南京理工大学机械工程学院2017年推荐免试研究生工作细则
- 格式:doc
- 大小:116.50 KB
- 文档页数:6
重庆大学机械工程学院重大机院〔2017〕11号机械工程学院2018年推荐优秀应届本科毕业生免试攻读硕士学位研究生的工作细则为进一步加强和规范本院推荐优秀应届本科毕业生免试攻读硕士学位研究生工作,根据《重庆大学推荐优秀应届本科毕业生免试攻读硕士学位研究生工作管理办法(修订)》(重大校【2017】43号)文件精神,结合我院实际,特制订本实施细则。
一、推荐对象及基本条件(一)纳入国家普通本科招生计划录取的应届本科毕业生。
(二)品德优良,遵纪守法,身心健康;诚实守信,学风端正,无任何考试作弊和剽窃他人学术成果及违法违纪受处分记录。
(三)按期完成前三学年或者前四学年(五年制)本专业人才培养方案规定的课程(外语类、体育类课程获得专业规定的学分),且参加全国大学外语四级考试成绩达到425分及以上(体育、艺术类专业全国大学外语四级考试成绩不作要求),或者参加托福考试成绩≥80分,或者参加雅思考试成绩≥5.5。
外语类专业学生应通过外语专业四级考试。
(四)平均学分绩点(GPA)(可参照《重庆大学学分绩点计算办法》(试行)(重大校〔2010〕233号)计算)排名在本专业前40%。
(五)学术研究兴趣浓厚,有较强的创新意识、创新能力和专业能力倾向。
(六)原则上补考课程不超过一门(全校通识与素质选修课程除外)。
二、奖励加分条件学院鼓励学生参加学科竞赛、创新评优等活动,并对其所获得的成果实行奖励加分,奖励分值按学院推免生遴选工作细则的规定执行(详见“机械工程学院推免生奖励加分列表”),但所有奖励加分不得超过0.4分。
各类竞赛获奖、论文发表等截止时间为2017年8月31日。
凡参加各类国际、国家级竞赛获奖和发表学术论文、获得发明专利授权(详见附件《重庆大学本科生创新类成果列表》)的学生,可申请使用学校预留推免生名额。
但学院推免生遴选工作小组必须组织相关学科专家,对其成果的原创性和真实性进行评审。
评审结果和学生提交的成果相关证明材料应当进行为期3天的公示。
南京理工大学机械工程学院工程力学专业考研情况分析手册及经典专业问题问答一、南京理工大学专业情况分析1、各学院以及校区分布机械工程学院在玄武区孝陵卫校区2、学制、学费及奖助1、我校硕士研究生基本学制为2-3年,具体参见各专业培养方案。
2、我校按照国家和江苏省的规定,向所有硕士研究生收取学费。
(1)全日制硕士研究生学费标准为:学术学位8000元/生·学年;会计硕士28000元/生·学年,其他专业学位10000元/生·学年。
(2)非全日制硕士研究生学费标准为:工商管理硕士(MBA)、会计硕士(MPAcc)学培养全过程学费9.8万元,公共管理硕士(MPA)培养全过程学费5万元,高级管理人员工商管理硕士(EMBA)培养全过程学费18万元,法律硕士(非法学)培养全过程学费5万元,法律硕士(法学)培养全过程学费3万元,其他非全日制硕士培养全过程学费均为4.5万元。
3、我校面向全日制非定向就业硕士研究生建立了国家奖学金、学校奖助学金(学业奖学金和助学金)、“三助”津贴、困难补助、社会奖助学金、国家助学贷款等多元奖助体系,保障学生的学习生活。
详情请登录我校研究生院网站查阅研究生奖助学金相关政策。
3、专业目录(080104)★▲工程力学01(全日制)现代工程结构振动分析02(全日制)撞击动力学及其应用03(全日制)侵彻力学04(全日制)爆炸理论及其应用05(全日制)复杂流场的模拟技术与实验技术06(全日制)流体力学的工程应用[101]思想政治理论[201]英语一[301]数学一[812]机械原理[823]电子技术基础(任选一门)复试科目:机械设计2020南理工考研群:782134889参考书目机械原理《机械原理与机械设计》上册清华大学出版社范元勋、张庆或《机械原理》高等教育出版社郑文纬、吴克坚电子技术基础《电工学》(第五版)下册高等教育出版社秦增煌或《模拟电路与数字电路》电子工业出版社寇戈、蒋立平历年专业分数线工程力学专业/年份201320142015201620172018工程力学---265265300推免人数、报考人数、复试人数、拟录取人数、报录比工程力学年份/事项推免人数报考人数复试人数拟录取人数报录比2013-----2014-----2015-----20160--3(校外调剂)-20170--0-201806-230%经典专业问题问答工程力学每年招的人多吗?答:不多的,在2-3人左右专业课如何复习答:以指定的参考书为主,结合相关辅导资料进行针对性复习。
理学院推荐优秀本科毕业生免试攻读研究生工作实施细则根据《南京理工大学推荐优秀本科毕业生免试攻读研究生的实施办法》文件精神,特修订《理学院推荐优秀本科毕业生免试攻读研究生工作实施细则》。
一、推荐条件1.政治思想素质:具有高尚的爱国主义情操和集体主义精神,社会主义信念坚定,社会责任感强,遵纪守法,积极向上,身心健康。
坚持德智体美全面衡量,以德为先,把学生思想品德考核作为推免生遴选的重要内容和录取的重要依据。
2.勤奋学习,刻苦钻研,成绩优秀:(1)前三年课程(包含所有必修课、专业选修课)平均成绩名列本专业前30%,申报支教团的学生平均成绩可放宽到前35%;(2)基础扎实,主要基础课和专业主干课程平均成绩优良;(3)具有较强的自学能力、实验动手能力及提出问题和分析解决问题的能力,实习、课程设计及实验课总体成绩优良;(4)国家大学生英语四级统考达到460分,或者六级达425分;(5)必修课(含大学英语及专业必修课)、专业选修课无不及格课程(无补考记录)。
3.实践创新素质:学术研究兴趣浓厚,有较强的创新意识、创新能力和专业能力倾向。
4.在校期间,参加过校级及以上学科竞赛或创新实践类竞赛项目。
5.学术诚信素质:诚实守信,学风端正,无任何考试作弊和剽窃他人学术成果的记录。
6.品行表现优良,无任何考试违法违纪受处分记录。
7.身体健康素质:身体健康,达到体育教学达标要求,符合国家硕士生招生体检标准。
8.下列情况的学生可以适当放宽第2条所列条件的限制:(1)获得省级以上科技竞赛奖励(以学校公布立项的竞赛为准);(2)前三年学习成绩加权平均分≥85分,或专业排名前10%及以内的。
注:对符合上述可放宽条件予以推荐免试的学生,经学生本人提出申请,学院推荐免试研究生工作领导小组审核,确定准予破格学生名单和排名方式。
9.加强对推免生特殊学术专长的审核。
学院成立专家审核小组(专家组成员原则上应具有相关学科正高级专业技术职务,一般不少于5人),可会同相关期刊杂志单位、赛事主办单位等,对申请特殊学术专长推免资格学生的科研创新成果、论文(文章)、竞赛获奖奖项及内容进行审核鉴定,排除抄袭、造假、冒名及有名无实等情况,并组织相关学生在学院一定范围进行公开答辩,专家审核小组及每位成员都要给出明确审核鉴定意见并签字存档。
东南大学2017年控制工程拟录取推荐免试硕士研究生名单刘炽义自动化学院085210控制工程东南大学陈旭璇自动化学院085210控制工程东南大学蒋琦自动化学院085210控制工程安徽大学秦鲁星自动化学院085210控制工程西北工业大学宋亮亮自动化学院085210控制工程哈尔滨工程大学徐伟自动化学院085210控制工程河海大学田力丹自动化学院085210控制工程中国石油大学(华东)汪波自动化学院085210控制工程安徽大学周颖娟自动化学院085210控制工程南京航空航天大学马家乐自动化学院085210控制工程长安大学黄毅自动化学院085210控制工程哈尔滨工程大学徐园自动化学院085210控制工程河海大学高昊昇自动化学院085210控制工程南京航空航天大学曹柔自动化学院085210控制工程南京航空航天大学刘志泓自动化学院085210控制工程哈尔滨工程大学桂建伟自动化学院085210控制工程南京理工大学金玥自动化学院085210控制工程江南大学于欣自动化学院085210控制工程河北工业大学张玲自动化学院085210控制工程华北电力大学(保定)骆浩楠自动化学院085210控制工程南京师范大学吴俊盼自动化学院085210控制工程山东大学威海分校薛裕峰自动化学院085210控制工程南京理工大学葛涌涛自动化学院085210控制工程南京理工大学刘环自动化学院085210控制工程南京理工大学周璇自动化学院085210控制工程华北电力大学贺笑自动化学院085210控制工程西北工业大学胡惠雅自动化学院085210控制工程南京农业大学卫庆自动化学院085210控制工程东华大学文章来源:文彦考研旗下东南大学考研网。
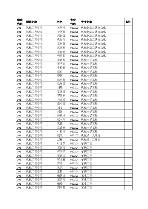
学院考生编号姓名专业代码专业名称政治理论外国语业务课一业务课二总分备注101102884500004217柏锴霖080104工程力学644394111312 101102884500005286单成栋080104工程力学64597087280 101102884100000201张本涛080201机械制造及其自动化7461117126378 101102884100000207王忠强080201机械制造及其自动化645688118326 101102884100000212徐海琉080201机械制造及其自动化70618794312 101102884100000214朱星申080201机械制造及其自动化65569499314 101102884100000217杨龙080201机械制造及其自动化67509399309 101102884100000239徐明080201机械制造及其自动化716789102329 101102884100000240刘丙凯080201机械制造及其自动化68678697318 101102884100000241施钦天080201机械制造及其自动化62789292324 101102884100001016王博080201机械制造及其自动化6661124140391 101102884100001018牛红星080201机械制造及其自动化604583118306 101102884100001024孙维超080201机械制造及其自动化706483131348 101102884100001028刘新越080201机械制造及其自动化685260126306 101102884100001030沈一080201机械制造及其自动化5854106145363 101102884100001031丁志辉080201机械制造及其自动化565880134328 101102884500003458武继学080201机械制造及其自动化685290114324 101102884500003514郑亚杰080201机械制造及其自动化685411298332 101102884500004050常方圆080201机械制造及其自动化636493100320 101102884500004079曾玉堂080201机械制造及其自动化6853102118341 101102884500004232邢明080201机械制造及其自动化624887132329 101102884500004263姚国栋080201机械制造及其自动化676411781329 101102884500004436黄韬080201机械制造及其自动化697296123360 101102884500004438阚海涛080201机械制造及其自动化7252110108342 101102884500004439李骐恺080201机械制造及其自动化7272125125394 101102884500004441姚敬东080201机械制造及其自动化587111189329 101102884500004556殷水忠080201机械制造及其自动化744495140353 101102884500004603骆侠良080201机械制造及其自动化73648992318 101102884500004738甄文臣080201机械制造及其自动化7063102106341学院考生编号姓名专业代码专业名称政治理论外国语业务课一业务课二总分备注101102884500004791施俊杰080201机械制造及其自动化746285121342 101102884500004897孟恒080201机械制造及其自动化6455112119350 101102884500005014虞涛080201机械制造及其自动化685010098316 101102884500005167周达凯080201机械制造及其自动化6659103102330 101102884500005289江明明080201机械制造及其自动化644993104310 101102884500005441丁骁垚080201机械制造及其自动化686210887325 101102884500005467王贝贝080201机械制造及其自动化726095138365 101102884500005468尹国强080201机械制造及其自动化66589794315 101102884500005562戴震宇080201机械制造及其自动化745710989329 101102884500005617韩邢峰080201机械制造及其自动化7260117123372 101102884500005619许英080201机械制造及其自动化596587107318 101102884500005620张凯080201机械制造及其自动化60649096310 101102884500005622邵彦080201机械制造及其自动化64549692306 101102884500005623疏亚雅080201机械制造及其自动化62708999320 101102884500005626张雅080201机械制造及其自动化565292107307 101102884500005856潘江陵080201机械制造及其自动化665578134333 101102884500005946张雷刚080201机械制造及其自动化666086107319 101102884500006385童伟080201机械制造及其自动化606510586316 101102884500006711侯丹丹080201机械制造及其自动化71608797315 101102884500006865孟祥华080201机械制造及其自动化654689125325 101102884500006921马威080201机械制造及其自动化795480110323 101102884500007114张鹏080201机械制造及其自动化645510881308 101102884500007217张发全080201机械制造及其自动化68598992308 101102884500007218王晓明080201机械制造及其自动化666011081317 101102884500007315吴建成080201机械制造及其自动化705698113337 101102884500007355杜凯080201机械制造及其自动化61739898330 101102884500007357苏虎080201机械制造及其自动化664997106318 101102884500007490程遥辉080201机械制造及其自动化5657111128352 101102884500007543付乾辰080201机械制造及其自动化5964111126360学院考生编号姓名专业代码专业名称政治理论外国语业务课一业务课二总分备注101102884500007544孙建强080201机械制造及其自动化6557114112348 101102884500007717宋坤080201机械制造及其自动化6551107104327 101102884500007718陈富华080201机械制造及其自动化8245100115342 101102884500007985王正要080201机械制造及其自动化746776130347 101102884500008214周雄兵080201机械制造及其自动化645078130322 101102884500008240鄢正清080201机械制造及其自动化746411493345 101102884500008289鲁泽华080201机械制造及其自动化636795108333 101102884500008385钟多080201机械制造及其自动化755478119326 101102884500008447吕丁080201机械制造及其自动化656281128336 101102884500008608谢华明080201机械制造及其自动化6965111119364 101102884500008685王雅坤080201机械制造及其自动化706662111309 101102884500008819柴猛080201机械制造及其自动化726895104339 101102884500008929林浩鹏080201机械制造及其自动化586289143352 101102884500008957丁旺080201机械制造及其自动化766910091336 101102884500009054赵瑞文080201机械制造及其自动化7667101112356 101102884100000245李雪茹080202机械电子工程5975117119370 101102884100000253曹磐080202机械电子工程696278102311 101102884100000256闫以帅080202机械电子工程7257117121367 101102884100000257张子潇080202机械电子工程62648998313 101102884100000258杜坤080202机械电子工程6561131136393 101102884100000259赵天枝080202机械电子工程657182102320 101102884100000264李洋080202机械电子工程775670105308 101102884100000268施剑烽080202机械电子工程74538997313 101102884100001034王思080202机械电子工程626998130359 101102884100001037宋珂080202机械电子工程634890115316 101102884100001038华雨080202机械电子工程6153100132346 101102884100001039刘真080202机械电子工程726495145376 101102884100001041沈炅080202机械电子工程634786137333 101102884100001042黄文080202机械电子工程635593117328学院考生编号姓名专业代码专业名称政治理论外国语业务课一业务课二总分备注101102884100001044沙亚雄080202机械电子工程586694135353 101102884100001045杨春浩080202机械电子工程756297149383 101102884100001046李瑞080202机械电子工程616068117306 101102884100001048朱斌080202机械电子工程6563100136364 101102884100001051陆红健080202机械电子工程605291129332 101102884100001052张蒙蒙080202机械电子工程585881117314 101102884300002313路晖080202机械电子工程574960119285强军计划101102884500003555申接接080202机械电子工程645791115327 101102884500003883梁勇飞080202机械电子工程71579199318 101102884500003965沈成方080202机械电子工程605681125322 101102884500004233刘亚风080202机械电子工程646682121333 101102884500004278郄剑文080202机械电子工程624786127322 101102884500004351王常磊080202机械电子工程8053120100353 101102884500004354王柳080202机械电子工程7059127119375 101102884500004357周霞080202机械电子工程594910295305 101102884500004792赵春峰080202机械电子工程576493100314 101102884500004793时军080202机械电子工程605573121309 101102884500004794杨静080202机械电子工程6974127136406 101102884500005020徐康080202机械电子工程64618994308 101102884500005021吴兵080202机械电子工程625611291321 101102884500005051徐俊080202机械电子工程736697134370 101102884500005053仇杨080202机械电子工程666112899354 101102884500005172陈梦080202机械电子工程706980108327 101102884500005175潘腊青080202机械电子工程75629989325 101102884500005444胡晨080202机械电子工程60709188309 101102884500005446陆飞080202机械电子工程716297107337 101102884500005536吴杰080202机械电子工程68559899320 101102884500005537段一品080202机械电子工程706690135361 101102884500005574张翔翔080202机械电子工程634893106310学院考生编号姓名专业代码专业名称政治理论外国语业务课一业务课二总分备注101102884500005631徐国成080202机械电子工程6655107118346 101102884500005635俞能聪080202机械电子工程705610081307 101102884500005857汪辉080202机械电子工程6662103127358 101102884500006070肖本勇080202机械电子工程675282142343 101102884500006073徐上080202机械电子工程5664101121342 101102884500006314孙山080202机械电子工程576110396317 101102884500006498刘超080202机械电子工程7253113115353 101102884500006512孙飞080202机械电子工程70589883309 101102884500006565谢志平080202机械电子工程665888124336 101102884500006672肖荣康080202机械电子工程6771104142384 101102884500006879王庆前080202机械电子工程58569697307 101102884500006880季勇080202机械电子工程706670118324 101102884500006882李峰080202机械电子工程7751109100337 101102884500006923刘宣080202机械电子工程6069103113345 101102884500006924宁道贺080202机械电子工程635980102304 101102884500007050彭澎080202机械电子工程734882140343 101102884500007320杨青青080202机械电子工程535384114304 101102884500007364王海波080202机械电子工程616372118314 101102884500007392姜翠环080202机械电子工程745511498341 101102884500007448张志忠080202机械电子工程684785120320 101102884500007473谢道通080202机械电子工程725487116329 101102884500007478郝世科080202机械电子工程60678497308 101102884500007553梁宝东080202机械电子工程636910379314 101102884500007575刘国旗080202机械电子工程6568105131369 101102884500007819姚松坡080202机械电子工程6262103120347 101102884500007919孔南080202机械电子工程636310095321 101102884500007986吴明留080202机械电子工程685293122335 101102884500008199余俊080202机械电子工程556583106309 101102884500008421周中喜080202机械电子工程7357132126388学院考生编号姓名专业代码专业名称政治理论外国语业务课一业务课二总分备注101102884500008448殷钦霖080202机械电子工程6056120115351 101102884500008867李明洲080202机械电子工程625792133344 101102884500008927沈政080202机械电子工程796881102330 101102884500008928叶建波080202机械电子工程786110081320 101102884100000275任桃桃080203机械设计及理论6953114114350 101102884100000280卢东辉080203机械设计及理论635981106309 101102884100000283林智文080203机械设计及理论71679275305 101102884100000293李勇080203机械设计及理论7059103117349 101102884100001056吴伟080203机械设计及理论6162103125351 101102884500003632郭秋月080203机械设计及理论644888118318 101102884500003733荣乾锋080203机械设计及理论7154112134371 101102884500004053苏闯南080203机械设计及理论67659188311 101102884500004449陈伟080203机械设计及理论5857119102336 101102884500004452张千伟080203机械设计及理论74726792305 101102884500004548宋诚鑫080203机械设计及理论726490106332 101102884500004616沈晓燕080203机械设计及理论596299116336 101102884500004747王猛080203机械设计及理论625811094324 101102884500004798卜子雯080203机械设计及理论596274143338 101102884500004901刘琪080203机械设计及理论696210082313 101102884500006730麻文龙080203机械设计及理论5663130104353 101102884500006887程翠080203机械设计及理论64578899308 101102884500007023王大鹏080203机械设计及理论645311899334 101102884500007941徐克080203机械设计及理论6553119102339 101102884500008386李信080203机械设计及理论6447108117336 101102884500008408张娅利080203机械设计及理论766211488340 101102884500008682钟盛080203机械设计及理论5856104100318 101102884500008815丁廷哲080203机械设计及理论7466109113362 101102884500008820袁亚洲080203机械设计及理论6766130121384 101102884100000302于洋080204车辆工程697310489335学院考生编号姓名专业代码专业名称政治理论外国语业务课一业务课二总分备注101102884100000304赵君临080204车辆工程685289100309 101102884100000305孙平080204车辆工程75658588313 101102884100000307李海鹏080204车辆工程706472106312 101102884100001060孔振兴080204车辆工程7060110111351 101102884100001061胥加林080204车辆工程655987129340 101102884100001067汤李建080204车辆工程605276125313 101102884500003734李姣080204车辆工程645872139333 101102884500004234王纪伟080204车辆工程7052103137362 101102884500004799张庆渴080204车辆工程646796140367 101102884500005639彭兵080204车辆工程666910292329 101102884500005909凌宪政080204车辆工程665481133334 101102884500007453张胜伟080204车辆工程645494107319 101102884500007972张鑫磊080204车辆工程7255117120364 101102884500008377王宗千080204车辆工程637696110345 101102884500008878谭晶晶080204车辆工程635510098316 101102884100001069裴凤雀0802Z1工业工程685979126332 101102884500008072于博文0802Z1工业工程6944100113326 101102884100000324何伟080401精密仪器及机械7162100113346 101102884100001071袁景丽080401精密仪器及机械716494125354 101102884500003984张涛080401精密仪器及机械7057130119376 101102884500005469王培林080401精密仪器及机械7162104135372 101102884500006568虞嘉欣080401精密仪器及机械646485130343 101102884500007841郭银峰080401精密仪器及机械6955103124351 101102884100001075杨元元080402测试计量技术及仪器685898141365 101102884100001078王忱平080402测试计量技术及仪器635881137339 101102884100001081任洁080402测试计量技术及仪器697482127352 101102884100001083童楷杰080402测试计量技术及仪器6457116137374 101102884100001086郭建松080402测试计量技术及仪器5552101126334 101102884100001087杨晓琦080402测试计量技术及仪器755997132363学院考生编号姓名专业代码专业名称政治理论外国语业务课一业务课二总分备注101102884100001089陈旭光080402测试计量技术及仪器685780128333 101102884100001090袁佳艳080402测试计量技术及仪器5971113126369 101102884100001091张梦妹080402测试计量技术及仪器6963102148382 101102884100001092崔兴梅080402测试计量技术及仪器6664106135371 101102884100001094刘欢080402测试计量技术及仪器735186133343 101102884100001096李茂林080402测试计量技术及仪器7274102134382 101102884100001097陈龙080402测试计量技术及仪器6761113149390 101102884100001098陆慧慧080402测试计量技术及仪器6857107130362 101102884500003545江子烨080402测试计量技术及仪器7154100148373 101102884500004203邹一风080402测试计量技术及仪器646882129343 101102884500005025秦玉冬080402测试计量技术及仪器585894133343 101102884500005702汪兵080402测试计量技术及仪器575795124333 101102884500006675沈永080402测试计量技术及仪器667080145361 101102884500007253韩亚秋080402测试计量技术及仪器796390148380 101102884500007579牛嘉琦080402测试计量技术及仪器645484130332 101102884500007580李江平080402测试计量技术及仪器766599143383 101102884500007742王萌萌080402测试计量技术及仪器746688118346 101102884100001101孔上峰082501飞行器设计726010398333 101102884500006542赖翔翔082501飞行器设计606010481305 101102884100000328马赛尔082502航空宇航推进理论与工程685993110330 101102884100000339何坤082502航空宇航推进理论与工程666510089320 101102884100001105张俊威082502航空宇航推进理论与工程584271130301 101102884100001106邬凤林082502航空宇航推进理论与工程657180128344 101102884100001107倪凯捷082502航空宇航推进理论与工程585559131303 101102884500004086刘梦达082502航空宇航推进理论与工程536510687311 101102884500005890高昌印082502航空宇航推进理论与工程695391102315 101102884500006449刘道坤082502航空宇航推进理论与工程655874116313 101102884500007454何艳林082502航空宇航推进理论与工程614584114304 101102884500007582王向前082503航空宇航制造工程665080111307学院考生编号姓名专业代码专业名称政治理论外国语业务课一业务课二总分备注101102884500008464王高波082503航空宇航制造工程5539110110314 101102884100000342戴徐聪082504人机与环境工程6163104117345 101102884100001109倪梯闵082504人机与环境工程645590120329 101102884100000343倪庆乐082601武器系统与运用工程695697110332 101102884100000344张浩082601武器系统与运用工程664095109310 101102884100000347吴奇082601武器系统与运用工程6351102113329 101102884100000350李荣082601武器系统与运用工程7844105136363 101102884300002308文晓洲082601武器系统与运用工程796286106333强军计划101102884500003776梁晓扬082601武器系统与运用工程5656104103319 101102884500008748尹立威082601武器系统与运用工程684794107316 101102884100000353鄢章渝082602兵器发射理论与技术64548196295 101102884100000356肖广元082602兵器发射理论与技术6060111132363 101102884100000361刘志鹏082602兵器发射理论与技术66636783279 101102884500003420夏五阳082602兵器发射理论与技术69488289288 101102884500003536杨丰082602兵器发射理论与技术70597487290 101102884500003737罗成洋082602兵器发射理论与技术6957114135375 101102884500003778于骐瑞082602兵器发射理论与技术625076113301 101102884500005648汪泽涛082602兵器发射理论与技术63568496299 101102884500006193徐祖国082602兵器发射理论与技术684998107322 101102884100000365刘闯082603火炮、自动武器与弹药工程666188117332 101102884100000368李磊082603火炮、自动武器与弹药工程666379120328 101102884100000369居培凯082603火炮、自动武器与弹药工程6468106124362 101102884100000376张明丛082603火炮、自动武器与弹药工程6959118104350 101102884100000379张弦082603火炮、自动武器与弹药工程63579797314 101102884100000390王永刚082603火炮、自动武器与弹药工程614893112314 101102884100000396沈超082603火炮、自动武器与弹药工程6565140133403 101102884100000399肖小刚082603火炮、自动武器与弹药工程636085130338 101102884100001127郭倩082603火炮、自动武器与弹药工程605790138345 101102884100001129李鹏飞082603火炮、自动武器与弹药工程6770101120358学院考生编号姓名专业代码专业名称政治理论外国语业务课一业务课二总分备注101102884500003598胡亮082603火炮、自动武器与弹药工程585210298310 101102884500003688赵致富082603火炮、自动武器与弹药工程6446104123337 101102884500003711景鹏渊082603火炮、自动武器与弹药工程8066104113363 101102884500003826徐立志082603火炮、自动武器与弹药工程615488111314 101102884500003928李江涛082603火炮、自动武器与弹药工程6158113106338 101102884500004363王浩082603火炮、自动武器与弹药工程725796111336 101102884500004804张勇082603火炮、自动武器与弹药工程6663101126356 101102884500005300章程浩082603火炮、自动武器与弹药工程705511991335 101102884500005649展会款082603火炮、自动武器与弹药工程735589109326 101102884500006544邹利波082603火炮、自动武器与弹药工程665899111334 101102884500006695刘陶082603火炮、自动武器与弹药工程626496117339 101102884500007159樊雪飞082603火炮、自动武器与弹药工程736093108334 101102884500007293李威082603火炮、自动武器与弹药工程625182122317 101102884500007564宋旭辉082603火炮、自动武器与弹药工程585185120314 101102884500007565李闯082603火炮、自动武器与弹药工程63619798319 101102884500007685李兵082603火炮、自动武器与弹药工程636485125337 101102884500008203杨筱082603火炮、自动武器与弹药工程605795100312 101102884500008205鞠潭082603火炮、自动武器与弹药工程585897107320 101102884500008346梅雄三082603火炮、自动武器与弹药工程8072108106366 101102884500008410赵雄飞082603火炮、自动武器与弹药工程704911492325 101102884500008640张芳添082603火炮、自动武器与弹药工程654899113325 101102884500008940张弛宇082603火炮、自动武器与弹药工程626671133332 101102884500008941王重082603火炮、自动武器与弹药工程645785123329 101102884500005302毛伟峰0826Z1智能武器技术与工程61489090289 101102884500008589武军安0826Z1智能武器技术与工程674889102306 101102884100000215韩余085201机械工程72667591304 101102884100000233沈铖玮085201机械工程70557989293 101102884100000247刘佳耀085201机械工程67686795297 101102884100000252李隽085201机械工程64646396287学院考生编号姓名专业代码专业名称政治理论外国语业务课一业务课二总分备注101102884100000262黄奔085201机械工程666070105301 101102884100000265薛锋085201机械工程75637083291 101102884100000296陆泰屹085201机械工程68538192294 101102884100000402陈成085201机械工程6761101100329 101102884100000407徐斌085201机械工程6370111128372 101102884100000410王凯博085201机械工程73709390326 101102884100000427黄维维085201机械工程66589286302 101102884100001026张毅旸085201机械工程565268112288 101102884100001134汤巧戈085201机械工程645998128349 101102884100001136杨建春085201机械工程6056115134365 101102884100001137黄金宝085201机械工程616380133337 101102884500003654戴明宇085201机械工程6262111124359 101102884500003714董盛鹏085201机械工程5756117109339 101102884500003781许琨085201机械工程685987133347 101102884500004011孙浩085201机械工程705710094321 101102884500004364葛泽培085201机械工程63558490292 101102884500004459李仁峰085201机械工程70686781286 101102884500005304朱灿085201机械工程615999107326 101102884500005558李向阳085201机械工程595575117306 101102884500005705栾佳绘085201机械工程576091122330 101102884500006045陈德亮085201机械工程666293112333 101102884500006292代健085201机械工程73617779290 101102884500006516张同杰085201机械工程695989121338 101102884500006645李帅军085201机械工程64679093314 101102884500006779田笑085201机械工程665865100289 101102884500007131刘兰强085201机械工程6658101101326 101102884500007133玄柳085201机械工程645968105296 101102884500007134刘延成085201机械工程716599119354 101102884500007281段爱波085201机械工程64557195285学院考生编号姓名专业代码专业名称政治理论外国语业务课一业务课二总分备注101102884500007282王明江085201机械工程63459994301 101102884500007283郭壮085201机械工程686578123334 101102884500007479李保平085201机械工程755785108325 101102884500007566高森祺085201机械工程5747128114346 101102884500007729高鹏飞085201机械工程595888104309 101102884500007826朱新锋085201机械工程70706995304 101102884500007989彭乾隆085201机械工程646063128315 101102884500008083李精伟085201机械工程7769122148416 101102884500008206殷瑱085201机械工程655988102314 101102884500008246江唯085201机械工程736611790346 101102884500008411刘洋085201机械工程624291104299 101102884500008412王琪085201机械工程5966100114339 101102884500008747郑彬085201机械工程594487115305 101102884500008817黄基友085201机械工程565481101292 101102884500008971刘志桐085201机械工程646780110321 101102884100001076郑童举085203仪器仪表工程61609695312 101102884100001077仲志远085203仪器仪表工程655873126322 101102884100001079岑旭东085203仪器仪表工程5951101114325 101102884100001080张牧琢085203仪器仪表工程625169126308 101102884100001085何子路085203仪器仪表工程605257148317 101102884100001138李阳085203仪器仪表工程716393114341 101102884100000329李唯暄085225兵器工程604170109280 101102884100000330相恒升085225兵器工程55709184300 101102884100000333沈文龙085225兵器工程69617290292 101102884100000337严登超085225兵器工程73586884283 101102884100000377赵耘晨085225兵器工程58548294288 101102884100000428胡鑫085225兵器工程55659292304 101102884100001103陈斌彬085225兵器工程584667104275 101102884100001104龚静芝085225兵器工程625758115292学院考生编号姓名专业代码专业名称政治理论外国语业务课一业务课二总分备注101102884100001139王兆祺085225兵器工程5565103131354 101102884100001141步超085225兵器工程756991129364 101102884500005305石领先085225兵器工程64596689278 101102884500008043岳欣085225兵器工程685095121334 101102884500008726冉莹莹085225兵器工程565078114298 101102884500008765杨松085225兵器工程706162103296 101102884500003968马云鹏085232航空工程595765109290 101102884500004625刘岩085232航空工程6357100112332 101102884500007224孙亚西085232航空工程61596789276 101102884100000443袁一超085233航天工程70547792293 101102884100000445范宗敏085233航天工程585810093309 101102884100000446李昊085233航天工程605573116304 101102884500005913刘清国085233航天工程66589397314 101102884500006548王相昂085233航天工程695710791324 101102884100000433王凡碧085234车辆工程7264108118362 101102884100000436王海丰085234车辆工程586410999330 101102884100000439唐浩强085234车辆工程7552106103336 101102884100001142陈山085234车辆工程6565104135369 101102884100001144谷文豪085234车辆工程776899128372 101102884500004622邵焕杰085234车辆工程69679183310 101102884500005859汪俊085234车辆工程707675125346 101102884500008706王凯085234车辆工程515384118306 101101454000009179杨弟洲085201机械工程785183127339985调剂101103844210820359李轲080203机械设计及理论587061111300985调剂101102864611213326李琛080202机械电子工程73609386312985调剂101100074000000958王华085225兵器工程604774102283985调剂101100074000001381白泽文085234车辆工程465383112294985调剂101100074000005717王海枫085225兵器工程574674127304985调剂101102134020211099张磊磊080203机械设计及理论75648087306985调剂学院考生编号姓名专业代码专业名称政治理论外国语业务课一业务课二总分备注101102474611212209祝云峰080203机械设计及理论726986117344985调剂101106994161120835赵荣085201机械工程706158119308985调剂101100074000001057杨文忠085232航空工程534771111282985调剂101105324371002336刘学良085234车辆工程5745102146350985调剂101100074000001060张元085225兵器工程595468117298985调剂101106994161155379张勇085201机械工程674682138333985调剂101101834140501653张习芳085201机械工程5243114136345985调剂。
南京理工大学机械工程学院2017年推荐免试研究生工作细则根据南理工教[2017]375号关于开展推荐2018届优秀本科毕业生免试攻读研究生工作的通知、南理工教[2014]413号关于印发《南京理工大学推荐优秀本科毕业生免试攻读研究生的实施办法》的通知等文件制定本工作细则。
一、学院推免工作小组成员(一)推免生遴选工作领导小组组长:何勇成员:袁军堂、杨国来、汪惠芬、罗勇、各专业负责人、赵灵、成畅、杜建宾(二)推免生遴选工作监督小组组长:袁军堂成员:周长省、谈乐斌、陆宝春、陈雄二、指标分配原则1、今年分到学院指标:92人。
2、根据学院学生人数和学科专业情况确定各专业推荐指标。
3、校级机械类培优班学生推免工作由教育实验学院组织,不占学院指标。
4、研究生支教团计划名额,不占学院指标。
满足条件并愿意申报的学生,由教育班协助,积极向相应单位自行申请。
三、成绩评定排序方法与推荐条件1、具有高尚的爱国主义情操和集体主义精神,社会主义信念坚定,社会责任感强,遵纪守法,积极向上,身心健康。
2、勤奋学习,刻苦钻研,成绩优秀,推免成绩评定按综合成绩排序:(1)前三年课程平均成绩(包括所有必修课、专业选修课)名列专业排名前30%(支教团40%),必修课、专业选修课无不及格课程者有资格参加免试排名,前三年课程平均成绩以第一次考试成绩为准(补考、重考等成绩不计算在内),成绩计算方法参照学校规定执行;(2)排名时综合考虑课程平均成绩、实践能力、社会工作等,其中,课程平均成绩所占权重为85%,课外科技活动、学科竞赛、科技创新(含授权专利、公开发表论文、科技获奖等)所占权重为10%,文体特长及社会工作等所占权重为5%,具体加分明细见附件;(3)鉴于大学英语教学的特殊性,对于非英语专业的学生,在计算前三年学习成绩均分时,不计校内大学英语成绩,以国家四级(或六级)统考成绩为准进行计算,按8学分计,国家大学英语四级统考达到460分,或者六级达425分,在英语四级和六级均符合要求的前提下,择高计算,计算方法相同;(4)基础扎实,主要基础课和专业主干课程平均成绩优良;(5)具有较强的自学能力、实验动手能力及提出问题和分析解决问题的能力,实习、课程设计及实验课成绩优良,只允许有两个“中”或者仅有一个“及格”。
南京理工大学自考助学专业招生简章南京理工大学自考助学专业招生简章南京理工大学是隶属于中华人民共和国工业和信息化部的全国重点大学,坐落在钟灵毓秀、虎踞龙蟠的古都南京。
一起来看看南京理工大学2017自考助学专业招生简章全文~一、学校简介学校由创建于1953年的新中国军工科技最高学府---中国人民解放军军事工程学院(简称“哈军工”)分建而成,经历了炮兵工程学院、华东工程学院、华东工学院等发展阶段,1993年更名为南京理工大学。
1995年,学校成为国家首批“211工程”重点建设高校;2000年,获教育部批准成立研究生院;2011年,获批建设“985工程优势学科创新平台”。
学校坚持“以人为本,厚德博学”的办学理念,秉持“进德修业,志道鼎新”的校训,弘扬“团结、献身、求是、创新”的校风,以服务国家战略需求、推动社会进步为使命,致力于建设国内一流、国际知名的特色高水平研究型大学。
学校北依紫金山,西临明城墙,校园占地3118亩。
校园内曲塘潋滟,佳木葱茏,碧草如茵,景色宜人,与中山陵风景区浑然一体,是修身治学的理想园地。
校舍建筑总面积112万平方米,固定资产总值36.5亿元,各类基础设施齐全,后勤服务系统完善。
各类教学科研仪器设备14.8亿元;图书馆藏有中外文图书文献250余万册。
学校设有机械工程学院、化工学院、电子工程与光电技术学院、计算机科学与工程学院、经济管理学院、能源与动力工程学院、自动化学院、理学院、外国语学院、公共事务学院、马克思主义学院、材料科学与工程学院、环境与生物工程学院、设计艺术与传媒学院、知识产权学院(国内首个部省共建的二级学院)等15个专业学院,建有研究生院、教育实验学院、中法工程师学院、国际教育学院、继续教育学院,并与合作方联合创办了南京理工大学紫金学院和南京理工大学泰州科技学院两个独立学院。
学校现有国家重点学科9个,江苏省优势学科6个,“十三五”江苏省重点学科9个,工信部重点学科7个,“十三五”国防特色学科10个,工程学、化学、材料科学、计算机科学四个学科进入ESI国际学科领域全球排名前1%。
南京理工大学2016年机械工程学院研究生新生学业奖学金评定
1216101000001邱亚兰机械工程学院二等学业奖学金2216101000002李振机械工程学院一等学业奖学金3216101000003刘晓晨机械工程学院二等学业奖学金4216101000007车龙机械工程学院一等学业奖学金5216101000008王季鹏机械工程学院一等学业奖学金6216101000009程春机械工程学院二等学业奖学金7216101000010洪晓文机械工程学院一等学业奖学金8216101000011李瑞机械工程学院一等学业奖学金9216101000073吴华杰机械工程学院二等学业奖学金10216101000074汪辉兴机械工程学院二等学业奖学金11216101000075王荣林机械工程学院一等学业奖学金12216101000076孙驰宇机械工程学院二等学业奖学金13216101000077董凯机械工程学院一等学业奖学金
14216101000079文祝机械工程学院二等学业奖学金15216101000080张广机械工程学院二等学业奖学金16216101000081任文科机械工程学院二等学业奖学金17616101002494周华西机械工程学院一等学业奖学金18616101002495刘幸川机械工程学院一等学业奖学金
文章来源:文彦考研旗下南京理工大学考研网。
南京理工大学机械考研分数线南京理工大学机械考研分数线概述:(一)总分线:1. 硕士研究生准考证招生:全国统一笔试最低分数线442分。
2. 博士研究生准考证招生:全国统一笔试最低分数线482分。
(二)学科线:1. 机械制造及其自动化:硕士515分,博士535分。
2. 材料成型及控制工程:硕士505分,博士535分。
3. 机械设计及理论:硕士505分,博士535分。
4. 汽车工程:硕士495分,博士525分。
5. 工业设计:硕士495分,博士525分。
南京理工大学机械考研分数线是指南京理工大学参加机械类专业硕士及博士研究生招生考试的最低分数线。
要想参加南京理工大学机械类研究生招生考试,考生必须达到全国统一笔试最低分数线:硕士研究生招生442分,博士研究生招生482分以上,方可参加考试;考生还需根据自己的专业,达到相应的学科线要求。
具体学科线如下:机械制造及其自动化:硕士515分,博士535分;材料成型及控制工程:硕士505分,博士535分;机械设计及理论:硕士505分,博士535分;汽车工程:硕士495分,博士525分;工业设计:硕士495分,博士525分。
南京理工大学机械考研分数线实施的目的,是为了维护教育资源的公平性和合理分配,保障考生的公平竞争。
南京理工大学机械考研分数线定位的标准,即要保证招生中心招收学生的质量,考生有一定的学科能力,或许也有一定的就业前景,高考分数的最低限度必须达到。
因此,谨慎报考南京理工大学机械考研的考生,需要完全掌握南京理工大学机械考研分数线,确保自己的入学准备工作是否达到这一水平,以免白费努力。
南京理工大学机械工程学院2017年推荐免试研究生工作细则根据南理工教[2017]375号关于开展推荐2018届优秀本科毕业生免试攻读研究生工作的
通知、南理工教[2014]413号关于印发《南京理工大学推荐优秀本科毕业生免试攻读研究生的实施办法》的通知等文件制定本工作细则。
一、学院推免工作小组成员
(一)推免生遴选工作领导小组
组长:何勇
成员:袁军堂、杨国来、汪惠芬、罗勇、各专业负责人、赵灵、成畅、杜建宾(二)推免生遴选工作监督小组
组长:袁军堂
成员:周长省、谈乐斌、陆宝春、陈雄
二、指标分配原则
1、今年分到学院指标:92人。
2、根据学院学生人数和学科专业情况确定各专业推荐指标。
3、校级机械类培优班学生推免工作由教育实验学院组织,不占学院指标。
4、研究生支教团计划名额,不占学院指标。
满足条件并愿意申报的学生,由教育班协助,积极向相应单位自行申请。
三、成绩评定排序方法与推荐条件
1、具有高尚的爱国主义情操和集体主义精神,社会主义信念坚定,社会责任感强,遵纪守法,积极向上,身心健康。
2、勤奋学习,刻苦钻研,成绩优秀,推免成绩评定按综合成绩排序:
(1)前三年课程平均成绩(包括所有必修课、专业选修课)名列专业排名前30%(支教团40%),必修课、专业选修课无不及格课程者有资格参加免试排名,前三年课程平均成绩以第一次考试成绩为准(补考、重考等成绩不计算在内),成绩计算方法参照学校规定执行;
(2)排名时综合考虑课程平均成绩、实践能力、社会工作等,其中,课程平均成绩所占权重为85%,课外科技活动、学科竞赛、科技创新(含授权专利、公开发表论文、科技获奖等)所占权重为10%,文体特长及社会工作等所占权重为5%,具体加分明细见附件;
(3)鉴于大学英语教学的特殊性,对于非英语专业的学生,在计算前三年学习成绩均分时,不计校内大学英语成绩,以国家四级(或六级)统考成绩为准进行计算,按8学分计,国家大学英语四级统考达到460分,或者六级达425分,在英语四级和六级均符合要求的前提下,择高计算,计算方法相同;
(4)基础扎实,主要基础课和专业主干课程平均成绩优良;
(5)具有较强的自学能力、实验动手能力及提出问题和分析解决问题的能力,实习、课程设计及实验课成绩优良,只允许有两个“中”或者仅有一个“及格”。
3、学术研究兴趣浓厚,有较强的创新意识、创新能力和专业能力倾向,对获得各类学科竞赛和科技竞赛奖励的学生同等条件下优先推荐。
4、诚实守信,学风端正,无任何考试作弊和剽窃他人学术成果记录。
5、品行表现优良,无任何违法违纪受处分记录。
6、身体健康,达到体育教学要求,符合国家硕士生招生体检标准。
7、满足下列情况之一的学生可以适当放宽第2条第(3)项所列条件的限制,英语四级
成绩放宽至425分:
(1)获得省级以上科技竞赛奖励(以学校每年公布立项的竞赛为准);
(2)平均成绩≥85,或专业排名特别靠前(前10%,包括所有必修课和专业选修课)。
8、对有特殊学术专长或具有突出培养潜质者或全国科技竞赛二等奖及以上获得者,经三名以上本校本专业教授公开联名推荐,学院推免工作小组审核后,上报学校推免生遴选工作领导小组严格审查,可不受综合排名限制,但学生有关说明材料和教授推荐信要进行公示。
四、说明
1、各专业的录取工作遵循“择优录取,宁缺勿滥”的基本原则,如某专业符合推荐条件的人数少于给定的名额时,学院将把该专业的名额重新分配到学院重点学科且生源充足的专业。
2、武器系统与工程专业的总指标具体分到各专业方向;若其中某方向符合推荐条件的人数少于最终分配的指标数,则将多余的指标作为奖励分配至卓越工程师班级。
3、列入学校拔尖创新人才培养计划的校级培优班学生经学校考核合格可获得推荐免试资格。
4、推荐工作按照学校要求将在符合推免资格学生中按学校分配名额的1:1推荐。
5、根据教育部要求,2014年起,推荐、接收工作在时间上互不交叉,推荐工作统一于每年的9月25日前结束。
6、推免工作严格遵照时间节点进行,一旦超过规定时间,视为自动放弃。
7、获得推荐免试资格的学生必须与学院签定承诺书,不得办理出国留学手续,也不得办理相关就业手续。
8、被推荐免试的学生到规定截止时间仍未落实接收单位的,推免生资格即失效。
9、入学前未取得学士学位或本科毕业证书,或受到处分的,取消录取资格。
五、推荐程序与日程安排
1、9月12日,学院确定“2017年推荐免试研究生工作细则”并上报教务处备案。
2、9月13日,学院召开“推免领导小组会议”,并公布学生综合排名结果,学生向所在学院提出推免申请,提交《南京理工大学推荐免试攻读研究生资格申请表》。
14日确定拟推荐名单并公示,并上报教务处备案。
3、9月15日以后,学校将审定的名单公示。
对有异议的学生,学校将查明情况,反馈处理。
4、9月25日以后,学校将审定后的推免生名单上报全国推荐优秀应届本科毕业生免试攻读研究生信息公开暨管理服务系统(简称“推免服务系统”)。
推免生按要求在“推免服务系统”完成报考、录取阶段等相关的工作。
考生在规定的时间内可自主多次平行报考多个招生单位及专业。
机械工程学院2017年推荐免试研究生工作小组
2017年9月12日
附件:
综合排名加分细则
综合排名时课程成绩占85%,加分项最高不超过15分,其中课外科技活动、学科竞赛、科技创新(含科技获奖、授权专利、公开发表论文等)最高加分不超过10分,文体特长及社会工作等最高加分不超过5分,课外科技活动、学科竞赛、科技创新、文体特长及社会工作等具体加分说明如下:
1 课外学术科技竞赛获奖加分说明
1.1 竞赛获奖分值奖励标准
1.2 竞赛获奖排名顺序加权系数
1.3 课外学术科技竞赛分级分类情况一览表
注:1)不包含在上表中的其余课外科技活动酌情加分最高不超过0.1,学生科技获奖酌情加分最高不超过0.2分,由学院专家委员会评定;
2)竞赛分类及项目选择由领导小组每年认定一次;
3)同一竞赛成绩获多级奖励,只计算最高级别奖励,不予累加;
4)考虑到表中序号为“1.8”、“1.9”及“2.10”的竞赛项目参加人数超过10人,获奖学生加分时排名加权不按照“1.2 竞赛获奖排名顺序加权系数”进行计算,而是根据贡献大小分级后确定加权系数。
各
(1)由指导老师根据学生的工作量大小,确定学生加分等级,获得学生加分权重系数;
(2)根据“1.3 课外学术科技竞赛分级分类情况一览表”获得该竞赛的分类级别;
(3)由“1.1竞赛获奖分值奖励标准”获得该竞赛的奖励分值;
(4)将该奖励分值乘以该生的加分权重系数,即为该学生所得加分。
2 授权专利加分说明
2.1 授权专利分值奖励标准
2.2 授权专利作者顺序加权系数
注:需为已授权专利,专利发明人数和顺序为去除指导导师后的人数和顺序。
3 发表论文加分说明
3.1 论文分值奖励标准
3.2 论文作者顺序加权系数
注:已见刊的论文必须有刊物封面、目录和正文复印件,已录用未见刊的论文必须提供录用通知、版面费发票复印件或版面费缴费记录,论文作者人数和顺序为去除指导导师后的人数和顺序。
4 文体特长社会工作类加分说明
表1 社会工作加分细则
1.学校青年志愿者协会、科学技术协会、红十字会、社团联合会第一负责人参照院级团委学生会部长
加分,其他不加分;
2.所有学生干部任职,同时期兼职不累计加分,只计最高分;
3.须出示加盖公章的支撑材料证明相关任职资历;
4.社会工作累加从第一学期开始计算;
5.获得省级及以上“大学生年度人物”、省级及以上“身边好青年”等没有配额的荣誉的加0.5分,同
一时期一名学生只加一次分。
注:1.新生类比赛均不加分。
2.所有获奖均从第一学期累加。
注:1. 新生类比赛均不加分;
2. 集体项目包括:16*100、10*100、4*100、4*400、健身操、跳绳、舞龙舞狮、球类比赛、广播
体操、十佳歌手大赛、主持人大赛等,具体以当年比赛中所设的正式项目为准;
3. 所有获奖均从第一学期累加。