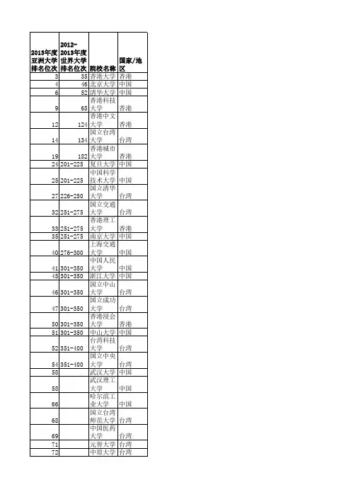
2012-2013年QS亚洲大学综合排名
- 格式:docx
- 大小:29.50 KB
- 文档页数:11
排名机构国家/地区201-225巴塞罗那自治大学西班牙201-225巴塞罗那大学西班牙201-225布兰代斯大学美国201-225加的夫大学英国201-225邓迪大学英国201-225弗里德里希 - 亚历山大大学埃尔兰根 - 纽伦堡德国201-225复旦大学中国201-225乔治亚大学美国201-225哥德堡大学瑞典201-225因斯布鲁克大学奥地利201-225Universität康斯坦茨(Konstanz)德国201-225约翰内斯古腾堡大学美因茨德国201-225中东技术大学土耳其201-225莫斯科国立罗蒙诺索夫大学俄罗斯联邦201-225名古屋大学日本201-225东北大学美国201-225奥斯陆大学挪威201-225庞培法布拉大学西班牙201-225皇后大学加拿大201-225,中国科学技术大学中国201-225伦敦大学圣乔治英国201-225斯特拉斯堡大学法国201-225韩国成均馆大学(成均馆大学)韩国201-225蒂尔堡大学荷兰201-225埃伯哈德·卡尔斯Universität蒂宾根大学德国226-250卑尔根大学挪威226-250Bilkent大学土耳其226-250卡尔加里大学加拿大226-250卡尔顿大学(Carleton University)加拿大226-250查尔姆斯理工大学瑞典226-250美国辛辛那提大学美国226-250达姆施塔特工业大学德国226-250佛罗里达理工学院美国226-250印度理工学院的技术克勒格布尔印度226-250科威特石油公司大学土耳其226-250高丽大学(Korea University)韩国226-250拉瓦尔大学加拿大226-250布鲁塞尔自由大学比利时226-250佐治亚州健康科学大学美国226-250矿山巴黎高科法国226-250密苏里大学美国226-250莫斯科国立工程物理研究院俄罗斯联邦226-250奥塔哥大学新西兰226-250西蒙·弗雷泽大学加拿大226-250南佛罗里达大学美国226-250国立清华大学台湾226-250美国杜兰大学美国226-250大学的滑铁卢加拿大226-250加拿大西安大略大学加拿大226-250威特沃特斯兰德大学南非226-250Universität维尔茨堡德国251-275阿尔托大学芬兰251-275国立交通大学台湾251-275康涅狄格大学美国251-275达尔豪西大学(Dalhousie University)加拿大251-275埃塞克斯大学英国251-275香港理工大学香港251-275冰岛大学冰岛251-275印度,孟买科技学院印度251-275基督教Albrechts大学祖基尔德国251-275麦格理大学(Macquarie University)澳大利亚251-275米兰理工大学意大利251-275米兰比可卡大学意大利251-275WestfälischeWilhelms大学明斯特德国251-275南京大学中国251-275挪威科技大学挪威251-275俄勒冈大学美国251-275昆士兰科技大学澳大利亚251-275坎皮纳斯州立大学巴西251-275斯坦陵布什大学南非251-275东京都立大学日本251-275的里雅斯特大学意大利251-275于默奥大学瑞典251-275惠灵顿维多利亚大学新西兰251-275维也纳科技大学奥地利276-300阿伯里斯特威斯大学英国276-300班戈大学英国276-300英国巴斯大学英国276-300Universität拜罗伊特德国276-300Universität比勒费尔德德国276-300海峡大学土耳其276-300博洛尼亚大学意大利276-300科罗拉多州立大学(Colorado State University)美国276-300德累斯顿工业大学德国276-300德雷克塞尔大学(Drexel University)美国276-300伊斯坦布尔技术大学土耳其276-300美国堪萨斯大学美国276-300蒙大拿大学美国276-300蒙彼利埃大学2法国276-300纽卡斯尔大学澳大利亚276-300美国俄勒冈州立大学美国276-300贝尔法斯特女王大学英国276-300波鸿鲁尔大学德国276-300上海交通大学中国276-300南卡罗来纳大学美国276-300南丹麦大学丹麦276-300瑞典农业科学大学瑞典276-300东京医科齿科大学日本276-300特伦托大学意大利276-300都灵大学意大利276-300弗吉尼亚理工学院和州立大学美国301-350英国布鲁内尔大学英国301-350坎特伯雷大学新西兰301-350在布拉格的查尔斯大学(Charles University)捷克共和国301-350国立成功大学台湾301-350克劳德·伯纳德·里昂大学1法国301-350科克大学爱尔兰共和国301-350克赖顿大学美国301-350克里特大学希腊301-350东芬兰大学芬兰301-350布鲁塞尔自由大学比利时301-350弗里堡大学瑞士301-350卡尔 - Franzens大学格拉茨奥地利301-350圭尔夫大学加拿大301-350北海道大学日本301-350香港浸会大学香港301-350开普勒Universität林茨奥地利301-350肯塔基大学美国301-350阿卜杜勒阿齐兹国王大学沙特阿拉伯301-350九州大学日本301-350林雪平大学瑞典301-350马德里自治大学西班牙301-350马尼托巴大学加拿大301-350马里兰大学巴尔的摩县美国301-350维也纳大学医学院奥地利301-350梅铎大学(Murdoch University)澳大利亚301-350北卡罗莱纳州立大学美国301-350爱尔兰高威国立大学爱尔兰共和国301-350帕多瓦大学意大利301-350帕维亚大学意大利301-350比萨大学意大利301-350米兰理工大学意大利301-350英国朴次茅斯大学英国301-350中国人民大学中国301-350罗马Sapienza大学意大利301-350沙里夫理工大学伊朗301-350南澳大利亚大学澳大利亚301-350纽约州奥尔巴尼州立大学 - 大学奥尔巴尼分校美国301-350国家孙中山大学台湾301-350中山大学大学中国301-350坦佩雷大学芬兰301-350特罗姆瑟大学挪威301-350筑波大学日本301-350佛蒙特大学美国301-350怀卡托大学新西兰301-350华盛顿州立大学美国301-350韦恩州立大学(Wayne State University)美国301-350卧龙岗大学澳大利亚301-350纽约大学加拿大301-350浙江大学中国351-400奥尔堡大学丹麦351-400安第斯大学哥伦比亚351-400墨西哥国立自治大学墨西哥351-400阿威罗大学葡萄牙351-400美国纽约州立大学宾厄姆顿大学,美国351-400国立中央大学台湾351-400查尔斯达尔文大学澳大利亚351-400迪肯大学(Deakin University)澳大利亚351-400Universität杜伊斯堡 - 埃森德国351-400费拉拉大学意大利351-400弗林德斯大学澳大利亚351-400乔治梅森大学(George Mason University)美国351-400汉诺威莱布尼兹Universität德国351-400Heriot-Watt大学英国351-400赫特福德大学英国351-400休斯敦大学美国351-400印度技术研究所,鲁尔基印度351-400爱尔兰国立大学梅努斯爱尔兰共和国351-400雅盖隆大学波兰351-400于韦斯屈莱大学芬兰351-400基尔大学英国351-400庆应义塾大学日本351-400Mongkut国王科技大学,吞武里泰国351-400夸祖鲁 - 纳塔尔大学南非351-400美国里海大学(Lehigh University)美国351-400列日大学比利时351-400拉夫堡大学(Loughborough University)英国351-400梅西大学(Massey University)新西兰351-400米尼奥大学葡萄牙351-400大学摩德纳和雷焦艾米利亚(Reggio Emilia)意大利351-400俄克拉何马大学美国351-400大学巴黎第九法国351-400波尔图大学葡萄牙351-400大学萨兰托意大利351-400南卫理公会大学美国351-400斯特灵大学英国351-400斯特拉斯克莱德大学英国351-400萨里大学英国351-400悉尼科技大学澳大利亚351-400国立台湾科技大学台湾351-400塔尔图大学爱沙尼亚351-400塔斯马尼亚大学澳大利亚351-400天普大学(Temple University)美国351-400美国德州大学圣安东尼奥美国351-400瓦伦西亚大学西班牙351-400瓦伦西亚理工大学西班牙351-400维哥大学西班牙351-400华沙大学波兰351-400早稻田大学日本351-400怀俄明大学美国。
2012—2013年QS世界大学排名-TOP200排名毕达教育---中国TOP3的留学咨询机构毕达教育提供2012—2013年QS世界大学排名-TOP200排名信息,保证排名信息与QS世界大学排名官方一致!保证排名信息第一时间更新!提供完整版下载!排名学校国家/地区国内学生费用国际学生费用得分本科研究生本科研究生#1Massachusetts Institute ofTechnology (MIT)United States 38,000 -40,000 38,000 -40,000 40,000 -42,000 40,000 -42,000 100 #2 University of Cambridge United Kingdom 14,000 -16,000 22,000 -24,000 4,000 -6,000 24,000 -26,000 99.8 #3 Harvard University United States 38,000 -40,000 38,000 -40,000 36,000 -38,000 36,000 -38,000 99.2 #4UCL (University CollegeLondon)United Kingdom 14,000 -16,000 24,000 -26,000 6,000 -8,000 24,000 -26,000 98.7 #5 University of Oxford United Kingdom 14,000 -16,000 22,000 -24,000 4,000 -6,000 26,000 -28,000 98.6#6 Imperial College London United Kingdom 14,000 -16,000 30,000 -32,000 4,000 -6,000 32,000 -34,000 98.3#7 Yale University United States 38,000 -40,000 38,000 -40,000 32,000 -34,000 32,000 -34,000 97.5 #8 University of Chicago United States 42,000 -44,000 42,000 -44,000 42,000 -44,000 42,000 -44,000 96.3 #9 Princeton University United States 36,000 -38,000 36,000 -38,000 38,000 -40,000 38,000 -40,000 95.4 California Institute ofUnited States 36,000 -38,000 36,000 -38,000 36,000 -38,000 36,000 -38,000 95.1 #10Technology (Caltech)#11 Columbia University United States 42,000 -44,000 42,000 -44,000 38,000 -40,000 38,000 -40,000 94.7 #12 University of Pennsylvania United States 40,000 -42,000 40,000 -42,000 26,000 -28,000 26,000 -28,000 94.5ETH Zurich (Swiss FederalSwitzerland 1,000 -2,000 1,000 -2,000 1,000 -2,000 1,000 -2,000 92.8 #13Institute of Technology)#14 Cornell University United States 38,000 -40,000 38,000 -40,000 28,000 -30,000 28,000 -30,000 92.1 #15 Stanford University United States 40,000 -42,000 40,000 -42,000 38,000 -40,000 38,000 -40,000 91.7#16 Johns Hopkins University United States 40,000 -42,000 40,000 -42,000 40,000 -42,000 40,000 -42,000 91.2 #17 University of Michigan United States 10,000 -12,000 36,000 -38,000 16,000 -18,000 36,000 -38,000 91.2 #18 McGill University Canada 4,000 -6,000 18,000 -20,000 4,000 -6,000 14,000 -16,000 90.4 #19 University of Toronto Canada 6000 -8000 24000 -26000 6000 -8000 16000 -18000 89.6 #20 Duke University United States 40,000 -42,000 40,000 -42,000 38,000 -40,000 38,000 -40,000 89.5 #21 University of Edinburgh United Kingdom 14,000 -16,000 16,000 -18,000 6,000 -8,000 18,000 -20,000 89.2University of California, Berkeley#22United States 14,000 -16,000 20,000 -22,000 10,000 -12,000 24,000 -26,000 88.1 (UCB)#23 University of Hong Kong Hong Kong 4,000 -6,000 14,000 -16,000 4,000 -6,000 14,000 -16,000 87.9 #24 Australian National University Australia 6,000 -8,000 40,000 -42,000 22,000 -24,000 28,000 -30,000 87.6National University of#25Singapore 34,000 -36,000 40,000 -42,000 6,000 -8,000 18,000 -20,000 87.2 Singapore (NUS)Kings College London#26United Kingdom 14,000 -16,000 20,000 -22,000 6,000 -8,000 20,000 -22,000 87.1 (University of London)#27 Northwestern University United States 40,000 -42,000 40,000 -42,000 40,000 -42,000 40,000 -42,000 85.4 #28 University of Bristol United Kingdom 14,000 -16,000 20,000 -22,000 6,000 -8,000 20,000 -22,000 85.4Ecole Polytechnique FédéraleSwitzerland 1,000 -2,000 1,000 -2,000 1,000 -2,000 1,000 -2,000 85.1 #29de Lausanne#30 The University of Tokyo Japan 6,000 -8,000 6,000 -8,000 6,000 -8,000 6,000 -8,000 85University of California, LosUnited States 10,000 -12,000 32,000 -34,000 10,000 -12,000 24,000 -26,000 84.6 #31Angeles (UCLA)#32 The University of Manchester United Kingdom 14,000 -16,000 18,000 -20,000 8,000 -10,000 22,000 -24,000 84.2The Hong Kong University ofHong Kong 4,000 -6,000 4,000 -6,000 83.5 #33Science and Technology#34 école Normale Supérieure, Paris France 4,000 -6,000 8,000 -10,000 83.3#35 Kyoto University Japan 6,000 -8,000 4,000 -6,000 6,000 -8,000 4,000 -6,000 83.3 #36 The University of Melbourne Australia 6,000 -8,000 28,000 -30,000 24,000 -26,000 83.2 #37 Seoul National University Korea, South 4,000 -6,000 4,000 -6,000 6000 -8000 6000 -8000 82.2University of#38United States 8,000 -10,000 24,000 -26,000 10,000 -12,000 24,000 -26,000 81.4 Wisconsin-Madison#39 The University of Sydney Australia 6,000 -8,000 30,000 -32,000 22,000 -24,000 28,000 -30,000 81.3The Chinese University of Hong#40Hong Kong 4,000 -6,000 12,000 -14,000 4,000 -6,000 12,000 -14,000 80.1 Kong#41 Ecole Polytechnique France 12,000 -14,000 6,000 -8,000 8,000 -10,000 79.6 #42 Brown University United States 40,000 -42,000 40,000 -42,000 40,000 -42,000 40,000 -42,000 79.5 #43 New York University (NYU) United States 40,000 -42,000 40,000 -42,000 34,000 -36,000 34,000 -36,000 78.9 #44 Peking University China < 2000* 6,000 -8,000 2,000 -4,000* 8,000 -10,000 78.8#45 University of British Columbia Canada 4,000 -6,000 22,000 -24,000 4,000 -6,000 6,000 -8,000 78.6#46 The University of Queensland Australia 6,000 -8,000 26,000 -28,000 10,000 -12,000 28,000 -30,000 78.2 Nanyang TechnologicalSingapore 4,000 -6,000 8,000 -10,000 4,000 -6,000 6,000 -8,000 77.7 #47University (NTU)#48 Tsinghua University China < 2000* 4,000 -6,000 < 2000* 4,000 -6,000 77.5 #49 Carnegie Mellon University United States 44,000 -46,000 44,000 -46,000 36,000 -38,000 36,000 -38,000 77.4 #50 Osaka University Japan 6,000 -8,000 6,000 -8,000 6,000 -8,000 6,000 -8,000 76.8 #51 University of Copenhagen Denmark 76.7The University of New South#52Australia 6,000 -8,000 32,000 -34,000 8,000 -10,000 32,000 -34,000 76.6 Wales#53 Technische Universit?t München Germany 76.4 #54 University of Glasgow United Kingdom 2,000 -4,000 20,000 -22,000 4,000 -6,000 18,000 -20,000 76.3Ruprecht-Karls-Universit?tGermany 75.5 #55HeidelbergUniversity of Illinois atUnited States 14,000 -16,000 28,000 -30,000 14,000 -16,000 26,000 -28,000 75.5 #56Urbana-ChampaignUniversity of North Carolina,#57United States 6,000 -8,000 24,000 -26,000 12,000 -14,000 26,000 -28,000 75.4 Chapel Hill#58 The University of Warwick United Kingdom 14,000 -16,000 22,000 -24,000 8,000 -10,000 22,000 -24,000 73.9 #59 University of Washington United States 10,000 -12,000 28,000 -30,000 12,000 -14,000 24,000 -26,000 73.7Ludwig-Maximilians-Universit?tGermany 72.9 #60München#61 Monash University Australia 8,000 -10,000 30,000 -32,000 16,000 -18,000 30,000 -32,000 72.2 #62 University of Amsterdam Netherlands 2,000 -4,000 10,000 -12,000 2,000 -4,000 14,000 -16,000 72.1 #63 KAIST - Korea Advanced Korea, South 14,000 -16,000 14,000 -16,000 16,000 -18,000 16,000 -18,000 71.8Institute of Science &Technology#64 Boston University United States 40,000 -42,000 40,000 -42,000 40,000 -42,000 40,000 -42,000 71.7 #65 Tokyo Institute of Technology Japan 6,000 -8,000 6,000 -8,000 6,000 -8,000 6,000 -8,000 71.4 #66 The University of Sheffield United Kingdom 14,000 -16,000 22,000 -24,000 6,000 -8,000 22,000 -24,000 71.3 #67 Trinity College Dublin Ireland 8,000 -10,000 22,000 -24,000 8,000 -10,000 16,000 -18,000 71.3 #68 University of Texas at Austin United States 8,000 -10,000 32,000 -34,000 10,000 -12,000 20,000 -22,000 71.2London School of EconomicsUnited Kingdom 12,000 -14,000 22,000 -24,000 16,000 -18,000 24,000 -26,000 71.1 #69and Political Science (LSE)University of California, San#70United States 12,000 -14,000 36,000 -38,000 10,000 -12,000 26,000 -28,000 70.9 Diego (UCSD)#71 Lund University Sweden 10,000 -12,000 16,000 -18,000 70.9#72 The University of Nottingham United Kingdom 14,000 -16,000 20,000 -22,000 6,000 -8,000 18,000 -20,000 70.7 #73 University of Southampton United Kingdom 14,000 -16,000 20,000 -22,000 6,000 -8,000 22,000 -24,000 70.7 #74 University of Geneva Switzerland 70.6 #75= Leiden University Netherlands 2,000 -4,000 16,000 -18,000 2,000 -4,000 22,000 -24,000 70.5 #75= Tohoku University Japan 6,000 -8,000 2,000 -4,000 6,000 -8,000 2,000 -4,000 70.5 #77 University of Birmingham United Kingdom 14,000 -16,000 20,000 -22,000 6,000 -8,000 22,000 -24,000 70.3 #78 University of Helsinki Finland 70.1The University of WesternAustralia 6,000 -8,000 30,000 -32,000 18,000 -20,000 30,000 -32,000 70 #79AustraliaNational Taiwan University#80Taiwan < 2000 < 2000 < 2000 2,000 -4,000 69.9 (NTU)#81 Uppsala University Sweden 14,000 -16,000 20,000 -22,000 69.8#82 KU Leuven Belgium 69.7 #83 The University of Auckland New Zealand 4,000 -6,000 20,000 -22,000 4,000 -6,000 24,000 -26,000 69.3 Washington University in St.United States 38,000 -40,000 38,000 -40,000 38,000 -40,000 38,000 -40,000 69.1 #84Louis#85 Utrecht University Netherlands 2,000 -4,000 2,000 -4,000 2,000 -4,000 2,000 -4,000 68.7 #86 Nagoya University Japan 6,000 -8,000 6,000 -8,000 6,000 -8,000 6,000 -8,000 68.6 #87 Freie Universit?t Berlin Germany 68.6 #88 Georgia Institute of Technology United States 6,000 -8,000 26,000 -28,000 10,000 -12,000 26,000 -28,000 68.40* 16,000#89 Aarhus University Denmark14,000 -16,000 14,000 -16,000 68.4-18,000*#90= Fudan University China < 2000* 2,000 -4,000 < 2000* 4,000 -6,000 68.3 #90= University of Zurich Switzerland 68.3#92 Durham University United Kingdom 14,000 -16,000 20,000 -22,000 8,000 -10,000 22,000 -24,000 67.9 #93 University of St Andrews United Kingdom 2,000 -4,000 22,000 -24,000 6,000 -8,000 22,000 -24,000 67.6 #94 University of Leeds United Kingdom 14,000 -16,000 20,000 -22,000 6,000 -8,000 18,000 -20,000 67.3 #95= City University of Hong Kong Hong Kong 4,000 -6,000 10,000 -12,000 4,000 -6,000 10,000 -12,000 66.9 #95= Purdue University United States 8,000 -10,000 26,000 -28,000 8,000 -10,000 26,000 -28,000 66.9Pohang University of Science#97Korea, South 4,000 -6,000 4,000 -6,000 6,000 -8,000* 6,000 -8,000* 66.8 And Technology (POSTECH)#98 University of Pittsburgh United States 16,000 -18,000 24,000 -26,000 18,000 -20,000 30,000 -32,000 66.1 #99 Erasmus University Rotterdam Netherlands 2,000 -4,000 8,000 -10,000 2,000 -4,000 16,000 -18,000 65.9 #100 University of California, Davis United States 12,000 -14,000 36,000 -38,000 10,000 -12,000 26,000 -28,000 65.9 #101 Pennsylvania State University United States 14,000 -16,000 28,000 -30,000 18,000 -20,000 30,000 -32,000 65.7 #102 The University of Adelaide Australia 6,000 -8,000 26,000 -28,000 14,000 -16,000 28,000 -30,000 65.3#103 Delft University of Technology Netherlands 2,000 -4,000 10,000 -12,000 2,000 -4,000 16,000 -18,000 65.1 #104 University of Minnesota United States 12,000 -14,000 18,000 -20,000 14,000 -16,000 20,000 -22,000 64.9 #105 Ohio State University United States 8,000 -10,000 24,000 -26,000 10,000 -12,000 28,000 -30,000 64.7 #106 Universit?t Freiburg Germany 64.4 #107 Maastricht University Netherlands 2,000 -4,000 10,000 -12,000 2,000 -4,000 14,000 -16,000 64.4 #108 University of Alberta Canada 4,000 -6,000 18,000 -20,000 2,000 -4,000 6,000 -8,000 64.2 #109 University of Groningen Netherlands 2,000 -4,000 8,000 -10,000 2,000 -4,000 14,000 -16,000 64.2 #110 University of York United Kingdom 14,000 -16,000 22,000 -24,000 6,000 -8,000 22,000 -24,000 63.8 #111 University of Oslo Norway 63.7 #112 Yonsei University Korea, South 6,000 -8,000 6,000 -8,000 8,000 -10,000 8,000 -10,000 63.5 #113 Dartmouth College United States 42,000 -44,000 42,000 -44,000 42,000 -44,000 42,000 -44,000 63.5 #114 Universitéde Montréal Canada 2,000 -4,000 14,000 -16,000 2,000 -4,000 20,000 -22,000 63.5#115 University of Lausanne Switzerland 62.4 Lomonosov Moscow StateRussia 8,000 -10,000 8,000 -10,000 8,000 -10,000 8,000 -10,000 61.8 #116UniversityUniversity of Maryland, College#117United States 8,000 -10,000 26,000 -28,000 12,000 -14,000 26,000 -28,000 61.5 ParkUniversity of California, SantaUnited States 12,000 -14,000 34,000 -36,000 12,000 -14,000 26,000 -28,000 61.3 #118Barbara (UCSB)Georg-August-Universit?tGermany 60.9 #119G?ttingen#120 Rice University United States 34,000 -36,000 34,000 -36,000 34,000 -36,000 34,000 -36,000 60.8 #121 University of Basel Switzerland 60.5 #122 Emory University United States 42,000 -44,000 42,000 -44,000 34,000 -36,000 34,000 -36,000 60.4 #123 University of Virginia United States 10,000 -12,000 36,000 -38,000 14,000 -16,000 24,000 -26,000 60.4#124 University of Liverpool United Kingdom 14,000 -16,000 22,000 -24,000 10,000 -12,000 24,000 -26,000 60 #125 Shanghai Jiao Tong University China < 2000* 2,000 -4,000* < 2000* 59.9 #126 Newcastle University United Kingdom 14,000 -16,000 20,000 -22,000 8,000 -10,000 20,000 -22,000 59.7UniversitéCatholique de#127Belgium 59.7 Louvain (UCL)#128 Kyushu University Japan 6,000 -8,000 6,000 -8,000 6,000 -8,000 6,000 -8,000 59.6UniversitéPierre et Marie Curie#129France 59.6 (UPMC)#130 Humboldt-Universit?t zu Berlin Germany 59.4 #131 University College Dublin Ireland 8,000 -10,000 24,000 -26,000 10,000 -12,000 18,000 -20,000 59.1 #132 Technical University of Denmark Denmark 16,000 -18,000 16,000 -18,000 59 #133 University of Otago New Zealand 4,000 -6,000 20,000 -22,000 4,000 -6,000 10,000 -12,000 58.9University of SouthernUnited States 42,000 -44,000 42,000 -44,000 28,000 -30,000 28,000 -30,000 58.8 #134California#135 University of Rochester United States 40,000 -42,000 40,000 -42,000 40,000 -42,000 40,000 -42,000 58.7 #136 Radboud University Nijmegen Netherlands 2,000 -4,000 10,000 -12,000 2,000 -4,000 10,000 -12,000 58.5 #137 Korea University Korea, South 6,000 -8,000 6,000 -8,000 10,000 -12,000 10,000 -12,000 58.4 #138 Hokkaido University Japan 6,000 -8,000 6,000 -8,000 6,000 -8,000 6,000 -8,000 58.3 #139 Universidade de S?o Paulo Brazil 58.1 #140 Hebrew University of Jerusalem Israel 2,000 -4,000 12,000 -14,000 4,000 -6,000 10,000 -12,000 58Karlsruher Institut fürGermany 57.9 #141Technologie (KIT)KTH, Royal Institute ofSweden 20,000 -22,000 20,000 -22,000 57.7 #142Technology#143 Cardiff University United Kingdom 6,000 -8,000 24,000 -26,000 57.5Eberhard Karls Universit?t Tü#144Germany 57.4 bingen#145 University of Bergen Norway 57Universidad Nacional AutóMexico 14,000 -16,000 20,000 -22,000 56.8 #146noma de México (UNAM)Queen Mary, University ofUnited Kingdom 14,000 -16,000 18,000 -20,000 8,000 -10,000 18,000 -20,000 56.7 #147London (QMUL)#148 University of Ghent Belgium 56.6 #149 University of Bern Switzerland 56.5Rheinisch-Westf?lische#150Germany 56.3 Technische Hochschule Aachen#151 Rheinische Germany 56.3Friedrich-Wilhelms-Universit?tBonn#152 McMaster University Canada 6,000 -8,000 14,000 -16,000 6,000 -8,000 14,000 -16,000 56.1 école Normale Supérieure deFrance 56.1 #153Lyon#154 University of Cape T own South Africa 4,000 -6,000 8,000 -10,000 2,000 -4,000 4,000 -6,000 55.7 #155 University of California, Irvine United States 10,000 -12,000 34,000 -36,000 10,000 -12,000 26,000 -28,000 55.7 #156 Universiti Malaya (UM) Malaysia < 2000 2,000 -4,000 < 2000 < 2000 55.6University of Colorado atUnited States 8,000 -10,000 30,000 -32,000 8,000 -10,000 24,000 -26,000 55.5 #157BoulderEindhoven University of#158Netherlands 2,000 -4,000 6,000 -8,000 2,000 -4,000 16,000 -18,000 54.9 Technology#159 The Hong Kong Polytechnic Hong Kong 4,000 -6,000 12,000 -14,000 4,000 -6,000 12,000 -14,000 54.6University#160 Universit?t Wien Austria 54.6 #161 Wageningen University Netherlands 2,000 -4,000 2,000 -4,000 2,000 -4,000 14,000 -16,000 54.6 #162 University of Aberdeen United Kingdom 2,000 -4,000 18,000 -20,000 4,000 -6,000 20,000 -22,000 54.3 #163 Lancaster University United Kingdom 14,000 -16,000 20,000 -22,000 8,000 -10,000 20,000 -22,000 54Case Western Reserve#164United States 38,000 -40,000 38,000 -40,000 34,000 -36,000 34,000 -36,000 53.8 University#165 Texas A&M University United States 8,000 -10,000 22,000 -24,000 4,000 -6,000 12,000 -14,000 53.7 #166 Queen's University of Belfast United Kingdom 4,000 -6,000 20,000 -22,000 6,000 -8,000 20,000 -22,000 53.5 #167 Vanderbilt University United States 58,000 -60,000 58,000 -60,000 58,000 -60,000 58,000 -60,000 53.5 #168 Nanjing University China 53.2 #169 University of Florida United States 4,000 -6,000 26,000 -28,000 10,000 -12,000 28,000 -30,000 52.9#170 Zhejiang University China < 2000* 4,000 -6,000 < 2000* 4,000 -6,000 52.8 #171 Stockholm University Sweden 26,000 -28,000 26,000 -28,000 52.6 UniversitéLibre de Bruxelles#172Belgium 52.6 (ULB)The University of Western#173Canada 4,000 -6,000 14,000 -16,000 6,000 -8,000 12,000 -14,000 52.6 Ontario#174 Michigan State University United States 12,000 -14,000 30,000 -32,000 12,000 -14,000 26,000 -28,000 52.3 #175 Queen's University Canada 4,000 -6,000 20,000 -22,000 6,000 -8,000 12,000 -14,000 52.1Universitat Autònoma de#176Spain < 2000 < 2000 2,000 -4,000 2,000 -4,000 52 Barcelona#177 VU University Amsterdam Netherlands 2,000 -4,000 18,000 -20,000 2,000 -4,000 18,000 -20,000 51.8 #178 University of Bath United Kingdom 14,000 -16,000 22,000 -24,000 8,000 -10,000 22,000 -24,000 51.8#179 Sungkyunkwan University Korea, South 6,000 -8,000 4,000 -6,000 10,000 -12,000 6,000 -8,000 51.7University of Illinois, Chicago#180United States 24,000 -26,000 24,000 -26,000 12,000 -14,000 22,000 -24,000 51.6 (UIC)#181 Tufts University United States 42,000 -44,000 42,000 -44,000 40,000 -42,000 40,000 -42,000 51.5 #182 University of Exeter United Kingdom 14,000 -16,000 20,000 -22,000 14,000 -16,000 22,000 -24,000 51.4 #183= Georgetown University United States 40,000 -42,000 40,000 -42,000 38,000 -40,000 38,000 -40,000 51.2 #183= University of Arizona United States 8,000 -10,000 24,000 -26,000 8,000 -10,000 24,000 -26,000 51.2 #185 University of Leicester United Kingdom 14,000 -16,000 20,000 -22,000 8,000 -10,000 22,000 -24,000 51.1University of Science and#186China < 2000* 4,000 -6,000 < 2000* 4,000 -6,000 51 Technology of China#187 Universitat de Barcelona (UB) Spain < 2000* < 2000* 2,000 -4,000 2,000 -4,000* 50.9#188 University of Sussex United Kingdom 14,000 -16,000 20,000 -22,000 6,000 -8,000 20,000 -22,000 50.6#189 Vrije Universiteit Brussel (VUB) Belgium 6,000 -8,000 34,000 -36,000 50.5 #190 University College Cork Ireland 6,000 -8,000 10,000 -12,000 50.2 #191 University of Waterloo Canada 4,000 -6,000 18,000 -20,000 4,000 -6,000 12,000 -14,000 50.2 #192 National Tsing Hua University Taiwan 50.2 #193 University of Gothenburg Sweden 18,000 -20,000 20,000 -22,000 50 #194 Universitàdi Bologna (UNIBO) Italy < 2000 < 2000 2,000 -4,000 2,000 -4,000 49.8 Pontificia Universidad CatólicaChile 6,000 -8,000 6,000 -8,000* 6,000 -8,000 6,000 -8,000* 49.7 #195de Chile#196 University of Antwerp Belgium 49.5 #197 King Saud University Saudi Arabia 49.4 #198 Waseda University Japan 16,000 -18,000 16,000 -18,000 10,000 -12,000 10,000 -12,000 49.2 #199 University of Iowa United States 6,000 -8,000 24,000 -26,000 8,000 -10,000 24,000 -26,000 49.2#200 Keio University Japan 12,000 -14,000 6,000 -8,000 6,000 -8,000 6,000 -8,000 49.1。
上海占地面积最大的大学又到了选大学的时候了,高三党终于脱离高中行列进入大学,但是一定还有不少同学在为选学校而苦恼吧,那么想要报考上海地区大学的同学注意啦,小编这就为你介绍上海占地面积最大的大学。
上海面积最大的大学--上海交通大学上海交通大学(Shanghai Jiao T ong University)位于中国的经济、金融中心上海,是由教育部直属的一所具有理工特色,涵盖理、工、医、经、管、文、法等9大学科门类的综合性全国重点大学,中国首批七所“211工程”、首批九所“985工程重点建设”院校之一,入选“珠峰计划”、“111计划”、“2011计划”、“卓越医生教育培养计划”、“卓越法律人才教育培养计划”、“卓越工程师教育培养计划”、“卓越农林人才教育培养计划”,是“九校联盟”、Universitas 21、21世纪学术联盟的重要成员。
上海交通大学是中国最著名的高等学府之一,在工学、商学、医学领域拥有崇高的学术影响力,经过百余年的砥砺,上海交通大学已经成为一所“综合性、研究型、国际化”的中国一流、国际知名大学,并正在向“世界一流大学”稳步迈进。
2015年7月8日,《QS金砖五国大学排名2015》发布,上海交通大学排名第六。
2015年QS世界大学排名(2015/16)发布,上海交通大学排名第70位。
2016年2月,上海交通大学在2016国内高校保研率排名中排第五。
创建年份上海交通大学是中国历史最悠久的高等学府之一,前身是盛宣怀经清廷正式批准于1896年(光绪22年)创立的南洋公学,设立了师范院、外院、中院和上院四院。
与北洋大学堂同为中国近代历史上中国人自己最早创办的大学。
发展过程1896~1909年1896年,前身南洋公学在上海成立。
1897年3月6日,借上海徐家汇民房一所作校址,“南洋公学”正式开学。
1897年4月,委任何嗣焜为南洋公学(即校长)。
1903年,成立中国最早的商务专科班。
1905年划归商部,更名为商部上海高等实业学堂,随后又划归邮传部。
最新QS2013年世界大学排名TOP200利物浦124名排名学校国家/地区得分2012.9.13 发布者: admin 西交利物浦大学12级家长整理1麻省理工学院美国100分51哥本哈根大学丹麦76.72剑桥大学英国99.8 52新南威尔士大学澳大利亚76.63哈佛大学美国99.2 53慕尼黑科技大学德国76.44伦敦大学学院英国98.7 54格拉斯哥大学英国 76.35牛津大学英国98.6 55海德堡大学德国75.56伦敦帝国理工学院英国 98.3 56伊利诺伊大学香槟分校美国75.57耶鲁大学美国97.5 57北卡罗来纳大学教堂山分校美国75.48芝加哥大学美国96.3 58英国华威大学英国 73.99普林斯顿大学美国95.4 59华盛顿大学美国73.710加州理工学院美国95.1 60慕尼黑路德维希大学德国72.911哥伦比亚大学美国94.7 61莫纳什大学澳大利亚72.212宾夕法尼亚大学美国94.5 62阿姆斯特丹大学荷兰72.113苏黎世理工学院瑞士92.8 63韩国科学与技术学院韩国71.814康奈尔大学美国92.1 64波士顿大学美国71.715斯坦福大学美国91.7 65东京技术学院日本71.416约翰霍普金斯大学美国91.2 66谢菲尔德大学英国 71.317密歇根大学美国91.2 67都柏林三一学院爱尔兰71.318麦吉尔大学加拿大90.4 68得克萨斯大学奥斯汀分校美国71.219多伦多大学加拿大89.6 69伦敦政治经济学院英国 71.120杜克大学美国89.5 70加州大学圣地亚哥分校美国70.921爱丁堡大学英国89.2 71隆德大学瑞典70.922加州大学伯克利分校美国88.1 72诺丁汉大学英国 70.723香港大学香港 87.9 73南安普顿大学英国 70.724澳大利亚国立大学澳大利亚87.6 74日内瓦大学瑞士70.625新加坡国立大学新加坡87.2 75莱顿大学荷兰70.526伦敦国王学院英国87.1 76日本东北大学日本70.527西北大学美国85.4 77伯明翰大学英国70.328布里斯托大学英国 85.4 78赫尔辛基大学芬兰70.129瑞士洛桑理工学院瑞士85.1 79西澳大利亚大学澳大利亚70分30东京大学日本85分80国立台湾大学台湾69.931加州大学洛杉矶分校美国84.6 81乌普萨拉大学瑞典69.832曼彻斯特大学英国 84.2 82鲁汶大学比利时69.733香港科技大学香港83.5 83奥克兰大学新西兰69.334巴黎高等师范学校法国83.3 84圣路易斯华盛顿大学美国69.135京都大学日本83.3 85乌得勒支大学荷兰68.736墨尔本大学澳大利亚83.2 86名古屋大学日本68.637首尔国立大学韩国82.2 87柏林自由大学德国68.638麦迪逊分校美国81.4 88乔治亚理工学院美国68.439悉尼大学澳大利亚81.3 89奥尔胡斯大学丹麦68.440香港中文大学香港80.1 90复旦大学中国 68.341巴黎综合理工学院法国79.6 91苏黎世大学瑞士68.342布朗大学美国79.5 92杜伦大学英国 67.943纽约大学美国78.9 93圣安德鲁斯大学英国67.644北京大学中国 78.8 94利兹大学英国 67.345不列颠哥伦比亚大学加拿大78.6 95香港城市大学香港66.946昆士兰大学澳大利亚78.2 96普渡大学美国66.947南洋理工大学新加坡77.7 97浦项市科技大学韩国66.848清华大学中国77.5 98匹兹堡大学美国66.149卡内基梅隆大学美国77.4 99鹿特丹伊拉斯姆大学荷兰65.950大阪大学日本76.8 100加州大学戴维斯分校美国65.9========== 101 - 200名的大学==========101宾夕法尼亚州立大学美国65.7 151波恩弗里德里希·威斯特大学德国56.3 102阿德莱德大学澳大利亚65.3 152麦克马斯特大学加拿大56.1103代尔夫特科技大学荷兰65.1 153里昂高等师范学院法国56.1104明尼苏达大学美国64.9 154开普敦大学南非55.7105俄亥俄州立大学美国64.7 155加州大学欧文分校美国55.7106弗莱堡大学德国64.4 156马来亚大学马来西亚55.6107马斯特里赫特大学荷兰64.4 157博尔德科罗拉多大学美国55.5108阿尔伯塔大学加拿大64.2 158埃因霍温科技大学荷兰54.9109格罗宁根大学荷兰64.2 159香港理工大学香港54.6110约克大学英国 63.8 160维恩大学奥地利54.6111奥斯陆大学挪威63.7 161瓦赫宁根大学荷兰54.6112延世大学韩国63.5 162阿伯丁大学英国 54.3113达特茅斯学院美国63.5 163兰开斯特大学英国 54114蒙特利尔大学加拿大63.5 164凯斯西储大学美国53.8115洛桑大学瑞士62.4 165德克萨斯A&M大学美国53.7116罗蒙诺索夫莫斯科州立大学俄罗斯61.8 166贝尔法斯特女王大学英国53.5 117马里兰大学学院美国61.5 167范德比尔特大学美国53.5118加州圣芭芭拉大学美国61.3 168南京大学中国 53.2119格奥尔格大学德国60.9 169佛罗里达大学美国52.9120莱斯大学美国60.8 170浙江大学中国 52.8121巴塞尔大学瑞士60.5 171斯德哥尔摩大学瑞典 52.6122埃默里大学美国60.4 172布鲁塞尔自由大学比利时52.6123弗吉尼亚大学美国60.4 173西安大略大学加拿大52.6124利物浦大学英国60. 174密歇根州立大学美国52.3125上海交通大学中国59.9 175皇后大学加拿大52.1126纽卡斯尔大学英国 59.7 176巴塞罗那自治大学西班牙52127鲁汶大学比利时59.7 177阿姆斯特丹自由大学荷兰51.8128九州大学日本59.6 178英国巴斯大学英国 51.8129皮埃尔玛丽居里大学法国59.6 179韩国成均馆大学韩国51.7130柏林洪堡大学德国59.4 180芝加哥伊利诺伊大学美国51.6131都柏林大学爱尔兰59.1 181塔夫斯大学美国51.5132丹麦技术大学丹麦59. 182埃克塞特大学英国 51.4133奥塔戈大学新西兰58.9 183乔治城大学美国51.2134南加州大学美国58.8 184亚利桑那大学美国51.2135罗彻斯特大学美国58.7 185莱斯特大学英国 51.1136内梅亨大学荷兰58.5 186中国科学技术大学中国 51137高丽大学韩国58.4 187巴塞罗那大学西班牙50.9138北海道大学日本58.3 188苏塞克斯大学英国 50.6139 Universidade de S大学巴西58.1 189布鲁塞尔自由项目大学比利时50.5 140耶路撒冷希伯来大学以色列58. 190科克大学爱尔兰50.2141毛皮Technologie 投资大学德国57.9 191滑铁卢大学加拿大50.2142皇家理工学院瑞典57.7 192国立清华大学台湾50.2143卡迪夫大学英国 57.5 193哥德堡大学瑞典50144图宾根大学德国57.4 194博洛尼亚大学意大利49.8145卑尔根大学挪威57. 195智利康赛浦西翁天主大学智利49.7146国家自治德墨西哥大学墨西哥56.8 196安特卫普大学比利时49.5147伦敦大学玛丽女王学院英国 56.7 197沙特国王大学沙特阿拉伯49.4148根特大学比利时56.6 198早稻田大学日本49.2149伯尔尼大学瑞士56.5 199爱荷华大学美国49.2150亚琛科技大学德国56.3 200庆应义塾大学日本49.1。
Technology(MIT)University of Cambridge UnitedKingdom14,000-16,00022,000-24,0004,000-6,00024,000-26,00099.8100.0100.097.0Harvard University UnitedStates38,000-40,00038,000-40,00036,000-38,00036,000-38,00099.2100.0100.0100.UCL(University College London)UnitedKingdom14,000-16,00024,000-26,0006,000-8,00024,000-26,00098.799.695.694.0University of Oxford UnitedKingdom14,000-16,00022,000-24,0004,000-6,00026,000-28,00098.6100.0100.089.4Imperial College London UnitedKingdom14,000-16,00030,000-32,0004,000-6,00032,000-34,00098.399.8100.087.3Yale University UnitedStates38,000-40,00038,000-40,00032,000-34,00032,000-34,00097.5100.0100.093.3University of Toronto Canada6000-800024000-260006000-800016000-1800089.699.994.380.2Duke University UnitedStates40,000-42,00040,000-42,00038,000-40,00038,000-40,00089.595.181.996.9University of Edinburgh UnitedKingdom14,000-16,00016,000-18,0006,000-8,00018,000-20,00089.299.196.877.1University of California, Berkeley(UCB)UnitedStates14,000-16,00020,000-22,00010,000-12,00024,000-26,00088.1100.0100.097.9University of Hong Kong HongKong4,000-6,00014,000-16,0004,000-6,00014,000-16,00087.999.383.850.5AustralianNational Australia 6,00040,00022,00028,00087.699.782.564.3Technologyécole Normale Supérieure,Paris France4,000-6,0008,000-10,00083.390.866.981.6Kyoto University Japan 6,000-8,0004,000-6,0006,000-8,0004,000-6,00083.399.881.170.0The University of Melbourne Australia6,000-8,00028,000-30,00024,000-26,00083.299.8100.074.9Seoul National University Korea,South4,000-6,0004,000-6,0006000-80006000-800082.298.883.449.6University of Wisconsin-Madiso n UnitedStates8,000-10,00024,000-26,00010,000-12,00024,000-26,00081.497.168.668.0The University ofAustralia 6,00030,00022,00028,00081.399.393.558.9-8,000-8,000-8,000-8,000University ofCopenhagenDenmark76.783.571.548.6The University of New South Wales Australia6,000-8,00032,000-34,0008,000-10,00032,000-34,00076.695.095.152.8TechnischeUniversit?tMünchenGermany76.486.491.034.3University of Glasgow UnitedKingdom2,000-4,00020,000-22,0004,000-6,00018,000-20,00076.382.470.778.3Ruprecht-Karls-Universit?tHeidelbergGermany75.593.342.849.7The University of Sheffield UnitedKingdom14,000-16,00022,000-24,0006,000-8,00022,000-24,00071.377.775.360.2Trinity College Dublin Ireland8,000-10,00022,000-24,0008,000-10,00016,000-18,00071.379.675.057.0University of Texas at Austin UnitedStates8,000-10,00032,000-34,00010,000-12,00020,000-22,00071.297.481.074.7London School ofEconomics and Political Science (LSE)UnitedKingdom12,000-14,00022,000-24,00016,000-18,00024,000-26,00071.188.0100.017.4University of California,San Diego(UCSD)UnitedStates12,000-14,00036,000-38,00010,000-12,00026,000-28,00070.997.535.7100.The University of Auckland NewZealand4,000-6,00020,000-22,0004,000-6,00024,000-26,00069.392.878.245.5Washington University in St. Louis UnitedStates38,000-40,00038,000-40,00038,000-40,00038,000-40,00069.160.422.096.8Utrecht University Netherlands2,000-4,0002,000-4,0002,000-4,0002,000-4,00068.781.448.488.2Nagoya University Japan 6,000-8,0006,000-8,0006,000-8,0006,000-8,00068.669.564.268.6Freie Universit?tBerlinGermany68.691.044.680.7Georgia Institute United6,00026,00010,00026,00068.470.776.999.4Erasmus University Rotterdam Netherlands2,000-4,0008,000-10,0002,000-4,00016,000-18,00065.950.582.293.6University of California,Davis UnitedStates12,000-14,00036,000-38,00010,000-12,00026,000-28,00065.974.638.096.7Pennsylvania State University UnitedStates14,000-16,00028,000-30,00018,000-20,00030,000-32,00065.777.383.381.5The University of Adelaide Australia6,000-8,00026,000-28,00014,000-16,00028,000-30,00065.373.869.554.8Delft University of Technology Netherlands2,000-4,00010,000-12,0002,000-4,00016,000-18,00065.174.872.355.7University of Minnesota UnitedStates12,000-14,00018,000-20,00014,000-16,00020,000-22,00064.982.941.897.5University-10,000-10,000-10,000-10,000University of Maryland,College Park UnitedStates8,000-10,00026,000-28,00012,000-14,00026,000-28,00061.566.439.573.4University of California,Santa Barbara(UCSB)UnitedStates12,000-14,00034,000-36,00012,000-14,00026,000-28,00061.376.627.299.8Georg-August-Universit?t G?ttingenGermany60.970.627.348.6Rice University UnitedStates34,000-36,00034,000-36,00034,000-36,00034,000-36,00060.846.526.393.1University of Basel Switzerland60.551.631.260.2University of Otago NewZealand4,000-6,00020,000-22,0004,000-6,00010,000-12,00058.965.860.254.0University of Southern California UnitedStates42,000-44,00042,000-44,00028,000-30,00028,000-30,00058.859.245.562.9University of Rochester UnitedStates40,000-42,00040,000-42,00040,000-42,00040,000-42,00058.740.112.573.7Radboud University Nijmegen Netherlands2,000-4,00010,000-12,0002,000-4,00010,000-12,00058.541.239.876.9Korea University Korea,South6,000-8,0006,000-8,00010,000-12,00010,000-12,00058.476.457.422.3HokkaidoJapan 6,0006,0006,0006,00058.356.664.754.7GhentUniversity of Bern Switzerland56.537.529.576.4Rheinisch-Westf?lische TechnischeHochschuleAachenGermany56.366.986.732.9RheinischeFriedrich-Wilhelms-Universit?t BonnGermany56.366.724.341.9McMaster University Canada6,000-8,00014,000-16,0006,000-8,00014,000-16,00056.157.235.484.7école NormaleSupérieure de France56.155.79.935.7Texas A&M University UnitedStates8,000-10,00022,000-24,0004,000-6,00012,000-14,00053.764.962.372.8Queen's University of Belfast UnitedKingdom4,000-6,00020,000-22,0006,000-8,00020,000-22,00053.545.473.040.2Vanderbilt University UnitedStates58,000-60,00058,000-60,00058,000-60,00058,000-60,00053.541.435.853.5Nanjing University China53.270.839.440.9University of Florida UnitedStates4,000-6,00026,000-28,00010,000-12,00028,000-30,00052.960.740.965.9Zhejiang University China<2000*4,000-6,000<2000*4,000-6,00052.870.559.555.1Exeter Kingdom-16,000-22,000-16,000-24,000Georgetown University UnitedStates40,000-42,00040,000-42,00038,000-40,00038,000-40,00051.248.167.946.1University of Arizona UnitedStates8,000-10,00024,000-26,0008,000-10,00024,000-26,00051.258.320.575.9University of Leicester UnitedKingdom14,000-16,00020,000-22,0008,000-10,00022,000-24,00051.137.926.473.1University ofScience and Technology of China China<2000*4,000-6,000<2000*4,000-6,00051.057.932.161.5Universitat de Barcelona(UB)Spain<2000*<2000*2,000-4,0002,000-4,000*50.977.540.438.7States-8,000-26,000-10,000-26,000Keio University Japan 12,000-14,0006,000-8,0006,000-8,0006,000-8,00049.161.475.117.5Chulalongkorn University Thailand4,000-6,000*10,000-12,000*6,000-8,000*10,000-12,000*49.179.066.38.4Universit?tFrankfurt am MainGermany49.157.245.546.2University of Tsukuba Japan6,000-8,0006,000-8,0006,000-8,0006,000-8,00049.050.122.331.4University of Dundee UnitedKingdom2,000-4,00018,000-20,0004,000-6,00018,000-20,00048.934.323.957.4Universit?tGermany48.965.427.625.6àdi RomaUniversitéParisSorbonne,Paris IVFrance47.483.660.7 1.4 UniversitéParis1,Panthéon-SorbonneFrance47.176.577.7 4.1UniversitéParis-Sud11France47.141.618.355.1 Technion-IsraelInstitute of Technology Israel2,000-4,000*4,000-6,000*8,000-10,000*47.044.824.178.5University of Canterbury NewZealand2,000-4,0008,000-10,0004,000-6,0004,000-6,00047.052.063.433.4UniversitédeStrasbourgFrance44.869.121.530.4Macquarie University Australia6,000-8,00024,000-26,00022,000-24,00044.747.471.228.2UniversitéParisDiderot-Paris7France44.460.342.8University of Notre Dame UnitedStates40,000-42,00040,000-42,00040,000-42,00040,000-42,00044.435.966.863.3University of East Anglia(UEA)UnitedKingdom14,000-16,00018,000-20,0006,000-8,00018,000-20,00044.440.226.744.7Victoria University of Wellington NewZealand4,000-6,00016,000-18,0004,000-6,00020,000-22,00044.252.963.018.0Hanyang University Korea,South6,000-8,0006,000-8,0008,000-10,0008,000-10,00042.537.231.213.7AmericanUniversity of Beirut (AUB)Lebanon<200012,000-14,00016,000-18,000*16,000-18,000*42.225.859.317.3Universit?t Ulm Germany42.214.427.356.2Beijing Normal University China<2000*4,000-6,000<2000*4,000-6,00042.053.928.116.7Saint-Petersburg State University Russia4,000-6,0006,000-8,0004,000-6,0004,000-6,00041.943.626.7 3.5University of Strathclyde UnitedKingdom2,000-4,00018,000-20,0006,000-8,00016,000-18,00041.843.153.225.4s-Universit?t zuKielGermany41.134.824.281.0Universitat Pompeu Fabra Spain2,000-4,00014,000-16,0002,000-4,00014,000-16,00041.139.628.225.8Royal Holloway University of London UnitedKingdom14,000-16,00018,000-20,0006,000-8,00018,000-20,00041.133.930.835.9University of Newcastle Australia6,000-8,00022,000-24,00012,000-14,00024,000-26,00041.047.939.528.7Universit?tErlangen-NürnbergGermany41.036.421.654.7Kyung Hee Korea,6,000-8,6,000-8,10,000-10,000-140.932.460.18.9University of Technology Australia00024,00020,0004,00040.244.065.620.1Simon Fraser University Canada2,000-4,00012,000-14,0004,000-6,0004,000-6,00040.137.334.155.1University of Hawaii at Manoa UnitedStates8,000-10,00022,000-24,00010,000-12,00026,000-28,00040.125.0 1.062.5University ofTechnology, Sydney Australia20,000-22,00020,000-22,00018,000-20,00022,000-24,00040.041.669.312.7National Yang Ming University Taiwan<2000*<20002,000-4,000*<200040.017.125.446.4Charles University CzechRepublic0*8,000-10,000*0*8,000-10,000*39.951.536.617.6Kobe University Japan 6,000-8,0006,000-8,0006,000-8,0006,000-8,00039.138.243.626.9Rensselaer Polytechnic Institute UnitedStates40,000-42,00040,000-42,00040,000-42,00040,000-42,00039.121.425.389.6Ume?University Sweden 10,000-12,0008,000-10,00039.032.818.448.5UniversitàdegliStudi di Padova(UNIPD)Italy39.053.530.350.1University of Victoria Canada4,000-6,00014,000-16,0004,000-6,0006,000-8,00038.930.628.972.7Stony Brook University UnitedStates6,000-8,00016,000-18,0008,000-10,00014,000-16,00038.929.3 3.963.2University ofJyv?skyl?Finland38.230.023.113.9University of California,Santa Cruz UnitedStates12,000-14,00036,000-38,00010,000-12,00026,000-28,00038.139.190.1Indian Institute ofTechnology Madras(IITM)India<2000<2000<20004,000-6,00038.140.073.040.3University at Buffalo SUNY UnitedStates6,000-8,00016,000-18,00010,000-12,00016,000-18,00038.129.98.286.4Universitàdi Pisa Italy37.852.727.454.7UniversitéParisFrance37.632.120.364.6Malaysia(USM)000*,000*,000*City University London UnitedKingdom14,000-16,00018,000-20,00012,000-14,00018,000-20,00035.931.354.514.3Universidad Austral Argentina4,000-6,0004,000-6,00010,000-12,00010,000-12,00035.926.447.3 3.2Boston College UnitedStates40,000-42,00040,000-42,00028,000-30,00028,000-30,00035.832.039.127.4Arizona State University UnitedStates8,000-10,00022,000-24,0008,000-10,00022,000-24,00035.747.226.148.4Brunel University, London UnitedKingdom14,000-16,00018,000-20,0006,000-8,00018,000-20,00035.625.247.632.4Brandeis United40,000-40,000-40,000-40,000-435.520.513.466.200014,000,0002,000Universidad Carlos III de Madrid Spain<20004,000-6,0002,000-4,0008,000-10,00034.638.144.1 5.2UniversitéParisDauphineFrance34.633.688.6 5.3Aston University UnitedKingdom14,000-16,00022,000-24,00012,000-14,00022,000-24,00034.521.365.523.9Universit?t Bremen Germany34.537.822.924.9UniversitéClaudeBernard Lyon1France34.538.728.938.7University of the Philippine34.549.263.2 2.3Teknologi Malaysia (UTM)Malaysia<2000*000*<200000033.734.129.7 2.5Universidad de Navarra Spain10,000-12,00010,000-12,00014,000-16,000*14,000-16,000*33.622.235.324.7Universiti Putra Malaysia(UPM)Malaysia<20002,000-4,0002,000-4,0006,000-8,00033.641.429.3 4.2Xi'an Jiaotong University China<20002,000-4,000<20004,000-6,00033.529.940.611.7James Cook University Australia6,000-8,000*22,000-24,00024,000-26,00033.521.723.444.2University of the Witwatersrand SouthAfrica2,000-4,000*4,000-6,000*2,000-4,000*2,000-4,000*33.337.230.629.9Universit?t desversitaet GrazUniversity of Waikato NewZealand2,000-4,00018,000-20,0004,000-6,00018,000-20,00032.828.836.914.9La Trobe University Australia 20,000-22,00022,000-24,00014,000-16,00022,000-24,00032.835.626.815.8Universit?t Jena Germany32.629.117.143.0 Ben GurionUniversity of The Negev Israel2,000-4,000*6,000-8,000*2,000-4,000*6,000-8,000*32.630.18.631.0UniversitéMontpellier2,Sciences etFrance32.526.9 3.146.4Cincinnati States12,00026,00016,0006,000Al-Farabi Kazakh National University Kazakhstan4,000-6,0004,000-6,0004,000-6,0004,000-6,00031.725.720.4 1.1Sogang University Korea,South6,000-8,0006,000-8,0008,000-10,0008,000-10,00031.633.332.98.7American University in Cairo Egypt22,000-24,000*28,000-30,000*20,000-22,000*16,000-18,000*31.630.349.4 3.2University of Saskatchewan Canada4,000-6,00012,000-14,0002,000-4,0004,000-6,00031.521.943.433.6University of St Gallen(HSG)Switzerland2,000-4,000*2,000-4,000*2,000-4,000*2,000-4,000*31.517.285.811.2University ofSharjah EmiratesBilkent University Turkey 10,000-12,00012,000-14,00010,000-12,00012,000-14,00010.7Deakin University Australia 6,000-8,00022,000-24,00014,000-16,00024,000-26,00017.3Drexel University UnitedStates34,000-36,00034,000-36,00026,000-28,00026,000-28,00032.4Florida State University UnitedStates4,000-6,00020,000-22,0008,000-10,00022,000-24,00042.3Goldsmiths, University of London UnitedKingdom14,000-16,00018,000-20,00010,000-12,00020,000-22,0007.8Harbin Institute ofChina25.6University Kingdom16,00018,000,0000,000Philipps-Universit?MarburgGermany36.7 Politecnico diTorinoItaly24.1 PontificiaUniversidad Javeriana Colombia2,000-4,0004,000-6,000*2,000-4,0006,000-8,000*1.8Pusan National University Korea,South2,000-4,0002,000-4,0004,000-6,000*2,000-4,000*16.0Renmin(People?s) University of China China<2000*2,000-4,000*<2000*4,000-6,000*3.0Shanghai2,000-4,<2,000-4,UniversitàdegliStudi di PaviaItaly59.1 UniversitàdegliStudi di Torino(UNITO)Italy44.2Universitas Gadjah Mada Indonesia<20002,000-4,0002,000-4,0001.4UniversitédeLorraineFrance10.7Universitédu Québec Canada6,000-8,00016,000-18,0006,000-8,00014,000-16,00015.0UniversitéParis2,France 1.1Auckland University of Technology New ZealandBandung Instituteof Technology (ITB)Indonesia<2000*4,000-6,000<20006,000-8,0002.1Bangor University UnitedKingdom14,000-16,00016,000-18,0006,000-8,00018,000-20,00032.9Beijing Institute ofTechnologyChina11.5 Chang GungUniversityTaiwan67.9 City University of United4,000-6,10,000-6,000-814,000-1Rutgers-The State University of New Jersey,Newark UnitedStates12,000-14,00024,000-26,00014,000-16,00022,000-24,00013.3Sun Yat-sen University China<2000*4,000-6,0002,000-4,000*4,000-6,00024.1SwinburneUniversity of Technology Australia<200018,000-20,00016,000-18,00020,000-22,00022.1Syracuse University UnitedStates36,000-38,00036,000-38,00028,000-30,00028,000-30,00024.7TechnischeUniversit?tDortmundGermany21.5UniversidadeFederal de MinasGeraisBrazil14.2 UniversitaCattolica del Sacro Cuore Italy4,000-6,0004,000-6,0006,000-8,0006,000-8,00018.3UniversitàdegliStudi di NapoliFederico IIItaly60.6Universitàdegli Studi di Trento Italy<2000<20002,000-4,0002,000-4,00037.7Universitat de Valencia Spain<2000*<2000*2,000-4,000*2,000-4,000*22.2Universit?t000*2000*000*Yokohama CityUniversityJapan27.3Abu Dhabi University United Arab EmiratesBelarus State University Belarus<20002,000-4,000Cairo University Egypt<20002,000-4,000<20002,000-4,000Carleton University Canada 6,000-8,00018,000-20,0004,000-6,00012,000-14,000Chiang Mai4,000-6,<6,000-8,Kyungpook National University Korea,South4,000-6,0004,000-6,0004,000-6,0004,000-6,000Lehigh University UnitedStates40,000-42,00040,000-42,00020,000-22,00020,000-22,000Louisiana State University UnitedStates12,000-14,00044,000-46,00014,000-16,00046,000-48,000Nagasaki University Japan6,000-8,0006,000-8,0006,000-8,0006,000-8,000University ofAthensGreeceNational ResearchUniversity-Higher6,000-8,6,000-8,6,000-86,000-8,Universidad de Guadalajara(UDG)Mexico<20002,000-4,000<20002,000-4,000Universidad de Zaragoza Spain<2000*2,000-4,000*<2000*4,000-6,000*UniversidadeFederal do RioGrande Do Sul (UFRGS)BrazilUniversitàdegliStudi di GenovaItaly UniversitàdegliStudi di Siena(UNISI)ItalyVirginia Commonwealth University UnitedStates6,000-8,00020,000-22,0008,000-10,00018,000-20,000Al Azhar University EgyptBogaziciUniversitesiTurkeyChonnam National University Korea,South2,000-4,0002,000-4,0004,000-6,000*2,000-4,000*Chung-Ang University Korea,South6,000-8,0006,000-8,0008,000-10,0008,000-10,000ChungnamNationalKorea,2,000-4,2,000-4,4,000-62,000-4,Chicago States34,00034,00016,0006,000 Martin-Luther-Universit?tHalle-WittenbergGermanyMasaryk University CzechRepublic6,000-8,0004,000-6,000*Missouri University of Science and Technology UnitedStates8,000-10,00020,000-22,0006,000-8,00016,000-18,000National Chengchi University Taiwan<20002,000-4,000<20002,000-4,000National Technical University of GreeceUniversidadCentral deVenezuelaVenezuelaUniversidad de Concepción Chile4,000-6,000*4,000-6,000*12,000-14,000*12,000-14,000*Universidad de Sevilla Spain<2000<20002,000-4,0002,000-4,000UniversidadIberoamericana(UIA)MexicoUniversidad SimónBolívarVenezuela UniversidadeUniversity of Salford UnitedKingdom12,000-14,00016,000-18,00010,000-12,00016,000-18,000University of Tehran Iran<20004,000-6,0004,000-6,0008,000-10,000University of Ulsan Korea, SouthThe University ofZagrebCroatia YokohamaNational University Japan6,000-8,0006,000-8,0008,000-10,0006,000-8,000Ain ShamsEgyptBaylor University United StatesBeneméritaUniversidadAutónoma dePueblaMexicoBinghamton University SUNY United StatesBogor AgriculturalUniversityIndonesiaBrigham Young University United StatesUniversity States Fu Jen CatholicUniversityTaiwanGeorgia State University United StatesInstitutoTecnológicoAutónomo deMéxico(ITAM)MexicoJilin University China<2000*2,000-4,000*<2000*2,000-4,000*Jordan Universityof Science&JordanSciences(LUMS)Lodz University PolandMarquette University United StatesN.I.LobachevskyState University ofNizhni NovgorodRussiaNational ChungHsing UniversityTaiwan National TechnicalUniversity ofUkraine"Kyiv UkraineShandong University China<2000*2,000-4,000*<2000*4,000-6,000*Sharif University of TechnologyIranSouth Kazakhstan State University (SKSU)Kazakhsta nSouthern Methodist University United StatesStevens Institute of Technology UnitedStates38,000-40,000*38,000-40,000*20,000-22,000*20,000-22,000*Andes MéridaUniversidad deMurciaSpainUniversidad de Puerto Rico Puerto RicoUniversidad delValleColombia UniversidadNacional Mayor deSan MarcosPeruUniversidadTecnica FedericoSanta MariaChileUniversitéLyon3,France Jean MoulinUniversitéLille2France UniversitéParisFrance Ouest Nanterre LaDéfenseUniversitéFrance Montpellier3,Paul-ValeryUniversitéFrance Pierre-Mendès-France(UPMF)University ofBucharestRomania University ofCalcuttaIndiaUniversity of Central Lancashire United KingdomUniversity ofColomboSri Lanka University ofDebrecenHungaryUniversity of Denver UnitedStates36,000-38,000*36,000-38,000*34,000-36,000*34,000-36,000*。
2014QS亚洲大学排名前100名单QS2014亚洲大学排名,中国大陆22校上榜,高于日本的21所,排名亚洲第一。
中国大陆排名前10 的学校依次是:北京大学(8)、清华大学(14)、复旦大学(22)、中国科技大学(25)、南京大学(26)、上海交通大学(28)、浙江大学(31)、北京师范大学(42)、南开大学(50)、中山大学(54)。
排名学校学校英文名国家/地区1 新加坡国立大学National University of Singapore (NUS) 新加坡2 韩国高等科技学院KAIST - Korea Advanced Institute of Science & Technology 韩国3 香港大学University of Hong Kong 香港4 首尔国立大学Seoul National University 韩国5 香港科技大学The Hong Kong University of Science and Technology 香港6 香港中文大学The Chinese University of Hong Kong 香港7 南洋理工大学Nanyang Technological University (NTU) 新加坡8 北京大学Peking University 中国9 浦项科技大学(POSTECH)Pohang University of Science And Technology (POSTECH) 韩国10 东京大学The University of Tokyo 日本11 香港城市大学City University of Hong Kong 香港12 京都大学Kyoto University 日本13 大阪大学Osaka University 日本14 清华大学Tsinghua UniversityTsinghua University 中国15 东京工业大学Tokyo Institute of Technology 日本16 延世大学Yonsei University 韩国17 成均馆大学Sungkyunkwan University 韩国18 高丽大学Korea University 韩国18 东北大学Tohoku University 日本20 名古屋大学Nagoya University 日本21 国立台湾大学National Taiwan University (NTU) 台湾22 复旦大学Fudan UniversityFudan University 中国23 北海道大学Hokkaido University 日本24 九州大学Kyushu University 日本25 中国科技大学University of Science and Technology of China 中国26 南京大学Nanjing University 中国27 香港理工大学The Hong Kong Polytechnic University 香港28 上海交通大学Shanghai Jiao Tong University 中国29 汉阳大学Hanyang University 韩国29 国立交通大学National Chiao Tung University 台湾31 浙江大学Zhejiang University 中国32 马来亚大学Universiti Malaya (UM) 马来西亚33 国立清华大学National Tsing Hua University 台湾34 筑波大学University of Tsukuba 日本35 庆应义塾大学Keio University 日本36 国立成功大学National Cheng Kung University 台湾37 庆熙大学Kyung Hee University 韩国38 印度理工学院德里(IITD)Indian Institute of Technology Delhi (IITD) 印度39 梨花女子大学Ewha Womans University 韩国40 玛希隆大学Mahidol University 泰国41 印度理工学院孟买分校Indian Institute of Technology Bombay (IITB) 印度42 北京师范大学Beijing Normal University 中国43 神户大学Kobe University 日本44 早稻田大学Waseda University 日本45 香港浸会大学Hong Kong Baptist University 香港46 台北医科大学Taipei Medical University 台湾47 广岛大学Hiroshima University 日本48 朱拉隆功大学Chulalongkorn University 泰国49 国立阳明大学National Yang Ming University 台湾50 南开大学Nankai University 中国51 国立台湾科技大学National Taiwan University of Science And Technology 台湾52 印度理工学院坎普尔分校Indian Institute of Technology Kanpur (IITK) 印度53 印度理工学院马德拉斯分校Indian Institute of Technology Madras (IITM) 印度54 西江大学Sogang University 韩国54 中山大学Sun Yat-sen University 中国56 马来西亚国民大学Universiti Kebangsaan Malaysia (UKM) 马来西亚57 马来西亚科技大学Universiti Sains Malaysia (USM) 马来西亚57 西安交通大学Xi'an Jiaotong University 中国59 国立中央大学National Central University 台湾60 印度理工学院克勒格布尔分校Indian Institute of Technology Kharagpur (IITKGP) 印度61 东京医科齿科大学Tokyo Medical and Dental University 日本62 千叶大学Chiba University 日本63 菲律宾大学University of the Philippines 菲律宾63 武汉大学Wuhan University 中国65 同济大学Tongji University 中国66 马来西亚理工大学Universiti Teknologi Malaysia (UTM) 马来西亚67 金泽大学Kanazawa University 日本68 韩国中央大学Chung-Ang University 韩国68 国立釜山大学Pusan National University 韩国70 印度理工学院鲁尔基分校Indian Institute of Technology Roorkee (IITR) 印度71 印度尼西亚大学University of Indonesia 印尼72 上海大学Shanghai University 中国73 韩国外国语大学Hankuk (Korea) University of Foreign Studies 韩国73 国立中山大学National Sun Yat-sen University 台湾75 国立台湾师范大学National Taiwan Normal University 台湾76 马来西亚博特拉大学Universiti Putra Malaysia (UPM) 马来西亚77 哈尔滨工业大学Harbin Institute of Technology 中国78 人民大学Renmin (People’s) University of China中国79 北京航空航天大学Beihang University (former BUAA) 中国79 北京理工大学Beijing Institute of Technology 中国81 长庚大学Chang Gung University 台湾81 德里大学University of Delhi 印度81 首尔大学University of Seoul 韩国84 东南大学Southeast University 中国85 庆北国立大学Kyungpook National University 韩国85 厦门大学Xiamen University 中国87 国立全北大学Chonbuk National University 韩国88 冈山大学Okayama University 日本89 国立中兴大学National Chung Hsing University 台湾90 大阪城市大学Osaka City University 日本91 韩国天主大学The Catholic University of Korea 韩国92 清迈大学Chiang Mai University 泰国93 天津大学Tianjin University 中国94 东京都会大学Tokyo Metropolitan University 日本95 印度理工学院古瓦哈提分校Indian Institute of Technology Guwahati (IITG)印度96 东国大学Dongguk University 韩国96 仁荷大学Inha University 韩国96 东京农业科技大学Tokyo University of Agriculture and Technology 日本99 华东理工大学East China University of Science and Technology 中国99 熊本大学Kumamoto University 日本101 国立全南大学Chonnam National University 韩国参考资料:(1)QS University Rankings: Asia 20142013QS亚洲大学排名前100榜单QS2013亚洲大学排名,中国大陆21校上榜,仅次日本的23所,排名亚洲第二。
2013年QS世界大学排名最新完整版Rank SchoolUndergraduate Postgraduate Domestic International Domestic International#1Massachusetts Institute ofTechnology (MIT)38,000 -40,000 38,000 -40,000 40,000 -42,000 40,000 -42,000 #2 University of Cambridge 14,000 -16,000 22,000 -24,000 4,000 -6,000 24,000 -26,000 #3 Harvard University 38,000 -40,000 38,000 -40,000 36,000 -38,000 36,000 -38,000 #4UCL (University CollegeLondon)14,000 -16,000 24,000 -26,000 6,000 -8,000 24,000 -26,000 #5 University of Oxford 14,000 -16,000 22,000 -24,000 4,000 -6,000 26,000 -28,000 #6 Imperial College London 14,000 -16,000 30,000 -32,000 4,000 -6,000 32,000 -34,000 #7 Yale University 38,000 -40,000 38,000 -40,000 32,000 -34,000 32,000 -34,000#8 University of Chicago 42,000 -44,000 42,000 -44,000 42,000 -44,000 42,000 -44,000#9 Princeton University 36,000 -38,000 36,000 -38,000 38,000 -40,000 38,000 -40,000 California Institute of36,000 -38,000 36,000 -38,000 36,000 -38,000 36,000 -38,000 #10Technology (Caltech)#11 Columbia University 42,000 -44,000 42,000 -44,000 38,000 -40,000 38,000 -40,000 #12 University of Pennsylvania 40,000 -42,000 40,000 -42,000 26,000 -28,000 26,000 -28,000ETH Zurich (Swiss Federal#131,000 -2,000 1,000 -2,000 1,000 -2,000 1,000 -2,000 Institute of Technology)#14 Cornell University 38,000 -40,000 38,000 -40,000 28,000 -30,000 28,000 -30,000 #15 Stanford University 40,000 -42,000 40,000 -42,000 38,000 -40,000 38,000 -40,000 #16 Johns Hopkins University 40,000 -42,000 40,000 -42,000 40,000 -42,000 40,000 -42,000 #17 University of Michigan 10,000 -12,000 36,000 -38,000 16,000 -18,000 36,000 -38,000#18 McGill University 4,000 -6,000 18,000 -20,000 4,000 -6,000 14,000 -16,000#19 University of Toronto 6000 -8000 24000 -26000 6000 -8000 16000 -18000 #20 Duke University 40,000 -42,000 40,000 -42,000 38,000 -40,000 38,000 -40,000 #21 University of Edinburgh 14,000 -16,000 16,000 -18,000 6,000 -8,000 18,000 -20,000 University of California,14,000 -16,000 20,000 -22,000 10,000 -12,000 24,000 -26,000 #22Berkeley (UCB)#23 University of Hong Kong 4,000 -6,000 14,000 -16,000 4,000 -6,000 14,000 -16,000Australian National6,000 -8,000 40,000 -42,000 22,000 -24,000 28,000 -30,000 #24UniversityNational University of34,000 -36,000 40,000 -42,000 6,000 -8,000 18,000 -20,000 #25Singapore (NUS)Kings College London14,000 -16,000 20,000 -22,000 6,000 -8,000 20,000 -22,000 #26(University of London)#27 Northwestern University 40,000 -42,000 40,000 -42,000 40,000 -42,000 40,000 -42,000#28 University of Bristol 14,000 -16,000 20,000 -22,000 6,000 -8,000 20,000 -22,000 Ecole Polytechnique Fédérale1,000 -2,000 1,000 -2,000 1,000 -2,000 1,000 -2,000 #29de Lausanne#30 The University of Tokyo 6,000 -8,000 6,000 -8,000 6,000 -8,000 6,000 -8,000University of California, Los10,000 -12,000 32,000 -34,000 10,000 -12,000 24,000 -26,000 #31Angeles (UCLA)#32 The University of Manchester 14,000 -16,000 18,000 -20,000 8,000 -10,000 22,000 -24,000The Hong Kong University of4,000 -6,000 4,000 -6,000 #33Science and Technologyécole Normale Supérieure,#344,000 -6,000 8,000 -10,000Paris#35 Kyoto University 6,000 -8,000 4,000 -6,000 6,000 -8,000 4,000 -6,000#36 The University of Melbourne 6,000 -8,000 28,000 -30,000 24,000 -26,000#37 Seoul National University 4,000 -6,000 4,000 -6,000 6000 -8000 6000 -8000 University of8,000 -10,000 24,000 -26,000 10,000 -12,000 24,000 -26,000 #38Wisconsin-Madison#39 The University of Sydney 6,000 -8,000 30,000 -32,000 22,000 -24,000 28,000 -30,000The Chinese University of#404,000 -6,000 12,000 -14,000 4,000 -6,000 12,000 -14,000 Hong Kong#41 Ecole Polytechnique 12,000 -14,000 6,000 -8,000 8,000 -10,000 #42 Brown University 40,000 -42,000 40,000 -42,000 40,000 -42,000 40,000 -42,000 #43 New York University (NYU) 40,000 -42,000 40,000 -42,000 34,000 -36,000 34,000 -36,000 #44 Peking University < 2000* 6,000 -8,000 2,000 -4,000* 8,000 -10,000University of British#454,000 -6,000 22,000 -24,000 4,000 -6,000 6,000 -8,000 ColumbiaThe University of6,000 -8,000 26,000 -28,000 10,000 -12,000 28,000 -30,000 #46QueenslandNanyang Technological#474,000 -6,000 8,000 -10,000 4,000 -6,000 6,000 -8,000 University (NTU)#48 Tsinghua University < 2000* 4,000 -6,000 < 2000* 4,000 -6,000#49 Carnegie Mellon University 44,000 -46,000 44,000 -46,000 36,000 -38,000 36,000 -38,000#50 Osaka University 6,000 -8,000 6,000 -8,000 6,000 -8,000 6,000 -8,000#51 University of CopenhagenThe University of New South#526,000 -8,000 32,000 -34,000 8,000 -10,000 32,000 -34,000 WalesTechnische Universit?t Mü#53nchen#54 University of Glasgow 2,000 -4,000 20,000 -22,000 4,000 -6,000 18,000 -20,000Ruprecht-Karls-Universit?t#55HeidelbergUniversity of Illinois at#5614,000 -16,000 28,000 -30,000 14,000 -16,000 26,000 -28,000 Urbana-ChampaignUniversity of North Carolina,#576,000 -8,000 24,000 -26,000 12,000 -14,000 26,000 -28,000 Chapel Hill#58 The University of Warwick 14,000 -16,000 22,000 -24,000 8,000 -10,000 22,000 -24,000 #59 University of Washington 10,000 -12,000 28,000 -30,000 12,000 -14,000 24,000 -26,000Ludwig-Maximilians-Universi#60t?t München#61 Monash University 8,000 -10,000 30,000 -32,000 16,000 -18,000 30,000 -32,000 #62 University of Amsterdam 2,000 -4,000 10,000 -12,000 2,000 -4,000 14,000 -16,000 #63 KAIST - Korea Advanced 14,000 -16,000 14,000 -16,000 16,000 -18,000 16,000 -18,000Institute of Science &Technology#64 Boston University 40,000 -42,000 40,000 -42,000 40,000 -42,000 40,000 -42,000 Tokyo Institute of6,000 -8,000 6,000 -8,000 6,000 -8,000 6,000 -8,000 #65Technology#66 The University of Sheffield 14,000 -16,000 22,000 -24,000 6,000 -8,000 22,000 -24,000 #67 Trinity College Dublin 8,000 -10,000 22,000 -24,000 8,000 -10,000 16,000 -18,000 #68 University of Texas at Austin 8,000 -10,000 32,000 -34,000 10,000 -12,000 20,000 -22,000London School of Economics12,000 -14,000 22,000 -24,000 16,000 -18,000 24,000 -26,000 #69and Political Science (LSE)University of California, San#7012,000 -14,000 36,000 -38,000 10,000 -12,000 26,000 -28,000 Diego (UCSD)#71 Lund University 10,000 -12,000 16,000 -18,000The University of14,000 -16,000 20,000 -22,000 6,000 -8,000 18,000 -20,000 #72Nottingham#73 University of Southampton 14,000 -16,000 20,000 -22,000 6,000 -8,000 22,000 -24,000#74 University of Geneva#75= Leiden University 2,000 -4,000 16,000 -18,000 2,000 -4,000 22,000 -24,000#75= Tohoku University 6,000 -8,000 2,000 -4,000 6,000 -8,000 2,000 -4,000#77 University of Birmingham 14,000 -16,000 20,000 -22,000 6,000 -8,000 22,000 -24,000#78 University of HelsinkiThe University of Western6,000 -8,000 30,000 -32,000 18,000 -20,000 30,000 -32,000 #79AustraliaNational Taiwan University#80< 2000 < 2000 < 2000 2,000 -4,000 (NTU)#81 Uppsala University 14,000 -16,000 20,000 -22,000#82 KU Leuven#83 The University of Auckland 4,000 -6,000 20,000 -22,000 4,000 -6,000 24,000 -26,000Washington University in St.#8438,000 -40,000 38,000 -40,000 38,000 -40,000 38,000 -40,000 Louis#85 Utrecht University 2,000 -4,000 2,000 -4,000 2,000 -4,000 2,000 -4,000#86 Nagoya University 6,000 -8,000 6,000 -8,000 6,000 -8,000 6,000 -8,000#87 Freie Universit?t BerlinGeorgia Institute of#886,000 -8,000 26,000 -28,000 10,000 -12,000 26,000 -28,000 Technology0* 16,00014,000 -16,000 14,000 -16,000 #89 Aarhus University-18,000*#90= Fudan University < 2000* 2,000 -4,000 < 2000* 4,000 -6,000#90= University of Zurich#92 Durham University 14,000 -16,000 20,000 -22,000 8,000 -10,000 22,000 -24,000#93 University of St Andrews 2,000 -4,000 22,000 -24,000 6,000 -8,000 22,000 -24,000 #94 University of Leeds 14,000 -16,000 20,000 -22,000 6,000 -8,000 18,000 -20,000 #95= City University of Hong Kong 4,000 -6,000 10,000 -12,000 4,000 -6,000 10,000 -12,000 #95= Purdue University 8,000 -10,000 26,000 -28,000 8,000 -10,000 26,000 -28,000 Pohang University of Science4,000 -6,000 4,000 -6,000 6,000 -8,000* 6,000 -8,000* #97And Technology (POSTECH)#98 University of Pittsburgh 16,000 -18,000 24,000 -26,000 18,000 -20,000 30,000 -32,000Erasmus University#992,000 -4,000 8,000 -10,000 2,000 -4,000 16,000 -18,000 Rotterdam#100 University of California, Davis 12,000 -14,000 36,000 -38,000 10,000 -12,000 26,000 -28,000 #101 Pennsylvania State University 14,000 -16,000 28,000 -30,000 18,000 -20,000 30,000 -32,000#102 The University of Adelaide 6,000 -8,000 26,000 -28,000 14,000 -16,000 28,000 -30,000Delft University of#1032,000 -4,000 10,000 -12,000 2,000 -4,000 16,000 -18,000 Technology#104 University of Minnesota 12,000 -14,000 18,000 -20,000 14,000 -16,000 20,000 -22,000#105 Ohio State University 8,000 -10,000 24,000 -26,000 10,000 -12,000 28,000 -30,000#106 Universit?t Freiburg#107 Maastricht University 2,000 -4,000 10,000 -12,000 2,000 -4,000 14,000 -16,000#108 University of Alberta 4,000 -6,000 18,000 -20,000 2,000 -4,000 6,000 -8,000#109 University of Groningen 2,000 -4,000 8,000 -10,000 2,000 -4,000 14,000 -16,000#110 University of York 14,000 -16,000 22,000 -24,000 6,000 -8,000 22,000 -24,000#111 University of Oslo#112 Yonsei University 6,000 -8,000 6,000 -8,000 8,000 -10,000 8,000 -10,000#113 Dartmouth College 42,000 -44,000 42,000 -44,000 42,000 -44,000 42,000 -44,000 #114 Universitéde Montréal 2,000 -4,000 14,000 -16,000 2,000 -4,000 20,000 -22,000 #115 University of LausanneLomonosov Moscow State#1168,000 -10,000 8,000 -10,000 8,000 -10,000 8,000 -10,000 UniversityUniversity of Maryland,#1178,000 -10,000 26,000 -28,000 12,000 -14,000 26,000 -28,000 College ParkUniversity of California,#11812,000 -14,000 34,000 -36,000 12,000 -14,000 26,000 -28,000 Santa Barbara (UCSB)Georg-August-Universit?t#119G?ttingen#120 Rice University 34,000 -36,000 34,000 -36,000 34,000 -36,000 34,000 -36,000 #121 University of Basel#122 Emory University 42,000 -44,000 42,000 -44,000 34,000 -36,000 34,000 -36,000#123 University of Virginia 10,000 -12,000 36,000 -38,000 14,000 -16,000 24,000 -26,000 #124 University of Liverpool 14,000 -16,000 22,000 -24,000 10,000 -12,000 24,000 -26,000 Shanghai Jiao Tong< 2000* 2,000 -4,000* < 2000*#125University#126 Newcastle University 14,000 -16,000 20,000 -22,000 8,000 -10,000 20,000 -22,000UniversitéCatholique de#127Louvain (UCL)#128 Kyushu University 6,000 -8,000 6,000 -8,000 6,000 -8,000 6,000 -8,000UniversitéPierre et Marie#129Curie (UPMC)Humboldt-Universit?t zu#130Berlin#131 University College Dublin 8,000 -10,000 24,000 -26,000 10,000 -12,000 18,000 -20,000Technical University of#13216,000 -18,000 16,000 -18,000 Denmark#133 University of Otago 4,000 -6,000 20,000 -22,000 4,000 -6,000 10,000 -12,000University of Southern42,000 -44,000 42,000 -44,000 28,000 -30,000 28,000 -30,000 #134California#135 University of Rochester 40,000 -42,000 40,000 -42,000 40,000 -42,000 40,000 -42,000Radboud University2,000 -4,000 10,000 -12,000 2,000 -4,000 10,000 -12,000 #136Nijmegen#137 Korea University 6,000 -8,000 6,000 -8,000 10,000 -12,000 10,000 -12,000#138 Hokkaido University 6,000 -8,000 6,000 -8,000 6,000 -8,000 6,000 -8,000#139 Universidade de S?o Paulo#140 Hebrew University of 2,000 -4,000 12,000 -14,000 4,000 -6,000 10,000 -12,000JerusalemKarlsruher Institut für#141Technologie (KIT)KTH, Royal Institute of20,000 -22,000 20,000 -22,000#142Technology#143 Cardiff University 6,000 -8,000 24,000 -26,000Eberhard Karls Universit?t Tü#144bingen#145 University of BergenUniversidad Nacional Autó#14614,000 -16,000 20,000 -22,000noma de México (UNAM)Queen Mary, University of#14714,000 -16,000 18,000 -20,000 8,000 -10,000 18,000 -20,000 London (QMUL) #148 University of Ghent#149 University of Bern#150 Rheinisch-Westf?lische Technische Hochschule Aachen#151 RheinischeFriedrich-Wilhelms-Universit ?t Bonn#152 McMaster University 6,000 -8,000 14,000 -16,000 6,000 -8,000 14,000 -16,000 #153école Normale Supérieure deLyon#154 University of Cape Town 4,000 -6,000 8,000 -10,000 2,000 -4,000 4,000 -6,000 #155 University of California, 10,000 -12,000 34,000 -36,000 10,000 -12,000 26,000 -28,000Irvine#156 Universiti Malaya (UM) < 2000 2,000 -4,000 < 2000 < 2000University of Colorado at#1578,000 -10,000 30,000 -32,000 8,000 -10,000 24,000 -26,000 BoulderEindhoven University of#1582,000 -4,000 6,000 -8,000 2,000 -4,000 16,000 -18,000 TechnologyThe Hong Kong Polytechnic#1594,000 -6,000 12,000 -14,000 4,000 -6,000 12,000 -14,000 University#160 Universit?t Wien#161 Wageningen University 2,000 -4,000 2,000 -4,000 2,000 -4,000 14,000 -16,000 #162 University of Aberdeen 2,000 -4,000 18,000 -20,000 4,000 -6,000 20,000 -22,000 #163 Lancaster University 14,000 -16,000 20,000 -22,000 8,000 -10,000 20,000 -22,000 #164 Case Western Reserve 38,000 -40,000 38,000 -40,000 34,000 -36,000 34,000 -36,000University#165 Texas A&M University 8,000 -10,000 22,000 -24,000 4,000 -6,000 12,000 -14,000 #166 Queen's University of Belfast 4,000 -6,000 20,000 -22,000 6,000 -8,000 20,000 -22,000 #167 Vanderbilt University 58,000 -60,000 58,000 -60,000 58,000 -60,000 58,000 -60,000 #168 Nanjing University#169 University of Florida 4,000 -6,000 26,000 -28,000 10,000 -12,000 28,000 -30,000 #170 Zhejiang University < 2000* 4,000 -6,000 < 2000* 4,000 -6,000 #171 Stockholm University 26,000 -28,000 26,000 -28,000 UniversitéLibre de Bruxelles#172(ULB)The University of Western#1734,000 -6,000 14,000 -16,000 6,000 -8,000 12,000 -14,000 Ontario#174 Michigan State University 12,000 -14,000 30,000 -32,000 12,000 -14,000 26,000 -28,000#175 Queen's University 4,000 -6,000 20,000 -22,000 6,000 -8,000 12,000 -14,000 Universitat Autònoma de< 2000 < 2000 2,000 -4,000 2,000 -4,000 #176Barcelona#177 VU University Amsterdam 2,000 -4,000 18,000 -20,000 2,000 -4,000 18,000 -20,000 #178 University of Bath 14,000 -16,000 22,000 -24,000 8,000 -10,000 22,000 -24,000 #179 Sungkyunkwan University 6,000 -8,000 4,000 -6,000 10,000 -12,000 6,000 -8,000University of Illinois, Chicago#18024,000 -26,000 24,000 -26,000 12,000 -14,000 22,000 -24,000 (UIC)#181 Tufts University 42,000 -44,000 42,000 -44,000 40,000 -42,000 40,000 -42,000 #182 University of Exeter 14,000 -16,000 20,000 -22,000 14,000 -16,000 22,000 -24,000 #183= Georgetown University 40,000 -42,000 40,000 -42,000 38,000 -40,000 38,000 -40,000#183= University of Arizona 8,000 -10,000 24,000 -26,000 8,000 -10,000 24,000 -26,000#185 University of Leicester 14,000 -16,000 20,000 -22,000 8,000 -10,000 22,000 -24,000 University of Science and< 2000* 4,000 -6,000 < 2000* 4,000 -6,000 #186Technology of China#187 Universitat de Barcelona (UB) < 2000* < 2000* 2,000 -4,000 2,000 -4,000* #188 University of Sussex 14,000 -16,000 20,000 -22,000 6,000 -8,000 20,000 -22,000Vrije Universiteit Brussel6,000 -8,000 34,000 -36,000#189(VUB)#190 University College Cork 6,000 -8,000 10,000 -12,000 #191 University of Waterloo 4,000 -6,000 18,000 -20,000 4,000 -6,000 12,000 -14,000National Tsing Hua#192University#193 University of Gothenburg 18,000 -20,000 20,000 -22,000Universitàdi Bologna#194< 2000 < 2000 2,000 -4,000 2,000 -4,000 (UNIBO)Pontificia Universidad Cató#1956,000 -8,000 6,000 -8,000* 6,000 -8,000 6,000 -8,000* lica de Chile#196 University of Antwerp#197 King Saud University#198 Waseda University 16,000 -18,000 16,000 -18,000 10,000 -12,000 10,000 -12,000 #199 University of Iowa 6,000 -8,000 24,000 -26,000 8,000 -10,000 24,000 -26,000 #200 Keio University 12,000 -14,000 6,000 -8,000 6,000 -8,000 6,000 -8,000。
\QS运用五方面的指数综合评估世界大学,这五个指数和他们所占的权重分别是:1.学术领域的同行评价(Academic peer review),占40%2.基于雇佣者的学生就业评价(Recruiter review ),占10%3.教师/学生比例(Faculty student ratio ),占20%4.教师的论文引用率(Citations per faculty ),占20%5.国际教师和国际学生占总教师、总学生数的比例(International orientation ),占10% 2011-2012 QS 世界大学排名(含学费)TOP1:剑桥大学英国TOP2:哈佛大学美国TOP3:麻省理工学院美国TOP4:耶鲁大学美国TOP5:牛津大学英国>>>所有大学排名2012-2013 QS 最适宜求学城市排名TOP1:巴黎法国TOP2:伦敦英国TOP3:波士顿美国TOP4:墨尔本澳大利亚TOP5:维也纳奥地利>>>所有城市排名2012-2013 QS 世界大学学科排名【艺术与人文】哲学Philosophy现代语言Modern Languages地理Geography历史History语言学Linguistics英语语言文学English Language & Literature【工程技术】计算机科学Computer Science机械工程Mechanical Engineering化学工程Chemical Engineering土木工程Civil Engineering电子电气工程Electrical Engineering【生命科学与医学】生物科学Biological Sciences心理学Psychology药学药理学Pharmacy & Pharmacology医学Medicine【自然科学】物理与天文学Physics & Astronomy数学Mathematics环境科学Environmental Sciences化学Chemistry地球与海洋科学Earth & Marine Sciences材料科学Materials Science【社会科学与管理】法律Law会计与金融Accounting & Finance教育Education经济学与计量经济学Economics & Econometrics 社会学Sociology通信与媒体研究Communication & Media Studies 统计与运筹学Statistics & Operational Research 政治与国际关系学Politics & International Studies。
英国发布2012QS亚洲大学综合排名排行榜作者:排行老三发布于:2012-5-22 22:03 Tuesday 分类:大学最新排名2011年QS亚洲大学综合排名 | 2011 Asian University Rankings1、香港科技大学 | The Hong Kong University of Science and Technology2、香港大学 | University of Hong Kong3、新加坡国立大学 | National University of Singapore (NUS)4、东京大学 | The University of Tokyo5、香港中文大学 | The Chinese University of Hong Kong排名学校名字国家/地区得分1 The Hong Kong University of Science and Technology Hong Kong 100.002 University of Hong Kong Hong Kong 99.803 National University of Singapore (NUS) Singapore 99.304 The University of Tokyo Japan 97.405 The Chinese University of Hong Kong Hong Kong 97.206 Seoul National University Korea,South96.907 Kyoto University Japan 96.308 Osaka University Japan 96.09 9= Tokyo Institute of Technology Japan 94.30 9= Tohoku University Japan 94.3011 KAIST - Korea Advanced Institute of Science & Technology Korea,South94.2012 Pohang University of Science And Technology (POSTECH) Korea,South93.5913 Peking University China 93.3014 Nagoya University Japan 92.8015 City University of Hong Kong Hong Kong 91.2016 Tsinghua University China 90.2017 Nanyang Technological University (NTU) Singapore 89.40 18= Kyushu University Japan 86.9018= Yonsei University Korea,South86.9020 Hokkaido University Japan 85.80 21= National Taiwan University (NTU) 85.09 21= Fudan University China 85.09 23 University of Tsukuba Japan 82.30 24= Keio University Japan 81.90 24= University of Science and Technology of China China 81.9026 Korea University Korea,South80.8027= Sungkyunkwan University Korea,South79.5927= Zhejiang University China 79.5929 Nanjing University China 79.2030 The Hong Kong Polytechnic University Hong Kong 79.0931 National Tsing Hua University Taiwan 77.8032 National Cheng Kung University Taiwan 77.5933 Shanghai Jiao Tong University China 77.5034 Mahidol University Thailand 77.0935 Kobe University Japan 75.8036 Indian Institute of Technology Kanpur (IITK) India 74.9037 Indian Institute of Technology Delhi (IITD) India 74.7038 Indian Institute of Technology Bombay (IITB) India 74.3039 Universiti Malaya (UM) Malaysia 73.7040 National Yang Ming University Taiwan 73.5041 Hiroshima University Japan 72.8042 Kyung Hee University Korea,South71.9043 Indian Institute of Technology Madras (IITM) India 71.4044 Hanyang University Korea,South71.0945 Ewha Womans University Korea,South70.7046 Waseda University Japan 70.3047 Chulalongkorn University Thailand 69.9048 Indian Institute of Technology Kharagpur (IITKGP) India 69.3049 Hong Kong Baptist University Hong Kong 68.7050 University of Indonesia Indonesia 67.8051 Chiba University Japan 67.5952 National Chiao Tung University Taiwan 66.5053 Universiti Kebangsaan Malaysia (UKM) Malaysia 64.0954 Universiti Sains Malaysia (USM) Malaysia 63.4055 Sogang University Korea,South63.3056 Indian Institute of Technology Roorkee (IITR) India 61.2057 Universiti Putra Malaysia (UPM) 60.4058 Osaka City University Japan 60.10 59= Tokyo University of Science (TUS) Japan 59.60 59= National Central University Taiwan 59.6061 Kyungpook National University Korea,South58.6062= National Taiwan University of Science And Technology (formerly NationalTaiwan Institute of Technology)Taiwan 58.1062= University of the Philippines Philippines 58.1064 Beijing Normal University China 58.0065 Ateneo de Manila University Philippines 57.2066 Pusan National University Korea,South57.0067= Chiang Mai University Thailand 56.70 67= Tongji University China 56.7069 Kumamoto University Japan 56.4070 National Sun Yat-sen University Taiwan 56.3071 Nagasaki University Japan 56.2072 Xi'an Jiaotong University China 55.8073 Nankai University China 55.50 74= Tokyo Metropolitan University Japan 55.30 74= Tianjin University China 55.30 76 Universiti Teknologi Malaysia (UTM) Malaysia 55.10 77= Kanazawa University Japan 55.00 77= University of Delhi India 55.0079 Okayama University Japan 54.7080 Universitas Gadjah Mada Indonesia 54.4081 Yokohama National University Japan 53.8082 Indian Institute of Technology Guwahati (IITG) India 53.7083 Tokyo Medical and Dental University Japan 53.6084 National University of Sciences And Technology (NUST) Islamabad Pakistan 52.9085 Sun Yat-sen University China 52.2086 Airlangga University Indonesia 52.1087 Inha University Korea,South51.7088 Thammasat University Thailand 51.60 89= The Catholic University of Korea 50.50 89= Taipei Medical University Taiwan 50.50 89= Chang Gung University Taiwan 50.50 92 Yokohama City University Japan 50.3093 Chung-Ang University Korea,South50.1094 Gifu University Japan 49.4095 Prince of Songkla University Thailand 48.9096 Shandong University China 48.8097 Chonnam National University Korea,South48.6098 Bandung Institute of Technology (ITB) Indonesia 47.80 99= National Chung Hsing University Taiwan 47.60 99= Gunma University Japan 47.60 101= Southeast University China 47.40101= Chonbuk National University Korea,South47.40103 Ajou University 47.20 104= University of Santo Tomas Philippines 47.10104= National Taiwan Normal University Taiwan 47.10 106 University of Ulsan 46.00 107 De La Salle University Philippines 45.90 108 Tokyo University of Agriculture and Technology Japan 45.80 109 Niigata University Japan 45.70 110 Jilin University China 45.20 111= Wuhan University China 45.00 111= Hankuk (Korea) University of Foreign Studies 45.00113 Chungnam National University Korea,South44.80114 Khon Kaen University Thailand 44.40 115 University of Calcutta India 44.30 116 Hallym University 44.10 117 Shinshu University Japan 43.90 118 Mie University Japan 43.70 119 Tokai University Japan 43.30 120 Kasetsart University Thailand 43.20 121 Ochanomizu University Japan 42.70 122 Osaka Prefecture University Japan 42.30 123 Harbin Institute of Technology China 41.60 124 University of Miyazaki Japan 41.50 125= Renmin (People’s) University of China China 41.40 125= Yamaguchi University Japan 41.40 127 National Chengchi University Taiwan 41.20 128= Padjadjaran University Indonesia 41.10 128= Saitama University Japan 41.10 130 Dongguk University 40.90 131 Kagoshima University Japan 40.80 132= Beijing Institute of Technology China 40.70 132= University of Seoul 40.70 134= Kitasato University Japan 40.40 134= Bogor Agricultural University Indonesia 40.40 136= Konkuk University 39.00 136= Ritsumeikan University Japan 39.00 138 University of Karachi Pakistan 38.90 139 Huazhong University of Science and Technology China 38.70 140= Toyota Technological Institute Japan 38.60 140= Nara Women's University Japan 38.60 142 University of Pune India 38.40 143 Sophia University Japan 38.30 144 Shanghai University China 38.10 145 University of Mumbai India 38.00 146 Fu Jen Catholic University Taiwan 37.80 147= China Agricultural University China 37.70147= East China Normal University China 37.70 149 Sichuan University China 37.60 150 Inje University 37.30 151-160 Hirosaki University Japan 34.90 151-160 Beihang University (former BAUU) China 36.00 151-160 East China University of Science and Technology China 36.30 151-160 Donghua University China 35.80 151-160 Gyeongsang National University 36.60 151-160 Kyoto Institute of Technology Japan 36.80 151-160 Doshisha University Japan 35.00 151-160 Diponegoro University Indonesia 35.20 151-160 University of Dhaka Bangladesh 35.10 151-160 Lingnan University (Hong Kong) Hong Kong 37.00 161-170 International Islamic University Malaysia (IIUM) Malaysia 32.90 161-170 Dalian University of Technology China 34.20 161-170 Chungbuk National University 34.70 161-170 Gakushuin University Japan 33.60 161-170 University of Science and Technology Beijing China 32.80 161-170 Kyushu Institute of Technology Japan 33.00 161-170 Shizuoka University Japan 34.60 161-170 Xiamen University China 32.80 161-170 Kochi University Japan 33.00 161-170 Beijing Foreign Studies University China 34.60 161-170 Lanzhou University China 33.60 171-180 Sookmyung Women's University 32.60 171-180 Central South University China 32.10 171-180 Yamagata University Japan 32.70 171-180 Aoyama Gakuin University Japan 32.00 171-180 Saga University Japan 31.80 171-180 Kinki University (Kindai University) Japan 32.20 171-180 Beijing Jiaotong University China 32.10 171-180 University of Lahore Pakistan 32.50 171-180 National Chung Cheng University Taiwan 32.10 171-180 University of Engineering & Technology (UET) Lahore Pakistan 31.80 181-190 Akita Prefectural University Japan 30.40 181-190 King Mongkut's University of Technology Thonburi Thailand 30.20 181-190 Soonchunhyang University 30.20 181-190 Burapha University Thailand 30.90 181-190 International Christian University Japan 31.20 181-190 Nanjing Agricultural University China 30.10 181-190 Sepuluh Nopember Institute of Technology Indonesia 30.30 181-190 Cheju National University 31.60 181-190 Rikkyo University Japan 30.20 191-200 Kangnung National University 28.80191-200 Feng Chia University Taiwan 27.40191-200 Yeungnam University Korea,South28.10191-200 Iwate University Japan 29.20 191-200 National University of Defense Technology China 28.60 191-200 Universiti Malaysia Sarawak (UNIMAS) Malaysia 28.70 191-200 Northeast Normal University China 29.40 191-200 Hongik University 28.00 191-200 Northwestern Polytechnical University China 28.50 191-200 Dankook University 28.10 191-200 Dankook University 28.10 201+ Akita International University Japan 21.70 201+ National Taipei University of Technology Taiwan 25.20 201+ Huazhong Normal University China 26.60 201+ Polytechnic University of the Philippines Philippines 6.10 201+ Central University of Finance and Economics China 15.00 201+ National Dong Hwa University Taiwan 22.10 201+ Kwansei Gakuin University Japan 21.60 201+ Loei Rajabhat University Thailand 2.80 201+ Nanjing University of Aeronautics and Astronautics China 22.80 201+ Universiti Tun Hussein Onn University of Malaysia (UTHM) Malaysia 18.80 201+ Kangwon National University 27.00 201+ Shanghai University of Finance and Economics China 16.50 201+ Dalian Maritime University China 14.40 201+ Nanjing University of Science and Technology China 23.20 201+ Hanseo University 17.90 201+ Padang State University Indonesia 9.80 201+ Beijing University of Chemical Technology China 27.00 201+ Nanjing Normal University China 23.30 201+ Xinjiang University China 16.30 201+ Sriwijaya University Indonesia 11.00 201+ Kwangwoon University 18.60 201+ Zhongnan University of Economics and Law China 11.70 201+ Universiti Tenaga Nasional (UNITEN) Malaysia 19.10 201+ Jember University Indonesia 12.10 201+ Seikei University Japan 12.80 201+ China Pharmaceutical University China 25.80 201+ Mukogawa Women's University Japan 21.70 201+ Fuzhou University China 18.50 201+ Northeast Forestry University China 8.70 201+ Atma Jaya Catholic University Jakarta Indonesia 9.20 201+ Meiji University Japan 16.30201+ PaiChai University Korea,South22.80201+ Vietnam National University - Ho Chi Minh City (VNU-HCM) Vietnam 4.40201+ KongJu National University Korea,South13.30201+ Soongsil University Korea,South21.60201+ Harbin Engineering University China 23.10 201+ National Taiwan Ocean University Taiwan 25.30 201+ Huazhong Agricultural University China 22.70 201+ Sahmyook University 19.40 201+ Changan University China 11.40 201+ University of Incheon 19.10 201+ Kyoto Sangyo University Japan 16.60 201+ Maejo University Thailand 7.90 201+ Soochow University China 26.00 201+ Tunghai University Taiwan 16.30 201+ Kansai Gaidai University Japan 9.30 201+ Shanghai International Studies University China 12.30201+ Dongseo University Korea,South15.10201+ Nanzan University Japan 10.30 201+ Kumoh National Institute of Technology 22.90 201+ Vietnam National University - Ho Chi Minh City (VNU-HCM) Vietnam 4.40 201+ Kangnam University 9.90201+ Soongsil University Korea,South21.60201+ Daejin University 14.90 201+ National Taiwan Ocean University Taiwan 25.30201+ Hansei University Korea,South10.80201+ Sahmyook University 19.40 201+ Beijing University of Posts and Telecommunications China 24.70 201+ National Kaohsiung Normal University Taiwan 14.90 201+ Kyoto Sangyo University Japan 16.60 201+ Kunsan National University 16.10201+ Far East University Korea,South6.00201+ Tunghai University Taiwan 16.30 201+ Japan Women's University Japan 25.90 201+ Shanghai International Studies University China 12.30 201+ China University of Petroleum China 25.40 201+ Nanzan University Japan 10.30 201+ Fukushima University Japan 13.70 201+ Parahyangan Catholic University Indonesia 13.40 201+ Anhui University China 14.60201+ Universiti Teknologi MARA - UiTM Malaysia 17.10 201+ Kookmin University 20.80 201+ Yanbian University China 21.10 201+ Kogakuin University Japan 18.50 201+ Sun Moon University 17.80 201+ Akita International University Japan 21.70 201+ Tokyo Woman's Christian University Japan 7.70 201+ Huazhong Normal University China 26.60 201+ Seinan Gakuin University Japan 4.30 201+ Central University of Finance and Economics China 15.00 201+ Musashi University Japan 5.50 201+ National Dong Hwa University Taiwan 22.10 201+ Northwest University (China) China 15.50 201+ Loei Rajabhat University Thailand 2.80 201+ Nanjing University of Aeronautics and Astronautics China 22.80 201+ Walailak University Thailand 24.80 201+ Kangwon National University 27.00 201+ South China Normal University China 16.90 201+ Dalian Maritime University China 14.40 201+ Taiyuan University of Technology China 14.00 201+ Hanseo University 17.90 201+ Saint Louis University Philippines 10.00 201+ Beijing University of Chemical Technology China 27.00 201+ Nanjing Normal University China 23.30201+ Youngsan University Korea,South16.80201+ Kwangwoon University 18.60 201+ Universiti Tunku Abdul Rahman (UTAR) Malaysia 13.00 201+ Jember University Indonesia 12.10 201+ Sichuan Agricultural University China 9.00 201+ King Mongkut's University of Technology North Bangkok Thailand 17.40 201+ Saint Louis University Philippines 10.00 201+ Father Saturnino Urios College Philippines 6.20 201+ Adamson University Philippines 10.40 201+ State University of Malang Indonesia 6.60 201+ Naresuan University Thailand 15.30 201+ Bina Nusantara University (BINUS) Indonesia 12.10 201+ Hunan University China 26.60 201+ National Changhua University of Education Taiwan 21.70 201+ Universiti Tunku Abdul Rahman (UTAR) Malaysia 13.00 201+ Sichuan Agricultural University China 9.00 201+ HeFei University of Technology China 14.80 201+ Sunchon National University 22.70 201+ Kanagawa Institute of Technology Japan 9.90201+ Pasundan University Indonesia 3.90201+ Kyungsung University Korea,South16.80201+ Yangzhou University China 16.80 201+ Northeastern University (China) China 23.50 201+ Mokpo National University 14.80 201+ Hannam University 25.50 201+ Yamaguchi Prefectural University Japan 24.80 201+ Tokyo Denki University Japan 18.40 201+ Central Mindanao University Philippines 13.60201+ Semyung University Korea,South13.80201+ Gunma Prefectural Women's University Japan 16.80 201+ Musashi Institute of Technology Japan 16.30 201+ Southwest University China 17.50 201+ Northwest Agriculture and Forestry University China 15.00 201+ China University of Geosciences China 20.60201+ Korea Nazarene University Korea,South9.50201+ Wonkwang University 22.70 201+ Hohai University China 14.80 201+ Telkom Institute of Technology Indonesia 4.80 201+ Pukyong National University 22.10 201+ Tamkang University Taiwan 18.50 201+ University of San Carlos Philippines 14.00 201+ Ahmad Dahlan University Indonesia 6.70 201+ Universiti Malaysia Terengganu (UMT) Malaysia 17.40 201+ National Yunlin University of Science and Technology Taiwan 23.40 201+ Bunkyo University Japan 5.40 201+ National Chi Nan University Taiwan 23.50 201+ Ubon Ratchathani University Thailand 16.20 201+ Silliman University Philippines 18.50 201+ Hong Kong Shue Yan University Hong Kong 3.00 201+ Sejong University 27.30 201+ University of Surabaya 4.70 201+ Kanazawa Institute of Technology Japan 12.70 201+ Pelita Harapan University Indonesia 24.70 201+ Chuo University Japan 23.20 201+ Kansai University Japan 16.10201+ University of Suwon Korea,South12.70201+ KonYang University Korea,South20.40201+ University of Southeastern Philippines Philippines 18.70201+ Kagawa Education Institute of Nutrition (Kagawa Nutrition Univesity) Japan 23.00 201+ Shaanxi Normal University China 16.90 201+ Myongji University 19.70 201+ Nanchang University China 8.60 201+ King Mongkut's University of Technology North Bangkok Thailand 17.40 201+ Father Saturnino Urios College Philippines 6.20 201+ Universiti Tun Abdul Razak (UNITAR) Malaysia 6.90 201+ Adamson University Philippines 10.40 201+ State University of Malang Indonesia 6.60 201+ Xidian University China 20.60 201+ Bina Nusantara University (BINUS) Indonesia 12.10 201+ Srinakharinwirot University Thailand 26.70 201+ National Changhua University of Education Taiwan 21.70 201+ Otaru University of Commerce Japan 9.30 201+ HeFei University of Technology China 14.80 201+ Northeastern University (China) China 23.50 201+ University of Muhammadiyah Malang Indonesia 5.80 201+ Kanagawa Institute of Technology Japan 9.90 201+ Zhengzhou University China 16.30 201+ Universiti Teknologi Petronas (Petronas) Malaysia 21.00201+ Kyungsung University Korea,South16.80201+ University of Electronic Science and Technology of China China 25.20 201+ Vietnam National University, Hanoi Vietnam 16.70 201+ Mokpo National University 14.80 201+ Soochow University (Taiwan) Taiwan 18.40 201+ Hannam University 25.50 201+ Yamaguchi Prefectural University Japan 24.80 201+ Northeast Agricultural University China 10.50 201+ Central Mindanao University Philippines 13.60 201+ Dong-A University 23.80 201+ Gunma Prefectural Women's University Japan 16.80 201+ Kwansei Gakuin University Japan 21.60 201+ China University of Geosciences China 20.60 201+ National Taipei University of Technology Taiwan 25.20201+ Korea Nazarene University Korea,South9.50201+ Polytechnic University of the Philippines Philippines 6.10 201+ Hohai University China 14.80 201+ Universiti Malaysia Terengganu (UMT) Malaysia 17.40 201+ Shanghai University of Finance and Economics China 16.50 201+ Pukyong National University 22.10 201+ Nanjing University of Science and Technology China 23.20 201+ Universiti Tun Hussein Onn University of Malaysia (UTHM) Malaysia 18.80标准文案大全 201+ Ahmad Dahlan UniversityIndonesia 6.70 201+ Hong Kong Shue Yan UniversityHong Kong 3.00 201+ Xinjiang UniversityChina 16.30 201+ Bunkyo UniversityJapan 5.40 201+ Sriwijaya UniversityIndonesia 11.00 201+ National Yunlin University of Science and Technology Taiwan 23.40 201+ Keimyung University21.10 201+ Liaoning UniversityChina 12.70 201+ Kumoh National Institute of Technology 22.90 201+ Ubon Ratchathani UniversityThailand 16.20 201+ National Kaohsiung Normal University Taiwan 14.90 201+ Yogyakarta State UniversityIndonesia 10.50 201+ University of Surabaya4.70 201+ Hansei UniversityKorea, South 10.80 201+ Pelita Harapan UniversityIndonesia 24.70 201+ Beijing University of Posts and Telecommunications China 24.70 201+ Senshu UniversityJapan 13.20 201+ China University of PetroleumChina 25.40 201+ Nakamura Gakuen UniversityJapan 7.00 201+ Kunsan National University16.10 201+ Far East UniversityKorea, South 6.00 201+ Tokyo Kasei UniversityJapan 9.00 201+ Japan Women's UniversityJapan 25.90 201+ Wuhan University of TechnologyChina 13.80 201+ Kogakuin UniversityJapan 18.50 201+ Southwest University of Finance and Economics China 10.70 201+ Fukushima UniversityJapan 13.70 201+ Ocean University of ChinaChina 22.50 201+ Anhui UniversityChina 14.60 201+ Universiti Teknologi MARA - UiTMMalaysia 17.10 201+ Kookmin University20.80。
2013年QS世界大学排名最新完整版2013年QS世界大学排名最新完整版是广受关注的一份权威性排名榜单,对全球各大学的教育质量、学术声誉和国际化程度进行了评估。
本文将介绍该排名榜单的背景以及一些重要的排名结果,并分析其对全球教育领域的影响。
1. 背景介绍QS世界大学排名(Quacquarelli Symonds World University Rankings)由全球知名的教育研究机构QS(Quacquarelli Symonds)每年发布一次。
该排名榜单首次发布于2004年,旨在为全球学生、学者和教育机构提供一个比较各大学在全球范围内的教育质量的指标。
自发布以来,该排名榜单得到了国际上众多大学的认可和关注,成为衡量大学综合实力的重要参考。
2. 排名指标QS世界大学排名通过以下六个主要指标对各大学进行评估,并综合计算得出综合排名结果:1) 学术声誉指数(Academic Reputation): 通过全球学术专家调查,评估大学的学术声誉。
2) 雇主声誉指数(Employer Reputation): 通过全球雇主调查,评估大学培养的毕业生在职场上的表现和认可度。
3) 教师学生比例(Faculty Student Ratio): 衡量大学的师资力量和教学资源。
4) 学术论文引用数(Citations per Faculty): 衡量大学教师在学术界的影响力和学术研究成果。
5) 国际学生比例(International Students Ratio): 衡量大学的国际化程度和受欢迎程度。
6) 国际教师比例(International Faculty Ratio): 衡量大学的国际化程度和知名度。
3. 2013年排名结果根据2013年QS世界大学排名最新完整版,以下是全球排名前十的大学:1) 麻省理工学院(Massachusetts Institute of Technology)2) 哈佛大学(Harvard University)3) 剑桥大学(University of Cambridge)4) 斯坦福大学(Stanford University)5) 加州理工学院(California Institute of Technology)6) 牛津大学(University of Oxford)7) 伦敦帝国学院(Imperial College London)8) 芝加哥大学(University of Chicago)9) 苏黎世联邦理工学院(ETH Zurich - Swiss Federal Institute of Technology)10) 东京大学(University of Tokyo)4. 影响和评价QS世界大学排名对于大学的声誉和影响力具有一定程度的指导作用。