天津春季高考数学练习题第七章-三角函数
- 格式:doc
- 大小:971.50 KB
- 文档页数:22
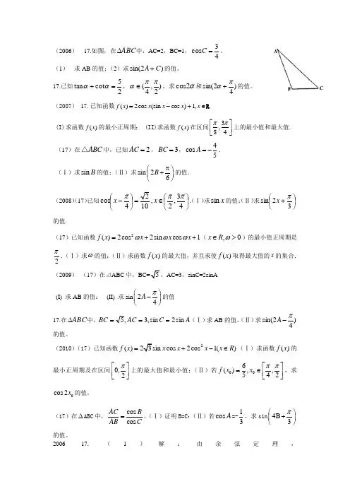
(2006) 17.如图,在ABC ∆中,AC=2,BC=1,43cos =C 。
(1) 求AB 的值;(2)求)2sin(C A +的值。
17.已知25cot tan =+αα,)2,4(ππα∈,求α2cos 和)42sin(πα+的值。
(2007) 17.已知函数()2cos (sin cos )1,f x x x x x =-+∈R . (I) 求函数()f x 的最小正周期; (II)求函数()f x 在区间3,84ππ⎡⎤⎢⎥⎣⎦上的最小值和最大值. (17)在ABC △中,已知2AC =,3BC =,4cos 5A =-. (Ⅰ)求sinB 的值;(Ⅱ)求sin 26B π⎛⎫+⎪⎝⎭的值. (2008)(17)已知⎪⎭⎫ ⎝⎛3∈=⎪⎭⎫⎝⎛-4,2,1024cos πππx x .(Ⅰ)求x sin 的值;(Ⅱ)求⎪⎭⎫ ⎝⎛+32sin πx 的值.(17)已知函数22s (in cos s 1)2co f x x x x ωωω++=(,0x R ω∈>)的最小值正周期是2π.(Ⅰ)求ω的值;(Ⅱ)求函数()f x 的最大值,并且求使()f x 取得最大值的x 的集合.(2009) (17)在⊿ABC 中,AC=3,sinC=2sinA (I) 求AB 的值: (II) 求sin 24A π⎛⎫-⎪⎝⎭的值 17.在ABC ∆中,A C AC BC sin 2sin ,3,5===(Ⅰ)求AB 的值。
(Ⅱ)求)42sin(π-A 的值。
(2010)(17)已知函数2()cos 2cos 1()f x x x x x R =+-∈(Ⅰ)求函数()f x 的最小正周期及在区间0,2π⎡⎤⎢⎥⎣⎦上的最大值和最小值;(Ⅱ)若006(),,542f x x ππ⎡⎤=∈⎢⎥⎣⎦,求0cos 2x 的值。
(17)在∆ABC 中,cos cos AC B AB C =。
(Ⅰ)证明B=C :(Ⅱ)若cos A =-13,求sin 4B 3π⎛⎫+ ⎪⎝⎭的值。
一、选择题1(一中2008-2009月考理)8).函数()3sin 2f x x π⎛⎫=- ⎪3⎝⎭的图象为C , ① 图象C 关于直线1112x =π对称;② 函数()f x 在区间5ππ⎛⎫- ⎪1212⎝⎭,内是增函数;③ 由3sin 2y x =的图象向右平移π3个单位长度可以得到图象C 。
以上三个论断中,正确论断的个数是( C ) A .0B .1C .2D .32(2009年滨海新区五所重点学校联考理4). 为得到函数πcos 23y x ⎛⎫=+ ⎪⎝⎭的图像,只需将函数sin 2y x =的图像 (4.A )A .向左平移5π12个长度单位B .向右平移5π12个长度单位 C .向左平移5π6个长度单位D .向右平移5π6个长度单位3(汉沽一中2008~2009届月考文5)、下列函数中,在其定义域内既是奇函数又是增函数的是A. 3,y x x R =∈B. sin ,y x x R =∈C. lg ,0y x x =>D. 3,2xy x R ⎛⎫=∈ ⎪⎝⎭【答案】A【命题意图】本题主要考查三角函数、对数函数、指数函数、幂函数的基本性质.【解析】 B 在其定义域内是奇函数但不是减函数;C 是非奇非偶函数;D 在其定义域内不是奇函数,是减函数;4(汉沽一中2008~2009届月考文8)、2()(s i n c o s )1f x x x =--是A .最小正周期为2π的偶函数B .最小正周期为2π的奇函数C .最小正周期为π的偶函数D .最小正周期为π的奇函数【答案】D【命题意图】本题主要考查三角函数的平方关系、二倍角公式、周期和奇偶性. 【解析】∵2()(sin cos )112sin cos 1sin 2f x x x x x x =--=--=- ∴()sin 2()sin 2()f x x x f x -=--==-,22T ππ==,故选D 5(汉沽一中2008~2008学年月考理4).若α是第二象限的角,且2sin 3α=,则=αcos (D )A .13 B . 13- C .3 D .3- 6.(和平区2008年高考数学(理)三模 2. 已知54)2sin(=-απ,)2,23(ππα∈,则ααααcos sin cos sin -+等于(A )A. 71B. 71- C. 7-D. 7 7(武清区2008~2009学年度期中理)A二、填空题1(一中2008-2009月考理15).若cos 2π2sin 4αα=-⎛⎫- ⎪⎝⎭,则cos sin αα+的值为__12 2(2009年滨海新区五所重点学校联考理13).通过观察下述两等式的规律,请你写出一个(包含下面两命题)一般性的命题: 23)120(sin )60(sin sin 222=++++ααα ①;23150sin 90sin 30sin 222=︒+︒+︒ ②.23125sin 65sin 5sin 222=︒+︒+︒3(汉沽一中2008~2009届月考文13).函数x x x y co s sin 2co s +=的最小正周期T=__________。
(2010). 【命题意图】本小题主要考查正弦定理、两角和与差的正弦、同角三角函数的基本关系、二倍角的正弦与余弦等基础知识,考查基本运算能力.【解析】(Ⅰ)证明:在△ABC 中,由正弦定理及已知得sin B sin C =cosB cosC .于是sinBcosC-cosBsinC=0,即sin (B-C )=0.因为B C ππ-<-<,从而B-C=0.所以B=C.(Ⅱ)解:由A+B+C=π和(Ⅰ)得A=π-2B,故cos2B=-cos (π-2B )=-cosA=13.又0<2B<π,于是=3.从而sin4B=2sin2Bcos2B=9,cos4B=227cos 2sin 29B B -=-.所以sin(4)sin 4cos cos 4sin 333B B B πππ+=+= (2009). 【答案】102 【解析】(1)解:在ABC ∆ 中,根据正弦定理,A BC C AB sin sin =,于是522s i n s i n ===BC ABC C AB (2)解:在ABC ∆ 中,根据余弦定理,得ACAB BC AC AB A ∙-+=2cos 222 于是A A 2cos 1sin -==55, 从而53sin cos 2cos ,54cos sin 22sin 22=-===A A A A A A 1024sin 2cos 4cos 2sin )42sin(=-=-πππA A A 【考点定位】本题主要考查正弦定理,余弦定理同角的三角函数的关系式,二倍角的正弦和余弦,两角差的正弦等基础知识,考查基本运算能力。
(2008). 本小题主要考查特殊角三角函数值、两角和的正弦、二倍角的正弦和余弦、函数sin()y A x ωϕ=+的性质等基础知识,考查基本运算能力.满分12分. (Ⅰ)解:1cos 2()2sin 212x f x x ωω+=++ sin 2cos 22x x ωω=++sin 2cos cos 2sin 244x x ωωππ⎫=++⎪⎭224x ωπ⎛⎫=++ ⎪⎝⎭. 由题设,函数()f x 的最小正周期是2π,可得222ωππ=,所以2ω=.(Ⅱ)解:由(Ⅰ)知,()424f x x π⎛⎫=++ ⎪⎝⎭. 当4242x k ππ+=+π,即()162k x k ππ=+∈Z 时,sin 44x π⎛⎫+ ⎪⎝⎭取得最大值1,所以函数()f x 的最大值是2x 的集合为162k x x k ππ⎧⎫=+∈⎨⎬⎩⎭Z ,.(2007). 本小题考查同角三角函数的基本关系式、两角和公式、倍角公式、正弦定理等的知识,考查基本运算能力.满分12分.(Ⅰ)解:在ABC △中,3sin 5A ===,由正弦定理, sin sin BC AC A B=. 所以232sin sin 355AC B A BC ==⨯=. (Ⅱ)解:因为4cos 5A =-,所以角A 为钝角,从而角B 为锐角,于是cos 5B ===217cos 22cos 12125B B =-=-=,2sin 22sin cos 25515B B B ==⨯⨯=. sin 2sin 2cos cos 2sin 666B B B πππ⎛⎫+=+ ⎪⎝⎭17125252=+⨯1750=. (2006). 本小题考查同角三角函数关系、两角和公式、倍角公式等基础知识,考查基本运算能力。
天津高考真题三角函数部分1.要得到函数y = V2cosx的图象,只需将函数y = V2sin(2x + -)的图象上所有的点的(4TT函数y = 2sin( ----- 2x)(x e [0,刃)为增函数的区间是6A. [0, |]4.已知两数f(x) = asinx-bcosx (a、〃为常数,a R)在兀=—处取得最小4值,则函数y = /(——力是()4A.偶函数且它的图彖关于点(龙,0)对称对称3;rC.奇函数且它的图象关于点(——,0)对称2称7T是伽0 = 2cos — + 〃”的12丿3^7 B偶函数且它的图象关于点匸0)A.充分而不必耍条件B.必耍而不充分条件D.既不充分也不必要条件6 •设函数/(%)・( 丹=sin 2x ------- ,x GI 2丿R,则/(兀)是2. A.横坐标缩短到原來的丄倍2B.横朋标缩短到原来的丄倍2C.横坐标伸长到原来的2倍D.横坐标伸长到原来的2倍(纵坐标不变),(纵朋标不变),(纵坐标不变),(纵坐标不变),TT再向左平行移动兰个单位长度8TT再向右平行移动-个单位长度4TT再向左平行移动-个单位长度4TT再向右平行移动一个单位长度兀 4已知x w (——,0), cos 兀=—,则tan 2x2 57 7A. — B ■——24 2424C.—724D.73.r 71 1715. u0 =C.充分必要条件(A) 最小正周期为龙的奇函数(B) 最小正周期为兀的偶函数n rr(C) 最小正周期为一的奇函数(D) 最小正周期为一的偶函数2 2TT7.已知函数/(x) = sin(GTX + —)(x G 7?,GT > 0)的最小正周期为兀,为了得到函数4g⑴二COS0兀的图彖,只要将y = f(x)的图彖.TT JTA向左平移丝个单位长度B向右平移兰个单位长度•8 87T TTC向左平移一个单位长度D向右平移一个单位长度•4 48.在△ ABC 中,内角A, B,C 的对边分别是a, b,c,若a2-h2 =^bc f sinC = 2^3sinB ,则A二(A) 30°(B) 60°(C) 120°(D) 150°计算题1.(本小题满分12分)在\ABC中,也4、ZB、ZC所对的边长分别为心b、c,设心b、c满足条件b2 + c2— be = a2 ^ — =— V3 ,求乙4 和tan B 的值.b 22.(本小题满分12分)已知函数/(%) = 2sinx(sin x + cos x).(1)求函数/(x)的最小正周期和最大值;TT TT(2)在给岀的直角坐标系中,画出函数,y = /(x)在区间[-—,—]上的图彖.2 23.(本小题满分12分)JI|己知tan(—+ a) = —, (1)求tana 的值;(2)求4 24.(本小题满分12分)3如图,在\ABC中,AC=2, BC=1, cosC = -o4(1)求AB的值;(2)求sin(2A + C)的值。
三角函数解答题专练1.已知函数()16sin cos 4-⎪⎭⎫ ⎝⎛+=πx x x f 。
(1)求()x f 的最小正周期:(2)求()x f 在区间⎥⎦⎤⎢⎣⎡-4,6ππ上的最大值和最小值.2.已知函数()2sin()cos f x x x π=-.(Ⅰ)求()f x 的最小正周期;(Ⅱ)求()f x 在区间,62ππ⎡⎤-⎢⎥⎣⎦上的最大值和最小值.3.已知函数()x x x f 2sin 22sin -= (1)求函数()x f 的最小正周期;(2) 求函数()x f 的最大值及()x f 取最大值时x 的集合.4.已知函数()()()0cos cos sin 2>+-=ωωωωπx x x x f 的最小正周期为π, (Ⅰ)求ω的值;(Ⅱ)将函数()x f y =的图像上各点的横坐标缩短到原来的21,纵坐标不变,得到函数()x g y =的图像,求函数()x g y =在区间⎥⎦⎤⎢⎣⎡16,0π上的最小值.解三角形解答题专练1.在ABC ∆中,角,,A B C 的对边分别为,,,3a b c B π=,4cos ,5A b ==。
(Ⅰ)求sin C 的值;(Ⅱ)求ABC ∆的面积.2.在△ABC 中,内角A ,B ,C 的对边分别为a ,b ,c.已知32cos =A ,CB cos 5sin =. (1)求tanC 的值;(2)若2=a ,求△ABC 的面积.3.已知c b a ,,分别为ABC ∆三个内角C B A ,,的对边, 0sin 3cos =--+c b C a C a(1)求A ; (2)若2=a ,ABC ∆的面积为3;求c b ,.4.在∆ABC 中,sin()1C A -=, sinB=13.(I )求sinA 的值;(II)设,求∆ABC 的面积.。
三角函数高考题及练习题(含答案)1. 掌握正弦函数、余弦函数、正切函数的图象与性质;会用“五点法”作出正弦函数及余弦函数的图象;掌握函数y =Asin (ωx +φ)的图象及性质.2. 高考试题中,三角函数题相对比较传统,位置靠前,通常是以简单题形式出现,因此在本讲复习中要注重三角知识的基础性,特别是要熟练掌握三角函数的定义、三角函数图象的识别及其简单的性质(周期、单调性、奇偶、最值、对称、图象平移及变换等).3. 三角函数是每年高考的必考内容,多数为基础题,难度属中档偏易.这几年的高考加强了对三角函数定义、图象和性质的考查.在这一讲复习中要重视解三角函数题的一些特殊方法,如函数法、待定系数法、数形结合法等.1. 函数y =2sin 2⎝⎛⎭⎫x -π4-1是最小正周期为________的________(填“奇”或“偶”)函数.答案:π 奇解析:y =-cos ⎝⎛⎭⎫2x -π2=-sin2x.2. 函数f(x)=lgx -sinx 的零点个数为________. 答案:3解析:在(0,+∞)内作出函数y =lgx 、y =sinx 的图象,即可得到答案.3. 函数y =2sin(3x +φ),⎝⎛⎭⎫|φ|<π2的一条对称轴为x =π12,则φ=________.答案:π4解析:由已知可得3×π12+φ=k π+π2,k ∈Z ,即φ=k π+π4,k ∈Z .因为|φ|<π2,所以φ=π4.4. 若f(x)=2sin ωx (0<ω<1)在区间⎣⎡⎦⎤0,π3上的最大值是2,则ω=________.答案:34解析:由0≤x ≤π3,得0≤ωx ≤ωπ3<π3,则f(x)在⎣⎡⎦⎤0,π3上单调递增,且在这个区间上的最大值是2,所以2sin ωπ3=2,且0<ωπ3<π3,所以ωπ3=π4,解得ω=34.题型二 三角函数定义及应用问题例1 设函数f(θ)=3sin θ+cos θ,其中角θ的顶点与坐标原点重合,始边与x 轴非负半轴重合,终边经过点P(x ,y),且0≤θ≤π.(1) 若点P 的坐标是⎝⎛⎭⎫12,32,求f(θ)的值;(2) 若点P(x ,y)为平面区域⎩⎪⎨⎪⎧x +y ≥1,x ≤1,y ≤1上的一个动点,试确定角θ的取值范围,并求函数f(θ)的最小值和最大值.解:(1) 根据三角函数定义得sin θ=32,cos θ=12,∴ f (θ)=2.(本题也可以根据定义及角的范围得角θ=π3,从而求出 f(θ)=2).(2) 在直角坐标系中画出可行域知0≤θ≤π2,又f(θ)=3sin θ+cos θ=2sin ⎝⎛⎭⎫θ+π6,∴ 当θ=0,f (θ)min =1;当θ=π3,f (θ)max =2.(注: 注意条件,使用三角函数的定义, 一般情况下,研究三角函数的周期、最值、单调性及有关计算等问题时,常可以先将函数化简变形为y =Asin (ωx +φ)的形式)如图,在平面直角坐标系xOy 中,以Ox 轴为始边作两个锐角α、β,它们的终边分别与单位圆相交于A 、B 两点,已知A 、B 的横坐标分别为210、255.求:(1) tan (α+β)的值; (2) α+2β的值.解:由题意得cos α=210,cos β=255,α、β∈⎝⎛⎭⎫0,π2,所以sin α=1-cos 2α=7210,sin β=1-cos 2β=55, 因此tan α=7,tan β=12.(1) tan (α+β)=tan α+tan β1-tan αtan β=7+121-7×12=-3.(2) tan (α+2β)=tan [(α+β)+β]=-3+121-(-3)×12=-1.又α+2β∈⎝⎛⎭⎫0,3π2,所以α+2β=3π4.题型二 三角函数的图象与解析式问题例2 函数f(x)=Asin (ωx +φ)(A 、ω、φ是常数,A>0,ω>0)的部分图象如图所示. (1) 求f(0)的值;(2) 若0<φ<π,求函数f(x)在区间⎣⎡⎦⎤0,π3上的取值范围.解:(1)由题图可知A =2,∵ T 4=7π12-π3=π4,∴ ω=2.又2×7π12+φ=2k π+3π2,∴ φ=2k π+π3(k ∈Z ),∴ f(0)=2sin ⎝⎛⎭⎫2k π+π3=62.(2) φ=π3,f(x)=2sin ⎝⎛⎭⎫2x +π3.因为0≤x ≤π3,所以π3≤2x +π3≤π,所以0≤sin ⎝⎛⎭⎫2x +π3≤1,即f(x)的取值范围为[0,2].(注:本题主要考查正弦、余弦、正切函数及y =Asin (ωx +φ)的图象与性质以及诱导公式,运用数形结合思想,属于中档题)已知函数f(x)=Asin ωx +Bcos ωx(A 、B 、ω是常数,ω>0)的最小正周期为2,并且当x =13时,f(x)max =2.(1) 求f(x)的解析式;(2) 在闭区间⎣⎡⎦⎤214,234上是否存在f(x)的对称轴?如果存在,求出其对称轴方程;如果不存在,请说明理由.解:(1) 因为f(x)=A 2+B 2sin (ωx +φ),由它的最小正周期为2,知2πω=2,ω=π.又当x =13时,f(x)max =2,知13π+φ=2k π+π2(k ∈Z ),即φ=2k π+π6(k ∈Z ),所以f(x)=2sin ⎝⎛⎭⎫πx +2k π+π6=2sin ⎝⎛⎭⎫πx +π6(k ∈Z ).故f(x)的解析式为f(x)=2sin ⎝⎛⎭⎫πx +π6.(2) 当垂直于x 轴的直线过正弦曲线的最高点或最低点时,该直线就是正弦曲线的对称轴,令πx +π6=k π+π2(k ∈Z ),解得x =k +13(k ∈Z ),由214≤k +13≤234,解得5912≤k ≤6512.又k ∈Z ,知k =5,由此可知在闭区间⎣⎡⎦⎤214,234上存在f(x)的对称轴,其方程为x =163. 题型三 三角函数的性质与图象的移动问题例3 把函数f(x)=sin 2x -2sinxcosx +3cos 2x 的图象沿x 轴向左平移m 个单位(m>0),所得函数的图象关于直线x =17π8对称.(1) 求m 的最小值;(2) 证明:当x ∈⎝⎛⎭⎫-17π8,-15π8时,经过函数f(x)图象上任意两点的直线的斜率恒为负数;(3) 设x 1,x 2∈(0,π),x 1≠x 2,且f(x 1)=f(x 2)=1,求x 1+x 2的值.(1) 解:f(x)=sin 2x -2sinxcosx +3cos 2x =1-cos2x 2-sin2x +3·1+cos2x2=cos2x -sin2x+2=2cos ⎝⎛⎭⎫2x +π4+2.因为将f(x)的图象沿x 轴向左平移m 个单位(m>0),得到g(x)=2⎣⎡⎦⎤2(x +m )+π4+2的图象,又g(x)的图象关于直线x =17π8对称,所以2⎝⎛⎭⎫17π8+m +π4=k π,即m =(2k -9)4π(k ∈Z ). 因为m>0,所以m 的最小值为π4.(2) 证明:因为x ∈⎝⎛⎭⎫-17π8,-15π8,所以-4π<2x +π4<-7π2,所以f(x)在⎝⎛⎭⎫-17π8,-15π8上是减函数.所以当x 1、x 2∈⎝⎛⎭⎫-17π8,-15π8,且x 1<x 2时,都有f(x 1)>f(x 2),从而经过任意两点(x 1,f(x 1))和(x 2,f(x 2))的直线的斜率k =f (x 1)-f (x 2)x 1-x 2<0.(3) 解:令f(x)=1,所以cos ⎝⎛⎭⎫2x +π4=-22.因为x ∈(0,π),所以2x +π4∈⎝⎛⎭⎫π4,9π4.所以2x +π4=3π4或2x +π4=5π4,即x =π4或x =π2.因为x 1、x 2∈(0,π),x 1≠x 2,且f(x 1)=f(x 2)=1,所以x 1+x 2=π4+π2=3π4已知函数f(x)=2sin ωx ,其中常数ω>0.(1) 若y =f(x)在⎣⎡⎦⎤-π4,2π3上单调递增,求ω的取值范围;(2) 令ω=2,将函数y =f(x)的图象向左平移π6个单位,再向上平移1个单位,得到函数y =g(x)的图象,区间[a ,b](a ,b ∈R 且a<b)满足:y =g(x)在[a ,b]上至少含有30个零点,在所有满足上述条件的[a ,b]中,求b -a 的最小值.解:(1) 因为ω>0,根据题意有 ⎩⎨⎧-π4ω≥-π22π3ω≤π20<ω≤34.(2) f(x)=2sin2x ,g(x)=2sin2⎝⎛⎭⎫x +π6+1=2sin ⎝⎛⎭⎫2x +π3+1,g(x)=0sin ⎝⎛⎭⎫2x +π3=-12x =k π-π3或x =k π-712π,k ∈Z, 即g(x)的零点相邻间隔依次为π3和2π3,故若y =g(x)在[a ,b]上至少含有30个零点,则b -a 的最小值为14×2π3+15×π3=43π3.已知函数f(x)=3sin (ωx +φ)-cos (ωx +φ)(0<φ<π,ω>0)为偶函数,且函数y =f(x)图象的两相邻对称轴间的距离为π2.(1) 求f ⎝⎛⎭⎫π8的值;(2) 将函数y =f(x)的图象向右平移π6个单位后,得到函数y =g(x)的图象,求函数g(x)的单调递减区间.解:(1) f(x)=3sin (ωx +φ)-cos (ωx +φ)=2⎣⎡⎦⎤32sin (ωx +φ)-12cos (ωx +φ)=2sin ⎝⎛⎭⎫ωx +φ-π6.因为f(x)为偶函数,所以对x ∈R ,f(-x)=f(x)恒成立,因此sin ⎝⎛⎭⎫-ωx +φ-π6=sin ⎝⎛⎭⎫ωx +φ-π6,即-sin ωxcos ⎝⎛⎭⎫φ-π6+cos ωxsin ⎝⎛⎭⎫φ-π6=sin ωxcos (φ-π6)+cos ωx sin ⎝⎛⎭⎫φ-π6,整理得sin ωxcos ⎝⎛⎭⎫φ-π6=0.因为ω>0,且x ∈R ,所以cos ⎝⎛⎭⎫φ-π6=0.又0<φ<π,故φ-π6=π2.所以f(x)=2sin ⎝⎛⎭⎫ωx +π2=2cos ωx.由题意得2πω=2×π2,所以ω=2,故f(x)=2cos2x ,因此f ⎝⎛⎭⎫π8=2cos π4= 2.(2) 将f(x)的图象向右平移π6个单位后,得到f ⎝⎛⎭⎫x -π6的图象,所以g(x)=f ⎝⎛⎭⎫x -π6=2cos ⎣⎡⎦⎤2⎝⎛⎭⎫x -π6=2cos ⎝⎛⎭⎫2x -π3.当2k π≤2x -π3≤2k π+π(k ∈Z ),即k π+π6≤x ≤k π+2π3(k ∈Z )时,g(x)单调递减,因此g(x)的单调递减区间为⎣⎡⎦⎤k π+π6,k π+2π3(k ∈Z ). 题型四 三角函数图象及性质、三角公式综合运用例4 已知函数f(x)=2sin 2⎝⎛⎭⎫π4+x -3cos2x -1,x ∈R .(1) 求f(x)的最小正周期;(2) 若h(x)=f(x +t)的图象关于点⎝⎛⎭⎫-π6,0对称,且t ∈(0,π),求t 的值;(3) 当x ∈⎣⎡⎦⎤π4,π2时,不等式|f(x)-m|<3恒成立,求实数m 的取值范围.解:(1)因为f(x)=-cos ⎝⎛⎭⎫π2+2x -3cos2x =2sin ⎝⎛⎭⎫2x -π3,故f(x)的最小正周期为π.(2) h(x)=2sin ⎝⎛⎭⎫2x +2t -π3.令2×⎝⎛⎭⎫-π6+2t -π3=k π(k ∈Z ),又t ∈(0,π),故t =π3或5π6. (3) 当x ∈⎣⎡⎦⎤π4,π2时,2x -π3∈⎣⎡⎦⎤π6,2π3,∴ f(x)∈[1,2].又|f(x)-m|<3,即f(x)-3<m <f(x)+3, ∴ 2-3<m <1+3,即-1<m <4.已知函数f(x)=Asin (ωx +φ)(A>0,ω>0,|φ|<π),在同一周期内,当x =π12时,f(x)取得最大值3;当x =712π时,f(x)取得最小值-3.(1) 求函数f(x)的解析式;(2) 求函数f(x)的单调递减区间;(3) 若x ∈⎣⎡⎦⎤-π3,π6时,函数h(x)=2f(x)+1-m 有两个零点,求实数m 的取值范围.解:(1) 由题意,A =3,T =2⎝⎛⎭⎫712π-π12=π,ω=2πT =2.由2×π12+φ=π2+2k π得φ=π3+2k π,k ∈Z .又 -π<φ<π,∴ φ=π3,∴ f(x)=3sin ⎝⎛⎭⎫2x +π3.(2) 由π2+2k π≤2x +π3≤3π2+2k π,得π6+2k π≤2x ≤7π6+2k π,即π12+k π≤x ≤7π12+k π,k ∈Z . ∴ 函数f(x)的单调递减区间为⎣⎡⎦⎤π12+k π,7π12+k π,k ∈Z.(3) 由题意知,方程sin ⎝⎛⎭⎫2x +π3=m -16在⎣⎡⎦⎤-π3,π6上有两个根.∵ x ∈⎣⎡⎦⎤-π3,π6,∴ 2x +π3∈⎣⎡⎦⎤-π3,2π3.∴ m -16∈⎣⎡⎦⎤-32,1,∴ m ∈[1-33,7).1. (2013·江西卷)设f(x)=3sin3x +cos3x ,若对任意实数x 都有|f(x)|≤a ,则实数a 的取值范围是________.答案:a ≥2解析:f(x)=3sin3x +cos3x =2sin ⎝⎛⎭⎫3x +π6,|f(x)|≤2,所以a ≥2.2. (2013·天津卷)函数f(x)=sin ⎝⎛⎭⎫2x -π4在区间⎣⎡⎦⎤0,π2上的最小值是________.答案:-223. (2013·全国卷)函数y =cos(2x +φ)(-π≤φ<π)的图象向右平移π2个单位后,与函数y =sin ⎝⎛⎭⎫2x +π3的图象重合,则|φ|=________.答案:5π64. (2014·北京卷)设函数f(x)=Asin (ωx +φ)(A 、ω、φ是常数,A>0,ω>0).若f(x)在区间⎣⎡⎦⎤π6,π2上具有单调性,且f ⎝⎛⎭⎫π2=f ⎝⎛⎭⎫2π3=-f ⎝⎛⎭⎫π6,则f(x)的最小正周期为________. 答案:π解析:由f(x)在区间⎣⎡⎦⎤π6,π2上具有单调性,f ⎝⎛⎭⎫π2=-f ⎝⎛⎭⎫π6知,函数f(x)的对称中心为⎝⎛⎭⎫π3,0,函数f(x)的对称轴为直线x =12⎝⎛⎭⎫π2+2π3=7π12,设函数f(x)的最小正周期为T ,所以12T ≥π2-π6,即T ≥2π3,所以7π12-π3=T 4,解得T =π. 5. (2014·福建卷)已知函数f(x)=cosx(sinx +cosx)-12.(1) 若0<α<π2,且sin α=22,求f(α)的值;(2) 求函数f(x)的最小正周期及单调递增区间.解:(解法1)(1) 因为0<α<π2,sin α=22,所以cos α=22.所以f(α)=22⎝⎛⎭⎫22+22-12=12.(2) 因为f(x)=sinxcosx +cos 2x -12=12sin2x +1+cos2x 2-12=12sin2x +12cos2x =22sin ⎝⎛⎭⎫2x +π4,所以T =2π2=π.由2k π-π2≤2x +π4≤2k π+π2,k ∈Z ,得k π-3π8≤x≤k π+π8,k ∈Z .所以f(x)的单调递增区间为⎣⎡⎦⎤k π-3π8,k π+π8,k ∈Z .(解法2)f(x)=sinxcosx +cos 2x -12=12sin2x +1+cos2x 2-12=12sin2x +12cos2x =22sin ⎝⎛⎭⎫2x +π4.(1) 因为0<α<π2,sin α=22,所以α=π4.从而f(α)=22sin ⎝⎛⎭⎫2α+π4=22sin 3π4=12.(2) T =2π2=π.由2k π-π2≤2x +π4≤2k π+π2,k ∈Z ,得k π-3π8≤x ≤k π+π8,k ∈Z .所以f(x)的单调递增区间为⎣⎡⎦⎤k π-3π8,k π+π8,k ∈Z .6. (2013·北京卷)已知函数f(x)=(2cos 2x -1)sin2x +12cos4x.(1) 求f(x)的最小正周期及最大值;(2) 若α∈⎝⎛⎭⎫π2,π,且f(α)=22,求α的值.解:(1) 因为f(x)=(2cos 2x -1)sin2x +12cos4x =cos2xsin2x +12cos4x =12(sin4x +cos4x)=22sin ⎝⎛⎭⎫4x +π4,所以f(x)的最小正周期为π2,最大值为22. (2) 因为f(α)=22,所以sin ⎝⎛⎭⎫4α+π4=1.因为α∈⎝⎛⎭⎫π2,π,所以4α+π4∈⎝⎛⎭⎫9π4,17π4,所以4α+π4=5π2,故α=9π16.(本题模拟高考评分标准,满分14分)设a>0,函数f(x)=asinxcosx -sinx -cosx ,x ∈⎣⎡⎦⎤0,π2的最大值为G(A).(1) 设t =sinx +cosx ,x ∈⎣⎡⎦⎤0,π2,求t 的取值范围,并把f(x)表示为t 的函数m(t);(2) 求G(A).解:(1) t =sinx +cosx =2sin ⎝⎛⎭⎫x +π4.∵ x ∈⎣⎡⎦⎤0,π2,∴ x +π4∈⎣⎡⎦⎤π4,3π4,∴ 22≤sin ⎝⎛⎭⎫x +π4≤1,∴ 1≤t ≤2,即t 的取值范围为[1,2].(3分)(另解:∵ x ∈⎣⎡⎦⎤0,π2,∴ t =sinx +cosx =1+sin2x.由2x ∈[0,π]得0≤sin2x ≤1,∴ 1≤t ≤2)∵ t =sinx +cosx ,∴ sinxcosx =t 2-12,(5分)∴ m(t)=a·t 2-12-t =12at 2-t -12a ,t ∈[1,2],a>0.(7分)(2) 由二次函数的图象与性质得:① 当1a <1+22,即a>2(2-1)时,G(A)=m(2)=12a -2; (10分)② 当1a ≥1+22,即0<a ≤2(2-1)时,G(A)=m(1)=- 2.(13分)∴ G(A)=⎩⎪⎨⎪⎧12a -2,a>2(2-1),-2,0<a ≤2(2-1).(14分)1. 若π4<x <π2,则函数y =tan2xtan 3x 的最大值为________.答案:-8解析:令tanx =t ∈(1,+∞),y =2t 41-t 2,y ′(t)=-4t 3(t +2)(t -2)(1-t 2)2,得t =2时y 取最大值-8.2. 已知函数f(x)=2cos2x +sin 2x ,求:(1) f ⎝⎛⎭⎫π3的值;(2) f(x)的最大值和最小值.解:(1) f ⎝⎛⎭⎫π3=2cos 2π3+sin 2π3=-1+34=-14.(2) f(x)=2(2cos 2x -1)+(1-cos 2x)=3cos 2x -1,x ∈R .因为cosx ∈[-1,1],所以当cosx =±1时,f(x)取最大值2;当cosx =0时,f(x)取最小值-1.3. 已知A 为△ABC 的内角,求y =cos 2A +cos 2⎝⎛⎭⎫2π3+A 的取值范围.解: y =cos 2A +cos 2⎝⎛⎭⎫2π3+A =1+cos2A 2+1+cos2⎝⎛⎭⎫2π3+A 2=1+cos2A 2+12⎝⎛⎭⎫cos 4π3cos2A -sin 4π3sin2A=1+12⎝⎛⎭⎫12cos2A +32sin2A =1+12cos ⎝⎛⎭⎫2A -π3.∵ A 为三角形内角,∴ 0<A <π,∴ -1≤cos ⎝⎛⎭⎫2A -π3≤1,∴ y =cos 2A +cos 2⎝⎛⎭⎫2π3+A 的取值范围是[12,32].4. 设函数f(x)=-cos 2x -4tsin x 2cos x2+4t 3+t 2-3t +4,x ∈R ,其中|t|≤1,将f(x)的最小值记为g(t).(1) 求g(t)的表达式;(2) 讨论g(t)在区间(-1,1)内的单调性并求极值.解:(1) f(x)=-cos 2x -4tsin x 2cos x2+4t 3+t 2-3t +4=sin 2x -2tsinx +4t 3+t 2-3t +3 =(sinx -t)2+4t 3-3t +3.由于(sinx -t)2≥0,|t|≤1,故当sinx =t 时,f(x)达到其最小值g(t),即g(t)=4t 3-3t +3. (2) g′(t)=12t 2-3=3(2t +1)(2t -1),-1<t <1. 由此可见,g(t)在区间⎝⎛⎭⎫-1,-12和⎝⎛⎭⎫12,1上单调增,在区间⎝⎛⎭⎫-12,12上单调减,极小值为g ⎝⎛⎭⎫12=2,极大值为g ⎝⎛⎭⎫-12=4.。
(00-01天津文)无(03天津文)(本小题满分12分)已知函数)0,0)(sin()(πϕωϕω≤≤>+=x x f 是R 上的偶函数,其图象关于点 )0,43(πM 对称,且在区间]2,0[π上是单调函数.求ωϕ和的值. (04天津文理同)(本小题满分12分)已知21)4tan(=+απ(I)求αtan 的值;(II)求ααα2cos 1cos 2sin 2+-的值.(05天津文)(本小题满分12分)已知sin (α-4π)=1027,cos2α=257,求sin α及tan (α+3π).(2006天津文)已知5tan cot 2αα+=,ππ42α⎛⎫∈ ⎪⎝⎭,.求cos2α和πsin(2)4α+的值. (2007天津文)在ABC △中,已知2AC =,3BC =,4cos 5A =-. (Ⅰ)求sin B 的值; (Ⅱ)求sin 26B π⎛⎫+ ⎪⎝⎭的值 (08天津文)(本小题满分12分)已知函数2()2cos 2sin cos 1(0)f x x x x x ωωωω=++∈R >,的最小正周期是2π. (Ⅰ)求ω的值;(Ⅱ)求函数()f x 的最大值,并且求使()f x 取得最大值的x 的集合.(09天津文)(本小题满分12分)在ABC ∆中,3,sin 2sin BC AC C A ===(1)求AB 的值(2)求sin 24A π⎛⎫- ⎪⎝⎭的值 (10天津文)(本小题满分12分)在∆ABC 中,cos cos AC B AB C=。
(Ⅰ)证明B=C :(Ⅱ)若cos A =-13,求sin 4B 3π⎛⎫+ ⎪⎝⎭的值。
(11天津文)(本小题满分13分)在△ABC 中,内角,,A B C 的对边分别为,,a b c ,已知,2.B C b ==(Ⅰ)求cos A 的值; (Ⅱ)cos(2)4A π+的值(05天津理)(本小题满分12分)在ABC ∆中,C B A ∠∠∠、、所对的边长分别为c b a 、、,设c b a 、、满足条件222a bc c b =-+和321+=b c ,求A ∠和B tan 的值(06天津理)(本题满分12分)如图,在ABC ∆中,2AC =,1BC =,43cos =C . (1)求AB 的值;(2)求()C A +2sin 的值.(07天津理)(本小题满分12分)已知函数()2cos (sin cos )1f x x x x x =-+∈R ,.(Ⅰ)求函数()f x 的最小正周期; (Ⅱ)求函数()f x 在区间π3π84⎡⎤⎢⎥⎣⎦,上的最小值和最大值 (08天津理)(本小题满分12分) 已知⎪⎭⎫ ⎝⎛3∈=⎪⎭⎫ ⎝⎛-4,2,1024cos πππx x . (Ⅰ)求x sin 的值; (Ⅱ)求⎪⎭⎫ ⎝⎛+32sin πx 的值. (09天津理)(本小题满分12分)在⊿ABC 中,AC=3,sinC=2sinA(Ⅰ) 求AB 的值;(Ⅱ) 求sin 24A π⎛⎫- ⎪⎝⎭的值 (10天津理)(本小题满分12分)已知函数2()cos 2cos 1()f x x x x x R =+-∈(Ⅰ)求函数()f x 的最小正周期及在区间0,2π⎡⎤⎢⎥⎣⎦上的最大值和最小值; (Ⅱ)若006(),,542f x x ππ⎡⎤=∈⎢⎥⎣⎦,求0cos 2x 的值。
三角函数(文) 考查内容:本小题主要考查同角三角函数的基本关系式、特殊角三角的函数值、诱导公式、两角和公式、倍角公式、正余弦定理等基础知识,考查基本运算能力。
1、(2011天津卷文史类)在中,内角的对边分别为。
已知 ,。
(1)求的值。
(2)求的值。
2、(2010天津卷文史类)在中,。
(1)证明:。
(2)若。
求的值。
解:(1)在中,由及正弦定理得, 于是,即, 因为,,则,因此,所以。
(2)由题可得,, 又由知,所以,, ; 所以。
3、(2009年天津卷)在中,。
(1)求的值; (2)求的值。
解:(1)在中,根据正弦定理,,于是。
(2)根据余弦定理,, 于是=, 从而, 。
4、(2008天津卷文史类)已知函数, 的最小正周期是。
(1)求的值; (2)求函数的最大值,并且求使取得最大值的的集合。
(1)解: 。
由题设,函数的最小正周期是,可得,所以。
(2)解:由(1)知,。
当,即时,取得最大值1,所以函数的最大值是,此时的集合为。
5、(2008天津卷理工类)已知,。
(1)求的值; (2)求的值。
解:(1)由题设得,即。
又,从而,解得或。
因为,所以。
(2)因为,故。
,。
所以,。
6、(2007天津卷文史类)在中,已知,,。
(1)求的值; (2)求的值。
解:(1)在中,,由正弦定理, ,所以。
(2)因为,所以角为钝角,从而角为锐角, 于是,, , 。
7、(2006天津卷文史类)已知,。
求和的值。
解:由得 解得或, 由已知故舍去,得。
因此, 那么且 故 8、(2006天津卷理工类)在中,,,。
(1)求的值; (2)求的值。
解:(1)由余弦定理, 那么,。
(2)解:由,且得 由正弦定理,,解得,所以, 由倍角公式, 且, 故。
1、答题前填写好自己的姓名、班级、考号等信息2、请将答案正确填写在答题卡上2023-2024学年天津市河西区高中数学人教B 版 必修三第七章-三角函数章节测试(2)姓名:____________ 班级:____________ 学号:____________考试时间:120分钟满分:150分题号一二三四五总分评分*注意事项:阅卷人得分一、选择题(共12题,共60分)函数f(x )的图象关于原点对称函数f (x )的图象关于直线 对称函数f (x)图象上的所有点向右平移 个单位长度后,所得的图象关于原点对称函数f (x )在区间(0,π)上单调递增1. 已知函数 的最小正周期为4π,则( )A. B. C.D. 2. 已知,且,则 的值为( )A. B. C. D.20172018201920203. 在 中,角A ,B ,C 所对的边分别为a ,b ,c ,若 ,则 的值为( )A. B. C. D. 4. 设 , 若函数的图象向左平移个单位长度后与函数的图象重合,则的最小值为( )A. B. C. D.5. 若 , , 则( )A. B. C. D.等腰三角形直角三角形等腰三角形或直角三角形等腰直角三角形6. 在△ABC 中,已知acosB=bcosA ,那么△ABC 一定是( )A. B. C. D.7. 已知 , , , 则( )A. B. C. D.8. 若 , 则( )A. B. C. D.向左平移个单位向右平移个单位向左平移 个单位向右平移 个单位9. 已知向量 , ,要得到函数 的图象,只需将的图象( )A. B. C. D. 10. 已知角的终边经过点 , 则( )A. B. C. D.64π48π32π16π11. 已知圆锥的轴截面是边长为8的等边三角形,则该圆锥的侧面积是( )A. B. C. D. tana=-sina=-cosa=-tana=12. 已知角a 的终边经过点P (-3,-4),则下列结论中正确的是( )A. B. C. D. 13. “圆材埋壁”是我国古代的数学著作《九章算术》中的一个问题,现有一个“圆材埋壁”的模型,其截面如图所示,若圆柱形材料的底面半径为1,截面圆圆心为, 墙壁截面为矩形,且, 则扇形的面积是 .14. 如图为函数的部分图象,对于任意的,,若,都有,则等于.15. 函数()的最小正周期是,则,在上的最小值为.16. 设sin2α=﹣sinα,α∈(,π),则tan2α的值是.17. 函数f(x)=1﹣2a﹣2acosx﹣2sin2x的最小值为g(a)(a∈R).(1) 当a=1时,求g(a);(2) 求g(a);(3) 若,求a及此时f(x)的最大值.18. 已知函数.(1) 求的最小正周期,并求的最小值及取得最小值时的集合;(2) 令,若存在使得成立,求实数的取值范围.19. 下图是函数的部分图象.(1) 求的值及单调递增区间.(2) 若的图象横坐标不变,纵坐标扩大为原来的2倍,然后再将所得图象向右平移个单位,最后向上平移1个单位,得到函数的图象,若在上恰有10个零点,求的取值范围.20. 海水受日月的引力,在一定的时候发生涨落的现象叫潮,一般地,早潮叫潮,晚潮叫汐.在通常情况下,船在涨潮时驶进航道,靠近码头;卸货后,在落潮时返回海洋.下面是某港口在某季节每天的时间与水深关系表:时刻0:001:002:003:004:005:00水深 5.000 6.2507.1657.5007.165 6.250时刻6:007:008:009:0010:0011:00水深 5.000 3.754 2.835 2.500 2.835 3.754时刻12:0013:0014:0015:0016:0017:00水深 5.000 6.2507.1657.5007.165 6.250时刻18:0019:0020:0021:0022:0023:00水深 5.000 3.754 2.835 2.500 2.835 3.754(1) 这个港口的水深与时间的关系可用函数(,)近似描述,试求出这个函数解析式;(2) 一条货船的吃水深度(船底与水面的距离)为5米,安全条例规定至少要有1.25米的安全间隙(船底与洋底的距离),利用(1)中的函数计算,该船何时能进入港口?在港口最多能呆多久?21. 已知向量,,且函数的图象经过点 .(1) 求的解析式及最小正周期;(2) 若,,求的值.答案及解析部分1.2.3.4.5.6.7.8.9.10.11.12.13.14.15.16.17.(1)(2)(3)18.(1)(2)19.(1)(2)20.(1)(2)21.(1)(2)。
第七章 三角函数【一】角的概念的推广与弧度制一、单选题1.在下列各组角中,终边不同的一组是( )A.60°与-300°B.1000°与-280°C.950°与230°D.1050°与-390°2.下列说法正确的有几个( )(1)锐角是第一象限的角(2)第一象限角是锐角(3)小于90°的角是锐角(4)0°~90°的角是锐角A.1个B.2个C.3个D.4个3.已知α是锐角,那么2α是( )A.第一象限角B.第二象限角C.第一象限角或第二象限角D.小于180°的正角4.已知α是钝角,那么2α是( ) A.第一象限的角 B.第二象限的角C.第一或第二象限角D.不大于直角的正角5.已知α是第三象限角,那么2α是( ) A.第一象限角 B.第一或第二象限角C.第一或第三象限角D.第二或第四象限角6.-135°用弧度制表示为( ) A.43π B.- 43π C.-45π D.47π 7.如果α和β终边相同,那么下式中正确的是( )A.βα=B.)(2z k k ∈=+πβαC.πβα2=-D.)(2z k k ∈=-πβα8.时钟转过一小时,时针转过了( ) A.rad 6π B.- rad 6π C.rad 12π D.- rad 12π二、填空题:1.终边落在y 轴上的角的集合是 ;终边落在x 轴上的角的集合是 .2.终边落在第三象限的角的集合是 .3.直径是8的圆中,圆心角210°所对的弧长是 .4.在0°~360°之间与角-570°终边相同的角是 .三、解答题:1.判定下列各角是第几象限角:(1)45π (2)-526π (3)-35π (4)311π (5)635π (6)-427π2.在0°~360°之间,找出与下列各角终边相同的角:(1)-135° (2)420° (3)2741° (4)397°【二】任意角的三角函数(诱导公式、基本关系式、三角函数值符号)一、单选题:1.下列关系式中正确的是( )A.sin(-195°)<0B.cos(-675°)<0C.tan585°>0D.tan1010°>02.若α是第二象限角,)5,(x P 为其终边上一点,且x 42cos =α,则αsin =( ) A.410 B.46 C.42 D.-410 3.sin600°的值是( ) A.21 B.- 21 C.23 D.- 23 4.若tan α=3,则sin αcos α=( ) A.-310 B.310 C.-103 D.103 5.sin 21)(=+πθ,则cos(2θπ-)=( ) A.23 B.- 23 C.±23 D.±21 6.已知θθ,54sin =是第二象限角,则θcos 等于( ) A.53 B.- 53 C.±53 D.±54 7.若53sin =α且),2(ππα∈,则=-)tan(απ( ) A.34 B.- 34 C.43 D.- 43 8.设317πα=,则( ) A.0cos ,0sin >>αα B.0cos ,0sin <<ααC.0cos ,0sin <>ααD.0cos ,0sin ><αα9.已知0cos sin <∙αα,则α是第几象限角( )A.第一象限角B.第二象限角C.第三象限角D.第二或第四象限角二、填空题:1.已知21cos -=α,α是第三象限角,则αsin = ,αtan =2.43tan =α,则αsin = ,αcos = 3.已知3tan =α,则ααααcos 4sin 3cos sin +-= 4.a =+ααcos sin ,则αα33cos sin += 5.πππcos 1023sin 30cos 22sin 5+-+= 6.若51cos =α,α是第四象限角,则)2cos(απ+= 三、解答题:1.化简(1))sin()2tan()2tan()cos(απαππαπα+---(2))3tan()5cos()tan()tan()2sin(απαππαπααπ----+-2.已知2cos sin =+αα,求值:(1)ααcos sin ⋅(2)αα44cos sin +3.若ααπ,53)cos(=-是第三象限角,ββ,54sin =是第二象限角,求)tan(βα-的值.4.已知21)sin(=-θπ,θ是第二象限角,求)2cos(θπ-的值.5.已知2tan =θ,求αααα22cos sin cos sin 21-+的值.【三】两角和与差的三角函数一、单选题:1.=-)75sin( ( ) A.262- B.- 262- C.462- D.- 426+2. 15sin 2115cos 23-=( ) A.22 B.2 C.- 22 D.226+ 3.在ABC ∆中,若135cos ,54cos ==B A ,则C cos 的值是( ) A.6516 B.6556 C.- 6516 D.- 6556 4.若53sin =α,且),2(ππα∈,则=-)4cos(απ( ) A.-52 B.-102 C.-1027 D.-527 5.已知3tan ,2tan ==βα,则)tan(βα+的值为( ) A.-71 B.-1 C.75 D.51 6.已知54tan 1tan 1+=+-αα,则=-)4tan(απ( ) A.4+5 B.4-5 C.-4-5 D.-4+57. 在ABC ∆中,已知B A tan ,tan 是方程01832=-+x x 的两个根,则=C tan ( )A.2B.-2C.4D.-4 8.=-8sin 8cos 22ππ( ) A.0 B.22 C.1 D.- 229.已知31cos sin =+αα,则α2sin 的值是( ) A.98 B.- 98 C.917 D.- 91710.已知54cos ),0,2(=-∈x x π,则=x 2tan ( ) A.247 B.- 247 C.724 D.- 72411.已知 360180<<α,则=2cos α( ) A.-2cos 1α- B. 2cos 1α- C.-2cos 1α+ D. 2cos 1α+12.已知α是第三象限角,并且2524sin -=α,则=2tan α( ) A.34 B.43 C.- 43 D.- 3413.已知θ是第三象限角,且95cos sin 44=+θθ,则θ2sin 等于() A.322 B.- 322 C.32 D.- 3214.化简=-ααcos 3sin 3( ) A.)3sin(32πα- B.)3cos(32πα- C.)6sin(32πα- D.)6cos(32πα+ 15.=---)4(sin )4(cos 22απαπ( )A.α2sinB.-α2sinC.α2cosD.-α2cos二、填空题:1.已知θ是锐角,且a =θ2sin ,则θθcos sin +=2.化简=--+2cos 4)24(sin 2sin 12απα 3.已知2tan =α,则=-+αααα22cos sin cos sin 21 4.已知31sin cos 2cos sin =-+αααα,则=α2tan 5.=+-15tan 3115tan 36.若322cos =α时,=+αα44cos sin 7.=-+ 50tan 70tan 350tan 70tan 8.=+12cos 12sin 3ππ ,=125cos 12cos ππ 9.已知αα,53cos =是第四象限角,则=2tan α 10.已知3tan =α,则=ααcos sin三、解答题:1.已知1312sin =α,53cos -=β,βα,均为第二象限角,求)cos(βα-.2.已知βα,都是锐角,1411)cos(,71cos -=+=βαα,求βcos 的值.3.已知 18090,900,2tan ,31tan <<<<-==βαβα,求βα+.4.计算:(1) 10cos 310sin 1-;(2))310(tan 40sin - ;(3))212cos 4(12sin 312tan 32-- ;(4) 20sin 280cos 380sin --.5.已知2tan =θ,求)2sin(21sin 2cos 22θθθ+--.6.设32+是一元二次方程01)cot (tan 2=++-x x θθ的一个根,求θ2sin 的值.7.已知2cos sin 2cos 3sin -=+-αααα,求:(1)α2tan ;(2)αααα22cos cos sin sin 2++.8.已知θθcos 4sin 3=,且0sin <θ,求2tan θ.9.已知222tan -=θ,且πθπ22<<,求)4sin(21sin 2cos 22πθθθ+--的值.10.已知θs i n 和θcos 是方程0)13(22=++-m x x 的两根,求θθθθt a n 1c o sc o t 1s i n -+-的值.11.已知135)4sin(=-x π,且)4,0(π∈x ,求x 2cos .【四】三角函数的图象和性质 一、单选题:1.要得到函数)62sin(π-=x y 的图象,只需将函数2sin xy =的图象( )A.向右平移6π个单位 B.向左平移6π个单位 C. 向右平移3π个单位 D. 向左平移3π个单位2.在下面函数中,既是偶函数,又是周期函数的是( )①)42sin(2)(π-=x x f ②2cos )(xx f =③x x x f sin )(=④|tan |)(x x f =A.①和④B.③和④C.②④D.①②③④ 3.如果α是锐角,ααcos sin +的值域为( )A.[)2,1B.(]2,1 C.[]1,0 D.(]1,0 4.下列函数中,周期为π的偶函数是( )A.x y 2sin =B.2cos xy =C.x x y 2cos 2sin =D.xxy 22tan 1tan 1+-= 5.函数)0)(5cos()5sin(>--=ωπωπωx x y 的周期是2,则ω=( )A.1B.πC.2πD.4π6.已知π<<x 0,且x x cos sin >,则∈x ( )A.(0,4π)B.(4π,43π)C.(4π,π)D.(43π,π)7. 函数x y 2cos 2=的最小正周期是( )A.4π B.2πC.πD.2π 8.函数)326)(3cos(2πππ≤≤-=x x y 的最小值是( ) A.-2 B.-3 C.-1 D.19.若函数x x f y sin )(=是周期为π的奇函数,则)(x f 可以是( ) A.x sin B.x cos C.x 2sin D.x 2cos10.函数)2||0,0,0)(sin(πϕωϕω<<>>+=A x A y 在一个周期内的图象的最高点是(12π,2),最低点是(127π,-2),则ϕω,的值分别是( )A.321π,B.2,6πC.2,3πD.1,3π 11.函数)3sin()23cos(ππ-+=x x y 的周期是( )A.32π B.3π C.- 32π D.π 12.下列函数中不是奇函数的是( )A.x x y cos sin +=B.1cos -=x x yC.xxx y cos tan sin -=D.|tan |x x y =二、填空题:1.x y sin =的定义域为2.若函数a x y +=2sin2的最大值为4,则a = ;若函数2sin 2x a y -=的最大值为4,则a =3.函数2)5cos 5(sin xx y +=的最小正周期为4.函数)32sin(2π-=x y 的单调增区间为 ,单调减区间为5.函数x x y 44c o s s i n -=的周期为 ,当x = 时,m a xy = ;当x = 时,min y = 6.函数)4tan(π-=x y 的定义域为7.比较大小:(1)︒80cos ︒130cos ;(2))3tan(π- 5tan π;(3)56sin π 58sin π;(4)511tan π 45tan π8.若35sin ax -=成立,则a 的取值范围是9.函数x x y cos sin 2+=的值域为三、解答题:1.求函数最大值和最小值及对应的x 取值.(1)x y cos 21-= (2)x x y cos sin += (3))3cos()3cos(ππ--+=x x y(4)x x y 2cos 2sin 3= (5)x x y 2sin 2cos 3-= (6))cos (sin sin 2x x x y +=2.求下列函数的值域:(1)3cos2+-sinxy(2)1=xy4sinsin2+-=xx3.已知函数1=x+x(+xf(1)求函数的周期;(2)当x取何值时,22cossin)3函数有最大值与最小值,并求出最大值和最小值.4.已知函数1cos sin 23cos 212++=x x x y (1)求函数的周期;(2)当x 取何值时,函数有最大值与最小值.5.已知222sin -=θ且πθπ22<<,求)4sin(21sin 2cos 22θθθ+--的值.6.已知函数)sin(ϕω+=x A y 的图象如下图所示:(1) 求函数周期;(2)求函数解析式.【五】三角函数综合测试 一、 单选题:1.(03年)若α是第二象限角,则下列命题中正确的是( )A.αααcos sin tan = B.αα2cos 1sin -=C.ααcos )cos(-=-D.απαsin )3sin(=- 2.(03年)函数x x y cot 2sin =的最小正周期是( )A.πB.2π C.23π D.2π3.(04年)︒960sin =( ) A.-21 B.21 C.-23 D.234.(05年)若角α满足条件ααααcos sin ,0cos sin ><,则α在( ) A.第一象限 B.第二象限 C.第三象限 D.第四象限5.已知θθ,52cos =为第四象限角,则)3sin(θπ+=( )A.53B.- 53C.521D.- 5216.(06年)函数x x y 22sin cos -=的最大值是( ) A.2 B.2 C.0 D.17.(06年)设2tan =α,且0cos <α,则αsin =( ) A.-522 B. 522 C.-52 D.518.(07年)若21)sin(=+πθ,则)2cos(θπ-=( ) A.23 B.- 23 C.±23D.±219.(08年)已知31sin -=α,α是第三象限角,则αtan =( )A.42 B.- 42 C.22 D.- 22 10.(10年)若函数)0(cos sin >⋅=ωωωx x y 的最小正周期为4π,则ω=( ) A.41 B.21C.2D.4 11.下列区间是函数)4sin(π+=x y 的单调增区间的是( )A.],2[ππB.]4,0[πC.]0,[π-D.]2,4[ππ12.要得到)32sin(π+=x y 的图象,只需将函数x y 2sin =的图象( )A.向右平移3π个单位B.向左平移3π个单位C.向右平移6π个单位D. 向左平移6π个单位13.设Z k ∈,正切函数x y tan =的定义域为( ) A.R z k ∈ B.)232,22(ππππ++k k z k ∈ C.)22,22(ππππ+-k k z k ∈ D.)2,2(ππππ+-k k z k ∈14.函数)4sin(π+=x y 取得最大值时,x =( )A.{}Z k k x x ∈=,2|πB.⎭⎬⎫⎩⎨⎧∈+=Z k k x x ,22|ππC.⎭⎬⎫⎩⎨⎧∈+=Z k k x x ,4|ππD.⎭⎬⎫⎩⎨⎧∈+=Z k k x x ,42|ππ15.下列函数周期为π的偶函数是( )A.|sin |x y =B.x x y 2cos 2sin +=C.x x y cos sin ⋅=D.x x y tan sin ⋅= 二、填空题:16.(03年)︒+︒15cot 15tan =17.(04年)βα,都是锐角,且βαsin sin >,则αcos 与βcos 的大小关系是18.(06年)若)2(53sin παπα<<=,则)6sin(πα+=19.(07年))4cos(cos sin πααα-+=20.(08年)=︒+︒15cos 15sin21.已知2tan =α,则=+)4tan(απ三、解答题:22.(03年)求函数1cos 2cos 21)(+-=x x x f 的最大值和最小值.23.(05年)已知21)4tan(=+απ,(1)求αtan 的值;(2)求ααα2cos 1cos 2sin 2+-的值.24.(06年)已知)20(1tan 12sin sin 22παααα<<=++,求ααcos sin +的值.25.(08年)正弦型函数)sin(ϕω+=x A y 在一个周期内的图象如图:21 (1)指出函数的周期;(2)写出函数的解析式.26.(09年)已知函数x x x x f 2cos cos sin 2)(+⋅=,(1)求)43(πf 的值;(2)若22)4(=αf 且23παπ<<,求αcos 的值.27.(10年)已知3tan -=θ,(1)求θ2tan 的值;(2)求)4sin(21sin 2cos 22θπθθ--+的值.。
三角函数(理) 考查内容:本小题主要考查同角三角函数的基本关系式、特殊角三角的函数值、 诱导公式、函数图象及其性质、两角和与差公式、 倍角公式、正余弦定理等基础知识,考查基本运算能力。
1、(2011年天津卷理工类)已知函数。
(1)求的定义域与最小正周期; (2)设,若,求的大小。
解:(1)由得 所以的定义域为,的最小正周期为。
(2)由,得,即, 整理得,,因为, 所以可得,,由,得, 所以,。
2、(2010年天津卷理工类)已知函数。
(1)求函数的最小正周期及在区间上的最大值和最小值; (2)若,求的值。
解:(1) 所以函数的最小正周期为,因为在区间上为增函数,在区间上为减函数,又,所以函数在区间上的最大值为2,最小值为—1; (2)解:由(1)可知,又因为, 所以,由,得, 从而,所以。
3、(2009年天津卷)在中,。
(1)求的值; (2)求的值。
解:(1)在中,根据正弦定理,, 于是。
(2)在中,根据余弦定理,得, 于是=, 从而 。
4、(2008天津卷文史类)已知函数, 的最小正周期是。
(1)求的值; (2)求函数的最大值,并且求使取得最大值的的集合。
(1)解: 。
由题设,函数的最小正周期是,可得,所以。
(2)解:由(1)知,。
当,即时,取得最大值1,所以函数的最大值是,此时的集合为。
5、(2008天津卷理工类)已知,。
(1)求的值; (2)求的值。
解:(1)由题设得,即。
又,从而,解得或。
因为,所以。
(2)因为,故。
,。
所以,。
6、(2007天津卷文史类)在中,已知,,。
(1)求的值; (2)求的值。
解:(1)在中,,由正弦定理, ,所以。
(2)因为,所以角为钝角,从而角为锐角, 于是, , , 。
7、(2007天津卷理工类)已知函数,。
(1)求函数的最小正周期; (2)求函数在区间上的最小值和最大值。
解:(1), 因此,函数的最小正周期为。
.53sin =B 三角函数高考题汇总1、在ABC ∆中,内角C B A ,,所对的边为c b a ,,,)6cos(sin π-=B a A b ,(Ⅰ)求B ∠的大小;(Ⅱ)设3,2==c a ,求)2sin(B A b -和的值.(2018天津理)2、在ABC ∆中,内角C B A ,,所对的边分别为c b a ,,.已知65==>c a b a ,,,天津理)3、已知函数3)3cos()2sin(tan 4)(---⋅=ππx x x x f (Ⅰ)求f (x )的定义域与最小正周期; (Ⅱ)讨论)(x f 在区间[,44ππ-]上的单调性.(2016天津理)4、已知函数()22sin sin 6f x x x π⎛⎫=--⎪⎝⎭,R x ∈ (Ⅰ)求()f x 最小正周期; (Ⅱ)求()f x 在区间[,]34ππ-上的最大值和最小值.(2015天津理) 5、已知函数()2cos sin +3f x x x x x R π⎛⎫=⋅∈ ⎪⎝⎭. (Ⅰ)求)(x f 最小正周期; (Ⅱ)求)(x f 在闭区间[,]44ππ-上的最大值和最小值.(2014天津理) 6、已知函数()2)6sin cos 2cos 1,4f x x x x x x R π=++⋅-+∈.(Ⅰ)求)(x f 最小正周期; (Ⅱ)求)(x f 在区间[0,]2π上的最大值和最小值.(2013天津理)7、(2012文)将函数()sin f x x ω=(其中ω>0)的图像向右平移4π个单位长度,所得图像经过点)0,43(π,则ω的最小值是(A )13(B )1 C )53(D )28、(2012文)在△ABC 中,内角A ,B ,C 所对的分别是a,b ,c 。
已知22-4. (I )求sinC 和b 的值; (II )求cos (2A+3д)的值。
9、(2012理)设R ϕ∈,则“=0ϕ”是“()=cos(+)f x x ϕ()x R ∈为偶函数”的 (A )充分而不必要条件 (B)必要而不充分条件 (C)充分必要条件 (D)既不充分也不必要条件 10、(2012理)(本小题满分13分)已知函数2()=sin (2+)+sin(2)+2cos 133f x x x x ππ--,x R ∈.(Ⅰ)求函数()f x 的最小正周期; (Ⅱ)求函数()f x 在区间[,]44ππ-上的最大值和最小值.11.(2011文)已知函数()2sin(),f x x x R ωϕ=+∈,其中0,,()f x ωπϕπ>-<≤若的最小正周期为6π,且当2x π=时,()f x 取得最大值,则( )A .()f x 在区间[2,0]π-上是增函数B .()f x 在区间[3,]ππ--上是增函数C .()f x 在区间[3,5]ππ上是减函数D .()f x 在区间[4,6]ππ上是减函数12..(2011文)在△ABC 中,内角,,A B C 的对边分别为,,a b c ,已知,23.B C b a ==(Ⅰ)求cos A 的值; (Ⅱ)cos(2)4A π+的值.13.(2011理)已知函数()tan(2),4f x x π=+(Ⅰ)求()f x 的定义域与最小正周期; (II )设0,4πα⎛⎫∈ ⎪⎝⎭,若()2cos 2,2f αα=求α的大小.14、(2010文)5y Asinx x R 66ππωϕ⎡⎤=∈⎢⎥⎣⎦右图是函数(+)()在区间-,上的图象,为了得到这个函数的图象,只要将y sin x x R =∈()的图象上所有的点(A)向左平移3π个单位长度,再把所得各点的横坐标缩短到原来的12倍,纵坐标不变 (B) 向左平移3π个单位长度,再把所得各点的横坐标伸长到原来的2倍,纵坐标不变(C) 向左平移6π个单位长度,再把所得各点的横坐标缩短到原来的12倍,纵坐标不变(D) 向左平移6π个单位长度,再把所得各点的横坐标伸长到原来的2倍,纵坐标不变15、(2010文) 在∆ABC 中,cos cos AC BAB C=。
三角函数综合题
1、已知,其中。
(1)求的值;
(2)求的值。
2、已知,。
(1)求的值;
(2)求。
3、已知函数。
(1)求的值;
(2)求的最大值和最小值。
4、已知函数,。
(1)求函数的最小正周期;
(2)求函数在区间上的最小值和最大值。
5、已知函数。
求:
(1)函数的最小正周期;
(2)函数的单调增区间。
6、设函数(其中),且的图象在轴右
侧的第一个最高点的横坐标为。
(1)求的值;
(2)如果在区间上的最小值为,求的值。
7、已知函数(,)为偶函数,且函数
图象的两相邻对称轴间的距离为。
(1)求的值;
(2)将函数的图象向右平移个单位后,再将得到的图象上各点的横坐标伸长到原来的4倍,
纵坐标不变,得到函数的图象,求的单调递减区间。
8、已知函数,。
(1)设是函数图象的一条对称轴,求的值。
(2)求函数的单调递增区间。
9、已知函数,(其中)。
(1)求函数的值域;
(2)若函数的图象与直线的两个相邻交点间的距离为,求函数的单调增区间。
(3)若对任意的,函数,的图象与直线有且仅有两个不同的交点,试确定的值(不必证明),并求函数,的单调增区间。
【最新】高中数学《三角函数与解三角形》专题解析(1)一、选择题1.已知函数()sin 26f x x π⎛⎫=-⎪⎝⎭,若方程()23f x =的解为12,x x (120x x π<<<),则()21sin x x -=( )A .23B .49C D 【答案】C 【解析】 【分析】 由已知可得2123x x π=-,结合x 1<x 2求出x 1的范围,再由()121122236sin x x sin x cos x ππ⎛⎫⎛⎫-=-=-- ⎪ ⎪⎝⎭⎝⎭求解即可. 【详解】因为0<x π<,∴112666x πππ⎛⎫-∈- ⎪⎝⎭,, 又因为方程()23f x =的解为x 1,x 2(0<x 1<x 2<π), ∴1223x x π+=,∴2123x x π=-, ∴()121122236sin x x sin x cos x ππ⎛⎫⎛⎫-=-=-- ⎪ ⎪⎝⎭⎝⎭, 因为122123x x x x π=-<,,∴0<x 13π<,∴12662x πππ⎛⎫-∈- ⎪⎝⎭,,∴由()112263f x sin x π⎛⎫=-= ⎪⎝⎭,得126cos x π⎛⎫-= ⎪⎝⎭,∴()12sin x x -=,故()21sin x x -=3故选C . 【点睛】本题考查了三角函数的恒等变换及化简求值和三角函数的图象与性质,属中档题.2.已知双曲线()222210,0x y a b a b-=>>的左右焦点分别为1F ,2F ,M 为双曲线上一点,若121cos 4F MF ∠=,122MF MF =,则此双曲线渐近线方程为( ) A.y = B.3y x =±C .y x =±D .2y x =±【答案】A 【解析】 【分析】因为M 为双曲线上一点,可得122MF MF a -=,在12F MF ∆使用余弦定理,结合已知条件即可求得答案. 【详解】Q 双曲线()222210,0x y a b a b-=>>的左右焦点分别为1F ,2F ,M 为双曲线上一点 ∴ 121222MF MF a MF MF ⎧-=⎪⎨=⎪⎩,解得:14MF a =,22MF a = 在12F MF ∆中,根据余弦定理可得:∴ 12121222122c 2os F F MF MF M MF MF F F ∠=+-⋅⋅可得:2221(2)(4)(2)2424c a a a a =+-⋅⋅⋅ 化简可得:2c a =由双曲线性质可得:22222243b c a a a a =-=-= 可得:b =Q 双曲线渐近线方程为:b y x a=±则双曲线渐近线方程为: y = 故选:A. 【点睛】本题考查了求双曲线渐近线方程问题,解题关键是掌握双曲线的基本知识,数形结合,考查分析能力和计算能力,属于中档题.3.函数()22sin 3cos 2f x x x =+-,2,36x ππ⎡⎤∈-⎢⎥⎣⎦的值域为( ) A .40,3⎡⎤⎢⎥⎣⎦B .41,3⎡⎤⎢⎥⎣⎦C .51,4⎡⎤⎢⎥⎣⎦D .50,4⎡⎤⎢⎥⎣⎦【答案】A 【解析】 【分析】化简得到()23sin 2sin 1f x x x =-++,设sin t x =,利用二次函数性质得到答案. 【详解】根据22sin cos 1x x +=,得()23sin 2sin 1f x x x =-++,2,36x ππ⎡⎤∈-⎢⎥⎣⎦, 令sin t x =,由2,36x ππ⎡⎤∈-⎢⎥⎣⎦,得1sin 1,2x ⎡⎤∈-⎢⎥⎣⎦, 故[]0,1t ∈,有2321y t t =-++,[]0,1t ∈,二次函数对称轴为13t =, 当13t =时,最大值43y =;当1t =时,最小值0y =, 综上,函数()f x 的值域为40,3⎡⎤⎢⎥⎣⎦. 故选:A . 【点睛】本题考查了三角函数值域,换元可以简化运算,是解题的关键.4.直线y a =与函数()tan (0)4f x x πωω⎛⎫=+> ⎪⎝⎭的图象的相邻两个交点的距离为2π,若()f x 在()(),0m m m ->上是增函数,则m 的取值范围是( ) A .(0,]4π B .(0,]2πC .3(0,]4π D .3(0,]2π 【答案】B 【解析】 【分析】根据直线y a =与函数()f x 的图象的相邻两个交点的距离为一个周期,得到12ω=,则()1tan 24f x x π⎛⎫=+ ⎪⎝⎭,然后求得其单调增区间,再根据()f x 在()(),0m m m ->上是增函数,由(,)m m -是增区间的子集求解. 【详解】因为直线y a =与函数()f x 的图象的相邻两个交点的距离为一个周期, 所以12ω=,()1tan 24f x x π⎛⎫=+ ⎪⎝⎭,由12242k x k πππππ-<+<+,得322()22k x k k ππππ-<<+∈Z , 所以()f x 在3,22ππ⎛⎫-⎪⎝⎭上是增函数,由3(,),22m m ππ⎛⎫-⊆- ⎪⎝⎭, 解得02m π<≤.故选:B 【点睛】本题主要考查正切函数的图象和性质,还考查了运算求解的能力,属于中档题5.函数()2sin sin cos y x x x =+的最大值为( )A .1B 1CD .2【答案】A 【解析】由题意,得()22sin sin cos 2sin 2sin cos sin2cos21y x x x x x x x x =+=+=-+π2114x ⎛⎫=-+≤ ⎪⎝⎭;故选A.6.若,2παπ⎛⎫∈ ⎪⎝⎭,2cos2sin 4παα⎛⎫=- ⎪⎝⎭,则sin 2α的值为( ) A .78-B .78C .18-D .18【答案】A 【解析】 【分析】利用二倍角公式及两角差的正弦公式化简得到cos sin 4αα+=,再将两边平方利用二倍角正弦公式计算可得; 【详解】解:因为2cos2sin 4παα⎛⎫=-⎪⎝⎭所以()222cos sin sincos cossin 44ππαααα-=-所以()())2cos sin cos sin cos sin αααααα-+=- ,cos sin 02παπαα⎛⎫∈-≠ ⎪⎝⎭Q ,所以cos sin 4αα+=所以()21cos sin 8αα+=,即221cos 2cos sin sin 8αααα++=,11sin 28α+= 所以7sin 28α=- 故选:A 【点睛】本题考查两角和差的正弦公式、二倍角公式的应用,属于中档题;7.在ABC ∆中,若2sin sin cos 2CA B =,则ABC ∆是( ) A .等边三角形 B .等腰三角形C .不等边三角形D .直角三角形【答案】B 【解析】试题分析:因为2sin sin cos2CA B =,所以,1cos sin sin 2C A B +=,即2sin sin 1cos[()],cos()1A B A B A B π=+-+-=,故A=B ,三角形为等腰三角形,选B 。
.53sin =B 三角函数高考题汇总1、在ABC ∆中,内角C B A ,,所对的边为c b a ,,,)6cos(sin π-=B a A b ,(Ⅰ)求B ∠的大小;(Ⅱ)设3,2==c a ,求)2sin(B A b -和的值.(2018天津理)2、在ABC ∆中,内角C B A ,,所对的边分别为c b a ,,.已知65==>c a b a ,,,天津理)3、已知函数3)3cos()2sin(tan 4)(---⋅=ππx x x x f (Ⅰ)求f (x )的定义域与最小正周期; (Ⅱ)讨论)(x f 在区间[,44ππ-]上的单调性.(2016天津理)4、已知函数()22sin sin 6f x x x π⎛⎫=--⎪⎝⎭,R x ∈ (Ⅰ)求()f x 最小正周期; (Ⅱ)求()f x 在区间[,]34ππ-上的最大值和最小值.(2015天津理) 5、已知函数()2cos sin +3f x x x x x R π⎛⎫=⋅∈ ⎪⎝⎭. (Ⅰ)求)(x f 最小正周期; (Ⅱ)求)(x f 在闭区间[,]44ππ-上的最大值和最小值.(2014天津理) 6、已知函数()2)6sin cos 2cos 1,4f x x x x x x R π=++⋅-+∈.(Ⅰ)求)(x f 最小正周期; (Ⅱ)求)(x f 在区间[0,]2π上的最大值和最小值.(2013天津理)7、(2012文)将函数()sin f x x ω=(其中ω>0)的图像向右平移4π个单位长度,所得图像经过点)0,43(π,则ω的最小值是(A )13(B )1 C )53(D )28、(2012文)在△ABC 中,内角A ,B ,C 所对的分别是a,b,c 。
已知-4.(I )求sinC 和b 的值; (II )求cos (2A+3д)的值。
9、(2012理)设R ϕ∈,则“=0ϕ”是“()=cos(+)f x x ϕ()x R ∈为偶函数”的 (A )充分而不必要条件 (B)必要而不充分条件(C)充分必要条件 (D)既不充分也不必要条件 10、(2012理)(本小题满分13分)已知函数2()=sin (2+)+sin(2)+2cos 133f x x x x ππ--,x R ∈.(Ⅰ)求函数()f x 的最小正周期; (Ⅱ)求函数()f x 在区间[,]44ππ-上的最大值和最小值.11.(2011文)已知函数()2sin(),f x x x R ωϕ=+∈,其中0,,()f x ωπϕπ>-<≤若的最小正周期为6π,且当2x π=时,()f x 取得最大值,则( )A .()f x 在区间[2,0]π-上是增函数B .()f x 在区间[3,]ππ--上是增函数C .()f x 在区间[3,5]ππ上是减函数D .()f x 在区间[4,6]ππ上是减函数12..(2011文)在△ABC 中,内角,,A B C 的对边分别为,,a b c ,已知,23.B C b a ==(Ⅰ)求cos A 的值; (Ⅱ)cos(2)4A π+的值.13.(2011理)已知函数()tan(2),4f x x π=+(Ⅰ)求()f x 的定义域与最小正周期;(II )设0,4πα⎛⎫∈ ⎪⎝⎭,若()2cos 2,2f αα=求α的大小.14、(2010文)5y Asinx x R 66ππωϕ⎡⎤=∈⎢⎥⎣⎦右图是函数(+)()在区间-,上的图象,为了得到这个函数的图象,只要将y sin x x R =∈()的图象上所有的点(A)向左平移3π个单位长度,再把所得各点的横坐标缩短到原来的12倍,纵坐标不变 (B) 向左平移3π个单位长度,再把所得各点的横坐标伸长到原来的2倍,纵坐标不变(C) 向左平移6π个单位长度,再把所得各点的横坐标缩短到原来的12倍,纵坐标不变(D) 向左平移6π个单位长度,再把所得各点的横坐标伸长到原来的2倍,纵坐标不变15、(2010文)在∆ABC 中,cos cos AC BAB C=。
第七章 三角函数【一】角的概念的推广与弧度制一、单选题1.在下列各组角中,终边不同的一组是( )A.60°与-300°B.1000°与-280°C.950°与230°D.1050°与-390°2.下列说法正确的有几个( )(1)锐角是第一象限的角(2)第一象限角是锐角(3)小于90°的角是锐角(4)0°~90°的角是锐角A.1个B.2个C.3个D.4个3.已知α是锐角,那么2α是( )A.第一象限角B.第二象限角C.第一象限角或第二象限角D.小于180°的正角4.已知α是钝角,那么2α是( ) A.第一象限的角 B.第二象限的角C.第一或第二象限角D.不大于直角的正角5.已知α是第三象限角,那么2α是( ) A.第一象限角 B.第一或第二象限角C.第一或第三象限角D.第二或第四象限角6.-135°用弧度制表示为( ) A.43π B.- 43π C.-45π D.47π 7.如果α和β终边相同,那么下式中正确的是( )A.βα=B.)(2z k k ∈=+πβαC.πβα2=-D.)(2z k k ∈=-πβα8.时钟转过一小时,时针转过了( ) A.rad 6π B.- rad 6π C.rad 12π D.- rad 12π二、填空题:1.终边落在y 轴上的角的集合是 ;终边落在x 轴上的角的集合是 .2.终边落在第三象限的角的集合是 .3.直径是8的圆中,圆心角210°所对的弧长是 .4.在0°~360°之间与角-570°终边相同的角是 .三、解答题:1.判定下列各角是第几象限角:(1)45π (2)-526π (3)-35π (4)311π (5)635π (6)-427π2.在0°~360°之间,找出与下列各角终边相同的角:(1)-135° (2)420° (3)2741° (4)397°【二】任意角的三角函数(诱导公式、基本关系式、三角函数值符号)一、单选题:1.下列关系式中正确的是( )A.sin(-195°)<0B.cos(-675°)<0C.tan585°>0D.tan1010°>02.若α是第二象限角,)5,(x P 为其终边上一点,且x 42cos =α,则αsin =( ) A.410 B.46 C.42 D.-410 3.sin600°的值是( ) A.21 B.- 21 C.23 D.- 23 4.若tan α=3,则sin αcos α=( ) A.-310 B.310 C.-103 D.103 5.sin 21)(=+πθ,则cos(2θπ-)=( ) A.23 B.- 23 C.±23 D.±21 6.已知θθ,54sin =是第二象限角,则θcos 等于( ) A.53 B.- 53 C.±53 D.±54 7.若53sin =α且),2(ππα∈,则=-)tan(απ( ) A.34 B.- 34 C.43 D.- 43 8.设317πα=,则( ) A.0cos ,0sin >>αα B.0cos ,0sin <<ααC.0cos ,0sin <>ααD.0cos ,0sin ><αα9.已知0cos sin <•αα,则α是第几象限角( )A.第一象限角B.第二象限角C.第三象限角D.第二或第四象限角二、填空题:1.已知21cos -=α,α是第三象限角,则αsin = ,αtan =2.43tan =α,则αsin = ,αcos = 3.已知3tan =α,则ααααcos 4sin 3cos sin +-= 4.a =+ααcos sin ,则αα33cos sin += 5.πππcos 1023sin 30cos 22sin 5+-+= 6.若51cos =α,α是第四象限角,则)2cos(απ+= 三、解答题:1.化简(1))sin()2tan()2tan()cos(απαππαπα+---(2))3tan()5cos()tan()tan()2sin(απαππαπααπ----+-2.已知2cos sin =+αα,求值:(1)ααcos sin ⋅(2)αα44cos sin +3.若ααπ,53)cos(=-是第三象限角,ββ,54sin =是第二象限角,求)tan(βα-的值.4.已知21)sin(=-θπ,θ是第二象限角,求)2cos(θπ-的值.5.已知2tan =θ,求αααα22cos sin cos sin 21-+的值.【三】两角和与差的三角函数一、单选题:1.=-)75sin( ( ) A.262- B.- 262- C.462- D.- 426+ 2. 15sin 2115cos 23-=( ) A.22 B.2 C.- 22 D.226+ 3.在ABC ∆中,若135cos ,54cos ==B A ,则C cos 的值是( ) A.6516 B.6556 C.- 6516 D.- 6556 4.若53sin =α,且),2(ππα∈,则=-)4cos(απ( ) A.-52 B.-102 C.-1027 D.-527 5.已知3tan ,2tan ==βα,则)tan(βα+的值为( ) A.-71 B.-1 C.75 D.51 6.已知54tan 1tan 1+=+-αα,则=-)4tan(απ( ) A.4+5 B.4-5 C.-4-5 D.-4+57. 在ABC ∆中,已知B A tan ,tan 是方程01832=-+x x 的两个根,则=C tan ( )A.2B.-2C.4D.-4 8.=-8sin 8cos 22ππ( )A.0B.22C.1D.- 229.已知31cos sin =+αα,则α2sin 的值是( ) A.98 B.- 98 C.917 D.- 91710.已知54cos ),0,2(=-∈x x π,则=x 2tan ( ) A.247 B.- 247 C.724 D.- 72411.已知 360180<<α,则=2cos α( ) A.-2cos 1α- B. 2cos 1α- C.-2cos 1α+ D. 2cos 1α+12.已知α是第三象限角,并且2524sin -=α,则=2tan α( ) A.34 B.43 C.- 43 D.- 3413.已知θ是第三象限角,且95cos sin 44=+θθ,则θ2sin 等于() A.322 B.- 322 C.32 D.- 3214.化简=-ααcos 3sin 3( ) A.)3sin(32πα- B.)3cos(32πα- C.)6sin(32πα- D.)6cos(32πα+ 15.=---)4(sin )4(cos 22απαπ( )A.α2sinB.-α2sinC.α2cosD.-α2cos二、填空题:1.已知θ是锐角,且a =θ2sin ,则θθcos sin +=2.化简=--+2cos 4)24(sin 2sin 12ααπα 3.已知2tan =α,则=-+αααα22cos sin cos sin 21 4.已知31sin cos 2cos sin =-+αααα,则=α2tan 5.=+-15tan 3115tan 36.若322cos =α时,=+αα44cos sin 7.=-+ 50tan 70tan 350tan 70tan 8.=+12cos 12sin 3ππ,=125cos 12cos ππ 9.已知αα,53cos =是第四象限角,则=2tan α 10.已知3tan =α,则=ααcos sin三、解答题:1.已知1312sin =α,53cos -=β,βα,均为第二象限角,求)cos(βα-.2.已知βα,都是锐角,1411)cos(,71cos -=+=βαα,求βcos 的值.3.已知 18090,900,2tan ,31tan <<<<-==βαβα,求βα+.4.计算:(1) 10cos 310sin 1-;(2))310(tan 40sin - ;(3))212cos 4(12sin 312tan 32-- ;(4) 20sin 280cos 380sin --.5.已知2tan =θ,求)2sin(21sin 2cos 22θπθθ+--.6.设32+是一元二次方程01)cot (tan 2=++-x x θθ的一个根,求θ2sin 的值.7.已知2cos sin 2cos 3sin -=+-αααα,求:(1)α2tan ;(2)αααα22cos cos sin sin 2++.8.已知θθcos 4sin 3=,且0sin <θ,求2tan θ.9.已知222tan -=θ,且πθπ22<<,求)4sin(21sin 2cos 22πθθθ+--的值.10.已知θsin 和θcos 是方程0)13(22=++-m x x 的两根,求θθθθtan 1cos cot 1sin -+-的值.11.已知135)4sin(=-x π,且)4,0(π∈x ,求x 2cos .【四】三角函数的图象和性质 一、单选题:1.要得到函数)62sin(π-=x y 的图象,只需将函数2sin xy =的图象( )A.向右平移6π个单位B.向左平移6π个单位C. 向右平移3π个单位D. 向左平移3π个单位2.在下面函数中,既是偶函数,又是周期函数的是( )①)42sin(2)(π-=x x f ②2cos )(xx f =③x x x f sin )(=④|tan |)(x x f =A.①和④B.③和④C.②④D.①②③④ 3.如果α是锐角,ααcos sin +的值域为( )A.[)2,1B.(]2,1 C.[]1,0 D.(]1,0 4.下列函数中,周期为π的偶函数是( )A.x y 2sin =B.2cos xy =C.x x y 2cos 2sin =D.xxy 22tan 1tan 1+-= 5.函数)0)(5cos()5sin(>--=ωπωπωx x y 的周期是2,则ω=( )A.1B.πC.2πD.4π6.已知π<<x 0,且x x cos sin >,则∈x ( )A.(0,4π)B.(4π,43π)C.(4π,π) D.(43π,π)7. 函数x y 2cos 2=的最小正周期是( )A.4π B.2πC.πD.2π 8.函数)326)(3cos(2πππ≤≤-=x x y 的最小值是( )A.-2B.-3C.-1D.19.若函数x x f y sin )(=是周期为π的奇函数,则)(x f 可以是( ) A.x sin B.x cos C.x 2sin D.x 2cos 10.函数)2||0,0,0)(sin(πϕωϕω<<>>+=A x A y 在一个周期内的图象的最高点是(12π,2),最低点是(127π,-2),则ϕω,的值分别是( ) A.321π, B.2,6π C.2,3π D.1,3π 11.函数)3sin()23cos(ππ-+=x x y 的周期是( )A.32π B.3πC.- 32πD.π 12.下列函数中不是奇函数的是( )A.x x y cos sin +=B.1cos -=x x yC.xxx y cos tan sin -=D.|tan |x x y =二、填空题:1.x y sin =的定义域为2.若函数a x y +=2sin2的最大值为4,则a = ;若函数2sin 2x a y -=的最大值为4,则a =3.函数2)5cos 5(sin xx y +=的最小正周期为4.函数)32sin(2π-=x y 的单调增区间为 ,单调减区间为5.函数x x y 44cos sin -=的周期为 ,当x = 时,m ax y = ;当x = 时,min y =6.函数)4tan(π-=x y 的定义域为7.比较大小:(1)︒80cos ︒130cos ;(2))3tan(π- 5tan π;(3)56sin π 58sin π;(4)511tan π 45tan π8.若35sin ax -=成立,则a 的取值范围是9.函数x x y cos sin 2+=的值域为三、解答题:1.求函数最大值和最小值及对应的x 取值.(1)x y cos 21-= (2)x x y cos sin += (3))3cos()3cos(ππ--+=x x y(4)x x y 2cos 2sin 3= (5)x x y 2sin 2cos 3-= (6))cos (sin sin 2x x x y +=2.求下列函数的值域:(1)3sin 4sin 2+-=x x y (2)1sin cos 2+-=x x y3.已知函数12cos 2sin 3)(++=x x x f (1)求函数的周期;(2)当x 取何值时,函数有最大值与最小值,并求出最大值和最小值.4.已知函数1cos sin 23cos 212++=x x x y (1)求函数的周期;(2)当x 取何值时,函数有最大值与最小值.5.已知222sin -=θ且πθπ22<<,求)4sin(21sin 2cos 22πθθθ+--的值.6.已知函数)sin(ϕω+=x A y 的图象如下图所示:(1) 求函数周期;(2)求函数解析式.【五】三角函数综合测试 一、 单选题:1.(03年)若α是第二象限角,则下列命题中正确的是( )A.αααcos sin tan = B.αα2cos 1sin -=C.ααcos )cos(-=-D.απαsin )3sin(=- 2.(03年)函数x x y cot 2sin =的最小正周期是( )A.πB.2πC.23πD.2π3.(04年)︒960sin =( )A.-21 B.21C.-23D.23 4.(05年)若角α满足条件ααααcos sin ,0cos sin ><,则α在( ) A.第一象限 B.第二象限 C.第三象限 D.第四象限5.已知θθ,52cos =为第四象限角,则)3sin(θπ+=( )A.53B.- 53C.521D.- 5216.(06年)函数x x y 22sin cos -=的最大值是( ) A.2 B.2 C.0 D.17.(06年)设2tan =α,且0cos <α,则αsin =( ) A.-522 B. 522 C.-52 D.518.(07年)若21)sin(=+πθ,则)2cos(θπ-=( ) A.23 B.- 23 C.±23 D.±21 9.(08年)已知31sin -=α,α是第三象限角,则αtan =( )A.42 B.- 42 C.22 D.- 22 10.(10年)若函数)0(cos sin >⋅=ωωωx x y 的最小正周期为4π,则ω=( ) A.41 B.21C.2D.4 11.下列区间是函数)4sin(π+=x y 的单调增区间的是( )A.],2[ππB.]4,0[πC.]0,[π-D.]2,4[ππ 12.要得到)32sin(π+=x y 的图象,只需将函数x y 2sin =的图象( )A.向右平移3π个单位 B.向左平移3π个单位 C.向右平移6π个单位 D. 向左平移6π个单位13.设Z k ∈,正切函数x y tan =的定义域为( )A.R z k ∈B.)232,22(ππππ++k k z k ∈ C.)22,22(ππππ+-k k z k ∈ D.)2,2(ππππ+-k k z k ∈14.函数)4sin(π+=x y 取得最大值时,x =( )A.{}Z k k x x ∈=,2|πB.⎭⎬⎫⎩⎨⎧∈+=Z k k x x ,22|ππC.⎭⎬⎫⎩⎨⎧∈+=Z k k x x ,4|ππD.⎭⎬⎫⎩⎨⎧∈+=Z k k x x ,42|ππ15.下列函数周期为π的偶函数是( )A.|sin |x y =B.x x y 2cos 2sin +=C.x x y cos sin ⋅=D.x x y tan sin ⋅= 二、填空题:16.(03年)︒+︒15cot 15tan =17.(04年)βα,都是锐角,且βαsin sin >,则αcos 与βcos 的大小关系是18.(06年)若)2(53sin παπα<<=,则)6sin(πα+=19.(07年))4cos(cos sin πααα-+=20.(08年)=︒+︒15cos 15sin21.已知2tan =α,则=+)4tan(απ三、解答题:22.(03年)求函数1cos 2cos 21)(+-=x x x f 的最大值和最小值.23.(05年)已知21)4tan(=+απ,(1)求αtan 的值;(2)求ααα2cos 1cos 2sin 2+-的值.24.(06年)已知)20(1tan 12sin sin 22παααα<<=++,求ααcos sin +的值.25.(08年)正弦型函数)sin(ϕω+=x A y 在一个周期内的图象如图:(1)指出函数的周期;(2)写出函数的解析式.26.(09年)已知函数x x x x f 2cos cos sin 2)(+⋅=,(1)求)43(πf 的值;(2)若22)4(=αf 且23παπ<<,求αcos 的值.27.(10年)已知3tan -=θ,(1)求θ2tan 的值;(2)求)4sin(21sin 2cos 22θπθθ--+的值.(注:可编辑下载,若有不当之处,请指正,谢谢!)。