广东省2013年普通高考以及录取情况
- 格式:doc
- 大小:52.00 KB
- 文档页数:19
2013年广东高考分数线公布,具体如下:一、第一批本科院校最低分数线,文科类总分594分,理科类574分,体育类文化科总分418分,体育素科240分,美术类文化科总分360分,美术素科240分,音乐类文化总分350分,音乐素科233分。
二、第二批本科A类院校(含执行本批次最低分数线的提前批本科院校)文科类总分546分,理科类总分516分,体育类文化科总分340分,体育素科200分。
美术类文化科总分335分,美术素四科225分;音乐类文化科总分320分,音乐素科210分。
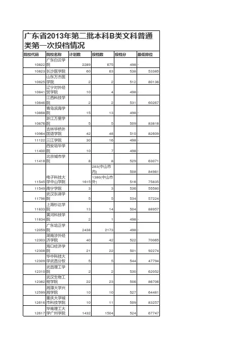
三、第二批本科B类院校,文科类总分498分,理科类总分480分,体育类文化科总分333分,体育素科198分,美术类文化科总分328分,美术素科210分,音乐类文化科总分305分,音乐素科205分。
四、第三批专科A类院校(含执行本批次最低分数线的提前批专科院校)文科类总分430分,理科类总分400分,体育类文化科总分300分,体育素科185分,美术类文化科总分280分,美术素科195分,音乐类文化科总分285分,音乐素科185分。
五、第三批专科B类院校,文科类总分300分,理科类总分300分,体育类文化科总分280分,体育素科180分,美术类文化科总分260分,美术素科175分,音乐类文化科总分260分,音乐素科165分。
六、高等院校招生中等职业学校毕业生的录取最低分数线,文化科总分200分。
前日,普通类三A院校录取开始,第一志愿投档已于前日进行。
记者获悉,今年全省有25万余名考生被本科院校录取,本科录取率35%,比去年提高1%。
至于三A院校,今年文理“高分王”均在省外,多所高校投档线远超二B,如文科最高分院校中国民航大学反超二B50分。
本科录取率:今年35%比去年提高1%8月5日,广东省二B院校征集志愿二次录取工作顺利完成,今年,二B批次院校共录取考生9.2万人,至此今年本科层次录取工作全部结束。
记者统计发现,今年广东25.25万名考生被本科院校录取,比去年要多出2万人,今年广东考生人数高达73万人,本科录取率约35%。
广东省录取分数线年份批次名称文科理科体育美术音乐2013 本科一批 595 592 482/240 325/240 350/2202013 本科二批 A 线 525 517 321/222 330/213 324/2192013 本科二批 B 线 498 510 295/195 300/230 315/2502013 第三批专科院校 A 线 465 430 306/210 2650/200 282/192 2013 第三批专科院校 B 线 355 355 255/195 240/170 280/190 2012年广东省录取分数线年份批次名称文科理科体育美术音乐2012 本科一批 589 585 424/240 360/240 360/2402012 本科二批 A 线 545 523 348/200 340/223 324/2172012 本科二批 B 线 502 484 343/198 328/210 307/2102012 第三批专科院校 A 线 445 400 316/190 280/195 290/190 2012 第三批专科院校 B 线 300 300 293/186 260/180 270/170 年份批次名称文科理科体育美术音乐2011 本科一批 580 560 398/240 358/245 351/2292011 本科二批 A 线 536 504 320/200 339/231 300/2002011 本科二批 B 线 489 460 315/198 316/222 284/1922011 第三批专科院校 A 线 439 383 300/190 300/207 258/1682011 第三批专科院校 B 线 350 330 285/185 280/185 230 /135年份批次名称文科理科体育美术音乐2010 本科一批 595 621 463/250 373/240 384/2352010 本科二批 A 线 554 567 370/210 346/223 339/2002010 本科二批 B 线 518分 527分 365/209 323/213 330/195 2010 第三批专科院校 A 线 469分 460分 328/200 298/200 290/170 2010 第三批专科院校 B 线 350分340分 317/195 268/178 245/135年份批次名称文科理科体育美术音乐2009 本科一批 587分 585分 340/235 342/240 342/762009 本科二批 A 线 540分 530分 280/200 295/223 268/64 2009 本科二批 B 线507分 507分 275/200 265/210 265/210 2009 第三批专科院校 A 线 448分 450分255/190 220/195 235/55 2009 第三批专科院校 B 线 360分 365分 245/180 200/165 200/45。
2013年广东高考分数线广东分数线公布,第一批本科,文科594分,上线人数12924人;理科574分,上线40420人。
第二批A,文科546,理科516;二批B文科498,理科480。
三批专科A,文科430,理科400;三批专科B,文理科均为300。
广东省2013年普通高校招生录取最低控制分数线一、第一批本科院校(含执行本批次最低控制分数线的提前批本科院校)文科类:总分594分。
理科类:总分574分。
体育类:文化科总分418分,体育术科240分。
美术类:文化科总分360分,美术术科240分。
音乐类:文化科总分350分,音乐术科233分。
空军飞行学员:文科类574分,理科类554分。
二、第二批本科院校A线(含执行本批次最低控制分数线的提前批本科院校)文科类:总分546分。
理科类:总分516分。
体育类:文化科总分340分,体育术科200分。
美术类:文化科总分335分,美术术科225分。
音乐类:文化科总分320分,音乐术科210分。
B线文科类:总分498分。
理科类:总分480分。
体育类:文化科总分330分,体育术科198分。
美术类:文化科总分328分,美术术科210分。
音乐类:文化科总分305分,音乐术科205分。
三、第三批专科院校A线(含执行本批次最低控制分数线的提前批专科院校)文科类:总分430分。
理科类:总分400分。
体育类:文化科总分300分,体育术科185分。
美术类:文化科总分280分,美术术科195分。
音乐类:文化科总分285分,音乐术科185分。
B线文科类:总分300分。
理科类:总分300分。
体育类:文化科总分280分,体育术科180分。
美术类:文化科总分260分,美术术科175分。
音乐类:文化科总分260分,音乐术科165分。
四、高等院校招收中等职业学校毕业生文化科总分200分,并取得广东省中等职业技术教育专业技能课程考试合格证书。
五、高职院校招收退役士兵文化课总分150分。
六、各类院校招收少数民族聚居地区少数民族考生(一)第一批本科院校少数民族预科班:文科类:总分554分,理科类:总分534分。
广东省录取分数线年份批次名称文科理科体育美术音乐2013 本科一批 595 592 482/240 325/240 350/2202013 本科二批 A 线 525 517 321/222 330/213 324/2192013 本科二批 B 线 498 510 295/195 300/230 315/2502013 第三批专科院校 A 线 465 430 306/210 2650/200 282/192 2013 第三批专科院校 B 线 355 355 255/195 240/170 280/190 2012年广东省录取分数线年份批次名称文科理科体育美术音乐2012 本科一批 589 585 424/240 360/240 360/2402012 本科二批 A 线 545 523 348/200 340/223 324/2172012 本科二批 B 线 502 484 343/198 328/210 307/2102012 第三批专科院校 A 线 445 400 316/190 280/195 290/190 2012 第三批专科院校 B 线 300 300 293/186 260/180 270/170 年份批次名称文科理科体育美术音乐2011 本科一批 580 560 398/240 358/245 351/2292011 本科二批 A 线 536 504 320/200 339/231 300/2002011 本科二批 B 线 489 460 315/198 316/222 284/1922011 第三批专科院校 A 线 439 383 300/190 300/207 258/1682011 第三批专科院校 B 线 350 330 285/185 280/185 230 /135年份批次名称文科理科体育美术音乐2010 本科一批 595 621 463/250 373/240 384/2352010 本科二批 A 线 554 567 370/210 346/223 339/2002010 本科二批 B 线 518分 527分 365/209 323/213 330/195 2010 第三批专科院校 A 线 469分 460分 328/200 298/200 290/170 2010 第三批专科院校 B 线 350分340分 317/195 268/178 245/135年份批次名称文科理科体育美术音乐2009 本科一批 587分 585分 340/235 342/240 342/762009 本科二批 A 线 540分 530分 280/200 295/223 268/64 2009 本科二批 B 线507分 507分 275/200 265/210 265/210 2009 第三批专科院校 A 线 448分 450分255/190 220/195 235/55 2009 第三批专科院校 B 线 360分 365分 245/180 200/165 200/45。
⾼考录取率:2013年⼴东⼴州近六成考⽣上本科线 ●⼀本:⽂科594分;理科574分 ●⼆A :⽂科546分;理科516分 昨⽇,⼴东⾼考正式放榜。
⼴东省招委会发布2013年⾼考成绩和公布录取分数线。
⼴东省招⽣委员会公布了今年我省普通⾼考成绩和各批次院校录取最低控制分数线:今年⼀本⽂科线594分,⼀本理科线574分。
⼴州市招考办通报,⼴州⼀本上线率13.11%创近年新⾼,55.49%考⽣上本科。
虽然今年⼴东考⽣⼈数⾸次跃居全国⾸位,但今年全国⾼校在⼴东的招⽣计划增幅还多于考⽣增幅。
不过,值得注意的是,今年⽂科⽣虽然⾼分段⼈数较去年翻番,但由于⼀本⽂科招⽣计划并未有太多增加,因⽽竞争更为激烈。
⼴东:招⽣计划增幅多于考⽣增幅 今年⼴东考⽣⼈数⾸次跃居全国⾸位,⾼达73万⼈,⽐去年增长了5.5%。
⼴东省教育考试院院长杨开乔介绍,今年⾼校在⼴东招⽣计划有53多万⼈,⽐去年增长6%,可见招⽣计划增幅⾼于⼈数增幅。
此外,记者⼜从⼴州市招办了解到,今年我市普通⾼考成绩稳中有升,第⼀批本科、第⼆批本科A线、第⼆批本科B线和第三批专科A线上线率⽐去年均有不同程度的提升,其中第⼀批本科上线率创近年新⾼,超过13%。
今年我市第⼀批本科上线率13.11%,第⼆批本科A线上线率35.93%,第⼆批本科B线上线率55.49%,第三批⼤专A线上线率80.10%,第三批⼤专B线上线率95.57%。
也就是说,今年⼴州55.49%考⽣可上本科。
去年有55.08%上本科线,96.58%的考⽣考上⼤学。
本科:录取率连续五年逐年上升 值得⼀提的是,2012年⼴东⾼校扩招“⼤头”在于专科。
但今年,据杨开乔介绍,今年全国有1400多所⾼校⾯向⼴东招⽣,本科招⽣计划是23.4万⼈,⽐去年增加了1.4万⼈,增长6.4%。
专科招⽣计划29.6万⼈,⽐去年增加了1.6万,增长5.7%。
其实,回顾过去5年,⼴东省考⽣的录取率⼀路上扬,值得注意的是,本科录取率也⼀路提⾼。
广东省招生委员会昨日公布了今年广东省普通高考成绩和各批次院校录取最低控制分数线。
其中,今年第一批本科院校录取分数线(含执行本批次最低控制分数线的提前批本科院校,下同)文科类总分594分,理科类总分574分。
广东省今年第一批本科院校录取分数线文科类总分594分,理科总分574分。
第二批本科院校A线(含执行本批次最低控制分数线的提前批本科院校)文科类总分546分,理科总分516分。
B线文科类总分:498分,理科类总分:480分。
第三批专科院校A线文科类总分:430分,理科类总分:400分。
B线文科类总分:300分,理科类总分:300分。
育才中学2013年高考喜报在广东省、深圳市高考人数创历史最高纪录、而重点率走低的形势下,南山区育才中学高考成绩逆势上扬:其中一本上线率达到35.73%,本科上线率高达94.20%,专科率继续保持100%的纪录。
与此同时,高分段人数众多,总分600分以上达82人,640分以上达5人。
这一成绩凸显了育才中学作为深圳市老牌名校的整体优势。
从市招考办获悉,2013年深圳市一本、二本上线率都较2012年有较大提高,省专上线率与2012年相同。
今年,全市实际参加高考考生人数为35115人,比2012年增加2007人。
据统计,全市达到第一批本科院校录取最低控制分数线的考生5119人,比2012年增加950人,一本上线率达16.1%(2012年为13.8%);达到第二批本科院校A线的考生12073人,比2012年增加1401人,达到二本B线的考生17182人,比2012年增加1792人,本科上线率达54%(2012年为51.1%);达到第三批专科A线的考生23216人,省专上线率达到90.2%。
全市高职类考生中,达到广东省高职院校招收“3+证书”类中职毕业生最低录取控制线的考生2549人,上线率达77.9%(2012年为76.3%)。
深圳中学2013年高考喜报深圳中学让优秀者更优秀,让平常者不平常,在大批学生已被国外名校录取的情况下,2013届高考再创佳绩。
中国教育在线讯 2013年广东高考分数线公布,具体如下:
一、第一批本科院校最低分数线,文科类总分594分,理科类574分,体育类文化科总分418分,体育术科240分,美术类文化科总分360分,美术术科240分,音乐类文化总分350分,音乐术科233分。
二、第二批本科A类院校(含执行本批次最低分数线的提前批本科院校)文科类总分546分,理科类总分516分,体育类文化科总分340分,体育术科200分。
美术类文化科总分335分,美术四科225分;音乐类文化科总分320分,音乐术科210分。
三、第二批本科B类院校,文科类总分498分,理科类总分480分,体育类文化科总分333分,体育术科198分,美术类文化科总分328分,美术术科210分,音乐类文化科总分305分,音乐术科205分。
四、第三批专科A类院校(含执行本批次最低分数线的提前批专科院校)文科类总分430分,理科类总分400分,体育类文化科总分300分,体育术科185分,美术类文化科总分280分,美术术科195分,音乐类文化科总分285分,音乐术科185分。
五、第三批专科B类院校,文科类总分300分,理科类总分300分,体育类文化科总分280分,体育术科180分,美术类文化科总分260分,美术术科175分,音乐类文化科总分260分,音乐术科165分。
六、高等院校招生中等职业学校毕业生的录取最低分数线,文化科总分200分。
广东省2013年普通高考以及录取情况2013年广东普通高考考生报考人数72.7万人,比2012年69.2万人增加3.5万多人,增长5.1%。
而原高考第一大省河南2013年则从2012年的80.5万人减少至75.8万,扣除专升本实际为71.63万人,较广东少1.07万人。
广东成为全国高考第一大省。
2012年,广东高考一本录取率仅为6%,低于全国平均水平8.5%,更远低于北京、上海25%的一本录取率。
而广东高考全国部属重点院校的录取率仅为2.49%,仅高于河南的 2.44%,排名全国倒数第二,广东优质高等教育资源严重紧缺已成为无法回避的问题。
据广东省教育厅的统计,广东户籍人口高考报名人数预计在2016年达到顶点,但随着异地高考政策的实施,广东省高考人数何时会出现拐点尚无法预计。
2013年全国普通高校招生报名总数为912万,较2012年减少3万人。
自2008年高考报名人数达到最高峰时的1040万之后,这已是连续第五年出现下滑趋势。
2013年各类院校自主招生考试已陆续展开。
“北约”综合性大学自主选拔录取联合考试、“华约”高水平大学自主选拔学业能力测试和“卓越”大学联盟学科基础测试均将于2013年3月16日同时举行。
上面三大联盟考试广东考点设在华南理工大学。
2013年广东省高职院校自主招生也将从3月21-25日开始报名。
报名时,考生可根据报考要求自行选择1所高职院校,凭高考报名号登录该校网站进行预报名,并于3月22-26日凭高考报名回执及有关材料,到该校确认报名。
报名后,考生于4月20日到报考的高职院校参加测试。
其中,普通高中学生实行“综合文化考试+面试”的形式,中职毕业生实行“综合文化考试(含综合文化知识和专业综合理论)+专业技能考核”的考试形式。
文化考试后,各招生院校于4月30日前在网上公布达到本校规定的综合文化考试要求的考生名单,并于5月10日前对这些考生进行面试或技能考核,成绩于考试结束后5个工作日内明确通知考生。
5月20日前完成自主招生录取工作。
据统计,2013年广东省有22所高职院校面向应届高三毕业生和应、往届中职毕业生自主招生近万人。
2013年,被高职院校自主招生录取考生不再参加其他高校的本、专科录取。
根据广东省考生实际,对符合广东省高考报考条件且此前未参加广东省高考报名,没有取得高考报名号和报名回执的考生(含已通过积分入户广东省未参加广东省高考报名的进城务工人员随迁子女和退伍军人等),可于3月15-20日进行高考补报名。
具体的补报名流程是:1、考生向所就读学校或市(县、区)招生办索取高考报名号和初始密码;2、凭该报名号和初始密码,非广州市考生登录广东省高考报名系统,广州市考生登录广州市高考报名系统,认真填写报名信息,确认无误后点击“信息确认”;3、到就读学校或市(县、区)招生办,签名确认报名信息。
(2013年3月10日)从2013年起,广东工业大学、广州大学、深圳大学总共46个本科专业将首次在广东省内实施一本批次招生。
3月6日,省教育厅下发《广东省教育厅关于广东工业大学、广州大学、深圳大学部分专业纳入广东省本科第一批招生的批复》,同意上述三校具有博士学位授权学科点相关的部分本科专业自2013年起在本省纳入本科第一批次招生,具体数量为广工31个,广大8个,深大7个。
由于一本批次录取计划的增加,今年省内一本录取分数线或会降低。
(2013年3月)为期2天的普通高考于8日下午顺利结束,据初步统计,全省违规舞弊考生共计15人次,其中违规7人次,作弊8人次,对违规舞弊的考生将被取消考试成绩。
省教育考试院已开始对考生答题卡进行扫描,评卷工作将于12日开始,高考分数预计于26日前后公布。
(2013年6月8日)今年广东省普通高校录取工作6日正式开始,于 7月6日开始投档,提前一本文理科共投出2600多人。
该批次大部分院校生源良好,第一次投档就能完成招生任务。
从提前一本投档情况看,今年考生填报志愿总体上比较均衡,呈现四个特点:一是热门院校生源持续“火爆”,如北京大学、香港中文大学、香港城市大学,以及招收师范生的教育部直属高校北京师范大学等五所师范大学和华南师范大学,文理科投档线均远超一本线。
文科类院校中,投档分前三所院校是北京大学(666分),香港中文大学(650分),中国人民大学(649分),理科类院校中,投档分前三所院校是北京大学(680分),香港中文大学(666分),香港城市大学(650分)。
二是考生报考部队院校热情有所提高。
今年,填报提前一本部队院校志愿考生共有1793人,遴选参加面试的考生796人,参加军校面试合格考生402人,超过提前一本部队院校招生总计划。
国防科技大学、解放军信息工程学院、第四军医大学,以及招收国防生的华南理工大学等院校,受到考生追捧。
三是飞行员招考成为“新亮点”,今年,在广东省考生中招收飞行员,主要是南方航空公司的招飞和空军招飞,分别委托北京航空航天大学、空军航空大学培养。
尽管考生要经过严格的身体检查,但均能完成招生任务。
空军航空大学今年首次在提前一本招生,但超额完成招生计划,而且在广东省招收一名本科女飞行学员,这也是空军自1951年在广东省招收2名女飞行学员后,在广东省招收的第三名女空军飞行学员。
四是考生报考公安院校的“热度”有所降低。
今年在提前一本招生的公安院校共有中国人民公安大学、中国刑事警察学院两所,第一志愿均未投满。
(2013年7月6日)7月8日,广东省高考提前一本院校第一次录取工作基本结束,本次提前一本文理科共录取了2400多名考生,该批次大部分院校已完成招生计划。
但因考生志愿不平衡,部分军队院校及国防生的招生专业未能完成计划。
少部分已达到一本分数线且经政审、体检合格的考生未被录取。
省招生办将于7月8日12:00-17:00(7月8日17:00截止),组织未被录取的这部分考生进行征集志愿,组织二次录取,录取时间为7月9日8:00-12:00。
符合条件且有意参加征集志愿的考生,可重新填报志愿,并于7月9日10:00前到所在的市、县(区)招生考试机构指定报名点打印征集志愿表,并签名。
9日组织高校进行二次录取时,以考生重新填报的征集志愿为准,考生原填报的提前一本院校志愿无效。
体检政审合格未被录取且有意向参加二次录取的考生,必须重新填报该批次志愿。
(2013年7月7日)经过7月8日的征集志愿,今年提前一本院校录取工作于9日上午顺利结束,文理科提前一本共录取考生2590多人,顺利完成了招生计划。
9日下午,参加提前二A文、理科录取的公安、武警(部队)学院和上海海关学院等院校第一次投档。
从提前二A投档情况看,今年考生填报志愿总体上呈现三个特点:一是如往年一样,今年提前二A军队、武警及招收国防生的7所院校生源异常“火爆”,考生报考积极,都能在第一次投档完成招生任务,生源充足。
二是上海海关学院、北京电子科技学院投档分高企不下,文、理科投档线均远超一本线。
文科类院校中,投档分前三所院校是上海海关学院(618分)、北京电子科技学院(611分)、四川外语学院(592分),理科类院校中,投档分前三所院校是上海海关学院(610分)、北京电子科技学院(590分)、广东工业大学(572分)。
三是今年公安院校热度有所降低,但广东省参加提前二A录取的广东警官学院,今年理科生源持续火爆,文科一改去年爆冷情况,第一志愿投档后,文理科线上生源充足。
外省几所公安、司法院校第一志愿未能投满。
(2013年7月9日)广东省2013年第一批本科高校录取工作于11日开始,从第一次投档情况来看,主要呈现四个特点:一是第一志愿组投档率较高。
今年一本院校第一志愿组投档率理科达93%多,文科达94%多,分别比上年提高1到2个百分点,考生志愿填报进一步合理。
二是考生报考外省高校热情有所提高。
在很多外省高校适当增加了招生计划的情况下,第一志愿组“零档案”的高校数量比往年明显减少,文科仅5所,理科6所。
三是名牌高校生源持续“暴涨”,投档线普遍较高。
其中,清华大学理科投档线681分,文科投档线672分;北京大学理科投档线681分,文科投档线为668分;复旦大学理科投档线674分,文科投档线662分;上海交通大学理科投档线672分,文科投档线为664分;中国人民大学理科投档线663分,文科投档线655分;浙江大学理科投档线665分,文科投档线649分;南京大学理科投档线660分,文科投档线649分;中国科技大学理科投档线为661分。
另外,今年独立代码招生的北京大学医学部理科投档线674分,上海交通大学医学院理科投档线666分。
四是省内高校生源持续“火爆”。
中山大学文科投档线629分,理科投档线625分;华南理工大学文科投档线615分,理科投档线617分;暨南大学文科投档线621分,理科投档线610分。
今年省内新增的一本招生的院校如深圳大学、广州大学、广州中医药大学、广东工业大学等,都有较多考生填报,尤其是深圳大学理科投档线588分,超出一本线14分,广州医科大学理科583分,也超出一本线9分。
对于部分高校投档线较高的现象,有关人士指出,高校投档线的高低,取决于考生报考的情况和高校投放的招生计划数。
因此,不能简单地从投档线的高低来判断高校是否热门或者优秀。
(2013年7月11日)14日,广东省绝大部分一本院校录取基本结束,共录取考生4.8万多人,其中理科3.3万多人,文科9700多人,艺术、体育5600多人。
但由于部分考生填报志愿不合理,该批次部分高校部分专业未能完成招生计划,为使更多考生有上大学深造的机会,14日18:00点起部分一本院校将进行征集志愿。
征集志愿时间为7月14日18:00-7月15日18:00止,录取时间为7月16日。
第一批录取院校征集志愿的资格线分别为:文科584分(含政策性加分,下同),理科560分;美术类文化科360分,美术术科统考240分;音乐类文化科350分,音乐术科统考233分。
这次征集志愿的招生计划有近4000名,其中文科600多名,理科3200多名。
参加今年一本征集志愿的院校,理科省内主要有今年新增一本招生的广东工业大学、广州大学,以及广州中医药大学、华南农业大学;文科省内只有广州中医药大学。
外省理科主要有东北农业大学、海南大学、合肥工业大学(宣城校区)、南京农业大学等,文科主要有辽宁大学、海南大学等。
省教育考试院将于7月14日18:00-15日18:00开放“广东省普通高考征集志愿系统”,逾时一律不再受理。
考生确定不再进行志愿修改时,必须点击“志愿确认”。
未在网上确认的志愿不予承认,已在网上确认的志愿不得更改。
考生自行上网填报征集志愿后,须在7月16日10:00前到所在的市、县(区)招生考试机构指定报名点打印征集志愿表,办理签名手续。
7月16日组织高校进行二次录取时,以考生重新填报的征集志愿为准,考生原填报的第一批志愿无效。