 解 设z =x y , 由于y yz x x z x x x y y y ∆∂∂+∆∂∂+≈∆+∆+)(y x x x yx x y y y ∆+∆+=-ln 1,所以取x =2, y =1, ∆x =-0.03, ∆y =0.05可得(1.97)1.05≈2-0.03+2ln2⋅0.05+1.97+0.0693 ≈2.093.*7( 已知边长为x(6m 与y(8m 的矩形( 如果x 边增加5cm 而y 边减少10cm(问这个矩形的对角线的近似变化怎样? 解 矩形的对角线为22y x z +=,)(122y y x x yx y dy dz x dx dz dz z ∆+∆+=∆+∆=≈∆,当x =6, y =8, ∆x =0.05, ∆y =-0.1时,05.0)1.0805.06(86122-=⋅-⋅+≈∆z .这个矩形的对角线大约减少5cm .*8. 设有一无盖圆柱形容器, 容器的壁与底的厚度均为0.1cm , 内高为20cm ,内半径为4厘米, 求容器外壳体积的近似值. 解 圆柱体的体积公式为V =πR 2h , ∆V ≈dV =2πRh ∆R +πR 2∆h , 当R =4, h =20, ∆R =∆h =0.1时,∆V ≈2⨯3.14⨯4⨯20⨯0.1+3.14⨯42⨯0.1≈55.3(cm 3), 这个容器外壳的体积大约是55.3cm 3.*9. 设有直角三角形, 测得其两腰的长分别为7±0.1cm 和24±0.1cm , 试求利用上述二值来计算斜边长度时的绝对误差. 解 设两直角边的长度分别为x 和y , 则斜边的长度为22y x z +=.||||||||||||y y z x x z dz z ∆⋅∂∂+∆⋅∂∂≤≈∆|)|||(122y y x x yx ∆+∆+=.令x =7, y =24, |∆x |≤0.1, |∆y |≤0.1, 则得斜边长度z 的绝对误差约为124.0)1.0241.07(247122=⋅+⋅+=z δcm .*10. 测得一块三角形土地的两边长分别为63±0.1m 和78±0.1m ,这两边的夹角为60︒±1︒, 试求三角形面积的近似值, 并求其绝对误差和相对误差.解 设三角形的两边长为x 和y , 它们的夹角z , 为则三角形面积为z xy s sin 21=.zdz xy zdy x zdx y dS cos 21sin 21sin 21++=||cos 21||sin 21||sin 21||||dz z xy dy z x dx z y dS S ++≤≈∆.令x =63, y =78, 3π=z , |dx |=0.1, |dy |=0.1, 180π=dz , 则55.2718021278631.0232631.023278=⨯⨯⨯+⨯⨯+⨯⨯≈πδs ,82.21273sin 786321=⋅⋅⋅=πS ,%29.182.212755.27==S s δ,所以三角形面积的近似值为2127.82m 2, 绝对误差为27.55m 2, 相对误差为1.29%.*11. 利用全微分证明: 两数之和的绝对误差等于它们各自的绝对误差之和.证明 设u =x +y , 则||||||||||||y x y x y yu x x u du u ∆+∆≤∆+∆=∆∂∂+∆∂∂=≈∆.所以两数之和的绝对误差|∆u |等于它们各自的绝对误差|∆x |与|∆y |的和.*12. 利用全微分证明: 乘积的相对误差等于各因子的相对误差之和; 商的相对误差等于被除数及除数的相对误差之和. 证明 设u =xy , y x v =, 则∆u ≈du =ydx +xdy ,2yxdyydx dv v -=≈∆, 由此可得相对误差;||||||||y dy x dx xy xdy ydx u du u u +=+=≈∆||||||||yyx x y dy x dx ∆+∆=+≤;||||||||2y dy x dx yx y xdy ydx v dv v v -=⋅-==∆||||||||y yx x y dy x dx ∆+∆=+≤.习题8-41. 设z =u 2-v 2, 而u =x +y , v =x -y , 求x z ∂∂, y z ∂∂.解 xv v z x u u z x z ∂∂⋅∂∂+∂∂⋅∂∂=∂∂=2u ⋅1+2v ⋅1=2(u +v )=4x ,y v v z y u u z y z ∂∂⋅∂∂+∂∂⋅∂∂=∂∂=2u ⋅1+2v ⋅(-1)=2(u -v )=4y .2. 设z =u 2ln v , 而y x u =, v =3x -2y , 求x z ∂∂, y z ∂∂.解 xv v z x u u z x z ∂∂⋅∂∂+∂∂⋅∂∂=∂∂31ln 22⋅+⋅=v u y v u 222)23(3)23ln(2y y x x y x y x -+-=, yv v z y u u z y z ∂∂⋅∂∂+∂∂⋅∂∂=∂∂)2()(ln 222-+-⋅=v u y x v u 2232)23(2)23ln(2yy x x y x y x ----=. 3. 设z =e x -2y , 而x =sin t , y =t 3, 求dtdz .解 dtdyy z dt dx x z dt dz ⋅∂∂+⋅∂∂=2223)2(cos t e t e y x y x ⋅-⋅+=--)6(cos )6(cos 22sin 223t t e t t e t t y x -=-=--.4. 设z =arcsin(x - y ), 而x +3t , y =4t 3, 求dtdz .解 dt dy y z dt dx x z dt dz ⋅∂∂+⋅∂∂=22212)(113)(11t y x y x ⋅---+⋅--= 232)43(1)41(3t t t ---=. 5. 设z =arctan(xy ), 而y =e x , 求dxdz .解 dx dy y z x z dx dz ⋅∂∂+∂∂=xxxe x x e e y x x y x y 2222221)1(11++=⋅+++=.6. 设1)(2+-=a z y e u ax , 而y =a sin x , z =cos x , 求dxdu .解 dxdz dz u dx dyy u x u dx du ⋅∂+⋅∂∂+∂∂=)sin (1cos 11)(222x a e x a a e a z y ae ax ax ax -⋅+-⋅+++-= )sin cos cos sin (122x x a x a x a a e ax ++-+=x e ax sin =. 7. 设yx z arctan =, 而x =u +v , y =u -v , 验证22v u v uv z u z +-=∂∂+∂∂. 证明 )()(v yy z v x x z u y y z u x x z v z u z ∂∂⋅∂∂+∂∂⋅∂∂+∂∂⋅∂∂+∂∂⋅∂∂=∂∂+∂∂)()(111)(11222y x yx y y x -⋅++⋅+=)1()()(111)(11222-⋅-⋅++⋅++y x yx y y x22222v u v u y x y +-=+=. 8. 求下列函数的一阶偏导数(其中f 具有一阶连续偏导数): (1) u =f (x 2-y 2, e xy );解 将两个中间变量按顺序编为1, 2号, 2122212)()(f ye f x xe f x y x f x u xy xy '+'=∂∂⋅'+∂-∂⋅'=∂∂, 212)2212)((f xe f y ye f y y x f y u xy xy '+'-=∂∂⋅'+∂-∂⋅'=∂∂. (2)) ,(zyy x f u =;解 1211)()(f y z yx f y x x f x u '=∂∂⋅'+∂∂⋅'=∂∂,)()(21z yy f y x y f y u ∂∂⋅'+∂∂'=∂∂2121f z f y x '+'-=,)()(21z y z f z x z f z u ∂∂⋅'+∂∂'=∂∂22f z y '⋅-=. (3) u =f (x , xy , xyz ).解 yz f y f f xu ⋅'+⋅'+⋅'=∂∂3211321f yz f y f '+'+'=,3232f xz f x xz f x f y u '+'=⋅'+⋅'=∂∂,33f xy xy f zu '=⋅'=∂∂.9. 设z =xy +xF (u ), 而xyu =, F (u )为可导函数, 证明xy z yz y x z x +=∂∂+∂∂⋅. 证明 y z y x z x ∂∂⋅+∂∂⋅])([])()([y u u F x x y x u u F x u F y x ∂∂'+⋅+∂∂'++=)]([)]()([u F x y u F xyu F y x '+⋅+'-+==xy +xF (u )+xy =z +xy .10. 设)(22y x f yz -=, 其中f (u )为可导函数, 验证 211y z y z y x z x =∂∂+∂∂.证明 ()()u f f xy u f x f y x z 2222'-=⋅'⋅-=∂∂, ()()u f f y u f u f y f y u f y z 2222)(1)2()('-+=-⋅'⋅-=∂∂, 所以 )(11221122u f y u f f y u f f y y z y x z x ⋅+'+'-=∂∂⋅+∂∂⋅211yz zy y =⋅.11. 设z =f (x 2+y 2), 其中f 具有二阶导数, 求22x z ∂∂, y x z ∂∂∂2, 22y z ∂∂.解 令u =x 2+y 2, 则z =f (u ), f x xu u f x z '=∂∂'=∂∂2)(,f y yu u f y z '=∂∂'=∂∂2)(,f x f x u f x f x z ''+'=∂∂⋅''+'=∂∂2224222,f xy yu f x y x z ''=∂∂⋅''=∂∂∂422,f y f yu f y f y z ''+'=∂∂⋅''+'=∂∂422222. 12. 求下列函数的22x z ∂∂,y x z ∂∂∂2,22yz ∂∂(其中f 具有二阶连续偏导数): (1) z =f (xy , y );解 令u =xy , v =y , 则z =f (u , v ).ufy v f y u f x v v f x u u f x z ∂∂=⋅∂∂+⋅∂∂=∂∂⋅∂∂+∂∂⋅∂∂=∂∂0,vfu f x v f x u f y v v f y u u f y z ∂∂+∂∂=⋅∂∂+⋅∂∂=∂∂⋅∂∂+∂∂⋅∂∂=∂∂1.因为f (u , v )是u 和v 的函数, 所以u f∂∂和vf ∂∂也是u 和v 的函数, 从而u f∂∂和vf ∂∂是以u 和v 为中间变量的x 和y 的函数. )()()(22uf x y u f y x x z x x z ∂∂∂∂=∂∂∂∂=∂∂∂∂=∂∂222222222)0()(u f y v u f y u f y x v v u f x u u f y ∂∂=⋅∂∂∂+⋅∂∂=∂∂⋅∂∂∂+∂∂⋅∂∂=,)(1)()(2uf y y u f u f y y x z y y x z ∂∂∂∂+∂∂⋅=∂∂∂∂=∂∂∂∂=∂∂∂ )(222yvv u f y u u f y u f ∂∂⋅∂∂∂+∂∂⋅∂∂+∂∂= v u fy u f xy u f v u f x u f y u f ∂∂∂+∂∂+∂∂=⋅∂∂∂+⋅∂∂+∂∂=222222)1(,)()()()(22vf y u f y x v f u f x y y z y y z∂∂∂∂+∂∂∂∂=∂∂+∂∂∂∂=∂∂∂∂=∂∂ y vv f y u u v f y v v u f y u u f x ∂∂⋅∂∂+∂∂⋅∂∂∂+∂∂⋅∂∂∂+∂∂⋅∂∂=222222)( 1)1(222222⋅∂∂+⋅∂∂∂+⋅∂∂∂+⋅∂∂=vfx u v f v u f x u f x2222222vfv u f x u f x ∂∂+∂∂∂+∂∂=. (2)) ,(yx x f z =;解 令u =x ,yx v =, 则z =f (u , v ).v fy u f x v v f dx du u f x z ∂∂⋅+∂∂=∂∂⋅∂∂+⋅∂∂=∂∂1,vfy x dy dv v f y z ∂∂⋅-=⋅∂∂=∂∂2.因为f (u , v )是u 和v 的函数, 所以u f∂∂和vf ∂∂也是u 和v 的函数, 从而u f∂∂和vf ∂∂是以u 和v 为中间变量的x 和y 的函数. )(1)()1()(22v f x y u f x v f y u f x x z x x z ∂∂∂∂⋅+∂∂∂∂=∂∂⋅+∂∂∂∂=∂∂∂∂=∂∂ )(1)(222222xvv f dx du u v f y x v v u f dx du u f ∂∂⋅∂∂+⋅∂∂∂+∂∂⋅∂∂∂+⋅∂∂=22222212vfy v u f y u f ∂∂⋅+∂∂∂⋅+∂∂=,)1()(2vf y u f y x z y y x z ∂∂⋅+∂∂∂∂=∂∂∂∂=∂∂∂)(1)1()(v f y y v f y dy d u f y ∂∂∂∂⋅+∂∂⋅+∂∂∂∂= y vv f y v f y y v v u f ∂∂⋅∂∂⋅+∂∂⋅-∂∂⋅∂∂∂=22211 2232221vf y x v f y v u f y x ∂∂⋅-∂∂⋅-∂∂∂⋅-= )()()(2222vf y y x v f y x y y z y y z∂∂∂∂⋅-∂∂⋅-∂∂=∂∂∂∂=∂∂22423222322v f y x v f y x y v v f y x v f y x ∂∂⋅+∂∂⋅=∂∂⋅∂∂⋅-∂∂⋅=. (3) z =f (xy 2, x 2y );解 z x =f 1'⋅y 2+f 2'⋅2xy =y 2f 1'+2xyf 2', z y =f 1'⋅2xy +f 2'⋅x 2=2xyf 1'+x 2f 2';z xx =y 2[f 11''⋅y 2+f 12''⋅2xy ]+2yf 2''+2xy [f 21''⋅y 2+f 22''⋅2xy ] =y 4f 11''+2xy 3f 12''+2yf 2''+2xy 3f 21''+4x 2y 2 f 22'' =y 4f 11''+4xy 3f 12''+2yf 2''+4x 2y 2 f 22'',z xy =2y f 1'+y 2[f 11''⋅2xy +f 12''⋅x 2]+2xf 2'+2xy [f 21''⋅2xy +f 22''⋅x 2] =2y f 1'+2xy 3f 11''+x 2y 2 f 12''+2xf 2'+4x 2y 2f 21''+2x 3yf 22'' =2y f 1'+2xy 3f 11''+5x 2y 2 f 12''+2xf 2'+2x 3yf 22'', z yy =2xf 1'+2xy [f 11''⋅2xy +f 12''⋅x 2]+x 2[f 21''⋅2xy +f 22''⋅x 2] =2xf 1'+4x 2y 2f 11''+2x 3y f 12''+2x 3yf 21''+x 4f 22'' =2xf 1'+4x 2y 2f 11''+4x 3y f 12''+x 4f 22''. (4) z =f (sin x , cos y , e x +y ).解 z x =f 1'⋅cos x + f 3'⋅e x +y =cos x f 1'+e x +y f 3', z y =f 2'⋅(-sin y )+ f 3'⋅e x +y =-sin y f 2'+e x +y f 3', z xx =-sin x f 1'+cos x ⋅(f 11''⋅cos x + f 13''⋅e x +y ) +e x +y f 3'+e x +y (f 31''⋅cos x + f 33''⋅e x +y ) =-sin x f 1'+cos 2x f 11''+e x +y cos x f 13''+e x +y f 3' +e x +y cos x f 31''+e 2(x +y ) f 33''=-sin x f 1'+cos 2x f 11''+2e x +y cos x f 13''+e x +y f 3'+e 2(x +y ) f 33'', z xy =cos x [f 12''⋅(-sin y )+ f 13''⋅e x +y ] +e x +y f 3'+e x +y [f 32''⋅(-sin y )+ f 33''⋅e x +y ] =-sin y cos x f 12''+e x +y cos x f 13' +e x +y f 3'-e x +y sin y f 32'+e 2(x +y )f 33' =-sin y cos x f 12''+e x +y cos x f 13'' +e x +y f 3'-e x +y sin y f 32''+e 2(x +y )f 33'',z yy =-cos y f 2'-sin y [f 22''⋅(-sin y )+ f 23''⋅e x +y ] +e x +y f 3'+e x +y [f 32''⋅(-sin y )+ f 33''⋅e x +y ] =-cos y f 2'+sin 2y f 22''-e x +y sin y f 23'' +e x +y f 3'-e x +y sin y f 32''+ f 33''⋅e 2(x +y )=-cos y f 2'+sin 2y f 22''-2e x +y sin y f 23''+e x +y f 3'+f 33''⋅e 2(x +y ). 13. 设u =f (x , y )的所有二阶偏导数连续, 而23t s x -=,23t s y +=, 证明2222)()()()(t u s u y u x u ∂∂+∂∂=∂∂+∂∂及22222222t u s u y u x u ∂∂+∂∂=∂∂+∂∂.证明 因为y u x u s yy u s x x u s u ∂∂⋅+∂∂⋅=∂∂⋅∂∂+∂∂⋅∂∂=∂∂2321yu x u t yy u t x x u t u ∂∂⋅+∂∂⋅-=∂∂⋅∂∂+∂∂⋅∂∂=∂∂2123所以2222)2123()2321()()(y u x u y u x u t u s u ∂∂+∂∂-+∂∂+∂∂=∂∂+∂∂22)()(y u x u ∂∂+∂∂=. 又因为)2321()(22yu x u s s u s s u∂∂⋅+∂∂⋅∂∂=∂∂∂∂=∂∂ )(23)(21222222s y y u s x x y u s y y x u s x x u ∂∂⋅∂∂+∂∂⋅∂∂∂+∂∂⋅∂∂∂+∂∂⋅∂∂= )2321(23)2321(21222222y u x y u y x u x u ∂∂⋅+∂∂∂⋅+∂∂∂⋅+∂∂⋅= 22222432341yu y x u x u ∂∂⋅+∂∂∂⋅+∂∂⋅=,)2123()(22yu x u t t u t t u∂∂⋅+∂∂⋅-∂∂=∂∂∂∂=∂∂ )(21)(23222222t y y u t x x y u t y y x u t x x u ∂∂⋅∂∂+∂∂⋅∂∂∂+∂∂⋅∂∂∂+∂∂⋅∂∂-= )2123(21)2123(23222222y u x y u y x u x u ∂∂⋅+∂∂∂⋅-+∂∂∂⋅+∂∂⋅--= 22222412343y u y x u x u ∂∂⋅+∂∂∂⋅-∂∂⋅=, 所以 22222222yu x u t u s u ∂∂+∂∂=∂∂+∂∂.习题8-51. 设sin y +e x -xy 2=0, 求dxdy . 解 令F (x , y )=sin y +e x -xy 2, 则F x =e x -y 2, F y =cos y -2xy ,xyy e y xy y y e F F dx dy xy x 2cos 2cos 222--=---=-=. 2. 设x y y x arctan ln 22=+, 求dxdy .解 令xyy x y x F arctan ln ),(22-+=, 则22222222)()(11221y x y x x y xy y x x y x F x ++=-⋅+-+⋅+=,22222221)(11221y x x y x xy y x y y x F y +-=⋅+-+⋅+=, yx y x F F dx dyy x -+=-=. 3. 设022=-++xyz z y x , 求x z ∂∂及y z ∂∂.解 令xyz z y x z y x F 22),,(-++=, 则 xyz yz F x -=1, xyzxz F y -=2, xyz xyF z -=1, xy xyz xyz yz F F x z z x --=-=∂∂, xy xyz xyz xz F F y z z y --=-=∂∂2. 4. 设y z z x ln =, 求x z ∂∂及y z ∂∂,解 令yz z x z y x F ln ),,(-=, 则 z F x 1=, y y z y z F y 1)(12=-⋅-=, 2211z z x y yz z x F z +-=⋅--=, 所以 z x z F F x z z x +=-=∂∂, )(2z x y z F F yz z y +=-=∂∂.5. 设2sin(x +2y -3z )=x +2y -3z , 证明1=∂∂+∂∂y z x z证明 设F (x , y , z )=2sin(x +2y -3z )-x -2y +3z , 则 F x =2cos(x +2y -3z )-1, F y =2cos(x +2y -3z )⋅2-2=2F x , F z =2cos(x +2y -3z )⋅(-3)+3=-3F x ,313=--=-=∂∂x x z x F F F F x z ,3232=--=-=∂∂x x z y F F F F yz , 于是13231=+=--=∂∂+∂∂z z z x F F F F y z x z . 6. 设x =x (y , z ), y =y (x , z ), z =z (x , y )都是由方程F (x , y , z )=0所确定的具有连续偏导数的函数, 证明1-=∂∂⋅∂∂⋅∂∂x z z yy x .解 因为x y F F y x -=∂∂, y z F F z y -=∂∂, zx F F x z -=∂∂, 所以 1)()()(-=-⋅-⋅-=∂∂⋅∂∂⋅∂∂zx y z x y F F F F F F x z z y y x . 7. 设ϕ(u , v )具有连续偏导数, 证明由方程ϕ(cx -az , cy -bz )=0 所确定的函数z =f (x , y )满足 c y z b x z a =∂∂+∂∂.证明 因为vu uv u u b a c b a c x z ϕϕϕϕϕϕ+=⋅-⋅-⋅-=∂∂, vu v v u v b a c b a c y z ϕϕϕϕϕϕ+=⋅-⋅-⋅-=∂∂, 所以 c b a c b b a c a y z b x z a vu vv u u =+++⋅=∂∂+∂∂ϕϕϕϕϕϕ.8. 设e z-xyz =0, 求22xz∂∂.解 设F (x , y , z )=e z -xyz , 则F x =-yz , F z =e z -xy , xye yzF F x z z z x -=-=∂∂,222)()()()(xy e y x z e yz xy e x z y x z x x z z z z --∂∂--∂∂=∂∂∂∂=∂∂ 222)()(xy e xye yzyze xy ye z y zz z z ----+=32232)(22xy e e z y z xy ze y z zz ---=. 9. 设z 3-3xyz =a 3, 求yx z ∂∂∂2. 解 令F (x , y , z )=z 3-3xyz -a 3, 则 xyz yzxy z yz F F x z z x -=---=-=∂∂22333,xyz xzxy z xz F F y z z y -=---=-=∂∂22333, )()(22xyz yz y x z y y x z -∂∂=∂∂∂∂=∂∂∂ 222)()2())((xy z x yz z yz xy z y z y z --∂∂--∂∂+= 22222)()2()()(xy z x xyz xz z yz xy z xy z xz yz -----⋅-+=322224)()2(xy z y x xyz z z ---=. 10. 求由下列方程组所确定的函数的导数或偏导数: (1)设⎩⎨⎧=+++=203222222z y x y x z , 求dx dy , dx dz ;解 视y =y (x ), z =z (x ), 方程两边对x 求导得 ⎪⎩⎪⎨⎧=+++=064222dx dz z dx dy y x dx dy y x dx dz , 即⎪⎩⎪⎨⎧-=+-=-xdx dzz dxdy y x dx dz dx dy y 3222.解方程组得 )13(2)16(++-=∂∂z y z x x y , 13+=z x dx dz.(2)设⎩⎨⎧=++=++10222z y x z y x , 求dz dx ,dz dy ; 解 视x =x (z ), y =y (z ), 方程两边对z 求导得 ⎪⎩⎪⎨⎧=++=++022201z dz dy y dz dx x dz dy dz dx , 即⎪⎩⎪⎨⎧-=+-=+zdz dy y dzdxx dz dy dz dx 2221.解方程组得y x z y z x --=∂∂, yx xz z y --=∂∂. (3)设⎩⎨⎧-=+=),(),(2y v x u g v y v ux f u , 其中f , g 具有一阶连续偏导数, 求x u ∂∂,xv ∂∂; 解 视u =u (x , y ), v =v (x , y ), 方程两边对x 求偏导得 ⎪⎩⎪⎨⎧∂∂⋅'+-∂∂⋅'=∂∂∂∂⋅'+∂∂+⋅'=∂∂x v yv g xu g x v x vf x u x u f x u 21212)1()( ,即 ⎪⎩⎪⎨⎧'=∂∂⋅⋅-'+∂∂'''-=∂∂⋅'+∂∂-'121121)12()1(g x v g yv xu g f u x v f x u f x .解之得1221221)12)(1()12(g f g yv f x g f g yv f u x u ''--'-'''--''-=∂∂,1221111)12)(1()1(g f g yv f x f u f x g x v ''--'-'-'+''=∂∂.(4)设⎩⎨⎧-=+=vu e y v u e x uu cos sin , 求x u ∂∂, y u ∂∂, x v ∂∂, y v ∂∂. 解 视u =u (x , y ), v =v (x , y ), 方程两边微分得 ⎩⎨⎧+-=++=vdv u vdu du e dy vdv u vdu du e dx uu sin cos cos sin , 即 ⎩⎨⎧=+-=++dy vdv u du v e dx vdv u du v e u u sin )cos (cos )sin (, 从中解出du , dv 得 dy v v e v dx v v e v du uu 1)cos (sin cos 1)cos (sin sin +--++-=, dy v v e u e v dx v v e u e v dv u uuu ]1)cos (sin [sin ]1)cos (sin [cos +-+++--=, 从而1)cos (sin sin +-=∂∂v v e v x u u , 1)cos (sin cos +--=∂∂v v e v y u u, ]1)cos (sin [cos +--=∂∂v v e u e v x v u u , ]1)cos (sin [sin +-+=∂∂v v e u e v y v u u. 11. 设y =f (x , t ), 而t 是由方程F (x , y , t )=0所确定的x , y 的函数, 其中f , F 都具有一阶连续偏导数, 试证明:tF y F t f x F t f t F x f dx dy ∂∂+∂∂⋅∂∂∂∂⋅∂∂-∂∂⋅∂∂=.证明 由方程组⎩⎨⎧==0),,(),(t y x F t x f y 可确定两个一元隐函数⎩⎨⎧==)()(x t t x y y , 方程两边对x 求导可得⎪⎩⎪⎨⎧=⋅∂∂+⋅∂∂+∂∂⋅∂∂+∂∂=0dx dt t F dx dy y F x F dxdtt f x f dx dy ,移项得 ⎪⎩⎪⎨⎧∂∂-=∂∂+⋅∂∂∂∂=⋅∂∂-x F dx dt t F dx dy y F x f dx dt t f dx dy , 在01≠∂∂⋅∂∂+∂∂=∂∂∂∂∂∂-=y F t f t F tF y F t fD 的条件下 yFt f t F xFt f t F x f t F x F t f x f D dx dy ∂∂⋅∂∂+∂∂∂∂⋅∂∂-∂∂⋅∂∂=∂∂∂∂-∂∂-∂∂⋅=1. 习题8-61. 求曲线x =t -sin t , y =1-cos t , 2sin 4t z =在点)22 ,1 ,12 (-π处的切线及法平面方程.解 x '(t )=1-cos t , y '(t )=sin t , 2cos 2)(t t z ='. 因为点)22 ,1 ,12 (-π所对应的参数为2π=t , 故在点)22 ,1 ,12(-π处的切向量为)2 ,1 ,1(=T . 因此在点)22 ,1 ,12 (-π处, 切线方程为22211121-=-=-+z y x π, 法平面方程为0)22(2)1(1)12(1=-+-⋅++-⋅z y x π, 即422+=++πz y x .2. 求曲线t t x +=1, t t y +=1, z =t 2在对应于t =1的点处的切线及法平面方程. 解 2)1(1)(t t x +=', 21)(t t y -=', z '(t )=2t .在t =1所对应的点处, 切向量)2 ,1 ,41(-=T , t =1所对应的点为)1 ,2 ,21(, 所以在t =1所对应的点处, 切线方程为 21124121-=--=-z y x , 即8142121-=--=-z y x ; 法平面方程为0)1(2)2()21(41=-+---z y x , 即2x -8y +16z -1=0.3. 求曲线y 2=2mx , z 2=m -x 在点(x 0, y 0, z 0)处的切线及法平面方程.解 设曲线的参数方程的参数为x , 将方程y 2=2mx 和z 2=m -x的两边对x 求导, 得m dx dy y 22=, 12-=dxdz z , 所以y m dx dy =, z dxdz 21-=. 曲线在点(x 0, y 0, z 0,)的切向量为)21,,1(00z y m -=T , 所求的切线方程为0000211z z z y m y y x x --=-=-, 法平面方程为0)(21)()(00000=---+-z z z y y y m x x . 4. 求曲线⎩⎨⎧=-+-=-++0453203222z y x x z y x 在点(1, 1, 1)处的切线及法平面方程.解 设曲线的参数方程的参数为x , 对x 求导得,⎪⎩⎪⎨⎧=+-=-++053203222dx dz dx dy dx dz z dx dy y x , 即⎪⎩⎪⎨⎧=-+-=+2533222dxdz dx dy x dx dz z dx dy y . 解此方程组得z y z x dx dy 61015410----=, zy y x dx dz 610946---+=. 因为169)1,1,1(=dx dy , 161)1,1,1(-=dx dz , 所以)161 ,169 ,1(=T . 所求切线方程为1611169111--=-=-z y x , 即1191161--=-=-z y x ; 法平面方程为0)1(161)1(169)1(=---+-z y x , 即16x +9y -z -24=0. 5. 求出曲线x =t , y =t 2, z =t 3上的点, 使在该点的切线平行于平面x +2y +z =4.解 已知平面的法线向量为n =(1, 2, 1).因为x '=1, y '=2t , z '=3t 2, 所以参数t 对应的点处的切向量为T =(1, 2t , 3t 2). 又因为切线与已知平面平行, 所以T ⋅n =0, 即1+4t +3t 2=0,解得t =-1, 31-=t . 于是所求点的坐标为(-1, 1, -1)和)271 ,91 ,31(--. 6. 求曲面e z -z +xy =3在点(2,1,0)处的切平面及法线方程. 解 令F (x , y , z )=e z -z +xy -3, 则n =(F x , F y , F z )|(2, 1, 0)=(y , x , e z -1)|(2, 1, 0)=(1, 2, 0),点(2,1, 0)处的切平面方程为1⋅(x -2)+2(y -1)+0⋅(z -0)=0, 即x +2y -4=0,法线方程为02112-=-=-z y x . 7. 求曲面ax 2+by 2+cz 2=1在点(x 0, y 0, z 0)处的切平面及法线方程. 解 令F (x , y , z )=ax 2+by 2+cz 2-1, 则n =(F x , F y , F z )=(2ax , 2by , 2cz )=(ax , by , cz ).在点(x 0, y 0, z 0)处, 法向量为(ax 0, by 0, cz 0), 故切平面方程为ax 0(x -x 0)+by 0(y -y 0)+cz 0(z -z 0)=0,即 202020000cz by ax z cz y by x ax ++=++, 法线方程为00000cz z z by y y ax x x -=-=-.8. 求椭球面x 2+2y 2+z 2=1上平行于平面x -y +2z =0的切平面方程.解 设F (x , y , z )=x 2+2y 2+z 2-1, 则n =(F x , F y , F z )=(2x , 4y , 2z )=2(x , 2y , z ).已知切平面的法向量为(1, -1, 2). 因为已知平面与所求切平面平行, 所以2121z y x =-=, 即z x 21=, z y 41-=, 代入椭球面方程得1)4(2)2(222=+-+z z z ,解得1122±=z , 则1122±=x , 11221 =y . 所以切点坐标为)1122,11221,112(±± . 所求切平面方程为0)1122(2)11221()112(=±+-±z y x , 即 2112±=+-z y x . 9. 求旋转椭球面3x 2+y 2+z 2=16上点(-1, -2, 3)处的切平面与xOy 面的夹角的余弦.解 x O y 面的法向为n 1=(0, 0, 1).令F (x , y , z )=3x 2+y 2 +z 2-16, 则点(-1, -2, 3)处的法向量为 n 2=(F x , F y , F z )|(-1, -2, 3)=(6x , 2y , 2z )|(-1, -2, 3)=(-6, -4, 6). 点(-1, -2, 3)处的切平面与xOy 面的夹角的余弦为22364616||||cos 2222121=++⋅=⋅⋅=n n n n θ.10. 试证曲面a z y x =++(a >0)上任何点处的切平面在各坐标轴上的截距之和等于a .证明 设a z y x z y x F -++=),,(, 则)21,21,21(zy x =n . 在曲面上任取一点M (x 0, y 0, z 0), 则在点M 处的切平面方程为 0)(1)(1)(1000000=-+-+-z z z y y y x x x ,即 a z y x z z y y x x =++=++000000. 化为截距式, 得1000=++az z ay y ax x , 所以截距之和为a z y x a az ay ax =++=++)(000000.习题8-71. 求函数z =x 2+y 2在点(1, 2)处沿从点(1, 2)到点)32 ,2(+的方向的方向导数.解 因为从点(1, 2)到点)32 ,2(+的向量为)3 ,1(=l , 故 )cos ,(cos )23 ,21(||βα===l l e l . 又因为22)2,1()2,1(==∂∂x x z , 42)2,1()2,1(==∂∂y y z , 故所求方向导数为321234212cos cos +=⋅+⋅=∂∂+∂∂=∂∂βαy z x z l z . 2. 求函数z =ln(x +y )在抛物线y 2=4x 上点(1, 2)处, 沿这抛物线在该点处偏向x 轴正向的切线方向的方向导数.解 方程y 2=4x 两边对x 求导得2yy '=4, 解得yy 2='. 在抛物线y 2=4x 上点(1, 2)处, 切线的斜率为y '(1)=1, 切向量为l =(1, 1), 单位切向量为)cos ,(cos )21 ,21(βα==l e . 又因为31 1)2,1()2,1(=+=∂∂y x x z , 31 1)2,1()2,1(=+=∂∂y x y z , 故所求方向导数为3221312131cos cos =⋅+⋅=∂∂+∂∂=∂∂βαy z x z l z . 3. 求函数)(12222b y a x z +-=在点)2,2(b a 处沿曲线12222=+b y a x 在这点的内法线方向的方向导数.解 令1),(2222-+=by a x y x F , 则22a x F x =, 22b y F y =. 从而点(x , y )处的法向量为)2 ,2() ,(22by a x F F y x ±=±=n . 在)2,2(b a 处的内法向量为 )2 ,2()2 ,2()2,2(22ba b y a x ba-=-=n , 单位内法向量为)cos ,(cos ) ,(2222βα=+-+-=b a a b a b n e . 又因为aa x x zbab a 22)2,2(2)2,2(-=-=∂∂, b b y y zb a b a 22)2,2(2)2,2(-=-=∂∂, 所以 βαcos cos yz x z n z ∂∂+∂∂=∂∂222222b a a b b a b a +⋅++⋅=222b a ab+=.4. 求函数u =xy 2+z 3-xyz 在点(1, 1, 2)处沿方向角为3 πα=, 4 πβ=, 3πγ=的方向的方向导数. 解 因为方向向量为)21 ,22 ,21()cos ,cos ,(cos ==γβαl , 又因为1)()2,1,1(2)2,1,1(-=-=∂∂yz y x u , 0)2()2,1,1()2,1,1(=-=∂∂xz xy y u , 11)3()2,1,1(2)2,1,1(=-=∂∂xy z z u , 所以 γβαcos cos cos zu y u x u l u ∂∂+∂∂+∂∂=∂∂ 5211122021)1(=⋅+⋅+⋅-=. 5. 求函数u =xyz 在点(5,1,2)处沿从点(5, 1, 2)到点(9, 4, 14)的方向的方向导数.解 因为l =(9-5, 4-1, 14-2)=(4, 3, 12),)1312 ,133 ,134(||==l l e l , 并且 2)2,1,5()2,1,5(==∂∂yz xu ,10)2,1,5()2,1,5(==∂∂xz y u , 5)2,1,5()2,1,5(==∂∂xy z u , 所以 γβαcos cos cos zu y u x u l u ∂∂+∂∂+∂∂=∂∂ 139813125133101342=⋅+⋅+⋅=. 6. 求函数u =x 2+y 2+z 2在曲线x =t , y =t 2, z =t 3上点(1, 1, 1)处, 沿曲线在该点的切线正方向(对应于t 增大的方向)的方向导. 解 曲线x =t , y =t 2, z =t 3上点(1, 1, 1)对应的参数为t =1, 在点(1, 1,1)的切线正向为)3 ,2 ,1()3 ,2 ,1(12===t t t l ,)143,142,141(||==l l e l , 又 22)1,1,1()1,1,1(==∂∂x x u , 22)1,1,1()1,1,1(==∂∂y y u , 22)1,1,1()1,1,1(==∂∂z z u , 所以 γβαcos cos cos )1,1,1(zu y u x u l u ∂∂+∂∂+∂∂=∂∂ 1412143214221412=⋅+⋅+⋅=. 7. 求函数u =x +y +z 在球面x 2+y 2+z 2=1上点(x 0, y 0, z 0)处, 沿球面在该点的外法线方向的方向导数.解 令F (x , y , z )=x 2+y 2+z 2-1, 则球面x 2+y 2+z 2=1在点(x 0, y 0, z 0)处的外法向量为)2 ,2 ,2() , ,(000),,(000z y x F F F z y x z y x ==n , )cos ,cos ,(cos ) , ,(||000γβα===z y x n n n e , 又 1=∂∂=∂∂=∂∂zu y u x u , 所以 γβαcos cos cos zu y u x u n u ∂∂+∂∂+∂∂=∂∂ 000000111z y x z y x ++=⋅+⋅+⋅=.8. 设f (x , y , z )=x 2+2y 2+3z 2+xy +3x -2y -6z , 求grad f (0, 0, 0)及grad f (1, 1, 1).解 32++=∂∂y x x f , 24-+=∂∂x y yf , 66-=∂∂z z f . 因为 3)0,0,0(=∂∂x f, 2)0,0,0(-=∂∂yf, 6)0,0,0(-=∂∂z f , 6)1,1,0(=∂∂x f , 3)1,1,0(=∂∂y f, 0)1,1,0(=∂∂z f,所以 grad f (0, 0, 0)=3i -2j -6k ,grad f (1, 1, 1)=6i +3j .9. 设u , v 都是 x , y , z 的函数, u , v 的各偏导数都存在且连续, 证明(1) grad (u +v )=grad u + grad v ;解 k j i zv u y v u x v u v u ∂+∂+∂+∂+∂+∂=+)()()()(grad k j i )()()(zv z u y v y u x v x u ∂∂+∂∂+∂∂+∂∂+∂∂+∂∂=)()(k j i k j i zv y v x v z u y u x u ∂∂+∂∂+∂∂+∂∂+∂∂+∂∂= v u grad grad +=.(2) grad (uv )=v grad u +u grad v ;解 k j i zuv y uv x uv uv ∂∂+∂∂+∂∂=)()()()(grad k j i )()()(z v u z u v y v u y u v x v u x u v ∂∂+∂∂+∂∂+∂∂+∂∂+∂∂= )()(k j i k j i zv y v x v u z u y u x u v ∂∂+∂∂+∂∂+∂∂+∂∂+∂∂= =v grad u +u grad v .(3) grad (u 2)=2u grad u .解 k j i z u y u x u u ∂∂+∂∂+∂∂=2222)(grad k j i zu u y u u x u u ∂∂+∂∂+∂∂=222 u u zu y u x u u grad 2)(2=∂∂+∂∂+∂∂=k j i .10. 问函数u =xy 2z 在点p (1, -1, 2)处沿什么方向的方向导数最大? 并求此方向导数的最大值.解 k j i k j i 222 xy xyz z y zu y u x u u ++=∂∂+∂∂+∂∂=grad , k j i k j i +-=++=--42)2()2 ,1 ,1( )2,1,1(22xy xyz z y u grad .grad u (1, -1, 2)为方向导数最大的方向, 最大方向导数为 211)4(2|)2 ,1 ,1( 222=+-+=-u grad |.习题8-81. 求函数f (x , y )=4(x -y )-x 2-y 2的极值.解 解方程组⎩⎨⎧=--==-=024),(024),(y y x f x y x f yx , 求得驻点为(2,-2). f xx =-2, f xy =0, f yy =-2,在驻点(2,-2)处, 因为f xx f yy -f xy 2=(-2)(-2)-0=4>0, f xx =-2<0,所以在点(2, -2)处, 函数取得极大值, 极大值为f (2, -2)=8.2. 求函数f (x , y )=(6x -x 2)(4y -y 2)的极值.解 解方程组⎩⎨⎧=--==--=0)24)(6(),(0)4)(26(),(22y x x y x f y y x y x f yx , 得驻点(0, 0), (0, 4), (3, 2), (6, 0), (6,4).函数的二阶偏导数为f xx (x , y )=-2(4y -y 2), f xy (x , y )=4(3-x )(2-y ), f yy (x , y )=-2(6x -x 2). 在点(0, 0)处, 因为f xx ⋅f yy -f xy 2=0⨯0-242=-242<0,所以f (0, 0)不是极值;在点(0, 4)处, 因为f xx ⋅f yy -f xy 2=0⨯0-(-24)2=-242<0,所以f (0, 4)不是极值.在点(3, 2)处, 因为f xx ⋅f yy -f xy 2=(-8)⨯(-18)-02=8⨯18>0, f xx =-8<0,所以f (3, 2)=36是函数的极大值.在点(6, 0)处, 因为f xx ⋅f yy -f xy 2=0⨯0-(-24)2=-242>0,所以f (6, 0)不是极值.在点(6, 4)处, 因为f xx ⋅f yy -f xy 2=0⨯0-242=-242>0,所以f (6, 4)不是极值.综上所述, 函数只有一个极值, 这个极值是极大值f (3, 2)=36. 3. 求函数f (x , y )=e 2x (x +y 2+2y )的极值.解 解方程组⎩⎨⎧=+==+++=0)22(),(0)1422(),(222y e y x f y y x e y x f x yx x , 得驻点)1 ,21(-. f xx (x , y )=4e 2x (x +y 2+2y +1), f xy (x , y )=4e 2x (y +1), f yy (x , y )=2e 2x . 在驻点)1 ,21(-处, 因为 f xx ⋅f yy -f xy 2=2e ⋅2e -02=4e 2>0, f xx =2e >0, 所以2)1 ,21(e f -=-是函数的极小值. 4. 求函数z =xy 在适合附加条件x +y =1下的极大值.解 由x +y =1得y =1-x , 代入z =xy , 则问题化为求z =x (1-x )的无条件极值.x dxdz 21-=, 222-=dx z d . 令,0=dx dz 得驻点21=x . 因为022122<-==x dx zd , 所以21=x 为极大值点, 极大值为41)211(21=-=z . 5. 从斜边之长为l 的一切直角三角形中, 求有最大周界的直角三角形.解 设直角三角形的两直角边之长分别为x , y , 则周长 S =x +y +l (0<x <l , 0<y <l ).因此, 本题是在x 2+y 2=l 2下的条件极值问题, 作函数 F (x , y )=x +y +l +λ(x 2+y 2-l 2).解方程组⎪⎩⎪⎨⎧=+=+==+=222021021ly x y F x F y x λλ, 得唯一可能的极值点2l y x ==. 根据问题性质可知这种最大周界的直角三角形一定存在, 所以斜边之长为l 的一切直角三角形中, 周界最大的是等腰直角三角形.6. 要造一个容积等于定数k 的长方体无盖水池, 应如何选择水池的尺寸方可使表面积最小.解 设水池的长为x , 宽为y , 高为z , 则水池的表面积为 S =xy +2xz +2yz (x >0, y >0, z >0).本题是在条件xyz =k 下, 求S 的最大值.作函数F (x , y , z )=xy +2xz +2yz +λ(xyz -k ).解方程组⎪⎩⎪⎨⎧==++==++==++=k xyz xy y x F xz z x F yz z y F z y x 0220202λλλ, 得唯一可能的极值点)221 ,2 ,2(333k k k . 由问题本身可知S 一定有最小值, 所以表面积最小的水池的长和宽都应为.23k 高为3221k . 7. 在平面xOy 上求一点, 使它到x =0, y =0及x +2y -16=0三直线距离平方之和为最小.解 设所求点为(x , y ), 则此点到x =0的距离为|y |, 到y =0的距离为|x |, 到x +2y -16=0的距离为221|162|+-+y x , 而距离平方之和为 222)162(51-+++=y x y x z . 解方程组⎪⎩⎪⎨⎧=-++=∂∂=-++=∂∂0)162(5420)162(522y x y y z y x x x z , 即{03292083=-+=-+y x y x . 得唯一的驻点)516 ,58(, 根据问题的性质可知, 到三直线的距离平方之和最小的点一定存在, 故)516 ,58(即为所求. 8( 将周长为2p 的矩形绕它的一边旋转而构成一个圆柱体( 问矩形的边长各为多少时( 才可使圆柱体的体积为最大?解 设矩形的一边为x , 则另一边为(p -x ), 假设矩形绕p -x 旋转, 则旋转所成圆柱体的体积为V =πx 2(p -x ).由0)32()(22=-=--=x p x x x p x dx dV πππ, 求得唯一驻点p x 32=. 由于驻点唯一, 由题意又可知这种圆柱体一定有最大值, 所以当矩形的边长为32p 和3p 时, 绕短边旋转所得圆柱体体积最大. 9. 求内接于半径为a 的球且有最大体积的长方体.解 设球面方程为x 2+y 2+z 2=a 2, (x , y , z )是它的各面平行于坐标面的内接长方体在第一卦限内的一个顶点, 则此长方体的长宽高分别为2x , 2y , 2z , 体积为V =2x ⋅2y ⋅2z =8xyz .令 F (x , y , z )=8xyz +λ(x 2+y 2+z 2-a 2) .解方程组⎪⎩⎪⎨⎧=++=+==+==+=2222028028028a z y x z xy F y xz F x yz F z y x λλλ, 即⎪⎩⎪⎨⎧=++=+=+=+2222040404a z y x z xy y xz x yz λλλ, 得唯一驻点)3,3,3(a a a . 由题意可知这种长方体必有最大体积, 所以当长方体的长、宽、高都为32a 时其体积最大. 10. 抛物面z =x 2+y 2被平面x +y +z =1截成一椭圆, 求原点到这椭圆的最长与最短距离.解 设椭圆上点的坐标(x , y , z ), 则原点到椭圆上这一点的距离平方为d 2=x 2+y 2+z 2, 其中x , y , z 要同时满足z =x 2+y 2和x +y +z =1. 令 F (x , y , z )=x 2+y 2+z 2+λ1(z -x 2-y 2)+λ2(x +y +z -1).解方程组⎪⎩⎪⎨⎧=++==+-==+-=02022022212121λλλλλλz F y y F x x F z y x , 得驻点231±-==y x , 32 =z . 它们是可能的两个极值点, 由题意这种距离的最大值和最小值一定存在, 所以距离的最大值和最小值在两点处取得, 因为在驻点处359)32()231(2222222 =+±-=++=z y x d , 所以3591+=d 为最长距离;3592-=d 为最短距离.总习题八1. 在“充分”、“必要”和“充分必要”三者中选择一个正确的填入下列空格内:(1)f (x , y )在(x , y )可微分是f (x , y )在该点连续的______条件, f (x , y )在点连续是f (x , y )在该点可微分的______条件.解 充分; 必要.(2)z =f (x , y )在点(x , y )的偏导数x z ∂∂及yz ∂∂存在是f (x , y )在该点可微分的______条件, z = f (x , y )在点(x , y )可微分是函数在该点的偏导数x z ∂∂及y z ∂∂存在的______条件. 解 必要; 充分.(3)z =f (x , y )的偏导数x z ∂∂及yz ∂∂在(x , y )存在且连续是f (x , y )在该点可微分的______条件. 解 充分. (4)函数z =f (x , y )的两个二阶偏导数y x z ∂∂∂2及xy z ∂∂∂2在区域D 内连续是这两个二阶混合偏导数在D 内相等的______条件.解 充分.2. 选择下述题中给出的四个结论中一个正确的结论:设函数f (x , y )在点(0, 0)的某邻域内有定义, 且f x (0, 0)=3, f y (0, 0)=-1, 则有______.(A )dz |(0, 0)=3dx -dy .(B )曲面z =f (x , y )在点(0, 0, f (0, 0))的一个法向量为(3, -1, 1).(C )曲线⎩⎨⎧==0),(y y x f z 在点(0, 0, f (0, 0))的一个切向量为(1, 0, 3). (D )曲线⎩⎨⎧==0),(y y x f z 在点(0, 0, f (0, 0))的一个切向量为(3, 0, 1). 解 (C ).3. 求函数)1ln(4),(222y x y x y x f ---=的定义域, 并求),(lim )0,21(),(y x f y x →. 解 函数的定义域为{(x , y )| 0<x 2+y 2<1, y 2≤4x }因为D ∈)0 ,21(, 故由初等函数在定义域内的连续性有 43ln 2)1ln(4)1ln(4lim ),(lim )0,21(222222)0,21(),()0,21(),(=---=---=→→y x y x y x y x y x f y x y x .。
340页304323页22页42页1.2.349页6369页89页315页1. 求下列微分方程的通解:(1)x e y dxdy-=+; 解 )()()(C x e C dx e e e C dx e e e y x x x x dxx dx +=+⋅=+⎰⋅⎰=-----⎰⎰.(2)xy '+y =x 2+3x +2; 解 原方程变为xx y x y 231++=+'.])23([11C dx e xx e y dx x dx x +⎰⋅++⎰=⎰- ])23([1])23([12C dx x x x C xdx x x x +++=+++=⎰⎰xC x x C x x x x +++=+++=22331)22331(1223. (3)y '+y cos x =e -sin x ;解 )(cos sin cos C dx e e e y xdxx dx +⎰⋅⎰=⎰--)()(sin sin sin sin C x e C dx e e e x x x x +=+⋅=---⎰.(4)y '+y tan x =sin 2x ;解 )2sin (tan tan C dx e x e y xdx xdx +⎰⋅⎰=⎰-)2sin (cos ln cos ln C dx e x e x x +⋅=⎰-⎰+⋅=)cos 1cos sin 2(cos C dx xx x x=cos x (-2cos x +C )=C cos x -2cos 2x . (5)(x 2-1)y '+2xy -cos x =0; 解 原方程变形为1cos 1222-=-+'x x y x x y .)1cos (1221222C dx e x x e y dx x xdx x x +⎰⋅-⎰=⎰--- )(sin 11])1(1cos [112222C x x C dx x x x x +-=+-⋅--=⎰.(6)23=+ρθρd d ; 解 )2(33C de e d d +⎰⋅⎰=⎰-θρθθ)2(33C d e e +=⎰-θθθθθθ33332)32(--+=+=Ce C e e . (7)x xy dxdy42=+; 解 )4(22C dx e x e y xdxxdx +⎰⋅⎰=⎰-)4(22C dx e x e x x +⋅=⎰-2222)2(x x x Ce C e e --+=+=. (8)y ln ydx +(x -ln y )dy =0; 解 原方程变形为yx y y dy dx 1ln 1=+.)1(ln 1ln 1C dy e ye x dy y y dyy y +⎰⋅⎰=⎰- )ln 1(ln 1C ydy yy +⋅=⎰ yCy C y y ln ln 21)ln 21(ln 12+=+=.(9)3)2(2)2(-+=-x y dxdyx ; 解 原方程变形为2)2(221-=--x y x dx dy .])2(2[21221C dx e x e y dxx dx x +⎰⋅-⎰=⎰---⎰+-⋅--=]21)2(2)[2(2C dx x x x =(x -2)[(x -2)2+C ]=(x -2)3+C (x -2).(10)02)6(2=+-y dxdyx y . 解 原方程变形为y x y dy dx 213-=-.])21([33C dy e y e x dy y dy y +⎰⋅-⎰=⎰- )121(33C dy y y y +⋅-=⎰32321)21(Cy y C y y +=+=.153页1. 计算下列二重积分:(1)⎰⎰+Dd y x σ)(22, 其中D ={(x , y )| |x |≤1, |y |≤1};解 积分区域可表示为D : -1≤x ≤1, -1≤y ≤1. 于是⎰⎰+Dd y x σ)(22y d y x dx ⎰⎰--+=111122)(x d y y x ⎰--+=111132]31[ x d x ⎰-+=112)312(113]3232[-+=x x 38=. (2)⎰⎰+Dd y x σ)23(, 其中D 是由两坐标轴及直线x +y =2所围成的闭区域:解 积分区域可表示为D : 0≤x ≤2, 0≤y ≤2-x . 于是⎰⎰+Dd y x σ)23(y d y x dx x⎰⎰-+=2020)23(dx y xy x ⎰-+=222]3[ dx x x ⎰-+=202)224(0232]324[x x x -+=320=. (3)⎰⎰++Dd y y x x σ)3(223, 其中D ={(x , y )| 0≤x ≤1, 0≤y ≤1};解 ⎰⎰++Dd y y x x σ)3(323⎰⎰++=1032310)3(dx y y x x dy ⎰++=1001334]4[dy x y y x x ⎰++=103)41(dy y y 0142]424[y y y ++=1412141=++=.(4)⎰⎰+Dd y x x σ)cos(, 其中D 是顶点分别为(0, 0), (π, 0), 和(π, π)的三角形闭区域.解 积分区域可表示为D : 0≤x ≤π, 0≤y ≤x . 于是,⎰⎰+Dd y x x σ)cos(⎰⎰+=x dy y x xdx 00)cos(π⎰+=π0)][sin(dx y x x x⎰-=π0)s i n 2(s i n dx x x x ⎰--=π0)c o s 2c o s 21(x x xd+--=0|)c o s 2c o s 21(πx x x dx x x ⎰-π0)cos 2cos 21(π23-=..2. 画出积分区域, 并计算下列二重积分:(1)⎰⎰Dd y x σ, 其中D 是由两条抛物线x y =, 2x y =所围成的闭区域;解 积分区域图如, 并且D ={(x , y )| 0≤x ≤1, x y x ≤≤2}. 于是⎰⎰Dd y xσ⎰⎰=102dy y x dx xx⎰=10223]32[dx y x x x 556)3232(10447=-=⎰dx x x .(2)⎰⎰Dd xy σ2, 其中D 是由圆周x 2+y 2=4及y 轴所围成的右半闭区域;解 积分区域图如, 并且D ={(x , y )| -2≤y ≤2, 240y x -≤≤}. 于是⎰⎰⎰⎰⎰----=22402240222222]21[dy y x dx xy dy d xy y y Dσ1564]10132[)212(22225342=-=-=--⎰y y dy y y . (3)⎰⎰+Dy x d e σ, 其中D ={(x , y )| |x |+|y |≤1};解 积分区域图如, 并且D ={(x , y )| -1≤x ≤0, -x -1≤y ≤x +1}⋃{(x , y )| 0≤x ≤1, x -1≤y ≤-x +1}. 于是⎰⎰⎰⎰⎰⎰+--+---++=1110111x x y x x x y x Dy x dy e dx e dy e dx e d e σ⎰⎰+---+--+=10110111][][dy e e dx e e x x y x x x y x ⎰⎰---+-+-=11201112)()(dx e e dx e ex x 101201112]21[]21[---+-+-=x x e ex x e e =e -e -1. (4)⎰⎰-+Dd x y x σ)(22, 其中D 是由直线y =2, y =x 及y =2x 轴所围成的闭区域.解 积分区域图如, 并且D ={(x , y )| 0≤y ≤2, y x y ≤≤21}. 于是⎰⎰⎰⎰⎰-+=-+=-+2022232222022]2131[)()(dy x x y x dx x y x dy d x y x y y y y Dσ 613)832419(2023=-=⎰dy y y .164页1. 化三重积分dxdydz z y x f I ),,(Ω⎰⎰⎰=为三次积分, 其中积分区域Ω分别是:(1)由双曲抛物面xy =z 及平面x +y -1=0, z =0所围成的闭区域; 解 积分区域可表示为Ω={(x , y , z )| 0≤z ≤xy , 0≤y ≤1-x , 0≤x ≤1}, 于是 ⎰⎰⎰-=xyx dz z y x f dy dx I 01010),,(.(2)由曲面z =x 2+y 2及平面z =1所围成的闭区域; 解 积分区域可表示为}11 ,11 ,1|),,{(2222≤≤--≤≤--≤≤+=Ωx x y x z y x z y x , 于是 ⎰⎰⎰+----=111112222),,(y x x x dz z y x f dy dx I .(3)由曲面z =x 2+2y 2及z =2-x 2所围成的闭区域;解 曲积分区域可表示为}11 ,11 ,22|),,{(22222≤≤--≤≤---≤≤+=Ωx x y x x z y x z y x , 于是 ⎰⎰⎰-+----=22222221111),,(x y x x x dz z y x f dy dx I .提示: 曲面z =x 2+2y 2与z =2-x 2的交线在xOy 面上的投影曲线为x 2+y 2=1.(4)由曲面cz =xy (c >0), 12222=+by a x , z =0所围成的在第一卦限内的闭区域. 解 曲积分区域可表示为}0 ,0 ,0|),,{(22a x x a a b y c xyz z y x ≤≤-≤≤≤≤=Ω,于是 ⎰⎰⎰-=cxy abdz z y x f dy dx I x a a0),,(22.提示: 区域Ω的上边界曲面为曲面c z =xy , 下边界曲面为平面z =0.190页 3.计算下列对弧长的曲线积分:(1)⎰+Ln ds y x )(22, 其中L 为圆周x =a cos t , y =a sin t (0≤t ≤2π); 解⎰+L n ds y x )(22⎰+-+=π20222222)cos ()sin ()sin cos (dt t a t a t a t a n=⎰+-+π20222222)cos ()sin ()sin cos (dt t a t a t a t a n⎰++==ππ2012122n n a dt a .(2)⎰+Lds y x )(, 其中L 为连接(1, 0)及(0, 1)两点的直线段;解 L 的方程为y =1-x (0≤x ≤1);⎰⎰'-+-+=+102])1[(1)1()(dx x x x ds y x L22)1(1=-+=⎰dx x x .(3)xdx L⎰, 其中L 为由直线y =x 及抛物线y =x 2所围成的区域的整个边界; 解 L 1: y =x 2(0≤x ≤1), L 2: y =x (0≤x ≤1) .x d x L ⎰x d xx d x LL ⎰⎰+=21⎰⎰'++'+=102122)(1])[(1dx x x dx x x⎰⎰++=10102241x d x dx x x )12655(121-+=.(4)ds ey x L22+⎰, 其中L 为圆周x 2+y 2=a 2, 直线y =x 及x 轴在第一象限内所围成的扇形的整个边界; 解 L =L 1+L 2+L 3, 其中 L 1: x =x , y =0(0≤x ≤a ),L 2: x =a cos t , y =a sin t )40(π≤≤t ,L 3: x =x , y =x )220(a x ≤≤,因而ds eds eds eds ey x L y x L y x L y x L22322222122++++⎰⎰⎰⎰++=,⎰⎰⎰+++-++=axa ax dx e dt t a t a e dx e 22022240222211)cos ()sin (01π2)42(-+=a e a π.(5)⎰Γ++ds z y x 2221, 其中Γ为曲线x =e t cos t , y =e t sin t , z =e t 上相应于t 从0变到2的这段弧;解 dt dtdz dt dydt dx ds 222)()()(++=dt e t e t e t e t e t t t t t 222)cos sin ()sin cos (+++-=dt e t 3=,⎰⎰++=++Γ20222222223s i n c o s 11dt e et e t e ds z y x t tt t ⎰----=-==2220)1(23]23[23e e dt e t t .(6)⎰Γyzds x 2, 其中Γ为折线ABCD , 这里A 、B 、C 、D 依次为点(0, 0, 0)、 (0, 0, 2)、(1, 0, 2)、(1, 3, 2); 解 Γ=AB +BC +CD , 其中 AB : x =0, y =0, z =t (0≤t ≤1), BC : x =t , y =0, z =2(0≤t ≤3), CD : x =1, y =t , z =2(0≤t ≤3),故y z d sx y z d s x y z d s x y z d s x CD BC AB 2222⎰⎰⎰⎰++=Γ 9010200322231=++++=⎰⎰⎰dt t dt dt .(7)⎰Lds y 2, 其中L 为摆线的一拱x =a (t -sin t ), y =a (1-cos t )(0≤t ≤2π);解⎰⎰'+'--=L dt t a t t a t a ds y π2022222])(cos [])sin ([)cos 1(⎰--=π2023c o s 1)c o s 1(2dt t t a 315256a =.(8)⎰+Lds y x )(22, 其中L 为曲线x =a (cos t +t sin t ), y =a (sin t -t cos t )(0≤t ≤2π).解 dt dtdydt dx ds 22)()(+=atdt dt t at t at =+=22)sin ()cos (a t d tt t t a t t t a ds y x L ])cos (sin )sin (cos [)(22202222-++=+⎰⎰π⎰+=+=πππ2023223)21(2)1(a t d t t a .219页 6. 计算下面对面积的曲面积分:(1)dS y x z )342(++∑⎰⎰, 其中∑为平面1432=++z yx 在第一象限中的部分;解 y x z 3424:--=∑, x y x D xy 2310 ,20 :-≤≤≤≤, dxdy z z dS y x 221++=dxdy 361=,61436143614)342(==⋅=++⎰⎰⎰⎰⎰⎰∑dxdy dxdy dS y x z xyxy D D .(2)dS z x x xy )22(2+--∑⎰⎰, 其中∑为平面2x +2y +z =6在第一象限中的部分;解 ∑: z =6-2x -2y , D xy : 0≤y ≤3-x , 0≤x ≤3,dxdy dxdy z z dS y x 3122=++=,dS z x x xy )22(2+--∑⎰⎰ dxdy y x x x xy xyD 3)22622(2--+--=⎰⎰⎰⎰--+--=xdy y xy x x dx 30230)22236(3427)9103(33023-=+-=⎰dx x x .(3)dS z y x )(++∑⎰⎰, 其中∑为球面x 2+y 2+z 2=a 2上z ≥h (0<h <a )的部分;解 ∑:222y x a z --=, D xy : x 2+y 2≤a 2-h 2,dxdy z z dS y x 221++=dxdy y x a a 222--=,dxdy yx a a y x a y x dS z y x xyD 222222)()(----++=++⎰⎰⎰⎰∑)(||22h a a D a adxdy xy D xy-===⎰⎰π(根据区域的对称性及函数的奇偶性). 提示:dxdy y x a y y x a x dS 22222222)()(1+--++--+=dxdy y x a a 222--=,(4)dS zx yz xy )(++∑⎰⎰, 其中∑为锥面22y x z +=被x 2+y 2=2ax 所截得的有限部分.解 ∑: 22y x z +=, D xy : x 2+y 2≤2ax ,dxdy dxdy z z dS y x 2122=++=,dxdy y x y x xy dS zx yz xy xyD ])([2)(22+++=++⎰⎰⎰⎰∑⎰⎰++=-θππθθθθcos 202222)]sin (cos cos sin [2a rdr q r r dθθθθθθππd a )cos sin cos cos (sin 24422554⎰-++=421564a =. 提示: dxdy yx y y x x dS 2222221++++=. 255页3. 根据级数收敛与发散的定义判定下列级数的收敛性: (1)∑∞=-+1)1(n n n ;解 因为)1( )34()23()12(n n s n -++⋅⋅⋅+-+-+-= )()11(∞→∞→-+=n n , 所以级数发散.(2) )12)(12(1 751531311⋅⋅⋅++-+⋅⋅⋅+⋅+⋅+⋅n n ; 解 因为)12)(12(1751531311+-+⋅⋅⋅+⋅+⋅+⋅=n n s n)121121(21 )7151(21)5131(21)3111(21+--+⋅⋅⋅+-+-+-=n n )121121 715151313111(21+--+⋅⋅⋅+-+-+-=n n)(21)1211(21∞→→+-=n n ,所以级数收敛.(3) 6sin 63sin 62sin 6sin ⋅⋅⋅+⋅⋅⋅+++ππππn .解 6sin 63sin 62sin 6sin ππππn s n ⋅⋅⋅+++=)6s i n12sin 2 62sin 12sin 26sin 12sin 2(12sin 21πππππππn +⋅⋅⋅++=)]1212cos 1212(cos )125cos 123(cos )123cos 12[(cos 12sin 21πππππππ+--+⋅⋅⋅+-+-=n n)1212cos 12(cos 12sin 21πππ+-=n .因为π1212cos lim +∞→n n 不存在, 所以n n s ∞→lim 不存在, 因而该级数发散.4. 判定下列级数的收敛性:(1) 98)1( 9898983322⋅⋅⋅+-+⋅⋅⋅+-+-n n n ; 解 这是一个等比级数, 公比为98-=q , 于是198||<=q , 所以此级数收敛.(2) 31 916131⋅⋅⋅++⋅⋅⋅+++n;解 此级数是发散的, 这是因为如此级数收敛, 则级数 ) 31 916131(311⋅⋅⋅++⋅⋅⋅+++==∑∞=n n n也收敛, 矛盾.(3) 31 3131313⋅⋅⋅++⋅⋅⋅+++n ;解 因为级数的一般项)(013311∞→≠→==-n u n n n ,所以由级数收敛的必要条件可知, 此级数发散.(4)23 2323233322⋅⋅⋅++⋅⋅⋅+++nn ;解 这是一个等比级数, 公比123>=q , 所以此级数发散.(5) )3121( )3121()3121()3121(3322⋅⋅⋅+++⋅⋅⋅++++++nn . 解 因为∑∞=121n n 和∑∞=131n n 都是收敛的等比级数, 所以级数)3121( )3121()3121()3121()3121(33221⋅⋅⋅+++⋅⋅⋅++++++=+∑∞=n n n n n是收敛的.268页1. 用比较审敛法或极限形式的比较审敛法判定下列级数的收敛性:(1))12(1 51311⋅⋅⋅+-+⋅⋅⋅+++n ;解 因为211121lim =-∞→nn n , 而级数∑∞=11n n 发散, 故所给级数发散. (2) 11 313121211222⋅⋅⋅++++⋅⋅⋅+++++++n n ; 解 因为n n n n n n u n 111122=++>++=, 而级数∑∞=11n n发散, 故所给级数发散. (3))4)(1(1 631521⋅⋅⋅++++⋅⋅⋅+⋅+⋅n n ;解 因为145lim 1)4)(1(1lim222=++=++∞→∞→n n n nn n n n , 而级数∑∞=121n n 收敛, 故所给级数收敛. (4) 2sin 2sin 2sin 2sin32⋅⋅⋅++⋅⋅⋅+++nππππ;解 因为πππππ==∞→∞→n n n n n n 22sin lim 212sin lim , 而级数∑∞=121n n 收敛, 故所给级数收敛. (5)∑∞=>+1)0(11n na a. 解 因为⎪⎩⎪⎨⎧>=<<==+=+∞→∞→11 1 2110 0 1lim 111lim a a a l a a a a nn n n n n ,而当a >1时级数∑∞=11n n a 收敛, 当0<a ≤1时级数∑∞=11n n a发散, 所以级数∑∞=+111n na当a >1时收敛, 当0<a ≤1时发散. 2. 用比值审敛法判定下列级数的收敛性:(1)23 2332232133322⋅⋅⋅+⋅+⋅⋅⋅+⋅+⋅+⋅nn n ;解 级数的一般项为nn n n u 23⋅=. 因为123123lim322)1(3lim lim111>=+⋅=⋅⋅⋅+=∞→++∞→+∞→n n n n u u n n n n n n n n n ,所以级数发散.(2)∑∞=123n n n ; 解 因为131)1(31lim 33)1(lim lim 22121<=+⋅=⋅+=∞→+∞→+∞→nn n n u u n nn n n n n ,所以级数收敛.(3)∑∞=⋅1!2n nn nn ; 解 因为12)1(lim 2!2)1()!1(2lim lim 111<=+=⋅⋅++⋅=∞→++∞→+∞→e n n n n n n u u n n n n n n n n n n ,所以级数收敛. (4)∑∞=+112tann n n π.解 因为121221lim 2tan 2tan )1(limlim 12121<=⋅+=+=++∞→++∞→+∞→n n n n n n n n n n n n n u u ππππ, 所以级数收敛.269页5. 判定下列级数是否收敛?如果是收敛的, 是绝对收敛还是条件收敛? (1) 4131211⋅⋅⋅+-+-;解 这是一个交错级数∑∑∞=-∞=--=-11111)1()1(n n n n n n u , 其中n u n 1=.因为显然u n ≥u n +1, 并且0lim =∞→n n u , 所以此级数是收敛的.又因为∑∑∞=∞=-=-1111|)1(|n n n n nu 是p <1的p 级数, 是发散的,所以原级数是条件收敛的. (2)∑∞=---1113)1(n n n n ; 解∑∑∞=-∞=--=-111113|3)1(|n n n n n n n .因为131331lim 1<=+-∞→n n n n n , 所以级数∑∞=-113n nn 是收敛的, 从而原级数收敛, 并且绝对收敛. (3) 2131213121312131432⋅⋅⋅+⋅-⋅+⋅-⋅;解 这是交错级数∑∞=-⋅-112131)1(n n n , 并且∑∑∞=∞=-⋅=⋅-1112131|2131)1(|n n n n n . 因为级数∑∞=⋅12131n n是收敛的, 所以原级数也收敛, 并且绝对收敛.(4)5ln 14ln 13ln 12ln 1⋅⋅⋅+-+-; 解 这是交错级数∑∑∞=-∞=-+-=-1111)1ln()1()1(n n n n n n u , 其中)1ln(1+=n u n .因为u n ≥u n +1, 并且0lim =∞→n n u , 所以此级数是收敛的.又因为11)1ln(1+≥+n n , 而级数∑∞=+111n n 发散,故级数∑∑∞=∞=-+=-111)1ln(1|)1(|n n n n n u 发散, 从而原级数是条件收敛的.(5)∑∞=+-11!2)1(2n n n n .解 级数的一般项为!2)1(21n u n n n +-=.因为∞=⋅⋅⋅⋅⋅-⋅-⋅===∞→∞→∞→∞→122232 22122lim !)2(lim !2lim||lim 2n n n n n n n n n n n n n n n n n n u , 所以级数发散.277页 习题12-31. 求下列幂级数的收敛域:(1)x +2x 2+3x 3+ ⋅ ⋅ ⋅ +nx n + ⋅ ⋅ ⋅; 解 11lim ||lim 1=+=∞→+∞→nn a a n n n n , 故收敛半径为R =1. 因为当x =1时, 幂级数成为∑∞=1n n , 是发散的;当x =-1时, 幂级数成为∑∞=-1)1(n n n , 也是发散的,所以收敛域为(-1, 1).(2) )1( 21222⋅⋅⋅+-+⋅⋅⋅++-n x x x n n ;解 1)1(lim 1)1(1lim ||lim 22221=+=+=∞→∞→+∞→n n n n a a n n n n n , 故收敛半径为R =1. 因为当x =1时, 幂级数成为∑∞=-221)1(n nn , 是收敛的; 当x =-1时, 幂级数成为∑∞=+1211n n, 也是收敛的, 所以收敛域为[-1, 1].(3) )2( 42 64242232⋅⋅⋅+⋅⋅⋅⋅+⋅⋅⋅+⋅⋅+⋅+n x x x x n; 解 0)1(21lim )!1(2!2lim ||lim 11=+=⋅+⋅⋅=∞→+∞→+∞→n n n a a n n n n n n n , 故收敛半径为R =+∞, 收敛域为(-∞, +∞).(4)3 3332313322⋅⋅⋅+⋅+⋅⋅⋅+⋅+⋅+⋅nn n x x x x ;解 31131lim 3)1(3lim ||lim 11=+⋅=⋅+⋅=∞→+∞→+∞→n n n n a a n n n n n n n , 故收敛半径为R =3. 因为当x =3时, 幂级数成为∑∞=11n n , 是发散的; 当x =-3时, 幂级数成为∑∞=-11)1(n n n , 也是收敛的, 所以收敛域为[-3, 3).(5)12 102522223322⋅⋅⋅+++⋅⋅⋅+++n n x n x x x ;解 21)1(1lim 2211)1(2lim ||lim 222211=+++=+⋅++=∞→+∞→+∞→n n n n a a n n n n n n n , 故收敛半径为21=R .因为当21=x 时, 幂级数成为∑∞=+1211n n , 是收敛的;当x =-1时, 幂级数成为∑∞=+-1211)1(n n n , 也是收敛的, 所以收敛域为]21 ,21[-. (6)∑∞=++-11212)1(n n nn x ; 解 这里级数的一般项为12)1(12+-=+n x u n nn .因为212321|1232|lim ||lim x x n n x u u n n n n n n =+⋅+=++∞→+∞→, 由比值审敛法, 当x 2<1, 即|x |<1时, 幂级数绝对收敛; 当x 2>1, 即|x |>1时, 幂级数发散, 故收敛半径为R =1.因为当x =1时, 幂级数成为∑∞=+-1121)1(n n n , 是收敛的; 当x =-1时, 幂级数成为∑∞=++-11121)1(n n n , 也是收敛的, 所以收敛域为[-1, 1].(7)∑∞=--122212n n nx n ; 解 这里级数的一般项为22212--=n nn x n u . 因为22212121|)12(22)12(|lim ||lim x xn x n u u n n n n n n n n =-⋅+=-+∞→+∞→, 由比值审敛法, 当1212<x , 即2||<x 时, 幂级数绝对收敛; 当1212>x , 即2||>x 时, 幂级数发散, 故收敛半径为2=R .因为当2±=x 时, 幂级数成为∑∞=-1212n n , 是发散的, 所以收敛域为)2 ,2(-.(8)∑∞=-1)5(n nn x .解 11lim ||lim 1=+=∞→+∞→n n a a n n n n , 故收敛半径为R =1, 即当-1<x -5<1时级数收敛, 当|x -5|>1时级数发散.因为当x -5=-1, 即x =4时, 幂级数成为∑∞=-1)1(n nn , 是收敛的; 当x -5=1, 即x =6时, 幂级数成为∑∞=11n n, 是发散的, 所以收敛域为[4, 6).2. 利用逐项求导或逐项积分, 求下列级数的和函数: (1)∑∞=-11n n nx ;解 设和函数为S (x ), 即∑∞=-=11)(n n nx x S , 则][][])([)(1010110'='='=∑⎰⎰∑⎰∞=-∞=-n xn x n n xdx nx dx nx dx x S x S)11( )1(1]111[][21<<--='--='=∑∞=x x x x n n . (2)∑∞=++11414n n n x ; 解 设和函数为S (x ), 即∑∞=++=11414)(n n n x x S , 则dx x dx n x dx x S S x S x n n x n n x ⎰∑⎰∑⎰∞=∞=+='+='+=01401140]14[)()0()( ⎰⎰-⋅++⋅+-=--=x xdx x x dx x 02204)112111211()111( )11( arctan 2111ln 41<<--+-+=x x x x x . 提示: 由)0()()(0S x S dx x S x -='⎰得⎰'+=xdx x S S x S 0)()0()(.(3)⋅⋅⋅+-+⋅⋅⋅+++- 12 531253n x x x x n . 解 设和函数为S (x ), 即⋅⋅⋅+-+⋅⋅⋅+++=-=-∞=-∑ 12 5312)(1253112n x x x x n x x S n n n , 则 ⎰∑⎰∑⎰∞=-∞=-='-='+=x n n x n n x dx x dx n x dx x S S x S 012201120]12[)()0()( )11( 11ln 211102<<--+=-=⎰x x x dx x x . 提示: 由)0()()(0S x S dx x S x -='⎰得⎰'+=x dx x S S x S 0)()0()(.285页 2. 将下列函数展开成x 的幂级数, 并求展开式成立的区间:(1)2sh x x e e x --=; 解 因为 ∑∞==0!n n xn x e , x ∈(-∞, +∞), 所以 ∑∞=--=0!)1(n n n x n x e , x ∈(-∞, +∞), 故 ∑∑∑∑∞=-∞=∞=∞=-=--=--=012000)!12(!])1(1[21]!)1(![21sh n n n n n n n n n n n x n x n x n x x , x ∈(-∞, +∞).(2)ln(a +x )(a >0);解 因为)1ln(ln )1(ln )ln(ax a a x a x a ++=+=+,∑∞=++-=+011)1()1ln(n n n n x x (-1<x ≤1), 所以 ∑∑∞=++∞=++-+=+-+=+01101)1()1(ln )(11)1(ln )ln(n n n n n n na n x a a x n a x a (-a <x ≤a ). (3)a x ;解 因为∑∞==0!n n x n x e , x ∈(-∞, +∞), 所以 ∑∑∞=∞=====00ln !)(ln !)ln (n n n n n x a x x x n a n a x e ea , x ∈(-∞, +∞), (4)sin 2x ; 解 因为x x 2cos 2121sin 2-=,∑∞=-=02)!2()1(cos n n n n x x , x ∈(-∞, +∞), 所以 ∑∑∞=-∞=⋅-=--=1212022)!2(2)1()!2()2()1(2121sin n n n n n n n n x n x x x ∈(-∞, +∞). (5)(1+x )ln(1+x );解 因为∑∞=++-=+011)1()1ln(n n n n x x (-1<x ≤1), 所以 ∑∞=++-+=++011)1()1()1ln()1(n n nn x x x x ∑∑∞=+∞=++-++-=02011)1(1)1(n n n n n n n x n x ∑∑∞=++∞=+-++-+=11111)1(1)1(n n n n n n n x n x x 111])1(1)1([+∞=+∑-++-+=n n n n x n n x 111)1()1(+∞=-∑+-+=n n n x n n x (-1<x ≤1). (6)21x x +. 解 因为∑∞=--+=+122/12!)!2(!)!12()1(1)1(1n n n x n n x (-1≤x ≤1),所以 ∑∑∞=+∞=+⋅-+=--+=+11221122)2()!()!2(2)1(!)!2(!)!12()1(1n n n n n n x n n x x n n x xx (-1≤x ≤1).。
(完整word版)高数答案(下)习题册答案第六版下册同济大学数学系编高数答案(下)习题册答案第六版下册同济大学数学系编第八章多元函数的微分法及其应用§ 1 多元函数概念一、设f(x,y)x2y2,(x,y)x2y2,求:f[(x,y),y2]. 答案:f((x,y),y2)(x2y2)2y4x42x2y22y4二、求下列函数的定义域:x2(1y)221、f(x,y){(x,y)|y x1}; 221x yy2、z arcsin {(x,y)|y x,x0}; x三、求下列极限:x2siny 1、lim (0)2(x,y)(0,0)2x y2、y(1)3x (e6) (x,y)(,2)xlimx2y四、证明极限lim不存在. 2(x,y)(0,0)4x y证明:当沿着x轴趋于(0,0)时,极限为零,当沿着y x趋于(0,0)时,极限为二者不相等,所以极限不存在21, 21,(x,y)(0,0)xysin22五、证明函数f(x,y)在整个xoy面上连续。
x y0,(x,y)(0,0)证明:当(x,y)(0,0)时,f(x,y)为初等函数,连续。
当(x,y)(0,0)时,1xysi0f(0,0),所以函数在(0,0)也连续。
所以函数(x,ylim)(0,0)22x y在整个xoy面上连续。
六、设z x y2f(x y)且当y=0时z x2,求f(x)及z的表达式. 解:f(x)=x2x,z x22y22xy y§ 2 偏导数y z z xy z 1、设z=xy xex ,验证x y x yzy z z z y ex ex,x ex,x y xy xy xex xy z 证明:xx y x yyyyyz x2y212、求空间曲线:在点(,,1)处切线与y轴正向夹角() 1y224 2x23、设f(x,y)xy(y1)arcsin, 求fx(x,1) ( 1) y4、设u x, 求zzy u u u ,,y x zzz uz u1y uzy12xylnx xlnx x 解:,y zy xyy 2u2u2u2 5、设u x y z,证明: x2y2z2u6、判断下面的函数在(0,0) 处是否连续?是否可导(偏导)?说明理由222122xsin,x y022f(x,y)x y220,x y0100 limf(x,y)0f(0,0) 连续;fx(0,0)lim fy(0,0)limsi2 不存在,0 x0y0x0y0xy07、设函数f(x,y)在点(a,b)处的偏导数存在,求limx0f(a x,b)f(a x,b) x(2fx(a,b))§ 3 全微分1、单选题(1)二元函数f(x,y)在点(x,y)处连续是它在该点处偏导数存在的__________(A) 必要条件而非充分条件(B)充分条件而非必要条件(C)充分必要条件(2)对于二元函数f(x,y),下列有关偏导数与全微分关系中正确的是___(A) 偏导数不连续,则全微分必不存在(C)全微分存在,则偏导数必连续(D)全微分存在,而偏导数不一定存在2、求下列函数的全微分:yyy11)z ex dz ex(2dx dy) xx22 2)z sin(xy) 解:dz cos(xy)(y2dx2xydy)yz11y 3)u x 解:du xdx xzlnxdy2xzlnxdz zzzyzyyy3、设z ycos(x2y),求dz(0,)4解:dz ysin(x2y)dx(cos(x2y)2ysin(x2y))dy dz|(0,4)=4dx2dy4、设f(x,y,z)z1(2dx4dy5dz) 求:df(1,2,1)2225x y122(x y)sin5、讨论函数f(x,y)x2y20,,(x,y)(0,0)(x,y)(0,0)在(0,0)点处的连续性、偏导数、可微性1(x2y2)sin0f(0,0) 所以f(x,y)在(0,0)点处连续。
习题9-11. 设有一平面薄板(不计其厚度), 占有xOy 面上的闭区域D , 薄板上分布有密度为μ =μ(x , y )的电荷, 且μ(x , y )在D 上连续, 试用二重积分表达该板上全部电荷Q .解 板上的全部电荷应等于电荷的面密度μ(x , y )在该板所占闭区域D 上的二重积分⎰⎰=Dd y x Q σμ),(.2. 设⎰⎰+=13221)(D d y x I σ, 其中D 1={(x , y )|-1≤x ≤1, -2≤y ≤2};又⎰⎰+=23222)(D d y x I σ, 其中D 2={(x , y )|0≤x ≤1, 0≤y ≤2}.试利用二重积分的几何意义说明I 1与I 2的关系.解 I 1表示由曲面z =(x 2+y 2)3与平面x =±1, y =±2以及z =0围成的立体V 的体积.I 2表示由曲面z =(x 2+y 2)3与平面x =0, x =1, y =0, y =2以及z =0围成的立体V 1的体积.显然立体V 关于yOz 面、xOz 面对称, 因此V 1是V 位于第一卦限中的部分, 故V =4V 1, 即I 1=4I 2.3. 利用二重积分的定义证明: (1)⎰⎰=Dd σσ (其中σ为D 的面积);证明 由二重积分的定义可知,⎰⎰∑=→∆=Dni iiif d y x f 1),(lim ),(σηξσλ其中∆σi 表示第i 个小闭区域的面积. 此处f (x , y )=1, 因而f (ξ, η)=1, 所以,σσσσλλ==∆=→=→⎰⎰∑01lim lim Dni id .(2)⎰⎰⎰⎰=DDd y x f k d y x kf σσ),(),( (其中k 为常数);证明∑⎰⎰∑=→=→∆=∆=ni i i i Dni iiif k kf d y x kf 11),(lim ),(lim ),(σηξσηξσλλ⎰⎰∑=∆==→Dn i i i i d y x f k f k σσηξλ),(),(lim 10. (3)⎰⎰⎰⎰⎰⎰+=21),(),(),(D DD d y x f d y x f d y x f σσσ,其中D =D 1⋃D 2, D 1、D 2为两个无公共内点的闭区域.证明 将D 1和D 2分别任意分为n 1和n 2个小闭区域1i σ∆和2i σ∆, n 1+n 2=n , 作和∑∑∑===∆+∆=∆2222211111111),(),(),(n i i i i n i i i i ni iiif f f σηξσηξσηξ.令各1i σ∆和2i σ∆的直径中最大值分别为λ1和λ2, 又λ=ma x (λ1λ2), 则有∑=→∆ni i i i f 10),(lim σηξλ∑∑=→=→∆+∆=22222211111111),(lim ),(lim n i i i i n i i i i f f σηξσηξλλ,即 ⎰⎰⎰⎰⎰⎰+=21),(),(),(D D Dd y x f d y x f d y x f σσσ.4. 根据二重积分的性质, 比较下列积分大小:(1)⎰⎰+Dd y x σ2)(与⎰⎰+Dd y x σ3)(, 其中积分区域D 是由x 轴, y 轴与直线x +y =1所围成;解 区域D 为: D ={(x , y )|0≤x , 0≤y , x +y ≤1}, 因此当(x , y )∈D 时, 有(x +y )3≤(x +y )2, 从而⎰⎰+Dd y x σ3)(≤⎰⎰+Dd y x σ2)(. (2)⎰⎰+Dd y x σ2)(与⎰⎰+Dd y x σ3)(, 其中积分区域D 是由圆周(x -2)2+(y -1)2=2所围成;解 区域D 如图所示, 由于D 位于直线x +y =1的上方, 所以当(x , y )∈D 时, x +y ≥1, 从而(x +y )3≥(x +y )2, 因而⎰⎰⎰⎰+≤+DDd y x d y x σσ32)()(. (3)⎰⎰+Dd y x σ)ln(与⎰⎰+Dd y x σ3)(, 其中D 是三角形闭区域, 三角顶点分别为(1, 0), (1, 1), (2, 0);解 区域D 如图所示, 显然当(x , y )∈D 时, 1≤x +y ≤2, 从而0≤ln(x +y )≤1, 故有[ln(x +y )]2≤ ln(x +y ), 因而⎰⎰⎰⎰+≥+DDd y x d y x σσ)ln()][ln(2. (4)⎰⎰+Dd y x σ)ln(与⎰⎰+Dd y x σ3)(, 其中D ={(x , y )|3≤x ≤5. 0≤y ≤1}.解 区域D 如图所示, 显然D 位于直线x +y =e 的上方, 故当(x , y )∈D 时, x +y ≥e , 从而ln(x +y )≥1, 因而 [ln(x +y )]2≥ln(x +y ), 故⎰⎰⎰⎰+≤+DDd y x d y x σσ2)][ln()ln(. 5. 利用二重积分的性质估计下列积分的值: (1)⎰⎰+=Dd y x xy I σ)(, 其中D ={(x , y )| 0≤x ≤1, 0≤y ≤1};解 因为在区域D 上0≤x ≤1, 0≤y ≤1, 所以 0≤xy ≤1, 0≤x +y ≤2, 进一步可得0≤xy (x +y )≤2, 于是⎰⎰⎰⎰⎰⎰≤+≤DDDd d y x xy d σσσ2)(0,即 ⎰⎰≤+≤Dd y x xy 2)(0σ.(2)⎰⎰=Dyd x I σ22sin sin , 其中D ={(x , y )| 0≤x ≤π, 0≤y ≤π};解 因为0≤sin 2x ≤1, 0≤sin 2y ≤1, 所以0≤sin 2x sin 2y ≤1. 于是⎰⎰⎰⎰⎰⎰≤≤DDDd yd x d σσσ1sin sin 022, 即 ⎰⎰≤≤Dyd x 222sin sin 0πσ.(3)⎰⎰++=Dd y x I σ)1(, 其中D ={(x , y )| 0≤x ≤1, 0≤y ≤2};解 因为在区域D 上, 0≤x ≤1, 0≤y ≤2, 所以1≤x +y +1≤4, 于是⎰⎰⎰⎰⎰⎰≤++≤DDDd d y x d σσσ4)1(,即 ⎰⎰≤++≤Dd y x 8)1(2σ.(4)⎰⎰++=Dd y x I σ)94(22, 其中D ={(x , y )| x 2+y 2 ≤4}.解 在D 上, 因为0≤x 2+y 2≤4, 所以 9≤x 2+4y 2+9≤4(x 2+y 2)+9≤25. 于是⎰⎰⎰⎰⎰⎰≤++≤DDDd d y x d σσσ25)94(922, ⎰⎰⋅⋅≤++≤Dd y x 2222225)94(29πσπ,即 ⎰⎰≤++≤Dd y x πσπ100)94(3622.习题9-21. 计算下列二重积分:(1)⎰⎰+Dd y x σ)(22, 其中D ={(x , y )| |x |≤1, |y |≤1};解 积分区域可表示为D : -1≤x ≤1, -1≤y ≤1. 于是⎰⎰+Dd y x σ)(22y d y x dx ⎰⎰--+=111122)(x d y y x ⎰--+=111132]31[ x d x ⎰-+=112)312(113]3232[-+=x x 38=. (2)⎰⎰+Dd y x σ)23(, 其中D 是由两坐标轴及直线x +y =2所围成的闭区域:解 积分区域可表示为D : 0≤x ≤2, 0≤y ≤2-x . 于是⎰⎰+Dd y x σ)23(y d y x dx x⎰⎰-+=2020)23(dx y xy x ⎰-+=222]3[ dx x x ⎰-+=202)224(0232]324[x x x -+=320=. (3)⎰⎰++Dd y y x x σ)3(223, 其中D ={(x , y )| 0≤x ≤1, 0≤y ≤1};解⎰⎰++Dd y y x x σ)3(323⎰⎰++=1032310)3(dx y y x x dy ⎰++=1001334]4[dy x y y x x⎰++=103)41(dy y y 0142]424[y y y ++=1412141=++=.(4)⎰⎰+Dd y x x σ)cos(, 其中D 是顶点分别为(0, 0), (π, 0), 和(π, π)的三角形闭区域.解 积分区域可表示为D : 0≤x ≤π, 0≤y ≤x . 于是,⎰⎰+D d y x x σ)cos(⎰⎰+=x dy y x xdx 00)cos(π⎰+=π)][sin(dx y x x x⎰-=π0)sin 2(sin dx x x x ⎰--=π0)cos 2cos 21(x x xd+--=0|)cos 2cos 21(πx x x dx x x ⎰-π0)cos 2cos 21(π23-=. .2. 画出积分区域, 并计算下列二重积分:(1)⎰⎰Dd y x σ, 其中D 是由两条抛物线x y =, 2x y =所围成的闭区域;解 积分区域图如, 并且D ={(x , y )| 0≤x ≤1, x y x ≤≤2}. 于是⎰⎰D d y xσ⎰⎰=102dy y x dx xx⎰=10223]32[dx y x x x 556)3232(10447=-=⎰dx x x .(2)⎰⎰Dd xy σ2, 其中D 是由圆周x 2+y 2=4及y 轴所围成的右半闭区域; 解 积分区域图如, 并且D ={(x , y )| -2≤y ≤2, 240y x -≤≤}. 于是⎰⎰⎰⎰⎰----=22402240222222]21[dy y x dx xy dy d xy y y Dσ1564]10132[)212(22225342=-=-=--⎰y y dy y y . (3)⎰⎰+Dy x d e σ, 其中D ={(x , y )| |x |+|y |≤1};解 积分区域图如, 并且D ={(x , y )| -1≤x ≤0, -x -1≤y ≤x +1}⋃{(x , y )| 0≤x ≤1, x -1≤y ≤-x +1}. 于是⎰⎰⎰⎰⎰⎰+--+---++=11101101x x y x x x y x Dy x dy e dx e dy e dx e d e σ⎰⎰+---+--+=1110111][][dy e e dx e e x x y x x x y x ⎰⎰---+-+-=11201112)()(dx e e dx e ex x 101201112]21[]21[---+-+-=x x e ex x e e =e -e -1. (4)⎰⎰-+Dd x y x σ)(22, 其中D 是由直线y =2, y =x 及y =2x 轴所围成的闭区域.解 积分区域图如, 并且D ={(x , y )| 0≤y ≤2, y x y ≤≤21}. 于是⎰⎰⎰⎰⎰-+=-+=-+2022232222022]2131[)()(dy x x y x dx x y x dy d x y x y y y y Dσ613)832419(2023=-=⎰dy y y .3. 如果二重积分⎰⎰Ddxdy y x f ),(的被积函数f (x , y )是两个函数f 1(x )及f 2(y )的乘积,即f (x , y )= f 1(x )⋅f 2(y ), 积分区域D ={(x , y )| a ≤x ≤b , c ≤ y ≤d }, 证明这个二重积分等于两个单积分的乘积, 即 ])([])([)()(2121dy y f dx x f dxdy y f x f dcb aD⎰⎰⎰⎰⋅=⋅证明dx dy y f x f dy y f x f dx dxdy y f x f dcb a d cb aD⎰⎰⎰⎰⎰⎰⋅=⋅=⋅])()([)()()()(212121,而 ⎰⎰=⋅dcdcdy y f x f dy y f x f )()()()(2121,故dx dy y f x f dxdy y f x f b adcD⎰⎰⎰⎰=⋅])()([)()(2121.由于⎰dcdy y f )(2的值是一常数, 因而可提到积分号的外面, 于是得])([])([)()(2121dy y f dx x f dxdy y f x f dcb a D⎰⎰⎰⎰⋅=⋅4. 化二重积分⎰⎰=Dd y x f I σ),(为二次积分(分别列出对两个变量先后次序不同的两个二次积分), 其中积分区域D 是:(1)由直线y =x 及抛物线y 2=4x 所围成的闭区域; 解积分区域如图所示, 并且D ={(x , y )|x y x x 2 ,40≤≤≤≤}, 或D ={(x , y )| y x y y ≤≤≤≤241 ,40},所以 ⎰⎰=xxdy y x f dx I 240),(或⎰⎰=yy dx y x f dy I 4402),(.(2)由x 轴及半圆周x 2+y 2=r 2(y ≥0)所围成的闭区域; 解积分区域如图所示, 并且D ={(x , y )|220 ,x r y r x r -≤≤≤≤-},或D ={(x , y )| 2222 ,0y r x y r r y -≤≤--≤≤}, 所以 ⎰⎰--=220),(x r rr dy y x f dx I , 或⎰⎰---=2222),(0y r y r r dx y x f dy I .(3)由直线y =x , x =2及双曲线x y 1=(x >0)所围成的闭区域;解积分区域如图所示, 并且D ={(x , y )|x y xx ≤≤≤≤1 ,21},或D ={(x , y )| 21 ,121≤≤-≤≤x y y }⋃{(x , y )|2 ,21≤≤≤≤x y y },所以 ⎰⎰=x xdy y x f dx I 1),(21, 或⎰⎰⎰⎰+=22121121),(),(yydx y x f dy dx y x f dy I .(4)环形闭区域{(x , y )| 1≤x 2+y 2≤4}.解 如图所示, 用直线x =-1和x =1可将积分区域D 分成四部分, 分别记做D 1, D 2,D 3, D 4. 于是⎰⎰⎰⎰⎰⎰⎰⎰+++=4321),(),(),(),(D D D D d y x f d y x f d y x f d y x f I σσσσ⎰⎰⎰⎰--------+=222244411112),(),(x x x x dy y x f dx dy y x f dx ⎰⎰⎰⎰--------++222214442111),(),(x x x x dy y x f dx dy y x f dx用直线y =1, 和y =-1可将积分区域D 分成四部分, 分别记做D 1, D 2, D 3, D 4, 如图所示. 于是⎰⎰⎰⎰⎰⎰⎰⎰+++=4321),(),(),(),(D D D D d y x f d y x f d y x f d y x f I σσσσ⎰⎰⎰⎰--------+=222244141121),(),(y y y y dx y x f dy dx y x f dy⎰⎰⎰⎰--------++222241441211),(),(y y y y dx y x f dy dx y x f dy5. 设f (x , y )在D 上连续, 其中D 是由直线y =x 、y =a 及x =b (b >a )围成的闭区域, 证明:⎰⎰⎰⎰=bybaxabadx y x f dy dy y x f dx ),(),(.证明 积分区域如图所示, 并且积分区域可表示为 D ={(x , y )|a ≤x ≤b , a ≤y ≤x }, 或D ={(x , y )|a ≤y ≤b , y ≤x ≤b }. 于是⎰⎰Dd y x f σ),(⎰⎰=x a b a dy y x f dx ),(, 或⎰⎰Dd y x f σ),(⎰⎰=by b a dx y x f dy ),(.因此⎰⎰⎰⎰=byb ax abadx y x f dy dy y x f dx ),(),(.6. 改换下列二次积分的积分次序: (1)⎰⎰ydx y x f dy 01),(;解 由根据积分限可得积分区域D ={(x , y )|0≤y ≤1, 0≤x ≤y }, 如图. 因为积分区域还可以表示为D ={(x , y )|0≤x ≤1, x ≤y ≤1}, 所以⎰⎰⎰⎰=1101),(),(xy dy y x f dx dx y x f dy .(2)⎰⎰y ydx y x f dy 2202),(;解 由根据积分限可得积分区域D ={(x , y )|0≤y ≤2, y 2≤x ≤2y }, 如图. 因为积分区域还可以表示为D ={(x , y )|0≤x ≤4, x y x ≤≤2}, 所以⎰⎰y ydx y x f dy 222),(⎰⎰=402),(xx dy y x f dx .(3)⎰⎰---221110),(y y dx y x f dy ;解 由根据积分限可得积分区域}11 ,10|),{(22y x y y y x D -≤≤--≤≤=, 如图. 因为积分区域还可以表示为}10 ,11|),{(2x y x y x D -≤≤≤≤-=, 所以⎰⎰⎰⎰-----=22210111110),(),(x y ydy y x f dx dx y x f dy(4)⎰⎰--21222),(x x xdy y x f dx ;解 由根据积分限可得积分区域}22 ,21|),{(2x x y x x y x D -≤≤-≤≤=, 如图. 因为积分区域还可以表示为}112 ,10|),{(2y x y y y x D -+≤≤-≤≤=, 所以⎰⎰--21222),(x x x dy y x f dx ⎰⎰-+-=11122),(y ydx y x f dy .(5)⎰⎰e xdy y x f dx 1ln 0),(;解 由根据积分限可得积分区域D ={(x , y )|1≤x ≤e , 0≤y ≤ln x }, 如图. 因为积分区域还可以表示为D ={(x , y )|0≤y ≤1, e y ≤x ≤ e }, 所以⎰⎰e xdy y x f dx 1ln 0),(⎰⎰=10),(eey dx y x f dy(6)⎰⎰-xxdy y x f dx sin 2sin 0),(π(其中a ≥0).解 由根据积分限可得积分区域}sin 2sin ,0|),{(x y x x y x D ≤≤-≤≤=π, 如图.因为积分区域还可以表示为}arcsin 2 ,01|),{(π≤≤-≤≤-=x y y y x D}arcsin arcsin ,10|),{(y x y y y x -≤≤≤≤⋃π, 所以⎰⎰⎰⎰⎰⎰----+=yyyxxdx y x f dy dx y x f dy dy y x f dx arcsin arcsin 10arcsin 201sin 2sin 0),(),(),(πππ.7. 设平面薄片所占的闭区域D 由直线x +y =2, y =x 和x 轴所围成, 它的面密度为μ(x , y )=x 2+y 2, 求该薄片的质量. 解 如图, 该薄片的质量为⎰⎰=D d y x M σμ),(⎰⎰+=Dd y x σ)(22⎰⎰-+=10222)(yydx y x dy⎰-+-=10323]372)2(31[dy y y y 34=.8. 计算由四个平面x =0, y =0, x =1, y =1所围成的柱体被平面z =0及2x +3y +z =6截得的立体的体积.解 四个平面所围成的立体如图, 所求体积为 ⎰⎰--=Ddxdy y x V )326(⎰⎰--=101)326(dy y x dx⎰--=10102]2326[dx y xy y ⎰=-=1027)229(dx x .9. 求由平面x =0, y =0, x +y =1所围成的柱体被平面z =0及抛物面x 2+y 2=6-z 截得的立体的体积.解 立体在xOy 面上的投影区域为D ={(x , y )|0≤x ≤1, 0≤y ≤1-x }, 所求立体的体积为以曲面z =6-x 2-y 2为顶, 以区域D 为底的曲顶柱体的体积, 即⎰⎰--=Dd y x V σ)6(22⎰⎰---=101022)6(xdy y x dx 617=.10. 求由曲面z =x 2+2y 2及z =6-2x 2-y 2所围成的立体的体积.解 由⎩⎨⎧--=+=2222262y x z y x z 消去z , 得x 2+2y 2=6-2x 2-y 2, 即x 2+y 2=2, 故立体在x O y 面上的投影区域为x 2+y 2≤2, 因为积分区域关于x 及y 轴均对称, 并且被积函数关于x , y都是偶函数, 所以⎰⎰+---=Dd y x y x V σ)]2()26[(2222⎰⎰--=Dd y x σ)336(22⎰⎰---=2202220)2(12x dy y x dx π6)2(8232=-=⎰dx x .11. 画出积分区域, 把积分⎰⎰Ddxdy y x f ),(表示为极坐标形式的二次积分, 其中积分区域D 是:(1){(x , y )| x 2+y 2≤a 2}(a >0);解积分区域D 如图. 因为D ={(ρ, θ)|0≤θ≤2π, 0≤ρ≤a }, 所以⎰⎰⎰⎰=D Dd d f dxdy y x f θρρθρθρ)sin ,cos (),(⎰⎰=πρρθρθρθ20)sin ,cos (d f d a.(2){(x , y )|x 2+y 2≤2x };解 积分区域D 如图. 因为}cos 20 ,22|),{(θρπθπθρ≤≤≤≤-=D , 所以⎰⎰⎰⎰=DDd d f dxdy y x f θρρθρθρ)sin ,cos (),(⎰⎰-=22cos 20)sin ,cos (ππθρρθρθρθd f d .(3){(x , y )| a 2≤x 2+y 2≤b 2}, 其中0<a <b ;解 积分区域D 如图. 因为D ={(ρ, θ)|0≤θ≤2π, a ≤ρ≤b }, 所以⎰⎰⎰⎰=D Dd d f dxdy y x f θρρθρθρ)sin ,cos (),(⎰⎰=πρρθρθρθ20)sin ,cos (bad f d .(4){(x , y )| 0≤y ≤1-x , 0≤x ≤1}.解 积分区域D 如图. 因为}sin cos 10 ,20|),{(θθρπθθρ+≤≤≤≤=D , 所以⎰⎰⎰⎰=DDd d f dxdy y x f θρρθρθρ)sin ,cos (),(⎰⎰+=θθρρθρθρθπsin cos 1020)sin ,cos (d f d .12. 化下列二次积分为极坐标形式的二次积分: (1)⎰⎰11),(dy y x f dx ;解 积分区域D 如图所示. 因为}csc 0 ,24|),{(}sec 0 ,40|),{(θρπθπθρθρπθθρ≤≤≤≤⋃≤≤≤≤=D ,所以⎰⎰⎰⎰⎰⎰==DDd d f d y x f dy y x f dx θρρθρθρσ)sin ,cos (),(),(0⎰⎰=4sec 0)sin ,cos (πθρρθρθρθd f d ⎰⎰+24csc 0)sin ,cos (ππθρρθρθρθd f d .(2)⎰⎰+xxdy y x f dx 3222)(;解 积分区域D 如图所示, 并且 }sec 20 ,34|),{(θρπθπθρ≤≤≤≤=D ,所示⎰⎰⎰⎰⎰⎰=+=+xxDDd d f d y x f dy y x f dx 3222220)()()(θρρρσ⎰⎰=34sec 20)(ππθρρρθd f d .(3)⎰⎰--2111),(x xdy y x f dx ;解 积分区域D 如图所示, 并且}1sin cos 1 ,20|),{(≤≤+≤≤=ρθθπθθρD ,所以⎰⎰⎰⎰⎰⎰--==10112)sin ,cos (),(),(x xDDd d f d y x f dy y x f dx θρρθρθρσ⎰⎰+=2sin cos 101)sin ,cos (πθθρρθρθρθd f d(4)⎰⎰21),(x dy y x f dx .解 积分区域D 如图所示, 并且}sec tan sec ,40|),{(θρθθπθθρ≤≤≤≤=D ,所以⎰⎰210),(x dy y x f dx ⎰⎰⎰⎰==DDd d f d y x f θρρθρθρσ)sin ,cos (),(⎰⎰=40sec tan sec )sin ,cos (πθθθρρθρθρθd f d13. 把下列积分化为极坐标形式, 并计算积分值: (1)⎰⎰-+2202220)(x ax ady y x dx ;解 积分区域D 如图所示. 因为}cos 20 ,20|),{(θρπθθρa D ≤≤≤≤=, 所以⎰⎰-+2202220)(x ax ady y x dx ⎰⎰⋅=Dd d θρρρ2⎰⎰⋅=20cos 202πθρρρθa d d ⎰=2044cos 4πθθd a 443a π=.(2)⎰⎰+dy y x dx 0220;解 积分区域D 如图所示. 因为}sec 0 ,40|),{(θρπθθρa D ≤≤≤≤=, 所以⎰⎰⎰⎰⋅=+Dxad d dy y x dx θρρρ0220⎰⎰⋅=40sec 0πθρρρθa d d ⎰=4033sec 3πθθd a )]12ln(2[63++=a .(3)⎰⎰-+xxdy y xdx 2212210)(;解 积分区域D 如图所示. 因为}tan sec 0 ,40|),{(θθρπθθρ≤≤≤≤=D , 所以⎰⎰⎰⎰⋅=+--Dxx d d dy y xdx θρρρ212122102)(12tan sec 40tan sec 02140-==⋅=⎰⎰⎰-πθθπθθθρρρθd d d .(4)⎰⎰-+220220)(y a a dx y x dy .解 积分区域D 如图所示. 因为}0 ,20|),{(a D ≤≤≤≤=ρπθθρ, 所以⎰⎰⎰⎰⋅=+-Dy a ad d dx y x dy θρρρ2022022)(420028a d d aπρρρθπ=⋅=⎰⎰.14. 利用极坐标计算下列各题: (1)⎰⎰+Dy xd e σ22,其中D 是由圆周x 2+y 2=4所围成的闭区域;解 在极坐标下D ={(ρ, θ)|0≤θ≤2π, 0≤ρ≤2}, 所以⎰⎰⎰⎰=+DDy x d d e d e θρρσρ222)1()1(2124420202-=-⋅==⎰⎰e e d e d ππρρθπρ. (2)⎰⎰++Dd y x σ)1ln(22,其中D 是由圆周x 2+y 2=1及坐标轴所围成的在第一象限内的闭区域;解 在极坐标下}10 ,20|),{(≤≤≤≤=ρπθθρD , 所以⎰⎰⎰⎰+=++DDd d d y x θρρρσ)1ln()1ln(222)12ln 2(41)12ln 2(212)1ln(2012-=-⋅=+=⎰⎰πρρρθπd d .(3)σd xyDarctan⎰⎰, 其中D 是由圆周x 2+y 2=4, x 2+y 2=1及直线y =0, y =x 所围成的第一象限内的闭区域.解 在极坐标下}21 ,40|),{(≤≤≤≤=ρπθθρD , 所以⎰⎰⎰⎰⎰⎰⋅=⋅=DDDd d d d d xyθρρθθρρθσ)arctan(tan arctan⎰⎰⋅=4021πρρθθd d ⎰⎰==40321643ππρρθθd d . 15. 选用适当的坐标计算下列各题:(1)dxdy yx D 22⎰⎰,其中D 是由直线x =2,y =x 及曲线xy =1所围成的闭区域.解 因为积分区域可表示为}1 ,21|),{(x y xx y x D ≤≤≤≤=, 所以dxdy yx D 22⎰⎰dy y dx x x x ⎰⎰=211221⎰-=213)(dx x x 49=.(2)⎰⎰++--Dd yx y x σ222211, 其中D 是由圆周x 2+y 2=1及坐标轴所围成的在第一象限内的闭区域;解 在极坐标下}10 ,20|),{(≤≤≤≤=ρπθθρD , 所以⎰⎰⎰⎰⋅+-=++--DD d d d y x y x θρρρρσ2222221111)2(811102220-=+-=⎰⎰ππρρρρθπd d .(3)⎰⎰+Dd y x σ)(22, 其中D 是由直线y =x , y =x +a , y =a , y =3a (a >0)所围成的闭区域;解 因为积分区域可表示为D ={(x , y )|a ≤y ≤3a , y -a ≤x ≤y }, 所以⎰⎰+D d y x σ)(22⎰⎰-+=a a ya y dx y x dy 322)(4332214)312(a dy a y a ay a a =+-=⎰.(4)σd y x D22+⎰⎰, 其中D 是圆环形闭区域{(x , y )| a 2≤x 2+y 2≤b 2}.解 在极坐标下D ={(ρ, θ)|0≤θ≤2π, a ≤ρ≤b }, 所以 σd y x D22+⎰⎰)(3233202a b dr r d b a -==⎰⎰πθπ.16. 设平面薄片所占的闭区域D 由螺线ρ=2θ上一段弧(20πθ≤≤)与直线2πθ=所围成, 它的面密度为μ(x , y )=x 2+y 2. 求这薄片的质量.解 区域如图所示. 在极坐标下}20 ,20|),{(θρπθθρ≤≤≤≤=D , 所以所求质量⎰⎰⎰⎰⋅==Dd d d y x M 20202),(πθρρρθσμ⎰==254404ππθθd .17. 求由平面y =0, y =kx (k >0), z =0以及球心在原点、半径为R 的上半球面所围成的在第一卦限内的立体的体积.解 此立体在xOy 面上的投影区域D ={(x , y )|0≤θ≤arctan k , 0≤ρ≤R }.⎰⎰--=D dxdy y x R V 222k R d R d k Rarctan 313arctan 0022=-=⎰⎰ρρρθ.18. 计算以xOy 平面上圆域x 2+y 2=ax 围成的闭区域为底, 而以曲面z =x 2+y 2为顶的曲顶柱体的体积.解 曲顶柱体在xOy 面上的投影区域为D ={(x , y )|x 2+y 2≤ax }. 在极坐标下}cos 0 ,22|),{(θρπθπθρa D ≤≤≤≤-=, 所以⎰⎰≤++=axy x dxdy y xV 22)(22πθθρρρθππθππ422cos 022442323cos 4a d a d d a ==⋅=⎰⎰⎰--. 习题9-31. 化三重积分dxdydz z y x f I ),,(Ω⎰⎰⎰=为三次积分, 其中积分区域Ω分别是:(1)由双曲抛物面xy =z 及平面x +y -1=0, z =0所围成的闭区域; 解 积分区域可表示为Ω={(x , y , z )| 0≤z ≤xy , 0≤y ≤1-x , 0≤x ≤1}, 于是 ⎰⎰⎰-=xyx dz z y x f dy dx I 01010),,(.(2)由曲面z =x 2+y 2及平面z =1所围成的闭区域; 解 积分区域可表示为}11 ,11 ,1|),,{(2222≤≤--≤≤--≤≤+=Ωx x y x z y x z y x , 于是 ⎰⎰⎰+----=111112222),,(y x x x dz z y x f dy dx I .(3)由曲面z =x 2+2y 2及z =2-x 2所围成的闭区域;解 曲积分区域可表示为}11 ,11 ,22|),,{(22222≤≤--≤≤---≤≤+=Ωx x y x x z y x z y x , 于是 ⎰⎰⎰-+----=22222221111),,(x y x x x dz z y x f dy dx I .提示: 曲面z =x 2+2y 2与z =2-x 2的交线在xOy 面上的投影曲线为x 2+y 2=1.(4)由曲面cz =xy (c >0), 12222=+by a x , z =0所围成的在第一卦限内的闭区域. 解 曲积分区域可表示为}0 ,0 ,0|),,{(22a x x a a b y c xyz z y x ≤≤-≤≤≤≤=Ω,于是 ⎰⎰⎰-=cxy abdz z y x f dy dx I x a a0),,(22.提示: 区域Ω的上边界曲面为曲面c z =xy , 下边界曲面为平面z =0.2. 设有一物体, 占有空间闭区域Ω={(x , y , z )|0≤x ≤1, 0≤y ≤1, 0≤z ≤1}, 在点(x , y , z )处的密度为ρ(x , y , z )=x +y +z , 计算该物体的质量.解 ⎰⎰⎰⎰⎰⎰++==Ω101010)(dz z y x dy dx dxdydz M ρ⎰⎰++=1010)21(dy y x dx⎰⎰+=++=1010102)1(]2121[dx x dx y y xy 23)1(21102=+=x .3. 如果三重积分dxdydz z y x f ),,(Ω⎰⎰⎰的被积函数f (x , y , z )是三个函数f 1(x )、f 2(y )、f 3(z )的乘积, 即f (x , y , z )= f 1(x )⋅f 2(y )⋅f 3(z ), 积分区域Ω={(x , y , z )|a ≤x ≤b , c ≤y ≤d , l ≤z ≤m }, 证明这个三重积分等于三个单积分的乘积, 即⎰⎰⎰⎰⎰⎰=Ωmldcbadz z f dy y f dx x f dxdydz z f y f x f )()()()()()(321321.证明dxdydz z f y f x f )()()(321Ω⎰⎰⎰dx dy dz z f y f x f b a d c ml]))()()(([321⎰⎰⎰=dx dy dz z f y f x f ba dc ml]))()()(([321⎰⎰⎰=⎰⎰⎰=mldcbadx dy y f dz z f x f )])()()()([(231dx x f dy y f dz z f b a mldc)]())()()([(123⎰⎰⎰=⎰⎰⎰=d cbam ldx x f dy y f dz z f )())()()((123 ⎰⎰⎰=dcmlbadz z f dy y f dx x f )()()(321.4. 计算dxdydz z xy 32Ω⎰⎰⎰, 其中Ω是由曲面z =xy , 与平面y =x , x =1和z =0所围成的闭区域.解 积分区域可表示为Ω={(x , y , z )| 0≤z ≤xy , 0≤y ≤x , 0≤x ≤1}, 于是dxdydz z xy 32Ω⎰⎰⎰⎰⎰⎰=xyxdz z dy y xdx 030210⎰⎰=xxy dy z y xdx 004210]4[⎰⎰=x dy y dx x 051054136412811012==⎰dx x .5. 计算3)1(z y x dxdydz+++Ω⎰⎰⎰, 其中Ω为平面x =0, y =0, z =0, x +y +z =1所围成的四面体. 解 积分区域可表示为Ω={(x , y , z )| 0≤z ≤1-x -y , 0≤y ≤1-x , 0≤x ≤1},于是 3)1(z y x dxdydz +++Ω⎰⎰⎰⎰⎰⎰---+++=y x x dz z y x dy dx 1031010)1(1 ⎰⎰--++=x dy y x dx 10210]81)1(21[dx x x ⎰+-+=10]8183)1(21[)852(ln 21-=.提示: ⎰⎰⎰Ω+++3)1(z y x dxdydz ⎰⎰⎰---+++=y x x dz z y x dy dx 1031010)1(1 ⎰⎰---+++-=xyx dy z y x dx 1010210])1(21[⎰⎰--++=x dy y x dx 10210]81)1(21[ dx y y x x -⎰-++-=1010]81)1(21[dx x x ⎰+-+=10]8183)1(21[ 102]16183)1ln(21[x x x +-+= )852(ln 21-=.6. 计算xyzdxdydz Ω⎰⎰⎰, 其中Ω为球面x 2+y 2+z 2=1及三个坐标面所围成的在第一卦限内的闭区域.解 积分区域可表示为}10 ,10 ,10|),,{(222≤≤-≤≤--≤≤=Ωx x y y x z z y x 于是xyzdxdydz Ω⎰⎰⎰⎰⎰⎰---=222101010x y x xyzdz dy dx⎰⎰---=210221)1(21x dy y x xy dx ⎰-=1022)1(81dx x x 481=.7. 计算xzdxdydz Ω⎰⎰⎰, 其中Ω是由平面z =0, z =y , y =1以及抛物柱面y =x 2所围成的闭区域.解 积分区域可表示为Ω={(x , y , z )| 0≤z ≤y , x 2≤y ≤1, -1≤x ≤1}, 于是xzdxdydz Ω⎰⎰⎰⎰⎰⎰-=yx zdz dy xdx 01112⎰⎰-=1211221x dy y xdx 0)1(61116=-=⎰-dx x x .8. 计算zdxdydz Ω⎰⎰⎰, 其中Ω是由锥面22y x R h z +=与平面z =h (R >0, h >0)所围成的闭区域.解 当0≤z ≤h 时, 过(0, 0, z )作平行于xOy 面的平面, 截得立体Ω的截面为圆D z :222)(z h R y x =+, 故D z的半径为z h R , 面积为222z h R π, 于是 zdxdydz Ω⎰⎰⎰=dxdy zdz zD h ⎰⎰⎰0⎰==h h R dz z h R 0223224ππ. 9. 利用柱面坐标计算下列三重积分:(1)zdv Ω⎰⎰⎰, 其中Ω是由曲面222y x z --=及z =x 2+y 2所围成的闭区域;解 在柱面坐标下积分区域Ω可表示为 0≤θ≤2π, 0≤ρ≤1, 222ρρ-≤≤z , 于是zdv Ω⎰⎰⎰⎰⎰⎰-=122022ρρπρρθzdz d d⎰--=1042)2(212ρρρρπdπρρρρπ127)2(1053=--=⎰d .(2)dv y x )(22+Ω⎰⎰⎰, 其中Ω是由曲面x 2+y 2=2z 及平面z =2所围成的闭区域.解 在柱面坐标下积分区域Ω可表示为0≤θ≤2π, 0≤ρ≤2, 222≤≤z ρ,于是dv y x)(22+Ω⎰⎰⎰dz d d θρρρ⋅=Ω⎰⎰⎰2⎰⎰⎰=22123202ρπρρθdz d d⎰⎰-=205320)212(ρρρθπd d ⎰==ππθ2031638d .10. 利用球面坐标计算下列三重积分:(1)dv z y x )(222++Ω⎰⎰⎰, 其中Ω是由球面x 2+y 2+z 2=1所围成的闭区域.解 在球面坐标下积分区域Ω可表示为 0≤θ≤2π, 0≤ϕ≤π, 0≤r ≤1,于是 dv z y x )(222++Ω⎰⎰⎰θϕϕd drd r sin 4⋅=Ω⎰⎰⎰⎰⎰⎰=104020sin dr r d d ππϕϕθπ54=.(2)zdv Ω⎰⎰⎰, 其中闭区域Ω由不等式x 2+y 2+(z -a )2≤a 2, x 2+y 2≤z 2 所确定.解 在球面坐标下积分区域Ω可表示为 ϕπϕπθcos 20 ,40 ,20a r ≤≤≤≤≤≤,于是 zdv Ω⎰⎰⎰θϕϕϕd drd r r sin cos 2⋅=Ω⎰⎰⎰⎰⋅=404)cos 2(41cos sin 2πϕϕϕϕπd a4405467cos sin 8a d a πϕϕϕππ==⎰.11. 选用适当的坐标计算下列三重积分:(1)xydv Ω⎰⎰⎰, 其中Ω为柱面x 2+y 2=1及平面z =1, z =0, x =0, y =0所围成的在第一卦限内的闭区域;解 在柱面坐标下积分区域Ω可表示为 10 ,10 ,20≤≤≤≤≤≤z ρπθ,于是 xydv Ω⎰⎰⎰dz d d θρρθρθρ⋅⋅=Ω⎰⎰⎰sin cos⎰⎰⎰==101032081cos sin dz d d ρρθθθπ.别解: 用直角坐标计算⎰⎰⎰Ωxydv ⎰⎰⎰-=1010102dz ydy xdx x ⎰⎰-=21010x ydy xdx ⎰-=103)22(dx x x 81]84[1042=-=x x . (2)dv z y x 222++Ω⎰⎰⎰, 其中Ω是由球面x 2+y 2+z 2=z 所围成的闭区域;解 在球面坐标下积分区域Ω可表示为 ϕπϕπθcos 0 ,20 ,20≤≤≤≤≤≤r ,于是dv z y x 222++Ω⎰⎰⎰⎰⎰⎰⋅=ϕππϕϕθcos 022020sin dr r r d d10cos 41sin 2204πϕϕϕππ=⋅=⎰d .(3)dv y x )(22+Ω⎰⎰⎰, 其中Ω是由曲面4z 2=25(x 2+y 2)及平面z =5所围成的闭区域;解 在柱面坐标下积分区域Ω可表示为 525 ,20 ,20≤≤≤≤≤≤z ρρπθ,于是dv y x )(22+Ω⎰⎰⎰⎰⎰⎰=52520320ρπρρθdz d dπρρρπ8)255(2203=-=⎰d .(4)dv y x )(22+Ω⎰⎰⎰, 其中闭区域Ω由不等式A z y x a ≤++≤<2220, z ≥0所确定.解 在球面坐标下积分区域Ω可表示为A r a ≤≤≤≤≤≤ ,20 ,20πϕπθ,于是 dv y x )(22+Ω⎰⎰⎰θϕϕθϕϕϕd drd r r r sin )sin sin cos sin (2222222+=Ω⎰⎰⎰)(154sin 55420320a A dr r d d Aa-==⎰⎰⎰πϕϕθππ.12. 利用三重积分计算下列由曲面所围成的立体的体积:(1)z =6-x 2-y 2及22y x z +=;解 在柱面坐标下积分区域Ω可表示为 0≤θ≤2 π, 0≤ρ≤2, ρ≤z ≤6-ρ2,于是 dz d d dv V θρρΩΩ⎰⎰⎰⎰⎰⎰==⎰⎰⎰-=262020ρρπρρθdz d d⎰=--=2032332)6(2πρρρρπd .(2)x 2+y 2+z 2=2az (a >0)及x 2+y 2=z 2(含有z 轴的部分); 解 在球面坐标下积分区域Ω可表示为ϕπϕπθcos 20 ,40 ,20a r ≤≤≤≤≤≤,于是 θϕϕd drd r dv V sin 2ΩΩ⎰⎰⎰⎰⎰⎰==⎰⎰⎰=ϕππϕϕθcos 2024020sin a dr r d d34033sin cos 382a d a πϕϕϕππ==⎰. (3)22y x z +=及z =x 2+y 2;解 在柱面坐标下积分区域Ω可表示为 0≤θ≤2π, 0≤ρ≤1, ρ2≤z ≤ρ,于是 6)(2103210202πρρρπρρθρρπ=-===⎰⎰⎰⎰⎰⎰⎰Ωd dz d d dv V .(4)225y x z --=及x 2+y 2=4z .解 在柱面坐标下积分区域Ω可表示为 22541 ,20 ,20ρρρπθ-≤≤≤≤≤≤z ,于是 ⎰⎰⎰-=22541220ρρπρρθdz d d V)455(32)45(22022-=--=⎰πρρρρπd .13. 球心在原点、半径为R 的球体, 在其上任意一点的密度的大小与这点到球心的距离成正比, 求这球体的质量.解 密度函数为222),,(z y x k z y x ++=ρ. 在球面坐标下积分区域Ω可表示为 0≤θ≤2π, 0≤ϕ≤π, 0≤r ≤R ,于是 dv z y x k M 222++=Ω⎰⎰⎰40220sin R k dr r kr d d Rπϕϕθππ=⋅=⎰⎰⎰.习题9-41. 求球面x 2+y 2+z 2=a 2含在圆柱面x 2+y 2=ax 内部的那部分面积. 解 位于柱面内的部分球面有两块, 其面积是相同的.由曲面方程z =222y x a --得222y x a x x z ---=∂∂, 222y x a y y z ---=∂∂, 于是 dxdy yz x z A axy x ⎰⎰≤+∂∂+∂∂+=2222)()(12dxdy yx a a axy x ⎰⎰≤+--=222222⎰⎰-=20cos 02214πθρρρθa d a d a )2(2)sin (4220-=-=⎰πθθπa d a a a .2. 求锥面z =22y x +被柱面z 2=2x 所割下的部分的曲面的面积.解 由z =22y x +和z 2=2x 两式消z 得x 2+y 2=2x , 于是所求曲面在xOy 面上的投影区域D 为x 2+y 2≤2x .由曲面方程22y x +得22y x x x z +=∂∂, 22y x y y z +=∂∂, 于是 dxdy y z x z A y x ⎰⎰≤+-∂∂+∂∂+=1)1(2222)()(1π221)1(22==⎰⎰≤+-dxdy y x .3. 求底面半径相同的两个直交柱面x 2+y 2=R 2及x 2+z 2=R 2所围立体的表面积.解 设A 1为曲面22x R z -=相应于区域D : x 2+y 2≤R 2上的面积. 则所求表面积为A =4A 1.dxdy y z x z A D ⎰⎰∂∂+∂∂+=22)()(14dxdy x R x D ⎰⎰+--+=22220)(14dxdy x R R D⎰⎰-=2242221681422R dx R dy x R dx R R R R R xR x R ==-=⎰⎰⎰-------. 4. 设薄片所占的闭区域D 如下, 求均匀薄片的质心:(1)D 由px y 2=, x =x 0, y =0所围成;解 令密度为μ=1.因为区域D 可表示为px y x x 20 ,00≤≤≤≤, 所以 3002023220px dx px dy dx dxdy A x x px D====⎰⎰⎰⎰⎰, 0002053211100x dx px x A xdy dx A xdxdy A x x x px D====⎰⎰⎰⎰⎰,000208311100y pxdx A ydy dx A ydxdy A y x x px D====⎰⎰⎰⎰⎰,所求质心为)83 ,53(00y x(2)D 是半椭圆形闭区域}0 ,1 |),{(2222≥≤+y by a x y x ; 解 令密度为μ=1. 因为闭区域D 对称于y 轴, 所以0=x . ab dxdy A Dπ21==⎰⎰(椭圆的面积),π34)(21112222022b dx x a a b A ydy dx A ydxdy A y aa aa x a Dab=-⋅===⎰⎰⎰⎰⎰---, 所求质心为)34 ,0(πb .(3)D 是介于两个圆r =a cos θ, r =b cos θ(0<a <b )之间的闭区域. 解 令密度为μ=1. 由对称性可知0=y .)(4)2()2(2222a b a b dxdy A D-=-==⎰⎰πππ(两圆面积的差),)(2cos 212220cos cos b a ab b a dr r r d A xdxdy A x b a D+++=⋅⋅==⎰⎰⎰⎰πθθθθ, 所求质心是)0 ,)(2(22b a ab b a +++. 5. 设平面薄片所占的闭区域D 由抛物线y =x 2及直线y =x 所围成, 它在点(x , y )处的面密度μ(x , y )=x 2y , 求该薄片的质心.解 351)(21),(10641022=-===⎰⎰⎰⎰⎰dx x x ydy x dx dxdy y x M x x Dμ4835)(2111),(110751032=-===⎰⎰⎰⎰⎰dx x x M ydy x dx Mdxdy y x x M x x x Dμ, 5435)(3111),(1108510222=-===⎰⎰⎰⎰⎰dx x x Mdy y x dx Mdxdy y x y My x x Dμ, 质心坐标为)5435 ,4835(.6. 设有一等腰直角三角形薄片, 腰长为a , 各点处的面密度等于该点到直角顶点的距离的平方, 求这薄片的质心.解 建立坐标系, 使薄片在第一象限, 且直角边在坐标轴上. 薄片上点(x , y )处的函数为μ=x 2+y 2. 由对称性可知y x =.4022061)(),(a dy y x dx dxdy y x M xa a D=+==⎰⎰⎰⎰-μ,a dy y x xdx Mdxdy y x x M y x xa aD52)(1),(1220=+===⎰⎰⎰⎰-μ,薄片的质心坐标为)52 ,52(a a .7. 利用三重积分计算下列由曲面所围成立体的质心(设密度ρ=1): (1)z 2=x 2+y 2, z =1;解 由对称性可知, 重心在z 轴上, 故0==y x . π31==⎰⎰⎰Ωdv V (圆锥的体积),431120101===⎰⎰⎰⎰⎰⎰Ωπθr zdz rdr d V zdv V z ,所求立体的质心为)43 ,0 ,0(. (2)222y x A z --=, 222y x a z --=(A >a >0), z =0; 解 由对称性可知, 重心在z 轴上, 故0==y x .)(3232323333a A a A dv V -=-==⎰⎰⎰Ωπππ(两个半球体体积的差),)(8)(3cos sin 1cos sin 133442000332a A a A dr r d d V d drd r V z A --===⎰⎰⎰⎰⎰⎰Ωππϕϕϕθθϕϕϕ,所求立体的质心为))(8)(3 ,0 ,0(3344a A a A --.(3)z =x 2+y 2, x +y =a , x =0, y =0, z =0.解 ⎰⎰⎰-+=a xa y x dz dy dx V 0022⎰⎰-+=a xa dy y x dx 022)(⎰-+-=adx x a x a x 032])(31)([461a =,⎰⎰⎰Ω=xdv V x 1a a a dz dy xdx V a x a yx52611511450022===⎰⎰⎰-+,a x y 52==,⎰⎰⎰Ω=zdv V z 1⎰⎰⎰-+=a x a y x zdz dy dx V 0002212307a =,所以立体的重心为)307,52,52(2a a a .8. 设球体占有闭区域Ω={(x , y , z )|x 2+y 2+z 2≤2Rz }, 它在内部各点的密度的大小等于该点到坐标原点的距离的平方, 试求这球体的质心.解 球体密度为ρ=x 2+y 2+z 2. 由对称性可知质心在z 轴上, 即0==y x . 在球面坐标下Ω可表示为: ϕπϕπθcos 20 ,20 ,20R r ≤≤≤≤≤≤, 于是⎰⎰⎰⎰⎰⎰⋅==Ωππϕϕϕθρ2020cos 2022sin R dr r r d d dv M⎰=2055cos sin 5322πϕϕϕπd R 51532R π=,⎰⎰⎰⎰⎰⎰Ω==ππϕϕϕϕθρ2020cos 205cos sin 11R dr r d d M zdv Mz R r R d R M 45153238cos sin 6642562076===⎰ππϕϕϕππ,故球体的质心为)45 ,0 ,0(R .9. 设均匀薄片(面密度为常数1)所占闭区域D 如下, 求指定的转动惯量:(1)}1 |),{(2222≤+=by a x y x D , 求I y ; 解 积分区域D 可表示为22 ,x a ab y x a a b a x a -≤≤--≤≤-,于是 ⎰⎰⎰⎰⎰------===aa x a ab x a ab aaDy dx x a x a b dy dx x dxdy x I 2222222222b a 341π=.提示: 4202422282sin 2 sina tdt a t a x dx x a x aa ππ==-⎰⎰-. (2)D 由抛物线x y 292=与直线x =2所围成, 求I x 和I y ;解 积分区域可表示为2/32/3 ,20x y x x ≤≤-≤≤,于是 57222273220232/32/32202====⎰⎰⎰⎰⎰-dx x dy y dx dxdy y I Dx x x , 796262252/32/32022====⎰⎰⎰⎰⎰-dx x dy dx x dxdy x I Dx x y . (3)D 为矩形闭区域{(x , y )|0≤x ≤a , 0≤y ≤b }, 求I x 和I y .解 331330202ab b a dy y dx dxdy y I Db a x =⋅===⎰⎰⎰⎰,331330022b a b a dy dx x dxdy x I Dba y =⋅===⎰⎰⎰⎰.10. 已知均匀矩形板(面密度为常量μ)的长和宽分别为b 和h , 计算此矩形板对于通过其形心且分别与一边平行的两轴的转动惯量.。
同济六版高等数学课后答案全集第一章习题1-11. 设A =(-∞, -5)⋃(5, +∞), B =[-10, 3), 写出A ⋃B , A ⋂B , A\B 及A\(A\B)的表达式.2. 设A 、B 是任意两个集合, 证明对偶律: (A ⋂B)C =AC ⋃BC . .3. 设映射f : X →Y , A ⊂X , B ⊂X . 证明(1)f(A ⋃B)=f(A)⋃f(B);(2)f(A ⋂B)⊂f(A)⋂f(B).4. 设映射f : X →Y , 若存在一个映射g : Y →X , 使X I f g = , Y I g f = , 其中IX 、IY 分别是X 、Y 上的恒等映射, 即对于每一个x ∈X , 有IX x =x ; 对于每一个y ∈Y , 有IY y =y . 证明: f 是双射, 且g 是f 的逆映射: g =f -1.5. 设映射f : X →Y , A ⊂X . 证明:(1)f -1(f(A))⊃A ;(2)当f 是单射时, 有f -1(f(A))=A .6. 求下列函数的自然定义域:(1)23+=x y ;. (2)211x y -=; (3)211x x y --=;(4)241x y -=;(5)x y sin =; (6) y =tan(x +1);(7) y =arcsin(x -3); (8)x x y 1arctan 3+-=;. (9) y =ln(x +1);(10)x e y 1=.7. 下列各题中, 函数f(x)和g(x)是否相同?为什么?(1)f(x)=lg x2, g(x)=2lg x ;(2) f(x)=x , g(x)=2x ;(3)334)(x x x f -=,31)(-=x x x g .(4)f(x)=1, g(x)=sec2x -tan2x .8. 设⎪⎩⎪⎨⎧≥<=3|| 03|| |sin |)(ππϕx x x x , 求)6(πϕ, )4(πϕ, )4(πϕ-, ϕ(-2), 并作出函数y =ϕ(x)的图形.. 9. 试证下列函数在指定区间内的单调性:(1)x xy -=1, (-∞, 1);(2)y =x +ln x , (0, +∞).10. 设 f(x)为定义在(-l , l)内的奇函数, 若f(x)在(0, l)内单调增加, 证明f(x)在(-l , 0)内也单调增加.11. 设下面所考虑的函数都是定义在对称区间(-l , l)上的, 证明:(1)两个偶函数的和是偶函数, 两个奇函数的和是奇函数;(2)两个偶函数的乘积是偶函数, 两个奇函数的乘积是偶函数, 偶函数与奇函数的乘积是奇函数.12. 下列函数中哪些是偶函数, 哪些是奇函数, 哪些既非奇函数又非偶函数?(1)y =x2(1-x2);(2)y =3x2-x3;(3)2211x xy +-=;(4)y =x(x -1)(x +1);(5)y =sin x -cos x +1;(6)2x x aa y -+= 13. 下列各函数中哪些是周期函数?对于周期函数, 指出其周期:(1)y =cos(x -2);.(2)y =cos 4x ;(3)y =1+sin πx ;(4)y =xcos x ;(5)y =sin2x .14. 求下列函数的反函数:(1)31+=x y 错误!未指定书签。
第一章综合测试题解答一、1.[1,2) 2.()g x = 3.11e - 4.ln 5 5.[U二、1.(C ) 2.(B) 3.(D ) 4.(D ) 5.(C )三、解 20,0,0, ()00, 0,1()(||)[()],0.(),()0,0,2x x x f x x x f x x x x x x x ϕϕϕϕ<<<⎧⎧⎧=+===⎨⎨⎨≥≥≥⎩⎩⎩ 21()0,[()](||).2f x f x x x x ϕ≥∴=+Q 四、解 1、令2x t -=,则2x →时,0t →,∴ 原式00(4)16lim(4)cot lim cos 444t t t t t t t t t ππππ→→-=-==.2、原式=232211113(1)(2)(2)lim lim lim 11(1)(1)1x x x x x x x x x x x x x x →→→++--+-+===---++++. 3、设11()31x f x x =+-,原式=()()1()lim 1()xf x f x x f x →+∞⎧⎫+⎨⎬⎩⎭.1111lim ()lim [31]lim lim (31)1 1lim ln 31ln 3,x x x x x x x xf x x x x x x x x→+∞→+∞→+∞→+∞→+∞=+-=⋅+-=+⋅=+Q ∴ 原式1ln33.e e +==4、22222121212121n n n n n n n n n n ++++++≤+++≤+++++L L L , 22212(1)112lim lim lim ,12(1)2n n n n n n n n n n n→∞→∞→∞+++++++===+++L L Q ∴ 原式12=. 5、1/1/01101lim arctan =();10122x x x e e x ππ-→++⋅-=--Q ++1/1/1/1/001111 lim arctan =lim arctan ,112x x x x x x e e e x e x π--→→++=--∴ 原式2π=.五、解 当0x <时,2(4)()sin x x f x xπ-=为初等函数,()f x 在点()x n n Z =-∈处无定义, 22222(4)(4)8lim ()lim lim ;sin (2)x x x x x x x f x x x πππ→-→-→---===+ lim ()1,3,4,;x nf x n →-=∞=L , 当0x >时,2(1)()1x x f x x +=-为初等函数,()f x 在点1x =处无定义,1lim ();x f x →=∞ 0x =在点处,220000(4)4(1)lim ()lim ,lim ()lim 0;sin 1x x x x x x x x f x f x x x ππ--++→→→→--+====- 综上,()f x 的间断点为=(),x k k Z +-∈=0x 与1x =,且2x =-为可去间断点(第一类),=0x 为跳跃间断点(第一类),(1,3,4,)x n n =-=L 与1x =为无穷间断点(第二类). ()f x 在其它点处皆连续.六、解lim lim lim x x x A βα→+∞==Q)321 lim 21 lim 111,2kx k x A x x A x x →+∞-→+∞+=-⎫=-++=⎪⎪⎭ 31;24k A ∴==- 七、解 22420001/2()sin 3()lim lim 5,1/3()2x x x f x x f x x f x x →→→⋅===⋅Q 20()10lim .3x f x x →∴= 八、证明:由已知,得(0)2(0)f f =,(0)0f ∴=.(,)x ∀∈-∞+∞,()()()f x x f x f x +∆=+∆. 由)(x f 在0x =处连续性,得00lim[()()]lim ()(0)0.x x f x x f x f x f ∆→∆→+∆-=∆== 从而)(x f 在点x 处连续性,由x 的任意性,)(x f 在(,)-∞+∞内连续.九、证明:(,)x ∀∈-∞+∞, 则,n Z ∃∈ 使得1,n x n ≤<+ 则[]x n =.于是()0,()11,f x n n f x n n ≥-=≤+-= 从而()f x 在(,)-∞+∞上有界.(,)x ∀∈-∞+∞,(1)1[1]1([]1)()f x x x x x f x +=+-+=+-+=Q ,∴()f x 是以1为周期的周期函数.十、证明:构造辅助函数()()()F x f x a f x =+-. 由已知,得(0)()(0)()F f a f f a =-=,(1)(1)(1)(1)F a f f a f a -=--=--,由)(x f 非负,可得,(0)(1)()(1)0F F a f a f a ⋅-=-⋅-≤.若()0f a =或(1)=0f a -,可取00x =或01x a =-,即有00()()f x a f x +=.否则(0)(1)0F F a ⋅-<,()f x Q 在]1,0[上连续,()F x ∴在[0,1]a -上连续. 根据零点定理0(0,1)[0,1],x a ∃∈-⊂ 使得0[0,1]x a +∈,且()0F x =,即00()()f x a f x +=. 得证.。
习题9-11. 设有一平面薄板(不计其厚度), 占有xOy 面上的闭区域D , 薄板上分布有密度为μ =μ(x , y )的电荷, 且μ(x , y )在D 上连续, 试用二重积分表达该板上全部电荷Q .解 板上的全部电荷应等于电荷的面密度μ(x , y )在该板所占闭区域D 上的二重积分⎰⎰=Dd y x Q σμ),(.2. 设⎰⎰+=13221)(D d y x I σ, 其中D 1={(x , y )|-1≤x ≤1, -2≤y ≤2};又⎰⎰+=23222)(D d y x I σ, 其中D 2={(x , y )|0≤x ≤1, 0≤y ≤2}.试利用二重积分的几何意义说明I 1与I 2的关系.解 I 1表示由曲面z =(x 2+y 2)3与平面x =±1, y =±2以及z =0围成的立体V 的体积.I 2表示由曲面z =(x 2+y 2)3与平面x =0, x =1, y =0, y =2以及z =0围成的立体V 1的体积.显然立体V 关于yOz 面、xOz 面对称, 因此V 1是V 位于第一卦限中的部分, 故V =4V 1, 即I 1=4I 2.3. 利用二重积分的定义证明: (1)⎰⎰=Dd σσ (其中σ为D 的面积);证明 由二重积分的定义可知,⎰⎰∑=→∆=Dni iiif d y x f 1),(lim ),(σηξσλ其中∆σi 表示第i 个小闭区域的面积. 此处f (x , y )=1, 因而f (ξ, η)=1, 所以,σσσσλλ==∆=→=→⎰⎰∑01lim lim Dni id .(2)⎰⎰⎰⎰=DDd y x f k d y x kf σσ),(),( (其中k 为常数);证明∑⎰⎰∑=→=→∆=∆=ni i i i Dni iiif k kf d y x kf 11),(lim ),(lim ),(σηξσηξσλλ⎰⎰∑=∆==→Dn i i i i d y x f k f k σσηξλ),(),(lim 10. (3)⎰⎰⎰⎰⎰⎰+=21),(),(),(D DD d y x f d y x f d y x f σσσ,其中D =D 1⋃D 2, D 1、D 2为两个无公共内点的闭区域.证明 将D 1和D 2分别任意分为n 1和n 2个小闭区域1i σ∆和2i σ∆, n 1+n 2=n , 作和∑∑∑===∆+∆=∆2222211111111),(),(),(n i i i i n i i i i ni iiif f f σηξσηξσηξ.令各1i σ∆和2i σ∆的直径中最大值分别为λ1和λ2, 又λ=ma x (λ1λ2), 则有∑=→∆ni i i i f 10),(lim σηξλ∑∑=→=→∆+∆=22222211111111),(lim ),(lim n i i i i n i i i i f f σηξσηξλλ, 即 ⎰⎰⎰⎰⎰⎰+=21),(),(),(D D Dd y x f d y x f d y x f σσσ.4. 根据二重积分的性质, 比较下列积分大小:(1)⎰⎰+Dd y x σ2)(与⎰⎰+Dd y x σ3)(, 其中积分区域D 是由x 轴, y 轴与直线x +y =1所围成;解 区域D 为: D ={(x , y )|0≤x , 0≤y , x +y ≤1}, 因此当(x , y )∈D 时, 有(x +y )3≤(x +y )2, 从而⎰⎰+Dd y x σ3)(≤⎰⎰+Dd y x σ2)(. (2)⎰⎰+Dd y x σ2)(与⎰⎰+Dd y x σ3)(, 其中积分区域D 是由圆周(x -2)2+(y -1)2=2所围成;解 区域D 如图所示, 由于D 位于直线x +y =1的上方, 所以当(x , y )∈D 时, x +y ≥1, 从而(x +y )3≥(x +y )2, 因而⎰⎰⎰⎰+≤+DDd y x d y x σσ32)()(. (3)⎰⎰+Dd y x σ)ln(与⎰⎰+Dd y x σ3)(, 其中D 是三角形闭区域, 三角顶点分别为(1, 0), (1, 1), (2, 0);解 区域D 如图所示, 显然当(x , y )∈D 时, 1≤x +y ≤2, 从而0≤ln(x +y )≤1, 故有[ln(x +y )]2≤ ln(x +y ), 因而⎰⎰⎰⎰+≥+DDd y x d y x σσ)ln()][ln(2. (4)⎰⎰+Dd y x σ)ln(与⎰⎰+Dd y x σ3)(, 其中D ={(x , y )|3≤x ≤5. 0≤y ≤1}.解 区域D 如图所示, 显然D 位于直线x +y =e 的上方, 故当(x , y )∈D 时, x +y ≥e , 从而ln(x +y )≥1, 因而 [ln(x +y )]2≥ln(x +y ), 故⎰⎰⎰⎰+≤+DDd y x d y x σσ2)][ln()ln(. 5. 利用二重积分的性质估计下列积分的值: (1)⎰⎰+=Dd y x xy I σ)(, 其中D ={(x , y )| 0≤x ≤1, 0≤y ≤1};解 因为在区域D 上0≤x ≤1, 0≤y ≤1, 所以 0≤xy ≤1, 0≤x +y ≤2, 进一步可得0≤xy (x +y )≤2, 于是⎰⎰⎰⎰⎰⎰≤+≤DDDd d y x xy d σσσ2)(0,即 ⎰⎰≤+≤Dd y x xy 2)(0σ.(2)⎰⎰=Dyd x I σ22sin sin , 其中D ={(x , y )| 0≤x ≤π, 0≤y ≤π};解 因为0≤sin 2x ≤1, 0≤sin 2y ≤1, 所以0≤sin 2x sin 2y ≤1. 于是⎰⎰⎰⎰⎰⎰≤≤DDDd yd x d σσσ1sin sin 022, 即 ⎰⎰≤≤Dyd x 222sin sin 0πσ.(3)⎰⎰++=Dd y x I σ)1(, 其中D ={(x , y )| 0≤x ≤1, 0≤y ≤2};解 因为在区域D 上, 0≤x ≤1, 0≤y ≤2, 所以1≤x +y +1≤4, 于是⎰⎰⎰⎰⎰⎰≤++≤DDDd d y x d σσσ4)1(,即 ⎰⎰≤++≤Dd y x 8)1(2σ.(4)⎰⎰++=Dd y x I σ)94(22, 其中D ={(x , y )| x 2+y 2 ≤4}.解 在D 上, 因为0≤x 2+y 2≤4, 所以 9≤x 2+4y 2+9≤4(x 2+y 2)+9≤25. 于是⎰⎰⎰⎰⎰⎰≤++≤DDDd d y x d σσσ25)94(922, ⎰⎰⋅⋅≤++≤Dd y x 2222225)94(29πσπ,即 ⎰⎰≤++≤Dd y x πσπ100)94(3622.习题9-21. 计算下列二重积分:(1)⎰⎰+Dd y x σ)(22, 其中D ={(x , y )| |x |≤1, |y |≤1};解 积分区域可表示为D : -1≤x ≤1, -1≤y ≤1. 于是⎰⎰+Dd y x σ)(22y d y x dx ⎰⎰--+=111122)(x d y y x ⎰--+=111132]31[ x d x ⎰-+=112)312(113]3232[-+=x x 38=. (2)⎰⎰+Dd y x σ)23(, 其中D 是由两坐标轴及直线x +y =2所围成的闭区域:解 积分区域可表示为D : 0≤x ≤2, 0≤y ≤2-x . 于是⎰⎰+Dd y x σ)23(y d y x dx x⎰⎰-+=2020)23(dx y xy x ⎰-+=222]3[ dx x x ⎰-+=202)224(0232]324[x x x -+=320=. (3)⎰⎰++Dd y y x x σ)3(223, 其中D ={(x , y )| 0≤x ≤1, 0≤y ≤1};解 ⎰⎰++Dd y y x x σ)3(323⎰⎰++=132310)3(dx y y x x dy ⎰++=1001334]4[dy x y y x x⎰++=103)41(dy y y 0142]424[y y y ++=1412141=++=.(4)⎰⎰+Dd y x x σ)cos(, 其中D 是顶点分别为(0, 0), (π, 0), 和(π, π)的三角形闭区域.解 积分区域可表示为D : 0≤x ≤π, 0≤y ≤x . 于是,⎰⎰+Dd y x x σ)cos(⎰⎰+=x dy y x xdx 00)cos(π⎰+=π0)][sin(dx y x x x⎰-=π0)s i n 2(s i n dx x x x ⎰--=π0)c o s 2c o s 21(x x xd+--=0|)c o s 2c o s 21(πx x x dx x x ⎰-π0)cos 2cos 21(π23-=. .2. 画出积分区域, 并计算下列二重积分:(1)⎰⎰Dd y x σ, 其中D 是由两条抛物线x y =, 2x y =所围成的闭区域;解 积分区域图如, 并且D ={(x , y )| 0≤x ≤1, x y x ≤≤2}. 于是⎰⎰D d y xσ⎰⎰=102dy y x dx xx⎰=10223]32[dx y x x x 556)3232(10447=-=⎰dx x x .(2)⎰⎰Dd xy σ2, 其中D 是由圆周x 2+y 2=4及y 轴所围成的右半闭区域; 解 积分区域图如, 并且D ={(x , y )| -2≤y ≤2, 240y x -≤≤}. 于是⎰⎰⎰⎰⎰----=22402240222222]21[dy y x dx xy dy d xy y y Dσ1564]10132[)212(22225342=-=-=--⎰y y dy y y . (3)⎰⎰+Dy x d e σ, 其中D ={(x , y )| |x |+|y |≤1};解 积分区域图如, 并且D ={(x , y )| -1≤x ≤0, -x -1≤y ≤x +1}⋃{(x , y )| 0≤x ≤1, x -1≤y ≤-x +1}. 于是⎰⎰⎰⎰⎰⎰+--+---++=11101101x x y x x x y x Dy x dy e dx e dy e dx e d e σ⎰⎰+---+--+=1110111][][dy e e dx e e x x y x x x y x ⎰⎰---+-+-=11201112)()(dx e e dx e ex x 101201112]21[]21[---+-+-=x x e ex x e e =e -e -1. (4)⎰⎰-+Dd x y x σ)(22, 其中D 是由直线y =2, y =x 及y =2x 轴所围成的闭区域.解 积分区域图如, 并且D ={(x , y )| 0≤y ≤2, y x y ≤≤21}. 于是⎰⎰⎰⎰⎰-+=-+=-+2022232222022]2131[)()(dy x x y x dx x y x dy d x y x y y y y Dσ613)832419(2023=-=⎰dy y y .3. 如果二重积分⎰⎰Ddxdy y x f ),(的被积函数f (x , y )是两个函数f 1(x )及f 2(y )的乘积,即f (x , y )= f 1(x )⋅f 2(y ), 积分区域D ={(x , y )| a ≤x ≤b , c ≤ y ≤d }, 证明这个二重积分等于两个单积分的乘积, 即 ])([])([)()(2121dy y f dx x f dxdy y f x f dcb aD⎰⎰⎰⎰⋅=⋅证明dx dy y f x f dy y f x f dx dxdy y f x f dcb a dcbaD ⎰⎰⎰⎰⎰⎰⋅=⋅=⋅])()([)()()()(212121,而⎰⎰=⋅dc dc dy y f x f dy y f x f )()()()(2121,故 dx dy y f x f dxdy y f x f b a dcD⎰⎰⎰⎰=⋅])()([)()(2121.由于⎰dcdy y f )(2的值是一常数, 因而可提到积分号的外面, 于是得])([])([)()(2121dy y f dx x f dxdy y f x f dcb a D⎰⎰⎰⎰⋅=⋅4. 化二重积分⎰⎰=Dd y x f I σ),(为二次积分(分别列出对两个变量先后次序不同的两个二次积分), 其中积分区域D 是:(1)由直线y =x 及抛物线y 2=4x 所围成的闭区域; 解积分区域如图所示, 并且D ={(x , y )|x y x x 2 ,40≤≤≤≤}, 或D ={(x , y )| y x y y ≤≤≤≤241 ,40},所以 ⎰⎰=xxdy y x f dx I 240),(或⎰⎰=yy dx y x f dy I 4402),(.(2)由x 轴及半圆周x 2+y 2=r 2(y ≥0)所围成的闭区域; 解积分区域如图所示, 并且D ={(x , y )|220 ,x r y r x r -≤≤≤≤-},或D ={(x , y )| 2222 ,0y r x y r r y -≤≤--≤≤}, 所以 ⎰⎰--=220),(x r rr dy y x f dx I , 或⎰⎰---=2222),(0y r y r r dx y x f dy I .(3)由直线y =x , x =2及双曲线x y 1=(x >0)所围成的闭区域;解积分区域如图所示, 并且 D ={(x , y )|x y x x ≤≤≤≤1 ,21},或D ={(x , y )|21 ,121≤≤-≤≤x yy }⋃{(x , y )|2 ,21≤≤≤≤x y y },所以 ⎰⎰=xxdy y x f dx I 1),(21, 或⎰⎰⎰⎰+=22121121),(),(yydx y x f dy dx y x f dy I .(4)环形闭区域{(x , y )| 1≤x 2+y 2≤4}.解 如图所示, 用直线x =-1和x =1可将积分区域D 分成四部分, 分别记做D 1, D 2,D 3, D 4. 于是⎰⎰⎰⎰⎰⎰⎰⎰+++=4321),(),(),(),(D D D D d y x f d y x f d y x f d y x f I σσσσ⎰⎰⎰⎰--------+=222244411112),(),(x x x x dy y x f dx dy y x f dx ⎰⎰⎰⎰--------++222214442111),(),(x x x x dy y x f dx dy y x f dx用直线y =1, 和y =-1可将积分区域D 分成四部分, 分别记做D 1, D 2, D 3, D 4, 如图所示. 于是⎰⎰⎰⎰⎰⎰⎰⎰+++=4321),(),(),(),(D D D D d y x f d y x f d y x f d y x f I σσσσ⎰⎰⎰⎰--------+=222244141121),(),(y y y y dx y x f dy dx y x f dy⎰⎰⎰⎰--------++222241441211),(),(y y y y dx y x f dy dx y x f dy5. 设f (x , y )在D 上连续, 其中D 是由直线y =x 、y =a 及x =b (b >a )围成的闭区域, 证明:⎰⎰⎰⎰=bybaxabadx y x f dy dy y x f dx ),(),(.证明 积分区域如图所示, 并且积分区域可表示为 D ={(x , y )|a ≤x ≤b , a ≤y ≤x }, 或D ={(x , y )|a ≤y ≤b , y ≤x ≤b }. 于是⎰⎰Dd y x f σ),(⎰⎰=xab a dy y x f dx ),(, 或⎰⎰Dd y x f σ),(⎰⎰=byb a dx y x f dy ),(.因此⎰⎰⎰⎰=byb ax abadx y x f dy dy y x f dx ),(),(.6. 改换下列二次积分的积分次序: (1)⎰⎰ydx y x f dy 01),(;解 由根据积分限可得积分区域D ={(x , y )|0≤y ≤1, 0≤x ≤y }, 如图. 因为积分区域还可以表示为D ={(x , y )|0≤x ≤1, x ≤y ≤1}, 所以⎰⎰⎰⎰=11010),(),(xy dy y x f dx dx y x f dy .(2)⎰⎰yydx y x f dy 222),(;解 由根据积分限可得积分区域D ={(x , y )|0≤y ≤2, y 2≤x ≤2y }, 如图. 因为积分区域还可以表示为D ={(x , y )|0≤x ≤4, x y x ≤≤2}, 所以⎰⎰y ydx y x f dy 222),(⎰⎰=402),(xx dy y x f dx .(3)⎰⎰---221110),(y y dx y x f dy ;解 由根据积分限可得积分区域}11 ,10|),{(22y x y y y x D -≤≤--≤≤=, 如图. 因为积分区域还可以表示为}10 ,11|),{(2x y x y x D -≤≤≤≤-=, 所以⎰⎰⎰⎰-----=22210111110),(),(x y ydy y x f dx dx y x f dy(4)⎰⎰--21222),(x x xdy y x f dx ;解 由根据积分限可得积分区域}22 ,21|),{(2x x y x x y x D -≤≤-≤≤=, 如图. 因为积分区域还可以表示为}112 ,10|),{(2y x y y y x D -+≤≤-≤≤=, 所以⎰⎰--21222),(x x xdy y x f dx ⎰⎰-+-=11122),(y ydx y x f dy .(5)⎰⎰e xdy y x f dx 1ln 0),(;解 由根据积分限可得积分区域D ={(x , y )|1≤x ≤e , 0≤y ≤ln x }, 如图. 因为积分区域还可以表示为D ={(x , y )|0≤y ≤1, e y ≤x ≤ e }, 所以⎰⎰exdy y x f dx 1ln 0),(⎰⎰=10),(ee y dx y xf dy(6)⎰⎰-xx dy y x f dx sin 2sin0),(π(其中a ≥0).解 由根据积分限可得积分区域}sin 2sin ,0|),{(x y x x y x D ≤≤-≤≤=π, 如图.因为积分区域还可以表示为}a r c s i n 2 ,01|),{(π≤≤-≤≤-=x y y y x D }a r c s i n a r c s i n ,10|),{(y x y y y x -≤≤≤≤⋃π, 所以⎰⎰⎰⎰⎰⎰----+=yyyxxdx y x f dy dx y x f dy dy y x f dx arcsin arcsin 10arcsin 201sin sin 0),(),(),(πππ.7. 设平面薄片所占的闭区域D 由直线x +y =2, y =x 和x 轴所围成, 它的面密度为μ(x , y )=x 2+y 2, 求该薄片的质量. 解 如图, 该薄片的质量为⎰⎰=Dd y x M σμ),(⎰⎰+=Dd y x σ)(22⎰⎰-+=10222)(yydx y x dy⎰-+-=10323]372)2(31[dy y y y 34=.8. 计算由四个平面x =0, y =0, x =1, y =1所围成的柱体被平面z =0及2x +3y +z =6截得的立体的体积.解 四个平面所围成的立体如图, 所求体积为⎰⎰--=Ddxdy y x V )326(⎰⎰--=110)326(dy y x dx⎰--=10102]2326[dx y xy y ⎰=-=1027)229(dx x .9. 求由平面x =0, y =0, x +y =1所围成的柱体被平面z =0及抛物面x 2+y 2=6-z 截得的立体的体积.解 立体在xOy 面上的投影区域为D ={(x , y )|0≤x ≤1, 0≤y ≤1-x }, 所求立体的体积为以曲面z =6-x 2-y 2为顶, 以区域D 为底的曲顶柱体的体积, 即⎰⎰--=Dd y x V σ)6(22⎰⎰---=101022)6(xdy y x dx 617=.10. 求由曲面z =x 2+2y 2及z =6-2x 2-y 2所围成的立体的体积.解 由⎩⎨⎧--=+=2222262y x z y x z 消去z , 得x 2+2y 2=6-2x 2-y 2, 即x 2+y 2=2, 故立体在x O y 面上的投影区域为x 2+y 2≤2, 因为积分区域关于x 及y 轴均对称, 并且被积函数关于x , y都是偶函数, 所以⎰⎰+---=Dd y x y x V σ)]2()26[(2222⎰⎰--=Dd y x σ)336(22⎰⎰---=2202220)2(12x dy y x dx π6)2(8232=-=⎰dx x .11. 画出积分区域, 把积分⎰⎰Ddxdy y x f ),(表示为极坐标形式的二次积分, 其中积分区域D 是:(1){(x , y )| x 2+y 2≤a 2}(a >0);解积分区域D 如图. 因为D ={(ρ, θ)|0≤θ≤2π, 0≤ρ≤a }, 所以⎰⎰⎰⎰=DDd d f dxdy y x f θρρθρθρ)sin ,cos (),(⎰⎰=πρρθρθρθ200)s i n ,c o s (d f d a. (2){(x , y )|x 2+y 2≤2x };解 积分区域D 如图. 因为}cos 20 ,22|),{(θρπθπθρ≤≤≤≤-=D , 所以⎰⎰⎰⎰=DDd d f dxdy y x f θρρθρθρ)sin ,cos (),(⎰⎰-=22c o s20)s i n ,co s (ππθρρθρθρθd f d .(3){(x , y )| a 2≤x 2+y 2≤b 2}, 其中0<a <b ;解 积分区域D 如图. 因为D ={(ρ, θ)|0≤θ≤2π, a ≤ρ≤b }, 所以⎰⎰⎰⎰=DDd d f dxdy y x f θρρθρθρ)sin ,cos (),(⎰⎰=πρρθρθρθ20)s i n ,c o s (bad f d .(4){(x , y )| 0≤y ≤1-x , 0≤x ≤1}.解 积分区域D 如图. 因为}sin cos 10 ,20|),{(θθρπθθρ+≤≤≤≤=D , 所以⎰⎰⎰⎰=DDd d f dxdy y x f θρρθρθρ)sin ,cos (),(⎰⎰+=θθρρθρθρθπs i nc o s 1020)s i n ,c o s (d f d .12. 化下列二次积分为极坐标形式的二次积分: (1)⎰⎰101),(dy y x f dx ;解 积分区域D 如图所示. 因为}c s c 0 ,24|),{(}sec 0 ,40|),{(θρπθπθρθρπθθρ≤≤≤≤⋃≤≤≤≤=D ,所以⎰⎰⎰⎰⎰⎰==DDd d f d y x f dy y x f dx θρρθρθρσ)sin ,cos (),(),(0⎰⎰=4s e c)s i n ,c o s (πθρρθρθρθd f d ⎰⎰+24c s c)s i n ,c o s (ππθρρθρθρθd f d .(2)⎰⎰+xxdy y x f dx 32220)(;解 积分区域D 如图所示, 并且 }s e c 20 ,34|),{(θρπθπθρ≤≤≤≤=D ,所示⎰⎰⎰⎰⎰⎰=+=+xxDDd d f d y x f dy y x f dx 322222)()()(θρρρσ⎰⎰=34s e c20)(ππθρρρθd f d .(3)⎰⎰--2111),(x xdy y x f dx ;解 积分区域D 如图所示, 并且}1s i n c o s 1 ,20|),{(≤≤+≤≤=ρθθπθθρD ,所以⎰⎰⎰⎰⎰⎰--==10112)sin ,cos (),(),(x xDDd d f d y x f dy y x f dx θρρθρθρσ⎰⎰=211)s i n ,c o s (πρρθρθρθd f d(4)⎰⎰210),(x dy y x f dx .解 积分区域D 如图所示, 并且}s e c t a n s e c ,40|),{(θρθθπθθρ≤≤≤≤=D ,所以⎰⎰210),(x dy y x f dx ⎰⎰⎰⎰==DDd d f d y x f θρρθρθρσ)sin ,cos (),(⎰⎰=40s e ct a ns e c )s i n ,c o s (πθθθρρθρθρθd f d13. 把下列积分化为极坐标形式, 并计算积分值: (1)⎰⎰-+2202220)(x ax ady y x dx ;解 积分区域D 如图所示. 因为}cos 20 ,20|),{(θρπθθρa D ≤≤≤≤=, 所以⎰⎰-+2202220)(x ax ady y x dx ⎰⎰⋅=Dd d θρρρ2⎰⎰⋅=0c o s202πθρρρθa d d ⎰=2044c o s 4πθθd a 443a π=.(2)⎰⎰+dy y x dx 0220;解 积分区域D 如图所示. 因为}sec 0 ,40|),{(θρπθθρa D ≤≤≤≤=, 所以⎰⎰⎰⎰⋅=+Dxad d dy y x dx θρρρ0220⎰⎰⋅=40s e c 0πθρρρθa d d ⎰=4033s e c 3πθθd a )]12ln(2[63++=a . (3)⎰⎰-+xx dyy xdx 221221)(;解 积分区域D 如图所示. 因为}tan sec 0 ,40|),{(θθρπθθρ≤≤≤≤=D , 所以⎰⎰⎰⎰⋅=+--Dxx d d dy y xdx θρρρ212122102)(12t a n s e c 40t a ns e c 02140-==⋅=⎰⎰⎰-πθθπθθθρρρθd d d .(4)⎰⎰-+220220)(y a a dx y x dy .解 积分区域D 如图所示. 因为}0 ,20|),{(a D ≤≤≤≤=ρπθθρ, 所以⎰⎰⎰⎰⋅=+-Dy a a d d dx y x dy θρρρ222022)(420028a d d aπρρρθπ=⋅=⎰⎰.14. 利用极坐标计算下列各题: (1)⎰⎰+Dy xd e σ22,其中D 是由圆周x 2+y 2=4所围成的闭区域;解 在极坐标下D ={(ρ, θ)|0≤θ≤2π, 0≤ρ≤2}, 所以⎰⎰⎰⎰=+DDy x d d e d e θρρσρ222)1()1(2124420202-=-⋅==⎰⎰e e d e d ππρρθπρ. (2)⎰⎰++Dd y x σ)1ln(22,其中D 是由圆周x 2+y 2=1及坐标轴所围成的在第一象限内的闭区域;解 在极坐标下}10 ,20|),{(≤≤≤≤=ρπθθρD , 所以⎰⎰⎰⎰+=++DDd d d y x θρρρσ)1ln()1ln(222)12l n 2(41)12l n 2(212)1l n (20102-=-⋅=+=⎰⎰πρρρθπd d .(3)σd x yDarctan ⎰⎰, 其中D 是由圆周x 2+y 2=4, x 2+y 2=1及直线y =0, y =x 所围成的第一象限内的闭区域.解 在极坐标下}21 ,40|),{(≤≤≤≤=ρπθθρD , 所以⎰⎰⎰⎰⎰⎰⋅=⋅=DDDd d d d d xyθρρθθρρθσ)arctan(tan arctan⎰⎰⋅=4021πρρθθd d ⎰⎰==0321643ππρρθθd d . 15. 选用适当的坐标计算下列各题:(1)dxdy yx D 22⎰⎰,其中D 是由直线x =2,y =x 及曲线xy =1所围成的闭区域.解 因为积分区域可表示为}1 ,21|),{(x y xx y x D ≤≤≤≤=, 所以d x d y yx D 22⎰⎰dy y dx x x x ⎰⎰=211221⎰-=213)(dx x x 49=.(2)⎰⎰++--Dd yx y x σ222211, 其中D 是由圆周x 2+y 2=1及坐标轴所围成的在第一象限内的闭区域;解 在极坐标下}10 ,20|),{(≤≤≤≤=ρπθθρD , 所以⎰⎰⎰⎰⋅+-=++--DD d d d y x y x θρρρρσ2222221111)2(811102220-=+-=⎰⎰ππρρρρθπd d .(3)⎰⎰+Dd y x σ)(22, 其中D 是由直线y =x , y =x +a , y =a , y =3a (a >0)所围成的闭区域;解 因为积分区域可表示为D ={(x , y )|a ≤y ≤3a , y -a ≤x ≤y }, 所以⎰⎰+D d y x σ)(22⎰⎰-+=a a ya y dx y x dy 322)(4332214)312(a dy a y a ay a a =+-=⎰.(4)σd y x D22+⎰⎰, 其中D 是圆环形闭区域{(x , y )| a 2≤x 2+y 2≤b 2}.解 在极坐标下D ={(ρ, θ)|0≤θ≤2π, a ≤ρ≤b }, 所以 σd y x D22+⎰⎰)(3233202a b dr r d ba -==⎰⎰πθπ.16. 设平面薄片所占的闭区域D 由螺线ρ=2θ上一段弧(20πθ≤≤)与直线2πθ=所围成, 它的面密度为μ(x , y )=x 2+y 2. 求这薄片的质量.解 区域如图所示. 在极坐标下}20 ,20|),{(θρπθθρ≤≤≤≤=D , 所以所求质量⎰⎰⎰⎰⋅==Dd d d y x M 0202),(πθρρρθσμ⎰==254404ππθθd .17. 求由平面y =0, y =kx (k >0), z =0以及球心在原点、半径为R 的上半球面所围成的在第一卦限内的立体的体积.解 此立体在xOy 面上的投影区域D ={(x , y )|0≤θ≤arctan k , 0≤ρ≤R }.⎰⎰--=D dxdy y x R V 222k R d R d k Ra r c t a n313a r c t a n 0022=-=⎰⎰ρρρθ. 18. 计算以xOy 平面上圆域x 2+y 2=ax 围成的闭区域为底, 而以曲面z =x 2+y 2为顶的曲顶柱体的体积.解 曲顶柱体在xOy 面上的投影区域为D ={(x , y )|x 2+y 2≤ax }. 在极坐标下}cos 0 ,22|),{(θρπθπθρa D ≤≤≤≤-=, 所以⎰⎰≤++=axy x dxdy y xV 22)(22πθθρρρθππθππ422c o s22442323cos 4a d a d d a ==⋅=⎰⎰⎰--. 习题9-31. 化三重积分dxdydz z y x f I ),,(Ω⎰⎰⎰=为三次积分, 其中积分区域Ω分别是:(1)由双曲抛物面xy =z 及平面x +y -1=0, z =0所围成的闭区域;解 积分区域可表示为Ω={(x , y , z )| 0≤z ≤xy , 0≤y ≤1-x , 0≤x ≤1}, 于是 ⎰⎰⎰-=xyxdz z y x f dy dx I 01010),,(.(2)由曲面z =x 2+y 2及平面z =1所围成的闭区域; 解 积分区域可表示为}11 ,11 ,1|),,{(2222≤≤--≤≤--≤≤+=Ωx x y x z y x z y x , 于是 ⎰⎰⎰+----=111112222),,(y x x x dz z y x f dy dx I .(3)由曲面z =x 2+2y 2及z =2-x 2所围成的闭区域; 解 曲积分区域可表示为}11 ,11 ,22|),,{(22222≤≤--≤≤---≤≤+=Ωx x y x x z y x z y x , 于是 ⎰⎰⎰-+----=22222221111),,(x y x x x dz z y x f dy dx I .提示: 曲面z =x 2+2y 2与z =2-x 2的交线在xOy 面上的投影曲线为x 2+y 2=1.(4)由曲面cz =xy (c >0), 12222=+by a x , z =0所围成的在第一卦限内的闭区域.解 曲积分区域可表示为}0 ,0 ,0|),,{(22a x x a a b y c xyz z y x ≤≤-≤≤≤≤=Ω,于是 ⎰⎰⎰-=cxy abdz z y x f dy dx I x a a0),,(22.提示: 区域Ω的上边界曲面为曲面c z =xy , 下边界曲面为平面z =0.2. 设有一物体, 占有空间闭区域Ω={(x , y , z )|0≤x ≤1, 0≤y ≤1, 0≤z ≤1}, 在点(x , y , z )处的密度为ρ(x , y , z )=x +y +z , 计算该物体的质量.解 ⎰⎰⎰⎰⎰⎰++==Ω101010)(dz z y x dy dx dxdydz M ρ⎰⎰++=1010)21(dy y x dx⎰⎰+=++=1010102)1(]2121[dx x dx y y xy 23)1(21102=+=x .3. 如果三重积分dxdydz z y x f ),,(Ω⎰⎰⎰的被积函数f (x , y , z )是三个函数f 1(x )、f 2(y )、f 3(z )的乘积, 即f (x , y , z )= f 1(x )⋅f 2(y )⋅f 3(z ), 积分区域Ω={(x , y , z )|a ≤x ≤b , c ≤y ≤d , l ≤z ≤m }, 证明这个三重积分等于三个单积分的乘积, 即⎰⎰⎰⎰⎰⎰=Ωmldcb a dz z f dy y f dx x f dxdydz z f y f x f )()()()()()(321321.证明dxdydz z f y f x f )()()(321Ω⎰⎰⎰dx dy dz z f y f x f b a dcml]))()()(([321⎰⎰⎰=dx dy dz z f y f x f b a dc ml ]))()()(([321⎰⎰⎰=⎰⎰⎰=mldcbadx dy y f dz z f x f )])()()()([(231 dx x f dy y f dz z f b a mldc)]())()()([(123⎰⎰⎰=⎰⎰⎰=dcbamldx x f dy y f dz z f )())()()((123 ⎰⎰⎰=dcmlbadz z f dy y f dx x f )()()(321.4. 计算dxdydz z xy 32Ω⎰⎰⎰, 其中Ω是由曲面z =xy , 与平面y =x , x =1和z =0所围成的闭区域.解 积分区域可表示为Ω={(x , y , z )| 0≤z ≤xy , 0≤y ≤x , 0≤x ≤1},于是 d x d y d z z xy 32Ω⎰⎰⎰⎰⎰⎰=xy x dz z dy y xdx 030210⎰⎰=xxydy z y xdx 004210]4[ ⎰⎰=x dy y dx x 051054136412811012==⎰dx x .5. 计算3)1(z y x dxdydz+++Ω⎰⎰⎰, 其中Ω为平面x =0, y =0, z =0, x +y +z =1所围成的四面体. 解 积分区域可表示为Ω={(x , y , z )| 0≤z ≤1-x -y , 0≤y ≤1-x , 0≤x ≤1},于是 3)1(z y x d x d y d z +++Ω⎰⎰⎰⎰⎰⎰---+++=y x x dz z y x dy dx 1031010)1(1 ⎰⎰--++=x dy y x dx 10210]81)1(21[dx x x ⎰+-+=10]8183)1(21[)852(l n 21-=.提示:⎰⎰⎰Ω+++3)1(z y x dxdydz ⎰⎰⎰---+++=y x x dz z y x dy dx 1031010)1(1⎰⎰---+++-=xyx dy z y x dx 1010210])1(21[⎰⎰--++=x dy y x dx 10210]81)1(21[ dx y y x x-⎰-++-=1010]81)1(21[dx x x ⎰+-+=10]8183)1(21[ 102]16183)1ln(21[x x x +-+= )852(ln 21-=.6. 计算xyzdxdydz Ω⎰⎰⎰, 其中Ω为球面x 2+y 2+z 2=1及三个坐标面所围成的在第一卦限内的闭区域.解 积分区域可表示为}10 ,10 ,10|),,{(222≤≤-≤≤--≤≤=Ωx x y y x z z y x 于是x y z d x d y d Ω⎰⎰⎰⎰⎰⎰---=222101010x y x x y z d zdy dx ⎰⎰---=210221)1(21x dy y x xy dx ⎰-=1022)1(81dx x x 481=.7. 计算xzdxdydz Ω⎰⎰⎰, 其中Ω是由平面z =0, z =y , y =1以及抛物柱面y =x 2所围成的闭区域.解 积分区域可表示为Ω={(x , y , z )| 0≤z ≤y , x 2≤y ≤1, -1≤x ≤1}, 于是x z d x d y d z Ω⎰⎰⎰⎰⎰⎰-=yx z d z dy xdx 01112⎰⎰-=1211221x dy y xdx0)1(61116=-=⎰-dx x x .8. 计算zdxdydz Ω⎰⎰⎰, 其中Ω是由锥面22y x R h z +=与平面z =h (R >0, h >0)所围成的闭区域.解 当0≤z ≤h 时, 过(0, 0, z )作平行于xOy 面的平面, 截得立体Ω的截面为圆D z :222)(z hR y x =+, 故D z的半径为z h R , 面积为222z h R π, 于是 z d x d y d z Ω⎰⎰⎰=dxdy zdz zD h ⎰⎰⎰0⎰==h h R dz z h R 0223224ππ. 9. 利用柱面坐标计算下列三重积分:(1)zdv Ω⎰⎰⎰, 其中Ω是由曲面222y x z --=及z =x 2+y 2所围成的闭区域;解 在柱面坐标下积分区域Ω可表示为 0≤θ≤2π, 0≤ρ≤1, 222ρρ-≤≤z , 于是z d v Ω⎰⎰⎰⎰⎰⎰-=1022022ρρπρρθz d zd d ⎰--=1042)2(212ρρρρπdπρρρρπ127)2(1053=--=⎰d .(2)dv y x )(22+Ω⎰⎰⎰, 其中Ω是由曲面x 2+y 2=2z 及平面z =2所围成的闭区域.解 在柱面坐标下积分区域Ω可表示为0≤θ≤2π, 0≤ρ≤2, 222≤≤z ρ,于是dv y x)(22+Ω⎰⎰⎰dz d d θρρρ⋅=Ω⎰⎰⎰2⎰⎰⎰=22123202ρπρρθdz d d ⎰⎰-=205320)212(ρρρθπd d ⎰==ππθ2031638d .10. 利用球面坐标计算下列三重积分:(1)dv z y x )(222++Ω⎰⎰⎰, 其中Ω是由球面x 2+y 2+z 2=1所围成的闭区域.解 在球面坐标下积分区域Ω可表示为 0≤θ≤2π, 0≤ϕ≤π, 0≤r ≤1,于是 dv z y x )(222++Ω⎰⎰⎰θϕϕd d r d r s i n 4⋅=Ω⎰⎰⎰⎰⎰⎰=104020s i n dr r d d ππϕϕθπ54=.(2)zdv Ω⎰⎰⎰, 其中闭区域Ω由不等式x 2+y 2+(z -a )2≤a 2, x 2+y 2≤z 2 所确定.解 在球面坐标下积分区域Ω可表示为 ϕπϕπθc o s 20 ,40 ,20a r ≤≤≤≤≤≤,于是 z d v Ω⎰⎰⎰θϕϕϕd d r d r r s i n c o s 2⋅=Ω⎰⎰⎰ ⎰⋅=04)c o s 2(41c o s s i n 2πϕϕϕϕπd a4405467c o s si n 8a d a πϕϕϕππ==⎰. 11. 选用适当的坐标计算下列三重积分:(1)xydv Ω⎰⎰⎰, 其中Ω为柱面x 2+y 2=1及平面z =1, z =0, x =0, y =0所围成的在第一卦限内的闭区域;解 在柱面坐标下积分区域Ω可表示为 10 ,10 ,20≤≤≤≤≤≤z ρπθ,于是 x y d v Ω⎰⎰⎰dz d d θρρθρθρ⋅⋅=Ω⎰⎰⎰sin cos⎰⎰⎰==101032081c o s s i n dz d d ρρθθθπ.别解: 用直角坐标计算⎰⎰⎰Ωx y d v ⎰⎰⎰-=1010102dz ydy xdx x ⎰⎰-=21010x y d y x d x⎰-=103)22(dx x x 81]84[1042=-=x x . (2)dv z y x 222++Ω⎰⎰⎰, 其中Ω是由球面x 2+y 2+z 2=z 所围成的闭区域;解 在球面坐标下积分区域Ω可表示为 ϕπϕπθc o s 0 ,20 ,20≤≤≤≤≤≤r ,于是dv z y x 222++Ω⎰⎰⎰⎰⎰⎰⋅=ϕππϕϕθc o s2020s i n dr r r d d10cos 41sin 2204πϕϕϕππ=⋅=⎰d .(3)dv y x )(22+Ω⎰⎰⎰, 其中Ω是由曲面4z 2=25(x 2+y 2)及平面z =5所围成的闭区域;解 在柱面坐标下积分区域Ω可表示为 525 ,20 ,20≤≤≤≤≤≤z ρρπθ,于是dv y x )(22+Ω⎰⎰⎰⎰⎰⎰=5520320ρπρρθdz d dπρρρπ8)255(2203=-=⎰d .(4)dv y x )(22+Ω⎰⎰⎰, 其中闭区域Ω由不等式A z y x a ≤++≤<2220, z ≥0所确定.解 在球面坐标下积分区域Ω可表示为A r a ≤≤≤≤≤≤ ,20 ,20πϕπθ,于是 dv y x )(22+Ω⎰⎰⎰θϕϕθϕϕϕd d r d r r r s i n )s i n s i n c o s s i n(2222222+=Ω⎰⎰⎰)(154sin 55420320a A dr r d d Aa -==⎰⎰⎰πϕϕθππ.12. 利用三重积分计算下列由曲面所围成的立体的体积:(1)z =6-x 2-y 2及22y x z +=;解 在柱面坐标下积分区域Ω可表示为 0≤θ≤2 π, 0≤ρ≤2, ρ≤z ≤6-ρ2,于是 dz d d dv V θρρΩΩ⎰⎰⎰⎰⎰⎰==⎰⎰⎰-=262020ρρπρρθdz d d⎰=--=2032332)6(2πρρρρπd .(2)x 2+y 2+z 2=2az (a >0)及x 2+y 2=z 2(含有z 轴的部分); 解 在球面坐标下积分区域Ω可表示为ϕπϕπθc o s 20 ,40 ,20a r ≤≤≤≤≤≤,于是 θϕϕd d r d r dv V sin 2ΩΩ⎰⎰⎰⎰⎰⎰==⎰⎰⎰=ϕππϕϕθc o s2024020s i na dr r d d34033s i n c o s 382a d a πϕϕϕππ==⎰.(3)22y x z +=及z =x 2+y 2;解 在柱面坐标下积分区域Ω可表示为 0≤θ≤2π, 0≤ρ≤1, ρ2≤z ≤ρ,于是 6)(2103210202πρρρπρρθρρπ=-===⎰⎰⎰⎰⎰⎰⎰Ωd dz d d dv V .(4)225y x z --=及x 2+y 2=4z .解 在柱面坐标下积分区域Ω可表示为 22541 ,20 ,20ρρρπθ-≤≤≤≤≤≤z ,于是 ⎰⎰⎰-=225412020ρρπρρθdz d d V)455(32)45(22022-=--=⎰πρρρρπd .13. 球心在原点、半径为R 的球体, 在其上任意一点的密度的大小与这点到球心的距离成正比, 求这球体的质量.解 密度函数为222),,(z y x k z y x ++=ρ. 在球面坐标下积分区域Ω可表示为 0≤θ≤2π, 0≤ϕ≤π, 0≤r ≤R ,于是 dv z y x k M 222++=Ω⎰⎰⎰400220s i n R k dr r kr d d Rπϕϕθππ=⋅=⎰⎰⎰.习题9-41. 求球面x 2+y 2+z 2=a 2含在圆柱面x 2+y 2=ax 内部的那部分面积. 解 位于柱面内的部分球面有两块, 其面积是相同的.由曲面方程z =222y x a --得222y x a x x z ---=∂∂, 222y x a y y z ---=∂∂, 于是 dxdy yz x z A axy x ⎰⎰≤+∂∂+∂∂+=2222)()(12dxdy yx a a axy x ⎰⎰≤+--=222222⎰⎰-=20c o s2214πθρρρθa d a d a )2(2)s i n(4220-=-=⎰πθθπa d a a a . 2. 求锥面z =22y x +被柱面z 2=2x 所割下的部分的曲面的面积.解 由z =22y x +和z 2=2x 两式消z 得x 2+y 2=2x , 于是所求曲面在xOy 面上的投影区域D 为x 2+y 2≤2x .由曲面方程22y x +得22y x x x z +=∂∂, 22y x y y z +=∂∂, 于是 dxdy yz x z A y x ⎰⎰≤+-∂∂+∂∂+=1)1(2222)()(1π221)1(22==⎰⎰≤+-dxdy y x .3. 求底面半径相同的两个直交柱面x 2+y 2=R 2及x 2+z 2=R 2所围立体的表面积. 解 设A 1为曲面22x R z -=相应于区域D : x 2+y 2≤R 2上的面积. 则所求表面积为A =4A 1.d x d y y z x z A D⎰⎰∂∂+∂∂+=22)()(14d x d yx R x D⎰⎰+--+=22220)(14 d x d y x R R D⎰⎰-=2242221681422R dx R dy x R dx R R R R R x R x R ==-=⎰⎰⎰-------. 4. 设薄片所占的闭区域D 如下, 求均匀薄片的质心: (1)D 由px y 2=, x =x 0, y =0所围成;解 令密度为μ=1.因为区域D 可表示为px y x x 20 ,00≤≤≤≤, 所以 3002023220px dx px dy dx dxdy A x x px D====⎰⎰⎰⎰⎰, 0002053211100x dx px x A xdy dx A xdxdy A x x x px D====⎰⎰⎰⎰⎰,000208311100y p x d x A y d y dx A ydxdy A y x x px D====⎰⎰⎰⎰⎰,所求质心为)83 ,53(00y x(2)D 是半椭圆形闭区域}0 ,1 |),{(2222≥≤+y by a x y x ;解 令密度为μ=1. 因为闭区域D 对称于y 轴, 所以0=x . ab dxdy A Dπ21==⎰⎰(椭圆的面积),π34)(21112222022b dx x a a b A ydy dx A ydxdy A y aa aa x a Dab=-⋅===⎰⎰⎰⎰⎰---, 所求质心为)34 ,0(πb .(3)D 是介于两个圆r =a cos θ, r =b cos θ(0<a <b )之间的闭区域. 解 令密度为μ=1. 由对称性可知0=y . )(4)2()2(2222a b a b d x d y A D-=-==⎰⎰πππ(两圆面积的差),)(2c o s 212220c o s c o s b a ab b a dr r r d A xdxdy A x b a D+++=⋅⋅==⎰⎰⎰⎰πθθθθ, 所求质心是)0 ,)(2(22b a ab b a +++.5. 设平面薄片所占的闭区域D 由抛物线y =x 2及直线y =x 所围成, 它在点(x , y )处的面密度μ(x , y )=x 2y , 求该薄片的质心.解 351)(21),(10641022=-===⎰⎰⎰⎰⎰dx x x ydy x dx dxdy y x M x x Dμ 4835)(2111),(110751032=-===⎰⎰⎰⎰⎰dx x x M ydy x dx M dxdy y x x M x x x Dμ, 5435)(3111),(1108510222=-===⎰⎰⎰⎰⎰dx x x M dy y x dx M dxdy y x y M y x x Dμ,质心坐标为)5435 ,4835(. 6. 设有一等腰直角三角形薄片, 腰长为a , 各点处的面密度等于该点到直角顶点的距离的平方, 求这薄片的质心.解 建立坐标系, 使薄片在第一象限, 且直角边在坐标轴上. 薄片上点(x , y )处的函数为μ=x 2+y 2. 由对称性可知y x =. 4022061)(),(a dy y x dx dxdy y x M x a aD=+==⎰⎰⎰⎰-μ,a dy y x xdx M dxdy y x x M y x xa a D52)(1),(10220=+===⎰⎰⎰⎰-μ,薄片的质心坐标为)52 ,52(a a .7. 利用三重积分计算下列由曲面所围成立体的质心(设密度ρ=1): (1)z 2=x 2+y 2, z =1;解 由对称性可知, 重心在z 轴上, 故0==y x . π31==⎰⎰⎰Ωdv V (圆锥的体积),431120101===⎰⎰⎰⎰⎰⎰Ωπθr zdz rdr d V zdv V z ,所求立体的质心为)43 ,0 ,0(. (2)222y x A z --=, 222y x a z --=(A >a >0), z =0; 解 由对称性可知, 重心在z 轴上, 故0==y x .)(3232323333a A a A dv V -=-==⎰⎰⎰Ωπππ(两个半球体体积的差),)(8)(3c o s s i n 1c o s s i n 133442000332a A a A dr r d d V d drd r V z A --===⎰⎰⎰⎰⎰⎰Ωππϕϕϕθθϕϕϕ, 所求立体的质心为))(8)(3,0 ,0(3344a A a A --. (3)z =x 2+y 2, x +y =a , x =0, y =0, z =0.解 ⎰⎰⎰-+=axa y x dz dy dx V 0022⎰⎰-+=a xa dy y x dx 022)(⎰-+-=adx x a x a x 032])(31)([461a =,⎰⎰⎰Ω=x d v V x 1a a a dz dy xdx V axa y x 52611511450022===⎰⎰⎰-+,a x y 52==,⎰⎰⎰Ω=z d v V z 1⎰⎰⎰-+=a x a y x z d zdy dx V 0002212307a =, 所以立体的重心为)307,52,52(2a a a .8. 设球体占有闭区域Ω={(x , y , z )|x 2+y 2+z 2≤2Rz }, 它在内部各点的密度的大小等于该点到坐标原点的距离的平方, 试求这球体的质心.解 球体密度为ρ=x 2+y 2+z 2. 由对称性可知质心在z 轴上, 即0==y x . 在球面坐标下Ω可表示为: ϕπϕπθcos 20 ,20 ,20R r ≤≤≤≤≤≤, 于是⎰⎰⎰⎰⎰⎰⋅==Ωππϕϕϕθρ2020cos 2022sin R dr r r d d dv M⎰=2055c o s s i n 5322πϕϕϕπd R 51532R π=,⎰⎰⎰⎰⎰⎰Ω==ππϕϕϕϕθρ2020cos 205cos sin 11R dr r d d M zdv Mz R r R d R M 45153238cos sin 6642562076===⎰ππϕϕϕππ,故球体的质心为)45 ,0 ,0(R .9. 设均匀薄片(面密度为常数1)所占闭区域D 如下, 求指定的转动惯量:(1)}1 |),{(2222≤+=by a x y x D , 求I y ; 解 积分区域D 可表示为22 ,x a ab y x a a b a x a -≤≤--≤≤-,于是 ⎰⎰⎰⎰⎰------===aa x a a bx a ab aaDy dx x a x a b dy dx x dxdy x I 2222222222b a 341π=.提示: 4202422282sin 2 sin a tdt a t a x dx x a x aa ππ==-⎰⎰-.(2)D 由抛物线x y 292=与直线x =2所围成, 求I x 和I y ;解 积分区域可表示为2/32/3 ,20x y x x ≤≤-≤≤,于是 57222273220232/32/32202====⎰⎰⎰⎰⎰-dx x dy y dx dxdy y I Dx x x , 7962620252/32/32022====⎰⎰⎰⎰⎰-dx x dy dx x dxdy x I Dx x y . (3)D 为矩形闭区域{(x , y )|0≤x ≤a , 0≤y ≤b }, 求I x 和I y .解 331330202ab b a dy y dx dxdy y I Db a x =⋅===⎰⎰⎰⎰,331330022b a b a dy dx x dxdy x I Dbay =⋅===⎰⎰⎰⎰. 10. 已知均匀矩形板(面密度为常量μ)的长和宽分别为b 和h , 计算此矩形板对于通过其形心且分别与一边平行的两轴的转动惯量.。
高等数学习题解答第一章(7-11)第六节 极限存在准则 两个重要极限1.0;1;1;0;2;2/32. 1-e ;1432;0;;;--e e e e3. 证明:{n x }显然单调递增,1x 3≤,若31≤-n x ,则n x ≤33+≤3∴ {n x }单调有界,∴{n x }收敛,不妨设∞→n lim nx =a , 则有 a =3+a ,解得,a =(1+13)/2, 2)131(-=a∴2)131(lim +=∞→n n x4. 解:1)12111(22222+≤++++++≤+n n nn n n nn n Λ11limlim22=+=+∞→∞→n n n n nn n∴1)12111(lim 222=++++++∞→nn n n n Λ第七节 无穷小的比较1.(B )2. (A )3.证明: 令t x sin = , 1sin lim arcsin lim00==→→t txx t x∴当0→x 时,x x ~arcsin 。
4.解:(1)0lim→x x x 25tan =0lim →x x x 25=25 (2)0lim →x ())cos 1(arcsin 2x x x -=0lim→x 222x x x =∞(3)0lim→x x x )sin 21ln(-=0lim→x 2sin 2-=-xx(4)0lim →x =-+1)21ln(3x e x 3232lim 0=→x x x (5)0lim→x x x x 3sin sin tan -=0lim →x =-xx x x cos )cos 1(sin 30lim →x 322xx x =1/2(6)0lim →x ⎪⎭⎫ ⎝⎛-x x tan 1sin 1=0lim→x x x sin cos 1-=0lim →x 022=x x (7)431)3tan arctan (lim 220=+=+++→nn n n n a n n 第八节 函数的连续性与间断点1.0 ; 2. 充要;3. 2;4. D 5. B 6. C7. 解:12121lim 1212lim )(lim 0=+-=+-=--+∞→+∞→→+t tt tt t x x f1)(lim 0-=-→x f x∴ )(x f 在x=0 不连续,且x=0 为函数)(x f 的第一类间断点。
习题9-11. 设有一平面薄板(不计其厚度), 占有xOy 面上的闭区域D , 薄板上分布有密度为μ =μ(x , y )的电荷, 且μ(x , y )在D 上连续, 试用二重积分表达该板上全部电荷Q .解 板上的全部电荷应等于电荷的面密度μ(x , y )在该板所占闭区域D 上的二重积分⎰⎰=Dd y x Q σμ),(.2. 设⎰⎰+=13221)(D d y x I σ, 其中D 1={(x , y )|-1≤x ≤1, -2≤y ≤2};又⎰⎰+=23222)(D d y x I σ, 其中D 2={(x , y )|0≤x ≤1, 0≤y ≤2}.试利用二重积分的几何意义说明I 1与I 2的关系.解 I 1表示由曲面z =(x 2+y 2)3与平面x =±1, y =±2以及z =0围成的立体V 的体积.I 2表示由曲面z =(x 2+y 2)3与平面x =0, x =1, y =0, y =2以及z =0围成的立体V 1的体积.显然立体V 关于yOz 面、xOz 面对称, 因此V 1是V 位于第一卦限中的部分, 故V =4V 1, 即I 1=4I 2.3. 利用二重积分的定义证明: (1)⎰⎰=Dd σσ (其中σ为D 的面积);证明 由二重积分的定义可知,⎰⎰∑=→∆=Dni iiif d y x f 1),(lim ),(σηξσλ其中∆σi 表示第i 个小闭区域的面积. 此处f (x , y )=1, 因而f (ξ, η)=1, 所以,σσσσλλ==∆=→=→⎰⎰∑01lim lim Dni id .(2)⎰⎰⎰⎰=DDd y x f k d y x kf σσ),(),( (其中k 为常数);证明∑⎰⎰∑=→=→∆=∆=ni i i i Dni iiif k kf d y x kf 11),(lim ),(lim ),(σηξσηξσλλ⎰⎰∑=∆==→Dn i i i i d y x f k f k σσηξλ),(),(lim 10. (3)⎰⎰⎰⎰⎰⎰+=21),(),(),(D DD d y x f d y x f d y x f σσσ,其中D =D 1⋃D 2, D 1、D 2为两个无公共内点的闭区域.证明 将D 1和D 2分别任意分为n 1和n 2个小闭区域1i σ∆和2i σ∆, n 1+n 2=n , 作和∑∑∑===∆+∆=∆2222211111111),(),(),(n i i i i n i i i i ni iiif f f σηξσηξσηξ.令各1i σ∆和2i σ∆的直径中最大值分别为λ1和λ2, 又λ=ma x (λ1λ2), 则有∑=→∆ni i i i f 10),(lim σηξλ∑∑=→=→∆+∆=22222211111111),(lim ),(lim n i i i i n i i i i f f σηξσηξλλ, 即 ⎰⎰⎰⎰⎰⎰+=21),(),(),(D D Dd y x f d y x f d y x f σσσ.4. 根据二重积分的性质, 比较下列积分大小:(1)⎰⎰+Dd y x σ2)(与⎰⎰+Dd y x σ3)(, 其中积分区域D 是由x 轴, y 轴与直线x +y =1所围成;解 区域D 为: D ={(x , y )|0≤x , 0≤y , x +y ≤1}, 因此当(x , y )∈D 时, 有(x +y )3≤(x +y )2, 从而⎰⎰+Dd y x σ3)(≤⎰⎰+Dd y x σ2)(. (2)⎰⎰+Dd y x σ2)(与⎰⎰+Dd y x σ3)(, 其中积分区域D 是由圆周(x -2)2+(y -1)2=2所围成;解 区域D 如图所示, 由于D 位于直线x +y =1的上方, 所以当(x , y )∈D 时, x +y ≥1, 从而(x +y )3≥(x +y )2, 因而⎰⎰⎰⎰+≤+DDd y x d y x σσ32)()(. (3)⎰⎰+Dd y x σ)ln(与⎰⎰+Dd y x σ3)(, 其中D 是三角形闭区域, 三角顶点分别为(1, 0), (1, 1), (2, 0);解 区域D 如图所示, 显然当(x , y )∈D 时, 1≤x +y ≤2, 从而0≤ln(x +y )≤1, 故有[ln(x +y )]2≤ ln(x +y ), 因而⎰⎰⎰⎰+≥+DDd y x d y x σσ)ln()][ln(2. (4)⎰⎰+Dd y x σ)ln(与⎰⎰+Dd y x σ3)(, 其中D ={(x , y )|3≤x ≤5. 0≤y ≤1}.解 区域D 如图所示, 显然D 位于直线x +y =e 的上方, 故当(x , y )∈D 时, x +y ≥e , 从而ln(x +y )≥1, 因而 [ln(x +y )]2≥ln(x +y ), 故⎰⎰⎰⎰+≤+DDd y x d y x σσ2)][ln()ln(. 5. 利用二重积分的性质估计下列积分的值: (1)⎰⎰+=Dd y x xy I σ)(, 其中D ={(x , y )| 0≤x ≤1, 0≤y ≤1};解 因为在区域D 上0≤x ≤1, 0≤y ≤1, 所以 0≤xy ≤1, 0≤x +y ≤2, 进一步可得0≤xy (x +y )≤2, 于是⎰⎰⎰⎰⎰⎰≤+≤DDDd d y x xy d σσσ2)(0,即 ⎰⎰≤+≤Dd y x xy 2)(0σ.(2)⎰⎰=Dyd x I σ22sin sin , 其中D ={(x , y )| 0≤x ≤π, 0≤y ≤π};解 因为0≤sin 2x ≤1, 0≤sin 2y ≤1, 所以0≤sin 2x sin 2y ≤1. 于是⎰⎰⎰⎰⎰⎰≤≤DDDd yd x d σσσ1sin sin 022, 即 ⎰⎰≤≤Dyd x 222sin sin 0πσ.(3)⎰⎰++=Dd y x I σ)1(, 其中D ={(x , y )| 0≤x ≤1, 0≤y ≤2};解 因为在区域D 上, 0≤x ≤1, 0≤y ≤2, 所以1≤x +y +1≤4, 于是⎰⎰⎰⎰⎰⎰≤++≤DDDd d y x d σσσ4)1(,即 ⎰⎰≤++≤Dd y x 8)1(2σ.(4)⎰⎰++=Dd y x I σ)94(22, 其中D ={(x , y )| x 2+y 2 ≤4}.解 在D 上, 因为0≤x 2+y 2≤4, 所以 9≤x 2+4y 2+9≤4(x 2+y 2)+9≤25. 于是⎰⎰⎰⎰⎰⎰≤++≤DDDd d y x d σσσ25)94(922, ⎰⎰⋅⋅≤++≤Dd y x 2222225)94(29πσπ,即 ⎰⎰≤++≤Dd y x πσπ100)94(3622.习题9-21. 计算下列二重积分:(1)⎰⎰+Dd y x σ)(22, 其中D ={(x , y )| |x |≤1, |y |≤1};解 积分区域可表示为D : -1≤x ≤1, -1≤y ≤1. 于是⎰⎰+Dd y x σ)(22y d y x dx ⎰⎰--+=111122)(x d y y x ⎰--+=111132]31[ x d x ⎰-+=112)312(113]3232[-+=x x 38=. (2)⎰⎰+Dd y x σ)23(, 其中D 是由两坐标轴及直线x +y =2所围成的闭区域:解 积分区域可表示为D : 0≤x ≤2, 0≤y ≤2-x . 于是⎰⎰+Dd y x σ)23(y d y x dx x⎰⎰-+=2020)23(dx y xy x ⎰-+=222]3[ dx x x ⎰-+=202)224(0232]324[x x x -+=320=. (3)⎰⎰++Dd y y x x σ)3(223, 其中D ={(x , y )| 0≤x ≤1, 0≤y ≤1};解⎰⎰++Dd y y x x σ)3(323⎰⎰++=132310)3(dx y y x x dy ⎰++=1001334]4[dy x y y x x⎰++=103)41(dy y y 0142]424[y y y ++=1412141=++=.(4)⎰⎰+Dd y x x σ)cos(, 其中D 是顶点分别为(0, 0), (π, 0), 和(π, π)的三角形闭区域.解 积分区域可表示为D : 0≤x ≤π, 0≤y ≤x . 于是,⎰⎰+Dd y x x σ)cos(⎰⎰+=x dy y x xdx 00)cos(π⎰+=π0)][sin(dx y x x x⎰-=π0)s i n 2(s i n dx x x x ⎰--=π0)c o s 2c o s 21(x x xd+--=0|)c o s 2c o s 21(πx x x dx x x ⎰-π0)cos 2cos 21(π23-=. .2. 画出积分区域, 并计算下列二重积分:(1)⎰⎰Dd y x σ, 其中D 是由两条抛物线x y =, 2x y =所围成的闭区域;解 积分区域图如, 并且D ={(x , y )| 0≤x ≤1, x y x ≤≤2}. 于是⎰⎰D d y xσ⎰⎰=102dy y x dx xx⎰=10223]32[dx y x x x 556)3232(1047=-=⎰dx x x .(2)⎰⎰Dd xy σ2, 其中D 是由圆周x 2+y 2=4及y 轴所围成的右半闭区域; 解 积分区域图如, 并且D ={(x , y )| -2≤y ≤2, 240y x -≤≤}. 于是⎰⎰⎰⎰⎰----=22402240222222]21[dy y x dx xy dy d xy y y Dσ1564]10132[)212(22225342=-=-=--⎰y y dy y y . (3)⎰⎰+Dy x d e σ, 其中D ={(x , y )| |x |+|y |≤1};解 积分区域图如, 并且D ={(x , y )| -1≤x ≤0, -x -1≤y ≤x +1}⋃{(x , y )| 0≤x ≤1, x -1≤y ≤-x +1}. 于是⎰⎰⎰⎰⎰⎰+--+---++=1110111x x y x x x y x Dy x dy e dx e dy e dx e d e σ⎰⎰+---+--+=10110111][][dy e e dx e e x x y x x x y x ⎰⎰---+-+-=11201112)()(dx e e dx e ex x 101201112]21[]21[---+-+-=x x e ex x e e =e -e -1. (4)⎰⎰-+Dd x y x σ)(22, 其中D 是由直线y =2, y =x 及y =2x 轴所围成的闭区域.解 积分区域图如, 并且D ={(x , y )| 0≤y ≤2, y x y ≤≤21}. 于是⎰⎰⎰⎰⎰-+=-+=-+2022232222022]2131[)()(dy x x y x dx x y x dy d x y x y y y y Dσ613)832419(2023=-=⎰dy y y .3. 如果二重积分⎰⎰Ddxdy y x f ),(的被积函数f (x , y )是两个函数f 1(x )及f 2(y )的乘积,即f (x , y )= f 1(x )⋅f 2(y ), 积分区域D ={(x , y )| a ≤x ≤b , c ≤ y ≤d }, 证明这个二重积分等于两个单积分的乘积, 即 ])([])([)()(2121dy y f dx x f dxdy y f x f dcb aD⎰⎰⎰⎰⋅=⋅证明dx dy y f x f dy y f x f dx dxdy y f x f dcb a d cb aD⎰⎰⎰⎰⎰⎰⋅=⋅=⋅])()([)()()()(212121,而⎰⎰=⋅dcdc dy y f x f dy y f x f )()()()(2121,故 dx dy y f x f dxdy y f x f b a dcD⎰⎰⎰⎰=⋅])()([)()(2121.由于⎰dcdy y f )(2的值是一常数, 因而可提到积分号的外面, 于是得])([])([)()(2121dy y f dx x f dxdy y f x f dcb a D⎰⎰⎰⎰⋅=⋅4. 化二重积分⎰⎰=Dd y x f I σ),(为二次积分(分别列出对两个变量先后次序不同的两个二次积分), 其中积分区域D 是:(1)由直线y =x 及抛物线y 2=4x 所围成的闭区域; 解积分区域如图所示, 并且D ={(x , y )|x y x x 2 ,40≤≤≤≤}, 或D ={(x , y )| y x y y ≤≤≤≤241 ,40},所以 ⎰⎰=xxdy y x f dx I 240),(或⎰⎰=yy dx y x f dy I 4402),(.(2)由x 轴及半圆周x 2+y 2=r 2(y ≥0)所围成的闭区域; 解积分区域如图所示, 并且D ={(x , y )|220 ,x r y r x r -≤≤≤≤-},或D ={(x , y )| 2222 ,0y r x y r r y -≤≤--≤≤}, 所以 ⎰⎰--=220),(x r rr dy y x f dx I , 或⎰⎰---=2222),(0y r y r r dx y x f dy I .(3)由直线y =x , x =2及双曲线x y 1=(x >0)所围成的闭区域;解积分区域如图所示, 并且D ={(x , y )|x y xx ≤≤≤≤1 ,21},或D ={(x , y )| 21 ,121≤≤-≤≤x y y }⋃{(x , y )|2 ,21≤≤≤≤x y y },所以 ⎰⎰=x xdy y x f dx I 1),(21, 或⎰⎰⎰⎰+=22121121),(),(yydx y x f dy dx y x f dy I .(4)环形闭区域{(x , y )| 1≤x 2+y 2≤4}.解 如图所示, 用直线x =-1和x =1可将积分区域D 分成四部分, 分别记做D 1, D 2,D 3, D 4. 于是⎰⎰⎰⎰⎰⎰⎰⎰+++=4321),(),(),(),(D D D D d y x f d y x f d y x f d y x f I σσσσ⎰⎰⎰⎰--------+=222244411112),(),(x x x x dy y x f dx dy y x f dx ⎰⎰⎰⎰--------++222214442111),(),(x x x x dy y x f dx dy y x f dx用直线y =1, 和y =-1可将积分区域D 分成四部分, 分别记做D 1, D 2, D 3, D 4, 如图所示. 于是⎰⎰⎰⎰⎰⎰⎰⎰+++=4321),(),(),(),(D D D D d y x f d y x f d y x f d y x f I σσσσ⎰⎰⎰⎰--------+=222244141121),(),(y y y y dx y x f dy dx y x f dy⎰⎰⎰⎰--------++222241441211),(),(y y y y dx y x f dy dx y x f dy5. 设f (x , y )在D 上连续, 其中D 是由直线y =x 、y =a 及x =b (b >a )围成的闭区域, 证明:⎰⎰⎰⎰=bybaxabadx y x f dy dy y x f dx ),(),(.证明 积分区域如图所示, 并且积分区域可表示为 D ={(x , y )|a ≤x ≤b , a ≤y ≤x }, 或D ={(x , y )|a ≤y ≤b , y ≤x ≤b }. 于是⎰⎰Dd y x f σ),(⎰⎰=x a b a dy y x f dx ),(, 或⎰⎰Dd y x f σ),(⎰⎰=by b a dx y x f dy ),(.因此⎰⎰⎰⎰=byb ax abadx y x f dy dy y x f dx ),(),(.6. 改换下列二次积分的积分次序: (1)⎰⎰ydx y x f dy 01),(;解 由根据积分限可得积分区域D ={(x , y )|0≤y ≤1, 0≤x ≤y }, 如图. 因为积分区域还可以表示为D ={(x , y )|0≤x ≤1, x ≤y ≤1}, 所以⎰⎰⎰⎰=11010),(),(xy dy y x f dx dx y x f dy .(2)⎰⎰yydx y x f dy 222),(;解 由根据积分限可得积分区域D ={(x , y )|0≤y ≤2, y 2≤x ≤2y }, 如图. 因为积分区域还可以表示为D ={(x , y )|0≤x ≤4, x y x ≤≤2}, 所以⎰⎰y ydx y x f dy 222),(⎰⎰=402),(xx dy y x f dx .(3)⎰⎰---221110),(y y dx y x f dy ;解 由根据积分限可得积分区域}11 ,10|),{(22y x y y y x D -≤≤--≤≤=, 如图. 因为积分区域还可以表示为}10 ,11|),{(2x y x y x D -≤≤≤≤-=, 所以⎰⎰⎰⎰-----=22210111110),(),(x y ydy y x f dx dx y x f dy(4)⎰⎰--21222),(x x xdy y x f dx ;解 由根据积分限可得积分区域}22 ,21|),{(2x x y x x y x D -≤≤-≤≤=, 如图. 因为积分区域还可以表示为}112 ,10|),{(2y x y y y x D -+≤≤-≤≤=, 所以⎰⎰--21222),(x x xdy y x f dx ⎰⎰-+-=11122),(y ydx y x f dy .(5)⎰⎰e xdy y x f dx 1ln 0),(;解 由根据积分限可得积分区域D ={(x , y )|1≤x ≤e , 0≤y ≤ln x }, 如图. 因为积分区域还可以表示为D ={(x , y )|0≤y ≤1, e y ≤x ≤ e }, 所以⎰⎰exdy y x f dx 1ln 0),(⎰⎰=10),(ee y dx y xf dy(6)⎰⎰-xx dy y x f dx sin 2sin0),(π(其中a ≥0).解 由根据积分限可得积分区域}sin 2sin ,0|),{(x y x x y x D ≤≤-≤≤=π, 如图.因为积分区域还可以表示为}a r c s i n 2 ,01|),{(π≤≤-≤≤-=x y y y x D }a r c s i n a r c s i n ,10|),{(y x y y y x -≤≤≤≤⋃π, 所以⎰⎰⎰⎰⎰⎰----+=yyyxxdx y x f dy dx y x f dy dy y x f dx arcsin arcsin 10arcsin 201sin 2sin 0),(),(),(πππ.7. 设平面薄片所占的闭区域D 由直线x +y =2, y =x 和x 轴所围成, 它的面密度为μ(x , y )=x 2+y 2, 求该薄片的质量. 解 如图, 该薄片的质量为⎰⎰=Dd y x M σμ),(⎰⎰+=Dd y x σ)(22⎰⎰-+=10222)(yydx y x dy⎰-+-=10323]372)2(31[dy y y y 34=.8. 计算由四个平面x =0, y =0, x =1, y =1所围成的柱体被平面z =0及2x +3y +z =6截得的立体的体积.解 四个平面所围成的立体如图, 所求体积为⎰⎰--=Ddxdy y x V )326(⎰⎰--=110)326(dy y x dx⎰--=10102]2326[dx y xy y ⎰=-=1027)229(dx x .9. 求由平面x =0, y =0, x +y =1所围成的柱体被平面z =0及抛物面x 2+y 2=6-z 截得的立体的体积.解 立体在xOy 面上的投影区域为D ={(x , y )|0≤x ≤1, 0≤y ≤1-x }, 所求立体的体积为以曲面z =6-x 2-y 2为顶, 以区域D 为底的曲顶柱体的体积, 即⎰⎰--=Dd y x V σ)6(22⎰⎰---=101022)6(xdy y x dx 617=.10. 求由曲面z =x 2+2y 2及z =6-2x 2-y 2所围成的立体的体积.解 由⎩⎨⎧--=+=2222262y x z y x z 消去z , 得x 2+2y 2=6-2x 2-y 2, 即x 2+y 2=2, 故立体在x O y 面上的投影区域为x 2+y 2≤2, 因为积分区域关于x 及y 轴均对称, 并且被积函数关于x , y都是偶函数, 所以⎰⎰+---=Dd y x y x V σ)]2()26[(2222⎰⎰--=Dd y x σ)336(22⎰⎰---=2202220)2(12x dy y x dx π6)2(8232=-=⎰dx x .11. 画出积分区域, 把积分⎰⎰Ddxdy y x f ),(表示为极坐标形式的二次积分, 其中积分区域D 是:(1){(x , y )| x 2+y 2≤a 2}(a >0);解积分区域D 如图. 因为D ={(ρ, θ)|0≤θ≤2π, 0≤ρ≤a }, 所以⎰⎰⎰⎰=DDd d f dxdy y x f θρρθρθρ)sin ,cos (),(⎰⎰=πρρθρθρθ200)s i n ,c o s (d f d a. (2){(x , y )|x 2+y 2≤2x };解 积分区域D 如图. 因为}cos 20 ,22|),{(θρπθπθρ≤≤≤≤-=D , 所以⎰⎰⎰⎰=DDd d f dxdy y x f θρρθρθρ)sin ,cos (),(⎰⎰-=22c o s20)s i n ,co s (ππθρρθρθρθd f d .(3){(x , y )| a 2≤x 2+y 2≤b 2}, 其中0<a <b ;解 积分区域D 如图. 因为D ={(ρ, θ)|0≤θ≤2π, a ≤ρ≤b }, 所以⎰⎰⎰⎰=DDd d f dxdy y x f θρρθρθρ)sin ,cos (),(⎰⎰=πρρθρθρθ20)s i n ,c o s (bad f d .(4){(x , y )| 0≤y ≤1-x , 0≤x ≤1}.解 积分区域D 如图. 因为}sin cos 10 ,20|),{(θθρπθθρ+≤≤≤≤=D , 所以⎰⎰⎰⎰=DDd d f dxdy y x f θρρθρθρ)sin ,cos (),(⎰⎰+=θθρρθρθρθπs i nc o s 1020)s i n ,c o s (d f d .12. 化下列二次积分为极坐标形式的二次积分: (1)⎰⎰101),(dy y x f dx ;解 积分区域D 如图所示. 因为}c s c 0 ,24|),{(}sec 0 ,40|),{(θρπθπθρθρπθθρ≤≤≤≤⋃≤≤≤≤=D ,所以⎰⎰⎰⎰⎰⎰==DDd d f d y x f dy y x f dx θρρθρθρσ)sin ,cos (),(),(0⎰⎰=4s e c)s i n ,c o s (πθρρθρθρθd f d ⎰⎰+2c s c)s i n ,c o s (ππθρρθρθρθd f d .(2)⎰⎰+xxdy y x f dx 32220)(;解 积分区域D 如图所示, 并且 }s e c 20 ,34|),{(θρπθπθρ≤≤≤≤=D ,所示⎰⎰⎰⎰⎰⎰=+=+xxDDd d f d y x f dy y x f dx 3222220)()()(θρρρσ⎰⎰=34sec 20)(ππθρρρθd f d .(3)⎰⎰--2111),(x xdy y x f dx ;解 积分区域D 如图所示, 并且}1s i n c o s 1 ,20|),{(≤≤+≤≤=ρθθπθθρD ,所以⎰⎰⎰⎰⎰⎰--==10112)sin ,cos (),(),(x xDDd d f d y x f dy y x f dx θρρθρθρσ⎰⎰+=2s i nc o s 11)s i n ,c o s (πθθρρθρθρθd f d(4)⎰⎰210),(x dy y x f dx .解 积分区域D 如图所示, 并且}s e c t a n s e c ,40|),{(θρθθπθθρ≤≤≤≤=D ,所以⎰⎰210),(x dy y x f dx ⎰⎰⎰⎰==DDd d f d y x f θρρθρθρσ)sin ,cos (),(⎰⎰=0s e ct a ns e c )s i n ,c o s (πθθθρρθρθρθd f d13. 把下列积分化为极坐标形式, 并计算积分值: (1)⎰⎰-+2202220)(x ax ady y x dx ;解 积分区域D 如图所示. 因为}cos 20 ,20|),{(θρπθθρa D ≤≤≤≤=, 所以⎰⎰-+2202220)(x ax ady y x dx ⎰⎰⋅=Dd d θρρρ2⎰⎰⋅=20c o s202πθρρρθa d d ⎰=2044c o s 4πθθd a 443a π=.(2)⎰⎰+dy y x dx 0220;解 积分区域D 如图所示. 因为}sec 0 ,40|),{(θρπθθρa D ≤≤≤≤=, 所以⎰⎰⎰⎰⋅=+Dxad d dy y x dx θρρρ0220⎰⎰⋅=40s e cπθρρρθa d d ⎰=4033s e c 3πθθd a )]12ln(2[63++=a .(3)⎰⎰-+xxdyy xdx 2212210)(;解 积分区域D 如图所示. 因为}tan sec 0 ,40|),{(θθρπθθρ≤≤≤≤=D , 所以⎰⎰⎰⎰⋅=+--Dxx d d dy y xdx θρρρ212122102)(12t a n s e c 40t a ns e c 02140-==⋅=⎰⎰⎰-πθθπθθθρρρθd d d .(4)⎰⎰-+220220)(y a a dx y x dy .解 积分区域D 如图所示. 因为}0 ,20|),{(a D ≤≤≤≤=ρπθθρ, 所以⎰⎰⎰⎰⋅=+-Dy a ad d dx y x dy θρρρ2022022)(40028a d d aπρρρθπ=⋅=⎰⎰.14. 利用极坐标计算下列各题: (1)⎰⎰+Dy xd e σ22,其中D 是由圆周x 2+y 2=4所围成的闭区域;解 在极坐标下D ={(ρ, θ)|0≤θ≤2π, 0≤ρ≤2}, 所以⎰⎰⎰⎰=+DDy x d d e d e θρρσρ222)1()1(2124420202-=-⋅==⎰⎰e e d e d ππρρθπρ. (2)⎰⎰++Dd y x σ)1ln(22,其中D 是由圆周x 2+y 2=1及坐标轴所围成的在第一象限内的闭区域;解 在极坐标下}10 ,20|),{(≤≤≤≤=ρπθθρD , 所以⎰⎰⎰⎰+=++DDd d d y x θρρρσ)1ln()1ln(222)12l n 2(41)12l n 2(212)1l n (20102-=-⋅=+=⎰⎰πρρρθπd d .(3)σd x yDarctan ⎰⎰, 其中D 是由圆周x 2+y 2=4, x 2+y 2=1及直线y =0, y =x 所围成的第一象限内的闭区域.解 在极坐标下}21 ,40|),{(≤≤≤≤=ρπθθρD , 所以⎰⎰⎰⎰⎰⎰⋅=⋅=DDDd d d d d xyθρρθθρρθσ)arctan(tan arctan⎰⎰⋅=021πρρθθd d ⎰⎰==40321643ππρρθθd d . 15. 选用适当的坐标计算下列各题:(1)dxdy yx D 22⎰⎰,其中D 是由直线x =2,y =x 及曲线xy =1所围成的闭区域.解 因为积分区域可表示为}1 ,21|),{(x y xx y x D ≤≤≤≤=, 所以d x d y yx D 22⎰⎰dy y dx x x x ⎰⎰=211221⎰-=213)(dx x x 49=.(2)⎰⎰++--Dd yx y x σ222211, 其中D 是由圆周x 2+y 2=1及坐标轴所围成的在第一象限内的闭区域;解 在极坐标下}10 ,20|),{(≤≤≤≤=ρπθθρD , 所以⎰⎰⎰⎰⋅+-=++--DD d d d y x y x θρρρρσ2222221111)2(811102220-=+-=⎰⎰ππρρρρθπd d .(3)⎰⎰+Dd y x σ)(22, 其中D 是由直线y =x , y =x +a , y =a , y =3a (a >0)所围成的闭区域;解 因为积分区域可表示为D ={(x , y )|a ≤y ≤3a , y -a ≤x ≤y }, 所以⎰⎰+D d y x σ)(22⎰⎰-+=a a ya y dx y x dy 322)(4332214)312(a dy a y a ay a a =+-=⎰.(4)σd y x D22+⎰⎰, 其中D 是圆环形闭区域{(x , y )| a 2≤x 2+y 2≤b 2}.解 在极坐标下D ={(ρ, θ)|0≤θ≤2π, a ≤ρ≤b }, 所以 σd y x D22+⎰⎰)(3233202a b dr r d b a -==⎰⎰πθπ.16. 设平面薄片所占的闭区域D 由螺线ρ=2θ上一段弧(20πθ≤≤)与直线2πθ=所围成, 它的面密度为μ(x , y )=x 2+y 2. 求这薄片的质量.解 区域如图所示. 在极坐标下}20 ,20|),{(θρπθθρ≤≤≤≤=D , 所以所求质量⎰⎰⎰⎰⋅==Dd d d y x M 20202),(πθρρρθσμ⎰==254404ππθθd .17. 求由平面y =0, y =kx (k >0), z =0以及球心在原点、半径为R 的上半球面所围成的在第一卦限内的立体的体积.解 此立体在xOy 面上的投影区域D ={(x , y )|0≤θ≤arctan k , 0≤ρ≤R }.⎰⎰--=D dxdy y x R V 222k R d R d k Ra r c t a n313a r c t a n 0022=-=⎰⎰ρρρθ. 18. 计算以xOy 平面上圆域x 2+y 2=ax 围成的闭区域为底, 而以曲面z =x 2+y 2为顶的曲顶柱体的体积.解 曲顶柱体在xOy 面上的投影区域为D ={(x , y )|x 2+y 2≤ax }. 在极坐标下}cos 0 ,22|),{(θρπθπθρa D ≤≤≤≤-=, 所以⎰⎰≤++=axy x dxdy y xV 22)(22πθθρρρθππθππ422c o s22442323cos 4a d a d d a ==⋅=⎰⎰⎰--. 习题9-31. 化三重积分dxdydz z y x f I ),,(Ω⎰⎰⎰=为三次积分, 其中积分区域Ω分别是:(1)由双曲抛物面xy =z 及平面x +y -1=0, z =0所围成的闭区域; 解 积分区域可表示为Ω={(x , y , z )| 0≤z ≤xy , 0≤y ≤1-x , 0≤x ≤1}, 于是 ⎰⎰⎰-=xyx dz z y x f dy dx I 01010),,(.(2)由曲面z =x 2+y 2及平面z =1所围成的闭区域; 解 积分区域可表示为}11 ,11 ,1|),,{(2222≤≤--≤≤--≤≤+=Ωx x y x z y x z y x , 于是 ⎰⎰⎰+----=111112222),,(y x x x dz z y x f dy dx I .(3)由曲面z =x 2+2y 2及z =2-x 2所围成的闭区域;解 曲积分区域可表示为}11 ,11 ,22|),,{(22222≤≤--≤≤---≤≤+=Ωx x y x x z y x z y x , 于是 ⎰⎰⎰-+----=22222221111),,(x y x x x dz z y x f dy dx I .提示: 曲面z =x 2+2y 2与z =2-x 2的交线在xOy 面上的投影曲线为x 2+y 2=1.(4)由曲面cz =xy (c >0), 12222=+by a x , z =0所围成的在第一卦限内的闭区域.解 曲积分区域可表示为}0 ,0 ,0|),,{(22a x x a a b y c xyz z y x ≤≤-≤≤≤≤=Ω,于是 ⎰⎰⎰-=xy abdz z y x f dy dx I x a a0),,(22.提示: 区域Ω的上边界曲面为曲面c z =xy , 下边界曲面为平面z =0.2. 设有一物体, 占有空间闭区域Ω={(x , y , z )|0≤x ≤1, 0≤y ≤1, 0≤z ≤1}, 在点(x , y , z )处的密度为ρ(x , y , z )=x +y +z , 计算该物体的质量.解 ⎰⎰⎰⎰⎰⎰++==Ω101010)(dz z y x dy dx dxdydz M ρ⎰⎰++=1010)21(dy y x dx⎰⎰+=++=1010102)1(]2121[dx x dx y y xy 23)1(21102=+=x .3. 如果三重积分dxdydz z y x f ),,(Ω⎰⎰⎰的被积函数f (x , y , z )是三个函数f 1(x )、f 2(y )、f 3(z )的乘积, 即f (x , y , z )= f 1(x )⋅f 2(y )⋅f 3(z ), 积分区域Ω={(x , y , z )|a ≤x ≤b , c ≤y ≤d , l ≤z ≤m }, 证明这个三重积分等于三个单积分的乘积, 即⎰⎰⎰⎰⎰⎰=Ωmldcb a dz z f dy y f dx x f dxdydz z f y f x f )()()()()()(321321.证明dxdydz z f y f x f )()()(321Ω⎰⎰⎰dx dy dz z f y f x f b a d c ml]))()()(([321⎰⎰⎰=dx dy dz z f y f x f b a d c ml ]))()()(([321⎰⎰⎰=⎰⎰⎰=mldcbadx dy y f dz z f x f )])()()()([(231 dx x f dy y f dz z f b a mldc)]())()()([(123⎰⎰⎰=⎰⎰⎰=dcbamldx x f dy y f dz z f )())()()((123 ⎰⎰⎰=dcmlbadz z f dy y f dx x f )()()(321.4. 计算dxdydz z xy 32Ω⎰⎰⎰, 其中Ω是由曲面z =xy , 与平面y =x , x =1和z =0所围成的闭区域.解 积分区域可表示为Ω={(x , y , z )| 0≤z ≤xy , 0≤y ≤x , 0≤x ≤1}, 于是d x d y d z z xy 32Ω⎰⎰⎰⎰⎰⎰=xy x dz z dy y xdx 030210⎰⎰=xxy dy z y xdx 004210]4[ ⎰⎰=x dy y dx x 051054136412811012==⎰dx x .5. 计算3)1(z y x dxdydz+++Ω⎰⎰⎰, 其中Ω为平面x =0, y =0, z =0, x +y +z =1所围成的四面体. 解 积分区域可表示为Ω={(x , y , z )| 0≤z ≤1-x -y , 0≤y ≤1-x , 0≤x ≤1},于是 3)1(z y x d x d y d z +++Ω⎰⎰⎰⎰⎰⎰---+++=y x x dz z y x dy dx 1031010)1(1 ⎰⎰--++=x dy y x dx 10210]81)1(21[dx x x ⎰+-+=10]8183)1(21[)852(l n 21-=.提示: ⎰⎰⎰Ω+++3)1(z y x dxdydz ⎰⎰⎰---+++=y x x dz z y x dy dx 1031010)1(1 ⎰⎰---+++-=xyx dy z y x dx 1010210])1(21[⎰⎰--++=x dy y x dx 10210]81)1(21[ dx y y x x-⎰-++-=1010]81)1(21[dx x x ⎰+-+=10]8183)1(21[ 102]16183)1ln(21[x x x +-+= )852(ln 21-=.6. 计算xyzdxdydz Ω⎰⎰⎰, 其中Ω为球面x 2+y 2+z 2=1及三个坐标面所围成的在第一卦限内的闭区域.解 积分区域可表示为}10 ,10 ,10|),,{(222≤≤-≤≤--≤≤=Ωx x y y x z z y x 于是x y z d x d y d Ω⎰⎰⎰⎰⎰⎰---=222101010x y x x y z d zdy dx ⎰⎰---=210221)1(21x dy y x xy dx ⎰-=1022)1(81dx x x 481=.7. 计算xzdxdydz Ω⎰⎰⎰, 其中Ω是由平面z =0, z =y , y =1以及抛物柱面y =x 2所围成的闭区域.解 积分区域可表示为Ω={(x , y , z )| 0≤z ≤y , x 2≤y ≤1, -1≤x ≤1}, 于是x z d x d y d z Ω⎰⎰⎰⎰⎰⎰-=yx z d z dy xdx 01112⎰⎰-=1211221x dy y xdx0)1(61116=-=⎰-dx x x .8. 计算zdxdydz Ω⎰⎰⎰, 其中Ω是由锥面22y x R h z +=与平面z =h (R >0, h >0)所围成的闭区域.解 当0≤z ≤h 时, 过(0, 0, z )作平行于xOy 面的平面, 截得立体Ω的截面为圆D z :222)(z hR y x =+, 故D z的半径为z h R , 面积为222z h R π, 于是 z d x d y d z Ω⎰⎰⎰=dxdy zdz zD h ⎰⎰⎰0⎰==h h R dz z h R 0223224ππ. 9. 利用柱面坐标计算下列三重积分:(1)zdv Ω⎰⎰⎰, 其中Ω是由曲面222y x z --=及z =x 2+y 2所围成的闭区域;解 在柱面坐标下积分区域Ω可表示为 0≤θ≤2π, 0≤ρ≤1, 222ρρ-≤≤z , 于是z d v Ω⎰⎰⎰⎰⎰⎰-=122022ρρπρρθz d z d d⎰--=1042)2(212ρρρρπdπρρρρπ127)2(1053=--=⎰d .(2)dv y x )(22+Ω⎰⎰⎰, 其中Ω是由曲面x 2+y 2=2z 及平面z =2所围成的闭区域.解 在柱面坐标下积分区域Ω可表示为0≤θ≤2π, 0≤ρ≤2, 222≤≤z ρ, 于是dv y x)(22+Ω⎰⎰⎰dz d d θρρρ⋅=Ω⎰⎰⎰2⎰⎰⎰=2123202ρπρρθdz d d ⎰⎰-=205320)212(ρρρθπd d ⎰==ππθ2031638d .10. 利用球面坐标计算下列三重积分:(1)dv z y x )(222++Ω⎰⎰⎰, 其中Ω是由球面x 2+y 2+z 2=1所围成的闭区域.解 在球面坐标下积分区域Ω可表示为 0≤θ≤2π, 0≤ϕ≤π, 0≤r ≤1,于是 dv z y x )(222++Ω⎰⎰⎰θϕϕd d r d r s i n 4⋅=Ω⎰⎰⎰⎰⎰⎰=104020s i n dr r d d ππϕϕθπ54=.(2)zdv Ω⎰⎰⎰, 其中闭区域Ω由不等式x 2+y 2+(z -a )2≤a 2, x 2+y 2≤z 2 所确定.解 在球面坐标下积分区域Ω可表示为 ϕπϕπθc o s 20 ,40 ,20a r ≤≤≤≤≤≤,于是 z d v Ω⎰⎰⎰θϕϕϕd d r d r r s i n c o s 2⋅=Ω⎰⎰⎰ ⎰⋅=404)c o s 2(41c o s s i n 2πϕϕϕϕπd a4405467c o s si n 8a d a πϕϕϕππ==⎰.11. 选用适当的坐标计算下列三重积分:(1)xydv Ω⎰⎰⎰, 其中Ω为柱面x 2+y 2=1及平面z =1, z =0, x =0, y =0所围成的在第一卦限内的闭区域;解 在柱面坐标下积分区域Ω可表示为 10 ,10 ,20≤≤≤≤≤≤z ρπθ,于是 x y d v Ω⎰⎰⎰dz d d θρρθρθρ⋅⋅=Ω⎰⎰⎰sin cos⎰⎰⎰==101032081c o s s i n dz d d ρρθθθπ.别解: 用直角坐标计算⎰⎰⎰Ωx y d v ⎰⎰⎰-=1010102dz ydy xdx x ⎰⎰-=21010x y d yx d x⎰-=103)22(dx x x 81]84[1042=-=x x . (2)dv z y x 222++Ω⎰⎰⎰, 其中Ω是由球面x 2+y 2+z 2=z 所围成的闭区域;解 在球面坐标下积分区域Ω可表示为 ϕπϕπθc o s 0 ,20 ,20≤≤≤≤≤≤r ,于是dv z y x 222++Ω⎰⎰⎰⎰⎰⎰⋅=ϕππϕϕθc o s22020s i n dr r r d d10cos 41sin 2204πϕϕϕππ=⋅=⎰d .(3)dv y x )(22+Ω⎰⎰⎰, 其中Ω是由曲面4z 2=25(x 2+y 2)及平面z =5所围成的闭区域;解 在柱面坐标下积分区域Ω可表示为 525 ,20 ,20≤≤≤≤≤≤z ρρπθ,于是dv y x )(22+Ω⎰⎰⎰⎰⎰⎰=5252320ρπρρθdz d d πρρρπ8)255(2203=-=⎰d . (4)dv y x )(22+Ω⎰⎰⎰, 其中闭区域Ω由不等式A z y x a ≤++≤<2220, z ≥0所确定.解 在球面坐标下积分区域Ω可表示为A r a ≤≤≤≤≤≤ ,20 ,20πϕπθ,于是 dv y x )(22+Ω⎰⎰⎰θϕϕθϕϕϕd d r d r r r s i n )s i n s i n c o s s i n(2222222+=Ω⎰⎰⎰)(154sin 55420320a A dr r d d Aa -==⎰⎰⎰πϕϕθππ.12. 利用三重积分计算下列由曲面所围成的立体的体积: (1)z =6-x 2-y 2及22y x z +=;解 在柱面坐标下积分区域Ω可表示为 0≤θ≤2 π, 0≤ρ≤2, ρ≤z ≤6-ρ2,于是 dz d d dv V θρρΩΩ⎰⎰⎰⎰⎰⎰==⎰⎰⎰-=262020ρρπρρθdz d d⎰=--=2032332)6(2πρρρρπd .(2)x 2+y 2+z 2=2az (a >0)及x 2+y 2=z 2(含有z 轴的部分); 解 在球面坐标下积分区域Ω可表示为ϕπϕπθc o s 20 ,40 ,20a r ≤≤≤≤≤≤,于是 θϕϕd d r d r dv V sin 2ΩΩ⎰⎰⎰⎰⎰⎰==⎰⎰⎰=ϕππϕϕθc o s2024020si n a dr r d d3033s i n c o s 382a d a πϕϕϕππ==⎰. (3)22y x z +=及z =x 2+y 2;解 在柱面坐标下积分区域Ω可表示为 0≤θ≤2π, 0≤ρ≤1, ρ2≤z ≤ρ,于是 6)(2103210202πρρρπρρθρρπ=-===⎰⎰⎰⎰⎰⎰⎰Ωd dz d d dv V .(4)225y x z --=及x 2+y 2=4z .解 在柱面坐标下积分区域Ω可表示为 22541 ,20 ,20ρρρπθ-≤≤≤≤≤≤z ,于是 ⎰⎰⎰-=225412020ρρπρρθdz d d V)455(32)45(22022-=--=⎰πρρρρπd .13. 球心在原点、半径为R 的球体, 在其上任意一点的密度的大小与这点到球心的距离成正比, 求这球体的质量.解 密度函数为222),,(z y x k z y x ++=ρ. 在球面坐标下积分区域Ω可表示为 0≤θ≤2π, 0≤ϕ≤π, 0≤r ≤R ,于是 dv z y x k M 222++=Ω⎰⎰⎰400220s i n R k dr r kr d d Rπϕϕθππ=⋅=⎰⎰⎰.习题9-41. 求球面x 2+y 2+z 2=a 2含在圆柱面x 2+y 2=ax 内部的那部分面积. 解 位于柱面内的部分球面有两块, 其面积是相同的.由曲面方程z =222y x a --得222y x a x x z ---=∂∂, 222y x a y y z ---=∂∂,于是 dxdy yz x z A axy x ⎰⎰≤+∂∂+∂∂+=2222)()(12dxdy yx a a axy x ⎰⎰≤+--=222222⎰⎰-=20c o s2214πθρρρθa d a d a )2(2)s i n(4220-=-=⎰πθθπa d a a a . 2. 求锥面z =22y x +被柱面z 2=2x 所割下的部分的曲面的面积.解 由z =22y x +和z 2=2x 两式消z 得x 2+y 2=2x , 于是所求曲面在xOy 面上的投影区域D 为x 2+y 2≤2x .由曲面方程22y x +得22y x x x z +=∂∂, 22y x y y z +=∂∂, 于是 dxdy yz x z A y x ⎰⎰≤+-∂∂+∂∂+=1)1(2222)()(1π221)1(22==⎰⎰≤+-dxdy y x .3. 求底面半径相同的两个直交柱面x 2+y 2=R 2及x 2+z 2=R 2所围立体的表面积. 解 设A 1为曲面22x R z -=相应于区域D : x 2+y 2≤R 2上的面积. 则所求表面积为A =4A 1.d x d y y z x z A D⎰⎰∂∂+∂∂+=22)()(14d x d yx R x D⎰⎰+--+=22220)(14 d x d y x R R D⎰⎰-=2242221681422R dx R dy x R dx R R R R R x R x R ==-=⎰⎰⎰-------. 4. 设薄片所占的闭区域D 如下, 求均匀薄片的质心:(1)D 由px y 2=, x =x 0, y =0所围成;解 令密度为μ=1.因为区域D 可表示为px y x x 20 ,00≤≤≤≤, 所以 3002023220px dx px dy dx dxdy A x x px D====⎰⎰⎰⎰⎰, 0002053211100x dx px x A xdy dx A xdxdy A x x x px D====⎰⎰⎰⎰⎰,000208311100y p x d x A y d y dx A ydxdy A y x x px D====⎰⎰⎰⎰⎰,所求质心为)83 ,53(00y x(2)D 是半椭圆形闭区域}0 ,1 |),{(2222≥≤+y by a x y x ; 解 令密度为μ=1. 因为闭区域D 对称于y 轴, 所以0=x . ab dxdy A Dπ21==⎰⎰(椭圆的面积),π34)(21112222022b dx x a a b A ydy dx A ydxdy A y aa aa x a Dab=-⋅===⎰⎰⎰⎰⎰---, 所求质心为)34 ,0(πb .(3)D 是介于两个圆r =a cos θ, r =b cos θ(0<a <b )之间的闭区域. 解 令密度为μ=1. 由对称性可知0=y . )(4)2()2(2222a b a b d x d y A D-=-==⎰⎰πππ(两圆面积的差),)(2c o s 212220c o s c o s b a ab b a dr r r d A xdxdy A x b a D+++=⋅⋅==⎰⎰⎰⎰πθθθθ, 所求质心是)0 ,)(2(22b a ab b a +++. 5. 设平面薄片所占的闭区域D 由抛物线y =x 2及直线y =x 所围成, 它在点(x , y )处的面密度μ(x , y )=x 2y , 求该薄片的质心.解 351)(21),(10641022=-===⎰⎰⎰⎰⎰dx x x ydy x dx dxdy y x M x x Dμ4835)(2111),(110751032=-===⎰⎰⎰⎰⎰dx x x M ydy x dx M dxdy y x x M x x x Dμ,5435)(3111),(1108510222=-===⎰⎰⎰⎰⎰dx x x M dy y x dx M dxdy y x y M y x x Dμ,质心坐标为)5435 ,4835(. 6. 设有一等腰直角三角形薄片, 腰长为a , 各点处的面密度等于该点到直角顶点的距离的平方, 求这薄片的质心.解 建立坐标系, 使薄片在第一象限, 且直角边在坐标轴上. 薄片上点(x , y )处的函数为μ=x 2+y 2. 由对称性可知y x =.4022061)(),(a dy y x dx dxdy y x M xa a D=+==⎰⎰⎰⎰-μ,a dy y x xdx M dxdy y x x M y x xa a D52)(1),(10220=+===⎰⎰⎰⎰-μ,薄片的质心坐标为)52 ,52(a a .7. 利用三重积分计算下列由曲面所围成立体的质心(设密度ρ=1): (1)z 2=x 2+y 2, z =1;解 由对称性可知, 重心在z 轴上, 故0==y x . π31==⎰⎰⎰Ωdv V (圆锥的体积),431120101===⎰⎰⎰⎰⎰⎰Ωπθr zdz rdr d V zdv V z ,所求立体的质心为)43 ,0 ,0(. (2)222y x A z --=, 222y x a z --=(A >a >0), z =0; 解 由对称性可知, 重心在z 轴上, 故0==y x .)(3232323333a A a A dv V -=-==⎰⎰⎰Ωπππ(两个半球体体积的差),)(8)(3c o s s i n 1c o s s i n 133442000332a A a A dr r d d V d drd r V z A --===⎰⎰⎰⎰⎰⎰Ωππϕϕϕθθϕϕϕ, 所求立体的质心为))(8)(3 ,0 ,0(3344a A a A --.(3)z =x 2+y 2, x +y =a , x =0, y =0, z =0.解 ⎰⎰⎰-+=a xa y x dz dy dx V 0022⎰⎰-+=a xa dy y x dx 022)(⎰-+-=adx x a x a x 032])(31)([461a =,⎰⎰⎰Ω=x d v V x 1a a a dz dy xdx V axa y x 526115114500022===⎰⎰⎰-+,a x y 52==,⎰⎰⎰Ω=z d v V z 1⎰⎰⎰-+=a x a y x z d zdy dx V 0002212307a =, 所以立体的重心为)307,52,52(2a a a .8. 设球体占有闭区域Ω={(x , y , z )|x 2+y 2+z 2≤2Rz }, 它在内部各点的密度的大小等于该点到坐标原点的距离的平方, 试求这球体的质心.解 球体密度为ρ=x 2+y 2+z 2. 由对称性可知质心在z 轴上, 即0==y x . 在球面坐标下Ω可表示为: ϕπϕπθcos 20 ,20 ,20R r ≤≤≤≤≤≤, 于是⎰⎰⎰⎰⎰⎰⋅==Ωππϕϕϕθρ2020cos 2022sin R dr r r d d dv M⎰=2055c o s s i n 5322πϕϕϕπd R 51532R π=,⎰⎰⎰⎰⎰⎰Ω==ππϕϕϕϕθρ2020cos 205cos sin 11R dr r d d M zdv Mz R r R d R M 45153238cos sin 6642562076===⎰ππϕϕϕππ,故球体的质心为)45 ,0 ,0(R .9. 设均匀薄片(面密度为常数1)所占闭区域D 如下, 求指定的转动惯量:(1)}1 |),{(2222≤+=by a x y x D , 求I y ; 解 积分区域D 可表示为22 ,x a ab y x a a b a x a -≤≤--≤≤-,于是 ⎰⎰⎰⎰⎰------===a a x a a bx a ab aaDy dx x a x a b dy dx x dxdy x I 2222222222b a 341π=. 提示: 4202422282sin 2 sina tdt a t a x dx x a x aa ππ==-⎰⎰-. (2)D 由抛物线x y 292=与直线x =2所围成, 求I x 和I y ;解 积分区域可表示为2/32/3 ,20x y x x ≤≤-≤≤,于是 57222273220232/32/32202====⎰⎰⎰⎰⎰-dx x dy y dx dxdy y I Dx x x , 796262252/32/3222====⎰⎰⎰⎰⎰-dx x dy dx x dxdy x I Dx x y . (3)D 为矩形闭区域{(x , y )|0≤x ≤a , 0≤y ≤b }, 求I x 和I y .解 331330202ab b a dy y dx dxdy y I Db a x =⋅===⎰⎰⎰⎰,331330022b a b a dy dx x dxdy x I Dba y =⋅===⎰⎰⎰⎰.10. 已知均匀矩形板(面密度为常量μ)的长和宽分别为b 和h , 计算此矩形板对于通过其形心且分别与一边平行的两轴的转动惯量.。
习题4-3求下列不定积分:1. ⎰xdx x sin ;解 C x x x xdx x x x xd xdx x ++-=+-=-=⎰⎰⎰sin cos cos cos cos sin . 2. ⎰xdx ln ;解 C x x x dx x x x xd x x xdx +-=-=-=⎰⎰⎰ln ln ln ln ln .3. ⎰xdx arcsin ;解 ⎰⎰-=x xd x x xdx arcsin arcsin arcsin⎰--=dx x xx x 21arcsinC x xx +-+=21a r c s i n . 4. ⎰-dx xe x ;解 ⎰⎰⎰----+-=-=dx e xe xde dx xe x x x xC x e C e xe x x x ++-=+--=---)1(.5. ⎰xdx x ln 2;解 ⎰⎰⎰-==x d x x x xdx xdx x ln 31ln 31ln 31ln 3332 C x x x dx x x x +-=-=⎰332391ln 3131ln 31. 6. ⎰-xdx e x cos ;解 因为⎰⎰⎰⎰------+=-==xdx e x e xde x e x d e xdx e x x x x x x sin sin sin sin sin cos⎰⎰-----+-=-=x x x x x xde x e x e x d e x e cos cos sin cos sin⎰-----=xdx e x e x e x x x cos cos sin ,所以 C x x e C x e x e xdx e x x x x +-=+-=----⎰)cos (sin 21)cos sin (21cos . 7. ⎰-dx x e x 2sin 2; 解 因为⎰⎰⎰-----==x x x x de x x e x d e dx x e 22222cos 22cos 22cos 22sin ⎰⎰----+=+=2sin 82cos 22cos 42cos 22222x d e x e dx x e x e x x x x ⎰----+=x x x de x x e x e 2222sin 82sin 82cos 2 ⎰---++=dx x e x e x e x x x 2sin 162sin 82cos 2222, 所以 C x x e dx x e x x ++-=--⎰)2sin 42(cos 1722sin 22. 8. ⎰dx x x 2cos ; 解 C x x x dx x x x x xd dx x x ++=-==⎰⎰⎰2cos 42sin 22sin 22sin 22sin 22cos . 9. ⎰xdx x arctan 2;解 ⎰⎰⎰+⋅-==dx xx x x xdx xdx x 233321131arctan 31arctan 31arctan ⎰⎰+--=+-=2232223)111(61arctan 31161arctan 31dx xx x dx x x x x C x x x x +++-=)1ln(6161arctan 31223. 10. ⎰xdx x 2tan解 ⎰⎰⎰⎰⎰+-=-=-=x xd x xdx xdx x dx x x xdx x tan 21sec )1(sec tan 2222 C x x x x xdx x x x +++-=-+-=⎰|cos |ln tan 21tan tan 2122. 11. ⎰xdx x cos 2;解 ⎰⎰⎰⎰+=⋅-==x xd x x xdx x x x x d x xdx x cos 2sin 2sin sin sin cos 2222C x x x x x xdx x x x x +-+=-+=⎰sin 2cos 2sin cos 2cos 2sin 22.12. ⎰-dt te t 2;解 ⎰⎰⎰----+-=-=dt e te tde dt te t t t t 2222212121 C t e C e te t t t ++-=+--=---)21(214121222. 13. ⎰xdx 2ln ;解 ⎰⎰⎰-=⋅⋅-=xdx x x dx xx x x x xdx ln 2ln 1ln 2ln ln 222 C x x x x x dx xx x x x x ++-=⋅+-=⎰2ln 2ln 12ln 2ln 22. 14. ⎰xdx x x cos sin ;解 ⎰⎰⎰⎰+-=-==xdx x x x xd xdx x xdx x x 2cos 412cos 412cos 412sin 21cos sin C x x x ++-=2sin 812cos 41. 15. ⎰dx x x 2cos 22; 解 ⎰⎰⎰⎰-+=+=+=xdx x x x x x d x x dx x x dx x x sin sin 2161sin 2161)cos 1(212cos 2323222 ⎰⎰-++=++=xdx x x x x x x xd x x x cos cos sin 2161cos sin 21612323 C x x x x x x +-++=sin cos sin 216123. 16. ⎰-dx x x )1ln(;解 ⎰⎰⎰-⋅--=-=-dx x x x x dx x dx x x 1121)1ln(21)1ln(21)1ln(222 ⎰-⋅++--=dx x x x x )111(21)1ln(212 C x x x x x +-----=)1ln(212141)1ln(2122. 17. ⎰-xdx x 2sin )1(2;解 ⎰⎰⎰⋅+--=--=-xdx x x x x d x xdx x 22cos 212cos )1(212cos )1(212sin )1(222 ⎰+--=x xd x x 2sin 212cos )1(212 ⎰-+--=xdx x x x x 2sin 212sin 212cos )1(212 C x x x x x +++--=2cos 412sin 212cos )1(212. 18.⎰dx x x 23ln ;解 ⎰⎰⎰⎰+-=+-=-=xdx xx x x d x x x x xd dx x x 22333323ln 13ln 1ln 1ln 11ln ln ⎰⎰+--=--=x d xx x x x x xd x x 22323ln 13ln 3ln 11ln 3ln 1 ⎰⎰---=+--=x xd x x x x dx x x x x x x 1ln 6ln 3ln 1ln 16ln 3ln 123223 ⎰+---=dx xx x x x x x 22316ln 6ln 3ln 1 C xx x x x x x +----=6ln 6ln 3ln 123. 19. ⎰dx ex 3; 解 ⎰⎰⎰==t t x de t dt e t t x dx e 223333令⎰⎰-=-=t t t t tde e t dt te e t 636322⎰+-=dt e te e t t t t 6632C e te e t t t t ++-=6632C x x e x ++-=)22(33323.20. ⎰xdx ln cos ;解 因为⎰⎰⋅⋅+=dx xx x x x xdx 1ln sin ln cos ln cos dx xx x x x x x xdx x x 1ln cos ln sin ln cos ln sin ln cos ⋅⋅-+=+=⎰⎰⎰-+=xdx x x x x ln cos ln sin ln cos ,所以 C x x x xdx ++=⎰)ln sin ln (cos 2ln cos . 21. ⎰dx x 2)(arcsin ;解 ⎰⎰-⋅⋅-=dx x x x x x dx x 22211arcsin 2)(arcsin )(arcsin ⎰-+=221arcsin 2)(arcsin x xd x x ⎰--+=dx x x x x 2arcsin 12)(arcsin 22 C x x x x x +--+=2arcsin 12)(arcsin 22.22. ⎰xdx e x 2sin .解 ⎰⎰⎰-=-=xdx e e dx x e xdx e x x x x 2cos 2121)2cos 1(21sin 2, 而 dx x e x e xde xdx e x x x x ⎰⎰⎰+==2sin 22cos 2cos 2cos ⎰⎰-+=+=xdx e x e x e de x x e x x x x x 2cos 42sin 22cos 2sin 22cos ,C x x e xdx e x x ++=⎰)2sin 22(cos 512cos , 所以 C x x e e xdx e x x x ++-=⎰)2sin 22(cos 10121sin 2.。
同济六版高等数学课后答案全集第一章习题1-11. 设A =(-∞, -5)⋃(5, +∞), B =[-10, 3), 写出A ⋃B , A ⋂B , A \B 及A \(A \B )的表达式.解 A ⋃B =(-∞, 3)⋃(5, +∞),A ⋂B =[-10, -5),A \B =(-∞, -10)⋃(5, +∞),A \(A \B )=[-10, -5).2. 设A 、B 是任意两个集合, 证明对偶律: (A ⋂B )C =A C ⋃B C .证明 因为x ∈(A ⋂B )C ⇔x ∉A ⋂B ⇔ x ∉A 或x ∉B ⇔ x ∈A C 或x ∈B C ⇔ x ∈A C ⋃B C , 所以 (A ⋂B )C =A C ⋃B C .3. 设映射f : X →Y , A ⊂X , B ⊂X . 证明(1)f (A ⋃B )=f (A )⋃f (B );(2)f (A ⋂B )⊂f (A )⋂f (B ).证明 因为y ∈f (A ⋃B )⇔∃x ∈A ⋃B , 使f (x )=y⇔(因为x ∈A 或x ∈B ) y ∈f (A )或y ∈f (B )⇔ y ∈f (A )⋃f (B ),所以 f (A ⋃B )=f (A )⋃f (B ).(2)因为y ∈f (A ⋂B )⇒∃x ∈A ⋂B , 使f (x )=y ⇔(因为x ∈A 且x ∈B ) y ∈f (A )且y ∈f (B )⇒ y ∈ f (A )⋂f (B ),所以 f (A ⋂B )⊂f (A )⋂f (B ).4. 设映射f : X →Y , 若存在一个映射g : Y →X , 使X I f g = , Y I g f = , 其中I X 、I Y 分别是X 、Y 上的恒等映射, 即对于每一个x ∈X , 有I X x =x ; 对于每一个y ∈Y , 有I Y y =y . 证明: f 是双射, 且g 是f 的逆映射: g =f -1.证明 因为对于任意的y ∈Y , 有x =g (y )∈X , 且f (x )=f [g (y )]=I y y =y , 即Y 中任意元素都是X 中某元素的像, 所以f 为X 到Y 的满射.又因为对于任意的x 1≠x 2, 必有f (x 1)≠f (x 2), 否则若f (x 1)=f (x 2)⇒g [ f (x 1)]=g [f (x 2)] ⇒ x 1=x 2.因此f 既是单射, 又是满射, 即f 是双射.对于映射g : Y →X , 因为对每个y ∈Y , 有g (y )=x ∈X , 且满足f (x )=f [g (y )]=I y y =y , 按逆映射的定义, g 是f 的逆映射.5. 设映射f : X →Y , A ⊂X . 证明:(1)f -1(f (A ))⊃A ;(2)当f 是单射时, 有f -1(f (A ))=A .证明 (1)因为x ∈A ⇒ f (x )=y ∈f (A ) ⇒ f -1(y )=x ∈f -1(f (A )),所以 f -1(f (A ))⊃A .(2)由(1)知f -1(f (A ))⊃A .另一方面, 对于任意的x ∈f -1(f (A ))⇒存在y ∈f (A ), 使f -1(y )=x ⇒f (x )=y . 因为y ∈f (A )且f 是单射, 所以x ∈A . 这就证明了f -1(f (A ))⊂A . 因此f -1(f (A ))=A . 6. 求下列函数的自然定义域:(1)23+=x y ;解 由3x +2≥0得32->x . 函数的定义域为) ,32[∞+-. (2)211xy -=; 解 由1-x 2≠0得x ≠±1. 函数的定义域为(-∞, -1)⋃(-1, 1)⋃(1, +∞).(3)211x xy --=; 解 由x ≠0且1-x 2≥0得函数的定义域D =[-1, 0)⋃(0, 1].(4)241x y -=; 解 由4-x 2>0得 |x |<2. 函数的定义域为(-2, 2).(5)x y sin =;解 由x ≥0得函数的定义D =[0, +∞).(6) y =tan(x +1);解 由21π≠+x (k =0, ±1, ±2, ⋅ ⋅ ⋅)得函数的定义域为 12-+≠ππk x (k =0, ±1, ±2, ⋅ ⋅ ⋅).(7) y =arcsin(x -3);解 由|x -3|≤1得函数的定义域D =[2, 4].(8)xx y 1arctan 3+-=;解 由3-x ≥0且x ≠0得函数的定义域D =(-∞, 0)⋃(0, 3).(9) y =ln(x +1);解 由x +1>0得函数的定义域D =(-1, +∞).(10)x e y 1=.解 由x ≠0得函数的定义域D =(-∞, 0)⋃(0, +∞).7. 下列各题中, 函数f (x )和g (x )是否相同?为什么?(1)f (x )=lg x 2, g (x )=2lg x ;(2) f (x )=x , g (x )=2x ;(3)334)(x x x f -=,31)(-=x x x g .(4)f (x )=1, g (x )=sec 2x -tan 2x .解 (1)不同. 因为定义域不同.(2)不同. 因为对应法则不同, x <0时, g (x )=-x .(3)相同. 因为定义域、对应法则均相相同.(4)不同. 因为定义域不同.8. 设⎪⎩⎪⎨⎧≥<=3|| 03|| |sin |)(ππϕx x x x , 求)6(πϕ, )4(πϕ, )4(πϕ-, ϕ(-2), 并作出函数y =ϕ(x )的图形.解 21|6sin |)6(==ππϕ, 22|4sin |)4(==ππϕ, 22|)4sin(|)4(=-=-ππϕ, 0)2(=-ϕ. 9. 试证下列函数在指定区间内的单调性:(1)xx y -=1, (-∞, 1); (2)y =x +ln x , (0, +∞).证明 (1)对于任意的x 1, x 2∈(-∞, 1), 有1-x 1>0, 1-x 2>0. 因为当x 1<x 2时, 0)1)(1(112121221121<---=---=-x x x x x x x x y y , 所以函数xx y -=1在区间(-∞, 1)内是单调增加的. (2)对于任意的x 1, x 2∈(0, +∞), 当x 1<x 2时, 有0l n )()l n ()l n (2121221121<+-=+-+=-x x x x x x x x y y , 所以函数y =x +ln x 在区间(0, +∞)内是单调增加的.10. 设 f (x )为定义在(-l , l )内的奇函数, 若f (x )在(0, l )内单调增加, 证明f (x )在(-l , 0)内也单调增加.证明 对于∀x 1, x 2∈(-l , 0)且x 1<x 2, 有-x 1, -x 2∈(0, l )且-x 1>-x 2.因为f (x )在(0, l )内单调增加且为奇函数, 所以f (-x 2)<f (-x 1), -f (x 2)<-f (x 1), f (x 2)>f (x 1),这就证明了对于∀x 1, x 2∈(-l , 0), 有f (x 1)< f (x 2), 所以f (x )在(-l , 0)内也单调增加. 11. 设下面所考虑的函数都是定义在对称区间(-l , l )上的, 证明:(1)两个偶函数的和是偶函数, 两个奇函数的和是奇函数;(2)两个偶函数的乘积是偶函数, 两个奇函数的乘积是偶函数, 偶函数与奇函数的乘积是奇函数.证明 (1)设F (x )=f (x )+g (x ). 如果f (x )和g (x )都是偶函数, 则F (-x )=f (-x )+g (-x )=f (x )+g (x )=F (x ),所以F (x )为偶函数, 即两个偶函数的和是偶函数.如果f (x )和g (x )都是奇函数, 则F (-x )=f (-x )+g (-x )=-f (x )-g (x )=-F (x ),所以F (x )为奇函数, 即两个奇函数的和是奇函数.(2)设F (x )=f (x )⋅g (x ). 如果f (x )和g (x )都是偶函数, 则F (-x )=f (-x )⋅g (-x )=f (x )⋅g (x )=F (x ),所以F (x )为偶函数, 即两个偶函数的积是偶函数.如果f (x )和g (x )都是奇函数, 则F (-x )=f (-x )⋅g (-x )=[-f (x )][-g (x )]=f (x )⋅g (x )=F (x ),所以F (x )为偶函数, 即两个奇函数的积是偶函数.如果f (x )是偶函数, 而g (x )是奇函数, 则F (-x )=f (-x )⋅g (-x )=f (x )[-g (x )]=-f (x )⋅g (x )=-F (x ),所以F (x )为奇函数, 即偶函数与奇函数的积是奇函数.12. 下列函数中哪些是偶函数, 哪些是奇函数, 哪些既非奇函数又非偶函数?(1)y =x 2(1-x 2);(2)y =3x 2-x 3;(3)2211xxy +-=; (4)y =x (x -1)(x +1);(5)y =sin x -cos x +1;(6)2x x a a y -+=. 解 (1)因为f (-x )=(-x )2[1-(-x )2]=x 2(1-x 2)=f (x ), 所以f (x )是偶函数.(2)由f (-x )=3(-x )2-(-x )3=3x 2+x 3可见f (x )既非奇函数又非偶函数. (3)因为())(111)(1)(2222x f x x x x x f =+-=-+--=-, 所以f (x )是偶函数. (4)因为f (-x )=(-x )(-x -1)(-x +1)=-x (x +1)(x -1)=-f (x ), 所以f (x )是奇函数.(5)由f (-x )=sin(-x )-cos(-x )+1=-sin x -cos x +1可见f (x )既非奇函数又非偶函数.(6)因为)(22)()()(x f a a a a x f x x x x =+=+=-----, 所以f (x )是偶函数. 13. 下列各函数中哪些是周期函数?对于周期函数, 指出其周期:(1)y =cos(x -2);解 是周期函数, 周期为l =2π.(2)y =cos 4x ;解 是周期函数, 周期为2π=l . (3)y =1+sin πx ;解 是周期函数, 周期为l =2.(4)y =x cos x ;解 不是周期函数.(5)y =sin 2x .解 是周期函数, 周期为l =π.14. 求下列函数的反函数:(1)31+=x y 错误!未指定书签。
同济大学第六版高等数学综合测试题答案
This manuscript was revised on November 28, 2020
第一章综合测试题解答
一、1.[1,2) 2
.()g x =.
11e
- 4.ln 5 5
.[[2,1+
二、1.(C ) 2.(B) 3.(D ) 4.(D ) 5.(C ) 三、解 20,0,0, ()00, 0,1()(||)[()],0.
(),()0,0,
2x x x f x x x f x x x x x x x ϕϕϕϕ<<<⎧⎧⎧=+===⎨⎨⎨≥≥≥⎩⎩⎩ 21()0,[()](||).2f x f x x x x ϕ≥∴=+ 四、解 1、令2x t -=,则2x →时,0t →,
∴ 原式00(4)16lim(4)cot lim cos 444t t t t t t t t t πππ
π→→-=-==.
2、原式=23
2211113(1)(2)(2)lim lim lim 11(1)(1)1x x x x x x x x x x x x x x →→→++--+-+===---++++. 3、设11()31x f x x =+-,原式=()()1()lim 1()xf x f x x f x →+∞⎧⎫+⎨⎬⎩⎭.
1111lim ()lim [31]lim lim (31)1 1lim ln 31ln 3,x x x x x x x xf x x x x x x x x
→+∞→+∞→+∞→+∞→+∞=+-=⋅+-=+⋅=+ ∴ 原式1ln33.e e +==
4、22222121212121
n n n n n n n n n n ++++++≤+++≤+++++, 22212(1)112lim lim lim ,12(1)2n n n n n n n n n n n
→∞→∞→∞+++++++===+++ ∴ 原式12
=. 5、1/1/01101lim arctan =();10122
x x x e e x ππ-→++⋅-=-- ++1/1/1/1/001111 lim arctan =lim arctan ,112
x x x x x x e e e x e x π--→→++=--
∴ 原式2π
=.
五、解 当0x <时,2(4)()sin x x f x x
π-=为初等函数,()f x 在点()x n n Z =-∈处无定义,
22222(4)(4)8lim ()lim lim ;sin (2)x x x x x x x f x x x πππ→-→-→---===+ lim ()1,3,4,;x n f x n →-=∞=,
当0x >时,2(1)()1
x x f x x +=-为初等函数,()f x 在点1x =处无定义,1
lim ();x f x →=∞ 0x =在点处,220000(4)4(1)lim ()lim ,lim ()lim 0;sin 1
x x x x x x x x f x f x x x ππ--++→→→→--+====- 综上,()f x 的间断点为=(),x k k Z +-∈=0x 与1x =,且2x =-为可去间断点(第一类),=0x 为跳跃间断点(第一类),(1,3,4,)x n n =-=与1x =为无穷间断点(第二类). ()f x 在其它点处皆连续.
六、解
lim lim lim
x x x A
βα→+∞
==
)321 lim 21 lim 111,
2k
x k x A x x A x x →+∞-→+∞+=-⎫=-++=⎪⎪⎭
31;24
k A ∴==- 七、解 224230001/2()sin 3()lim lim lim 5,1/3()2(1x x x f x x f x x f x x →→→⋅===⋅ 20()10lim .3
x f x x →∴= 八、证明:由已知,得(0)2(0)f f =,(0)0f ∴=.
(,)x ∀∈-∞+∞,()()()f x x f x f x +∆=+∆. 由)(x f 在0x =处连续性,得
00
lim[()()]lim ()(0)0.x x f x x f x f x f ∆→∆→+∆-=∆==
从而)(x f 在点x 处连续性,由x 的任意性,)(x f 在(,)-∞+∞内连续.
九、证明:(,)x ∀∈-∞+∞, 则,n Z ∃∈ 使得1,n x n ≤<+ 则[]x n =.于是()0,()11,f x n n f x n n ≥-=≤+-= 从而()f x 在(,)-∞+∞上有界. (,)x ∀∈-∞+∞,(1)1[1]1([]1)()f x x x x x f x +=+-+=+-+=,∴()f x 是以1为周期的周期函数.
十、证明:构造辅助函数()()()F x f x a f x =+-. 由已知,得
(0)()(0)()F f a f f a =-=,(1)(1)(1)(1)F a f f a f a -=--=--,由)(x f 非负,可得,
(0)(1)()(1)0F F a f a f a ⋅-=-⋅-≤.
若()0f a =或(1)=0f a -,可取00x =或01x a =-,即有00()()f x a f x +=. 否则(0)(1)0F F a ⋅-<,()f x 在]1,0[上连续,()F x ∴在[0,1]a -上连续. 根据零点定理0(0,1)[0,1],x a ∃∈-⊂ 使得0[0,1]x a +∈,且()0F x =,即00()()f x a f x +=. 得证.。