低温冰箱内温度场的有限元分析
- 格式:pdf
- 大小:320.24 KB
- 文档页数:3
有限元线法二次参数单元的温度场分析二次参数单元是有限元分析中常用的一种单元类型,它具有较好的适应性和精度。
二次参数单元的特点在于,在每个单元内部选取两个节点,并引入额外一个节点来近似温度场曲线。
这样,在每个单元内部的温度场可以通过这三个节点之间的线性插值得到。
在进行有限元分析之前,首先需要将连续介质分割成有限数量的单元。
对于二次参数单元,通常采用的是等均匀划分方法,即将整个区域等分成若干个单元,每个单元的大小相同。
在每个单元内部,我们需要确定三个节点的坐标以及温度值。
我们可以根据问题的具体情况来确定这些节点的位置,一般建议选择在单元的中点位置以及两个端点位置处。
然后,我们可以通过线性插值的方法来估计每个单元内部任意位置的温度值。
在确定了节点和温度值后,我们可以利用有限元线法的数学模型来建立整个问题的求解方程。
对于二次参数单元的温度场分析,我们可以采用热传导方程来描述温度场的变化情况。
热传导方程可以写成如下形式:∇(k∇T)+Q=ρC∂T/∂t其中,k是介质的热导率,T是温度场,Q是热源的密度分布,ρ是介质的密度,C是介质的比热容,∂T/∂t是温度场对时间的变化率。
根据有限元线法的思想,我们可以将热传导方程离散化为一个线性方程组,通过求解该方程组,可以得到整个区域内的温度场。
具体的离散化方法是利用基函数的展开,将温度场表示为各个单元的基函数加权求和的形式。
然后,通过变分原理,将热传导方程转化为一个待求解的线性方程组。
在求解线性方程组时,我们可以采用常用的迭代方法(如雅可比迭代法、Gauss-Seidel迭代法等)或直接解法(如高斯消元法、LU分解法等)来得到温度场的数值解。
最后,根据得到的温度场数值解,我们可以进一步求取该问题其他感兴趣的物理量,如热流量、热流密度等。
综上所述,有限元线法是一种有效的方法来进行二次参数单元的温度场分析。
通过将连续介质分割成有限数量的单元,并在每个单元内进行近似计算,可以得到整体问题的解。
基于有限元分析的温度场优化设计研究随着科技的快速发展和工业的不断进步,热问题的解决变得尤为重要。
在许多工程领域中,如航空航天、能源、电子器件等,温度场的优化设计是一项关键任务。
有限元分析技术凭借其精确性和可靠性,成为研究温度场设计的重要工具。
有限元分析是一种数值计算方法,用于求解实际工程问题的数值解。
它将复杂的结构分割成许多小的离散单元,每个单元都可以表示为具有特定物理性质的单一材料。
通过这种方法,可以有效地模拟结构在各种工况下的变形和应力分布。
在温度场优化设计研究中,有限元分析可以帮助工程师理解不同材料的热传导特性以及结构的热稳定性。
通过建立合适的数学模型,可以预测材料在特定工况下的温度分布和热传导路径。
这些信息可以用于优化设计,以确保结构的稳定性和效率。
在设计过程中,首先需要收集材料的热传导性质和热稳定性数据。
这些数据通常通过实验获取,包括热导率、热扩散系数和热容等。
然后,根据结构的几何形状和边界条件,建立有限元模型。
该模型将结构分割成小单元,并在每个单元中考虑热传导和对流散热的影响。
一旦建立了有限元模型,可以通过数值方法求解热传导方程,得到结构在不同工况下的温度分布。
通过这些温度数据,可以分析结构的热稳定性,识别潜在的热点和温度梯度高的区域。
根据分析结果,工程师可以采取相应的措施,例如增加散热装置、优化材料选择或进行结构调整。
除了分析结果,有限元分析还可以帮助优化设计过程。
通过调整材料的分布、几何形状或边界条件,可以改善结构的热稳定性和效率。
通过引入随机变量和优化算法,还可以实现多目标优化,寻找最佳的设计方案。
然而,在应用有限元分析进行温度场优化设计时,也存在一些挑战。
首先,建立准确的数学模型需要对结构的物理特性有深入的理解。
其次,模型的离散化可能导致数值误差,需要适当的网格划分和收敛检查。
此外,求解大规模有限元模型需要大量的计算资源和时间。
总的来说,基于有限元分析的温度场优化设计研究具有重要意义和实际应用价值。
山东省潍坊市2024年数学(高考)部编版第二次模拟(评估卷)模拟试卷一、单项选择题(本题包含8小题,每小题5分,共40分。
在每小题给出的四个选项中,只有一项是符合题目要求的)(共8题)第(1)题中,,,则的面积为()A.B.C.D.2第(2)题在△ABC中,若,,,则()A.B.C.D.第(3)题已知,,,则,,的大小关系是()A.B.C.D.第(4)题已知函数同时满足以下两个条件:①对任意实数x,都有;②对任意实数,当时,都有.则函数的解析式可能为()A.B.C.D.第(5)题中国空间站(China Space Station)的主体结构包括天和核心舱、问天实验舱和梦天实验舱.2022年10月31日15:37分,我国将“梦天实验舱”成功送上太空,完成了最后一个关键部分的发射,“梦天实验舱”也和“天和核心舱”按照计划成功对接,成为“T”字形架构,我国成功将中国空间站建设完毕.2023年,中国空间站将正式进入运营阶段.假设中国空间站要安排甲、乙等5名航天员进舱开展实验,其中“天和核心舱”安排2人,“问天实验舱”安排2人,“梦天实验舱”安排1人.若甲、乙两人不能同时在一个舱内做实验,则不同的安排方案共有()A.9种B.24种C.26种D.30种第(6)题在下列各组向量中,可以作为基底的一组是()A.B.C.D.第(7)题在中,角的对边分别为,且,则的取值范围是()A.B.C.D.第(8)题在数学探究活动课中,小华进行了如下探究:如图1,正三棱柱容器中注入了一定量的水,若将侧面固定在地面上,如图2所示,水面恰好为(水面与,,,分别相交于,,,),若将点固定在地面上,如图3所示,当容器倾斜到某一位置时,水面恰好为,则在图2中=()A.B.C.D.二、多项选择题(本题包含3小题,每小题6分,共18分。
在每小题给出的四个选项中,至少有两个选项正确。
全部选对的得6分,选对但不全的得3分,有选错或不答的得0分) (共3题)第(1)题已知为两个平面,且是两条不重合的直线,则下列结论正确的是()A.存在,使得B.存在,使得C.对任意,存在,使得D.对任意,存在,使得第(2)题下列不等式中正确的是()A.B.C.D.第(3)题小学实验课中,有甲、乙两位同学对同一四面体进行测量,各自得到了一条不全面的信息:甲同学:四面体有两个面是等腰直角三角形;乙同学:四面体有一个面是边长为1的等边三角形.那么,根据以上信息,该四面体体积的值可能是()A.B.C.D.三、填空(本题包含3个小题,每小题5分,共15分。
实验名称:温度场有限元分析一、实验目的1. 掌握Ansys分析温度场方法2. 掌握温度场几何模型二、问题描述井式炉炉壁材料由三层组成,最外一层为膨胀珍珠岩,中间为硅藻土砖构成,最里层为轻质耐火黏土砖,井式炉可简化为圆筒,筒内为高温炉气,筒外为室温空气,求内外壁温度及温度分布。
井式炉炉壁体材料的各项参数见表1。
表1 井式炉炉壁材料的各项参数三、分析过程1. 启动ANSYS,定义标题。
单击Utility Menu→File→Change Title菜单,定义分析标题为“Steady-state thermal analysis of submarine”2.定义单位制。
在命令流窗口中输入“/UNITS, SI”,并按Enter 键3. 定义二维热单元。
单击Main Menu→Preprocessor→Element Type→Add/Edit/Delete 菜单,选择Quad 4node 55定义二维热单元PLANE554.定义材料参数。
单击Main Menu→Preprocessor→Material Props→Material Models菜单5. 在右侧列表框中依次单击Thermal→Conductivity→Isotropic,在KXX文本框中输入膨胀珍珠岩的导热系数0.04,单击OK。
6. 重复步骤4和5分别定义硅藻土砖和轻质耐火黏土砖的导热系数为0.159和0.08,点击Material新建Material Model菜单。
7.建立模型。
单击Main Menu→Preprocessor→Modeling→Create→Areas→Circle→By Dimensions菜单。
在RAD1文本框中输入0.86,在RAD2文本框中输入0.86-0.065,在THERA1文本框中输入-3,在THERA2文本框中输入3,单击APPL Y按钮。
8.重复第7步,输入RAD1=0.86-0.065,RAD2=0.86-0.245,单击APPL Y;输入RAD1=0.86-0.245,RAD2=0.86-0.36,单击OK。
基于ansys的冻结过程中温度场的有限元分析冻结过程中温度场的有限元分析是现代冰川物理和热输运理论研究的重要部分。
冻结过程是冰川系统中最重要的物理过程,冰川及其周围的温度场的变化,将直接影响冰川的运动、凝固和融解。
温度场的有限元分析是使用计算机对冰川系统进行精确模拟的有效方法。
有限元分析基于定义在节点(域上)的有限个单元函数,利用这些函数将域区域分割成若干有限个单元,进而根据物理原理建立有限元方程组,最后利用某种数值方法求解该方程组,从而确定域上的物理量。
冻结过程中温度场的有限元分析,主要是基于非稳态的热输运方程进行分析。
实际上,基于有限元的冻结过程的模拟与实验室或室内试验更相似,可以使用有限元分析来生成不同时间步长的温度场,以此为基础进一步研究冰川及其附近环境的变化。
有限元分析是将计算机分析视为一种实验过程。
在实验室中,冰川及其周围的温度场的变化受到测量错误的影响,而在计算机分析中,模拟误差也很难避免。
因此,实验和分析之间的差异应尽量减少,以保证在有限元分析中获得可靠的结果。
首先,在使用有限元分析进行冻结过程模拟之前,需要对几何模型进行预处理。
通常,在分析中使用的几何模型是三维的,可以使用ANSYS软件来完成。
ANSYS软件可以根据分析的要求进行网格划分,网格划分准确性,直接影响分析结果的准确性,以及计算的时间和计算资源的占用等。
其次,在使用有限元分析对模型进行分析之前,需要对域上的初始条件和边界条件进行设置。
初始条件是指冰川系统的初始状态,包括温度、密度和流速等;边界条件是指冰川系统周围的条件,包括温度、压力和流速等。
此外,还需要设置材料参数(热导率、密度等)。
最后,在设置完边界条件和材料参数之后,可以使用ANSYS软件进行模拟。
ANSYS软件可用于求解热输运方程,使用多孔介质模型,根据不同的时间步长,以及由此产生的温度场,来模拟冻结过程中温度场的变化。
以上就是有限元分析模拟冻结过程中温度场的大致步骤。
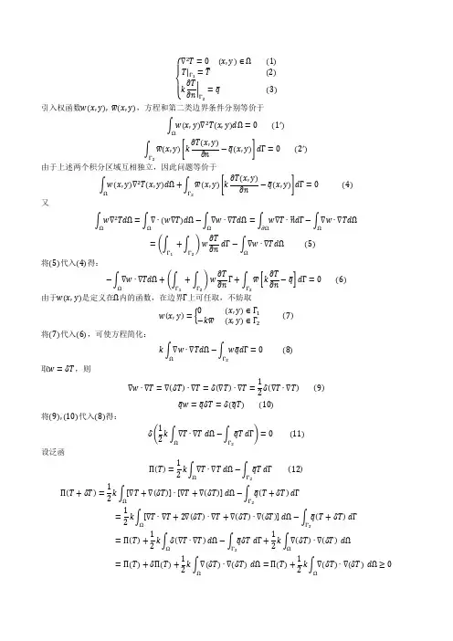
∇2T =0 x ,y ∈Ω 1T Γ1=T(2)k ðTΓ2=q (3)引入权函数w x ,y ,w (x ,y ),方程和第二类边界条件分别等价于w x ,y ∇2T x ,y dΩΩ=0 (1′) w x ,y kðT x ,yðn−q x ,y dΓΓ2=0 2′ 由于上述两个积分区域互相独立,因此问题等价于w x ,y ∇2T x ,y dΩΩ+ w x ,y kðT x ,yðn−q x ,y dΓΓ2=0 4 又w∇2TdΩΩ= ∇∙ w∇T dΩΩ− ∇w ∙∇TdΩΩ= w∇T ∙n dΓðΩ− ∇w ∙∇TdΩΩ=Γ1+Γ2wðTðn dΓ− ∇w ∙∇TdΩΩ5 将 5 代入 4 得:− ∇w ∙∇TdΩΩ+Γ1+Γ2wðT ðn Γ+ w k ðTðn −q dΓΓ2=0 6 由于w x ,y 是定义在Ω内的函数,在边界Γ上可任取,不妨取w x ,y =0 x ,y ∈Γ1−kw x ,y ∈Γ27 将(7)代入(6),可使方程简化:k ∇w ∙∇TdΩΩ− wq dΓΓ2=0 8取w =δT ,则∇w ∙∇T =∇ δT ∙∇T =δ ∇T ∙∇T =12δ ∇T ∙∇T 9q w =q δT =δ q T 10将 9 , 10 代入 8 得:δ 1k ∇T ∙∇T dΩΩ− q T dΓΓ2=0 11 设泛函Π T =1k ∇T ∙∇T dΩΩ− q T dΓΓ212Π T +δT =1k ∇T +∇ δT ∙ ∇T +∇ δT dΩΩ− q T +δT dΓΓ2=1k ∇T ∙∇T +2∇ δT ∙∇T +∇ δT ∙∇ δT dΩΩ− q T +δT dΓΓ2=Π T +12k δ ∇T ∙∇T dΩΩ− q δT dΓΓ2+12k ∇ δT ∙∇ δT Ω dΩ=Π T +δΠ T +12k ∇ δT ∙∇ δT Ω dΩ=Π T +12k ∇ δT ∙∇ δT ΩdΩ≥0所以该问题为泛函的极小值问题。
有限元线法二次参数单元的温度场分析温度场的分析是工程设计中的重要步骤。
由于多学科交叉的原因,这种分析具有复杂性和挑战性。
在这种背景下,有限元线法二次参数单元(FEM-CQP)模型被广泛应用于温度场的分析。
FEM-CQP模型是将二次参数离散单元(CPE)用于有限元线法模型的一种新型技术。
FEM-CQP模型可用于更精确地描述温度场位置关系及其变化,从而准确地模拟温度场在不同表面条件和内部结构的影响。
FEM-CQP模型的核心是利用传热过程的特点建立等价的二阶参数单元,从而获取精确的温度场结果。
FEM-CQP模型的发展并不是一蹴而就的。
该模型的数学基础是热力学分析,其基本目的是确定热力学系统的温度场特征。
根据热力学的物理设定,通过建立温度场发展方程,解析出传热问题的解析解。
而FEM-CQP模型则在此基础上进一步发展,根据传热问题的特点建立对应的有限元线离散模型,以及热力学方程的计算算法,从而计算出温度场的近似解。
实际应用中,为了更准确地模拟温度场,必须综合考虑表面温度、物体内部结构、外部环境温度和其他热源等因素。
在这种复杂的背景下,FEM-CQP模型同时考虑了各种因素对温度场的影响,从而更准确地模拟出温度场结构。
目前,FEM-CQP模型已经成为温度场分析领域的标准方法,具有准确性和适用性。
在不断演化的研究背景下,FEM-CQP模型在考虑多学科因素的环境下保持着其精确性和稳定性,为温度场分析提供了有力支撑。
总之,有限元线法二次参数单元(FEM-CQP)模型是一种发展良好、效果显著的温度场分析模型,具有准确性和适用性。
它极大地简化了温度场分析的过程,不仅有效改善了分析的效率,而且更准确地反映出温度场的结构特征,对工程设计产生了重大影响。
有限元线法二次参数单元的温度场分析有限元技术是用于分析复杂结构问题的著名计算机模型,基于数学和物理原理,模拟结构物体内部的流动现象。
应用范围广泛,从传热分析到结构动力学分析都有其直接运用。
尤其是二次参数单元功能强大,可用于模拟复杂的温度场模型。
本文旨在探讨有限元线法二次参数单元的温度场分析技术,以及其在实际工程中的应用。
首先,本文将介绍有限元线法二次参数单元方面的基础知识,包括节点、单元、边界条件、节点及单元的数量等。
二次参数单元建立温度场模型时,施加的边界条件可以分为对称边界和非对称边界,其中后者经常用于热物理过程分析,如长时间热量传递等。
此外,介绍与温度场相关的物理参数,如热导率以及温度的变化规律。
其次,本文将探讨有限元线法二次参数单元的温度场分析技术,以及它在实际工程中的应用。
二次参数单元通过建立温度场模型,可以有效的预测热和寒的分布范围,从而为设计制定合理的温度场控制策略提供有力支持,如机械设备控温、热量传输分析、太阳能传输分析等。
此外,二次参数单元技术可以提供准确的温度场测量,有效的把握微小热力学变化,改善热物理过程模拟精度,对于科学研究和工程应用有重要意义。
最后,本文将结合实际工程进行分析,介绍有限元线法二次参数单元的温度场分析技术的实际应用。
实例分析包括温度场的多体建模、热传递模型、热量收集、太阳能传输模型及其他模拟热物理过程分析。
通过实际案例,说明二次参数单元技术在温度场分析中的重要性,以及为工程应用提供了建模方法和技术支持。
总之,有限元线法二次参数单元的温度场分析技术具有广泛的应用前景,有助于在复杂的温度环境中进行精确的温度测量和控制,改善热物理过程模拟的精度,为工程实际应用和科学研究奠定坚实的基础。
技术·创新/Technology and Innovation基于有限元仿真的冰箱门体热应力分析张卫卫 张魁仓 鲍 敏(长虹美菱股份有限公司 合肥 230601)摘要:冰箱门体的结构多是依靠经验进行设计,在门体发泡、高低温试验中经常会出现门体饰条开裂、变形等现象,需要经过多次设计与试验验证,造成设计成本高、周期长等问题。
通过有限元仿真的方法,在冰箱门体设计过程中进行热应力分析,模拟门体发泡、高低温试验温度场,可以有效减少门体设计过程中的缺陷,降低设计成本、缩减设计周期。
关键词:冰箱门体;热应力;有限元;分析Abstract:The structure of the refrigerator door is mostly designed by experience. In the door foaming, high and low temperature test, the cracking and deformation of the door trim strip often occur, which requires multiple design and test verification, resulting in high design cost and cycle. Long wait questions. Through the finite element simulation method, the thermal stress analysis is carried out in the design process of the refrigerator door, and the temperature field of the door foaming and high and low temperature test is simulated, which can effectively reduce the defects in the door design process, reduce the design cost and reduce the design cycle.Key words:refrigerator door;thermal stress; finite element; analysisThermal Stress Analysis of Refrigerator Door Based on Finite Element Simulation引言冰箱门体是通过多个零部件拼接并填充发泡剂进行发泡制造而成,是冰箱的重要组成部分,其外观直接影响冰箱质量的优劣。
基于ansys的冻结过程中温度场的有限元分析以《基于ansys的冻结过程中温度场的有限元分析》为标题,展开本文的主题。
近年来,有限元分析在冻结过程中的温度场的研究中受到了广泛的关注,其中Ansys有限元分析软件被认为是当今最先进的计算机仿真技术之一。
本文以Ansys有限元分析软件为基础,从温度场的角度出发,分析冻结过程中热传导、对流、辐射对温度场分布的影响。
具体而言,本文将从以下几个方面进行讨论:
首先,介绍冻结过程中温度场的基本特征,并详细说明温度场的物理意义及其在冻结过程中的重要性。
接着,本文介绍Ansys有限元分析软件,并指出该软件在结构温度场分析中的优势。
然后,对冻结过程中温度场的建模和结构计算进行详细说明,并介绍Ansys有限元软件在温度场计算中的建模方法。
接下来,介绍冻结过程中热传导、对流、辐射对温度场的影响,并应用温度场的有限元分析结果来验证它们的影响。
最后,采用Ansys有限元软件分析统一温度场对冻结过程的最终效果十分显著,并得出冰结合的最佳位置。
综上所述,本文从冻结过程中温度场的角度出发,综合考虑热传导、对流、辐射等因素,利用Ansys有限元分析软件,对冻结过程中温度场的建模和计算进行了研究,得出结论:冰结合的最佳位置。
本文的研究成果可为以后的冻结工艺研究提供参考和指导,从而提高冻结过程的效率。
- 1 -。
2000年第21卷第1期华 北 工 学 院 学 报V ol.21 N o.1 2000 (总第69期)J OURNAL OF N ORTH CH I NA I NSTI TUTE OF TECHN OLOG Y(Sum N o.69)文章编号:100625431(2000)0120074204关于22D温度场计算的有限元法分析Ξ梁红玉1,党惊知1,曹鸿涛2,梁红英1(1.华北工学院材料工程系,山西太原030051;2.中原油田建筑集团公司,河南濮阳457001)摘 要: 目的 分析有限元法实现22D温度场计算的一般规则及程序编制技巧.方法 根据理论分析及实例,计算验证上述规则及技巧的正确性及在程序设计中的可行性.结果 单元、单元节点的编号以及单元网格的形状对22D温度场计算结果的精确度有很大的影响;而程序设计的技巧直接关系到计算能否顺利进行.结论 遵循22D有限元分析的一般原则加上适当的编程技巧,可顺利并精确地完成22D温度场的计算.关键词: 有限元法;22D温度场;边界单元;V型分割中图分类号: T K121 文献标识码:A0 引 言用数学物理方法来求解工程技术问题是当代科学的一大成果,对微分方程求出它的已给边界条件下的精确解析解,虽然已有完整的理论,但是真正解出的只有少数几种简单情况,特别在二维三维问题中更是如此.从60年代开始,随着电子计算机应用的飞速发展,出现了有限元法这种近似计算方法,这种方法与以往的近似计算方法有限差分法相辅相成,已成为现代工程计算中一个强有力的工具.有限差分法是从微分方程出发,将求解区域经过离散处理后,近似用差商代替微商,将微分方程和边界条件的求解归结为求解一个线性代数方程组,从而得到数值解.有限差分法的缺点是局限于规则的差分网格,如正方形、矩形或正三角形网格等.它只看到了节点的作用,没有注意到连接节点的单元所起到的作用.有限元法吸取了有限差分法中离散化处理的内核,又继承了变分计算中选择插值函数并对区域进行积分的合理方法,并且充分估计了单元对节点参数的贡献[1],使计算结果更为精确.因而,有限元法在工程计算中的应用越来越广泛,特别是对一些形状复杂的零件,当要求的计算精度较高时,应用有限元法求解更是卓有成效.在有限元求解的过程中,首先一步是单元网格的划分,而在平面有限元中单元网格的划分应当遵循一定的规则,并且在程序实现时,还应寻求一定的技巧.1 单元及单元节点编号应遵循的规则应用有限元法求解22D温度场时,对于每一个确定的计算区域,都可以划分成任意的三角形单元;每一个节点都有对应的数字序号1,2,3,…等;每一个单元也都有它自己的编号①,②,③,…等;单元通过节点与相邻单元相联系.对于每一个单元来说,三个顶点都用i,j,m按逆时针方向进行编号.不包含边界的单元称为内部单元,反之则为边界单元.通常,内部单元编号在前,然后是第一类边界条件的单元,接着编第二类边界的单元,依次类推.第一类边界条件的单元:物体边界上的温度函数为已知,用公式表示为:T Σ=T w,或T Σ=f(x,y,t).式中,Σ为物体边界,逆时针方向;T w为已知壁面温度(常数),℃;f(x,y,t)为已知温度函数.第二类边界条件的单元:物体边界上的热流密度为已知,用公式表示为:-k(5T 5n) Σ=q2,或Ξ收稿日期:1999209202 基金项目:部级“九五”重点资助项目 作者简介:梁红玉(1968-),女,讲师,硕士.从事专业:金属材料热处理.-k (5T 5n ) Σ=g (x ,y ,t ).式中,q 2为已知热流密度(常数),边界外法线方向,W m 2;g (x ,y ,t )为已知热流密度函数.第三类边界条件的单元是指与物体相接触的流体介质的温度T f 和换热系数a 为已知.用公式表示为:-k (5T 5n ) Σ=Α(T -T f ) Σ.式中,Α与T f 可以是常数,也可以是某种随时间和位置而变化的函数.如果Α和T f 不是常数,则在数值计算中经常分段取其平均值作为常数.当采用带宽法求解有限元基本方程时,为了简单,规定边界单元只有一条边(j ,m )位于边界上,i 节点则与边界相对.对于内部单元,i ,j ,m 可任意按逆时针方向编排,,为了便于查找,总把i 编在序号最小的节点上.此外,单元中每个节点的编号与周围节点的编号要尽可能接近,使求解代数线性方程组时系数矩阵中非零元素的宽度为最小.例如:对于图1(a )所示的矩形面积,在纵向和横向都作等分直线划分,共分为54个三角形单元,40个节点.同样的划分,如果按图1(b )所示给节点编号,由于带宽增加,使求解线性方程组时,计算精度受到影响.(a )(b )图1 矩形面积有限元划分F i g .1 D eli m itati on of rectangle area2 关于有限元网格的形状在实际划分网格的过程中,有限元网格虽然可以任意划分,但也不是毫无限制的.首先单元网格的(a )V 型(b )单斜型图2 飞轮子午面有限元划分F i g .2 D eli m itati on of symm etry p lane of flyw heel形状应当尽量规则,如:在最简单的平面三角形单元中,三角形的三条边长不应相差太大;其次在平面三角形单元中,单元网格的形状应当能够保证边界单元只有一条边处于物体边界上,而且j ,m 两节点处于物体的边界上,如:图2(a )所示的飞轮子午面,其典型的有限单元划分是作对称的V 型分割,这样可保证每一个边界单元只有j ,m 边处于物体边界上.如果按图2(b )所示划分单元,虽然单元的大小、个数仍保持不变,但其中有的单元有两条边均处于物体的边界上,这样使计算及编程都变得复杂,从而影响计算精度.3 实例计算 为了进一步检验本套规则的正确性以及程序设计的可行性,作者选取了大量的算例对其进行检验,下面是一个较为典型的算例.311 问题的提出有长度为40mm ,宽度为20mm ,厚度为0.1mm 的一薄层覆膜Si C 粉末(Pc 20%,Si C 80%),被移57(总第69期)关于22D 温度场计算的有限元法分析(梁红玉等)动的激光源加热,激光束宽度为0.4mm ,移动速率为2mm s ,激光功率为25W ,粉层预热温度为60℃,求在激光源扫过粉层的过程中,整个粉层温度的变化情况.312 模型的建立1未烧结粉末层;2已烧结粉末层图3 二维温度场坐标示意图F i g .3 The sche m atic diagra m on the coordinate of 22D ther m al field 通过对已知条件的分析知,它属瞬态温度场问题.考虑到激光束长度远大于其宽度及厚度,故可认为激光源为一线状热源.假设其z 方向既无热传导也无热交换,故只研究断面内的热传导问题.在实际计算过程中,为简化计算,选取x ×y =2mm ×0.1mm 区域划分单元,如图3所示(a ,b ,c 为实测温点).粉末下表面及左表面,通过0.1mm 厚的覆膜粉末与外界交换,其热流密度为已知,属于第二类边界单元;右表面按绝热内部单元处理;上表面除激光加热的部分表面外,其余部分与空气自由换热,属第三类边界单元;而被激光加热的表面,其热流密度为定值,属第二类边界单元.313 单元的划分 按单元网格划分规则,将所选区域划为160个单元123个节点,其单元划分方法及单元编号见图4.图4 计算区域有限元网格划分及编号F i g .4 D eli m itati on of the calculati on area and the num bering314 程序的编制[3]31411 输入节点坐标3read num ber of layer (nn ),height ,s peed and length data hd ,vv ,xx , 1e -3,2e -4,2e -3mm =int (xx vv )34nde =(mm +1)3(nn 32+1)nl m =mm 3nn 34 3calculate coord of node do 5100ii =1,41ik =(ii -1)(nn 32+1)do 5200j 11=1,nn 32+1coord (ik +j 11,1)=5e -53(ii -1)coord (ik +j 11,2)=5e -53(j 11-1)t 0(ik +j 111)=60t 00(ik +j 11)=60 5200continue 5100continue31412 单元及节点编号 3lnd ()=node of ele m ent do 200j =1,nn 32do 190kk =1,mm ie =(j -1)3mm 32if (j.ne .nn 32)then lnd (ie +23kk -1,3)=j +(nn 32+1)3(kk -1)lnd (ie +23kk -1,1)=(j +1)+(nn 32+1)3kk lnd (ie +23kk -1,2)=(j +1)+(nn 32+1)3(kk -1)lnd (ie +23kk ,1)=(j +1)+(nn 32+1)3kk lnd (ie+23kk,2)=j+(nn 32+1)3(kk-1)lnd (ie+23kk,3)=j+(nn 32+1)3kk elselnd (ie +23kk -1,1)=j +(nn 32+1)3kk lnd (ie +23kk -1,2)=(j +1)+(nn 32+1)3kk lnd (ie +23kk -1,3)=(j +1)+(nn 32+1)3(kk -1)lnd (ie +23kk ,1)=j +(nn 32+1)3kklnd (ie +23kk ,2)=(j +1)+(nn 32+1)3(kk -1)lnd (ie +23kk ,3)=j +(nn 32+1)3(kk -1)end if 190continue 200continue67华 北 工 学 院 学 报2000年第1期315 计算结果分析 按以上方法划分单元网格,计算结果相当准确,同实际测量结果符合得很好.以下分别选取同一表层不同部位的a ,b 两点,同一部位不同深度的b ,c 两点作分析比较,其温度随时间变化的规律见图5.图6为温度场数值模拟结果示意图. 图5 a ,b 两点和b ,c 两点的T -t 曲线 F i g .5 T -t curve about a ,b and b ,c (a )t =0.1s (b )t =1.0s 图6 温度场模拟结果 F i g .6 The si m ulati on result of ther m al field4 结 论在工程计算中,应用有限元法解决平面问题时,首先必须正确地划分有限单元网格,才能使计算结果同实际符合,从而发挥有限元法这种近似计算方法的优越性.参考文献:[1] 孔祥谦.有限单元法在传热学中的应用[M ].第二版.北京:科学出版社,1986.9~12.[2] 甘舜仙.有限元技术与程序[M ].北京:北京理工大学出版社,1988.185~191.[3] 程军.计算机在铸造中的应用[M ].北京:机械工业出版社,1993.135~140.Research on the F i n ite Ele men tM ethod of 2-D Ther mal F i eldL I AN G Hong 2yu 1,DAN G J ing 2zh i 1,CAO Hong 2tao 2,L I AN G Hong 2ying1(1.D ep t .of M aterial Science and Engineering ,N orth Ch ina Institute of T echnol ogy ,T aiyuan 030051,Ch ina ;2.Constructi on Corporati on in Zhongyuan O il F ield ,Puyang 457001,Ch ina )Abstract : A i m To research the rule about the fin ite ele m en t m ethod of 22D ther m al field and the sk ill of p rogra mm 2design .M ethods A ccording to the theoretical analysis and the p ractical calculati on ,the regular pattern and the sk ill is verified .Results T he num ber of ele m en ts ,ele m en t po in ts and the shape of ele m en ts have a strong effect on the accuracy of 22D ther m al field calculati on ,the sk ill of p rogra mm 2design w ill affect w hether the calculati on could be successful .Conclusi on Stick to the rule of 22D finite ele m en t m ethod and seek fo r the sk ill of p rogra mm 2design w ill hel p to finish the calculati on of 22D ther m al field rap idly and accurately .Key words : fin ite ele m en t m ethods ;22D ther m al field ;boundary ele m ent ;V 2deli m itati on77(总第69期)关于22D 温度场计算的有限元法分析(梁红玉等)。
有限元报告——温度场有限元上机报告——温度场的有限元计算⼀.问题如图⼀平⾯结构在⽆热源情况下,给定热边界条件,⽤有限元分析温度分布。
⼆.解决步骤 1.对问题的分析采⽤简单的三⾓形单元,单元内温度假定为线性分布,即y a x a a y x T 321),(++=与平⾯结构⼀样,可⽤单元3个顶点n m l 、、的温度n m l T T T 、、插值单元内部温度场,有[]{}eT T N y x T =),(其中{}[]Tn m l e T T T T =为e 单元的节点温度列阵,⽽形状函数矩阵为[][]n mlT N N N N =简单三⾓形单元内假定的温度场是线性分布的,其形状函数应为++=2/)(y c x b a N l l l l对任⼀个单元e ,如⾯积域为eΩ,则单元泛函数为xy 100100A BDCdxdy y T x T y T x T dxdy y T x T U e e e=???????+??? ????=??ΩΩ212122⽽[]{}[]{}e e T T F T N y x y T x T =??=?? []??=n m ln m lc c c b b b F 21 所以,泛函数{}[]{}eT e e T h T U 21=单元刚度矩阵[][]n ml n mln m l F F F c c c b b b F ?==2121所以[][][]n ml T n T mT l T F F F F F F F F ??=241所以[][][]()()s r s r s s r r rs rs e c c b b c b c b h h h +? =???=?=4141412.数据准备如图所⽰,划分单元格每节点有⼀个⾃由度,边界约束为1,2,3,4,5,6,7,12,13,18,19,24,25,30,31,33,34,35,36,温度相当于载荷分布,所以只有边界处有载荷。
和之前分析步骤相同,可得数据⽂件INP.DAT 。
基于有限元仿真的冰箱底板结构优化摘要:冰箱底板承受整个冰箱重量,在运输过程中会出现底板变形现象,新品开发阶段需要通过多次跌落实验过程来优化与改进底板结构,造成底板模具反复更改,增加项目周期和项目投入。
借助有限元手段,在模具开制前,对底板模型进行强度分析,并提出优化方案。
关键词:冰箱底板,有限元,分析0 引言冰箱底板安装在冰箱最底部,不仅承载整个冰箱的重量,而且在冰箱底板上部还安装有压缩机等主要的制冷器件,是冰箱中重要的零部件之一,其强度对冰箱稳定性有较大的影响。
而在现实情况中,冰箱生产完成到运送到消费者家中,通常需要多次物流转运过程,冰箱运输过程中常会出现振动颠簸甚至瞬间跌落的现象,若底板强度较差,在运输过程中会出现底板变形、损坏,甚至冰箱侧面箱体发生变形,影响冰箱外观及使用,造成消费者退货或换货等,影响产品质量和品牌口碑。
为避免此种情况的发生,冰箱底板需要具有较大的结构强度,满足一定试验条件下的变形要求。
所以在新品开发阶段需要通过多次跌落实验过程来优化与改进底板结构,造成底板模具反复更改,增加项目周期和项目投入。
1 冰箱底板模型概述与简化冰箱底板需要承受整个冰箱的重量,在物流运输过程中会多次受到极大的冲击力,若强度不够,会造成底板变形,影响冰箱正常使用。
如图1所示,冰箱底板装机后发生变形,前端中间部位向上拱起。
为降低底板变形量、提升强度,避免反复试验的情况,本文选择模型号冰箱底板做为研究对象进行分析,并提出具体的结构优化方案。
如图2所示,冰箱底板通常为热镀锌板,厚度1.2mm,在进行强度提升的设计中,限制于零件成本,底板整体厚度不改变。
底板材料参数如表1所示。
对底板进行强度和应力分析时,对非关键的结构进行简化,删除一些小结构、小圆角等对仿真结果无影响的结构,提高网格划分的质量、降低网格数量,既满足计算精度同时降低运算时间[1-2]。
图1 冰箱底板装机图图2 冰箱底板原模型表1 底板材料参数序号 材料 泊松比弹性模量 (GPa ) 密度 (kg/mm³)1 镀锌板 0.27 206 7.85 E-62 冰箱底板模型前处理模型经过简化之后,使用simcenter 3D 商用仿真软件进行前处理、结构仿真及后处理。
收稿日期:2001-01-19;修订日期:2001-10-18作者简介:王璋奇(1964-),男,陕西大荔人,华北电力大学教授,博士.由此模糊决策表可以得到如下结论:当负荷增高和煤种变好时,调整总风量应使烟气含氧量下降将使锅炉的效率提高。
不同煤种、不同负荷时,烟气含氧量的最佳值可方便地查表得到,解决了如何使煤粉炉在线运行在最佳风煤比处以提高运行效率的难题。
参考文献:[1] 冯俊凯,沈幼庭.锅炉原理与计算[M].北京:科学出版社,1992.[2] 戴绪愚.自寻最优控制[M]:北京:科学出版社,1986.[3] 徐春晖.中小煤粉炉燃烧控制的主导因素法[D].北京:清华大学,1996.(辉 编辑)文章编号:1001-2060(2002)01-0092-03温度场分析的自适应有限元方法王璋奇,安利强(华北电力大学机械工程系,河北保定 071003)摘 要:自适应有限元方法在实际工程问题的分析中有重要的应用价值。
本文根据温度场分析的特点,给出了温度场有限元计算结果局部误差估计的简单方法,结合有限元网格生成的Delaunay三角化方法,研究温度场有限元分析的自适应方法,并在汽轮机转子温度场有限元分析软件中成功实现了温度场的误差估计和有限元网格的自适应自动剖分、加密等功能,获得了具有等精度的温度场有限元数值计算结果。
以国产300MW汽轮机转子温度场分析的有限元网格和计算结果为例,说明了本文方法的有效性。
关键词:有限元;网格剖分;自适应;温度场中图分类号:T B115 文献标识码:A1 引言随着计算机技术及数值计算方法的发展,有限元技术的应用领域不断扩大,许多大型复杂的结构中物理场分析都采用有限元法。
有限元计算中网格的精度直接关系到计算结果的精度,在有限元实际计算过程中,往往要求在保证计算精度的前提下,采用最少的单元,以减小计算的工作量。
但是在计算完成前,一般不能准确的判断出所分析的物理场的分布情况,因而无法决定网格的疏密分布,只能凭经验在梯度可能较大的部位进行网格加密,这样势必使得网格加密带有一定程度的盲目性,造成资源的浪费。
第3章温度场有限元法分析理论基础在制造加工领域中,通过计算机模拟各种加工过程是非常方便有效的方法之一。
磨削过程也可以通过建立数值分析模型模拟整个磨削的过程,不仅可以预测实验可能发生的情况也可以减少实验的次数。
于是,越来越多的学者使用有限元技术对磨削过程进行分析、研究。
通过有限元法分析磨削区温度场既有利于对磨削机理的理解,也是一种优化机械加工工艺的有力工具,而且在考虑多种因素、非线性、动态过程分析等复杂情况时其优势尤为显著。
3.1有限元法简介3.1.1 有限元法的基本思想有限单元法是目前在工程领域内常用的数值模拟方法之一。
目前在工程领域内常用都是数值模拟方法包括有限单元法、边界元法、离散单元法和有限差分法等。
有限元单元法的基本思想就是将连续的结构离散成有限多个单元,并在每一个单元中设定有限数量的节点,讲连续体看做是节点处连续的一组单元的集合体,同时选定场函数的节点值作为基本未知量,并在第一单元中假设一个插值函数来表示单元中场函数的分布规律,进而利用弹性力学、固体力学、结构力学等力学中的变分原理去建立用以求解节点未知量的有限元方程,从而将一个连续域中的无限自由度问题转化为离散域中有限自由度问题。
求解法就可以利用解得的节点值和设定的插值函数来确定单元上以至整个集合上的场函数。
有限元分析的基本概念就是用较简单的问题代替复杂问题后再求解。
它将求解域看成是由许多称为有限元的小的互连子域组成,对每一个单元假定一个较简单的近似解,然后推导求解这个域总的满足条件,从而得到问题的近似解。
由于大多数实际问题难以得到准确解,有限元法不仅仅计算精度高而且能够适应各种复杂形状,因此称为行之有效的工程分析手段。
3.1.2有限元热分析简介热分析是指用热力学参数或者物理参数随着温度变化的关系进行的分析方法。
国际热分析协会在1977年将热分析定义为:“热分析是测量在程序控制温度下,物质的物理性质与温度依赖关系的一类技术。
”程序控制温度指的是按某种规律加热或冷却,通常是线性升温或降温。