【精准解析】北京市首都师范大学附属中学2020-2021学年高一上学期开学分班考试物理试卷
- 格式:doc
- 大小:1013.77 KB
- 文档页数:18
北京市部分学校2021-2022学年高一上学期期中英语解析版试卷汇编语法填空专题北京市人民大学附属中学2021-2022学年高一上学期期中考试英语试题(解析版)二、用单词的适当形式完成短文阅读下面短文,根据短文内容填空。
在未给提示词的空白处仅填写1 个恰当的单词,在给出提示词的空白处用括号内所给词的正确形式填空。
In the 18th and 19th centuries, most English people____11____ (eat) only two main meals each day. As a result, they often got very hungry during the long break. A Duchess came up with a clever idea to solve this problem. She invited some of her friends to join her for an afternoon meal. It included cakes and sandwiches, and tea was served to wash down the food. ____12____ (make) the afternoon meal more important, she used tea sets made from fine china and silver. Afternoon tea parties soon became popular social occasions, ____13____ is a trend that continues today.阅读下面短文,根据短文内容填空。
在未给提示词的空白处仅填写1 个恰当的单词,在给出提示词的空白处用括号内所给词的正确形式填空。
On the school basketball team Paul used to be nobody but a replacement____14____ skills were not recognized by the coach.Then during one match, when one player accidentally hurt his knee, Paul____15____ (put) onto the court. Paul knew it was his time____16____ (shine). He gave it his best shot and the other team couldn’t even keep up with him. Finally, Paul helped the team win thematch____17____ two points. The crowd couldn’t stop clapping and cheering.阅读下面短文,根据短文内容填空。
2023-2024学年北京师大附属实验中学高一(上)期中数学试卷一、选择题共10小题,每小题4分,共40分,在每小题列出的四个选项中,选出符合题目要求的一项。
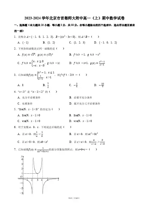
1.已知集合A ={x |x =2k +1,k ∈Z },B ={x |﹣2<x <4},那么A ∩B =( ) A .{﹣1,1}B .{1,3}C .{﹣1,1,3}D .{0,2,4}2.函数f (x )=√1−x 2的定义域是( ) A .[﹣1,1]B .(﹣1,1)C .(﹣∞,﹣1)∪[1,+∞)D .(﹣∞,﹣1)∪(1,+∞)3.下列函数中,在定义域内既是奇函数,又是增函数的是( ) A .y =x 2B .y =x +1C .y =−1xD .y =x 34.已知x >0,则x +9x的最小值为( ) A .﹣3B .3C .6D .105.已知函数f(x)={x 2−1,x ≥1,x −2,x <1.若f (a )=3,则a =( )A .±2B .2C .﹣2D .56.已知函数f (x )是定义在[﹣6,6]上的偶函数,且在[0,6]上单调递增.以下结论正确的是( ) A .f (﹣5)>f (π)>f (﹣2) B .f (π)>f (﹣2)>f (﹣5) C .f (π)>f (﹣5)>f (﹣2)D .f (﹣5)>f (﹣2)>f (π)7.已知函数y =f (x )图象是连续不断的,并且是R 上的增函数,有如下的对应值表以下说法中错误的是( ) A .f (0)<0B .当x >2时,f (x )>0C .函数f (x )有且仅有一个零点D .函数g (x )=f (x )+x 可能无零点8.已知f (x )是定义在R 上的函数,那么“存在实数M ,使得对任意x ∈R 总有f (x )≤M ”是“函数f (x )存在最大值”的( ) A .充分不必要条件 B .必要不充分条件 C .充要条件D .既不充分也不必要条件9.数学里有一种证明方法为无字证明,是指仅用图形而无需文字解释就能不证自明的数学命题.在同一平面内有形状、大小相同的图1和图2,其中四边形ABCD 为矩形,△BCE 为等腰直角三角形,设AB =√a ,BC =√b(b ≥a >0),则借助这两个图形可以直接无字证明的不等式是( )A .a+b 2≥√abB .2aba+b ≤√ab C .a 2+b 2≥2√abD .a+b 2≤√a 2+b 2210.将5个1,5个2,5个3,5个4,5个5共25个数填入一个5行5列的表格内(每格填入1个数),使得同一行中任何两数之差的绝对值不超过2,设第k 行的所有数的和为r k (k =1,2,3,4,5),m 为r 1,r 2,r 3,r 4,r 5中的最小值,则m 的最大值为( ) A .8B .9C .10D .11二、填空题共5小题,每小题5分,共25分。
北京市海淀区首都师范大学附属中学2020-2022学年高二上学期开学考试语文试题及答案(逐题解析)人教版高二北京首师大附中2020-2022学年度第一学期开学考试高二语文2020.9一、现代文阅读(35分)(一)现代文阅读Ⅰ(本题共5小题,19分)阅读下面的文字,完成各题。
材料一共享经济有助于深化我国供给侧结构性改革。
在过去产业模式更新滞后的阶段,经济增速下降,出现了供给失衡的情况:一方面市场提供的产品不符合人们的需求;另一方面部分行业存在产能过剩问题,库存得不到及时有效的解决。
这一状况的解决即供给侧结构性改革。
供给侧结构性改革的目标是优化产能,注重需求方的需求,提升合理的供给能力。
共享经济的出现带动了资源的再分配,使部分资源得以重新组合;衍生出新的商业模式。
共享经济的参与成本低,平台参与度、发展迅速,对传统商业市场造成了冲击,削弱了传统商业模式的竞争力。
以滴滴快车与出租车相比为例,滴滴快车的司机税收政策不明确、收费低、接单多。
而传统的出租车因为投入多、运营成本高,打车费用高而逐渐失去市场占有力。
这自然会引起传统出租车司机和出租车公司的不满,出租车司机抵制“专车”司机的情况屡见不鲜。
共享经济是近年来出现的新的经济模式,我国还未对共享经济颁布明确的责任追究、税收监管等相关的法律法规。
目前,共享经济大都是通过网络手段来进行认证,资质认证门槛较低,交易平台很难提供足够安全的保障,一旦出现问题,现有的法律法规很难厘清真正的责任人。
(摘编自《共享经济的发展现状及治理对策》,《国家治理》37期)材料二2012—中国互联网共享经济行业规模及增长率预测中国网民使用共享经济产品情况调查(摘编自《2018—中国共享经济行业全景研究报告》)材料三在行业成熟度比较高的共享模式中,一些现象偏离了“通过激活社会存量资源来创新经济发展”的初衷。
名曰共享经济,其实是资本市场的包装,往往多于盈利模式的创新;个性化服务的提升,也可能多于社会公共成本的节省。
2023北京北师大二附中高一(上)期中数学一、单选题(共10小题,每题4分,共40分)1. 已知集合{}1,0,2,3A =-,{21,}B xx k k ==-∈N ∣,那么A B = ( )A. {}1,0- B. {}1,2- C. {}0,3 D. {}1,3-2. 命题“x ∀∈R ,2230x x -+>”的否定为( )A. x ∀∈R ,2230x x -+< B. x ∀∈R ,2230x x -+≤C. x ∃∈R ,2230x x -+< D. x ∃∈R ,2230x x -+≤3. 已知0a b <<,则下列不等式中成立的是( )A.11a b< B. a b< C. 0ab < D.2ab b >4. 函数1111y x x=-+-的奇偶性是( )A. 奇函数 B. 偶函数C. 非奇非偶函数D. 既奇函数,又是偶函数5. 函数()35f x x x =--的零点所在的区间是( )A. ()0,1 B. ()1,2C. ()2,3 D. ()3,46. “14m <”是“一元二次方程20x x m ++=”有实数解的A. 充分非必要条件 B. 充分必要条件C. 必要非充分条件D. 非充分非必要条件7. 下图是王老师锻炼时所走的离家距离(S )与行走时间(t )之间的函数关系图,若用黑点表示王老师家的位置,则王老师行走的路线可能是( )是A. B.C. D.8. 函数()221xf x x =+的图象大致为( )A. B.C. D.9. 设f (x )是R 上的偶函数,且在(0,+∞)上是减函数,若x 1<0且x 1+x 2>0,则( )A. f (﹣x 1)>f (﹣x 2)B. f (﹣x 1)=f (﹣x 2)C. f (﹣x 1)<f (﹣x 2)D. f (﹣x 1)与f (﹣x 2)大小不确定10. 已知函数()12f x m x x =-+有三个零点,则实数m 的取值范围为( )A. 1m > B. 01m <<C 12m << D. 1m <-.二、填空题(共5小题,每题5分,共25分)11. 函数()f x =______.12. 函数2122x x y ++=值域是________.13. 若正实数,x y 满足:31x y +=,则xy 的最大值为________.14. 已知函数()221,111,1x x x f x x x⎧-+≤⎪=⎨->⎪⎩,则()()1f f -=______;若关于x 的方程()f x k =恰有两个不同的解,则实数k 的取值范围是______.15. 若使集合{}2()(6)(4)0,A k x kx k x x Z =---≥∈中元素个数最少,则实数k 的取值范围是 ________.三、解答题(共6小题,共85分)16. 已知全集U =R ,集合{}2230A x x x =--<,{}04B x x =<<.(1)求()U A B ⋂ð;(2)设非空集合{}23,D x a x a a =<<+∈R ,若U D A ⊆ð,求实数a 的取值范围.17. 已知函数()211f x x =+,[]2,5x ∈.(1)判断函数()f x 的单调性,并用定义证明你的结论;(2)求不等式()()121f m f m +<-的解集.18. 已知2y x x =-,且()1,1x ∈-.(1)求实数y 的取值集合M ;(2)设不等式()()20x a x a -+-<的解集为N ,若x ∈N 是x M ∈的必要条件,求a 的取值范围.19. 近年来,中美贸易摩擦不断.特别是美国对我国华为的限制.尽管美国对华为极力封锁,百般刁难,并不断加大对各国的施压,拉拢他们抵制华为5G ,然而这并没有让华为却步.华为在2018年不仅净利润创下记录,海外增长同样强劲.今年,我国华为某一企业为了进一步增加市场竞争力,计划在2020年利用新技术生产某款新手机.通过市场分析,生产此款手机全年需投入固定成本250万,每生产x (千部)手机,需另投入成本()R x 万元,且的210100,040()100007019450,40x x x R x x x x ⎧+<<⎪=⎨+-≥⎪⎩,由市场调研知,每部手机售价0.7万元,且全年生产的手机当年能全部销售完.(1)求出2020年的利润()W x (万元)关于年产量x (千部)的函数关系式,(利润=销售额—成本);(2)2020年产量为多少(千部)时,企业所获利润最大?最大利润多少?20. 已知函数()f x 为二次函数,()f x 的图象过点()0,2,对称轴为12x =-,函数()f x 在R 上最小值为74.(1)求()f x 的解析式;(2)当[]2,x m m ∈-,R m ∈时,求函数()f x 的最小值(用m 表示);(3)若函数()()1F x f x ax =--在()0,3上只有一个零点,求a 的取值范围.21. 设整数集合{}12100,,,A a a a =⋯,其中121001···205a a a ≤<<<≤ ,且对于任意(),1100i j i j ≤≤≤,若i j A +∈,则.i j a a A +∈(1)请写出一个满足条件的集合A ;(2)证明:任意{}101,102,,200,x x A ∈⋯∉;(3)若100205a =,求满足条件集合A 的个数.是的2023北京北师大二附中高一(上)期中数学一、单选题(共10小题,每题4分,共40分)1. 已知集合{}1,0,2,3A =-,{21,}B xx k k ==-∈N ∣,那么A B = ( )A. {}1,0- B. {}1,2- C. {}0,3 D. {}1,3-【答案】D 【解析】【分析】根据交集的定义可求A B ⋂.【详解】因为{21,}B xx k k ==-∈N ∣,故B 中的元素为大于或等于1-的奇数,故{}1,3A B =- ,故选:D.2. 命题“x ∀∈R ,2230x x -+>”的否定为( )A. x ∀∈R ,2230x x -+< B. x ∀∈R ,2230x x -+≤C. x ∃∈R ,2230x x -+< D. x ∃∈R ,2230x x -+≤【答案】D 【解析】【分析】根据题意,由全称命题的否定是特称命题,即可得到结果.【详解】因为命题“x ∀∈R ,2230x x -+>”,则其否定为“x ∃∈R ,2230x x -+≤”故选:D3. 已知0a b <<,则下列不等式中成立的是( )A.11a b< B. a b< C. 0ab < D.2ab b >【答案】D 【解析】【分析】根据不等式基本性质,逐一分析四个不等式关系是否恒成立,可得答案.【详解】解:0a b <<Q , 0ab ∴>,故C 错误;的两边同除ab 得:11a b>,故A 错误;a b ∴>,故B 错误;两边同乘b 得:2ab b >,故D 正确;故选D .【点睛】本题以命题的真假判断与应用为载体,考查了不等式恒成立,不等式的基本性质等知识点,难度中档.4. 函数1111y x x=-+-奇偶性是( )A. 奇函数 B. 偶函数C. 非奇非偶函数D. 既是奇函数,又是偶函数【答案】A 【解析】【分析】利用函数的奇偶性定义判定即可.【详解】由函数解析式可知{}1,R x x x ≠±∈,即定义域关于原点对称,又()()()11111111f x f x f x x x x x=-⇒-=-=-+--+,所以函数1111y x x=-+-是奇函数.故选:A5. 函数()35f x x x =--的零点所在的区间是( )A. ()0,1B. ()1,2C. ()2,3D. ()3,4【答案】B 【解析】【分析】利用转化法,结合数形结合思想进行判断即可.【详解】()33505f x x x x x =--=⇒=+函数3y x =和函数5y x =+在同一直角坐标系内图象如下图所示:的一方面()()()()()05,15,21,319,455f f f f f =-=-===,()()120f f <另一方面根据数形结合思想可以判断两个函数图象的交点只有一个,故选:B 6. “14m <”是“一元二次方程20x x m ++=”有实数解的A. 充分非必要条件 B. 充分必要条件C. 必要非充分条件 D. 非充分非必要条件【答案】A 【解析】【详解】试题分析:方程20x x m ++=有解,则11404m m ∆=-≥⇒≤.14m <是14m ≤的充分不必要条件.故A 正确.考点:充分必要条件7. 下图是王老师锻炼时所走的离家距离(S )与行走时间(t )之间的函数关系图,若用黑点表示王老师家的位置,则王老师行走的路线可能是( )A. B.C. D.【答案】C【解析】【分析】根据图象中有一段为水平线段(表示离家的距离一直不变),逐项判断此时对应选项是否满足.【详解】图象显示有一段时间吴老师离家距离是个定值,故他所走的路程是一段以家为圆心的圆弧,所以A、B、D三个选项均不符合,只有选项C符合题意.故选:C .8. 函数()221xf x x =+的图象大致为( )A. B.C. D.【答案】D 【解析】【分析】根据函数的奇偶性判断所给函数的奇偶性,再通过函数值的正负即可判断.【详解】函数()221x f x x =+,则()()()()222211x x f x f x x x --==-=-+-+,即函数为奇函数,则A 、B 错误,当0x >时,()2201xf x x =>+.故D 正确故选:D9. 设f (x )是R 上的偶函数,且在(0,+∞)上是减函数,若x 1<0且x 1+x 2>0,则( )A. f (﹣x 1)>f (﹣x 2)B. f (﹣x 1)=f (﹣x 2)C. f (﹣x 1)<f (﹣x 2)D. f (﹣x 1)与f (﹣x 2)大小不确定【答案】A 【解析】【分析】由条件可得()f x 在(),0∞-上是增函数,根据条件可得120x x >>-,所以()()12f x f x >-,从而得出答案.【详解】()f x 是R 上的偶函数,且在()0,∞+上是减函数故()f x 在(),0∞-上是增函数因为10x <且120x x +>,故120x x >>-;所以有()()12f x f x >-,又因为()()11f x f x ->所以有()()12f x f x ->-故选:A .10. 已知函数()12f x m x x =-+有三个零点,则实数m 的取值范围为( )A. 1m > B. 01m <<C 12m << D. 1m <-【答案】A 【解析】【分析】利用常变量分离法,结合数形给思想进行判断即可.【详解】令()11220f x m x m x x x =⇒=-=++,显然有0x ≠且2x ≠-且0m ≠,于是有()()()()()2,0122,,22,0x x x x x x x x m ∞⎧+>⎪=+=⎨-+∈--⋃-⎪⎩,设()()()()()()2,022,,22,0x x x g x x x x x x ∞⎧+>⎪=+=⎨-+∈--⋃-⎪⎩,它的图象如下图所示:因此要想函数()12f x m x x =-+有三个零点,只需0111m m <<⇒>,故选:A【点睛】方法点睛:解决函数零点个数问题一般的方法就是让函数值为零,然后进行常变量分离,利用数形结合思想进行求解.二、填空题(共5小题,每题5分,共25分)11. 函数()f x =______.【答案】(),1-∞.【解析】【分析】利用二次根式的意义计算即可.【详解】由题意可知101x x ->⇒<,即函数的定义域为(),1-∞.故答案为:(),1-∞12. 函数2122x x y ++=的值域是________.【答案】(0,1]【解析】【分析】根据二次函数的性质求解2()22f x x x =++的范围可得函数2122x x y ++=的值域【详解】解:由22()22(1)1f x x x x =++=++,可得()f x 的最小值为1,2122y x x ∴=++的值域为(0,1].故答案为:(0,1].【点睛】本题考查了函数值域的求法.高中函数值域求法有:1、观察法,2、配方法,3、反函数法,4、判别式法;5、换元法,6、数形结合法,7、不等式法,8、分离常数法,9、单调性法,1011、最值法,12、构造法,13、比例法.要根据题意选择.13. 若正实数,x y 满足:31x y +=,则xy 的最大值为________.【答案】112【解析】【分析】运用基本不等式得出31x y +=≥,化简求得112xy ≤即可.【详解】 正实数,x y 满足:31x y +=,31x y +=≥∴112xy ≤,当且仅当12x =,16y =时等号成立.故答案为112【点睛】本题考查了运用基本不等式求解二元式子的最值问题,关键是判断、变形得出不等式的条件,属于容易题.14. 已知函数()221,111,1x x x f x x x⎧-+≤⎪=⎨->⎪⎩,则()()1f f -=______;若关于x 的方程()f x k =恰有两个不同的解,则实数k 的取值范围是______.【答案】 ①. 34-②. ()0,1【解析】【分析】利用分段函数代入解析式求函数值即可得第一空,利用函数的单调性结合图象得第二空.【详解】易知()()()()314144f ff f -=⇒-==-,又1x ≤时,()22211y x x x =-+=-单调递减,且min 0y =,110x x >⇒>时,11y x=-单调递减,且10y -<<,作出函数()y f x =的图象如下:所以方程()f x k =有两个不同解即函数()y f x =与y k =有两个不同交点,显然()0,1k ∈.故答案为:34-;()0,115. 若使集合{}2()(6)(4)0,A k x kx k x x Z =---≥∈中元素个数最少,则实数k 的取值范围是 ________.【答案】()3,2--【解析】【分析】首先讨论k 的取值,解不等式;再由集合A 的元素个数最少,推出只有0k <满足,若集合A 的元素个数最少,由0k <,集合A =64x Z k x k ⎧⎫∈+≤≤⎨⎬⎩⎭,只需求6k k +的最大值即可,再由集合A 中x ∈Z ,只需654k k-<+<-即可求解.【详解】由题知集合A 内的不等式为2(6)(4)0,kx k x x Z ---≥∈,故当0k =时,可得{}4A x Z x =∈<;当0k >时, 2(6)(4)0kx k x ---≥可转化为24060x kx k -≥⎧⎨--≥⎩ 或24060x kx k -≤⎧⎨--≤⎩,因为64k k <+,所以不等式的解集为{4x x ≤或6x k k ⎫≥+⎬⎭,所以A ={4x Z x ∈≤或6x k k ⎫≥+⎬⎭当0k <时,由64k k +<,所以不等式的解集为64x k x k ⎧⎫+≤≤⎨⎬⎩⎭,所以A =64x Z k x k ⎧⎫∈+≤≤⎨⎬⎩⎭,此时集合A 的元素个数为有限个.综上所述,当0k ≥时,集合A 的元素个数为无限个,当0k <时,集合A 的元素个数为有限个,故当0k <时,集合A 的元素个数最少,且当6k k+ 的值越大,集合A 的元素个数越少,令6()f k k k =+(0k <),则26()1f k k'=-,令()0f k '= 解得k =,所以()f k 在(,-∞内单调递增,在()内单调递减,所以max ()(f k f ==-又因为x ∈Z ,54-<-<-,所以当654k k-<+<-,即32k -<<-时,集合A =64x Z k x k ⎧⎫∈+≤≤⎨⎬⎩⎭中元素的个数最少,故32k -<<-故答案为:()3,2--【点睛】本题主要考查集合的运算和解不等式,综合性比较强.三、解答题(共6小题,共85分)16. 已知全集U =R ,集合{}2230A x x x =--<,{}04B x x =<<.(1)求()U A B ⋂ð;(2)设非空集合{}23,D x a x a a =<<+∈R ,若U D A ⊆ð,求实数a 的取值范围.【答案】(1){}34x x ≤< (2)][()3,23,--⋃+∞【解析】【分析】(1)利用一元二次不等式解法化简集合A ,然后利用补集和交集运算求解即可;(2)根据集合关系列不等式组求解即可.【小问1详解】因为{}2230A x x x =--<,所以{}13A x x =-<<,所以{}13U A x x x =≤-≥或ð,因为{}04B x x =<<,所以(){}34U A B x x ⋂=≤<ð.【小问2详解】因为{}13U A x x x =≤-≥或ð,由题意得23231a a a <+⎧⎨+≤-⎩或233a a a <+⎧⎨≥⎩,解得32a -<≤-或3a ≥.所以实数a 的取值范围是][()3,23,--⋃+∞.17. 已知函数()211f x x =+,[]2,5x ∈.(1)判断函数()f x 的单调性,并用定义证明你的结论;(2)求不等式()()121f m f m +<-的解集.【答案】(1)()f x 在[]2,5x ∈单调递减,证明见解析 (2)322mm ⎧⎫≤<⎨⎬⎩⎭【解析】【分析】(1)根据函数单调性的定义即可作差求解,(2)由函数的单调性即可求解.【小问1详解】()f x 在[]2,5x ∈单调递减,证明如下:设1225x x ≤<≤,则()()()()()()21211222221212111111x x x x f x f x x x x x -+-=-=++++,由于1225x x ≤<≤,所以()()222121120,0,110x x x x x x ->+>++>,因此()()120f x f x ->,故()()12f x f x >,所以()f x 在[]2,5x ∈单调递减,【小问2详解】由(1)知()f x 在[]2,5x ∈单调递减,所以由()()121f m f m +<-得51212m m ≥+>-≥,解得322m ≤<,故不等式解集为322mm ⎧⎫≤<⎨⎬⎩⎭18. 已知2y x x =-,且()1,1x ∈-.(1)求实数y 的取值集合M ;(2)设不等式()()20x a x a -+-<的解集为N ,若x ∈N 是x M ∈的必要条件,求a 的取值范围.【答案】18. 124M y y ⎧⎫=-≤<⎨⎬⎩⎭19. 14a <-或94a >【解析】【分析】(1)根据二次函数的性质即可求解集合M .(2)x ∈N 是x M ∈的必要条件,即M N ⊆,对a 分类讨论,解出不等式()(2)0x a x a -+-<的解集,可得a 的取值范围.【小问1详解】221124y x x x ⎛⎫=-=-- ⎪⎝⎭,的故函数在11,2⎛⎫- ⎪⎝⎭单调递减,在1,12⎛⎫ ⎪⎝⎭,故当12x =时取最小值min 14y =-,当=1x -时,2y =,当1x =时,0y =,故124y -≤<,所以124M y y ⎧⎫=-≤<⎨⎬⎩⎭,【小问2详解】x ∈N 是x M ∈的必要条件,即M N ⊆.当1a >时,2a a >-,此时(2,)N a a =-,所以1242a a ⎧-<-⎪⎨⎪≥⎩,解得94a >;当1a =时,N 为空集,不适合题意,所以1a =舍去; 当1a <时,2a a <-,此时(,2)N a a =-,所以1422a a ⎧<-⎪⎨⎪-≥⎩,解得14a <-综上可得a 取值范围是14a <-或94a >19. 近年来,中美贸易摩擦不断.特别是美国对我国华为的限制.尽管美国对华为极力封锁,百般刁难,并不断加大对各国的施压,拉拢他们抵制华为5G ,然而这并没有让华为却步.华为在2018年不仅净利润创下记录,海外增长同样强劲.今年,我国华为某一企业为了进一步增加市场竞争力,计划在2020年利用新技术生产某款新手机.通过市场分析,生产此款手机全年需投入固定成本250万,每生产x (千部)手机,需另投入成本()R x 万元,且210100,040()100007019450,40x x x R x x x x ⎧+<<⎪=⎨+-≥⎪⎩,由市场调研知,每部手机售价0.7万元,且全年生产的手机当年能全部销售完.(1)求出2020年的利润()W x (万元)关于年产量x (千部)的函数关系式,(利润=销售额—成本);的(2)2020年产量为多少(千部)时,企业所获利润最大?最大利润是多少?【答案】(1)210600250,040()10000()9200,40x x x W x x x x ⎧-+-<<⎪=⎨-++≥⎪⎩; (2)2020年产量为100千部时,企业所获利润最大,最大利润是9000万元.【解析】【分析】(1)根据给定的函数模型,直接计算作答.(2)利用(1)中函数,借助二次函数最值及均值不等式求出最大值,再比较大小作答.【小问1详解】依题意,销售收入700x 万元,固定成本250万元,另投入成本210100,040()100007019450,40x x x R x x x x ⎧+<<⎪=⎨+-≥⎪⎩万元,因此210600250,040()700()25010000()9200,40x x x W x x R x x x x ⎧-+-<<⎪=--=⎨-++≥⎪⎩,所以2020年的利润()W x (万元)关于年产量x (千部)的函数关系式是210600250,040()10000(9200,40x x x W x x x x ⎧-+-<<⎪=⎨-++≥⎪⎩.【小问2详解】由(1)知,当040x <<时,2()10(30)87508750W x x =--+≤,当且仅当30x =时取等号,当40x ≥时,10000()(920092009000W x x x =-++≤-+=,当且仅当10000x x=,即100x =时取等号,而87509000<,因此当100x =时,max ()9000W x =,所以2020年产量为100千部时,企业所获利润最大,最大利润是9000万元.20. 已知函数()f x 为二次函数,()f x 的图象过点()0,2,对称轴为12x =-,函数()f x在R 上最小值为74.(1)求()f x 的解析式;(2)当[]2,x m m ∈-,R m ∈时,求函数()f x 的最小值(用m 表示);(3)若函数()()1F x f x ax =--在()0,3上只有一个零点,求a 的取值范围.【答案】(1)217()()24f x x =++(2)2min2171(),242713(),422373(),242m m f x m m m ⎧++<-⎪⎪⎪=-≤≤⎨⎪⎪-+>⎪⎩(3)13[,3{})3+∞⋃.【解析】【分析】(1)设出函数的解析式,结合函数的对称轴以及函数最值,求出函数的解析式即可;(2)通过讨论m 的范围,求出函数的单调区间,求出函数的最小值即可;(3)根据一元二次方程根的分布,结合零点存在性定理得到关于a 的不等式,解出即可.【小问1详解】设函数2()()f x a x h k =-+,由对称轴为12x =-,函数()f x 在R 上最小值为74可得得217()(24f x a x =++,将(0,2)代入()f x 得:1a =,故217()()24f x x =++;【小问2详解】()f x 的对称轴为12x=-,12m ≤-时,()f x 在[2m -,]m 递减,2min 17()()(24f x f m m ==++,1322m -<<时,()f x 在[2m -,12-递减,在1(2-,]m 递增,故min 17()()24f x f =-=,32m ≥时,()f x 在[2m -,]m 递增,故2min 37()(2)(24f x f m m =-=-+;综上,2min2171(),242713(),422373(),242m m f x m m m ⎧++<-⎪⎪⎪=-≤≤⎨⎪⎪-+>⎪⎩;【小问3详解】2217()()1()1(1)124F x f x ax x ax x a x =--=++--=+-+在(0,3)上只有一个零点,当Δ0=时,即()2140a ∆=--=,解得3a =或1a =-当1a =-时,2210x x ++=,=1x -不满足题意,舍去,当3a =时,2210x x -+=,1x =满足题意,当0∆>时,当()(0)30F F ⋅<,解得133a >,此时()F x 在(0,3)上只有一个零点,由于(0)1F =,当()31330F a =-=时,此时133a =,此时210()103F x x x =+=-,解得13x =或3x =(舍去),满足条件,综上可得133a ≥,综上:a 的取值范围是13[,3{})3+∞⋃.21. 设整数集合{}12100,,,A a a a =⋯,其中121001···205a a a ≤<<<≤ ,且对于任意(),1100i j i j ≤≤≤,若i j A +∈,则.i j a a A +∈(1)请写出一个满足条件的集合A ;(2)证明:任意{}101,102,,200,x x A ∈⋯∉;(3)若100205a =,求满足条件的集合A 的个数.【答案】(1){1,2,3,,100}A = (2)证明见解析 (3)16个【解析】【分析】(1)根据题目条件,令n a n =,即可写出一个集合{1,2,3,,100}A = ;(2)由反证法即可证明;(3)因为任意的{}101,102,,200,x x A ∈⋯∉,所以集合{201,202,,205}A 中至多5个元素.设100100m a b -=≤,先通过判断集合A 中前100m -个元素的最大值可以推出(1100)i a i i m =-≤≤,故集合A 的个数与集合{201,202,203,204}的子集个数相同,即可求出.【详解】(1)答案不唯一. 如{1,2,3,,100}A = ; (2)假设存在一个0{101,102,,200}x ∈ 使得0x A ∈, 令0100x s =+,其中s ∈N 且100s ≤≤1,由题意,得100s a a A +∈,由s a 为正整数,得100100s a a a +>,这与100a 为集合A 中的最大元素矛盾,所以任意{101,102,,200}x ∈ ,x A ∉.(3)设集合{201,202,,205}A 中有(15)m m ≤≤个元素,100m a b -=,由题意,得12100200m a a a -<<< ≤,10011002100200m m a a a -+-+<<<< ,由(2)知,100100m a b -=≤.假设100b m >-,则1000b m -+>.因为10010010055100b m m -+-+=<-≤,由题设条件,得100100m b m a a A --++∈,因为100100100100200m b m a a --+++=≤,所以由(2)可得100100100m b m a a --++≤,这与100m a -为A 中不超过100的最大元素矛盾,所以100100m a m --≤,第21页/共21页又因为121001m a a a -<<< ≤,i a ∈N ,所以(1100)i a i i m =-≤≤. 任给集合{201,202,203,204}的1m -元子集B ,令0{1,2,,100}{205}A m B =- , 以下证明集合0A 符合题意:对于任意,i j 00)(1i j ≤≤≤1,则200i j +≤.若0i j A +∈,则有m i j +≤100-,所以i a i =,j a j =,从而0i j a a i j A +=+∈.故集合0A 符合题意,所以满足条件的集合A 的个数与集合{201,202,203,204}的子集个数相同,故满足条件的集合A 有4216=个.【点睛】本题主要考查数列中的推理,以及反证法的应用,解题关键是利用题目中的递进关系,找到破解方法,意在考查学生的逻辑推理能力和分析转化能力,属于难题.。
北京市朝阳区首都师范大学附属中学朝阳学校2024-2025学年度高三年级第一学期9月统考化学试卷(考试时间:70分钟 满分:100分)班级:姓名:考号:考生须知1.本试卷共8页,满分100分,考试时长70分钟。
2.在试卷和答题卡上准确填写班级、姓名、考号。
3.试题答案一律填涂或书写在答题卡上,在试卷上作答无效。
4.在答题卡上,选择题用2B 铅笔作答,其他试题用黑色字迹签字笔作答。
一、选择题本部分共14题,每题3分,共42分。
在每题列出的四个选项中,选出最符合题目要求的一项。
1.(3分)书法是中华文化之瑰宝,“无色而具画图的灿烂,无声而有音乐的和谐”,书法之美尽在笔墨纸砚之间。
下列关于传统文房四宝的相关说法正确的是( )A .墨汁是一种水溶液B .宣纸是合成高分子材料C .砚石的成分与水晶相同D .制笔用的狼毫主要成分是蛋白质2.(3分)下列化学用语或模型正确的是()A .的电子式:B .的空间结构:C .的结构示意图:D .的空间填充模型3.(3分)下列说法不正确的是()A .通过X 射线衍射可测定青蒿素晶体的结构B .利用盐析的方法可将蛋白质从溶液中分离C .苯酚与甲醛通过加聚反应得到酚醛树脂D .可用新制氢氧化铜悬浊液鉴别苯、乙醛和醋酸溶液4.(3分)为阿伏加德罗常数的值。
下列叙述正确的是()A .0.50mol分子中共价键的数目为2B .标准状况下,2.24L 中电子的数目为4.002CO :O:C :O :4P 3Al3CH CHO A N AN 3SO ANC .pH=2的溶液中的数目为0.02D .常温常压下,28g CO 和的混合气体原子数目为25.(3分)2022年诺贝尔化学奖授予研究“点击化学”的科学家。
如图所示化合物是“点击化学”研究中的常用分子。
关于该化合物,说法不正确的是()A .能发生加成反应B .最多能与等物质的量的NaOH 反应C .能使溴水和酸性溶液褪色D .能与氨基酸和蛋白质中的氨基反应6.(3分)下列反应的离子方程式正确的是()A .碘化亚铁溶液与等物质的量的氯气:B .向次氯酸钙溶液通入足量二氧化碳:C .铜与稀硝酸:D .向硫化钠溶液通入足量二氧化硫:7.(3分)化学烫发巧妙利用了头发中蛋白质发生化学反应实现对头发的“定型”,其变化过程示意图如图。
北京师大二附中2024—2025学年高一年级第一学期数学期中测试题本试卷共4页,150分.考试时长120分钟.考生务必将答案答在答题卡上,在试卷上作答无效.考试结束后,只收答题纸,不收试卷.一、单选题1.下列说法不正确的是( ) A.B.C.D.2.已知集合,则集合中元素的个数是( )A.1B.3C.5D.93.某车间分批生产某种产品,每批的生产准备费用为800元.若每批生产件,则平均仓储时间为天,且每件产品每天的仓储费用为1元.为使平均到每件产品的生产准备费用与仓储费用之和最小,每批应生产产品()A.60件B.80件C.100件D.120件4.“运动改造大脑”,为了增强身体素质,某班学生积极参加学校组织的体育特色课堂,课堂分为球类项目A 、径赛项目B 、其他健身项目C .该班有25名同学选择球类项目A ,20名同学选择径赛项目B ,18名同学选择其他健身项目C ;其中有6名同学同时选择A 和名同学同时选择A 和C ,3名同学同时选择B 和.若全班同学每人至少选择一类项目且没有同学同时选择三类项目,则这个班同学人数是( )A.51B.50C.49D.485.用二分法求函数的零点,经过若干次运算后函数的零点在区间内,当(为精确度)时,函数零点的近似值与真实零点的误差的取值范围为( )A. B. C. D.6.已知关于的不等式的解集为,则实数的取值范围是( )A.B.C.D.7.设是定义在上的函数,若存在两个不等实数,使得,则称函数具有性质,那么下列函数:①;②;③;具*0∈N 0∈N 0.1∉Z 2∈Q{}0,1,2A ={},B x yx A y A =-∈∈∣x 8x,4B C (),a b a b ε-<ε02a bx +=0,4ε⎡⎫⎪⎢⎣⎭0,2ε⎡⎫⎪⎢⎣⎭[)0,ε[)0,2εx 210mx mx +->∅m ()(),40,∞∞--⋃+[)4,0-][(),40,∞∞--⋃+[]4,0-()f x R 12,x x ∈R ()()121222f x f x x x f ++⎛⎫=⎪⎝⎭()f x P ()1,00,0x f x x x ⎧≠⎪=⎨⎪=⎩()2f x x =()21f x x =-有性质的函数的个数为( )A.0B.1C.2D.38.已知“非空集合的元素都是集合的元素”是假命题,给出下列四个命题:①中的元素不都是的元素;②的元素都不是的元素;③存在且;④存在且;这四个命题中,真命题的个数为( )A.1个B.2个C.3个D.4个9.已知函数,则的定义域为( )A. B. C. D.10.已知函数,若存在区间,使得函数在上的值域为,则实数的取值范围是()A. B.C. D.二、填空题11.下列集合:①;②;③;④;⑤;⑥方程的实数解组成的集合.其中,是空集的所有序号为__________.12.若集合只含一个元素,则__________.13.若二次函数图象关于对称,且,则实数的取值范围是__________.14.若关于的不等式的解集中只有一个元素,则实数的取值集合为__________.15.若关于的方程的两个实数根是,则的最小值是__________.三、解答题16.设集合中的三个元素分别为,集合中的三个元素分别为.已知,求的值.17.已知集合,其中至少有一个集合不是空集,求实数的取值范围.P M P M P M P x P ∈x M ∈x M ∈x P ∉()f x =()()1212g x f x x =-+-3,2∞⎡⎫+⎪⎢⎣⎭()3,22,2∞⎡⎫⋃+⎪⎢⎣⎭()3,22,4∞⎡⎫⋃+⎪⎢⎣⎭()(),22,∞∞-⋃+()f x m =+[](),1a b b a >≥-()f x [],a b []2,2a b m 178m >-102m <≤2m ≤-1728m -<≤-{}0{}21,0,M xx n x n ==+<∈R ∣{}∅∅(){}0,0210x+={}2210M xax x =++=∣a =()y f x =2x =()()()01f a f f <<a x 212kx x k ≤++≤k m 2260m am a -++=,x y 22(1)(1)x y -+-A ,0,1a -B 1,,1c b a b++A B =,,a b c {}(){}{}22224430,10,220A xx ax a B x x a x a C x x ax a =+-+==+-+==+-=∣∣∣a18.已知关于的不等式.(1)若,求不等式的解集;(2)若不等式的解集为,求实数的范围.19.已知函数,且.(1)求实数的值;(2)判断函数在上的单调性,并证明;(3)求函数在上的最值.20.定义在区间上的函数满足,且对任意的都有.(1)证明:对任意的都有;(2)求的值;(3)计算.21.已知函数.(1)若函数在上单调递增,求实数的取值范围;(2)若存在实数使得关于的方程恰有三个不相等的实数根,求实数的取值范围.答案一、单选题1.A2.C3.B4.B5.B6.D7.C8.B9.C10.D二、填空题11.②④⑥12.0或113.14.15.8x ()221x x a a -->∈R 1a =R a ()2a f x x x =-()922f =a ()f x ()1,∞+()f x []2,3[]0,1()f x ()()010f f ==[]12,0,1x x ∈()()12122x x f f x f x +⎛⎫≤+ ⎪⎝⎭[]0,1x ∈()0f x ≥34f ⎛⎫ ⎪⎝⎭202411112422k ff f f ⎛⎫⎛⎫⎛⎫⎛⎫+++++⎪ ⎪ ⎪ ⎪⎝⎭⎝⎭⎝⎭⎝⎭()()2f x x x a x a =-+∈R ()f x R a []0,4a ∈x ()()0f x tf a -=t ()(),04,∞∞-⋃+三、解答题16.因为,所以,解得,所以的值分别为.17.当三个集合全是空集时,所对应的三个方程都没有实数解,即解此不等式组,得.所以所求实数的取值范围为.18.(1)时,原不等式为,整理,得,对于方程,因为,所以它有两个不等的实数根,解得结合函数的图象得不等式的解集为或.(2)原不等式可化为,由于不等式解集为,结合函数图象可知,方程无实数根,所以,所以的范围是.19.(1)因为,且,所以,所以.(2)函数在上单调递增.证明如下:1,0AB a b =≠+10,1,1c b a a b+==-=+1,2,2a b c ==-=,,a b c 1,2,2-()2122223Δ164430,Δ(1)40,Δ480.a a a a a a ⎧=--+<⎪=--<⎨⎪=+<⎩312a -<<-a [)3,1,2∞∞⎛⎤--⋃-+ ⎥⎝⎦1a =2211x x -->2220x x -->2220x x --=Δ120=>1211x x ==+222y x x =--{1x x <-∣1x >+2210x x a --->R 221y x x a =---2210x x a ---=()Δ441840a a =++=+<a {2}aa <-∣()2a f x x x =-()922f =9422a -=1a =-()f x ()1,∞+由(1)可得,,任取,不妨设,则因为且,所以,所以,即,所以在上单调递增.(3)由(2)知,函数在上单调递增,则当时,有最小值;当时,有最大值.20.(1)任取,则有,即,于是,所以,对任意的都有.(2)由,得,于是,但由(1)的结果知,所以,()12f x x x=+()12,1,x x ∞∈+12x x <()()2121211122f x f x x x x x ⎛⎫-=+-+ ⎪⎝⎭()2121112x x x x ⎛⎫=-+- ⎪⎝⎭()1221122x x x x x x -=-+()211212x x x x ⎛⎫=-- ⎪⎝⎭()()21121221x x x x x x --=()12,1,x x ∞∈+12x x <2112120,210,0x x x x x x ->->>()()210f x f x ->()()21f x f x >()f x ()1,∞+()f x []2,32x =()f x ()922f =3x =()f x ()1933f =[]120,1x x x ==∈()()22x f f x f x ⎛⎫≤+ ⎪⎝⎭()()2f x f x ≤()0f x ≥[]0,1x ∈()0f x ≥()()010f f ==()()01010002f f f +⎛⎫≤+=+=⎪⎝⎭102f ⎛⎫≤ ⎪⎝⎭102f ⎛⎫≥⎪⎝⎭102f ⎛⎫= ⎪⎝⎭由,则,于是,由(1)的结果知,所以.(3)由,得,于是,但由(1)的结果知,所以,继续求下去,可得,因此,.21.(1).由在上是增函数,则即,则范围为.(2)当时,在上是增函数,则关于的方程不可能有三个不等的实数根.当时,由,得时,对称轴,则在为增函数,此时的值域为;时,对称轴,则在为增函数,此时的值域为,在为减函数,此时的值域为;()10,102f f ⎛⎫== ⎪⎝⎭()1112100022f f f ⎛⎫+ ⎪⎛⎫≤+=+= ⎪ ⎪⎝⎭ ⎪⎝⎭304f ⎛⎫≤ ⎪⎝⎭304f ⎛⎫≥⎪⎝⎭304f ⎛⎫= ⎪⎝⎭()100,02f f ⎛⎫== ⎪⎝⎭()1012000022f f f ⎛⎫+ ⎪⎛⎫≤+=+= ⎪ ⎪⎝⎭ ⎪⎝⎭104f ⎛⎫≤ ⎪⎝⎭104f ⎛⎫≥⎪⎝⎭211042f f ⎛⎫⎛⎫== ⎪ ⎪⎝⎭⎝⎭10,1,2,3,,20242k f k ⎛⎫== ⎪⎝⎭2024111102422k f f f f ⎛⎫⎛⎫⎛⎫⎛⎫+++++=⎪ ⎪ ⎪ ⎪⎝⎭⎝⎭⎝⎭⎝⎭()()()222,22,x a x x a f x x x a x x a x x a ⎧+-≥⎪=-+=⎨-++<⎪⎩()f x R 2,22,2a a a a -⎧≥-⎪⎪⎨+⎪≤⎪⎩22a -≤≤a 22a -≤≤22a -≤≤()f x R x ()()0f x tf a -=(]2,4a ∈()()()222,2,x a x x a f x x a x x a ⎧+-≥⎪=⎨-++<⎪⎩x a ≥()()22f x x a x =+-22a x -=()f x [),x a ∞∈+()f x ())[),2,f a a ∞∞⎡+=+⎣x a <()()22f x x a x =-++22a x +=()f x 2,2a x ∞+⎛⎤∈- ⎥⎝⎦()f x 2(2),4a ∞⎛⎤+- ⎥⎝⎦()f x 2,2a x ∞+⎡⎫∈+⎪⎢⎣⎭()f x 2(2)2,4a a ⎛⎤+ ⎥⎝⎦由存在,方程有三个不相等的实根,则,即存在,使得即可,令,只要使即可,而在上是增函数,,故实数的取值范围为.综上所述,实数的取值范围为.(]2,4a ∈()()2f x tf a ta ==2(2)22,4a ta a ⎛⎫+∈ ⎪⎝⎭(]2,4a ∈2(2)1,8a t a ⎛⎫+∈ ⎪⎝⎭()2(2)8a g a a +=()max ()t g a <()g a (]2,4a ∈()max 9()48g a g ==t 91,8⎛⎫⎪⎝⎭t 91,8⎛⎫⎪⎝⎭。
2023-2024学年北京市首都师大附中高一(上)期中数学试卷一、选择题(本大题共10小题,每小题5分,共50分。
在每小题给出的四个选项中,选出符合题目要求的一项)1.设集合A ={﹣1,0,1,2,3},B ={x |x 2﹣3x <0},则A ∩B =( ) A .{﹣1}B .{1,2}C .{1,2,3}D .{﹣1,0,1,2}2.下列各组函数表示同一函数的是( ) A .f(x)=√x 2,g(x)=(√x)2B .f (x )=1,g (x )=x 0C .f (x )={x ,x ≥0−x ,x <0,g (x )=|x |D .f (x )=x +1,g(x)=x 2−1x−13.已知函数f(x)={x 2−1,x ≤11x−1,x >1,则f (f (﹣2))=( )A .8B .12C .−34D .−1094.“x <3”是“|x ﹣1|<2”的( ) A .充分不必要条件 B .必要不充分条件 C .充要条件D .既不充分又不必要条件5.“∃x ∈N ,x ﹣1<0”的否定为( ) A .∃x ∈N ,x ﹣1≥0 B .∃x ∉N ,x ﹣1≥0 C .∀x ∉N ,x ﹣1≥0D .∀x ∈N ,x ﹣1≥06.对于实数a ,b ,c ,下列说法正确的是( ) A .若a >b ,则1a<1bB .若a >b ,则ac 2>bc 2C .若a >0>b ,则ab <a 2D .若c >a >b ,则ac−a>b c−b7.已知函数f(x)=1ax 2+bx+c的部分图象如图所示,则a +b +c =( )A .﹣6B .6C .﹣3D .38.定义在R 上的偶函数f (x )满足:对任意的x 1,x 2∈[0,+∞)(x 1≠x 2),都有f(x 2)−f(x 1)x 2−x 1<0,且f (3)=0,则不等式xf (x )>0的解集是( ) A .(﹣3,0)B .(﹣3,0)∪(3,+∞)C .(﹣∞,﹣3)∪(0,3)D .(﹣∞,﹣3)∪(3,+∞)9.命题“∀x ∈[1,2],2ax +11x ≥0”为真命题的一个充分不必要条件是( ) A .a ≥﹣1B .a ≥﹣2C .a ≥﹣3D .a ≥﹣410.对实数a 和b ,定义运算“◎”:a ◎b ={a ,(a −b ≤1)b ,(a −b >1),设函数f (x )=(x 2﹣2)◎(x ﹣x 2),x ∈R .若函数y =f (x )﹣c 的图像与x 轴恰有3个公共点,则实数c 的取值范围是( ) A .(﹣2,﹣1] B .(−∞,−2]∪(−1,−34) C .(−34,+∞)D .(﹣1,+∞)二、填空题(本大题共5小题,每小题4分,共20分) 11.函数f (x )=√9−x 2x的定义域为 .12.已知函数f (x )是定义在(﹣∞,+∞)上的偶函数.当x ∈(﹣∞,0)时,f (x )=x ﹣x 4,则当x ∈(0,+∞)时,f (x )= .13.运货卡车以每小时x 千米的速度匀速行驶130千米,按交通法规限制50≤x ≤100(单位:千米/时).假设汽油的价格是每升6元,而汽车每小时耗油(6+x 2360)升,司机的工资是每小时24元.则这次行车的总费用最低为 元.14.若关于x 的不等式ax ﹣b >0的解集为{x |x <1},则关于x 的不等式ax+b x−2>0的解集为 .15.下列四个命题:①若a >b >0,a >m >0,则b−m a−m<b a<b+m a+m;②函数f(x)=x +4x+1的最小值是3;③已知x >0,y >0,且x +y =1,则1x+1y 的最小值是4;④已知正实数x ,y 满足xy +2x +y =4,则x +y 的最小值为2√6−3. 其中所有正确命题的序号是 .三、解答题(本大题共5小题,共50分.解答应写出文字说明,演算步骤或证明过程)16.(8分)设集合A ={x |﹣2≤x ≤5},B ={x |m ﹣1≤x ≤2m +1}. (1)若m =3,求∁R (A ∪B ); (2)若B ⊆A ,求m 的取值范围.17.(8分)已知函数f (x )=x 2﹣(a +b )x +2a .(1)若关于x 的不等式f (x )<0的解集为{x |1<x <2},求a ,b 的值; (2)当b =2时,解关于x 的不等式f (x )>0. 18.(12分)已知函数f(x)=ax+b 4−x 2是定义在(﹣2,2)上的奇函数,且f(1)=23.(1)求实数a 和b 的值;(2)判断函数f (x )在(﹣2,2)上的单调性,并证明你的结论; (3)若f (t 2﹣1)+f (1﹣t )<0,求t 的取值范围.19.(10分)已知函数f (x )的定义域为R ,并且满足下列条件:①f (﹣1)=1;②对任意x ,y ∈R ,都有f (x +y )=f (x )+f (y );③当x >0时,f (x )<0. (Ⅰ)求f (0),f (2)的值; (Ⅱ)证明:f (x )为奇函数;(Ⅲ)解关于x 的不等式f (x 2+2x )﹣f (2﹣x )>﹣2.20.(12分)对于函数f (x ),若存在实数x 0,使得f (x 0)=x 0成立,则称x 0为f (x )的“不动点”. (Ⅰ)设函数f(x)=3x+2x+2,求f (x )的不动点;(Ⅱ)设函数f (x )=ax 2+(b +1)x +b ﹣2(a ≠0),若对于任意的实数b ,函数f (x )恒有两相异的不动点,求实数a 的取值范围;(Ⅲ)设函数f (x )定义在(﹣∞,+∞)上.证明:若f (f (x ))存在唯一的不动点,则f (x )也存在唯一的不动点.2023-2024学年北京市首都师大附中高一(上)期中数学试卷参考答案与试题解析一、选择题(本大题共10小题,每小题5分,共50分。
2024届首都师范大学附属中学物理高一上期中调研试题注意事项:1.答卷前,考生务必将自己的姓名、准考证号填写在答题卡上。
2.回答选择题时,选出每小题答案后,用铅笔把答题卡上对应题目的答案标号涂黑,如需改动,用橡皮擦干净后,再选涂其它答案标号。
回答非选择题时,将答案写在答题卡上,写在本试卷上无效。
3.考试结束后,将本试卷和答题卡一并交回。
一、选择题:本大题共10小题,每小题5分,共50分。
在每小题给出的四个选项中,有的只有一项符合题目要求,有的有多项符合题目要求。
全部选对的得5分,选对但不全的得3分,有选错的得0分。
1、如图所示,一辆汽车做匀加速直线运动,经过路旁两棵相距50m的树共用时间5s,它经过第二棵树时的速度是15m/s,则它经过第一棵树时的速度是( )A.2m/s B.10m/s C.2.5m/s D.5m/s2、质点做匀变速直线运动的位移与时间的关系为x=5t+t2(各物理量均采用国际单位),则该质点( )A.第1s内的位移是5m B.t=1s时的速度是6m/sC.任意相邻的1s内位移差都是2m D.任意1s内的速度增量都是1m/s3、一个物体以初速度1 m/s做匀加速直线运动,经过一段时间后速度增大为7 m/s,则A.该加速过程中物体平均速度为4 m/sB.物体在该运动过程位移中点的瞬时速度为4 m/sC.将该过程分为两段相等时间,则物体先后两段相等时间内的位移之比是6∶11D.将该过程分为两段相等位移,则物体先后两段位移所用时间之比是1∶(-1)4、如图所示,一小球被限制在x=0与x=x1之间运动,设开始时小球从x=0处以速度v0向右运动,假定小球在区间内运动时能保持恒定速率,且每次在x=0或x=x1处碰撞返回后,其速率减为原来速率的一半.则下列图中描述小球自运动开始后至第二次回到x=0处的位移—时间图正确的是( )A.B.C.D.5、下列关于摩擦力的说法正确的是()A.滑动摩擦力的方向总是与物体的运动方向相反B.两物体间有弹力就一定有摩擦力C.两物体间的摩擦力大小和它们间的压力一定成正比D.两个运动的物体之间可能存在静摩擦力,且静摩擦力的方向可以与物体运动的方向成任意夹角6、下图中,P物体对Q物体的压力的示意图,有明显错误的是()A.B.C.D.7、如图所示,一质量为m的木块靠在竖直粗糙的墙壁上,且受到水平力F的作用,下列说法正确的是()A.若木块静止,当F增大时,木块受到的静摩擦力随之增大B.若木块沿墙壁向下运动,则墙壁对木块的摩擦力大小为μFC.若开始时木块静止,当撤去F后,木块沿墙壁下滑时,木块不受滑动摩擦力作用D.木块对墙壁的压力是墙壁形变而产生的,墙壁对木块的支持力是木块形变而产生的8、下列物理量是矢量的是()A.位移B.加速度C.平均速率D.时间9、如图甲所示,轻弹簧竖直放置,下端固定在水平地面上,一质量为m的小球,从离弹簧上端高h处由静止释放。
北京首都师范大学附属中学2023-2024学年高一上学期10月月考数学试题一、单选题1.下列各式:①{}10,1,2∈;②{}0,1,2∅⊆;③{}{}10,1,2∈;④{}{}0,1,22,0,1=,其中错误的个数是()A .1个B .2个C .3个D .4个2.命题“2x ∃<,220x x -<”的否定是()A .2x ∃≤,220x x -≥B .2x ∀≥,02x <<C .2x ∃<,220x x -≥D .2x ∀<,0x ≤或2x ≥3.将下列多项式因式分解,结果中不含因式()2x +的是()A .224x x +B .2312x -C .26x x +-D .()()228216x x -+-+4.若集合{}{3},21,Z A xx B x x n n =<==+∈∣∣,则A B = ()A .()1,1-B .()3,3-C .{}1,1-D .{}3,1,1,3--5.如图,I 是全集,M 、P 、S 是I 的3个子集,则阴影部分所表示的集合是()A .()M P SB .()M P SC .()M P SD .()M P S6.已知p :111x <+,q :()10x x +<,则p 是q 的()A .充分不必要条件B .必要不充分条件C .充分必要条件D .既不充分也不必要条件7.下列结论成立的是()A .若ac bc <,则a b >B .若a b >,则22a b >C .若a b >,则11a b<D .若110a b<<,则0b a <<8.设集合11,Z ,,Z 3663k k M x x k N x x k ⎧⎫⎧⎫==+∈==+∈⎨⎬⎨⎬⎩⎭⎩⎭||,则()A .M N=B .MN C .N MD .M N ⋂=∅9.若,,A B C 为三个集合,A B B C ⋃=⋂,则一定有()A .A C⊆B .C A⊆C .A C¹D .A ≠∅10.设()C M 表示非空集合M 中元素的个数,已知非空集合,A B .定义()(),()()()(),()()C A C B C A C B A B C B C A C A C B -≥⎧⊗=⎨-<⎩,若{}1,2A =,()(){}2220B x x ax x ax =+++=且1A B ⊗=,则实数a 的所有取值为()A .0B .0,-C .0,D .-,0,二、填空题11.方程组322327x y x y +=⎧⎨-=⎩的解集用列举法表示为.12.若“25x m >-”是“|x |<1”的必要不充分条件,则实数m 的取值范围是13.设a ,b ∈R ,集合{}2,0,1{,,0}a a b -=,则a b +的值是.14.已知集合{}|3A x a x =≤≤,{}|0B x x =<,若A B =∅ ,则实数a 的取值范围是.15.当两个集合中有一个集合为另一个集合的子集时,称两个集合之间构成“全食”;当两个集合有公共元素,但互不为对方子集时,称两个集合之间构成“偏食”,对于集合11,,12A ⎧⎫=-⎨⎬⎩⎭,{}2B x x a ==|.若A 与B 构成“全食”,则a 的取值范围是;若A 与B 构成“偏食”,则a的取值范围是.三、解答题16.已知全集R U =,集合{R |211}A x x =∈-≤,集合{R |12}B x x =∈-<≤.(1)求集合A B ⋂及()U A B ⋃ð;(2)若集合{|2,0}=∈≤<>C x R a x a a ,且C B ⊆,求实数a 的取值范围.17.已知关于x 的一元二次方程()22230x m x m +-+=有两个实数根1x ,2x .(1)求实数m 的取值范围;(2)若12126x x x x +=-,求m 的值.18.已知全集R U =,812x A xx ⎧⎫+=>⎨⎬-⎩⎭,{}22240B x x mx m =-+-<,{}14C x x =-<<,在①U x A ∈ð;②x A C ∈ ;③x A C ∈⋃;这三个条件中任选一个补充到下列问题中并作答.问题:设p :______,q :x B ∈,是否存在实数m ,使得p 是q 的必要不充分条件?若实数m 存在,求m 的取值范围;若实数m 不存在,说明理由.19.已知集合{}1,2,,A n =⋅⋅⋅(3n ≥),A 表示集合A 中的元素个数,当集合A 的子集i A 满足2i A =时,称i A 为集合A 的二元子集,若对集合A 的任意m 个不同的二元子集1A ,2A ,…,m A ,均存在对应的集合B 满足:①B A ⊆;②B m =;③1i B A ≤ (1i m ≤≤),则称集合A 具有性质J .(1)当3n =时,若集合A 具有性质J ,请直接写出集合A 的所有二元子集以及m 的一个取值;(2)当6n =,4m =时,判断集合A 是否具有性质J ?并说明理由.参考答案:题号12345678910答案ADCCCDDBAD1.A【分析】根据集合与集合的关系,元素与集合的关系即可求解.【详解】由元素与集合的关系可知{}10,1,2∈正确,{}{}10,1,2∈不正确,由集合之间的关系知{}0,1,2∅⊆正确,由集合中元素的无序性知{}{}0,1,22,0,1=正确,故错误的个数为1,故选:A【点睛】本题主要考查了元素与集合的关系,集合的子集,集合的相等,属于容易题.2.D【分析】根据存在量词命题的否定是全称量词命题即可得到结果.【详解】命题“2x ∃<,220x x -<”是存在量词命题,又22002x x x -<⇒<<,所以其否定为全称量词命题,即为“2x ∀<,0x ≤或2x ≥”.故选:D.3.C【分析】利用提取公因式法判断A ,利用公式法判断B ,利用十字相乘法判断C 、D.【详解】对于A.原式()22x x =+,不符合题意;对于B.原式()()()234322x x x =-=+-,不符合题意;对于C.原式()()23x x =-+,符合题意;对于D.原式()()22242x x =-+=+,不符合题意.故选:C.4.C【分析】解绝对值不等式得A ,根据交集的定义计算即可.【详解】解3x <得33x -<<,即()3,3A =-,B 为奇数集,故{}1,1A B =- .故选:C 5.C【分析】根据Venn 图表示的集合运算作答.【详解】阴影部分在集合,M P 的公共部分,但不在集合S 内,表示为()⋂⋂M P S ,故选:C .6.D【分析】分别求出,p q ,再分析出,p q 的推导关系.【详解】()11110010111x x x x x x -<⇒-<⇒<⇒+>+++,所以:0p x >或1x <-,而:10q x -<<,所以p 是q 的既不充分也不必要条件,故选:D 7.D【分析】根据不等式的性质或举出反例对各选项逐一判断即可.【详解】选项A :当0c >时,若ac bc <,则a b <,当0c <时,若ac bc <,则a b >,故A 说法错误;选项B :若1a =,2b =-满足a b >,此时22a b <,故B 说法错误;选项C :当0a b >>或0a b >>时,11a b<,当0a b >>时,11a b >,故C 说法错误;选项D :当110a b<<时,0ab >,所以不等式同乘ab 可得0b a <<,故D 说法正确;故选:D 8.B【分析】根据集合,M N 的表达式,可求出集合M 是16的奇数倍,N 是16的整数倍,即可得出,M N 的关系.【详解】由()11,Z 21,Z 366k M x x k x x k k ⎧⎫⎧⎫==+∈==+∈⎨⎬⎨⎬⎩⎭⎩⎭||可知,集合M 表示的是16的奇数倍;由()11,Z 2,Z 636k N x x k x x k k ⎧⎫⎧⎫==+∈==+∈⎨⎬⎨⎬⎩⎭⎩⎭||可知,集合N 表示的是16的整数倍;即可知M 是N 的真子集,即M N .故选:B 9.A【分析】由已知等式可推导得到A B C ⊆⊆,由此可依次判断各个选项得到结果.【详解】A B B C ⋃=⋂ ,A B B ∴⊆ ,B B C ⊆ ,A B ∴⊆,B C ⊆,即A B C ⊆⊆;对于A ,A B C ⊆⊆ ,A C ∴⊆,A 正确;对于B ,当且仅当A B C ==时,C A ⊆,B 错误;对于C ,当A B C ==时,满足A B C ⊆⊆,C 错误;对于D ,当A =∅时,满足A B C ⊆⊆,D 错误.故选:A.10.D【分析】由题意可得集合B 中的元素个数为1个或3个,分集合B 中的元素个数为1和集合B 中的元素个数为3两种情况,再结合一元次方程根的个数求解即可.【详解】解:由()()2220x ax x ax +++=可得20x ax +=或220x ax ++=,又因为{}1,2A =,1A B ⊗=,所以集合B 中的元素个数为1个或3个,当集合B 中的元素个数为1时,则20x ax +=有两相等的实数根,且220x ax ++=无解,所以22080a a ⎧=⎨-<⎩,解得0a =;当集合B 中的元素个数为3时,则20x ax +=有两不相等的实数根,且220x ax ++=有两个相等且异于方程20x ax +=的根的解,所以20Δ80a a ≠⎧⎨=-=⎩,解得a =a =-综上所述,0a =或a =a =-故选:D.【点睛】关键点睛:本题的关键是根据题意得出集合B 中的元素个数为1个或3个.11.(){}3,7-【分析】首先根据方程组求出其解,然后运用列举法表示出对应的解集即可(以有序数对(),a b 的形式表示元素).【详解】因为322327x y x y +=⎧⎨-=⎩,所以37x y =⎧⎨=-⎩,所以列举法表示解集为:(){}3,7-.故答案为(){}3,7-.【点睛】本题考查二元一次方程组解集的列举法表示,难度较易.二元一次方程组的解用列举法表示时,可将元素表示成有序数的形式:(),x y .12.(],2-∞【分析】根据题意得到(1,1)-(25,+)m -∞,再利用数轴得到不等式,解出不等式即可.【详解】||<1,1<<1x x ∴- >25x m - 是||1x <的必要不充分条件,(1,1)∴-(25,+)m -∞,251,2m m ∴-≤-∴≤,∴实数m 的取值范围是(,2]-∞,故答案为:(,2]-∞.13.0【分析】由集合相等的含义,分类讨论元素对应关系即可.【详解】由集合元素互异性:0a ≠,又{}2,0,1{,,0}a a b -=,则21a a b ⎧=⎨=-⎩或21a ba ⎧=⎨=-⎩,解得11a b =⎧⎨=-⎩或11a b =-⎧⎨=⎩,故0a b +=故答案为:014.0a ≥【分析】分别讨论A =∅和A ≠∅两种情况求解.【详解】因为A B =∅ ,若3a >,则A =∅,满足题意;若3a ≤,则应满足0a ≥,所以03a ≤≤,综上,0a ≥.故答案为:0a ≥.15.{|0a a <或}1a =14⎧⎫⎨⎬⎩⎭【分析】分情况解集合B ,再根据“全食”与“偏食”的概念分析集合中元素满足的关系列式求解即可.【详解】由{}2B x x a ==|可知,当0a <时,B =∅,此时B A ⊆;当0a =时,{}0B =,此时A B =∅ ,当0a >时,{B =;又11,,12A ⎧⎫=-⎨⎬⎩⎭,若A 与B 构成“全食”,则B A ⊆,当0a <时,满足题意;当0a =时,不合题意;当0a >时,要使B A ⊆,则{}1,1B =-1=,解得1a =;综上,A 与B 构成“全食”时,a 的取值范围是{|0a a <或}1a =;若A 与B 构成“偏食”时,显然0a ≤时,不满足题意,当0a >时,由A B ≠∅ ,所以11,22B ⎧⎫=-⎨⎬⎩⎭12=,解得14a =,此时a 的取值范围是14⎧⎫⎨⎬⎩⎭.故答案为:{|0a a <或}1a =;14⎧⎫⎨⎬⎩⎭16.(1)(1,1]A B ⋂=-,(1,)U A B ⋃=-+∞ð;(2)(0,1]【分析】(1)解一元一次不等式求集合A ,再应用集合的交并补运算求A B ⋂及()U A B ⋃ð.(2)由集合的包含关系可得2a ≤2,结合已知即可得a 的取值范围.【详解】(1)由211x -≤得:1x ≤,所以(,1]A ∞=-,则(1,)U A =+∞ð,由(1,2]B =-,所以(1,1]A B ⋂=-,(1,)U A B ⋃=-+∞ð.(2)因为C B ⊆且0a >,所以2a ≤2,解得1a ≤.所以a 的取值范围是(0,1].17.(1)34m ≤(2)1m =-【分析】(1)根据根的判别式列不等式,然后解不等式即可;(2)根据韦达定理得到1223x x m +=-+,212x x m =,然后代入求解即可.【详解】(1)因为有两个实根,所以()222341290m m m ∆=--=-+≥,解得34m ≤.(2)由题意得()122323x x m m +=--=-+,212x x m =,所以2236m m -+=-,整理得()()310m m -+=,解得3m =或-1,因为34m ≤,所以1m =-.18.答案见解析【分析】分别求解集合,A B ,并求解三个条件的集合,再根据必要不充分条件,转化为集合的包含关系,即可列式求解.【详解】不等式8831100222x x x x x x +++>⇔->⇔<---,即()()320x x +-<,解得:32x -<<,即=−3<<2,()()22240220x mx m x m x m -+-<⇔---+<⎡⎤⎡⎤⎣⎦⎣⎦,解得:22m x m -<<+,即{}22B x m x m =-<<+,若选①,{3U A x x =≤-ð或2}x ≥,:p {3U x A x x ∈=≤-ð或2}x ≥,{}:22q x B x m x m ∈=-<<+,若p 是q 的必要不充分条件,则BU A ð,即23m +≤-或22m -≥,解得:5m ≤-或4≥m ;所以存在实数m ,使得p 是q 的必要不充分条件,m 的范围为5m ≤-或4≥m ;若选②,{}12A C x x ⋂=-<<,:p {}12x A C x x ∈⋂=-<<,{}:22q x B x m x m ∈=-<<+,若p 是q 的必要不充分条件,则B()A C ,则2122m m -≥-⎧⎨+≤⎩,解集为∅;所以不存在实数m ,使得p 是q 的必要不充分条件;若选③,{}34A C x x ⋃=-<<,:p {}34x A C x x ∈⋃=-<<,{}:22q x B x m x m ∈=-<<+,若p 是q 的必要不充分条件,则B()A C ,则2324m m -≥-⎧⎨+≤⎩,解得:12m -≤≤;所以存在实数m ,使得p 是q 的必要不充分条件,m 的取值范围为12m -≤≤;19.(1)答案见解析(2)不具有,理由见解析【分析】(1)根据集合A 具有性质J 的定义即可得出答案;(2)当6n =,4m =时,利用反证法即可得出结论.【详解】(1)当3n =时,{}1,2,3A =,集合A 的所有二元子集为{}{}{}1,2,1,3,2,3,则满足题意得集合B 可以是{}1或{}2或{}3,此时1m =,或者也可以是{}1,2或{}1,3或{}2,3,此时2m =;(2)当6n =,4m =时,{}1,2,3,4,5,6A =,假设存在集合B ,即对任意的()1234,,,,4,114i A A A A B B A i =⋂≤≤≤,则取{}{}{}{}12341,2,3,4,5,6,2,3A A A A ====,(4A 任意构造,符合题意即可),此时由于4B =,若121,1A B A B ≤≤ ,则B 中必有元素5,6,此时32A B = ,与题设矛盾,假设不成立,所以集合A 是不具有性质J .【点睛】关键点点睛:此题对学生的抽象思维能力要求较高,特别是对数的分析,在解题时注意对新概念的理解与把握是解题的关键.。
2020年北京市首师大附中2020级高一新生入学分班考试试题注意事项:1.请在试卷和答题卡上写清学校、姓名、考号等个人信息2.请将答案全部作答在答题卡上,考试结束后,将答题卡与试卷、草稿纸全部收回3.在答题卡中选择题用2B铅笔作答,画图题用2B铅笔作答,其余非选择题全用0.5mm黑色碳素笔作答,否则答题无效一、阅读理解(共15小题,每题2分,共30分)AHere are some Chinatowns for those outside of China wishing to celebrate the Chinese New Year.LondonAlthough it may not be as large or as long-built as others, having only become a center for the Chinese community during the 1950s, London’s Chinatown is perfectly formed little firework (烟花) that knows how to see in the year with a bang. Decorated (装饰) with red lanterns, previous years have seen shows with acrobatics, martial arts, dance and opera nearby.San FranciscoSan Francisco’s Chinatown is perhaps the most famous in the USA. The city was the main entry-point for Chinese who had crossed the Pacific to the USA during the early 19th century. Between the Grant Avenue and the Stockton Street, this historic area is a local treasure, attracting more visitors per year than the Golden Gate Bridge.BangkokWith an about 100-year-old history, the Thai capital’s Chinatown contains complex streets offering all kinds of tasty food, clothes, and toys. Sunday market days are such a good time to get the full atmosphere of the neighborhood. The area is also famous for its gold dealers, and there are lots of gold shops along the road.MauritiusFound in Port Louis, this Mauritian Chinatown shows the island nation’s rich multicultural diversity. Built in the early years of the 20th century by settlers from China, its tiny shops and restaurants serve locals and visitors. During the Chinese Spring Festival, the most exciting sight is the Dragon Dances on Rue Royale when Chinese musicians and dancers perform the traditional lion dances through the streets.1. Which of the following has the longest history?A. London’s Chinatown.B. San Francisco’s Chinatown.C. Mauritius’s Chinatown.D. Bangkok’s Chinatown.2. What’s special about Bangkok’s Chinatown?A. It is crowded with Chinese restaurants.B. It is the major entrance for the Chinese.C. It is well-known for its gold business.D. You can enjoy fireworks there.3. If you want to enjoy the Dragon Dances, you can go to ________.A. Rue Royale in Port Louis, MauritiusB. the Sunday market in BangkokC. the Grant Avenue in San FranciscoD. the Chinese community in London【答案】1. B 2. C 3. A【解析】这是一篇说明文。
首师大附中2020-2021学年度第一学期高一入学考试试题物理2020.8一、本题共13小题,每小题3分,共39分。
在每小题给出的四个选项中,只有一个选项是符合题目要求的。
把答案用2B 铅笔填涂在答题卡上。
1. 下列物理量中属于标量的是( ) A. 时间 B. 位移C. 速度D. 加速度【答案】A 【解析】【详解】A .时间是只有大小,没有方向的标量,故A 正确;BCD .位移、速度、加速度都是既有大小,又有方向的矢量,故BCD 错误。
故选A 。
2. 如图所示,甲同学从操场上A 点出发,先向东走了一段距离到达B 点,然后又向北走了一段距离到达C 点;乙同学从A 点出发沿直线到达C 点.甲、乙两位同学的( )A. 路程相同,位移相同B. 路程相同,位移不同 C 路程不同,位移相同 D. 路程不同,位移不同 【答案】C 【解析】【详解】甲同学从A 出发,经过B 点到达C 点,路程等于AB 段长度与BC 段长度之和,位移等于AC 段长度,方向从A 指向C ;乙同学的路程与位移均等于AC 段长度,方向从A 指向C ,故C 正确,ABD 错误。
3. 如图所示,力F 1、F 2是两个相互垂直共点力,其中13N F =,24N F =。
则F 1、F 2的合力大小为A. 1NB. 2NC. 5ND. 7N【答案】C 【解析】【详解】根据力的平行四边形定则,可知质点所受F 1和F 2的合力大小为:222212=345N F F F +=+=合故C 正确,ABD 错误; 故选C 。
4. 将实验和逻辑推理(包括数学演算)和谐地结合起来,从而发展了人类的科学思维方式和科学研究方法的科学家是: A. 笛卡尔 B. 牛顿C. 伽利略D. 亚里士多德 【答案】C 【解析】【详解】将实验和逻辑推理(包括数学演算)和谐地结合起来,从而发展了人类的科学思维方式和科学研究方法的科学家是伽利略,故选项B 正确,选项ACD 错误.【点睛】本题考查物理学史,是常识性问题,对于物理学上重大发现、发明、著名理论要加强记忆,这也是考试内容之一.5. 如图所示,电灯吊在天花板上。
下面属于一对作用力与反作用力的是( )A. 灯受到的重力与灯对悬线的拉力B. 灯受到的重力与悬线对灯的拉力C. 灯对悬线的拉力与悬线对灯的拉力D. 灯受到的重力与悬线对天花板的拉力 【答案】C【解析】【详解】一对作用力与反作用力是指两个物体相互之间的力,施力物体同时也是受力物体。
A.灯受到的重力,施力物体是地球,受力物体是灯,灯对悬线的拉力,施力物体是灯,受力物体是悬线,故A错误;B.灯受到的重力,施力物体是地球,受力物体是灯,悬线对灯的拉力,施力物体是悬线,受力物体是灯,故B错误;C.灯对悬线的拉力,施力物体是灯,受力物体是悬线,悬线对灯的拉力,施力物体是悬线,受力物体是灯,故C正确;D.灯受到的重力,施力物体是地球,受力物体是灯,悬线对天花板的拉力,施力物体是悬线,受力物体是天花板,故D错误。
故选C。
6. 关于加速度的定义式∆=∆vat,下列说法正确的是A. 加速度a的大小与速度变化量v∆成正比B. 加速度a的大小与时间t∆成反比C. 加速度a的方向与速度变化量v∆的方向相反D. 加速度a的方向与速度变化量v∆的方向相同【答案】D【解析】【详解】AB.加速度的定义式∆=∆vat,为比值定义法定义出的物理量,则加速度a的大小与v∆的大小无关,与时间t∆也无关;故AB均错误。
CD.∆=∆vat为矢量式,则有加速度a的方向与速度变化量v∆的方向相同,加速度的大小等于速度的变化率;故C错误,D正确。
故选D。
7. 一质量为5.0kg的木箱以某初速度沿水平面向右滑行,同时施加一个水平向右的拉力,大小为10N。
已知木箱与地面间的动摩擦因数为0.3,取重力加速度g=10m/s2。
关于木箱所受的摩擦力,下列说法正确的是A. 大小为5N,方向水平向右B. 大小为5N,方向水平向左C. 大小为15N,方向水平向右D. 大小为15N ,方向水平向左 【答案】D 【解析】【详解】木箱在地面上向右滑行,则受到向左的滑动摩擦力,与受到的外力无关,滑动摩擦力大小为:0.3105N 15N f N mg μμ===⨯⨯=故D 正确,ABC 错误。
故选D 。
8. 如图所示,用卡车运输质量为m 的匀质圆筒状工件,将工件置于两光滑固定斜面I 、Ⅱ之间,斜面的倾角分别为30°和60°。
当卡车沿平直公路匀速行驶时,圆筒对斜面I 、Ⅱ压力的大小分别为F 1、F 2。
已知重力加速度为g ,下列关系式正确的是A. 1F mg >B. 2F mg >C. 12F F >D. 12F F <【答案】C 【解析】【详解】将工件受力分析可知,受重力,两斜面的支持力N 1、N 2,将所受的重力按作用效果分解成两分力压斜面效果的分力1F '、2F ',如图所示:根据平衡知识和牛顿第三定律可得:1113cos302N F F mg mg '===︒=2221sin 302N F F mg mg '===︒=故可得:1F mg <,2F mg <,12F F >则ABD 错误,C 正确。
故选C 。
9. 一物体沿直线运动,其速度v 随时间t 变化的图象如图所示.由图象可知,在02s -内()A. 物体的速度一直变大B. 物体的加速度一直变大C. 物体速度的方向发生了改变D. 物体加速度的方向发生了改变 【答案】D 【解析】【详解】A 、在02s -内,物体的速度先变大后变小,故A 错误;B 、根据图线的斜率表示物体加速度,知在02s -内,物体的加速度先变小,后变大,故B 错误;C 、在02s -内,物体的速度一直为正,说明物体的速度方向没有改变,故C 错误;D 、图象斜率的正负表示加速度的方向,则知物体的加速度先正后负,加速度的方向发生了改变,故D 正确; 故选D .【点睛】关键知道速度时间图线的物理意义,知道图线的斜率表示加速度,速度的正负表示速度的方向.10. 物体做匀加速直线运动,相继经过两段距离均为15m 的路程,第一段用时5.0s ,第二段用时3.0s 。
则物体的加速度是A. 20.5m/sB. 21.0m/sC. 22.0m/sD. 26.0m/s【答案】A 【解析】【详解】第一段平均速度为:115m/s 3m/s 5x v t === 第二段平均速度为:215m/s 5m/s 3x v t === 根据某段时间内的平均速度等于中间时刻的瞬时速度知,两个中间时刻的时间间隔为:53s 4s 2t +∆== 加速度为:222153m/s 0.5m/s 4v v a t --===∆ 故A 正确,BCD 错误; 故选A 。
11. 如图所示,一个盛水的容器底部有一小孔,静止时水从小孔流出。
现将容器竖直向上抛出,假设容器在运动过程中始终保持平动,且忽略空气阻力,则A. 容器向上运动的过程中,有水从小孔流出;向下运动的过程中,没有水从小孔流出B. 容器向上运动的过程中,没有水从小孔流出;向下运动的过程中,有水从小孔流出C. 容器向上和向下运动的过程中,一直有水从小孔流出D. 容器向上和向下运动的过程中,一直没有水从小孔流出 【答案】D 【解析】 【分析】当物体对接触面的压力大于物体的真实重力时,就说物体处于超重状态,此时有向上的加速度;当物体对接触面的压力小于物体的真实重力时,就说物体处于失重状态,此时有向下的加速度;如果没有压力了,那么就是处于完全失重状态,此时向下加速度的大小为重力加速度g .【详解】无论向哪个方向抛出,抛出之后的容器向上和向下运动都只受到重力的作用,处于完全失重状态,此时水和容器的运动状态相同,它们之间没有相互作用,水不会流出;故ABC 错误,D 正确。
故选D 。
12. 如图为某同学制作的“竖直加速度测量仪”,可以用来测量竖直方向的加速度。
左侧为刻度均匀的标尺,右侧用一轻弹簧悬挂一重物G ,当测量仪静止时指针位置的刻度标记为0,测量仪在竖直方向加速度不同时,对应指针指向不同的位置,一一在标尺上标记加速度的数值。
则以下判断正确的是A. 当指针指向位置C 时,表明测量仪的加速度方向向上B. 当指针指向位置C 时,表明测量仪的速度方向向上C. 当指针指向C 时,弹簧的弹力一定小于重物G 的重力D. 这个加速度测量仪加速度的刻度也是均匀的 【答案】D 【解析】【详解】A .测量仪静止时对小球受力分析,设弹簧的原长为0L ,现在的长度为1L ,有:10()mg k L L =-现指针指向位置C 时,伸长量变小了,则弹力变小,小球的合力向下,由牛顿第二定律可知小球有向下的加速度;故A 错误;B .测量仪具有向下的加速度,但速度可以向上或者向下,故B 错误;C .指针指向位置C 时,若弹簧依然是伸长的,则弹力变小一定小于重力,若弹簧是压缩状态,弹力变为向下,会出现弹力的大小大于、小于或等于小球的重力,故C 错误; D .设OC 的长度为x ,若弹簧依然是伸长的,则弹力为210()F k L L x =--由牛顿第二定律可得:2mg F ma -=联立可得:kx a m=若弹簧依然是压缩的,则弹力为201[()]F k L L x =--由牛顿第二定律可得:2mg F ma +=联立可得:kx a m=综上两种情况都有a x ∝,说明加速度值随刻度线性变化,则刻度均匀, 故D 正确。
故选D 。
D .这个加速度测量仪加速度的刻度是不均匀的13. “千克”这一基本单位原由国际千克原器来定义。
国际千克原器是1889年第一届国际计量大会批准制造的,它是一个用铂铱合金制成的圆柱体,高度和直径均为39mm ,原型保存在巴黎国际计量局。
因受空气污染和氧化等因素影响,国际千克原器的质量出现细微变化,已难以适应现代精密测量要求。
因此科学界一直想用一种基于物理常数的定义来取代。
2018年11月16日,第26届国际计量大会决定,千克由普朗克常量h 及米和秒定义,即34211kg 6.6260701510m sh--=⨯⋅,该决定已于2019年5月20日生效。
此次标准实施后,国际单位中7个基本单位全部建立在不变的自然常数基础上,保证了国际单位的长期稳定性和通用性。
以下说法正确的是 A. 普朗克常量h 是个无单位的常量 B. 普朗克常量h 的单位等效于N m s ⋅⋅C. 普朗克常量h 的单位等效于1N m s -⋅⋅D. 受外界因素的影响普朗克常量h 的数值也会发生细微变化 【答案】B 【解析】【详解】A .根据34211kg 6.6260701510m sh --=⨯⋅,可得34216.6260701510kg m s h --=⨯⋅⋅,则普朗克常量h 的单位为21kg m s -⋅⋅,故A 错误; BC .根据牛顿第二定律F ma =可知-21N 1kg m s =⋅⋅,则21kg m sN m s -⋅⋅=⋅⋅,故B 正确,C 错误;D .据题意受空气污染和氧化等因素影响,国际千克原器的质量出现细微变化,但普朗克常量不变,故D 错误。