医用高等数学课件:5 不定积分 练习题
- 格式:pptx
- 大小:1006.72 KB
- 文档页数:13
第四章测试题A 卷一、填空题(每小题4分,共20分)1、函数2x 为 的一个原函数.2、已知一阶导数 (())f x dx '=⎰,则(1)f '= 3、若()arctan xf x dx x C =+⎰,则1()dx f x ⎰= 4、已知()f x 二阶导数()f x ''连续,则不定积分()xf x dx ''⎰=5、不定积分cos cos ()x xd e ⎰= 二、选择题(每小题4分,共20分)1、已知函数2(1)x +为()f x 的一个原函数,则下列函数中是()f x 的原函数的是 [ ](A) 21x - (B) 21x + (C) 22x x - (D) 22x x +2、已知 ()sin x x e f x dx e x C =+⎰,则()f x dx ⎰= [ ] (A) sin x C + (B) cos x C +(C) cos sin x x C -++ (D) cos sin x x C ++3、若函数ln x x为()f x 的一个原函数,则不定积分()xf x dx '⎰= [ ] (A) 1ln x C x -+ (B) 1ln x C x++ (C) 12ln x C x -+ (D) 12ln x C x++ 4、已知函数()f x 在(,)-∞+∞内可导,且恒有()f x '=0,又有(1)1f -=,则函数 ()f x = [ ](A) -1 (B) -1 (C) 0 (D) x5、若函数()f x 的一个原函数为ln x ,则一阶导数()f x '= [ ](A) 1x (B) 21x- (C) ln x (D) ln x x 三、解答题1、(7分)计算 22(1)dxx x +⎰.2、(7分)计算 1x dxe +⎰.3、(7分)计算 321x dx x +⎰.4、(7分)计算 254dxx x ++⎰.5、(8分)计算.6、(7分)计算 23x x e dx ⎰.7、(8分)已知222(sin )cos tan 01f x x xx '=+<< ,求()f x .8、(9分)计算 cos ax I e bxdx =⎰.第四章测试题B 卷一、填空题(20分)1、不定积分d =⎰ .2、已知()(),f x dx F x C =+⎰则()()F x f x dx =⎰ . 3、若21(ln ),2f x dx x C =+⎰则()f x dx =⎰ .4、1)dx +=⎰ .5、2ln x dx =⎰. 二、选择题(25分)1、若2(),f x dx x C =+⎰则2(1)xf x dx -=⎰ [ ](A) 222(1)x C --+ (B) 222(1)x C -+(C) 221(1)2x C --+ (D) 221(1)2x C -+ 2、设()2,x f x dx x C =++⎰则()f x '= [ ](A) 2ln 22x x C ++ (B) 2ln 21x + (C) 22ln 2x (D) 22ln 21x + 3、11dx x =-⎰ [ ](A )ln 1x C -+ (B ) ln(1)x C -+(C )ln (1)x C -++ (D )ln 1x C --+4、存在常数A 、B 、C ,使得21(1)(2)dx x x =++⎰ [ ](A )2()12A B dx x x +++⎰ (B ) 2()12Ax Bx dx x x +++⎰(C )2()12A Bx C dx x x ++++⎰ (D )2()12Ax B dx x x +++⎰ 5、若x e 在(,)-∞+∞上的不定积分是()F x C +,则 [ ](A) ,0(),0x x e C x F x e C x -⎧+≥=⎨-+<⎩ (B) ,0()2,0x x e C x F x e C x -⎧+≥=⎨-++<⎩ (C) ,0()2,0x x e x F x e x -⎧≥=⎨-+<⎩ (D) ,0(),0x x e x F x e x -⎧≥=⎨-<⎩ 三、计算题(48分)1、(7分)求积分2arccos x. 2、(7分)求⎰. 3、(7分)2(1)dx x x +⎰. 4、(01,数二,8分)求.5、(8分)求积分1sin cos dx x x++⎰. 6、(06,数二,11分)求arcsin x x e dx e ⎰. 四、(7分)计算2ln sin sin x dx x ⎰第四章测试题A 卷答案一、填空题1、2ln 2x 2 3、241124x x C ++ 4、()()xf x f x C '-+ 5、cos (cos 1)x e x C -+二、选择题1、D2、C3、C4、A5、B三、解答题1、1arctan x C x --+2、ln(1)x x e C -++3、2211ln(1)22x x C -++4、11ln 34x C x +++ 5、C 6、2221()2x x x e e C -+ 7、21()ln(1)2f x x x C =---+ 8、22(sin cos )ax e b bx a bx C a b +++第四章测试题B 卷答案一、填空题1、sin C2、2()2F x C + 3、x e C + 4、335222353x x x x C +--+ 5、2ln 2x x x C -+ 二、选择题1、C2、C3、D4、C5、C三、计算题1、2arccos 1102ln10xC -+ 2、1)C +3、221ln .21x C x ++ 4、C =+ 5、ln 1tan 2x C =++ 6、解: arcsin x x e dx e⎰arcsin arcsin xx x x x x e de e e e ---=-=-+⎰⎰arcsin xx x e e --=-+arcsin xx x e e --=-- sec x t e -=令sec tan arcsin tan x x t tdt e e t -=--⎰arcsin sec x x e e tdt -=--⎰ arcsin ln sec tan x x e e t t C -=--++arcsin ln x x x e e e C --=--+ 四、2ln sin sin x dx x ⎰cot lnsin cot x x x x C =-⋅--+.。
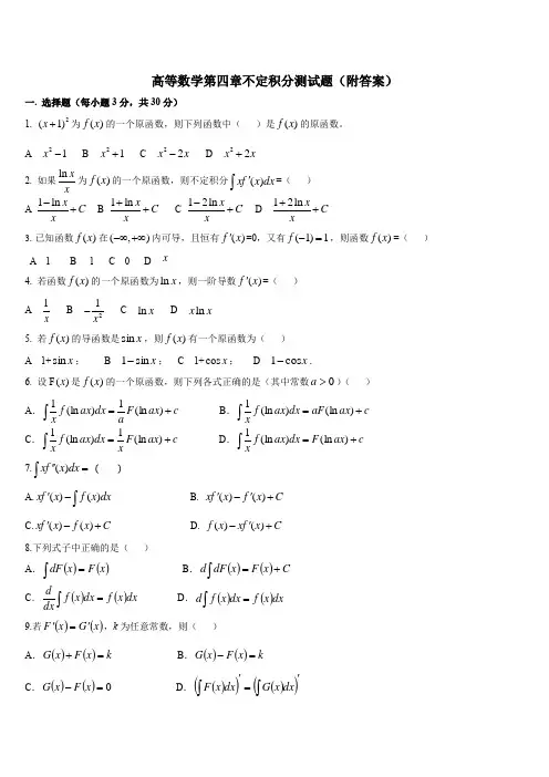
高等数学第四章不定积分测试题(附答案)一. 选择题(每小题3分,共30分)1. 2(1)x +为()f x 的一个原函数,则下列函数中( )是()f x 的原函数。
A 21x -B 21x +C 22x x -D 22x x +2. 如果ln xx 为()f x 的一个原函数,则不定积分()xf x dx '⎰=( ) A 1ln xC x -+ B 1ln x C x ++ C 12ln x C x -+D 12ln xC x ++3. 已知函数()f x 在(,)-∞+∞内可导,且恒有()f x '=0,又有(1)1f -=,则函数()f x =()A 1B -1C 0D x4. 若函数()f x 的一个原函数为ln x ,则一阶导数()f x '=( )A 1x B 21x - C ln x D ln x x5. 若)(x f 的导函数是x sin ,则)(x f 有一个原函数为( )A 1+x sin ;B x sin 1-;C 1+x cos ;D x cos 1-.6. 设F )(x 是)(x f 的一个原函数,则下列各式正确的是(其中常数0>a )( )A .⎰+=c ax F a dx ax f x )(ln 1)(ln 1B .⎰+=c ax aF dx ax f x )(ln )(ln 1C .⎰+=c ax F x dx ax f x )(ln 1)(ln 1D .⎰+=c ax F dx ax f x )(ln )(ln 17.()xf x dx ''=⎰ ( )A.()()xf x f x dx '-⎰B. ()()xf x f x C ''-+C.()()xf x f x C '-+D. ()()f x xf x C '-+8.下列式子中正确的是( )A .()()x F x dF =⎰B .()()C x F x dF d +=⎰C .()()dx x f dx x f dx d=⎰ D .()()dx x f dx x f d =⎰9.若()()x G x F '=',k 为任意常数,则( )A .()()k x F x G =+B .()()k x F x G =-C .()()0=-x F x GD .()()()()'='⎰⎰dx x G dx x F10.若()x f '为连续函数,则()⎰='dx x f 2( )A .()C x f +2B .()C x f + C .()C x f +221 D .()C x f +22 二. 填空题(每小题4分,共20分)11.ln ()x df x dx x=,则()_______f x =. 12.2[()]2()cos d f x f x xdx =,且(0)1f =,则()______f x =____. 13. 2()____________1()f x dx f x '=+⎰. 14. =⎰dx x x x ___________________. 15. d dx x =⎪⎭⎫⎝⎛+211___________________.三. 计算题16.(5分) 22(1)dxx x +⎰.17.(5分) 1x dx e +⎰.18.(5分) 321x dx x +⎰.19.(5分)dx x x ⎰arctan .20.(5分).21.(5分) 23x x e dx ⎰.22.(10分) cos ax I e bxdx =⎰. 23.(10分)若ln(1)(ln )x f x x+=,求()f x dx ⎰.高等数学第四章不定积分测试题答案一. 选择题 1—5 DCABB 6—10 DCDBC二. 填空题11. 2ln 1()ln 2x f x dx x C x ==+⎰. 12. ()sin 1f x x =+ 13. 22()()arctan ()1()1()f x df x dx f x C f x f x '==+++⎰⎰. 14. C x +815158. 15. C x x +-1. 二. 计算题16.(5分)计算 22(1)dx x x +⎰.【解析】原式=22111()arctan 1dx x C x x x-=--++⎰. 17.(5分)计算 1x dx e +⎰. 【解析】原式=(1)ln(1)1xx x e dx x e C e-=-+++⎰. 18.(5分)计算 321x dx x +⎰. 【解析】原式=22211()ln(1)122x x dx x x C x -=-+++⎰. 19.(5分)计算dx x x ⎰arctan .【解析】原式=dx x x x dx x x x x dx x ⎰⎰⎰⎪⎭⎫ ⎝⎛+-+=⎪⎪⎭⎫ ⎝⎛+-=22222211121arctan 211arctan 21arctan 21 ()C x x x x +-+=arctan arctan 212. 20.(5分)计算.【解析】设t =原式=5253261166(arctan )1t t dt dt t t C C t t t +-==-+=++⎰⎰. 21.(5分)计算23x x e dx ⎰. 【解析】原式=22222222111()()222x x x x x e dx x d e x e e C ==-+⎰⎰. 22.(10分)计算 cos ax I e bxdx =⎰. 【解析】 222221cos sin 1(sin sin )1sin cos 1sin (cos cos )1sin cos ax ax ax ax ax ax ax ax ax ax ax I e bxdx e d bx b e bx a e bxdx ba e bx e d bxb b a e bx e bx a e bxdx b ba a e bx e bx Ib b b===-=+=+-=+-⎰⎰⎰⎰⎰22(sin cos )axe I b bx a bx C a b=+++ 23.(10分)设ln(1)(ln )x f x x+=,求()f x dx ⎰. 【解析】由ln(1)(ln )x f x x +=得ln(1)()x x e f x e+=, 所以ln(1)()ln(1)x x x x e f x dx dx e de e-+==-+⎰⎰⎰ ln(1)1x x x e dx e e +=-++⎰ln(1)1x x x x e e dx e e --+=-++⎰ ln(1)(1)1x x x x e d e e e --++=--+⎰ ln(1)ln(1)x x x e e C e-+=--++ ln(1)ln(1)x x x e e x C e+=--+++.。
第五章不定积分班级专业:姓名:学号:第一节不定积分的概念第二节不定积分的性质第三节基本积分公式一、判断1.一个已知函数的原函数有无穷多个.()2.如果()F x ,()G x 都是()f x 的原函数,则()()F x G x C -=.()3.()()d f x x f x '⎡⎤=⎣⎦⎰()4.()()d f x dx f x dx =⎰()5.()()F x dx F x C '=+⎰()6.()()d F x F x C =+⎰()二、选择1.若()22x f x dx x e C =+⎰,则()f x =()22xA xe ()24xB xe ()222xC x e ()22(1)x D xe x +2.已知2y x '=,且1x =时2y =,则y =()2A x ()2B xC +()21C x +()22D x +3.sin darc =⎰()arcsin A ()arcsin B C ()C ()D C+4.若2ln cos 23x 是()tan f x k x =的一个原函数,则k =()23A ()23B -()43C ()43D -5.设()f x 的导数为sin x ,则下列选项中是()f x 的原函数的是()1sin A x +()1sin B x -()1cos C x+()1cos D x-6.下列函数中有一个不是()1f x x=的原函数,它是()()ln ||A F x x =()()ln ||B F x Cx =(C 是不为零且不为1的常数)()()ln ||C F x C x =(C 是不为零且不为1的常数)()()ln ||D F x x C=+(C 是不为零的常数)7.设()f x '存在,则()df x '=⎡⎤⎣⎦()()A f x ()()B f x '()()C f x C +()()D f x C'+三、求不定积分1.421x dx x +⎰2.221x dxx +⎰3.211t t e dte --⎰第四节换元积分法(第一换元积分法)1.21x dx x +⎰ 2.2(ln )x dx x⎰3.12xe dx x⎰4.⎰5.⎰6.2⎰7.2213x dx x x --+⎰8.ln dt t t⎰9.1xxe dx e +⎰10.211x dxx -+⎰11.sin3xdx⎰12.2cos 3xdx⎰13.2sin 3xdx⎰14.sin cos xe xdx⎰15.cos x xe e dx ⎰16.3sin xdx⎰17.dx⎰18.2ln x x dxx+⎰19.22(arctan )1x dx x+⎰20.xdx⎰第二换元积分法1.⎰2.⎰3.4.dx⎰5.⎰第五节分部积分法1.x xe dx ⎰ 2.sin x xdx⎰3.arctan xdx⎰ 4.2ln(1)x dx +⎰5.cos x xdx⎰ 6.arctan x xdx⎰第六节综合杂例22156x dxx x --+⎰。
(整理)不定积分习题库.第五章不定积分复习资料练习题学生学习档案要求:仔细,认真!一选择题:1. 若22()x f x dx x e c =+?,则()f x =( ).(a) 22x xe , (b) 222x x e , (c) 2xxe , (d) 22(1)xxe x +.2. 如果()F x 是()f x 的一个原函数,c 为不等于0且不等于1的其他任意常数,那么( )也必是()f x 的原函数。
(a) ()cF x , (b) ()F cx , (c) x F c ??, (d) ()c F x +. 3. 下列哪一个不是sin 2x 的原函数( ).(a) c x +-2cos 21, (b) c x +2sin , (c) c x +-2cos , (d) c x +2sin 21.4.2xxe dx -=?( ).(a) xe c -+, (b)212x e c -+, (c)212x e c --+, (d)2x e c --+. 5.设()2f x x =,则()f x 的一个原函数是() (a) 3x , (b) 21x -, (c) 212x c +, (d) 2x c +. 6.设()xf x e '=,则()f x 为() (a) 12xe , (b) 2x e , (c) x e c +, (d) 21x e -. 7.cos xdx =?( )(a) cos x , (b) sin x , (c) sin x c +, (d) cos x c +. 8.2x e dx ?=( )(a) 2xe c +, (b)212x e c +, (c) 2x e , (d) 212x e .9.12dx x =?( )(a) ln |2|x c +, (b) 1ln |2|2x c +, (c) 1ln |2|2x , (d) ln |2|x .10. 设2()x f x dx e c =+?,则 ()f x =()(a) 22xe , (b) 2xe , (c) 212xe , (d) 2x e c +. 11.3x dx =?( )(a) 3x c +, (b) 44x , (c) 414x c +, (d) 313x . 12.221(2)dx x =+?( )(a) arctan 2x c +, (b) arctan 2x , (c) arcsin 2x , (d) arcsin 2x c +. 13.3x dx =?( )(a) 3ln 3xc +, (b)3ln 3xc +, (c) 3x c +, (d) 3x . 14. 设2()f x dx x c =+?,则()f x =()(a) 2x , (b) 2x , (c) 2x c +, (d) 2x c +. 15 . 22sec 2xdx =?( )(a)tan 2x c +, (b) tan 2x , (c) tan x , (d) tan x c +.答案: 1.d 2.d. 3.d. 4.c. 5.b. 6.c 7.c. 8.b. 9.b. 10.a. 11.c.12. a. 13.b.14.b. 15.a.二填空题:1. 设21()ln(31)6f x dx x c =-+?,则()f x = . 2. 经过点(1,2),且其切线的斜率为2x 的曲线方程为 .3. 已知()21f x x '=+,且1x =时2y =,则()f x = .4. (103sin x x dx +=? .5.222()ax dx +=? .6.3(1x x dx -+-=? .7.2tan xdx =? . 8. (1)n x dx +=?. 9.cos(34)x dx +=? .10.=?.11. x e dx -=? .12.1sin2xdx ?= . 13.(2)x x dx -=? .14.2= .15. 12dx x =-? .答案:32132242352124102211:.2: 1.3:.4:3cos .5:.31ln1033511(1)16:3.7:tan .8:.9:sin(34).10:.2413x n xy x x x x x c a x a x x c x x x x x x c x x c c x c c n +=++-+++++-+-+-+-+++++11:xe c -+. 12:12cos2x c -+. 13: 3213x x c -+. 14: arcsin 2x c +. 15: ln |2|x c -+. 三应用题:1. 已知某产品产量的变化率是时间t 的函数()f t at b =-(,a b 是常数),设此产品t 时的产量函数为()P t ,已知(0)0P =,求()P t2. 已知动点在时刻t 的速度为21v t =-,且0t =时4s =,求此动点的运动方程.3. 已知质点在某时刻t 的加速度为22t +,且当0t =时,速度1v =、距离0s =,求此质点的运动方程.4. 设某产品的需求量Q 是价格P 的函数,该商品的最大需求量为1000(即0P =时1000Q =),已知需求量的变化率(边际需求)为1()1000ln 44PQ P ??'=-? ???,求需求量Q 与价格P 的函数关系.5. 设生产某产品x 单位的总成本C 是x 的函数()C x ,固定成本(即(0)C )为20元,边际成本函数为()210C x x '=+(元/单位),求总成本函数.6. 设某工厂生产某产品的总成本y 的变化率是产量x 的函数9y '=+,已知固定成本为100元,求总成本与产量的函数关系.7. 设某工厂生产某产品的边际成本()C x '与产量x 的函数关系为()7C x'=已知固定成本为1000,求成本与产量的函数.8. 已知生产某商品x 单位时,边际收益函数为()10020xR x '=-(元/单位),求生产x 单位时总收益()R x 以及平均单位收益()R x ,并求生产这种产品1000单位时的总收益和平均单位收益.9. 已知生产某商品x 单位时,边际收益函数为()300100xR x '=-,求生产这种产品3000单位时的总收益和平均单位收益.10. 设曲线通过点(1,2),且其上任一点处的切线斜率等于这点横坐标的两倍,求此曲线的方程.答案:1:由题意得:21()()2p t at b dt at bt c =-=-+?.又(0)0p =,代入得0.c = 故21()2p t at bt =-. 2: 由题意得:2(21)S t dt t t c =-=-+?, 又 0t =时4s =,代入得4c =,故24s t t =-+.3: 由题意得:231(2)23v t dt t t c =+=++?,又当0t =时,速度1v =,代入得1c =,故31213v t t =++,从而有34211(21)312s vdt t t dt t t t c ==++=+++??,又0t =时0s =,故0c =.得42112s t t t =++.4: 由题意得:Q =11()1000ln 4100044P PQ P dp dp c'=-?=?+ ? ?????.又0P =时1000Q =,故11000()4p Q =.5: 由题意得:2()(210)10C x x dx x x c =+=++?.又固定成本(即(0)C )为20元,代入得20c =.故2()1020.C x x x =++6:23(9930y dx x x c =+=++?,又已知固定成本为100元,即(0)100y =,代入得100c =,故2 3930100y x x =++.7:()(77C x dx x c==+?,又已知固定成本为1000元,即(0)1000C =,代入得1000c =,故()71000C x x =+.8:2()(100)1002040x x R x dx x c =-=-+?,又(0)0R =,故0c =,得2 ()10040x R x x =-,()()10040R x x R x x ==-. 21000(1000)10010002500040R =?-=(元).(1000)1000(1000)10075100040R R ==-=(元).9:2()(300)300100200x x R x dx x c =-=-+?,又(0)0R =,故0c =,得2()300200x R x x =-,23000(3000)3003000200R =?-.()300200 R x xx =-.10: 设所求的曲线方程为y =f (x ),按题设,曲线上任一点(x ,y )处的切线斜率为 d d yx=2x ,即f (x )是2x 的一个原函数.因为 2x ?d x =2x +C ,故必有某个常数C 使f (x )= 2x +C ,即曲线方程为y =2x +C .因所求曲线通过点(1,2),故 2=1+C , C =1.于是所求曲线方程为 y =2x +1.四计算题:1 313()x x x+?d x 2 421x x +?d x3、2tan x ? d x 4 2sin2xd x525)x -d x 6 2x 7 3e x x ?d x 8 2cos2x ?d x 9 2cos 2x ?d x 10 1 d 25x x +?11 x ?x 12 3sin ?x d x13d x 14 5e d t t ?15 3(32)x -?d x 16d 12x x -?17t 19 102tan sec x xdx ? 20 2 x xedx -?21de e x xx-+? 22 x 23 343d 1x x x -? 24 3sin d cos x x x ?25 ln d x x ? 26 cos d x x x ?27 arctan d x x x ? 28 e d xx x ?29 sin d x x x ? 30 e d xx x -?解答:1、原式=x ?d x +1xd x -12x ?d x +33x -?d x=22x +ln x -2332x -232x -+C . 2、原式=42111x x -++? d x =221(1)1x x -++? d x =313x -x +arctan x +C . 3、原式=2(sec 1)x -?d x =2sec x ?d x -dx ?=tan x -x +C .4、原式=12?(1-cos x )d x =12∫(1-cos x )d x =12(x -sin x )+C . 5、原式=57122232210(5)73x x dx x x C -=-+?。
不定积分100题(附答案)容易题1—60,中等题61—105,难题106—122. 1.设⎰-=1tan cos 2x x dxI , 则=I ( ). (C).;)1(tan 221C x +-2.设⎰-=12x xdx I ,则=I ( )。
(D).C x+-1arcsin. 3.设⎰=x dxI sin ,则=I ( ). (B).C x c x +-tan csc ln4.设⎰=axdx I 2 ,则=I ( )。
(A).C ax+2; 5.设⎰++=dx e e I xx 113,则=I ( ). (B).C x e e x x ++-2216.设⎰=xdx I tan ,则( ). (D).C x +-sin ln . 7.设⎰=xdx I ln 则( )。
(D).C x x x I +-=ln 8.设⎰=xdx I arctan , 则=I ( ). (B).C x x x ++-1ln arctan 29.设 ⎰=xdx x I cos sin ,则( ). (A).C x I +-=2cos 4110.设⎰+=21x dx I , 则=I ( ). (B)C x x +++21ln11.设211)(xx f -=,则的一个原函数=)(x F ( )。
(A).x x -+11ln 21 12.设)(x f 为可导函数,则( )。
(C).⎰=')())((x f dx x f13.设⎰=xdx I arcsin ,则( ). (C).C x x x +-+21arcsin14.=+⎰x x dx sin 2)2sin(( ) (B )c x x ++|2tan |ln 412tan 812 15.=-⎰)4(x x dx ( ) (C )c x+2arcsin2 16.=-⎰dx x x 21ln ( ) (B )c xx+-ln17.设x xsin 为)(x f 的一个原函数,且0≠a ,则⎰dx a ax f )(=( ) (A )xa ax 3sin19.欲使⎰⎰=dx x f dx x f )()(λλ,对常数λ有何限制?( ) 0≠λ。
第三章复习X.1 积分换元的几种形式1. 利用三角函数代换,变根式积分为三角有理式积分求⎰-dx x x 229解 令t x sec 3=,则tdt t dx tan sec 3⋅= 于是⎰-dx x x 229⎰⎰=⋅=dt tttdt t t t sec tan tan sec 3sec 9tan 322.9|9|ln 9|393|ln sin |tan sec |ln )cos (sec 221221C xx x x C xx x xC t t t dt t t +---++---+=+-+=-=⎰练习 求⎰-+221)1(xxxdx2. 倒代换(即令tx1=) 设n m ,分别为被积函数的分子、分母关于x 的最高次数,当1>-m n 时,可以考虑使用倒代换。
求⎰>+)0(222a xa xdx解 令tx 1=,则dt t dx 21-=,于是原式⎰⎰⎰++-=+-=⎪⎭⎫⎝⎛-⋅⎪⎭⎫ ⎝⎛+=12)1(1111122222222222t a t a d a t a tdt dt t t a tC xa a x C a t a ++-=++-=2222221 练习⎰-+dx x xx 11223. 指数代换(适用于被积函数)(x f 由x a 所构成的代数式)令t ax=,.ln 1tdt a dx ⋅=求⎰++xx x dx 4212解 令t x=2,t dt dx ⋅=2ln 1 原式⎰⎰++=⋅⋅++=43)21(2ln 12ln 1122t dtt dt t t t CC t C t t t d x ++=++=++⋅=⎪⎪⎭⎫⎝⎛+++=+⎰312arctan 2ln 32312arctan 2ln 322321arctan 322ln 123)21()21(2ln 1122练习 求⎰+++6321x x xee e dxX.2 有理函数的积分一、有理函数的积分形为mm m m nn n n b x b x b x b a x a x a x a x Q x P ++++++++=----11101110)()( , (1)其中m 和n 都是非负整数;n a a a a ,,,,210 及m b b b b ,,,,210 都是实数,并且0,000≠≠b a 。
第五章 不定积分第一节 不定积分的概念与性质习题5-11、求下列不定积分(1)C xC x dx x x dx +-=++-==+--⎰⎰213332113.(2) C x x C x dx x dx x x +=++==+⎰⎰312525272125. (3)C xx C xdx x xxdx+-=++-==+--⎰⎰32125125252.(4)C x C x dx x dx x x x +=++==+⎰⎰81518787158187.(5)C h C hdh h hdh +=++-==+--⎰⎰21212121212121.(6)C xn m mC mn x dx x dx x mn m mn mn mn++=++==++⎰⎰11.(7) C x C x dx x dx x +=++⋅==+⎰⎰5144414555.(8) C x x x dx x x +++=++⎰2233)23(232.(9) C x x x dx x x dx x ++-=+-=-⎰⎰352422325)12()1(.(10) C x x x dx x x dx x +++=++=+⎰⎰423)44()2(2322.(11) C x x dx x x dx x x +-=-=-⎰⎰23252123252)3()3(.(12) C x x x x dx x x x dx x x ++++=+++=++⎰⎰2523323212352323)1()1)(1(.(13) C tt t dt t t dt t t +-+=++=+⎰⎰-1||ln 2)21()1(222. (14)C x x dx x xdx xx ++=+=+⎰⎰-232121322)()1(.(15)C x x dx xdx x x dx x x +-=+-=+-+=+⎰⎰⎰arctan )111(11)1(122222.(16)C x x dx xx dx x x x ++=++=+++⎰⎰arctan 2)123(1233322224. (17)C x x dx xx ++=-++⎰arcsin 5arctan 3)1513(22.C x x x dx x x x dx x x x +++=++=++⎰⎰-32613383167353322913683)3(3.(19)C x e dx xe x x +-=-⎰||ln 32)32(.(20)C x e dx x e dx xe e x xx x++=+=+⎰⎰--2)()1(21.(21)C e C e e dx e dx e xx x xxx++=+==⎰⎰5ln 15)5ln()5()5(5.(22)C x dx dx xx x x x +⋅-+=⋅+=⋅+⋅⎰⎰)32(3ln 2ln 52])32(52[32532.(23)C x xdx x x dx x x x x x x dx +--=+-=+-+=+⎰⎰⎰-arctan 1)11()1()1()1(22222222.(24)C x e dx e dx e e x x x x ++=+=--⎰⎰)1(112.(25)C x x dx x x x dx x x x ++=+=+⎰⎰sec tan )tan sec (sec )tan (sec sec 2.(26)C x x dx x dx x ++=+=⎰⎰)sin (21)cos 1(212cos 2.(27)C x x dx x x dx xx xx dx x x x ++=-=+-=+⎰⎰⎰cos sin )sin (cos cos sin sin cos cos sin 2cos 22.(28)C x x dx x x dx x x x x dx x x x +--=-=-=⎰⎰⎰tan cot )sec (csc cos sin sin cos cos sin 2cos 22222222.C x dx x dx x dx x +==+=+⎰⎰⎰tan 21cos 12122cos 11212cos 112.(30)C x x dx x xdx +--=-=⎰⎰cot )1(csc cot 22.2、一曲线通过点)3,(2e ,且在任一点处的切线的斜率等于该点横坐标的倒数,求曲线的方程.解:设所求曲线为)(x f y =,依题意有xy 1=',于是 C x xdxx f y +===⎰ln )( 因曲线通过点)3,(2e ,有 C C e +=+=2ln 32,得1=C , 从而所求曲线为1ln +=x y .3、已知某产品产量的变化率是时间t 的函数b at t f +=)((b a ,为常数),设此产品的产量为函数)(t P ,且0)0(=P ,求)(t P . 解:已知b at t f dtdP+==)(,有 C bt t adt b at dt t f t P ++=+==⎰⎰22)()()(,因0)0(=P ,有0=C ,于是bt t at P +=22)(.习题5-21、求下列不定积分 (1)C e x d e dx e xx x +==⎰⎰55551)5(51.(2)C x x d x dx x ++=++=+⎰⎰433)23(81)23()23(21)23(.C x x x d x dx ++=++=+⎰⎰|23|ln 2123)23(2123.(4)C x x d x xdx+--=---=-⎰⎰-32313)32(21)32()32(3132.(5)C t t d t dt tt +-==⎰⎰cos 2sin 2sin .(6)C x dx x dx x x +-==⎰⎰2222cos 51sin 21sin .(7)C e x d e dx xe x x x +-=--=---⎰⎰22221)(212. (8)C x x d x x xdx+--=---=-⎰⎰-2221223231)32()32(6132.(9)C x x x d x dx x ++=++=+⎰⎰)1ln(431)1(431344443.(10)C x x xd xdx x +==⎰⎰9828tan 91tan tan sec tan . (11)C x x x d x x xdx x x dx +===⎰⎰⎰|tan |ln tan )(tan cos sin cos cos sin 2.(12)C t t d t dt t t ++-=++=++⎰⎰)(cos 31)cos()(cos 1)sin()(cos 322ϕωωϕωϕωωϕωϕω. (13)C xx xd x xdx +=-=⎰⎰-455cos 41)(cos cos cos sin .C x x x d x xdx +-=-=⎰⎰323sin 31sin sin )sin 1(cos . (15)C t t dt t dt t ++-=+-=+⎰⎰)(2sin 412)](2cos 1[21)(sin 2ϕωωϕωϕω.(16)C t t t d t tdt t +-=-=⎰⎰sec sec 31sec )1(sec sec tan 323.(17)C x x dx x x xdx x +-=-=⎰⎰5cos 101cos 21)sin 5(sin 213cos 2sin .(18)C x x dx x x dx xx ++=+=⎰⎰2sin 23sin 31)2cos 23(cos 212cos cos .(19)C x x dx x x xdx x +-=-=⎰⎰12sin 2414sin 81)12cos 4(cos 218sin 4sin . (20)C x x x x d x x dx xx xx ++-=++-=+-⎰⎰-32313)cos (sin 23)cos (sin )cos (sin cos sin cos sin . (21)⎰⎰⎰--⋅--⋅=-+222249)49(2141)32(1)32(3123491x x d x x d dx x x C x x +--=2494132arcsin 21.(22)C x x x x d xdx dx x x x x dx x x ++-=++-=+-+=+⎰⎰⎰⎰)]1ln([211)1(211122222323.C x x x x d x dx ++-=-=-⎰⎰1313ln 3211)3()3(311322.(24)C x x x dx x dx x x dx +++=+-+=++⎰⎰⎰21ln 21)2)(1(.(25)222221)1(1tan 2111tan xx d x dx x xx +++=++⎰⎰C x x d x ++-=++=⎰|1cos |ln 11tan 222.(26)x d x x d x xdx x x x arctan arctan 2)(1arctan 2)1(arctan 2⎰⎰⎰=+=+ C x +=2)(arctan .(27)C x d dx xxxx +-=-=-⎰⎰10ln 10arccos 10110arccos arccos 2arccos .(28)C xx d x x dx x +-==-⎰⎰-arcsin 1arcsin )(arcsin 1)(arcsin 1222. (29)⎰⎰⎰=⋅=xx xd dx x x x x dx x x x tan )(tan tan ln cos sin cos tan ln cos sin tan ln 2 C x x xd +==⎰2)tan (ln 21tan ln tan ln .(30)C x x x x x x d dx x x x +-==+⎰⎰ln 1)ln ()ln ()ln (ln 122.(31)dt t dt tt t x dx x tx ⎰⎰⎰-=-⋅====-=)2cos 1(24sin 12cos 2sin 4422sin 222t t t C t t +-=+-=cos sin 222sin 2C x xx +--=2422arcsin 2.(32)C x C t dt dt t t tt x x dx tx +=+==-====-⎰⎰⎰=1arccos 1sec sec tan sec 12sec 2.(33)C t tdt dt t tx dxtx +======+⎰⎰⎰=sin cos sec sec )1(32tan 32 C x x C t tt++=++=11tan 1cos sin 22.(34)⎰⎰⎰⎰-======-=dt t tdt tdt t tt dx x x t x )1(sec 2tan 2sec tan 2sec 2tan 2422sec 22 C xx C t t C t t +--=+--=+-=2arccos 2421sec 22tan 222.(35)⎰⎰⎰⎰⎰-=+-=+====-+=2cos 21cos 1cos 1cos 112sin 2t dtt t dt dt t tdt x dxtx C t t t C t t t t C t t ++-=+-=+-=cos 1sin 2cos 22cos2sin 22tan 2 C xxx +-+-=211arcsin .(36)dt tt tt t t t t tdt x x dxtx ⎰⎰⎰+-++=+====-+=cos sin sin cos cos sin 21cos sin cos 1sin 2C t t t t t t t d dt +++=+++=⎰⎰|cos sin |ln 2121cos sin )cos (sin 2121 C x x x +-++=|1|ln 21arcsin 212.(37)C t t t dtdt dt t t t tdt x dx x t t x ++-=+-=+-+=+====+⎰⎰⎰⎰⎰==)1ln(1111121222C x x ++-=)21ln(2.(38)dt t t t t tdt t x dx x t t x ⎰⎰⎰+++-+=+====+++=-=11)1()(313112211333C t t t t dt dt dt t +++-=++-=⎰⎰⎰|1|ln 3323)1(32C x x x +++++-+=|11|ln 313)1(233332.(39)dt t t t t tdt t t dx x x x t t x ⎰⎰⎰++--+=⋅+-====++-++=-=122222111111211212|1|ln 44)122(2C t t t dt t t +++-=++-=⎰C x x x +++++-=)11ln(414, 其中, 11C C +=.(40)dt t t t t dt tt t x x dx x t t x ⎰⎰⎰++--+=+====+==11144223444C t t t dt t t +++-=++-=⎰|1|ln 442)111(42C x x x +++-=)1ln(44244.(41)dt t t t dt t t t t t dx x x x xxt ttt x ⎰⎰⎰+--=+-⋅⋅⋅-+=======+-+-=-+=+-=)1)(1(4)1()2(21111122222221111211222C t t t dt t t +++-⋅=+--⋅-=⎰arctan 211ln 212)1111(21422 C x xxx x x ++-+-++--+=11arctan 21111ln.42)⎰⎰+--=-+3234211)1()1()1(x x x dx x x dx⎰⎰--+=---+-⋅-=======+-=--=-+=23232323321111211)1()1(6)1(]1)11[()3(23333t t tdtt t t t dt t x x t tt t x C x x C t t dt t tdt +-+-=+-===⎰⎰32311232323226.2、用指定的换元法求下列不定积分 (1)C x C t dt t t tdt t x x dx t x +=+======-⎰⎰⎰=arcsin 222cos sin cos sin 2)1(2sin .(2)⎰⎰⎰⎰=====++=++-=tdt t tdtx dxx x dx t x sec sec sec 1)1(2221tan 22C x x x C t t +++++=++=|122|ln |tan sec |ln 2.(3)⎰⎰⎰⎰======--=-+=tdt ttdtt x dxx x dxtx sec tan 2sec tan 24)2(4sec 2222C t t C t t ++=+++=|tan 2sec 2|ln 2ln |tan sec |ln C x x x +-+-=|42|ln 2.(4)C t dt dt t t x dx x xdxt x +======-=-⎰⎰⎰⎰=2121cos cos 211211sin 4242C x +=2arcsin 21.习题5-31、求下列不定积分C x x x xdx x x x xd xdx x ++-=+-=-=⎰⎰⎰sin cos cos cos cos sin .(2)C x x x dx x x x xd x x xdx +-=-=-=⎰⎰⎰ln ln ln ln ln .(3)⎰⎰⎰-+=-=dx xx x x x xd x x xdx 21arccos arccos arccos arccos .C x x x +--=21arccos .其中:C x C x x x d dx x x +--=+-⋅-=---=-⎰⎰22222112211)1(211.(4)C x e C e xe x d e xe xde dx xe x x x x x x x ++-=+--=+-=-=-------⎰⎰⎰)1(.(5)⎰⎰⎰⎰-=-==dx x x x x d x x x xdx xdx x 34444341ln 41ln 41ln 41ln 41ln C x x x +-=44161ln 41. (6)C x x x dx x x x x xd dx x x ++=-==⎰⎰⎰3cos 93sin 33sin 33sin 33sin 33cos .(7)⎰⎰⎰⎰⎰-=-=xdx x xd xdx xdx x xdx x tan sec tan 22C x x x x xdx xdx x x +-+=--=⎰⎰221|cos |ln tan tan tan .(8)⎰⎰⎰+-=-=2222cos cos cos sin xdx x x x d x xdx xC x x x x x +++-=cos 2sin 2cos 2.其中:C x x x xdx x x x xd xdx ++=-==⎰⎰⎰cos 2sin 2sin 2sin 2sin 2cos 2.(9)⎰⎰⎰-==x d x x x xdx xdx x arctan 31arctan 31arctan 31arctan 3332.C x x x x +++-=)1ln(6161arctan 31223. 其中:C x x dx x x dx xx x d x 3)1ln(2121111211arctan 22222233-+-=+-+=+=⎰⎰⎰. (10)⎰⎰⎰-==x xd xdx x xdx x x 2cos 412sin 21cos sin C x x x dx x x x ++-=+-=⎰2sin 812cos 412cos 412cos 41.(11)C x x x x xdx x xdx dx x x +++=+=⎰⎰⎰cos 21sin 2141cos 21212cos 22. 其中:C x x x xdx x x x xd xdx x 2cos sin sin sin sin cos ++=-==⎰⎰⎰.(12)I x x x d x xdx x 212cos )1(212cos )1(212sin )1(222++-=+-=+⎰⎰ C x x x x x ++++-=2cos 412sin 212cos )1(212C x x x x +++-=2sin 212cos )21(212.其中:⎰⎰⎰==+=)2(2cos )2(212cos 2)1(2cos 2x xd x xdx x x xd IC x x x 2]2cos 2sin 2[21++=.(13))1ln(21)1ln(21)1ln(21)1ln(222+-+=+=+⎰⎰⎰x d x x x dx x dx x x C x x x x x ++-+-+=)1ln(212141)1ln(2122 C x x x x ++-+-=2141)1ln()1(2122. 其中:x d x x x x x d x x x d x ⎰⎰⎰++--+=+=+1111)1ln(222C x x x x d x x 2)1ln(21)111(2-++-=++-=⎰.(14)x d x x x x xd dx x x 22222ln 1ln 1)1(ln ln ⎰⎰⎰+-=-=C x x x C x x x x x +++-=+---=)2ln 2(ln 12ln 2ln 122.其中:⎰⎰⎰⎰+-=-==x d x x x x xd dx x x x d x ln 12ln 2)1(ln 2ln 2ln 122C xx x dx x x x +--=+-=⎰2ln 212ln 22.(15)⎰⎰⎰-=======tdt t t t t d t dx x xt sin 2sin sin )(arcsin 22arcsin 2C t t t t t C t t t t t +--+=+-+=sin 2sin 12sin sin 2cos 2sin 222)1(C x x x x x +--+=2arcsin 12)(arcsin 22.(16)⎰⎰⎰⎰⎰-=⋅-=======tt t t t t x t tx x tde e t dt te e t de t dt e t dx e 632333322223331C t t e C e te e t dt e te e t t t t t t t t ++-=++-=+-=⎰)22(3663663222C x x e x ++-=)22(33323.(17)⎰⎰⎰-==xdx e x e x d e xdx e xx x x sin sin sin cos⎰⎰-+=+=xdx e x e x e x d e x e x x x x x cos cos sin cos sin ,∴C x x e xdx e x x ++=⎰)cos (sin 21sin .(18)I e xdx e dx e xdx e x x x x 21212cos 2121cos 2+-=+=----⎰⎰⎰ C x e x e e x x x +-+-=---2cos 1012sin 5121.:x xd e x e x d e I xx x ⎰⎰---+==2sin 212sin 212sin 21 x d e x e x x 2cos 412sin 21⎰---= x xd e x e x e x x x ⎰-----=2cos 412cos 412sin 21, ∴C x e x e I x x 22cos 41542sin 2154+⋅-⋅=--.2、利用指定的变量代换求下列不定积分 (1)C t t e t td e dx x tte x t++======⎰⎰=)cos (sin 21cos )cos(ln )17( C x x x ++=)]cos(ln )[sin(ln 21.(2)⎰⎰⎰-=======tdt t t t t d t dx x tx cos 2cos cos )(arccos 22cos 2⎰⎰+-=-=tdt t t t t t td t t sin 2sin 2cos sin 2cos 22C t t t t t C t t t t t +---=+--=cos 2cos 12cos cos 2sin 2cos 222 C x x x x x +---=2arccos 12)(arccos 22.习题5-41、求下列不定积分(1) x d x x x x x x x d x x ⎰⎰+-++--+=+288442222233 C x x x x x d x x x ++-+-=+-+-=⎰|2|ln 8431)2842(232.(2)x d x x x x d x x x ⎰⎰-++=-++)2)(5(13103132C x x x d x x +-++=-++=⎰|2|ln |5|ln 2)2152(. 其中: )2)(5(5225)2)(5(13-+++-=-++=-++x x BBx A Ax x B x A x x x , 有 3=+B A , 152=+-B A ,得1,2==B A .(3) x d xx x x x x x x x d x x x x ⎰⎰--++-+-=--+3242534588 x d x x x x x x d x x x x x x x ⎰⎰--+-++=-+-+++=]13148[])1)(1(8[222C x x x x x +--+-++=|1|ln 3|1|ln 4||ln 8213123. 其中: )1)(1()()()1(11)1)(1(82222-+++-+-=-+++=-+-+x x x x x C x x B x A x C x B x A x x x x x ,有 1=++C B A ,1=+-C B ,8-=-A ,得3,4,8-=-==C B A .(4)x d x x x x x d x x x x d x ⎰⎰⎰+++-+-=+-+=+)12142()1)(1(616223 ⎰⎰⎰⎰⎰+++--++-+--=+++-+--=12)23()21()21(343)21(]43)21[(1243)21(3)21(222222x dx x x d x x d x dx x d x xC x x x +++-⋅++--=|1|ln 22321arctan 2313]43)21ln[(2C x x x x +++-++--=|1|ln 2312arctan 32)1ln(2.其中: )1)(1()1()(11)1)(1(62222-++-++++=+++-+=+-+x x x x x C B x B A Ax x C x x B Ax x x x , 有 0=+C A ,0=-+C B A ,6=+C B ,得2,4,2==-=C B A .5)x d x x x x d x x x ⎰⎰+++-=++-)111()1)(1(122C x x x dx x x d ++++-=++++-=⎰⎰|1|ln )1ln(2111)1(21222.其中: )1)(1()1()(11)1)(1(12222-++++++=++++=++-x x x x C B x B A Ax x C x B Ax x x x , 有 0=+C A ,1-=+B A ,1=+C B ,得1,0,1==-=C B A .(6)x d x x x x d x x x ⎰⎰-⋅++⋅++-=-++]11211121)1(1[)1()1(1222 C x x C x x x +-++=+-++++=|1|ln 2111|1|ln 21|1|ln 21112 其中: 11)1()1()1(1222-++++=-++x Cx B x A x x x)1()1()12()1()1(222-++++-+-=x x x x C x B x A ,有 1=+C B ,02=+C A ,1=+--C B A ,得21,21,1==-=C B A . (7)x d x x x x x x dx ⎰⎰+++-+=+++)312211()3)(2)(1(2C x x x ++++-+=|3|ln |2|ln 2|1|ln .其中: 321)3)(2)(1(2+++++=+++x Cx B x A x x x)3)(2)(1()23()34()65(222+++++++++++=x x x x x C x x B x x A ,有 0=++C B A ,0345=++C B A ,2236=++C B A , 得1,2,1=-==C B A .(8)⎰⎰+---+++=+dx x x x x x x x dx )122122(421224⎰+----++++=dx x x x x x x )122)22(122)22((8222 ⎰⎰+-+--++++=12)12(8212)12(822222x x x x d x x x x d dx x x ]21)21(121)21(1[4122+-++++⎰ )12ln(82)12ln(8222+--++=x x x x C x x +-⋅++⋅+2121arctan 211412121arctan21141C x x x x x x +-++++-++=)12arctan(42)12arctan(421212ln 8222. 其中: 121211224+-+++++=+x x DCx x x B Ax x )12)(12(222222223223+-+++++++++-++-=x x x x DDx Dx Cx Cx Cx B Bx Bx Ax Ax Ax ,有 0=+C A , 022=+++-D C B A ,022=++-D C B A ,1=+D B , 得21,42,21,42=-===D C B A .。