工程数学-复变函数与积分变换吉林大学数学学院习题详解
- 格式:doc
- 大小:5.47 MB
- 文档页数:65
《工程数学-复变函数与积分变换》吉林大学数学学院习题详解(总66页)--本页仅作为文档封面,使用时请直接删除即可----内页可以根据需求调整合适字体及大小--《工程数学-复变函数与积分变换》课后习题详解 吉林大学数学学院 (主编:王忠仁 张静)高等教育出版社 习题一(P12)对任何z ,22z z =是否成立?如果是,就给出证明。
如果不是,对哪些z 值才成立?解:设z x iy =+,则2222z x y xyi =-+,222z x y =+;若22z z =成立,则有22222x y xyi x y -+=+,即222220x y x yxy ⎧-=+⎨=⎩,解得0y =,即z x =。
所以,对任何z ,22z z =不成立,只对z 为实数时才成立。
求下列各式的值:(1)5)i ; (2)6(1)i +; (3; (4)13(1)i -。
解:(162ii eπ-=,所以555556661)223232())22i i i i e e e i i πππ--⨯-⎛⎫====--=- ⎪⎝⎭(2)因为41ii e π+=,所以63663442(1)288i i i e e e i πππ⨯⎫+====-⎪⎭(3)因为1cos sin i ππ-=+,所以()1622cos sin cossin66k k k w i i ππππππ++==+=+,其中0,1,2,3,4,5k =;即01cossin662w i i ππ=+=+,1cos sin 22w i i ππ=+=,2551cossin 662w i i ππ=+=+,3771cos sin 662w i i ππ=+=,433cossin 22w i i ππ=+=-,511111cos sin 6622w i i ππ=+=-。
(4)因为1cos()sin()44i i ππ⎤-=-+-⎥⎦,所以11362244(1)2cos sin 33k k k w i i ππππ⎡⎤-+-+⎢⎥=-=+⎢⎥⎢⎥⎣⎦,其中0,1,2k =;即1602cos()sin()1212w i ππ⎡⎤=-+-⎢⎥⎣⎦,161772cos sin 1212w i ππ⎡⎤=+⎢⎥⎣⎦,162552cos sin 44w i ππ⎡⎤=+⎢⎥⎣⎦。
(1)% =解 (1)当刀f 8⑵I …殍(3卜=M / _ J|2”=cos 2n0 + i sin 2月们贫-► 8时,cos 2sin 2H0的极限都不存在,故z n=$土发散.故急捉+)发散.习题四1.下列序列是否有极限?如果有极限,求出其极限.+ 土 (2)% =吗气(3)礼=(号). n n \z ) 时,衫不存在极限,故%的极限不存在.0 (n — 8),故[血z n — 0. ir —8 令m 二厂普r 2n.=信)"无极限.2. 下列级数是否收敛?是否绝对收敛?⑴§(螺+ :);⑵名首;(3疙(l+i )". 解(1)因无上A 】n⑵»1彳=史吉收敛:故(2)绝对收敛.91-1 M • I Al n•(3) lini (l + i )rt= lim (再)%孕,*0,故发散.庶—8 ”一>8 3. 试证级数£ (2之尸当J I <号时绝对收敛.当危\(2z)n\= 2” •\(2z)n\ = (2r)n < 1. S(2r)rt收敛,故S(2z)n绝对收敛.M a 1 It « 1解⑴击4. 试确定下列慕级数的收敛半径. ⑴、狎(2)£(1 +』)心气(3)S解 (1) lim 勺为 | — lim "-— 1,故 R 二 1, n —^8| >1—8 Tl(2) lim V \C n \ = lim J (1 + —) = lim(l + —)n= e,l|f 8A Y \Tl f ”—8 fl故R =』・ e(3) lim I 1 = lim y~~“ = lim —= 0,Wf 8 I C n I 闻f 8 ( Tl + I / ! JI —8 ?1 + 1故 R = 8.5. 将下列各函数展开为z 的幕级数,并指出其收敛区域.⑴ 7~~~~j ; (2) 7 ----- K ---- (a 工 0,& 会 0);1 + z \z - a)\z - b)fl N〈3) ~ ; (4)ch z; (5)sir?z ; (6)6*-1. (1 + z )]1- (- z') 8 8、(-/)”=云(-I)”』,原点到所有奇点的距离最小值为1 ,故I Z | < 1.(2)1 .(a = b )4- a -Z-an oc=z -=an 0原式收敛区域:2.(a h b )1 ( 1a -b z - a原式)2 尊一=、(- 1)1 次”-2,力=1(4)ch ze[+e" ―2—z2n一2(:〃!二 n!S(2”)!,1 一cos2z< 8.-[1 V (2z)H • (- 1)”2 一 2 2 乙_ JL 小(一1)2 •一2:(2Q!(5)sin2in =0(2n)!< 8.E)=广•六(。
第一章 复数与复变函数1.1计算下列各式: (1) (1)(32);i i +--解: (1)(32)(1)322 3.i i i i i +--=+-+=-+ (2);(1)(2)ii i --解:2(13)3.(1)(2)2213101010i i i i i ii i i i i i +-====+----+-(3)1(1);1z z x iy z -=+≠-+ 解: 2222222211(1)(1)12.11(1)(1)(1)z x iy x iy x iy x y yi z x iy x y x y x y-+--++-+-===++++++++++ 1.3 将圆周方程22()0(0)a x y bx cy d a ++++=≠写成复数形式(即可z 与z 表示,其中z x iy =+).解: 把22,,22z z z z x y x y z z i+-==+=⋅代入圆周方程得: ()()0,222()()20,0.b caz z z z z z d iaz z b ic z b ic z d Az z Bz Bz C ⋅+++-+=⋅+-+++=⋅+++=故其中2,,2.A a B b ic C d ==+= 1.5 将下列各复数写成三角形式.(1) sin cos ;i αα+ 解: sin cos 1,i αα+= 故sin cos cos()sin().22i i ππαααα+=-+- (2) sincos.66i ππ--解: 2arg(sincos )arctan(cot ),666263i ππππππππ--=-=--=-s i n c o s 66i ππ--=2222cos()sin()cos()sin.3333i i ππππ-+-=- 1.7 指出满足下列各式的点z 的轨迹是什么曲线?(1) 1;z i +=解: 以(0,1)-为圆心,1为半径的圆周.(2) 0,zz az az b +++=其中a 为复数,为b 实常数;解: 由题设可知 2()()||0,z a z a b a +++-=即22||||,z a a b +=- 若2||,a b =则z 的轨迹为一点;a -若2||,a b >则z 的轨迹为圆,圆心在a -,若2||,a b <无意义.第二章 解析函数1.用导数定义,求下列函数的导数: (1) ()Re .f x z z = 解: 因0()()lim z f z z f z z∆→+∆-∆0()Re()Re lim z z z z z z zz∆→+∆+∆-=∆ 0Re Re Re limz z z z z z z z∆→∆+∆+∆∆=∆0Re lim(Re Re )z zz z z z∆→∆=+∆+∆ 000Re lim(Re )lim(Re ),z x y z xz zz z z x i y ∆→∆→∆→∆∆=+=+∆∆+∆ 当0z ≠时,上述极限不存在,故导数不存在;当0z =时,上述极限为0,故导数为0.3.确定下列函数的解析区域和奇点,并求出导数.(1)(,).az bc d cz d++至少有一不为零 解: 当0c ≠时,()az b f z cz d +=+除d z c =-外在复平面上处处解析, dz c=-为奇点,222()()()()()()()()().()()az bf z cz daz b cz d cz d az b cz d a cz d c az b ad cb cz d cz d +''=+''++-++=++-+-==++当0c =时,显然有0d ≠,故()az b f z d +=在复平面上处处解析,且()af z d'=. 5.设()f z 在区域D 内解析,试证: 222222()|()|4|()|.f z f z x y ∂∂'+=∂∂证: 设 222(),|()|,f z u i v f z u v =+=+ 222(),|()|()().u uu u f z i f z x y x y∂∂∂∂''=-=+∂∂∂∂ 而2222222222222222222222222()|()|()()2()()()(),f z u v u v x y x y u u v v u u v v u v uv xx x x y y y y∂∂∂∂+=+++∂∂∂∂⎡⎤∂∂∂∂∂∂∂∂=+++++++⎢⎥∂∂∂∂∂∂∂∂⎣⎦又()f z 解析,则实部u 及虚部v 均为调和函数.故222222220,0.u u v vu v x yx y∂∂∂∂=+==+=∂∂∂∂则22222222()|()|4(()())4|()|.u uf z f z x y x y∂∂∂∂'+=+=∂∂∂∂ 7.设sin ,px v e y =求p 的值使v 为调和函数,并求出解析函数().f z u iv =+ 解: 要使(,)v x y 为调和函数,则有0.xx yy v v v ∆=+=即2sin sin 0,px px p e y e y -=所以1p =±时,v 为调和函数,要使()f z 解析,则有,.x y y x u v u v ==-1(,)cos cos (),1sin ()sin .px pxx pxpx y u x y u dx e ydx e y y pu e y y pe y pφφ===+'=-+=-⎰⎰所以11()()sin ,()()cos .px px y p e y y p e y C p pφφ'=-=-+即(,)cos ,px u x y pe y C =+故(cos sin ),1,()(cos sin ),1.x z xze y i y C e C pf z e y i y C e C p -⎧++=+=⎪⎨--+=-+=-⎪⎩9.求下列各式的值。
第一篇 复变函数第一章 复数与复变函数1. 求下列复数的实部、虚部、共轭复数、模与幅角.(1) 72)52)(43(ii i −+;(2) .4218i i i +−2. 当x ,y 等于什么实数时,等式i iiy x +=+−++135)3(1 成立?3.证明:(1);2z z z = (2)1122,z z z z = .02≠z4.求下列各式的值: (1)();35i −(2)().131i +−5.求方程083=+z 的所有根.6.设1z ,2z ,3z 三点适合条件0321=++z z z ,证明1z ,2z ,3z 是内接于单位圆1=z 的一个正三角形的顶点.7.指出下列各题中点z 的轨迹或所在的范围:(1);65=−z(2);12≥+i z(3).i z i z −=+8.描述下列不等式所确定的区域,并指出它是有界的还是无界的: (1);32≤≤z(2).141+<−z z9.将方程tt z 1+=(t 为实参数)给出的曲线用一个实直角坐标方程表出.第一章 复习题1.单项选择题(1)设iy x z +=,y x ≠||,4z 为实数,则( ).A .0=xy B.0=+y x C .0=−y x D.022=−y x(2)关于复数幅角的运算,下列等式中正确的是( ). A .Argz Argz 22= B.z z arg 2arg 2=C .2121arg arg )arg(z z z z += D.2121)(Argz Argz z z Arg += (3)=+31i ( ).A .ie 62πB.ie 62π−C .ie 62π± D.i e62π±(4)2210<++<i z 表示( ). A .开集、非区域 B.单连通区域 C .多连通区域 D.闭区域(5)z i z f =−1,则()=+i f 1( ).A .1 B.21i+ C .21i− D.i −1 (6)若方程1−=z e ,则此方程的解集为( ).A .空集 B.π)12(−=k z ,(k 为整数) C .i k z π)12(−= D. πi z =2.对任何复数22,z z z =是否一定成立?3. 解方程.0)1(22=−++i z z4. 求)(i Ln −,)43(i Ln +−和它们的主值.5. 求i e 21π−,i i e41π+,i 3和ii )1(+值.第二章 导数1.下列函数何处可导?何处解析? (1) ();2iy x z f −=(2) ().22y ix xy z f +=2.指出下列函数()z f 的解析性区域,并指出其导数.(1) ();22iz z z f +=(2) ();112−=z z f(3)(),dcz baz z f ++=(d c ,中至少有一个不为0).3.设()2323lxy x i y nx my +++为解析函数,试确定l 、m 、n 的值.4.证明:如果()z f 在区域D 内解析,并满足下列条件之一,那么是常数. (1)()z f 恒取实值. (2))(z f 在区域D 内解析. (3)()z f 在区域D 内是一个常数.5.应用导数的定义讨论下列函数的是否存在?(1)())Re(z z f =;(2)())Im(z z f =.6.证明;,sin z e z 在复平面上任一点都不解析.第二章 复习题1.单项选择题(1)函数()z f w =在点0z 可导是可微的( ).A .必要但非充分条件 B. 充分但非必要条件 C .充分必要条件D. 既非充分也非必要条件(2)函数()z f w =在点0z 可导是连续的( ).A .必要但非充分条件 B. 充分但非必要条件 C .充分必要条件D. 既非充分也非必要条件(3)函数()),(),(y x iv y x u z f +=,则在()00,y x 点,v u ,均可微是函数()z f 在点0z 可微的( ).A .必要但非充分条件 B. 充分但非必要条件 C .充分必要条件D. 既非充分也非必要条件(4)函数()22ix xy z f −=,那么( ). A .()z f 处处可微 B. ()z f 处处不可导 C .()z f 仅在原点可导 D. ()z f 仅在x 轴上可导(5)若,0,,00,),(222222=+≠++=y x y x y x xy y x u ,,),(xy y x v =()iv u z f +=,则()z f ( ).A .()z f 仅在原点可导 B. ()z f 处处不可导C .()z f 除原点外处处可导 D. ()z f 处处可微(6)若()()y x y i xy x z f 233333+−+−=, 那么()z f ( ).A .()z f 仅在原点可导且()00=′f B. ()z f 处处解析且()xy i y x z f 63322+−=′ C .()z f 处处解析且()xy i y x z f 63322−−=′ D. ()z f 处处解析且()xy i x y z f 63322+−=′ (7)函数()z z z f = ,则( ). A .()z f 在全平面解析 B. ()z f 仅在原点解析C .()z f 仅在原点可导但不解析 D. ()z f 处处不可导(8)设()34−=′z z f ,且()i i f 31−=+,则()=z f ( ).A . i z z −−322 B. i z z 3322+− C .i z z 43322+−+ D. i z z 43322−+− 2.指出函数112+z 的解析性区域,并求导数.3.如果0z 是()z f 的奇点,而()z g 在0z 解析,那么0z 是否是())(z g z f +和())(z g z f 的奇点.4.若()iv u z f +=是区域D 内的解析函数,那么在D 内v +iu 是否也是解析函数.第三章 积分1.沿下列路径计算积分∫Czdz Re .(1)自原点至1+i 的直线段;(2)自原点沿实轴至1,再由1铅直向上至1+i ;(3)自原点沿虚轴至i ,再由i 沿水平向右至1+i .2.分别沿y =x 与2x y =计算积分()∫++i dz iy x102的值.3计算积分dz zzC∫,其中C 为正向圆周,2=z .4.计算下列积分 ,其中C 为正向圆周,1=z . (1);21dz z C ∫− (2);4212dz z z C ∫++(3);cos 1dz zC ∫ (4);211dz z C∫−(5);dz ze Cz ∫(6)().)2(21dz i z z C∫−+5.沿指定曲线正向计算下列积分:(1)dz z C ∫−21,C :12=−z ;(2)dz a z C ∫−221,C: a a z =−;(3),3dz z zC ∫− C :2=z ;(4)()()dz z z C∫++41122,C :23=z ;(5)dz zzC ∫sin ,C :1=z ; (6)dz z zC∫−22sin π,C :2=z .6.计算下列各题: (1)∫−ii z dz e ππ32;(2)∫−iizdz ππ2sin ;(3).)(0∫−−iz dz e i z7.计算下列积分:(1)dz i z z C ∫+++2314,C :4=z ,正向; (2)dz z iC ∫+122,C :61=−z ,正向; (3),cos 213dz z zC C C ∫+= 1C :2=z ,正向,2C :3=z ,负向;(4)dz i z C ∫−1,C 为以i 56,21±±为顶点的正向菱形; (5)()dz a z eC z∫−3;其中a 为1≠a 的任何复数,C :1=z ,正向.9. 设C 为不经过a 与a −的简单正向闭曲线,a 为不等于0的任何复数,试就a 与a −跟C 的各种不同位置,计算积分dz a z zC ∫−22的值.第三章 复习题1.单项选择题.(1)设C 为θi e z =,θ从2π−到2π的一段,则=∫Cdz z ( ).A .i B.2i C .-2i D.- i(2)设C 是从0=z 到i z +=1的直线段,则=∫Cdz z ( ).A .1+i B.21i+ C .i e4π− D. ie 4π(3)设C 为θi e z =,θ从0到π的一段,则=∫Czdz arg ( ).A .i 2−−π B. π− C .i 2+π D. i 2−π(4)设C 为t i z )1(−=,t 从1到0的一段,则=∫Cdz z ( ).A .1 B.-1 C .i D.- i(5)设C 为1=z 的上半部分逆时针方向,则=−∫Cdz z )1(( ).A .2i B.2 C .-2i D.- 2(6)设C 为θi e z 21=,正向,则=−∫C z dz e e zsin ( ).A .sin1 B.e i 1sin 2π C .e i 1sin 2π− D.0(7)=++∫=dz z z z 12221( ).A .i π2 B.i π2− C .0 D.π2 (8)设C 为沿抛物线12−=x y 从()0,1−到()0,1的弧度,则=+∫C dz z )1sin(( ).A .0 B.2cos − C .12cos − D. 12cos − (9)=++∫=+dz z z e z z 232)1(232( ). A .0 B.i π32C .i π2 D. i π2−(10)=++∫=dz z z zz 121682cos π( )A .0 B.i π C .i π− D. i π2.(11)=+∫=dz z zz 221( ).A .0 B.i π2 C .i π2− D. i π(12)=∫=dz z e z z12( ).A .i π2 B. i π C .0 D. π (13)1322z z z e dz ==∫( ).A .i π2 B. i π16 C .i π8 D. i π4 2.计算()∫Γ−=dz z z e I z12,其中Γ是圆环域:221≤≤z 的边界.3.(1)证明:当C 为任何不经过原点的闭曲线时,则;012=∫dz zC(2)沿怎样的简单闭曲线有;012=∫dz z C(3)沿怎样的简单闭曲线有.0112=++∫dz z z C4.设(),4ζζζπd ze zf C ∫−=其中C :2=z ,试求()i f ,()i f −及()i f 43−的值.5.计算()22,2z Ce z I dz z =+∫其中C :.1=z6.()()∫=−=12,ζζζdz z e z f z()1≠z ,求().z f ′第四章 级数1.判别下列级数的绝对收敛性与收敛性:();11∑∞=n nni()∑∞=2;ln 2n nni();8)56(30∑∞=+n n ni().2cos 40∑∞=n n in2.求下列幂级数的收敛半径:()为正整数);p nz n p n(,11∑∞=()∑∞=12;)!(2n nn z nn()∑∞=+0;)1(3n nnz i().41∑∞=n n n iz e π3.把下列各函数展开成z 的幂级数,并指出它们的收敛半径: ();1113z +();)1(1223z +();cos 32z();4shz();5chz().sin 622z e z4.求下列各函数在指定点0z 处的泰勒展开式,并指出它们的收敛半径: ();1,1110=+−z z z()();110,10,1122<−<<<−z z z z()()(),2113−−z z;21,110+∞<−<<−<z z()()为中心的圆环域内;在以i z i z z =−,142第四章 复习题1.单项选择题:()().112的收敛半径为幂级数∑∞=n nin z e0.A 1.B 2.C ∞.D()()∑∞=1.1sin 2n nnz n 的收敛半径为幂级数0.A 1.B e C . ∞.D()()()∑∞=−1.13n n n z i 的收敛半径为幂级数1.A 21.B 2.C 21.D()()()∑∞=+12.434n n n z i 的收敛半径为幂级数5.A 51.B 5.C 51.D ()()∑∞=1.!5n nn z n 的收敛半径为幂级数1.A ∞.B 0.C e D .()()∑∞−∞=−=>=n nne a z za z z.,0,6721则设!71.A !71.−B !91.C !91.−D()∑∞==−10,2.2n nn z z a 收敛,能否在幂级数 .3发散而在=z().1.32的和函数求n n z n n ∑∞=−.0cos 1.40处的泰勒展开式在求=−∫z d zζζζ上的罗朗展开在求函数11sin .512>−∫=ζζζζz d z .式第五章 留数1.判断下列函数奇点的类型,如果是极点,指出它的阶数:()();11122+z z();sin 23z z();11323+−−z z z()();1ln 4zz +();511−z e()().1162−z e z()..2在有限奇点处的留数求下列各函数z f();2112zz z −+();1242z e z −()();113224++zz();cos 4zz();11cos5z−().1sin 62zz3.计算下列各积分(利用留数,圆周均取正向).();sin 123∫=z dz z z()();12222dz z e z z∫=−()();,cos 1323为整数m dz z zz m∫=−();tan 43∫=z zdz π().521111∫=−−z z dz ze点?并是下列各函数的什么奇判断∞=z .4.的留数求出在∞();121z e();sin cos 2z z −().3232zz+()[]的值,如果:求∞,Re 5.z f s()();112−=z ez f z()()()().41124−+=z z z z f6.计算下列各积分,C 为正向圆周:()()()∫=++Cz C dz zzz ;3:,211342215().2:,1213=+∫z C dz e z z zC7.计算下列积分:();sin 351120θθπd ∫+()();0,cos sin 2202>>+∫b a d b a θθθπ()()∫+∞∞−+;11322dx x()∫+∞∞−++.54cos 42dx x x x第五章 复习题1.单项选择题:()().1sin101的是函数zz = 本性奇点.A 可去奇点.B 一级奇点.C 非孤立奇点.D()().0,1cos Re 2=z z s0.A 1.B 21.C 21.−D()()()().,11Re 32=+−i z i z s 4.i A 4.i B − 41.C 41.−D()().0,1Re 44=−−z e s z !31.A !31.−B !41.C !41.−D()()()∫=−=+21.,15z n n n dz z z 为正整数0.A i B π2. i n C π2. niD π2.()()∫=−=11.6z zz dz zei e A 1.−π i B π2. i e C 12.−π i D π2.−()()∫==−25.117z dz z 0.A i B π2. i C π25. i D π52.2.判断zz e 1+的孤立奇点的类型,并求其留数.3.计算n dz z z z n,1cos 1∫=是正整数.4.计算积分∫=−+114.1z z dz5.计算积分∫+πθθ20.cos 2d6.计算∫+∞+04.11dx x7.计算∫+∞+02.42cos dx x x复变函数总复习题一、单项选择题:(1) 函数z w ln =在i e z =处的值为(). (k 为整数)A. ()i k 12+πB. ()i k π12+C. i k π2D. i k π+212(2) 设积分路径C 为从原点到i +2的直线段, 则积分()=∫Cydz .A. 21i− B. 21i +C. i +1D. i −1(3) 1=z 是函数1ln 2−z z的( ).A. 可去奇点B. 极点C. 本性奇点D. 非孤立奇点 (4) 设()33iy x z f −=, 则()z f 在复平面上( ).A. 处处可导 B. 仅在0=z 处解析 C. 处处不可导 D. 仅在0=z 处可导(5) ()()=−∫=−dz z e z iz211221. A.21i+ B. i +1 C. ()i e i +−12π D. 2π−(6) 函数21z e z+以∞=z 为( ).A. 可去奇点 B. 极点 C. 本性奇点 D. 解析点(7) 0=z 是ze z 111−−的( ).A. 可去奇点 B. 极点 C. 本性奇点 D. 解析点(8) 由2121>−z 与2123>−i z 所确定的点集是( ).A. 开集、非区域 B. 单连通区域 C. 多连通区域 D. 闭区域(9) ()=+−∫=dz z z z z z 122sin cos 1. A. 0 B. i π2 C. i π D. i π3二、填空题:1. =i e π9 .2.=+∫=dz z z 12121. 3. 设()()z z z f Im =, 则()=′0f .4. 级数()()()∑∞=+−+−0124121n n nz n 的收敛范围为 .5. 函数z 211−在+∞<<z 21内的罗朗展式为 . 6.()=−∫=dz z z 12 .7. 级数()∑∑∞=∞=+−12121n n n n n nn z z 的收敛范围是 .8. ()2236z z z z z f ++−=, ()()=∞,Re z f s .9. =−1,1sin Re z z s ;=−1,11sin Re z z s .三、解答下列各题:1. 已知()(),21i i z −+= 求()Re z .2. 求2122lim 1z zz z z z →+−−−.3. 讨论()2z z f =在0=z 处的可导性及解析性.4. 讨论()()yx i x y x z f 322322−++−−=的解析性, 并求出在解析点处的导数.5. 计算()12CIi z dz =+−∫, 其中C 为连接01=z , 12=z 和i z +=13, 从1z 至2z 至3z 的折线段.6. 将z 2sin 展开为z 的幂级数.7. 求级数()n n nn z n 214302+++∑∞=的收敛圆, 并讨论在47−=z 和49−=z 处的收敛性.8. 求()242−=z z z f 在3<z 内所有留数之和.9. 求函数z cot 在它所有有限孤立奇点处的留数.10. 求()()222aze zf ibz+=在ai −处的留数,(a , b 为实数).11. 计算积分()()dz z e z zI z z∫=−+−=232189.12. 计算积分dz z z I z ∫=++=2365112.13. 计算积分dz z z I z ∫=+−=22211.14. 计算积分dz z z e i I z z∫=++=2241221π.15. 计算积分()dx axx I ∫∞++=02222, ()0>a .四、证明题:1. 证明()=≠+=0,00,22z z yx xyz f 在0=z 处不连续.2. 证明0→z 时, 函数()()22Re zz z f =的极限不存在.第二篇 积分变换1. 设() >≤=1,01,1t t t f , 试算出()ωF , 并推证:>=<=∫∞+1,01,41,2cos sin 0t t t d t ππωωωω. (提示()t f 为偶函数)2. 求矩形脉冲函数()≤≤=其它,00,τt A t f 的傅氏变换.3. 求()><−=1,01,1222t t t t f 的傅氏积分. 4. 求()2sin tt f = 的拉氏变换.5. 求()≥<≤−<≤=4,042,120,3t t t t f 的拉氏变换.6. 求下列函数的拉氏逆变换:(1) ()221as s F +=;(2) ()441a s s F −=答案第一章:,2295,135.3,13Im ,5.3Re )1.(1=+−=−=−=z i z z z ).(,23arctan ,10||,31,3Im ,1Re )2();(,)12()726arctan(arg Z k k Argz z i z z z Z k k z ∈+−==+=−==∈++=ππ.11,1.2==y x().2,1,0,2)2(;16316)1.(43275.06=−−+k ei k iπ5..31,2,31i i −−+7.(1)以z =5为圆心,6为半径的圆;(2)以z =-2i 为圆心,1为半径的圆周及圆周的外部;(3)i 和i 两点的连线的中垂线. 8.(1)圆环形闭区域,有界; (2)中心在,1517−=z 半径为158的圆周的外部区域,无界. 9.xy =1。
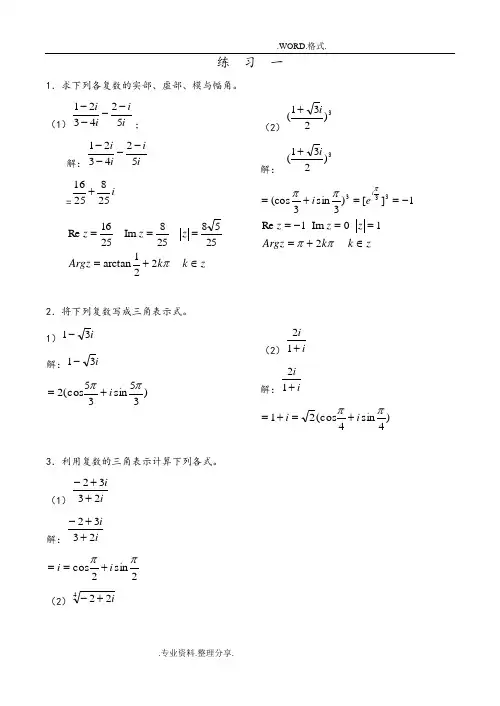
练 习 一1.求下列各复数的实部、虚部、模与幅角。
(1)i ii i 524321----; 解:i iii 524321---- =i 2582516+zk k Argz z z z ∈+====π221arctan 2558258Im 2516Re(2)3)231(i + 解: 3)231(i +zk k Argz z z z e i i∈+===-=-==+=πππππ210Im 1Re 1][)3sin3(cos3332.将下列复数写成三角表示式。
1)i 31- 解:i 31-)35sin 35(cos2ππi +=(2)i i +12 解:i i +12 )4sin4(cos21ππi i +=+=3.利用复数的三角表示计算下列各式。
(1)i i2332++- 解:i i 2332++- 2sin2cosππi i +==(2)422i +-解:422i +-41)]43sin 43(cos 22[ππi +=3,2,1,0]1683sin 1683[cos 2]424/3sin ]424/3[cos 28383=+++=+++=k k i k k i k ππππππ4..设321,,z z z 三点适合条件:321z z z ++=0,,1321===z z z 321,,z z z 是内接于单位圆z =1的一个正三角形的项点。
证:因,1321===z z z 所以321,,z z z 都在圆周32z z ++=0则,321z z z -=+1321=-=+z z z ,所以21z z +也在圆周1=z 上,又,12121==-+z z z z 所以以0,211,z z z +为顶点的三角形是正三角形,所以向量211z z z +与之间的张角是3π,同理212z z z +与之间的张角也是3π,于是21z z 与之间的张角是32π,同理1z 与3z ,2z 与3z 之间的张角都是32π,所以321,,z z z 是一个正三角形的三个顶点。
练 习 一1.求下列各复数的实部、虚部、模与幅角。
(1)i ii i 524321----; 解:i ii i 524321---- =i 2582516+zk k Argz z z z ∈+====π221arctan2558258Im 2516Re(2)3)231(i + 解: 3)231(i +zk k Argz z z z e i i∈+===-=-==+=πππππ210Im 1Re 1][)3sin3(cos3332.将下列复数写成三角表示式。
1)i 31- 解:i 31-)35sin 35(cos2ππi +=(2)i i +12解:i i+12 )4sin 4(cos21ππi i +=+=3.利用复数的三角表示计算下列各式。
(1)i i2332++- 解:i i 2332++- 2sin2cosππi i +==(2)422i +-解:422i +-41)]43sin 43(cos 22[ππi +=3,2,1,0]1683sin 1683[cos 2]424/3sin ]424/3[cos 28383=+++=+++=k ki k k i k ππππππ4..设321,,z z z 三点适合条件:321z z z ++=0,,1321===z z z 321,,z z z 是内接于单位圆z=1的一个正三角形的项点。
证:因,1321===z z z 所以321,,z z z 都在圆周,11==z z 又因321z z z ++=0则,321z z z -=+1321=-=+z z z ,所以21z z +也在圆周1=z 上,又,12121==-+z z z z 所以以0,211,z z z +为顶点的三角形是正三角形,所以向量211z z z +与之间的张角是3π,同理212z z z +与之间的张角也是3π,于是21z z 与之间的张角是32π,同理1z 与3z ,2z 与3z 之间的张角都是32π,所以321,,z z z 是一个正三角形的三个顶点。
《工程数学-复变函数与积分变换》课后习题详解 吉林大学数学学院 (主编:王忠仁 张静)高等教育出版社 习题一(P12)1.1 对任何z ,22z z =是否成立?如果是,就给出证明。
如果不是,对哪些z 值才成立?解:设z x iy =+,则2222z x y xyi =-+,222z x y =+;若22z z =成立,则有22222x y xyi x y -+=+,即222220x y x yxy ⎧-=+⎨=⎩,解得0y =,即z x =。
所以,对任何z ,22z z =不成立,只对z 为实数时才成立。
1.2 求下列各式的值:(1)5(3)i -; (2)6(1)i +; (3)61- ; (4)13(1)i -。
解:(1)因为632ii eπ--=,所以5555566631(3)223232()16(3)22i i i i e e e i i πππ--⨯-⎛⎫-====--=-+ ⎪⎝⎭(2)因为412ii e π+=,所以63663442(1)2288i i i e e e i πππ⨯⎛⎫+====- ⎪⎝⎭(3)因为1cos sin i ππ-=+,所以()166221cos sin cossin66k k k w i i ππππππ++=-=+=+,其中0,1k =;即031cossin6622w i i ππ=+=+,1cos sin 22w i i ππ=+=, 25531cossin 6622w i i ππ=+=-+,37731cos sin 6622w i i ππ=+=--,433cossin 22w i i ππ=+=-,5111131cos sin 6622w i i ππ=+=-。
(4)因为12cos()sin()44i i ππ⎡⎤-=-+-⎢⎥⎣⎦,所以11362244(1)2cos sin 33k k k w i i ππππ⎡⎤-+-+⎢⎥=-=+⎢⎥⎢⎥⎣⎦,其中0,1,2k =;即1602cos()sin()1212w i ππ⎡⎤=-+-⎢⎥⎣⎦,161772cos sin1212w i ππ⎡⎤=+⎢⎥⎣⎦,162552cos sin 44w i ππ⎡⎤=+⎢⎥⎣⎦。
复变函数与积分变换习题答案习题六1. 求映射1w z=下,下列曲线的像. (1) 22x y ax += (0a ≠,为实数) 解:222211i=+i i x y w u v z x y x y x y ===-+++ 221x x u x y ax a===+,所以1w z =将22x y ax +=映成直线1u a=. (2) .y kx =(k 为实数) 解: 22221i x y w z x y x y ==-++ 222222x y kxu v x y x y x y ==-=-+++ v ku =-故1w z=将y kx =映成直线v ku =-.2. 下列区域在指定的映射下映成什么?(1)Im()0,(1i)z w z >=+;解: (1i)(i )()i(+)w x y x y x y =+?+=-+ ,.20.u x y v x y u v y =-=+-=-<所以Im()Re()w w >.故(1i)w z =+?将Im()0,z >映成Im()Re()w w >. (2) Re(z )>0. 0=. 解:设z =x +i y , x >0, 0i i i(i )i x y y x w z x iy x y x y x y -====+++++ Re(w )>0. Im(w )>0. 若w =u +i v , 则2222,u vy x u v u v==++ 因为0221101,()22u u v u v <<-+>+ 故i w z =将Re(z )>0, 00,Im(w )>0, 1212w > (以(12,0)为圆⼼、12为半径的圆)3. 求w =z 2在z =i 处的伸缩率和旋转⾓,问w =z 2将经过点z =i 且平⾏于实轴正向的曲线的切线⽅向映成w 平⾯上哪⼀个⽅向?并作图.解:因为w '=2z ,所以w '(i)=2i , |w '|=2, 旋转⾓arg w '=π2. 于是, 经过点i 且平⾏实轴正向的向量映成w 平⾯上过点-1,且⽅向垂直向上的向量.如图所⽰.→4. ⼀个解析函数,所构成的映射在什么条件下具有伸缩率和旋转⾓的不变性?映射w =z 2在z 平⾯上每⼀点都具有这个性质吗?答:⼀个解析函数所构成的映射在导数不为零的条件下具有伸缩率和旋转不变性映射w =z 2在z =0处导数为零,所以在z =0处不具备这个性质.5. 求将区域06. 试求所有使点1±不动的分式线性变换. 解:设所求分式线性变换为az bw cz d+=+(ad -bc ≠0)由11-→-.得 1a bb acd c d-+-==+--+ 因为(1)a z c dw cz d ++-=+,即(1)(1)1a z c z w cz d++++=+,由11→代⼊上式,得22a ca d c d+=?=+. 因此11(1)(1)d cd cd c w z z cz d z +++=+=+?++ 令dq c =,得 1(1)(1)/()(1)(1)11(1)(1)/()2(1)(1)1w z q z q z q z a w z q z q z q z +++++++===?-+++---- 其中a 为复数.反之也成⽴,故所求分式线性映射为1111w z a w z ++=?--, a 为复数.7. 若分式线性映射,az bw cz d+=+将圆周|z |=1映射成直线则其余数应满⾜什么条件?解:若az b w cz d +=+将圆周|z |=1映成直线,则dz c=-映成w =∞. ⽽dz c=-落在单位圆周|z |=1,所以1d c -=,|c |=|d |.故系数应满⾜ad -bc ≠0,且|c |=|d |.8. 试确定映射,11z w z -=+作⽤下,下列集合的像. (1) Re()0z =; (2) |z |=2; (3) Im(z )>0. 解:(1) Re(z )=0是虚轴,即z =i y 代⼊得. 22222i 1(1i )12i i 1111y y y yw y y y y ----+===+?++++ 写成参数⽅程为2211y u y -+=+, 221yv y =+, y -∞<<+∞. 消去y 得,像曲线⽅程为单位圆,即u 2+v 2=1.(2) |z |=2.是⼀圆围,令i 2e ,02πz θθ=≤≤.代⼊得i i 2e 12e 1w θθ-=+化为参数⽅程.354cos u θ=+ 4sin 54cos u θθ=+ 02πθ≤≤ 消去θ得,像曲线⽅程为⼀阿波罗斯圆.即22254()()33u v -+=(3) 当Im(z )>0时,即11Im()011w w z w w ++=-?<--, 令w =u +i v 得221(1)i 2Im()Im()01(1)i (1)w u v v w u v u v +++-==<--+-+.即v >0,故Im(z )>0的像为Im(w )>0.9. 求出⼀个将右半平⾯Re(z )>0映射成单位圆|w |<1的分式线性变换. 解:设映射将右半平⾯z 0映射成w =0,则z 0关于轴对称点0z 的像为w =∞,所以所求分式线性变换形式为00z z w k z z -=?-其中k 为常数.⼜因为00z z w k z z -=?-,⽽虚轴上的点z 对应|w |=1,不妨设z =0,则i 00||1e ()z z w k k k z z θθ-=?==?=∈-R故000e (Re()0)i z z w z z z θ-=?>-.10. 映射e 1i z w zαα-=?-?将||1z <映射成||1w <,实数?的⼏何意义显什么?解:因为2i i 22(1)()()1||()e e (1)(1)z z w z z z ?αααααα-----'=?=?-?- 从⽽2i i 2221||1()e e (1||)1||w ?αααα-'=?=?-- 所以i 2arg ()arg e arg (1||)w ?αα?'=-?-= 故?表⽰i e 1z w zθαα-=?-在单位圆α处的旋转⾓arg ()w α'.11. 求将上半平⾯Im(z )>0,映射成|w |<1单位圆的分式线性变换w =f (z ),并满⾜条件(1) f (i)=0, arg (i)f '=0; (2) f (1)=1, f.解:将上半平⾯Im(z )>0, 映为单位圆|w |<1的⼀般分式线性映射为w =k z z αα-?-(Im(α)>0). (1) 由f (i)=0得α=i ,⼜由arg (i)0f '=,即i 22i()e (i)f z z θ'=?+,πi()21(i)e 02f θ-'==,得π2θ=,所以ii iz w z -=?+. (2) 由f (1)=1,得k =11αα--;由f ,得k α联⽴解得w =12. 求将|z |<1映射成|w |<1的分式线性变换w =f (z),并满⾜条件: (1) f (12)=0, f (-1)=1. (2) f (12)=0, 12πarg ()2f '=, (3) f (a )=a , arg ()f a ?'=.解:将单位圆|z |<1映成单位圆|w |<1的分式线性映射,为i e1z w zθαα-=-?, |α|<1.(1) 由f (12)=0,知12α=.⼜由f (-1)=1,知 1i i i 2121e e (1)1e 1π1θθθθ--?=-=?=-?=+.故12221112zz z w z --=-?=--. (2) 由f (12)=0,知12α=,⼜i 254e (2)z w z θ-'=?- i 11224π()earg ()32f f θθ''=?==,于是π21i 2221e ()i 12zz z w z--==?--. (3) 先求=()z ξ?,使z =a 0ξ→=,arg ()a ?θ'=,且|z |<1映成|ξ|<1. 则可知 i =()=e 1z a z a zθξ?-?-?再求w =g (ξ),使ξ=0→w =a , arg (0)0g '=,且|ξ|<1映成|w |<1. 先求其反函数=()w ξψ,它使|w|<1映为|ξ|<1,w =a 映为ξ=0,且arg ()arg(1/(0))0w g ψ''==,则=()=1w aw a wξψ--?.因此,所求w 由等式给出.i =e 11w a z aa w a zθ--?-?-?.13. 求将顶点在0,1,i 的三⾓形式的部映射为顶点依次为0,2,1+i 的三⾓形的部的分式线性映射.解:直接⽤交⽐不变性公式即可求得02w w --∶1i 01i 2+-+-=02z z --∶i 0i 1--2w w -.1i 21i +-+=1z z -.i 1i- 4z(i 1)(1i)w z -=--+.14. 求出将圆环域2<|z |<5映射为圆环域4<|w |<10且使f (5)=-4的分式线性映射. 解:因为z=5,-5,-2,2映为w=-4,4,10,-10,由交⽐不变性,有2525-+∶2525---+=104104-+--∶104104+- 故w =f (z )应为55z z -+∶2525---+=44w w +-∶104105+- 即 44w w +-=55z z --+20w z=-.讨论求得映射是否合乎要求,由于w =f (z )将|z |=2映为|w |=10,且将z =5映为w =-4.所以|z |>2映为|w |<10.⼜w =f (z )将|z |=5映为|w |=4,将z =2映为w =-10,所以将|z |<5映为|w |>4,由此确认,此函数合乎要求.15.映射2w z =将z 平⾯上的曲线221124x y ??-+= ??映射到w 平⾯上的什么曲线?解:略.16. 映射w =e z将下列区域映为什么图形. (1) 直线⽹Re(z )=C 1,Im(z )=C 2;(2) 带形区域Im(),02πz αβαβ<<≤<≤; (3) 半带形区域Re()0,0Im(),02πz z αα><<≤≤.解:(1)令z =x +i y , Re(z )=C 1, z =C 1+i y 1i =e e Cyw ??, Im(z )=C 2,则z =x +i C 22i =e e C x w ??故=e zw 将直线Re(z )映成圆周1e Cρ=;直线Im(z )=C 2映为射线2C ?=.(2)令z =x +i y ,y αβ<<,则i i =e ee e ,z x yx y w y αβ+==?<<故=e zw 将带形区域Im()z αβ<<映为arg()w αβ<<的⾓为βα-的⾓形区域. (3)令z =x +i y ,x >0,0 i =e e e (0,0)e 1,0arg z x yx w x y w αα=?><<<故=e zw 将半带形区域Re(z )>0,01, 0arg w α<<(02πα≤≤).17. 求将单位圆的外部|z |>1保形映射为全平⾯除去线段-1w z=将|z |>1映为|w 1|<1,再⽤分式线性映射. 1211i 1w w w +=-?-将|w 1|<1映为上半平⾯Im(w 2)>0, 然后⽤幂函数232w w =映为有割痕为正实轴的全平⾯,最后⽤分式线性映射3311w w w -=+将区域映为有割痕[-1,1]的全平⾯. 故221121132222132111111i 1111111()11211i 1111z z z z w w w w w z w w z w w ++--?- ? ?----=====+++?? ++-?++ ? ?--.18. 求出将割去负实轴Re()0z -∞<≤,Im(z )=0的带形区域ππIm()22z -<<映射为半带形区域πIm()πw -<<,Re(w )>0的映射.解:⽤1e zw =将区域映为有割痕(0,1)的右半平⾯Re(w 1)>0;再⽤1211ln1w w w +=-将半平⾯映为有割痕(-∞,-1]的单位圆外域;⼜⽤3w =⾯;再⽤43ln w w =将区域映为半带形00;最后⽤42i πw w =-映为所求区域,故e 1ln e 1z z w +=-.19. 求将Im(z )<1去掉单位圆|z |<1保形映射为上半平⾯Im(w )>0的映射. 解:略.20. 映射cos w z =将半带形区域00保形映射为∞平⾯上的什么区域. 解:因为 1cos ()2iz iz w z e e -==+ 可以分解为w 1=i z ,12e ww =,32211()2w w w =+由于cos w z =在所给区域单叶解析,所以(1) w 1=i z 将半带域旋转π2,映为0w =将区域映为单位圆的上半圆部|w 2|<1,Im(w 2)>0. (3) 2211()2w w w =+将区域映为下半平⾯Im(w )<0.。
工程数学(复变与积分变换A集)目录 1工程数学(复变与积分变换A集)目录A.1 复数与复变函数(第一章) (2)1.1复数 (2)1.2复变函数 (4)A.2 导数(第二章) (6)2.3解析函数 (6)2.4调和函数 (8)A.3 积分(第三章) (9)3.3柯西积分公式解析函数的导数 (9)A.4 级数(第四章) (11)4.3泰勒级数 (11)4.4罗朗级数 (13)A.5 留数(第五章) (15)5.2留数及留数定理(2) (15)5.3应用留数计算定积分 (17)A.6 傅里叶变换(第七章) (18)7.1傅里叶积分 (18)7.2傅里叶变换 (19)7.3δ函数及其傅里叶变换 (20)2 工程数学习题集(复变函数与积分变换A 集)A.1 复数与复变函数(第一章)1.1 复数1.选择题(1) ( )Re()iz =(A) (B)Re()iz −Im()z −(C) (D)Im()z Im()iz (2) 下列对任意复数均成立的等式为( )z (A)22z z = (B)()22z z = (C)()22arg arg z z = (D)()22R e R e z z = 2. 将下例函数化为三角表达式和指数表达式(1)i +1解(2)i 解(3) 21i − 解A.1 复数与复变函数(第一章) 33. 填空题(1) 设,则复数的形式为8214z i i i =−+z x iy =+ 复数的模为z 辐角主值为(2) 设复数5z i =−,则其三角形式指数形式(3) 当满足z 条件时,21z z +是实数. 4.选择题(1) 设12z i =+,则3Im z =( )(A)-2(B)1 (C)8 (D)14(2) 设(1)2z i =−,则的值为( ) 100501z z ++(A)(B)i (C)1 (D)-1 i −5.计算下例各题的值(1) (2) 8(1)i −+13(1)i +(4) 10(1)−4 工程数学习题集(复变函数与积分变换A 集)1.2 复变函数6. 选择题 (1) 12(1)−=( )(A)无定义 (B)-1 (C)cos()2k ππ+ (D)sin()2i k ππ+ (2) 方程()2Re 1z =所代表的曲线为( )(A)圆周 (B)椭圆(C)双曲线 (D)抛物线(3) 下例正确的是( )(A)()Ln z 在1z =−处无定义 (B)(1)0Ln −=(C)的虚部等于(1)Ln −π (D)(1)Ln −的实部等于07. 求的值z (1) 23i z eπ−= (2) e 21z 1−=(3) (1)z Ln = (4) ln(1)z i =−A.1 复数与复变函数(第一章) 58. 选择题(1)设{}01D z z =<<,则为( )D (A)无界区域 (B)复连通域 (C)单连通域 (D)闭区域(2) 下例正确的是( )(A)为单调函数. (B)为有界函数.z e z e (C)为多值函数. (D)为周期函数.z e z e 9. 判断正误 (1) 因为12(1i +<+)i )i z ,所以12.( ) (1i +<+(2) 为有界函数. ( )sin ,cos z (3) . ( )2()2Ln z Lnz =(4) {}Re()D z z z =≤所表示的为整个复平面. ( )11. 计算下例各值(1) (2) (1)i i+(3) 32(1)− (4) cos(2)i −(5) (6) sin i ()tan 2Arc i6 工程数学习题集(复变函数与积分变换A 集)A.2 导数(第二章)2.3 解析函数1. 选择题(1) 函数()w f z u iv ==+在点处解析,则下列命题不成立的是( )0z (A)仅在点处可微且满足柯西-黎曼方程,u v 0z (B)存在点的某一邻域在0z ()0,U z u v 、()0U z 内满足柯西-黎曼方程(C)在,u v ()0U z 内可微(D) B 与C 同时成立(3) 函数()w f z u iv ==+的实、虚部在区域内有一阶连续的偏导数,则( ),u v D (A)在内满足柯西-黎曼方程 (B),u v D ()f z 在内连续D (C)()f z 在内可导 (D)D ()f z 在内解析D (4) 设函数()f z 在区域内解析,则与D ()f z ≡常数不等价的命题是( )(A)()0f z ′≡ (B)()()Re Im f z f z ≡≡常数(C) ()f z 解析 (D) ()f z ≡常数2. 讨论下列函数的解析性(1) ()1f z z=(2) ()()Re f z z z =(3) ()22f z xy ix =+yA.2 导数(第二章) 73. 判断题(1) 解析函数的导函数仍为解析函数. ( )(2) 初等函数在其定义域内解析,可导. ( )(3) 如果()f z 在解析,那么0z ()f z 在连续. ( )0z (4) 函数()2f z z =在平面上解析. () z 4. 选择题(1) 如果是0z ()f z 的奇点, 则()f z 在处一定为( )0z (A)不可导 (B)可导(C) 不解析 (D)解析(2)如果()0f z ′存在,那么()f z 在处一定有( )0z (A)解析 (B)不解析(C) 不连续 (D)连续5. 讨论()322333f z x x yi xy y =+−−i )的解析性,并求导数.6. 设函数()(3232f z my nx y i x lxy =+++为解析函数,试确定. ,,l m n8 工程数学习题集(复变函数与积分变换A 集)2.4 调和函数7. 判断题(1) 解析函数()()(,,)f z u x y iv x y =+的(),u x y 与(),v x y 互为共扼调和函数.( )(2) 若与(),u x y (),v x y 都是调和函数,则()()(),,f z u x y iv x y =+是解析函数.( )(3) 设为区域内的调和函数,(,u u x y =)D u u f i x y ∂∂=−∂∂,则f 是内的解析函数. D ( )8. 选择题(1) 函数()()(),,f z u x y iv x y =+解析,则下列命题中错误的是( )(A) 均是调和函数 (B)是u 的共轭调和函数,u v v (C) 是的共轭调和函数 (D) u v u −是的共轭调和函数v (2)下列函数中不是调和函数的是( )(A)(),arctany h x y x = (B).()()22,ln 2h x y x y x y =++−; (C)()22,x h x y y x y2=−+ (D)()2,si x h x y e y =n 3 9. 已知()2,3v x y xy x =−+,求以为虚部的解析函数v ()f z u iv =+.10. 已知,求以u 为实部的解析函数(),2sin xu x y e y =()f z u iv =+,使()00f =.A.3 积分(第三章) 9A.3 积分(第三章)3.3 柯西积分公式 解析函数的导数1. 选择题 (1) 设zC e :|2|1,dz z 2C z −=−∫ 则=( )(A) (B) i e 2πei 2π(C) (D)2e 2πi e 22π(2) 设C 3sinz:||1,dz z 2C z π=−∫ 则(=( ) (A) i π− (B) i π(C) (D) 0i 2π−2. 计算题 (1) ∫=−−1|2|2z z dz z e (2) ∫=−3||3zdz 1z e z z )( (3) 22sin (1)z z dz z =−∫(4) ∫C zdz ze ,其中C 为由正向圆周2||=z 与负向圆周1||=z 所组成。
一、将下列复数用代数式、三角式、指数式表示出来。
(1) i 解:2cossin22ii e i πππ==+(2) -1解:1cos sin i e i πππ-==+ (3)1+解:()/3122cos /3sin /3i e i πππ+==+ (4) 1cos sin i αα-+ 解:2221cos sin 2sin 2sincos2sin(sincos )2222222sincos()sin()2sin 222222i i i i i e πααααααααααπαπαα⎛⎫- ⎪⎝⎭-+=+=+⎛⎫=-+-= ⎪⎝⎭(5) 3z解:()3333cos3sin3i z r e r i θθθ==+ (6) 1i e +解:()1cos1sin1i i e ee e i +==+(7)11ii-+ 解:3/411cos3/4sin 3/411i i i i e i i i πππ--==-==+++二、计算下列数值(1) 解:1ar 21ar 21ar 2 b i ctg k a bi ctg abi ctgaπ⎛⎫+ ⎪⎝⎭==⎧⎪=⎨⎪⎩(2)解:6226363463222i k i i i i e i ee e iπππππππ⎛⎫⎛⎫++ ⎪ ⎪⎝⎭⎝⎭⎛⎫+ ⎪⎝⎭⎧=+⎪⎪⎪⎨====-+⎪⎪⎪=-⎩(3) i i 解:()2222ii k k i i e eππππ⎛⎫⎛⎫+-+ ⎪ ⎪⎝⎭⎝⎭==(4)解:()1/2222ii k k eeππππ⎛⎫⎛⎫++ ⎪ ⎪⎝⎭⎝⎭==(5) cos5α解:由于:()()552cos5i i e e ααα-+=,而:()()()()()()()()5555555555cos sin cos sin cos sin cos sin nni nn nni n n e i C i e i C i αααααααααα-=--==+==-=-∑∑所以:()()()()()()()()()()()555505555043253543251cos5cos sin cos sin 21 cos sin 112 5cos sin cos sin cos 5cos sin 10cos sin cos n n n nn n n n nn n C i i C i i C i ααααααααααααααααα--=--=⎡⎤=+-⎣⎦⎡⎤=+-⎣⎦=++=-+∑∑(6) sin5α解:由于:()()552sin 5i i ee ααα--=,所以:()()()()()()()()()()()()55550555505234245552341sin 5cos sin cos sin 21 cos sin 1121 sin cos sin sin cos sin 10cos sin 5sin cos n n n nn n n n nn n C i i i C i i i C i C i iααααααααααααααααα--=--=⎡⎤=--⎣⎦⎡⎤=--⎣⎦=++=-+∑∑ (7) cos cos2cos n ααα+++L L 解:()()221cos cos 2cos ()()2(1)1(1)11(1)(1)1 21122(1cos )1 2i i in i i in i in i i in i i in i in i i i n e e e e e e e e e e e e e e e e e e e e ααααααααααααααααααααααα----------⎡⎤+++=+++++++⎣⎦⎡⎤--+--⎡⎤--⎢⎥=+=⎢⎥---⎢⎥⎣⎦⎣⎦+=L L L L L L (1)(1)22(1cos )12cos 22cos(1)2cos cos 1cos(1)cos 22(1cos )2(1cos )1sin()sin22 2sin2i i n i n in in e e e e n n n n n ααααααααααααααααα+-+-⎡⎤---++⎢⎥-⎣⎦⎡⎤--++--++==⎢⎥--⎣⎦+-=(8) sin sin 2sin n ααα+++L L 解:()()221sin sin 2sin ()()2(1)1(1)11(1)(1)1 21122(1cos )1 2i i in i i in i in i i in i i in i in i i i n e e e e e e i e e e e e e e e e e i e e i e i αααααααααααααααααααααα---------⎡⎤+++=+++-+++⎣⎦⎡⎤-----⎡⎤--⎢⎥=-=⎢⎥---⎢⎥⎣⎦⎣⎦=L L L L L L (1)(1)112(1cos )12sin 2sin(1)2sin sin sin(1)sin 22(1cos )2(1cos )1cos()cos22 2sin2i n in i i n in e e e e e i i n i n n n i n αααααααααααααααααα+--+-⎡⎤--+-++-⎢⎥-⎣⎦⎡⎤-++-++==⎢⎥--⎣⎦-++=1.2 复变函数1、试证明函数f (z )=Arg(z ) (-π<Arg(z) ≤π),在负实轴上(包括原点)不连续。
一、将下列复数用代数式、三角式、指数式表示出来。
(1)i 解:2cossin22ii e i πππ==+(2)-1解:1cos sin i e i πππ-==+(3)1+解:()/3122cos /3sin /3i e i πππ+==+ (4)1cos sin i αα-+ 解:2221cos sin 2sin 2sincos2sin(sincos )2222222sincos()sin()2sin 222222i i i i i e πααααααααααπαπαα⎛⎫- ⎪⎝⎭-+=+=+⎛⎫=-+-= ⎪⎝⎭(5)3z解:()3333cos3sin3i z r e r i θθθ==+ (6)1i e +解:()1cos1sin1i i e ee e i +==+(7)11ii-+ 解:3/411cos3/4sin 3/411i i i i e i i i πππ--==-==+++二、计算下列数值(1) 解:1ar21ar21ar2bi ctg kabi ctgabi ctgaπ⎛⎫+⎪⎝⎭==⎧⎪=⎨⎪⎩(2)解:6226363463222iki iiieie ee iπππππππ⎛⎫⎛⎫++⎪ ⎪⎝⎭⎝⎭⎛⎫+⎪⎝⎭⎧=+⎪⎪⎪⎨====+⎪⎪⎪=-⎩(3) i i解:()2222ii k ki i e eππππ⎛⎫⎛⎫+-+⎪ ⎪⎝⎭⎝⎭==(4)解:()1/2222ii k ke eππππ⎛⎫⎛⎫++⎪ ⎪⎝⎭⎝⎭==(5) cos5α解:由于:()()552cos5i ie eααα-+=,而:()()()()()()()()5555555555cos sin cos sincos sin cos sinn ni nnn ni nne i C ie i C iαααααααααα-=--==+==-=-∑∑所以:()()()()()()()()()()()5555555543253543251cos5cos sin cos sin21cos sin1125cos sin cos sin cos5cos sin10cos sin cosn n n nnnn n nnnC i iC ii C iααααααααααααααααα--=--=⎡⎤=+-⎣⎦⎡⎤=+-⎣⎦=++=-+∑∑(6) sin5α解:由于:()()552sin5i ie eααα--=,所以:()()()()()()()()()()()()55550555505234245552341sin 5cos sin cos sin 21 cos sin 1121 sin cos sin sin cos sin 10cos sin 5sin cos n n n nn n n n nn n C i i i C i i i C i C i iααααααααααααααααα--=--=⎡⎤=--⎣⎦⎡⎤=--⎣⎦=++=-+∑∑ (7) cos cos2cos n ααα+++L L 解:()()221cos cos 2cos ()()2(1)1(1)11(1)(1)1 21122(1cos )1 2i i in i i in i in i i in i i in i in i i i n e e e e e e e e e e e e e e e e e e e e ααααααααααααααααααααααα----------⎡⎤+++=+++++++⎣⎦⎡⎤--+--⎡⎤--⎢⎥=+=⎢⎥---⎢⎥⎣⎦⎣⎦+=L L L L L L (1)(1)22(1cos )12cos 22cos(1)2cos cos 1cos(1)cos 22(1cos )2(1cos )1sin()sin22 2sin2i i n i n in in e e e e n n n n n ααααααααααααααααα+-+-⎡⎤---++⎢⎥-⎣⎦⎡⎤--++--++==⎢⎥--⎣⎦+-=(8) sin sin 2sin n ααα+++L L 解:()()221sin sin 2sin ()()2(1)1(1)11(1)(1)1 21122(1cos )1 2i i in i i in i in i i in i i in i in i i i n e e e e e e ie e e e e e e e e e i e e i e i αααααααααααααααααααααα---------⎡⎤+++=+++-+++⎣⎦⎡⎤-----⎡⎤--⎢⎥=-=⎢⎥---⎢⎥⎣⎦⎣⎦=L L L L L L (1)(1)112(1cos )12sin 2sin(1)2sin sin sin(1)sin 22(1cos )2(1cos )1cos()cos22 2sin2i n in i i n in e e e e e i i n i n n n i n αααααααααααααααααα+--+-⎡⎤--+-++-⎢⎥-⎣⎦⎡⎤-++-++==⎢⎥--⎣⎦-++=1.2 复变函数1、试证明函数f (z )=Arg(z ) (-π<Arg(z) ≤π),在负实轴上(包括原点)不连续。
«复变函数与积分变换»期末试题(A)一.填空题(每小题3分,共计15分)1.231i-的幅角是( );2.)1(iLn+-的主值是();3。
211)(zzf+=,=)0()5(f();4.0=z是4sinzzz-的()极点;5.zzf1)(=,=∞]),([Re zfs( );二.选择题(每小题3分,共计15分)1.解析函数),(),()(yxivyxuzf+=的导函数为();(A)yxiuuzf+=')(; (B)yxiuuzf-=')(;(C)yxivuzf+=')(;(D)xyivuzf+=')(。
2.C是正向圆周3=z,如果函数=)(zf(),则0d)(=⎰C zzf.(A)23-z;(B)2)1(3--zz; (C)2)2()1(3--zz; (D)2)2(3-z。
3.如果级数∑∞=1nnnzc在2=z点收敛,则级数在(A )2-=z 点条件收敛 ; (B )i z 2=点绝对收敛;(C )i z+=1点绝对收敛; (D )i z 21+=点一定发散.4.下列结论正确的是( )(A)如果函数)(z f 在0z 点可导,则)(z f 在0z 点一定解析; (B) 如果)(z f 在C 所围成的区域内解析,则0)(=⎰Cdz z f(C)如果0)(=⎰Cdz z f ,则函数)(z f 在C 所围成的区域内一定解析;(D )函数),(),()(y x iv y x u z f +=在区域内解析的充分必要条件是),(y x u 、),(y x v 在该区域内均为调和函数.5.下列结论不正确的是( ).(A ) 的可去奇点;为z1sin ∞(B ) 的本性奇点;为z sin ∞(C) ;1sin 1的孤立奇点为z∞(D) .sin 1的孤立奇点为z ∞三.按要求完成下列各题(每小题10分,共计40分)(1)设)()(2222y dxy cx i by axy x z f +++++=是解析函数,求.,,,d c b a (2).计算⎰-Czz z z e d )1(2其中C 是正向圆周:2=z ; (3)计算⎰=++3342215d )2()1(z z z z z(4)函数3232)(sin )3()2)(1()(z z z z z z f π-+-=在扩充复平面上有什么类型的奇点?,如果有极点,请指出它的级。
(含答案)复变函数与积分变换习题解析2习题2.11. 判断下列命题的真假,若真,给出证明;若假,请举例说明.(1)如果()f z 在0z 连续,那么0()f z '存在.(2)如果0()f z '存在,那么)(z f 在0z 解析.(3)如果0z 是()f z 的奇点,那么()f z 在0z 不可导.(4)如果0z 是()f z和()g z 的⼀个奇点,那么0z 也是()()f z g z +和()()f z g z ?的奇点.(5)如果(,)u x y 和(,)v x y 可导,那么()(,)(,)f z u x y iv x y =+亦可导.2.应⽤导数定义讨论函数)Re()(z z f =的可导性,并说明其解析性.3.证明函数在0z =处不可导.习题2.21. 设试证)(z f 在原点满⾜柯西-黎曼⽅程,但却不可导.(提⽰:沿抛物线x y =2趋向于原点)2. 判断下列函数在何处可导,何处解析,并在可导处求出其导数.(1)y ix xy z f222)(+=;(2)i y x y x z f 22332)(+-=;(3)=)(z f232z z -+;(4)22()2(1(2)f z x y i x y y =-+-+). 3.(1 (2 (3)iy x z f 2)(+=;(4 4. (1)iz z z f 2)(3+=;(25. 讨论下列各函数的解析性.(1)3223()33f z x x yi xy y i =+--;(2 (0)z ≠;(3)1(33)x iy ω-=-;(4习题2.31. 证明下列u 或v 为某区域的调和函数,并求解析函数()f z u iv =+.(1)2(1)u x y =-;(2)3223u x x xy =-+;(3)323u x xy =-;(4)23v xy x =+;(5)x y x v 222+-=;(62. 求k 值使22ky x u +=为调和函数,并求满⾜1)(-=i f 的解析函数iv u z f +=)(.3. 设函数iv u z f +=)(是⼀个解析函数,且y x xy y x y x v u 22332233---+-=+,求iv u z f +=)(.4. 证明:如果函数iv u z f +=)(在区域D 内解析,并满⾜下列条件之⼀,则)(z f 是常数.(1(2(3(4(5.5.(1(2)u -是v 的共轭调和函数.6. 如果iv u z f +=)(是z 的解析函数,证明:(1(2习题2.41.(2 (3(4(5(6)()i Ln e ;(7)i 3;(8)i i )1(+;(9)1(34)i i ++;(10))1sin(i +;(11)cos(5)i π+;(12)i ei cos 1++π.2(1 (2)0cos sin =+z z .3. (1 (2 (34.证明:(1)121212sin()sin cos cos sin z z z z z z +=+,212121sin sin cos cos )cos(z z z z z z -=+;2)1cos sin 22=+z z ;(3(4 (55.证明:(1)122=-z sh z ch ;(2)z ch z sh z ch 222=+;(3)cos sin shz shx y ichx y =+,cos sin chz chx y ishx y =+;(4)212121)(shz chz chz shz z z sh +=+,212121)(shz shz chz chz z z ch +=+.复习题⼆⼀、单项选择题1.D2.C3.B4.A5.C6.C7.A8.A9.D 10.C 11.C 12.B⼀、单项选择题1. ). D.z sin2. 下列说法正确的是().A.函数的连续点⼀定不是奇点B.可微的点⼀定不是奇点C.)(z f 在区域D 内解析,则)(z f 在D 内⽆奇点D.不存在处处不可导的函数3. 下列说法错误的是(). A.如果)(z f 在点0z 解析,则)(z f 在点0z 可导B.如果0z 是)(z f 的奇点,则)(0z f '不存在C.如果)(z f 在区域D 内可导,则)(z f 在D 内解析D.如果)(z f 在点0z 可导,则)(z f 在点0z 连续 4. 下列说法正确的是().A.iv u z f +=)(在区域D内解析,则v u ,都是调和函数B.如果v u ,都是区域D 内的调和函数,则iv u +是D 内的解析函数C.如果v u ,满⾜C-R ⽅程,则v u ,都是调和函数D.iv u +是解析函数的充要条件是v u ,都是调和函数5. 设函数iv u z f +=)(解析,则下列命题中错误的是().A.v u ,均为调和函数B.v 是u 的共轭调和函数C.u 是v 的共轭调和函数D.u -是v 的共轭调和函数6. 设函数iv u z f +=)(在区域D 内解析,下列等式中错误的是().7. 设在区域D 内v 为u 的共轭调和函数,则下列函数中为D 内解析函数的是(). A.iu v - B.iu v + C.iv u - D.x x iv u -8. 函数z z z f Im )(2=在0=z 处的导数(). A. 等于0 B. 等于1 C. 等于 -1 D. 不存在9. 下列数中为实数的是().A. 3)1(i -B. i sinC. LniD. i e π-310. 下列函数中是解析函数的是().A.xyi y x 222--B.xyi x +2 C. )2()1(222x x y i y x +-+- D. 33iy x + 11. 设z z f cos )(=,则下列命题中,不正确的是(). A. )(z f 在复平⾯上处处解析 B. )(z f 以π2为周期12. 设Lnz =ω是对数函数,则下列命题正确的是().A. nLnz Lnz n =B. 2121Lnz Lnz z Lnz +=因为x z =是实常数,所以x Lnx Lnz ln ==⼆、填空题在区域D 内三、计算题1. 指出下列函数的解析区域和奇点,并求出其导数.(1)zzezf z sincos)(+-=;(2(3(4(5(62..(1(3(53. 试证下列函数为调和函数,并求出相应的解析函数ivu)(.(1)xu=;(2)xy u=;(3)3223236yxyyxxu+--=;(4(5)yev x sin2=;(64. 已知22y=-,试确定解析函数ivuzf+=)(.5. 函数yxv+=是yxu+=的共轭调和函数吗?为什么?6.(1(2)ie43+;(3)Lni;(4(5(6)i-13;(7(8四、证明题1. 若函数xu和),(yxv都具有⼆阶连续偏导数,且满⾜拉普拉斯⽅程,现令x yvus-=,yxvut+=,则2. 设)(zf与)(zg都在,0()0g z'≠,证明第⼆章习题、复习题参考答案习题2.11.(1)假(2)假(3)假(4)假(5)假2. 函数)zf=处处不可导,处处不解析.习题2.22.(1)在0z =处可导,处处不解析,导数(0)0f '=;(2)在点)0,0(和处可导,处处不解析,导数0)0(='f ,(3)处处可导,(44.(1(25.(1(3.习题2.31.(1)ci iz z z f ++=22)(;(2)ci z z z f +-=32)(;(3)=)(z f 3z ci +;(4)=)(z f 23z iz c ++;(5)c iz iz z f ++=2)(2;(62.1k =-;2()f z z =.3.c y y x y v c x xy x u --+-=+--=23,232323,c i z z z f )1(2)(3-+-=. 习题2.41.(1 (2 (3)k )1(-)(Z k ∈;((5(6(7)3ln 2i k e e π-)(Zk ∈;(9 ((2.(1 (23.(1)正确;(2)正确;(3)正确.复习题⼆⼆、填空题2.0;3.c uv +2(c 为实常数);4.3,1,3-==-=n m l ;5.i +1;6.常数;8.ic ixy y x ++-222或ic z +2(c 为常数);9.i -; 10.πk e 2-),2,1,0(Λ±±=k .三、计算题1.(1(2(3(4(5(6z z z f cot csc )(-='.2.(1)在复平⾯内处处不可导,处处不解析;(2)在0=z 处可导,但在复平⾯内处处不解析,0)0(='f ;(3)在复平⾯内处处不可导,处处不解析;6.(1)4e -;(2))4sin 4(cos 3i e +;(3(4(6 (7。
《工程数学-复变函数与积分变换》课后习题详解 吉林大学数学学院 (主编:王忠仁 张静)高等教育出版社 习题一(P12)对任何z ,22z z =是否成立如果是,就给出证明。
如果不是,对哪些z 值才成立解:设z x iy =+,则2222z x y xyi =-+,222z x y =+;若22z z =成立,则有22222x y xyi x y -+=+,即222220x y x yxy ⎧-=+⎨=⎩,解得0y =,即z x =。
所以,对任何z ,22z z =不成立,只对z 为实数时才成立。
求下列各式的值:(1)5)i ; (2)6(1)i +; (3; (4)13(1)i -。
解:(162ii eπ-=,所以555556661)223232())2i i i i e e e i i πππ--⨯-⎛⎫====-=- ⎪⎝⎭(2)因为41ii e π+=,所以63663442(1)288i i i e e e i πππ⨯⎫+====-⎪⎭(3)因为1cos sin i ππ-=+,所以()1622cos sin cossin66k k k w i i ππππππ++==+=+,其中0,1,2,3,4,5k =;即01cossin6622w i i ππ=+=+,1cos sin 22w i i ππ=+=,2551cossin 662w i i ππ=+=+,3771cos sin 662w i i ππ=+=-,433cossin 22w i i ππ=+=-,511111cos sin 662w i i ππ=+=-。
(4)因为1cos()sin()44i i ππ⎤-=-+-⎥⎦,所以11362244(1)2cos sin 33k k k w i i ππππ⎡⎤-+-+⎢⎥=-=+⎢⎥⎢⎥⎣⎦,其中0,1,2k =;即1602cos()sin()1212w i ππ⎡⎤=-+-⎢⎥⎣⎦,161772cos sin1212w i ππ⎡⎤=+⎢⎥⎣⎦,162552cos sin 44w i ππ⎡⎤=+⎢⎥⎣⎦。
求方程380z +=的所有根。
解法一:用因式分解法求解。
因为 3332282(2)(24)(2)(21)3z z z z z z z z ⎡⎤+=+=+-+=+-++⎣⎦22(2)(1)((2)(11z z z z z ⎡⎤=+-+=+-+--⎣⎦所以由380z +=,得(2)(110z z z +-+--=, 解得 12z =-,21z =-31z =+故方程380z +=的所有根为12z =-,21z =+31z =+解法二:用复数的方根的方法求解。
由380z +=,得38z =-,即z 是8-的三次方根;而 88(cos sin )i ππ-=+,所以2222cos sin 2cos sin 3333k k k k k z i i ππππππππ++++⎤⎡⎤==+=+⎥⎢⎥⎦⎣⎦,其中0,1,2k =;即02cos sin 133z i ππ⎛⎫=+=+ ⎪⎝⎭12(cos sin )2z i ππ=+=,2552cos sin133z i ππ⎛⎫=+=- ⎪⎝⎭故方程380z +=的所有根为01z =+12z =,21z =- 指出下列各题中点z 的轨迹或所在范围,并作图,(1)56z -=; (2)21z i +≥; (3)Im()2z ≤; (4)0arg z π<<。
解:(1)56z -=表示以点(5,0)为中心,6为半径的圆周;(2)21z i +≥表示以点(0,2)-为圆心,1为半径的圆周及圆周的外部; (3)Im()2z ≤表示直线2y =及其下面的部分; (4)0arg z π<<表示位于x 轴上方的部分。
指出下列不等式所确定的区域或闭区域,并指明它是有界的还是无界的,单联通的还是多联通的。
(1)Im()0z >; (2)14z ->; (3)0Re()1z <<; (4)23z ≤≤。
解:(1)Im()0z >表示位于x 轴上方的区域,它是无界区域,是单联通的; (2)14z ->表示以点(1,0)为中心,4为半径的圆周的外部区域,它是无界区域,是多联通的;(3)0Re()1z <<表示介于两直线0x =与1x =之间的区域,它是无界区域,是单联通的;(4)23z ≤≤表示夹在以原点为圆心,2和3为半径的圆周之间的部分并且包含那两个圆周的闭区域,它是有界的,但它是多联通的。
已知映射3w z =,求:(1)点1z i =,21z i =+,3z i =在w 平面上的像; (2)区域0arg 3z π<<在w 平面上的像。
解:(1)将1z i =,21z i =+,3z i =分别代入3w z =,得33211w z i i i i ====-,33222(1)(1)(1)2(1)22w z i i i i i i ==+=++=+=-+,3333366233)2288i i i w z i e e e i πππ⨯⎛⎫====== ⎪⎝⎭,即点1z i =,21z i =+,3z i =在w 平面上的像分别为i -,22i -+,8i 。
(2)设w u iv =+,则由3w z =,可得3arg 2Argw z k π=+(k Z ∈); 又arg 2Argw w m π=+(m Z ∈),所以,当0arg 3z π<<时,0arg w π<<;从而区域0arg 3z π<<在w 平面上的像是位于u 轴上方的部分。
设1()2z z f z i z z⎛⎫=- ⎪⎝⎭(0z ≠),试证当0z →时()f z 的极限不存在。
证:因为()222221()()2Re()2Im()2Re()Im()()2222z z z z z z z z z i z z z f z i z z izzi zi zz-⎛⎫+-=-====⎪⎝⎭,则令z x iy =+(,x y R ∈),()(,)(,)f z u x y iv x y =+,代入上式,得222(,)(,)xy u x y iv x y x y +=+,即222(,)(,)0xy u x y x y v x y ⎧=⎪+⎨⎪=⎩; 又当0z →时,有0x →且0y →;而22002lim (,)limx x o y y xyu x y x y→→→→=+不存在, 所以0lim ()z f z →不存在。
试证arg z 在原点与负实轴上不连续。
证:(1)因为0Arg 无意义,故rg 0a 也无意义,即arg z 在0z =处无定义,故arg z 在0z =处不连续。
(2)设00x <为负实轴上的任意一点,因为arg z ππ-<≤,如右图所示,当z 在第二象限中沿直线0x x =趋于0x 时,arg z 趋于π;而当z 在第四象限中沿直线0x x =趋于0x 时,arg z 趋于π-; 所以 0lim arg z x z →(00x <)不存在,故arg z 在负实轴上不连续。
由(1)(2)可知,arg z 在原点与负实轴上不连续。
第二章 解析函数 习题二(P25)利用导数定义指出: (1)1()nn z nz-'=(n 为正整数); (2)211z z '⎛⎫=- ⎪⎝⎭。
解:(1)由导数的定义,有0()()lim n nnz z z z z z∆→+∆-'=∆[]1232210()()()()...()limn n n n n z z z z z z z z z z z z z z z z z-----∆→⎡⎤+∆-+∆++∆++∆+++∆+⎣⎦∆分子分解因式 1232210lim ()()()...()n n n n n z z z z z z z z z z z z z -----∆→⎡⎤=+∆++∆++∆+++∆+⎣⎦ 1232211...n n n n n n z z z z z zz z nz ------=+++++=所以 1()n n z nz -'=。
(2)由导数的定义,有20000()11111()()lim lim lim lim ()z z z z z z z z z z z z z z z z z z z z z z z z z∆→∆→∆→∆→-+∆-∆-'+∆+∆⎛⎫+∆====-=- ⎪∆∆∆+∆⎝⎭,故211z z '⎛⎫=- ⎪⎝⎭。
下列函数何处可导何处解析(1)2()f z x iy =-; (2)33()23f z x y i =+; (3)22()f z xy ix y =+; (4)()sin cos f z xchy i xshy =+解:(1)因为2()f z x iy =-,所以2u x v y⎧=⎨=-⎩,则2u x x ∂=∂,0u y ∂=∂,0vx ∂=∂,1vy∂=-∂; 显然,这四个偏导函数在整个复平面上都是连续的;若C R -方程成立,则2100x =-⎧⎨=-⎩,即12x =-;即只有当12x =-时,2()f z x iy =-才满足C R -方程。
所以,函数2()f z x iy =-只在直线12x =-上的点可导。
由函数解析的定义可知,函数2()f z x iy =-在整个复平面内处处不解析。
(2)因为33()23f z x y i =+,所以3323u x v y⎧=⎪⎨=⎪⎩;则26u x x ∂=∂,0u y ∂=∂,0v x ∂=∂,29vy y∂=∂; 显然,这四个偏导函数在整个复平面上都是连续的;若C R -方程成立,则226900x y ⎧=⎨=-⎩0±=;0±=时,33()23f z x y i =+才满足C R -方程。
所以,函数33()23f z x y i =+0±=上的点可导。
由函数解析的定义可知,函数33()23f z x y i =+在整个复平面内处处不解析。
(3)因为22()f z xy ix y =+,所以22u xy v x y⎧=⎪⎨=⎪⎩;则2u y x ∂=∂,2u xy y ∂=∂,2vxy x∂=∂,2v x y ∂=∂; 显然,这四个偏导函数在整个复平面上都是连续的;若C R -方程成立,则2222y xyxy x⎧=⎪⎨=-⎪⎩,即0x y ==; 即只有当0x y ==时,22()f z xy ix y =+才满足C R -方程。
所以,函数22()f z xy ix y =+只在点0z =处可导。