南理工电光院培养计划
- 格式:doc
- 大小:990.00 KB
- 文档页数:37
光电信息工程专硕培养方案一、培养目标光电信息工程专硕培养方案旨在培养具备扎实的光电技术和信息工程理论知识,熟悉光电信息工程相关领域的专业技能和实践能力,能够在信息和光电领域的科研、技术开发、工程设计与管理等方面工作的高层次、复合型专门人才。
培养方案设置研究生在光电信息工程领域系统、全面地学习专业技术知识和基本理论,掌握光电信息工程基本技能、具有创新能力、研究生具有扎实的光电技术和信息工程相关领域的理论知识、系统掌握光电信息工程的核心专业知识与基础理论,具有扎实的数学功底和较深的信息科学与技术基础,具有丰富的光电信息工程实战能力,并能在信息处理、图像分析、多媒体信息工程、生物医学信息工程、光通信、光网络等领域中的基础研究或工程技术中工作的光电信息工程高级专门人才。
二、基本要求光电信息工程专硕培养方案着力培养研究生的创新精神和实践能力,强调研究生的能力培养和专业素养。
光电信息工程专硕培养方案使学生能够系统掌握光电信息工程的基本理论和专业技能,了解光电信息工程技术的发展动态,掌握科学研究与实验方法,熟练掌握光电信息工程的核心专业知识与技能,培养研究生具有较扎实的数学和信息科学与技术基础,具有较强的实践能力和创新精神,能够在工程实践和科学研究中独立开展工作。
三、课程设置光电信息工程专硕培养方案的课程设置主要包括以下几个方面的内容:1. 光电信息工程基础课程:主要涉及光学、光电子学、电路与系统、数字图像处理等方面的基础理论和基本知识。
2. 光电信息工程专业课程:包括光电信息系统工程、光电通信原理与系统、光电信息处理技术、光电信息工程实验、光电信息工程设计、光电信息技术前沿等方面的专业课程。
3. 综合实践课程:包括科研实践、工程实践、实习等方面的综合实践课程。
四、实践教学光电信息工程专硕培养方案强调实践教学的重要性,注重培养研究生的实践能力和创新精神。
实践教学主要包括以下几个方面:1. 实验实践:通过实验室实验、科研实践等方式,深化学生对光电信息工程理论知识的理解,提高其实验能力和创新意识。
南京理工大学电子工程与光电技术学院2018级年级制度汇编南京理工大学电子工程与光电技术学院2018级(简称“电光18”)是一个充满朝气,蓬勃向上的集体。
为保持年级活力,维护年级秩序,年级追求教育管理工作制度化和规范化,围绕“有才能敢展现坚守初心,有品德敢担当争做暖人”的年级理念制定了一系列有年级特色的管理规定。
年级倡导人人遵守制度、敬畏制度、按制度行事;遇到制度规范之外的特殊情况时,按“有规依规,无规依例”的准则处理。
注:年级教育班为年级日常管理机构,由年级主任(辅导员)和四名学生助理组成。
●主任:杨洋固话:手机:150 **** **** 邮箱:地址:电光学院B235房间工作宣言:精细化管理全身心服务以真诚相交用真情相待●助理:傅超手机:177 **** **** Q Q:工作宣言:越努力越幸运●助理:马幅美手机:159 **** **** Q Q:工作宣言:坚持把简单的事情做好就是不简单坚持把平凡的事情做好就是不平凡●助理:易昊天手机:150 **** **** Q Q:工作宣言:见闻决定格局汗水书写未来●助理:李诗琴手机:175 **** **** Q Q:工作宣言:追求卓越担当责任一、电光学院2018级“十条规定”(一)电光学院2018级本科学生综合素质测评办法为提高人才培养质量,践行“敢为人先,争创一流”的电光精神,培养“宽、厚、重、勇”的全新一代电光学子,根据《南京理工大学普通本科学生综合素质测评办法》,特制定本测评方法。
第一条本测评办法的结果是学生评奖评优、分专业、免试研究生推荐、优秀毕业生评定、就业推荐、党员发展的重要依据;第二条本办法适用于电光学院本科生,每学期考评一次。
在校学习期间转专业的学生,其上一学期测评工作由原学院负责。
休学学生在休学期间不参加综合素质测评;第三条学生综合素质测评包括课程学习成绩、科技创新实践成绩、发展性素质成绩三个方面。
具体遵照《电光学院2018级本科学生综合素质测评条例》执行。
光学工程Optical Engineering(领域代码:085202)一、培养目标光学工程领域全日制工程硕士培养基础扎实、素质全面、工程实践能力强,并具有一定的创新能力的应用型、复合型高层次工程技术和工程管理人才。
具体要求为:1、在思想上应拥护党的基本路线和方针政策,热爱祖国,遵纪守法,具有良好的职业道德和敬业精神,具有科学严谨和求真务实的学习态度和工作作风。
2、在业务上应掌握光学工程领域较坚实的基础知识,宽广的专门知识,以及必要的管理知识;掌握解决光学工程领域工程问题的先进方法和现代技术手段;具有独立从事科学研究、项目开发、工程设计和工程管理的能力;能够承担解决光学工程领域及其相关技术中的工程实际问题。
3、掌握一门外国语,较熟练地查阅本领域的国内外科技资料和文献,了解本领域的技术现状和发展趋势。
二、学制和学分全日制工程硕士研究生实行为以两年半为主的弹性学制,原则上不超过五年。
工程硕士生学习计划总学分不得少于80学分,其中课程学习不少于34学分,专业实践15学分,论文选题开题1学分,学位论文30学分。
三、研究方向光学工程领域是一个口径宽、覆盖面广、知识与技术密集,覆盖光电子技术与光子学技术、光电信息技术与工程、光学仪器及技术等多个工程技术领域,是信息社会的支柱性工程领域。
本领域主要研究方向有:1、光电子技术与光子学技术2、光电信息技术与工程3、光学仪器及技术四、培养方式1、采用课程学习、实践教学与学位论文相结合的培养方式。
2、课程学习和实践教学实行学分制。
鼓励工程硕士研究生到合作单位进行专业实践,可采取集中实践和分段实践相结合的方式,实践教学原则上在半年以上。
五、课程设置课程学习总学分应不少于34学分,具体设置及要求详见工程领域课程设置表。
六、专业实践专业实践注重培养研究生了解光学工程领域现实技术水平及企业运作的管理方式,通过参加实际课题的研究或企事业的具体工作,培养研究生发现问题、解决工程技术问题及管理问题的能光学工程领域课程设置表力,提高专业素养及就业创业能力。
南京理工大学制定本科培养计划的若干意见一、指导思想、原则及工作思路1.我校本科人才培养的总目标是:面向社会经济发展和国防现代化建设的需求,培养大批基础宽厚,知识、能力、素质协调发展,具有较强的国际交流能力,德才兼备、身心健康、求真务实、敢于创新、勇于实践,具有献身精神的高素质研究应用型专门人才。
在若干优势学科专业领域造就一批具有国际视野、领导才能、开拓能力的拔尖创新人才毛坯,为其成长为各行业的精英人才和领军人物打下坚实基础。
2.推进全面素质教育,注重学生创新精神、实践能力的培养,促使学生智力因素和非智力因素协调发展。
培养计划的制定要从21世纪人才所需的知识、能力和素质要求出发,按照“宽专业、厚基础、重能力、高素质”的基本原则构建和完善创新人才培养方案,突出专业办学特色,合理调整课程设置,把拓宽专业口径与灵活设置专业方向有机结合,以增强大学生的适应能力和就业针对性。
3.各专业要依据社会需求、自身的办学历史和现有的条件,科学合理地确定本专业的人才培养目标和培养规格,并在培养计划中明确体现。
理工类专业要加强理工结合、文理渗透,强化学生研究开发能力、工程应用能力的培养,人文社会科学和经管类专业着重培养面向国民经济和区域经济建设所需的具有一定自然科学基础和工程技术背景的高素质复合型、应用型人才。
4.全校按专业大类(材料、机械、仪器仪表、能源动力、电气信息、电子信息科学、土建、环境与安全、化工与制药、交通运输、武器类、工程力学、生物工程、数学、物理学、经济学、管理学、法学、外国语言文学、新闻传播学、社会学、艺术等)制定宽口径的人才培养计划,科学合理构建专业大类的学科基础课平台,柔性设置专业方向选修课及学科前沿选修课程。
5.加强实践教学,大力推进和深化实践教学改革,建立完善的实践教学课程体系,进一步拓宽提高实践能力的思路,提高学生运用理论知识分析、解决实际问题的能力和在实践中善于发现问题、提出问题的能力,加强学生创新意识和创新能力的培养。
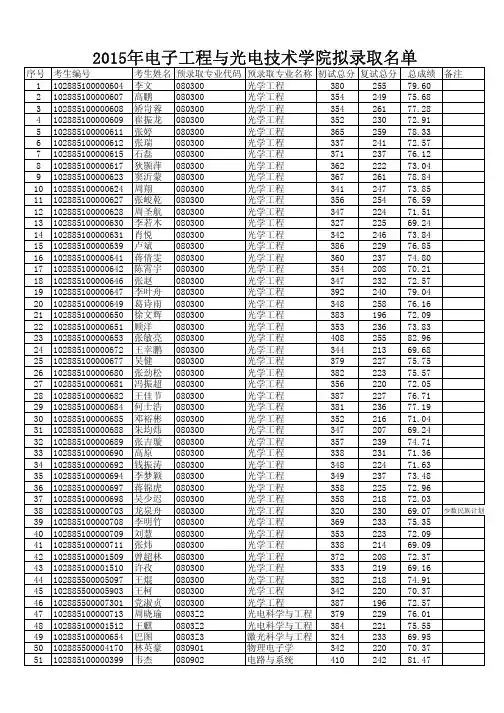
2015年电子工程与光电技术学院拟录取名单序号考生编号考生姓名预录取专业代码预录取专业名称初试总分复试总分总成绩备注1102885100000604李文080300光学工程38025579.602102885100000607高鹏080300光学工程35424975.683102885100000608矫岢蓉080300光学工程35426177.284102885100000609崔振龙080300光学工程35223072.915102885100000611张婷080300光学工程36525978.336102885100000612张瑞080300光学工程33724172.577102885100000615石磊080300光学工程37123776.128102885100000617狄颢萍080300光学工程36222273.049102885100000623窦沂蒙080300光学工程36726178.84 10102885100000624周翔080300光学工程34124773.85 11102885100000627张峻乾080300光学工程35625476.59 12102885100000628周圣航080300光学工程34722471.51 13102885100000630李若木080300光学工程32722569.24 14102885100000631肖悦080300光学工程34224673.84 15102885100000639卢斌080300光学工程38622976.85 16102885100000641蒋倩雯080300光学工程36023774.80 17102885100000642陈霄宇080300光学工程35420870.21 18102885100000646张赵080300光学工程34723272.57 19102885100000647李叶舟080300光学工程39224079.04 20102885100000649葛诗雨080300光学工程34825876.16 21102885100000650徐文辉080300光学工程38319672.09 22102885100000651顾洋080300光学工程35323673.83 23102885100000653张敏亮080300光学工程40825582.96 24102885100000672王幸鹏080300光学工程34421369.68 25102885100000677吴健080300光学工程37922775.75 26102885100000680张劲松080300光学工程38222375.57 27102885100000681冯振超080300光学工程35622072.05 28102885100000682王佳节080300光学工程38722776.71 29102885100000684何士浩080300光学工程38123677.19 30102885100000685邓裕彬080300光学工程35221671.04 31102885100000688朱均炜080300光学工程34720769.24 32102885100000689张吉璇080300光学工程35723974.71 33102885100000690高原080300光学工程33823171.36 34102885100000692钱振涛080300光学工程34822471.63 35102885100000694李梦颖080300光学工程34923773.48 36102885100000697蒋锦虎080300光学工程35822572.96 37102885100000698吴少迟080300光学工程35821872.03 38102885100000703龙泉舟080300光学工程32023069.07少数民族计划39102885100000708李明竹080300光学工程36923375.35 40102885100000709刘慧080300光学工程35322372.09 41102885100000711张炜080300光学工程33821469.09 42102885100001509曾超林080300光学工程37220872.37 43102885100001510许孜080300光学工程33321969.16 44102885500005097王焜080300光学工程38221874.91 45102885500005903王柯080300光学工程34222070.37 46102885500007301党淑贞080300光学工程38719672.57 47102885100000713周晓瑜0803Z2光电科学与工程37922976.01 48102885100001512王麒0803Z2光电科学与工程38422175.55 49102885100000654巴图0803Z3激光科学与工程32423369.95 50102885500004170林英豪080901物理电子学34222070.37 51102885100000399韦杰080902电路与系统41024281.4752102885100000403彭安080902电路与系统33020767.20 53102885100000409席家祯080904电磁场与微波技术36322473.43 54102885100000729王凯080904电磁场与微波技术35622372.45 55102885100000730余启迪080904电磁场与微波技术36824376.56 56102885100000731周宏健080904电磁场与微波技术38223877.57 57102885100000732刘阳080904电磁场与微波技术34126375.99 58102885100000733张明080904电磁场与微波技术36920371.35 59102885100000734张慧莎080904电磁场与微波技术37517968.87 60102885100000735徐艳卉080904电磁场与微波技术39022176.27 61102885100000737滑亚腾080904电磁场与微波技术33020867.33 62102885100000738施雁佳080904电磁场与微波技术33220667.31 63102885100000739赵艳飞080904电磁场与微波技术34525174.87 64102885100000741薛晨昊080904电磁场与微波技术39521475.93 65102885100000742张杭鸿080904电磁场与微波技术36219869.84 66102885100000743印倩080904电磁场与微波技术38721474.97 67102885100000744季晓宇080904电磁场与微波技术37023175.20 68102885100000745吴章辉080904电磁场与微波技术33024672.40 69102885100000746荣志鹏080904电磁场与微波技术33820167.36 70102885100000751陈全刚080904电磁场与微波技术36219669.57 71102885100000753高磊080904电磁场与微波技术36220170.24 72102885100000754顾竹鑫080904电磁场与微波技术39024679.60 73102885100000755徐海艳080904电磁场与微波技术33525974.73 74102885100000756杨俊翔080904电磁场与微波技术37121573.19 75102885100000759李文荣080904电磁场与微波技术34124373.32 76102885100000761陈东旭080904电磁场与微波技术35622772.99 77102885500003615罗晨080904电磁场与微波技术38323977.83 78102885500003706孙玉080904电磁场与微波技术38023476.80 79102885500004871薛光080904电磁场与微波技术35725777.11 80102885500004878殷秋鹏080904电磁场与微波技术35826678.43 81102885500004971陈栋志080904电磁场与微波技术37123475.72 82102885500004973孙朦朦080904电磁场与微波技术36725578.04 83102885500004978许传栋080904电磁场与微波技术34625976.05 84102885500005261孙龙080904电磁场与微波技术38722776.71 85102885500005443张静静080904电磁场与微波技术38422976.61 86102885500005808凌玲080904电磁场与微波技术34524874.47 87102885500006144丁文兵080904电磁场与微波技术37623676.59 88102885500006214梁争080904电磁场与微波技术39020574.13 89102885500008067汤普祥080904电磁场与微波技术36424876.75 90102885100000412时国维081001通信与信息系统32927075.48 91102885100000413严丽萍081001通信与信息系统37924478.01 92102885100000416肖旭081001通信与信息系统38921775.61 93102885100000420熊俊军081001通信与信息系统38022175.07 94102885100000424夏风琳081001通信与信息系统32922869.88 95102885100000426杨淑萍081001通信与信息系统36023474.40 96102885100000429张力081001通信与信息系统37420972.75 97102885100000433周文忠081001通信与信息系统36724076.04 98102885100000440周慧成081001通信与信息系统34121569.59 99102885100000442顾旭文081001通信与信息系统36822674.29 100102885100000444谢虎081001通信与信息系统37118969.72 101102885100000447余晨晖081001通信与信息系统35921872.15 102102885100000448王辉081001通信与信息系统36919870.68 103102885100000449韩璐霞081001通信与信息系统33525474.07 104102885100000451王允081001通信与信息系统38421074.08 105102885100000455钟高鹏081001通信与信息系统38822676.69106102885100000456刘敏081001通信与信息系统37121172.65 107102885100000463叶中天081001通信与信息系统34225575.04 108102885100000464潘炜程081001通信与信息系统36221171.57 109102885100000468吴磊081001通信与信息系统36119369.05 110102885100000469陈旻琦081001通信与信息系统35222872.64 111102885100000473阚凌志081001通信与信息系统37421373.28 112102885100000474钱雷081001通信与信息系统36622073.25 113102885100000479严佳慧081001通信与信息系统35222772.51 114102885100000481戴善江081001通信与信息系统38122275.32 115102885100000482王宇飞081001通信与信息系统38219972.37 116102885100000485梁琴琴081001通信与信息系统34920669.35 117102885100000491陈国伟081001通信与信息系统32926174.28 118102885100000492王茂旭081001通信与信息系统36723775.64 119102885100000494王子洵081001通信与信息系统38519171.67 120102885100000495刘亮亮081001通信与信息系统33124271.99 121102885100000498尹航081001通信与信息系统34423772.88 122102885100000499修鑫081001通信与信息系统38620773.92 123102885100000502张天乐081001通信与信息系统35022672.13 124102885100000510于榭彬081001通信与信息系统35325175.83 125102885100000512张心逸081001通信与信息系统35324174.49 126102885100000514石剑081001通信与信息系统39024279.07 127102885100000516王威081001通信与信息系统33822670.69 128102885500003270张建城081001通信与信息系统35020068.67 129102885500003880王义海081001通信与信息系统35720770.44 130102885500003981王瑞东081001通信与信息系统38519972.73 131102885500003982苏思玫081001通信与信息系统40621477.25 132102885500003984关凤瑜081001通信与信息系统37519470.87 133102885500004072赵子豪081001通信与信息系统35925176.55 134102885500004338蒋笑笑081001通信与信息系统33921869.75 135102885500004461张竣昊081001通信与信息系统36222273.04 136102885500004464孙超081001通信与信息系统36319369.29 137102885500004724王鑫081001通信与信息系统38118169.85 138102885500004821姜文兵081001通信与信息系统36419269.28 139102885500004874杨洋081001通信与信息系统38217869.57 140102885500004875谭飞081001通信与信息系统37117067.19 141102885500005053邵鸿旭081001通信与信息系统37620672.59 142102885500006742房芳081001通信与信息系统34019867.20 143102885500007869苏远081001通信与信息系统39917370.95 144102885500008099钟静连081001通信与信息系统34321770.09 145102885500008264姜俊宏081001通信与信息系统35919468.95 146102885100000531王宇081002信号与信息处理38320973.83 147102885100000535仝华东081002信号与信息处理34421770.21 148102885100000537刘胜阳081002信号与信息处理38522175.67 149102885100000540张彬超081002信号与信息处理35121170.25 150102885100000541陈云姣081002信号与信息处理35324875.43 151102885100000549张岩081002信号与信息处理33721869.51 152102885100000550王枭081002信号与信息处理34719367.37 153102885100000552邓博雅081002信号与信息处理33424672.88 154102885100000555姜文081002信号与信息处理35218667.04 155102885100000556王陈晨081002信号与信息处理36724076.04 156102885500003909谢金鑫081002信号与信息处理36920972.15 157102885500005786李阳081002信号与信息处理38820273.49 158102885500006720张聚栋081002信号与信息处理37321673.56 159102885100000605王军085202光学工程30520664.07160102885100000622韩硕085202光学工程31221866.51 161102885100000660别枢佑085202光学工程37023575.73 162102885100000663王琴085202光学工程40721777.77 163102885100000664郑南085202光学工程37925579.48 164102885100000669孟诗085202光学工程37223676.11 165102885100000674刘李凤085202光学工程32121667.32 166102885100000675高青松085202光学工程30321064.36 167102885100000691李玲085202光学工程32720566.57 168102885100000693沈国峰085202光学工程30323067.03 169102885100000701过玲钰085202光学工程32224771.57 170102885100000702李之秀085202光学工程33120466.92 171102885100000704董伟085202光学工程32621567.79 172102885100000707张晓敏085202光学工程33023070.27 173102885100000710吕进085202光学工程32922970.01 174102885100000719刘乾坤085202光学工程36224275.71 175102885100000720孟思岐085202光学工程34424774.21 176102885100000723刘若晨085202光学工程32219664.77 177102885100000725沈晶晶085202光学工程36221672.24 178102885100001516高佳妮085202光学工程35121070.12 179102885100001518沈天宇085202光学工程39721676.44 180102885500003149李伯轩085202光学工程31220364.51 181102885500004075王逸伦085202光学工程35926077.75 182102885500005099张翔085202光学工程38021273.87 183102885500003443陈一鸣085203仪器仪表工程38919772.95 184102885500004619朱竞祎085203仪器仪表工程31524870.87 185100065210504848王轶豪085208电子与通信工程31724670.84 186102865320203377顾治峰085208电子与通信工程31022467.07 187102885100000404刘宇085208电子与通信工程32025071.73 188102885100000414蔡超函085208电子与通信工程30825570.96 189102885100000418裴天齐085208电子与通信工程28724567.11 190102885100000419朱啸宇085208电子与通信工程32124270.79 191102885100000422钱钟翰085208电子与通信工程31921867.35 192102885100000423殷玉凤085208电子与通信工程29723566.97 193102885100000430吴翠翠085208电子与通信工程31022467.07 194102885100000445彭泓渊085208电子与通信工程30223267.17 195102885100000450肖若灵085208电子与通信工程29523767.00 196102885100000452庄宇乾085208电子与通信工程32025171.87 197102885100000453冒志益085208电子与通信工程31622668.05 198102885100000457张新乔085208电子与通信工程33723772.04 199102885100000461杨榛085208电子与通信工程32623570.45 200102885100000465吴亚成085208电子与通信工程31622567.92 201102885100000466刘世会085208电子与通信工程30323067.03 202102885100000487杜禹085208电子与通信工程31924671.08 203102885100000488杨彤085208电子与通信工程32022468.27 204102885100000496季爽085208电子与通信工程31622367.65 205102885100000501孙中震085208电子与通信工程29224167.17 206102885100000504袁效鹏085208电子与通信工程31226172.24 207102885100000513王倩085208电子与通信工程31822868.56 208102885100000527潘祺凰085208电子与通信工程32222268.24 209102885100000534廖志成085208电子与通信工程30422967.01 210102885100000560殷俊085208电子与通信工程38419672.21 211102885100000563刘苗085208电子与通信工程39923479.08 212102885100000567贺冲085208电子与通信工程36122673.45 213102885100000568张赛花085208电子与通信工程38023276.53214102885100000570沈俊逸085208电子与通信工程36021371.60 215102885100000572朱熠良085208电子与通信工程39920875.61 216102885100000574王彦085208电子与通信工程39321675.96 217102885100000578张凯085208电子与通信工程36522373.53 218102885100000579丁禹翔085208电子与通信工程30824068.96 219102885100000582吕云涛085208电子与通信工程36322173.03 220102885100000584毛誉杰085208电子与通信工程34020067.47 221102885100000585褚顺风085208电子与通信工程37323375.83 222102885100000588顾晶莹085208电子与通信工程37719170.71 223102885100000592陈向炜085208电子与通信工程38224979.04 224102885100000594高榕085208电子与通信工程39423578.61 225102885100000595施江南085208电子与通信工程39723578.97 226102885100000596朱逸飞085208电子与通信工程38923477.88 227102885100000598韦晓波085208电子与通信工程33125173.19 228102885100000763郭晗085208电子与通信工程31522167.27 229102885100000765尹蕊085208电子与通信工程34923473.08 230102885100000766李浩然085208电子与通信工程37423275.81 231102885100000767唐之宣085208电子与通信工程32524671.80 232102885100000769何云亚085208电子与通信工程41119675.45 233102885100000771王震085208电子与通信工程35319167.83 234102885100000772朱鹏博085208电子与通信工程33325373.69 235102885100000773周冲085208电子与通信工程35425276.08 236102885100000779肖如奇085208电子与通信工程39326382.23 237102885500003202王晓鹏085208电子与通信工程38020472.80 238102885500003226邵询085208电子与通信工程33923171.48 239102885500003269汪云085208电子与通信工程32820967.23 240102885500003797陈苑婷085208电子与通信工程38323977.83 241102885500003988张婕玲085208电子与通信工程35021270.27 242102885500003989蒋洁085208电子与通信工程33624873.39 243102885500004166朱伟085208电子与通信工程39520574.73 244102885500004340杨亚南085208电子与通信工程28024966.80 245102885500004341李睿霖085208电子与通信工程31821566.83 246102885500004342黄慧085208电子与通信工程39025580.80 247102885500004345李燕茹085208电子与通信工程35521571.27 248102885500004985夏晨辉085208电子与通信工程34523672.87 249102885500004988沈岙085208电子与通信工程35225576.24 250102885500004997周睿涛085208电子与通信工程36924476.81 251102885500005055许炯085208电子与通信工程35823574.29 252102885500005255汪忱085208电子与通信工程29523566.73 253102885500005441王东京085208电子与通信工程34522070.73 254102885500005616葛志勇085208电子与通信工程38723477.64 255102885500005887汪书阁085208电子与通信工程39822878.16 256102885500006070汤伟085208电子与通信工程36519970.33 257102885500006093卢杉085208电子与通信工程33120567.05 258102885500006456闫林林085208电子与通信工程40024080.00 259102885500006743林晓辰085208电子与通信工程37123675.99 260102885500007397栗远波085208电子与通信工程36923175.08 261102885500007904袁和085208电子与通信工程35620069.39 262102885500008231杨奇德085208电子与通信工程37920072.15 263102885500004471王保坤085209集成电路工程35922873.48 264102885500004879薛伟085209集成电路工程35817466.16 265102885500007871安盛085209集成电路工程40018072.00 266102885500007961张镇085209集成电路工程38522275.80。
电磁场与微波技术/电路与系统Electromagnetic Fields and Microwave Theory/Circuits andSystems(专业代码:080902/4)一、学科介绍本学科是学校211工程建设项目支持的学科,有博士学位授予权和博士后流动站,是我国首批硕士学位授权学科(1981年)。
本学科有IEEE Fellow和国家杰出青年基金获得者,大部分教师曾在国外高校进修或获得博士学位,师资力量雄厚,设备齐全。
本学科有多项高层次科研项目的支撑,每年在国际国内核心期刊发表大量的学术论文,享有一定的国际声誉,具有良好的学术研究和工程应用能力,曾获得多项省部级与国家级科技进步奖。
同时,本学科十分注重国际学术交流和合作,与多所国际知名大学联合培养研究生,研究方向始终与学科前沿同步。
主要研究方向为:电磁理论与计算方法,射频集成电路与天线,智能天线与射频信息处理,电磁兼容,射频/微波毫米波系统(通信/雷达),光电集成电路,通讯网络VLSI,纳米电子技术,太赫兹理论与技术。
二、培养目标本专业重点培养学生掌握宽厚的电磁理论与射频技术基础,扎实的射频电路与系统的分析与设计知识,具备从事移动通信的射频设计,各种集成电路分析与设计,雷达等电子系统高频前端设计的能力,培养学生具备较熟练英语的读说写能力和独立从事科学研究的素质。
要求毕业生在军民用雷达,通信及射频识别(RFID)等领域能独立从事科研、教学和科技管理工作。
毕业生主要就业去向包括中央部委及下属的大型研究院所,IT行业内的大型公司,及海内外高等院校等。
就业现状和前景良好,目前就业率达100%。
三、学制和学分全日制研究生实行以2年制为主的弹性学制,原则上不超过5年。
总学分28个,其中必修课程不少于14学分。
四、课程设置五、科研能力与水平1.要求具有一定的应用数学和应用物理,经典电磁理论与当代电磁场数学方法, 线性与非线性电路理论, 计算机软、硬件方面的基础知识。
南理工创新班培养的计划【与“理”一起向未来】面向国家战略培养杰出人才——南京理工大学拔尖人才培养工作综述2022-06-26在即将到来的2022年秋季学期,我校将首次成立“鼎新创新人才班”。
第一届“鼎新创新人才班”将通过高考直招和二次选拔两种方式选拔优质生源,由国内外院士领衔建立导师团队,突破学科专业限制,实现完全学分制,实现全人格教育,培养瞄准前沿性、革命性、颠覆性技术发展,着力培养解决“卡脖子”问题和引领未来发展的科技创新领军人才。
这是我校在拔尖人才培养工作中的又一次探索创新。
多年来,我校立足“工程精英、社会中坚”的人才培养定位,推动人才培养模式创新,促进学生全面发展,加快培养更多基础宽厚,知识、能力、素质协调发展、富有创新精神、勇于投身实践的拔尖创新人才,为国家创新驱动发展提供更为有力的人才智力支撑。
创新培养模式,引领学生发展持续深化人才培养模式改革,立足学生综合素质全面发展和跨学科交叉能力培养,构建以个性化培养、多元化发展为特征的“321”人才培养模式。
课程体系按照“通识、学科、专业”三个模块构建,知识能力体系按照“学术领军”和“行业精英”两种类型人才发展需求进行重构,支持学生根据不同发展路径选择课程和学习进程,实现“一人一方案”。
从体制机制牵引、课程体系构建、教学资源保障等方面全面满足学生个性化发展。
通过“大类招生+专业分流”、转专业等专业选择机制为学生提供第二次专业选择的机会,大力推进本科生导师制、完全学分制,给予学生个性化学业指导,建立灵活多元的培养机制;基于“厚基础、重能力、强素质”的培养原则,构建“横向破壁、纵向贯通、分类分层”课程体系,重点审视各专业知识能力素质体系与经济社会发展及学生发展需求的契合度、课程体系与培养目标及毕业要求的耦合度,建立符合学生自我认知、学业发展规律的专业成长路径。
建强学科专业,夯实培养内涵学校主动适应国家和区域经济社会发展需求,优化学科专业布局。
聚集优势学科,统筹专业建设。
南京理工大学关于制定本科培养计划的原则指导意见本科培养计划是高等学校实现人才培养目标的总体实施方案,是安排教学内容、组织教学活动、进行教学管理和质量监控、推进教育教学改革的指导性文件。
为全面落实《国家中长期教育改革和发展规划纲要》、《教育部关于全面提高高等教育质量的若干意见》、《南京理工大学“十二五”人才培养专项规划》、《南京理工大学关于全面提高高等教育质量的若干意见》,学校决定对本科生培养计划进行全面修订。
为保证本轮本科人才培养计划的制定工作顺利进行,提出如下意见。
一、指导思想遵循党的教育方针和教育教学的基本规律,面向国家与社会发展需求,结合学校人才培养目标定位,以促进学生的全面发展和个性化发展为根本,构建特色高水平研究型大学多样化本科人才培养体系,培养“基础宽厚,知识、能力、素质协调发展的高级专门人才,造就一大批具有国际视野,求真务实,能开拓创新、引领发展的工程精英和社会中坚。
”通过本科培养计划的修订,构建“宽基础、精专业、多模块”的课程体系;努力探索教育教学改革的新途径,推进研究性教学改革,引导学生自主学习;强化实践教学,完善实践教学体系;贯彻因材施教原则,建立以学生为中心的培养模式;培养学生创新意识,促进学生个性化和多样化的发展,增强学生的可持续发展能力和社会适应性。
二、基本原则1.适应社会需求。
根据教育部专业人才培养规范、高等工程教育专业认证标准、卓越工程师教育培养计划的要求,结合我校的办学目标和本科人才培养定位,认真分析我国社会发展以及工业化、信息化建设进程中对人才知识、能力、素质的要求,以国内外同类专业人才培养定位为参照,明确专业人才培养目标和定位。
2.体现学科特色。
专业培养计划要充分体现学校的办学传统与学科特色,灵活设置具有鲜明特色的专业教育课程;课程设置要体现系统性、前瞻性,要反映本学科专业的基本理论知识及最新研究成果;要有效整合课程,科学地处理好本、研不同培养层次课程之间的衔接;培养具有南京理工大学特色的高素质本科人才。
光电信息科学与工程专业(光学工程方向)本科生培养方案培养目标本专业培养具有较高思想道德、文化修养、敬业精神和社会责任感,具有健康的体魄和良好的心理素质,具备光电信息科学与工程方面知识和能力的宽基础、高素质、具有创新意识和实践能力的创新型人才。
本专业学生应在光电信息科学与工程领域各研究方向上具有宽厚的理论基础、扎实的专业基础知识、熟练的实验技能,并具有综合运用光电科学理论和技术分析解决工程问题的基本能力,能从事光电信息技术方向的研究、设计、制造及新产品、新技术、新工艺的研究与开发等工作。
培养要求本专业学生主要学习光电信息科学与工程的基本理论和基本知识,接受光电信息系统分析、设计和研究方法等方面的基本训练,具有研究、设计、开发、集成及应用光电信息系统的基本能力,培养学生具备光电信息学科的研究和工程技术研发,以及产品的设计、生产、销售和服务或工程项目的施工、运行和维护能力。
本专业特别注重培养学生终生学习和在工程实践中学习的能力,使学生具有工程科技创新和创业的意识。
本专业学生毕业后能在光电信息科学与工程相关领域从事研究、设计、开发、应用和管理工作。
本专业在学习过程中接受工程技术基础、科学研究等多方面综合能力的训练,培养过程体现信息产业高速发展、学科交叉的趋势。
毕业生应具备以下几方面的知识和能力:1.具有良好的工程职业道德、追求卓越的态度、强烈的爱国敬业精神、社会责任感和丰富的人文科学素养;2.具有从事工程工作所需的数学和其他相关的自然科学知识以及一定的经济管理知识;3.具有良好的质量、环境、职业健康、安全和服务意识;4.掌握扎实的工程基础知识和本专业的基本理论知识,熟悉本专业领域内1~2个专业方向或有关方面的专业知识,了解本专业的学科前沿和发展趋势;5.具备综合运用所学基础理论和专业知识分析并解决工程实际问题的能力,具有一定计算机相关知识和较强的计算机应用能力;6.具有较强的创新意识和进行光电信息系统分析、设计、开发以及系统运行和维护的初步能力,具有较强的实践和动手能力;7.具有自主获取知识能力,了解本专业领域的技术标准和相关行业的政策、法律和法规,具有较强的自学能力、分析能力和鉴别能力;8.具有较好的组织管理能力、较强的交流沟通、环境适应和团队合作的能力;9.具有一定的国际视野和跨文化环境下的交流竞争和合作的初步能力,掌握一门外国语,具有较好的听、说、读、写能力,能较顺利地阅读本专业的外文书籍和资料。
电子科学与技术专业介绍--------------------------------------------------------------------------------一、专业特色本专业针对光电信息技术和现代微电子技术的发展趋势,突出光电技术和微电子与信息处理学科的交叉和融合,以光电成像探测理论与技术及微电子理论与技术为专业特色。
二、培养目标本专业培养德、智、体全面发展,具备光电信息处理与微电子学领域内宽厚理论基础、实验能力、知识面宽、创新能力强,能在光电信息工程、微电子技术和通信与计算机等研究领域从事光电子器件、光电系统和集成电路的设计、开发、应用和管理等方面的高素质研究应用型专门人才。
三、培养要求本专业的学生主要学习光电信息处理和微电子学的基本理论和基本知识,接受光电信息系统和集成电路分析与设计等方面的基本训练,具有设计、开发、集成及应用的基本能力。
毕业生应获得以下几方面的知识和能力:1.掌握光电子和微电子的基本理论、基本知识,主要包括光电成像探测、微电子学、集成电路设计与工艺、计算机原理及应用、图像处理等基本知识;2.掌握光电信息采集、传输、处理、存储、显示等基本知识及相关系统和器件的分析研究、开发设计和制造的工程应用能力;3.掌握集成电路设计、集成电路制造工艺等基本知识及相关系统和器件的分析研究、开发设计和制造的工程应用能力;4.了解电子科学与技术的发展动态,具备扎实的理论和实践基础,能适应光电子和微电子产业的发展趋势;5.具有一定独立工作能力、科学研究能力、以及知识自我更新和不断创新的能力;6.具有较好的人文、艺术和社会科学基础,并熟练掌握一门外语。
四、学制与学位标准学制:四年修业年限:三至六年授予学位:工学学士五、主干学科、交叉学科主干学科:电子科学与技术交叉学科:光学工程、电子信息工程、通信工程六、主要课程光电技术方向:电路、模拟电子线路、信号与系统、微机原理与应用、半导体物理学、固体物理、理论物理基础、软件技术基础、光学、光电信号处理、光辐射测量、光电子器件、光电成像技术、超大规模集成电路设计(英)、固体电子器件(英)、光电子技术、显示技术、光电检测技术、数字图像处理等。
机械工程Mechanical Engineering(专业代码:080200)一、学科概况本学科是我国首批有权授予硕士学位学科之一,并具有一级学科博士学位授予点,设有机械工程博士后流动站。
本学科覆盖了机械制造及自动化、机械设计及理论、机械电子工程和车辆工程等4个二级学科,其中机械电子工程为江苏省重点学科。
机械工程一级学科主要优势研究方向有:先进制造系统理论及技术;制造系统检测、控制、诊断与维护技术;虚拟制造及网络化制造;计算机辅助技术;先进加工工艺及装备;机电系统理论与技术;智能检测与控制技术;微机电系统;机电系统灵巧化与智能化;现代机械设计理论与方法;智能机械与仿生技术;机器人技术及应用工程;车辆现代设计理论与方法;车辆电控与机电液一体化技术;车辆安全、节能与环保技术;车辆动力装置模拟、设计与优化等。
二、培养目标本学科以培养机械工程学科高层次专门人才为目标。
硕士学位获得者应热爱祖国、遵纪守法、品德良好、治学严谨、身心健康;在机械工程学科领域内掌握坚实的基础理论和系统的专门知识,了解学科发展的动向和前沿;能比较熟练地运用一种外国语;具有创新求实精神和良好的科研道德,具备独立从事本学科科学研究工作或独立担负专门技术工作的能力;能胜任本学科相关专业的教学、科研和工程技术工作及相关的科技管理工作。
本学科培养学术型、应用型和复合型三种类型的硕士研究生,其中学术型主要培养从事学术研究的专门人才,为博士研究生教育输送合格生源;应用型、复合型则以培养解决工程实际问题的能力为主,主要为相关企业与研究院所输送合格的专门人才。
三、学制和学分全日制硕士研究生实行为以两年半制为主的弹性学制,原则上不超过5年。
总学分33学分,其中必修课程不少于14学分。
四、课程设置五、科研能力与水平1.硕士研究生应参加具有较高水平的科学研究工作。
在导师指导下进行基础研究、应用基础研究、高新技术研究、重大开发项目研究。
2.硕士研究生应具有勇于探索、不断创新的精神和独立完成科学研究的能力。
南京理工大学2016级研究生制定培养计划选课办法及学分要求1.2016级研究生:需进入研究生院主页()、点击研究生院主页“管理信息系统”,登录时,选择类别为“学生”。
登陆“学号:如:‘116101000001’,密码为出生日期8为数,如’19910101’。
2.点击"培养-培养管理”菜单,选择“学期注册信息管理”,按照要求认真录入研究生个人基本信息,信息必须输完整,按“提交”按钮后,完成信息注册。
3.选择“个人基本信息管理”,按照个人信息内容,完善核对个人基本信息、如导师已确定,请选择导师。
(选择导师具体操作:点击“培养-培养管理-个人基本信息管理-学业/其它-指导教师-设定)。
完成录入后,按“保存”按钮4.研究生在导师的指导下制订好研究生个人培养计划后,再上网进行提交,须经导师在系统中审核通过。
操作办法点击“培养管理”,选择“培养计划信息管理”,进入培养计划选课界面后,根据培养方案要求,选择培养计划课程,只有满足学分要求后才能提交培养计划。
培养计划提交后,可以进入“培养计划查询”链接,查询个人培养计划。
在网上打印两份研究生个人培养计划表,导师签字后,一份交学院保存,一份交导师保存。
5.根据培养计划所选课程“网上选课”,选择“培养”模块中“课务管理”模块,然后选择“课程网上选课管理”,在“班级名称”栏,选择培养计划中有的课程,点击“选择上课班级”。
(需网上开通后才能选课)。
6.选课结束后查看个人课表。
在“课务管理”栏,点击”学期课表信息查询”菜单,查看本人本学期选课课表,按照课表时间上课。
7.学生登录个人系统后,在“课务管理”栏中,可以点击“开课目录信息查询”查看本学期各学院课表。
制定研究生培养计划学分要求Ø硕士研究生理工科门类总学分不少于32学分,其它学科门类研究生总学分不少于34学分Ø全日制工程硕士研究生课程总学分不少于34学分,专业实践15学分,论文选题开题1学分,学位论文30学分,学习计划总学分不得少于80学分Ø其它专业学位硕士见培养方案要求Ø硕士研究生必修1门全英语课程,1门公共实验课程Ø博士生课程学习总学分不少于18学分Ø硕博连读生与直博生理工科门类总学分不少于42学分,其它不少于44学分Ø跨学科或以同等学力入学的硕士研究生必须加修由导师制定的本科层次主干课程,计成绩,不计学分。
南京理工大学本科培养计划框架级—级课程体系及学分要求南京理工大学本科培养计划旨在培养具有高度科学素养、广泛知识面和较强实践能力的优秀人才。
为此,建立一个合理的课程框架级—级课程体系以及明确的学分要求至关重要。
本文将详细介绍南京理工大学本科培养计划的课程体系构架和学分要求。
一、课程体系构架1. 基础通识教育课程基础通识教育课程是本科培养计划的基石,目的是为学生提供综合素质教育,培养学生的人文素养、科学素养和社会责任感。
该类课程包括文化传承、科学思维、社会实践等方面的内容,拓宽学生的知识面。
2. 专业基础课程专业基础课程是培养学生专业素质的核心课程,旨在为学生提供相关专业领域的基本理论、基础知识和核心技能。
该类课程关系到学生后续的专业深造和职业发展,必须具备一定的课程学分。
3. 专业核心课程专业核心课程是深入学习和训练学生在所选专业领域中所需的核心知识和技能的课程。
该类课程以培养学生的专业能力和实践能力为目标,并加强学生在相关领域的专业素养。
4. 专业拓展课程专业拓展课程是为了提升学生的综合竞争力,拓宽学生的知识面和技能,培养学生的创新能力和实践能力。
该类课程可以涉及多个专业领域,为学生提供更多选择和发展空间。
二、学分要求1. 基础通识教育课程学分要求基础通识教育课程的学分要求根据南京理工大学教务部门的规定进行制定。
学生必须完成一定数量的基础通识课程,并获得相应的学分以满足毕业要求。
2. 专业基础课程学分要求专业基础课程的学分要求根据每个专业的实际情况设定,并有可能根据学科特点和发展需求进行调整。
学校会根据实际情况为学生制定具体的学分要求,学生必须修满相应的学分才能进入后续的专业学习。
3. 专业核心课程学分要求专业核心课程的学分要求通常为专业基础课程的两倍或更多,旨在全面提高学生在该领域的专业能力。
学生必须修满相应的学分才能获得相关专业的学位证书。
4. 专业拓展课程学分要求专业拓展课程的学分要求根据学校的要求和学生的个人意愿进行设定。
南京理工大学电光院研究生奖助学金评审管理办法-电子工程与光电技术学院研究生奖助学金评定实施办法一、资助对象和评审的组织资助对象根据《南京理工大学研究生培养机制改革方案》、《南京理工大学硕士研究生奖助学金改革实施细则》以及《南京理工大学博士研究生奖助学金改革实施细则》确定。
学院成立由院长、书记、分管研究生副院长、副书记、研究生教务员、研究生辅导员、导师代表、学生代表组成的研究生奖助学金评审组,对研究生奖助学金的等级进行评定。
由研究生教务员和辅导员组成工作小组,负责有关奖助学金资料和数据的统计。
二、硕士研究生奖助学金的评定1、硕士研究生奖助学金的等级、评定比例和发放标准见《南京理工大学2009级硕士研究生奖助学金改革实施细则》。
2、奖助学金的评定办法(1)第1、2学期:本时间段内的奖助学金等级根据入学成绩确定,方法如下:按照免试生和统考生两类分组按成绩排序,按照比例确定每位研究生奖助学金的等级。
免试生原则上为特等、一等,其中特等奖助学金名额为学院总特等奖助学金总名额的2/3。
校外免试生单独排序,根据复试成绩和来源学校(加权)确定等级,其中来自“985”和“211”工程学校的校外免试生为特等奖助学金(暂定)。
本校免试生学科群分组,根据复试综合成绩以及特等、一等名额确定等级。
统考生按复试学科群分组,根据统考英语和数学成绩之和排序(如果在同一排序线上有多名同分数者,再按依次按初试总分和复试综合成绩来排序)。
以及各等级名额确定等级。
(2) 第3学期:本时间段内的奖助学金等级根据上一年课程学习加权平均成绩确定,方法如下:硕士培养计划中的所有课程均列入计算范围;所有原始成绩用归一化方法对其进行处理;以学科或学院为单位,将课程分为:政治课、外语课、学科基础课及专业选修课四类,每类课程设置不同的权重,四类课程权重分别为0.7,0.7,1.0和0.7,按权重对归一化处理后的成绩求出平均分数并排序,进而确定各人的等级。
南京大学卓越计划【南京理工大学“卓越工程师教育培养计划”实施办法(暂行)】发布部门:教务处发布者:鞠晨鸣发布时间:2015-12-17浏览次数:1901南京理工大学“卓越工程师教育培养计划”实施办法(暂行)南理工教[2015]518号第一章总则第一条“卓越工程师教育培养计划”(以下简称“卓工计划”)是指面向工业界、面向世界、面向未来,培养造就一大批创新能力强、适应经济社会发展需要的高质量工程技术人才.第二条为了确保“卓工计划”人才培养目标的有效达成,有针对性地指导学院、专业、教师和学生开展“卓工计划”相关的教育教学工作,特制订本办法.第三条本办法适用于本科生培养阶段.第二章组织及职能1.领导小组负责全面领导、规划、组织、协调“卓工计划”的实施,调整、制定相关政策和制度,保证各项工作落到实处.2.工作组负责各项工作的具体实施.就培养目标、专业标准、培养方案、教学计划、课程体系、实践教学、教学方法、教学手段、学生管理、队伍建设、招生方式、校企合作、国际交流等方面开展具体工作.3.专家组由学校在工程教育改革与人才培养方面有经验的若干名教授、企业代表组成.专家组负责就“卓工计划”的实施直接向领导小组提供决策建议.4.学院负责组织成立试点专业建设指导委员会和相应工作机构,由学院领导、专业教授、行业专家、毕业生代表等组成.该委员会根据学校总体要求,制定具体专业的培养目标、专业标准、培养方案、教学计划等,确保所制定的有关方案符合“卓工计划”的要求,符合国家通用标准、行业标准和学校标准.同时,学院制定相关配套政策,切实保证培养方案和教学计划的落实.第三章培养标准与模式第五条总体目标:通过本科四年时间,培养基础宽厚,知识、能力、素质协调发展的高级专门人才,造就一批求真务实,能开拓创新、引领发展的工程精英.1.专业依据“卓工计划”本科工程型人才培养通用标准和行业标准,制订专业标准.专业标准结合本专业的行业背景或主要服务面向,同时涵盖本行业对主体专业领域的专门要求(如工程师执业资格要求等).2.专业标准应高于通用标准和行业标准,体现专业办学定位、优势与特色,体现行业背景和服务面向.3.专业标准应细化到可实施、可检查的程度,并落实到课程体系的整合和教学内容的更新.第七条培养模式:1.“2+2”模式.前2年,学生在本专业或相近专业进行学科基础学习;二年级末,学校遴选学生进入“卓工方向”,并在后2年按照“卓工计划”培养.3.双导师模式.学生选择学校导师和企业兼职教师,在双导师的共同指导下,进行专业理论与实践系列课程学习,完成科研训练、毕业实习和毕业设计等实践环节.4.毕业时,所有符合条件的学生,由学校颁发本科毕业证书、学士学位证书和“卓工计划”证书.第四章培养方案第八条各专业实施“卓工计划”前,须制定出一套完整的培养方案,主要内容包括:培养目标、培养标准、培养模式和规模、教学计划进程表、课程改革思路与整合情况、知识能力实现矩阵、企业培养方案(工程实践教育中心培养计划)、专业课程教学大纲等.企业培养方案应详实,落实各项在企业开展的和企业人员参与的教学环节.第九条学校组织专家对专业制定的培养方案进行审核评估,并对通过审核的培养方案进行备案.试点专业结合工程教育认证、“卓工计划”实施工作评价以及合作企业的实际情况,每年对培养方案、特别是企业培养方案进行修订,并报教务处备案.第五章工程实践教育中心第十条“卓工计划”专业应与一定数量的合作企业共建工程实践教育中心(以下简称“中心”),确保企业阶段培养质量.校企双方应就卓越工程师联合培养事宜签订“工程实践教育中心合作协议”.“国家级、省级工程实践教育中心合作协议”由学校与合作企业签订;“校级工程实践教育中心合作协议”由专业所在学院与合作企业签订,并报教务处备案.第十一条校企双方按照“平等合作、互惠互利”的原则共同建设工程实践教育中心.学校依托“中心”平台资源,定期安排学生、青年教师到企业进行实践教学与工程能力锻炼活动,培养学生的工程实践创新能力,丰富青年教师的工程实践经历;企业借助高校的科研、师资等资源,解决技术难题、开展人员培训等工作.第十二条“中心”职责:1.组织行业专家参与学校人才培养.校企双方共同制订教学目标和培养方案,特别是企业学习阶段培养方案;共同建设课程体系和教学内容,共同组织实施培养过程,共同评价培养质量,实现校内培养和岗位训练的有机融合.2.落实学生在“中心”学习期间的各项教学安排.提供实习的场所与设备,安排学生实际动手操作训练;在条件允许的情况下,安排学生参与企业技术创新和工程开发.3.加强企业兼职教师队伍建设.由企业兼职教师开设企业课程、承担部分专业课程的教学任务,指导学生毕业实习、毕业设计.4.定期公布可提供的课程、实习岗位、企业兼职教师等相关信息,定期向学校发布适合本科生参与并完成的科研训练、毕业设计课题.5.根据人才培养的需求,规划并落实企业实习场所建设,配合教学任务完成来加强相关软硬件建设.6.参与对学生的考核和评价.校企双方共同制订企业培养阶段的考核要求,共同对学生在“中心”学习阶段的培养质量进行评价.7.做好学生在企业学习期间的安全、保密、知识产权保护等教育,提供可靠的安全保障与必要的劳动保护条件,做好相关的管理工作.第十三条“中心”运行管理:1.“中心”应加强体制机制创新,根据实际情况探索不同的管理模式和运行机制,促进“中心”的建设.2.“中心”的日常运行由企业负责,应按照企业的规章制度对学生进行管理.同时,“中心”应健全内部管理规章制度,加强对企业兼职教师选派、培训、教学安排、质量评价等关键环节的管理.3.“中心”根据需要设置专门的管理与技术岗位,负责日常管理与运行、设备维护与管理、耗材管理、辅助教学、安全和卫生等工作.“中心”参照实习学生人数、企业实习教学类型、仪器设备配备状况,合理确定教学工作量和管理工作量.4.学生在“中心”学习期间,学校负责为学生购买人身意外伤害保险,并与“中心”共同管理学生学习、生活.第十五条生源与规模:1.本专业或相近专业学生,基础知识扎实、品德优良、身体健康、有深入企业增强工程实践能力的意愿;学分绩点不低于2.0,或者在工程技术领域有创新发明或发表相关论文.2.试点初期,每个“卓工”专业方向遴选学生人数控制在20人左右;实施两届后,可酌情增加入选学生人数.条件成熟时,试点专业学生可全部纳入“卓工计划”培养.第十六条遴选程序:1.学院动员:学生入学后,由学院组织说明会,介绍专业试点情况、“卓工计划”培养方案、优势特色、选拔条件等.学校启动遴选工作后,学院和专业再次向学生宣讲遴选办法.2.学生报名:符合条件的学生提出书面申请.各试点专业根据报名学生已修课程成绩,按照总分由高至低的排序原则,确定参加综合素质面试名单.3.学生综合素质面试测评:各试点专业组织专家对入围学生进行综合素质面试测评,主要测评学生知识面、逻辑思维能力、表达能力、心理承受能力、团队精神以及实践动手能力等.4.学生综合评价成绩评定:已修课程平均成绩与面试成绩之和为学生综合评价成绩.学院根据拟遴选人数,按从高分到低分的顺序等额确定获得初选资格的学生名单.5.确定名单:获得初选资格的学生名单进行公示.公示无异议后,经学校审定,正式发文公布入选学生名单.第十七条学生在企业学习期间,应自觉遵守各项规章制度和劳动纪律,保守企业秘密,服从“中心”管理人员和指导教师的管理.对于违反规定的学生,可终止其在企业的学习资格,相应教学环节的成绩为0.第七章校内指导教师第十八条校内指导教师应采取多种措施,开展教学方法改革,强化学生的工程能力、拓宽学生的国际视野,推行基于问题、基于案例和基于项目等多种研究性学习方法.第十九条校内指导教师除了正常的教学任务,重点开展以下工作:2.作为带队教师,到“中心”落实各项企业培养环节.第八章企业兼职教师第二十条学校开展企业兼职教师的培训和资格认定工作.参与“卓工计划”的合作企业人员承担“卓工计划”教学工作任务的,应当取得学校“卓工计划”企业兼职教师资格.第二十一条申请条件:申请人员应当具备大学本科及以上学历,学有专长;对业务水平较高的专业技术人员,可适当放宽学历要求;应具备符合国家规定的从事教育教学工作的身体条件.第二十二条资格认定:1.学校与企业人力资源管理部门协同,每年组织一次企业兼职教师资格认定工作.第九章条件保障第二十三条学校设立“卓工计划”教学专项经费,用于支持试点专业改革培养方案、进行课程和教材建设、开展教学研究、企业培养环节培养方案制订、学生实践与工程能力培养等工作.第十章附则第二十六条本实施办法自发布之日起生效.第二十七条本实施办法由教务处负责解释.。
南京理工大学和新加坡国立大学合作项目一、新加坡国立大学简介:新加坡国立大学,是新加坡首屈一指的世界级顶尖大学,为东亚AACSB认证成员、东亚EQUIS认证成员、国际研究型大学联盟成员、Universitas 21 大学联盟成员、环太平洋大学协会成员,在工程、生命科学及生物医学、社会科学及自然科学等领域的研究享有世界盛名。
二、电光学院与新加坡国立大学的联合培养模式简介留学专业:Electrical & Computer Engineering.培养模式:“3+1+1”模式,即南京理工大学电光学院学生在完成南理工相关专业的大三学习后,可申请在新加坡国立大学苏州研究院学习一年的本硕衔接课程;学生在顺利完成衔接课程、课程学分在南理工进行抵充、符合南理工毕业要求者,将获得南京理工大学本科学位和毕业证书;在赴新加坡完成新国大电机及计算机工程系一年的学习后,符合新国大毕业要求的,将获得新国大电机及计算机工程系的理学硕士学位。
留学条件:我校电光学院本科大三相关专业的优秀学生均可报名(学院国际培优班学生优先录取),申报学生在南京理工大学的三年学习学业成绩均分需在85 分以上,英语雅思总分 6.5 分以上。
新国大将接受 10 名左右学生进入该联合培养项目学习。
项目费用:项目学生在南京理工大学学习和在苏州新国大苏州研究院学习一年期间,需按国家正常学费标准缴纳学费。
在新加坡学习期间,将按照新国大学费标准缴纳学费,费用详情将在项目宣讲会上详细介绍。
三、赴新加坡国立大学联合培养项目见面会/面试安排为方便我院学生们进一步了解新国大的基本情况及3+1+1 联合培养项目详情,特别邀请新国大项目与学术负责人郭永新教授来我校会见同学们,现场开展讲解和咨询,并于见面会之后面试今年申报项目的同学们。
欢迎有意向参加新国大联合培养的同学们(大三大二学生)与会交流;已申报项目的大三同学们,面试时请带上申报材料的纸质原件(包括最新的五个学期成绩单)。
南京理工大学本科生培养“先锋计划”(第二期)高端培训教学计划(2016-2017年度)一、教学目的为深入贯彻精英教育理念,着力培养一批素质全面、能力突出、个性鲜明的拔尖领军人才,落实本科生“先锋计划”培养方案,学校计划组织开展团队协作、自我管理、沟通表达、素养提升、实践锻炼等五个模块的课程教学,着力提升学生的立德能力、创业能力、领导能力、创新能力和实践能力等五项能力素质,为提高学校人才培养质量发挥积极作用。
二、教学时间“先锋计划”(第二期)(简称“先锋二期”)培养时间为1年(2016年11月至2017年10月)。
本期学员共计143人。
按照学生自主申请、学院择优推荐、学校优中选优的原则,面向大二、大三年级本科生进行选拔。
三、教学安排本期教学包括5个模块:团队协作、自我管理、沟通表达、素养提升、实践锻炼,具体如下:【模块一】团队协作(一)教学内容必修课:1.团队素质拓展(全天)2.培育和弘扬民族精神(半天)(二)组织实施本模块主要采用团队实训形式,素质拓展环节将学员随机分组,组内协作,组间竞争;骨干选拔环节由指导老师组织团队骨干选拔。
(三)预期效果组建“先锋计划”第二期的学生管理团队,施行自我管理,通过分组竞争的模式,加速学员间相互熟悉,激发学习兴趣和学习动力;引导学员增强团队协作意识,并初步掌握团队建设的方法和策略。
【模块二】自我管理(一)教学内容必修课:1.结构化思维(全天)2.高效能人士的七个习惯(半天)选修课:2.“治”好你的拖延症(半天)(二)组织实施本模块授课主要采用集体授课的形式,课上进行分组讨论、互动答疑。
(三)预期效果引导学员转变思路、构建完善、正确的思维模式;学习自我管理的技能技巧,提高心理素质和情商,形成健全人格。
【模块三】沟通表达(一)教学内容1.打造魅力四射的超级演说家(半天)2.魅力沟通最走心(半天)(二)组织实施本模块授课主要采用集体授课的形式,课上进行案例分析、情景模拟、分组展示。
目录电子工程与光电技术学院 (1)电子科学与技术 (2)真空电子技术 (7)电子信息工程 (10)光电信息工程 (13)探测制导与控制技术 (17)信息对抗技术 (21)通信工程 (25)电子工程与光电技术学院电子工程与光电技术学院(简称电光学院)是依托于现代信息技术领域两大主干学科---电子和光学,于1992年10月组建而成。
学院设有通信工程系、电子工程系、光学工程系、光电技术系、探测与控制工程系和电子技术教学实验中心、国防重点学科实验室、电子工程研究所、光电技术研究所和江苏天冠科技有限公司等教学、科研单位。
随着全球信息化和信息时代的到来,学院得到了前所未有的快速发展。
学院目前拥有光学工程(一级学科)和电磁场与微波技术(二级学科) 2个国家重点学科、通信与信息系统和机械电子工程2个省部级重点学科。
学院现有光学工程、信息与通信工程、电子科学与技术和机械工程4个博士后流动站,通信与信息系统、信号与信息处理、物理电子学、微电子学与固体电子学、电磁场与微波技术、电路与系统、光学工程和机械电子工程8个博士点以及生物医学工程一级学科硕士点。
学院设有电子信息工程、通信工程、电子科学与技术、光电信息工程、真空电子技术、信息对抗技术和探测制导与控制技术7个本科专业,其中电子信息工程、光电信息工程、通信工程和电子科学与技术等通用专业均为省部级重点建设的品牌、特色专业。
学院共有各类在籍学生3500人左右,其中研究生近1000人、本科生2000余人、外国留学生10余人以及工程硕士近500人。
学院现有教职工177人,其中博士生导师22人、正高级职称者37人、副高级职称者48人,“长江学者奖励计划”特聘教授2人,国家杰出青年科学基金获得者1人,国家级新世纪百千万人才1人,江苏省教学名师1人,国防科技有突出贡献中青年专家1人,国防科技工业“511人才工程”3人,江苏省333跨世纪学术科技带头人13人,江苏省“青蓝工程”中青年学术带头人6名,江苏省“六大人才高峰”高层次人才3人,享受国务院政府特殊津贴4人。
学院现有国家级长江学者创新团队1个,江苏省高等学校优秀科技创新团队1个。
学院在光电信息感知与成像技术、近程雷达技术、电磁仿真技术等方面具有特色和很强的科研实力,每年承担国家“自然科学基金”、国家“863”计划及省部委科研项目百余项,完成科研经费3000万元以上,发表学术论文300余篇。
学院拥有国家、省部级科技成果奖136项,其中国家级科技成果奖13项,省部级科技成果奖123项;授权专利106项。
学院已建立了同美国、日本、德国、法国、韩国、新加坡、香港、台湾等国家和地区高校和研究机构的学术交流与合作,每年有十多人次出国讲学、学术交流与科研合作。
学院拥有先进的教学科研仪器设备和完善的实验室设施,随着2008年动工的综合教学实验楼的建成,学院的办学环境和科研条件将更上一个新台阶。
21世纪,世界将全面进入信息时代,学院发展也将迎来更多的机遇和更大的挑战。
电子科学与技术一、专业特色本专业针对光电信息技术和现代微电子技术的发展趋势,突出光电技术和微电子技术的交叉和融合,以多光谱光电信息复合探测与实时处理技术以及与之相关的材料器制备与测试等前沿技术研究为专业特色。
二、培养目标本专业培养德、智、体全面发展,具备光电信息处理与微电子学领域内宽厚理论基础和较强实验能力,知识面宽、创新能力强,并能在光电信息工程、微电子技术和通信与计算机等研究领域从事光电子器件、光电系统和集成电路的设计、开发、应用以及管理等方面的高素质研究应用型专门人才。
三、培养要求本专业的学生主要学习光电信息处理和微电子学的基本理论和基本知识,接受光电信息系统和集成电路分析与设计等方面的基本训练,具有设计、开发、集成及应用的基本能力。
毕业生应获得以下几方面的知识和能力:1.光电子和微电子的基本理论、基本知识,主要包括光电成像探测、微电子学、计算机原理及应用、图像处理等基本知识;2.光电信息采集、传输、处理、存储、显示等基本知识及相关系统和器件的分析研究、开发设计和制造的工程应用能力;3.集成电路设计、集成电路制造工艺等基本知识及相关系统和器件的分析研究、开发设计和制造的工程应用能力;4.了解电子科学与技术的发展动态,具备扎实的理论和实践基础,能适应光电子和微电子产业的发展趋势;5.具有一定独立工作能力、科学研究能力、以及知识自我更新和不断创新的能力;6.具有较好的人文、艺术和社会科学基础,并熟练掌握一门外语。
四、学制与学位标准学制:四年修业年限:三至六年授予学位:工学学士五、主干学科、交叉学科主干学科:光学工程、电子科学与技术交叉学科:电子信息工程、通信工程六、主要课程光电子技术方向:电路、模拟电子线路、信号与系统、半导体物理学、微机原理与接口、固体物理、光电功能材料、软件技术基础、光电信号处理、光辐射测量、光电子器件、光电成像原理、超大规模集成电路设计(英)、数字逻辑电路、固体电子器件(英)、光电子技术、光电检测原理及技术、电视原理、数字图像处理等。
微电子技术方向:电路、模拟电子线路、信号与系统、半导体物理学、微机原理与接口、固体物理、光电功能材料、软件技术基础、光电信号处理、光辐射测量、光电子器件、半导体集成电路、超大规模集成电路设计(英)、数字逻辑电路、固体电子器件(英)、微电子技术、光电检测原理及技术、电视原理、数字图像处理等。
七、集中实践教学环节军事训练、金工实习、电子实习、电子线路实验、光电子与微电子技术综合实验、生产实习、社会实践、课程设计、毕业设计等。
八、其他本学科专业有硕士、博士学位授予权,设有博士后流动站。
本专业所依托的“光学工程”学科为国家重点学科。
2009级本科电子科学与技术专业教学计划进程表注:1.本专业学生除修满必修课程以外,还需选修通识教育选修课14学分;专业选修课10学分,并取得相应学分,方能达到最低毕业学分要求;2.带*号的课程为夏季学期开设的课程,一、三、五、七分别包含夏、秋两个学期,二、四、六、八为春季学期;有★号的课程为学位课程.真空电子技术一、专业特色本专业针对真空电子技术的发展趋势,突出真空电子技术、电子科学与技术学科的交叉与融合,以大功率真空光电器件、材料与系统总体技术及相关的理论为专业特色。
二、培养目标注重德、智、体全面发展,重视实验技能的培养,重点培养具备扎实的基础知识和丰富的专业技能,熟练掌握真空理论---真空获得---真空工艺及系统设计---真空器件制作的系列关键技术,并能在真空电子技术、光电信息工程、通信与计算机等研究领域从事真空光电器件和系统的设计、开发、应用和管理等方面的高级工程技术人才。
三、培养要求本专业的学生主要学习光电信息处理和真空电子技术的基本理论和基本知识,接受光电信息系统和真空电子技术分析与设计等方面的基本训练,具有设计、开发及应用的基本能力。
毕业生应获得以下几方面的知识和能力:1.真空光电子技术的基本理论、基本知识,主要包括光电成像探测、微电子学、真空电子技术设计与工艺、计算机原理及应用、图像处理等基本知识;2.光电信息采集、传输、处理、存储、显示等基本知识及相关系统和器件的分析研究、开发设计和制造的工程应用能力;3.真空电子器件制造工艺等基本知识及相关系统和器件的分析研究、开发设计和制造的工程应用能力;4.了解真空电子技术与电子科学与技术科学的发展动态,具备扎实的理论和实践基础,能适应学科交叉和光电子与微电子产业的发展趋势;5.具有一定独立工作能力、科学研究能力、以及知识自我更新和不断创新的能力;6.具有较好的人文、艺术和社会科学基础,并熟练掌握一门外语。
四、学制与学位标准学制:四年修业年限:三至六年授予学位:工学学士五、主干学科、交叉学科主干学科:真空电子技术交叉学科:电子科学与技术、光学工程、电子信息工程。
六、主要课程电路、信号与系统、模拟电子线路、微机原理及接口技术、半导体物理学、固体光学、光电功能材料、光电信号处理、热力物理学、数字逻辑电路、真空电子技术、微波器件及原理、真空镀膜技术、真空器件工艺、光电阴极、电子光学、DSP应用技术、电视原理、光电检测原理及技术等。
七、集中实践教学环节军事训练、金工实习、电子实习、电子线路实验、真空电子技术综合实验、生产实习、社会实践、课程设计、毕业设计等。
八、其他本学科专业有学士学位授予权。
本专业所依托的“光学工程”学科为国家重点学科。
2009级本科真空电子技术专业教学计划进程表注:1.本专业学生除修满必修课程以外,还需选修通识教育选修课14学分;专业选修课10学分,并取得相应学分,方能达到最低毕业学分要求;2.带*号的课程为夏季学期开设的课程,一、三、五、七分别包含夏、秋两个学期,二、四、六、八为春季学期;有★号的课程为学位课程.电子信息工程一、专业特色本专业重视学科基础建设和专业技能培养,注重学生全面素质的提高,特别是创新能力和实践能力的培养,采取有效的措施使学生得到必要的训练和锻炼。
二、培养目标本专业培养具备电子技术和信息系统的基础知识,能在电子、信息等行业从事各类电子设备和信息系统的研究、设计、制造、应用和开发的高级工程技术人才。
三、培养要求本专业是一个电子和信息工程方面的较宽口径专业。
本专业学生主要学习信号的获取与转换、信息的传输与处理、电子设备与信息系统等方面的专业知识,受到电子信息系统方面的良好实践训练。
以电子技术和信息处理技术为主要研究内容,具备电子信息系统的设计、开发、应用和集成的基本能力。
毕业生应获得以下几个方面的知识和能力:1. 较系统地掌握本专业领域宽广的技术基础理论知识,适应电子和信息工程方面广泛的工作范围;2. 掌握电子电路的基本理论和实验技术,具备分析和设计电子设备的基本能力;3. 掌握信息获取、处理的基本理论和应用的一般方法,具有设计、集成、应用及计算机模拟信息系统的基本能力;4. 了解信息产业的基本方针、政策和法规,了解企业管理的基本知识;5. 了解电子设备和信息系统的理论前沿,具有研究、开发新系统、新技术的初步能力;6. 掌握文献检索、资料查询的基本方法,具有一定的科学研究和实际工作能力。
四、学制与学位标准学制:四年修业年限:三至六年授予学位:工学学士五、主干学科、交叉学科主干学科:信息与通信工程、系统工程、电磁场与微波技术交叉学科:计算机科学与技术六、主要课程电路、微机原理与接口技术、信号与系统、数字信号处理、数字逻辑电路、模拟电子线路、电磁场与电磁波、雷达原理、电子测量技术、通信原理、控制工程基础等。
七、集中实践性教学环节军事训练、课程实验、综合实验、计算机上机训练、课程设计、生产实习、毕业设计(论文)等。
八、其它本专业主干学科“信息与通信工程”具有一级学科博士学位授予权,设有博士后流动站,其中“通信与信息系统”为江苏省重点学科。