部分参考答案-产业组织理论-期中作业
- 格式:doc
- 大小:76.00 KB
- 文档页数:7
产业组织理论习题答案【篇一:产业组织理论作业题】名词解释产业:产业既可以指工业,又可以泛指国民经济中的各个具体产业部门。
战略关联分类法:按一个国家或地区产业政策中的不同产业地位来划分产业的分类方法。
主导产业:能够依靠科技进步或技术创新获得新的生产函数,能够通过快于其他产品的“不合比例增长”的作用有效地带动其他产业发展的产业或产业群。
先导产业:在国民经济体系中占有重要的战略地位,并且在国民经济中先行发展,以引导其他产业朝某一战略目标发展的产业或产业群。
支柱产业:在国民经济体系中占有重要的战略地位,其产业规模在国民经济中占有较大份额,并起支撑作用的产业或产业群。
交易费用:通过市场配置资源产生的费用,它包括四个部分:交易双方事前的信息搜寻费用;协议协商执行过程中产生的费用;因协议不完全性导致事后修改产生的费用;因不确定性导致的最终损失。
资本专用性:它是指这样一种状态,在双方交易的过程中,有些投资是专用性的,是专门为特定交易过程进行的投资,这些专用性投资无法挪作他用,或者挪作他用的成本非常高,也或者是挪作他用会导致资产的大幅度贬值。
产业组织:同一产业内企业间的市场关系,主要包括交易关系、行为关系、资源占用关系、利用关系。
产业组织理论:是一门用来分析、研究市场经济条件下涉及市场运行问题的应用经济理论。
马歇尔冲突:大量生产的好处是和“组织”相关联的,而追求规模经济的结果是阻断价格机制的作用和垄断的发展,即规模经济和垄断的弊病。
市场结构:是对市场内竞争程度、价格形成等产生战略性影响的市场组织的特征。
市场行为:企业在充分考虑市场供求条件和其他企业关系的基础上所采取的各种决策行动。
市场绩效:在一定市场结构下市场行为运行的最终产生的经济后果。
产业组织政策:为了促进资源在产业内、企业间的合理配置以获得理想的市场绩效,由政府制定的用以引导和干预市场行为的政策。
行业集中度:即行业规模分布状况。
规模最大的前几位企业的有关数值与整个行业或市场的份额最常用。
1、假设在美国市场上提供航空服务的公司为两家,波音和空客。
航空服务只在美国市场上销售。
美国市场上的需求曲线为:B A Q Q P --=100。
两家企业的边际成本和平均成本都是:10==AC MC ;这里假设固定成本等于500,所以总成本为:Q TC 10500+=。
(单位百万)。
求(1)两企业的古诺纳什均衡产量和价格。
假设美国对波音给予一定的补贴,每单位的产品给予300万美元的补贴,那么新的均衡产量和均衡价格是多少?解:(1) 波音的利润曲线是:B B B TC PQ -=π 由于:0=∂∂BB Q π。
可得波音的反应曲线:A B Q Q 5.045-=和空客的反应曲线B A Q Q 5.045-=。
联立方程可解得:4060100;30=-===P Q Q A B(2)A B Q Q 215.46-=; 空客的反应曲线不变。
2、一个垄断者能够以常数(和边际)成本5==MC AC 美元生产。
该厂商面临一市场需求曲线P Q -=53。
(a )计算这个垄断者的利润最大化价格和产量,并算出它的利润。
(b )假设第二个厂商加入该市场。
1Q 为第一个厂商的产量,2Q 为第二个厂商的产量。
市场需求曲线现在由P Q Q -=+5321给出。
设第二个厂商与第一个厂商有相同的成本,将各厂商的利润写成1Q 和2Q 的函数。
(c )假设(与古诺模型中一样)个厂商在假定它的竞争者的产量固定时选择其利润最大化产量水平。
求出各厂商的反应曲线(即根据它的竞争者产量求出它所需要的产量的规则)。
(d )计算古诺均衡(即给定竞争者的产量,两厂商都选了自己所能选的最好的1Q 和2Q 的值。
求出市场价格和各厂商的利润。
解:(a )为了使利润Q Q Q 5532--=π最大化,我们导出0482=+-=Q dQ d π。
24=Q ,故29=P ,利润等于576。
(b )2153Q Q P --=,121211111553)(Q Q Q Q Q Q C PQ ---=-=π和222212222553)(Q Q Q Q Q Q C PQ ---=-=π。
1.企业应该根据产品生命周期阶段的不同特点来决定是否进入以及怎样进入()。
A、并购B、全新进入C、模仿进入D、内部发展答案:C2.完全竞争厂商长期和短期均衡的效率来源是()。
A、企业家才能出众B、要素自由流动C、信息完备D、资源充足答案:B3.如果某一产业随着产品产量增加,成本下降,说明该企业规模报酬()。
A、递增B、递减C、不变D、无法判断答案:B4.产业经济学研究的领域是()。
A、家庭B、企业C、产业D、国民经济总量答案:C5.结构性进入障碍不包括()。
A、行政障碍B、绝对成本优势障碍C、必要资本量障碍D、规模经济障碍6.经济学中组织的概念最初的提出者是()。
A、克拉克B、马歇尔C、亚当斯密D、梅森答案:B7.以下关于贝恩指数的说法正确的是()。
A、贝恩指数不受企业行为影响B、贝恩指数是一种平均利润率C、贝恩指数中经济利润容易计算D、贝恩指数越大,表明市场垄断程度越高答案:D8.在短期中,以下属于可变成本的是()。
A、资本利息B、厂房租金C、设备费用D、工人工资答案:D9.长期边际成本曲线呈()。
A、向上倾斜B、U形C、向下倾斜D、倒U形答案:B10.完全竞争厂商的长期均衡利润()。
A、大于0B、等于0D、不确定答案:B11.经济性规制包括()。
A、价格规制B、质量规制C、进入和退出规制D、投资规制答案:ABCD12.现代市场规制的特点有()。
A、规制的主体是政府B、规制执行需要成本C、规制对市场交易机制有着直接影响D、企业和消费者是规制的客体答案:ABCD13.三维度分析法主要包括()。
A、对社会的影响B、回报C、成本D、股利答案:ABC14.策略性进入障碍主要包括()。
A、影响未来需求结构的进入阻止B、影响未来供给结构的进入阻止C、影响潜在进入者信念的进入阻止D、影响未来成本结构的进入阻止答案:ACD15.放松规制的主要路径有()。
B、引入非公有资本C、横向拆分D、引入竞争答案:ABCD16.进入规制的规制手段有()。
产业组织理论习题答案产业组织理论习题答案产业组织理论是经济学中的一个重要分支,研究市场中的企业行为和市场结构。
在学习产业组织理论时,通过解答习题可以更好地理解和应用相关概念。
下面将针对几个常见的产业组织理论习题进行解答,帮助读者加深对该理论的理解。
一、垄断市场的均衡分析1. 垄断市场的均衡价格和产量如何确定?在垄断市场中,垄断者是唯一的供应者,可以通过调整价格和产量来最大化利润。
均衡价格和产量的确定需要考虑两个因素:市场需求曲线和垄断者的成本曲线。
首先,垄断者需要了解市场需求曲线,即市场上消费者对该商品的需求量与价格之间的关系。
根据需求曲线的形状,垄断者可以选择不同的价格和产量组合。
一般来说,垄断者会选择价格较高的组合,以最大化利润。
其次,垄断者还需要考虑自身的成本曲线,即生产单位商品所需的成本与产量之间的关系。
通过比较边际成本和边际收益,垄断者可以确定最优产量,即使得边际成本等于边际收益的产量。
综上所述,垄断市场的均衡价格和产量由垄断者根据市场需求曲线和成本曲线来决定。
二、寡头垄断市场的竞争策略2. 在寡头垄断市场中,寡头企业如何选择竞争策略?在寡头垄断市场中,市场上只有几个大型企业,它们之间存在一定程度的竞争。
寡头企业可以选择不同的竞争策略来争夺市场份额和获得更高的利润。
一种常见的竞争策略是价格竞争。
寡头企业可以通过降低价格来吸引更多的消费者,从而增加销量和市场份额。
然而,价格竞争可能导致利润下降,因此企业需要谨慎考虑。
另一种竞争策略是非价格竞争,即通过其他手段来吸引消费者。
例如,企业可以提供更好的产品质量、增加广告宣传、改进售后服务等。
通过提供差异化的产品和服务,企业可以在竞争中获得优势。
寡头企业还可以选择合作竞争策略,即通过合作与其他企业形成联盟,共同抵制竞争对手。
这种合作可以包括价格协调、市场分割、技术共享等。
通过合作,企业可以减少竞争的激烈程度,稳定市场份额和利润。
综上所述,寡头垄断市场的竞争策略包括价格竞争、非价格竞争和合作竞争,企业需要根据市场情况和自身实力来选择合适的策略。
产业组织理论习题答案产业组织理论是经济学中的一个重要分支,它主要研究企业在市场中的行为和市场结构对经济效率的影响。
以下是一些产业组织理论习题的答案:1. 市场结构的分类:- 完全竞争市场:市场上有大量买家和卖家,产品是同质的,进入和退出市场没有障碍。
- 垄断竞争市场:市场上有许多卖方,但每个卖方提供略有差异的产品。
- 寡头垄断市场:市场上只有少数几个卖方,他们对市场价格有显著影响。
- 完全垄断市场:市场上只有一个卖方,没有竞争对手。
2. 市场力量的来源:- 专利权:通过法律保护,阻止其他企业使用特定的技术或产品。
- 规模经济:企业规模大到一定程度时,单位成本会降低。
- 品牌忠诚度:消费者对特定品牌有偏好,不愿意轻易更换。
3. 价格歧视:- 第一程度价格歧视:对每个消费者都收取不同的价格。
- 第二程度价格歧视:根据购买数量的不同,收取不同的价格。
- 第三程度价格歧视:根据消费者的不同特征,如年龄、性别等,收取不同的价格。
4. 市场进入壁垒:- 规模经济:新进入者需要投入大量资金才能与现有企业竞争。
- 法律壁垒:如专利权、许可证等。
- 消费者偏好:消费者对现有品牌的忠诚度。
5. 卡特尔:- 卡特尔是一组企业之间的协议,目的是通过限制产量来提高价格。
- 卡特尔通常不稳定,因为成员之间存在作弊的动机。
6. 自然垄断:- 自然垄断是指在某些行业,由于规模经济的存在,只有一个企业能够以最低成本提供服务。
7. 反垄断法:- 反垄断法旨在防止企业通过不正当手段限制市场竞争,保护消费者利益。
8. 产业组织理论的应用:- 政策制定:政府可以利用产业组织理论来制定促进竞争的政策。
- 企业战略:企业可以利用产业组织理论来制定市场进入、定价和产品开发策略。
以上是产业组织理论的一些基本习题答案,希望对你有所帮助。
在实际应用中,这些理论需要结合具体情况进行分析和应用。
一、单选题1、()书的出版,标志着哈佛学派正式形成。
A.施蒂格勒的《产业组织》B.罗宾逊夫人的《不完全竞争经济学》C.张伯伦的《垄断竞争理论》D.贝恩的《产业组织》正确答案:D2、哈佛大学的教授张伯伦和剑桥大学的教授()同时提出垄断竞争理论。
A.谢勒B.克拉克C.贝恩D.罗宾逊夫人正确答案:D3、下面哪项属于企业的协调行为()0A.广告行为B.价格卡特尔C.定价行为D.并购行为正确答案:B4、下面哪个行业中企业的广告行为最有影响()。
A.中间品行业B.非耐用消费品行业C.耐用消费品行业D.工业品行业正确答案:B5、产业组织理论主要运用()研究方法。
A.博弈论B.S-C-P分析C.计量经济分析D.案例分析正确答案:B6、消费者即使在消费后也难以确定其质量的商品,如医疗护理等被称为()。
A.信任品B.经验品C.搜寻品D.后验品正确答案:A7、有效竞争理论由()提出。
A.乔安.罗宾逊夫人B.爱德华.H.张伯伦C.克拉克D.霍夫曼正确答案:C8、某企业为了获得规模经济应该采取()。
A.混合兼并B.横向兼并C.前向兼并D.后向兼并正确答案:B9、下列关于产品差别化的叙述中,哪一项是正确的()。
A.产品差别化程度越小,竞争因素越大B.产品差别化程度越大,垄断因素越小C.在物理性上的差异是产品差别化形成的最主要原因D.广告密度越小,产品差别化越大正确答案:A10、掠夺性定价的特征有()。
A.对市场结构产生有利的影响B.价格一般订在低于平均利润之下C.所有企业都可以采用此战略D.定价是为了扩大需求量正确答案:B二、多选题1、决定市场结构的主要因素:()oA.进入与退出壁垒B.产品差别化程度C.企业协调行为D.市场集中度正确答案:A、B、D2、产业组织理论中的企业定价行为主要包括:()oA.价格歧视B.生产成本定价C.掠夺性定价D.限制性定价正确答案:A、C、D3、并购行为包括:()。
A.中性并购B.混合并购C.纵向并购D.横向并购正确答案:B、C、D4、贝恩指出的构成进入壁垒的主要因素包括()。
注:黄色标识的是找不到答案,个人整理的,大家再自行斟酌整理~1、产业;产业经济学2、马歇尔冲突规模经济降低生产成本,提高市场占有率,其结果导致市场结构中的垄断因素不断加强;而垄断的形成又必然阻碍竞争机制在资源合理配置中的作用,使经济丧失活力,从而扼杀自由竞争。
3、有效竞争及其三分法有效竞争也称不完全竞争,有效竞争就是既有利于维护竞争又有利于发挥规模经济作用的竞争格局。
贝恩、凯维斯、谢勒等经济学家对产业组织理论做了进一步研究将有效竞争标准从二分法扩展为三分法,即市场结构、市场行为和市场绩效三方面对产业进行分析,简称SCP框架。
市场结构标准:(1)不存在进入和流动的人为限制;(2)存在对上市产品质量差异的价格敏感性;(3)交易者的数量符合规模经济要求。
市场行为标准:(1)企业之间不互相勾结(彩电业);(2)企业不使用排外性的、掠夺性的手段;(3)在推销时不搞欺诈;(4)不存在有害的价格歧视;(5)对抗者对其他人是否会追随其价格变动没有完备信息。
市场绩效标准:(1)利润水平刚好足以酬报创新、效率和投资;(2)质量和产量随着消费者需求而变化;(3)企业努力提高技术,推新产品、新工艺;(4)没有过度的销售开支;(5)每个企业的生产过程是有效率的;(6)最好地满足消费者需求的卖者得到更多的实惠;(7)价格变化不会加剧周期的不稳定。
4、简述哈佛学派、可竞争市场理论及芝加哥学派的主要观点哈佛学派的研究重点是市场结构,认为市场结构决定企业的市场行为而市场行为决定市场资源配置的绩效,因此为了获得良好的市场绩效,必须采取积极的反托拉斯政策和政府管制,以改善市场结构,进而规范企业的市场行为。
可竞争市场理论认为:如果不存在沉没成本,公司能够迅速进入该行业,在位公司由于担心局外竞争者的进入,进入的威胁迫使在位公司维持反映生产成本的价格以及高效率生产,即使行业仅由少数公司组成.也会得到竞争性市场的产量。
最优化价格决策取决于市场结构.芝加哥学派信奉自由市场经济中竞争机制的作用,相信市场力量的自我调节能力,认为市场竞争是市场力量自由发挥作用的过程。
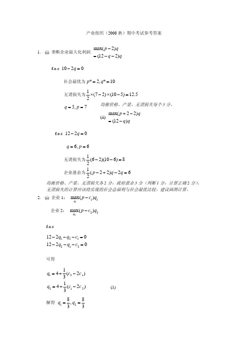
产业组织(2008秋)期中考试参考答案1. (i) 垄断企业最大化利润max(2)(122)p q q q−=−−f.o.c 1020q −=社会最优为*2,*10p q == 无谓损失为1(72)(105)12.52×−×−=均衡价格、产量、无谓损失每个3分。
(ii)max(22)(12)p qq q+−=−f.o.c 1220q −= 6,6q p ==无谓损失为1(62)(106)82−−=企业盈余为1(22)262p q q −+−=均衡价格、产量、无谓损失各2分,政府盈余3分(判断1分,计算正确2分)。
无谓损失的计算应该将实现的社会总福利与社会最优比较。
建议画图计算。
2. (i) 企业1: 111max()q p c q −企业2: 222max()q p c q −f.o.c12121212201220q q c q q c −−−=−−−=可得12121214(2)314(2)3q c c q c c =+−=+− (1)解得 1288,33q q == 5,7q p ==203p =,均衡利润分别为1220864(4)339ππ==−×= (ii) 企业如果选择研发,将成本降为2 企业1:111max(')q p c q −企业2:222max()q p c q −由(1)式可得 12'4,2,6q q p === 企业1此时利润为1'16Π=,1809ΔΠ=企业1最多愿意支付809降低成本。
(iii) 若企业2不购买此技术,而企业1购买,成本降低到2,企业1此时利润为1'16Π=, 企业2的成本将变为2'4Π=。
因此,企业将最多愿意支付12''12ΔΠ=Π−Π=来购买此技术。
注意:此题中,企业1与2进行产量竞争,不存在一个企业将另一个企业赶出市场的威胁。
同时,(iii)中,研发机构仅愿意把技术出售给“一家”企业。
产业组织理论与实践试题答案第一篇:产业组织理论与实践试题答案产业组织理论与实践一、名词解释5’/个1、范围经济由厂商的范围而非规模带来的经济,也即是当同时生产两种产品的费用低于分别生产每种产品时,所存在的状况就被称为范围经济。
只要把两种或更多的产品合并在一起生产比分开来生产的成本要低,就会存在范围经济。
2、最小有效规模(MES)指在长期中平均成本处于或接近其最小值的最小的规模。
一般表现为“长期平均成本下降”,即长期平均成本曲线呈下降趋势,下降的最低点。
3、囚徒困境博弈论的非零和博弈中具代表性的例子,反映个人最佳选择并非团体最佳选择。
4、掠夺性定价又称劫掠性定价、掠夺价、有时亦称掠夺性定价歧视,是指一个厂商将价格定在牺牲短期利润以消除竞争对手并在长期获得高利润的行为。
二、简答题10’/个1、为何短期内获得负利润的厂商选择继续生产而不是停业?请解释与这个选择相关的固定成本和沉淀成本。
当P=MR>AVC,厂商宜继续生产(1)厂商继续生产则会有蓝色面积的亏损CPEF发生。
(2)停业负担的总固定成本为面积CBGF。
(3)由于停业负担的总固定成本>继续生产的亏损(蓝色面积),所以理性的厂商仍会选择继续生产。
2、请解释为什么勒纳指数可以度量垄断势力或市场势力,什么决定了利润最大化厂商的勒纳指数的大小?勒纳指数L=(P-MC)/ P,其中p为价格,MC为边际成本。
由于在完全竞争市场结构中价格就等于边际成本,所以其勒纳指数为零。
而在有垄断势力的市场中,垄断厂商按边际成本加成来定价,由此勒纳指数通过度量价格与边际成本偏离程度,反映了市场中垄断力量的强弱。
勒纳指数在0到1之间变动,勒纳指数越大,市场中的垄断力量越强;反之,竞争程度越高。
在市场完全竞争时,勒纳指数等于0。
决定勒纳指数的大小即是价格与边际成本的偏离程度,进一步来讲,垄断厂商利润最大化条件MR=p(1+1/ε)=MC,其中ε为需求的价格弹性,由此,勒纳指数可表示为:L=(p-MC)/p=-1/ε,由此勒纳指数由需求价格弹性决定。
注:黄色标识的是找不到答案,个人整理的,大家再自行斟酌整理~1、产业;产业经济学2、马歇尔冲突规模经济降低生产成本,提高市场占有率,其结果导致市场结构中的垄断因素不断加强;而垄断的形成又必然阻碍竞争机制在资源合理配置中的作用,使经济丧失活力,从而扼杀自由竞争。
3、有效竞争及其三分法有效竞争也称不完全竞争,有效竞争就是既有利于维护竞争又有利于发挥规模经济作用的竞争格局。
贝恩、凯维斯、谢勒等经济学家对产业组织理论做了进一步研究将有效竞争标准从二分法扩展为三分法,即市场结构、市场行为和市场绩效三方面对产业进行分析,简称SCP框架。
市场结构标准:(1)不存在进入和流动的人为限制;(2)存在对上市产品质量差异的价格敏感性;(3)交易者的数量符合规模经济要求。
市场行为标准:(1)企业之间不互相勾结(彩电业);(2)企业不使用排外性的、掠夺性的手段;(3)在推销时不搞欺诈;(4)不存在有害的价格歧视;(5)对抗者对其他人是否会追随其价格变动没有完备信息。
市场绩效标准:(1)利润水平刚好足以酬报创新、效率和投资;(2)质量和产量随着消费者需求而变化;(3)企业努力提高技术,推新产品、新工艺;(4)没有过度的销售开支;(5)每个企业的生产过程是有效率的;(6)最好地满足消费者需求的卖者得到更多的实惠;(7)价格变化不会加剧周期的不稳定。
4、简述哈佛学派、可竞争市场理论及芝加哥学派的主要观点哈佛学派的研究重点是市场结构,认为市场结构决定企业的市场行为而市场行为决定市场资源配置的绩效,因此为了获得良好的市场绩效,必须采取积极的反托拉斯政策和政府管制,以改善市场结构,进而规范企业的市场行为。
可竞争市场理论认为:如果不存在沉没成本,公司能够迅速进入该行业,在位公司由于担心局外竞争者的进入,进入的威胁迫使在位公司维持反映生产成本的价格以及高效率生产,即使行业仅由少数公司组成.也会得到竞争性市场的产量。
最优化价格决策取决于市场结构.芝加哥学派信奉自由市场经济中竞争机制的作用,相信市场力量的自我调节能力,认为市场竞争是市场力量自由发挥作用的过程。
他们还认为企业自身的效率才是决定市场结构和市场绩效的基本因素。
5、交易成本交易成本指达成一笔交易所要花费的成本,也指买卖过程中所花费的全部时间和货币成本。
6、描述交易性质的三个维度分别是什么?如何解释企业的纵向一体化交易性质的三个维度,即资产专用性、不确定性和交易频率。
经济学上,沿产业链占据若干环节的业务布局叫做纵向一体化。
纵向一体化是企业在两个可能的方向上扩展现有经营业务的一种发展战略,它包括前向一体化和后向一体化。
7、市场结构的分类有哪些?完全竞争市场、垄断市场、垄断竞争市场、寡头市场8、决定市场结构的因素分别是什么?(1)规模经济和范围经济;(2)产品的差异程度;(3)进入与退出壁垒;(4)市场需求的增长率;(5)成本结构;(6)技术变化;(7)政府政策。
9、资产专用性资产专用性是指用于特定用途后被锁定很难再移作他用性质的资产,若改作他用则价值会降低,甚至可能变成毫无价值的资产。
10、市场集中度的衡量指标有哪些?市场集中度的衡量指标包括:行业集中度(绝对集中度的衡量指标)洛伦兹曲线(相对集中度的衡量指标)基尼系数(相对集中度的衡量指标)11、产品差异化的含义?它如何影响市场结构?产品差异化指企业在提供给顾客的产品上,通过各种方法造成足以引发顾客偏好的特殊性,使顾客能够把它同其他竞争性企业提供的同类产品有效区别开来,从而达到使企业在市场竞争中占据有利地位的目的。
对市场结构的影响:产品差异是市场结构的一个主要要素,企业控制市场的程度取决于它们使自己的产品差异化的成功程度。
12、简述进入壁垒和退出壁垒的含义和构成因素进入壁垒:是影响市场结构的重要因素,是指产业内既存企业对于潜在进入企业和刚刚进入这个产业的新企业所具有的某种优势的程度。
构成因素:规模经济、必要资本量及埋没费用、产品差别、绝对费用、政治法律、既存企业的战略性阻止行为等。
退出壁垒:是指现有企业在市场前景不好、企业业绩不佳时意欲退出该产业(市场),但由于各种因素的阻挠,资源不能顺利转移出去。
构成因素:埋没费用、解雇费用、固定成本、结合生生产、政策法规13、沉没成本沉没成本是指由于过去的决策已经发生了的,而不能由现在或将来的任何决策改变的成本。
人们在决定是否去做一件事情的时候,不仅是看这件事对自己有没有好处,而且也看过去是不是已经在这件事情上有过投入。
我们把这些已经发生不可收回的支出,如时间、金钱、精力等称为“沉没成本”(Sunk Cost)。
14、掠夺性定价和限制性定价的主要特征和对市场结构的影响掠夺性定价的主要特征:1、其主体为处于卖方地位的经营者,且该经营者具有一定的经济或技术实力。
2、其地域市场为一国的国内市场。
3、其客观表现为暂时以低于成本的价格在市场上连续地销售其商品或提供劳务。
4、其行为者的主观故意是试图排挤竞争对手。
其对市场结构的影响:实施该行为的企业占有一定的市场支配地位,具有资产雄厚、生产规模大、分散经营能力强等竞争优势,所以有能力承担暂时故意压低价格的利益损失,掠夺性定价是以排挤竞争对手为目的的故意行为,实施该行为的企业以低于成本价销售,会造成短期的利益损失,但是这样做的目的是吸引消费者,以此为代价挤走竞争对手,行为人在一定时间达到目的后,会提高销售价格,独占市场。
限制性定价:对市场结构的影响:15、企业兼并的主要动机和对市场结构的影响水平动机:追逐市场势力、获得多工厂经济的好处、消除过剩生产能力、利用企业生命循环中成熟阶段的优势效应,.垂直动机:弥补有限理性的不足、防止机会主义行为产生、避免讨价还价问题、消除下游产业投入品选择中的扭曲现象、改善不完全市场信息的质量、便于实施有利可图的价格歧视策略、提高竞争对手的成本,混合动机:分散风险、降低交易成本,接管低效率企业,构造大企业、经营者追求自身目标最大化。
对市场结构的影响:16、产业结构产业结构是指各产业的构成及各产业之间的联系和比例关系。
各产业部门的构成及相互之间的联系、比例关系不尽相同,对经济增长的贡献大小也不同。
因此,把包括产业的构成、各产业之间的相互关系在内的结构特征概括为产业结构。
注:绿色字体的问题没有找到统一的答案。
17、配第·克拉克定律配第-克拉克定理主要内容为:不同产业间相对收入的差异,会促使劳动力向能够获得更高收入的部门移动,随着人均国民收入水平的提高,劳动力首先由第一次产业向第二次产业移动;当人均国民收入水平进一步提高时,劳动力便向第三次产业移动。
结果,劳动力在产业间的分布呈现出第一次产业人数减少、第二次和第三次产业人数增加的格局。
产业结构理论中,“配第—克拉克定理—克拉克定理”表述为:随着经济的发展,第一次产业国民收入和劳动力的相对比重逐渐下降;第二次产业国民收入和劳动力的相对比重上升,经济进一步发展,第三次产业国民收入和劳动力的相对比重也开始上升。
18、罗斯托的主导产业扩散效应理论和经济成长的阶段罗斯托根据技术标准把经济成长分为阶段划分为传统社会、为起飞创造前提、起飞、成熟、高额群众消费、追求生活质量六个阶段,而每个阶段的演进是以主导产业部门的更替为特征的。
他认为经济成长的各个阶段都存在相应的起主导作用的产业部门,主导部门通过回顾、前瞻、旁侧三重影响带动其它部门发展。
与六个经济成长阶段相对应,罗斯托在《战后二十五年的经济史和国际经济组织的任务》一文中,列出了五种主导部门综合体系:1)作为起飞前提的主导部门综合体系,主要是食品、饮料、烟草、水泥、砖瓦等工业部门;2)替代进口货的消费品制造业综合体系,主要是非耐用消费品的生产;3)重型工业和制造业综合体系,如钢铁、煤炭、电力、通用机械、肥料等工业部门;4)汽车工业综合体系;5)生活质量部门综合体系,主要指服务业、城市和城郊建筑等部门。
罗斯托认为主导部门序列不可任意改变,任何国家都要经历由低级向高级的发展过程。
罗斯托提出的主导部门通过投入产出关系而带动经济增长的看法,以及主导部门并非固定不变的看法、可供借鉴。
19、产业结构变动的影响因素需求结构变化对产业结构的变动的影响最为直接。
首先,产业结构变动取决于中间需求和最终需求的比例。
其次,人均收入水平不同阶段上的个人消费结构。
当收入极为有限而不能满足所有层次需要时,温饱目标至关重要,居民自然倾向于把有限的收入用于购买生活必需品,主要是引导或带动了农业和轻纺工业优先发展,这既是工业化能够起步在需求结构上的根据,也是工业化首先从轻工业起步的需求依据。
再次,消费和投资的比例。
在最终需求中的消费和投资的比例直接决定了消费资料产业同生产资料产业的比例关系,前二者比例的变动直接引起后二者的比例变动。
再次,消费和投资的比例。
在最终需求中的消费和投资的比例直接决定了消费资料产业同生产资料产业的比例关系,前二者比例的变动直接引起后二者的比例变动。
20、两种投入产出表的结构和平衡关系投入产出表由供给表、使用表和产品部门×产品部门表组成。
投入产出表的基本平衡关系有如下三种:(一)各行(横表)的平衡──产品平衡方程:中间产品+最终产品=总产出(二)各列(竖表)的平衡──价值平衡方程:中间投入+最初投入=总投入(三)各行列(横表和竖表)的对应平衡:各部门总产出=该部门总投入21、中间需求率和中间投入率的含义和计算某一产业的中间需求率,是指各产业对某产业产品的中间需求之和,与整个国民经济对该部门产品的总需求之比。
其计算公式为:某一产业的中间投入率是指该产业部门在一定时期内(通常为一年),生产过程中的中间投入与总投入之比。
其计算公式为:22、产业的扩散效应是指发达国家先进工业品的出口将使其工业进一步得到提升,劳动力从农业及其他低端的工业部门流向高端的工业部门,并且由于对技术人员的需求增加,教育随之提高,文化也进一步发展,反过来更促进了经济、社会的进步。
23、产业结构高质化含义及特征产业结构高质化,是指推动产业结构合理化和产业结构高级化发展的过程,是实现产业结构与资源供给结构、技术结构、需求结构相适应的状态。
它是指产业与产业之间协调能力的加强和关联水平的提高,主要依据产业技术经济关联的客观比例关系,遵循再生产过程比例性需求,促进国民经济各产业间的协调发展,使各产业发展与整个国民经济发展相适应。
它遵循产业结构演化规律,通过技术进步,使产业结构整体素质和效率向更高层次不断演进的趋势和过程,通过政府的有关产业政策调整,影响产业结构变化的供给结构和需求结构,实现资源优化配置,推进产业结构的合理化和高级化发展。
24、优势产业地位和衡量标准优势产业则是指那些在当前经济总量中起产出占有的一定份额,运行状态良好、资源配置基本合理,资本营运效率较高,在一定空间区域和时间范围内有较高投入产出比率的产业。