数学物理方法期末测验考试答案
- 格式:doc
- 大小:324.50 KB
- 文档页数:8
天津工业大学(2009—2010学年第一学期)《数学物理方法》(A)试卷解答2009.12 理学院)特别提示:请考生在密封线左侧的指定位置按照要求填写个人信息,若写在其它处视为作弊。
本试卷共有四道大题,请认真核对后做答,若有疑问请与监考教师联系。
一填空题(每题3分,共10小题)1. 复数 i e +1 的指数式为:i ee ;三角形式为:)1sin 1(cos i e + .2. 以复数 0z 为圆心,以任意小正实数ε 为半径作一圆,则圆内所有点的集合称为0z 点的 邻域 .3. 函数在一点可导与解析是 不等价的 (什么关系?).4. 给出矢量场旋度的散度值,即=⨯∇⋅∇f0 .-------------------------------密封线----------------------------------------密封线----------------------------------------密封线---------------------------------------学院专业班学号姓名装订线装订线装订线5. 一般说来,在区域内,只要有一个简单的闭合曲线其内有不属于该区域的点,这样的区域称为 复通区域 .6. 若函数)(z f 在某点0z 不可导,而在0z 的任意小邻域内除0z 外处处可导,则称0z 为)(z f 的 孤立奇点 .7. δ函数的挑选性为⎰∞∞-=-)()()(00t f d t f ττδτ.8. 在数学上,定解条件是指 边界条件 和初始条件 .9. 常见的三种类型的数学物理方程分别为 波动方程 、输运方程 和 稳定场方程 .10. 写出l 阶勒让德方程: 0)1(2)1(222=Θ++Θ-Θ-l l dx d x dxd x .二计算题(每小题7分,共6小题)1. 已知解析函数)(z f 的实部xy y x y x u +-=22),(,求该解析函数(0)0(=f ).解: y x u x +=2,x y u y +-=2,2=xx u ,2-=yy u . 0xx yy u u +=, (,)u x y 是调和函数. 2分 利用柯西-黎曼条件x y u v =,x y v u =-, 即,x y v x -=2,y x v y +=2, 2分 于是,⎰+++-=),()2()2(y x Cdy y x dx x y v⎰⎰+++-+++-=)0,()0,0(),()0,()2()2()2()2(x y x x C dy y x dx x y dy y x dx x yC x y xy +-+=22222. 2分所以,)21()(2iz z f -=. 1分2. 给出如图所示弦振动问题在0x 点处的衔接条件. 解:),0(),0(00t x u t x u +=-, 2分 0sin sin )(21=--ααT T t F , 2分 又因为),0(sin 011t x u tg x -=≈αα, ),0(sin 022t x u tg x +-=≈αα, 2分 所以,)(),0(),0(00t F t x Tu t x Tu x x -=--+. 1分3. 由三维输运方程推导出亥姆霍兹方程.解:三维输运方程为02=∆-u a u t (1分)分离时间变数t 和空间变数r,以)()(),(r v t T t r u= (2分) 上式代入方程,得v vTa T ∆='2 (1分)令上式等于同一常数2k -, 22k v vTa T -=∆=' (2分) 则得骇姆霍兹方程为02=+∆v k v (1分)4. 在00=z 邻域把m z z f )1()(+=展开(m 不是整数).解:先计算展开系数:m z z f )1()(+=, m f 1)0(=;)(1)1()(1z f zmz m z f m +=+='-; m m f 1)0(='; 2)1)(1()(-+-=''m z m m z f m m m f 1)1()0(-=''; 5分 )()1()1(2z f z m m +-=, 所以,m z )1(+在00=z 邻域上的泰勒级数为+-++=+21!2)1(1!11)1(z m m z m z m m m m ⎭⎬⎫⎩⎨⎧+-++= 2!2)1(!111z m m z m m . 2分5. 计算⎰=-22sin 21z zzdz.解: 因为4ππ±→n z (n 为整数,包括零),有0)sin 21(2→-z ,因此,40ππ±=n z 是极点.但是,在2=z 圆内的极点只有4π±.又由于1分4]sin 21)4[(lim 24πππ-=--→z z z z , 2分 4]sin 21)4[(lim 2πππ-=-+-→z z z z , 2分 所以, i sf sf i z zdz z 222)]4(Re )4([Re 2sin 21ππππ-=-+=-⎰=. 2分6. 求拉氏变换][cos t L ω,ω为常数. 解: )(21cos t i t i e e t ωωω-+=, sp e L st -=1][ 2分 ∴ ⎥⎦⎤⎢⎣⎡+=-)(21][cos t i t i e e L t L ωωω][21][21t i t i e L e L ωω-+= 2分 ⎥⎦⎤⎢⎣⎡++-=ωωi p i p 1121 2分 22ω+=p p0Re >p 1分三计算题求解两端固定均匀弦的定解问题 02=-xx tt u a u 00==x u,0==lx u,)(0x u t ϕ==,)(0x u t t ψ==.解: 设此问题的解为)()(),(t T x X t x u = 代入方程和初始条件,得 02=''-''T X a T X ,0)()0(=t T X ,0)()(=t T l X , 可得,X X Ta T ''=''2,0)0(=X ,0)(=l X , 令,λ-=''=''X X Ta T 2 所以,⎩⎨⎧===+''0)(,0)0(0l X X X X λ ,(本征值问题)02=+''T a T λ 下面先求解本征值问题:当0<λ时, xxe c e c x X λλ---+=21)(,由初始条件,得 021==c c , 因此,0),(≡t x u ,解无意义.当0=λ时, 21)(c x c x X +=, 同样由初始条件,得 021==c c , 因此,0),(≡t x u ,解无意义.当0>λ时, x c x c x X λλs i n c o s )(21+=, 由初始条件,得 01=c ,0sin 2=l c λ, 所以,0sin =l λ,即,πλn l = (n 为正整数),因此本征值为:222ln πλ= ,3,2,1=n本征函数为:lxn c x X πsin)(2=, 2c 为任意常数. 10分 方程02=+''T a T λ的解为:latn B l at n A t T ππsin cos )(+=, 因此,l x n l at n B l at n A t x u n n n πππsinsin cos ),(⎪⎭⎫ ⎝⎛+=, 此问题的通解为:l x n l at n B l at n A t x u t x u n n n n n πππsinsin cos ),(),(11⎪⎭⎫ ⎝⎛+==∑∑∞=∞=, 代入初始条件得∑∞==1)(sin n n x l xn A ϕπ,∑∞==1)(s i n n nx lxn l a n B ψππ, 所以,⎰=l n d l n l A 0s i n )(2ξπξξϕ, ⎰=l n d ln a n B 0s i n )(2ξπξξψπ. 10分四简答题给出泊松方程,并说明求解此方程的方法、步骤.解:泊松方程为:),,(zyxfu=∆ 3分令wvu+=,取v唯一特解, 2分则0=-=∆-∆=∆fuvuw 2分然后求解拉氏方程0=∆w得w。
数理方法概论试题及参考答案一、简答题(每小题5分,共20分)1. 写出高斯定理⎰⎰⋅∇=⋅SVdV d A S A2. 在斯托克斯定理()⎰⎰⋅⨯∇=⋅SLd A d S l A中, L 是式中那个量的边界线? 3. 定解问题包含那两部分?在数学上,边界条件和初始条件合称为定解条件,数学物理方程本身(不连带定解条件)叫做泛定方程.定解条件提出具体问题,泛定方程提供解决问题的依据,作为一个整体,叫做定解问题. 4. 边界条件有那几类?1) 直接规定边界上的值.这叫做第一类边界条件.()()t ,z ,y ,x f t ,z ,y ,x u S 000=2) 直接规定梯度在边界上的值.这叫做第二类边界条件.()t ,z ,y ,x f nu S000=∂∂3) 规定了边界上的数值与(外)法向导数在边界上的数值之间的一个线性关系.()t ,z ,y ,x f n u H u S 000=⎪⎭⎫ ⎝⎛∂∂+4) 除上述的边界条件外,在求解物理问题时,一般还会遇到所谓的自然边界条件.自然边界条件一般由物理问题本身提出,由于真实的物理量应该是有限的,而在无穷远或坐标原点处的数学的解往往会包含无穷大的解在内,这时从物理上考虑应该舍去这些解,这就构成了上述的自然边界条件.除此之外还有周期性自然边界条件.二、证明题(每小题20分,共40分)1. 证明 ϕϕ2∇≡∇⋅∇ 证: 2222222x y z x y z x y z ϕϕϕϕ⎛⎫⎛⎫∂∂∂∂∂∂∇⋅∇=++⋅++ ⎪ ⎪∂∂∂∂∂∂⎝⎭⎝⎭⎛⎫∂∂∂=++≡∇ ⎪∂∂∂⎝⎭xy z x y z e e e e e e 2. 证明不同阶的勒让德多项式在区间()11+-,上正交.()()()l k dx x P x P lk≠=⎰+-011证明:设本征函数k P 和l P 分别满足勒让德方程()()()()01101122=++⎥⎦⎤⎢⎣⎡-=++⎥⎦⎤⎢⎣⎡-l l k k P l l dx dP x dx d P k k dx dP x dx d前一式乘以l P ,后一式乘以k P ,然后相减得()()()()[]0111122=+-++⎥⎦⎤⎢⎣⎡--⎥⎦⎤⎢⎣⎡-l k l k k lP P l l k k dx dP x dx d P dx dP x dx d P 从1-到1+积分得()()()()11221101111k l l k k l dP dP d d P x P x dx k k l l P Pdx dx dx dx dx ++--⎧⎫⎡⎤⎡⎤=---++-+⎡⎤⎨⎬⎣⎦⎢⎥⎢⎥⎣⎦⎣⎦⎩⎭⎰⎰ ()()()()1122111111k l l k k l dP dP d x P x P dx k k l l P Pdx dx dx dx ++--⎧⎫=---++-+⎡⎤⎨⎬⎣⎦⎩⎭⎰⎰()()()()()()()()222211111111111111k l k l l k l k x x k l k l dP dP dP dP x P x P x P x P dx dx dx dx k k l l P Pdxk k l l P Pdx==-+-+-⎡⎤⎡⎤=-------⎢⎥⎢⎥⎣⎦⎣⎦++-+⎡⎤⎣⎦=+-+⎡⎤⎣⎦⎰⎰当l k ≠时即有:()110k lP Pdx k l +-=≠⎰三、计算题(每小题20分,共40分)1. 研究矩形波(见图1)1(0,)(2,(21))()1(,0)((21),2)m m f x m m ππππππ++⎧=⎨---⎩于以及于以及的频谱.解:根据()01cos sin k k k k x k x f x a a b l l ππ∞=⎛⎫=++ ⎪⎝⎭∑及()1cosln ln n a f d l lπξξξδ-=⎰ ()1sin l n l n b f d l lπξξξ-=⎰这里l π=可以求得:x()()000111(1)10222111cos (cos )cos 0n a f d d d a f n d n d n d ππππππππξξξξπππξξξξξξξπππ----==-+===-+=⎰⎰⎰⎰⎰⎰()[][]00122sin sin cos 22cos 1(1)1n nb f n d n d n n n n n ππππξξξξξξππππππ-===-⎡⎤=-+=--+⎣⎦⎰⎰当 220k n kb == 当 21421(21)k n k b k π+=+=+因此得到该函数的展开式为:04sin(21)()21k k xf x k π∞=+=+∑ 需要注意的是:由于所给函数是奇函数,所以展开式中只有sin 项而没有cos .如果所给函数是偶函数,那么展开式中就只有cos 项而没有sin 项.2. 求0=+''y y λ (0=+''ΦλΦ)满足自然周期条件()()x y x y =+π2 [()()φΦπφΦ=+2]的解.解:方程的系数()()λ==x q ,x p 0在指定的展开中心00=x ,单值函数(),x p 00=和()λ=0x q 是有限的,它们必然是有限的,它们必然在00=x 为解析的.因此,点00=x 是方程的常点.可设() +++++=k k x a x a x a a x y 2210从而()() ++++++='+k k x a k x a x a a x y 123211321()()() +++++⋅+⋅+⋅=''+k k x a k k x a x a a x y 2243212342312把以上的级数代入微分方程.至于()()λ==x q ,x p 0都是只有常数项的泰勒级数,无需再作展开.现在把各个幂次的项分别集合如下令上表各个幂次合并后的系数分别为零,得一系列方程01202=+⋅a a λ 02313=+⋅a a λ03424=+⋅a a λ 04534=+⋅a a λ............... ...............()()0122=++++kk a a k k λ最后一个式子是一般的.所有这些式子指出从kx 项的系数k a 可以推算出2+k x 项的系数2+k a ,因而叫做系数的递推公式.按照递推公式具体进行系数的递推.()()()()()()20312242053122120021112!3!434!545!11112!2!21!kk kkkkkkk k a a a a a a a a a a a a a a a k k k λλλλλλλλ++=-=-=-=+=-=+⋅⋅-=-=-=-=+这样,我们得到方程的解()()()()()()()()()()()()⎥⎦⎤⎢⎣⎡++-+-+-+⎥⎦⎤⎢⎣⎡-+-+-=+ 125312420!1211!51!31!211!41!211k k k kxk x x x a x k x x a x y λλλλλλλλ还需要确定这个级数的收敛半径.其实,上面两个[ ]正是cos θ和sin θ,其收敛半径为无穷大.于是()0y x a =既然1a 是任意常数,λ1a 当然还是任意常数,将λ1a 写成B ,0a 写成A ,则有()y x A B =+这个常微分方程和它的解实际早已知道,这里用级数方法只是为了了解级数解法的步骤.考虑到要满足自然周期条件()()x y x y =+π2则m =λ, 3210,,,m =.所以有解()cos sin y x A mx B mx =+。
………密………封………线………以………内………答………题………无………效……附:拉普拉斯方程02=∇u 在柱坐标系和球坐标系下的表达式 柱坐标系:2222222110u u u uzρρρρϕ∂∂∂∂+++=∂∂∂∂球坐标系:2222222111sin 0sin sin u u ur r r r r r θθθθθϕ∂∂∂∂∂⎛⎫⎛⎫++= ⎪ ⎪∂∂∂∂∂⎝⎭⎝⎭一、填空题36分(每空2分)1、 数量场2322u x z y z =+在点(2, 0, -1)处沿2423x xy z =-+l i j k 方向的方向导数是。
2、 矢量场()xyz x y z ==+A r r i +j k 在点(1, 3, 3)处的散度为 。
3、 面单连域内设有矢量场A ,若其散度0∇⋅A =,则称此矢量场为 。
4、 高斯公式Sd ⋅=⎰⎰ A S ;斯托克斯公式ld ⋅=⎰ A l 。
5、 将泛定方程和 结合在一起,就构成了一个定解问题。
只有初始条件,没有边界条件的定解问题称为 ;只有边界条件,没有初始条件的定解问题称为 ;既有边界条件,又有初始条件的定解问题称为 。
………密………封………线………以………内………答………题………无………效……6、 ()l P x 是l 次勒让德多项式,则11()()l l P x P x +-''-= ; m n =时,11()()mn P x P x dx -=⎰。
7、 已知()n J x 和()n N x 分别为n 阶贝塞尔函数和n 阶诺依曼函数(其中n 为整数),那么可知(1)()n H x = 。
(2)()n H x = 。
8、 定解问题2222000(0,0)|0,||0,|0x x ay y bu ux a y b x y u u V u u ====⎧∂∂+=<<<<⎪∂∂⎪⎪==⎨⎪==⎪⎪⎩的本征函数为 ,本征值为 。
物理数学方法试题及答案一、选择题(每题2分,共10分)1. 以下哪项不是傅里叶变换的性质?A. 线性B. 可逆性C. 尺度变换D. 能量守恒答案:D2. 拉普拉斯变换的收敛区域是:A. 左半平面B. 右半平面C. 全平面D. 虚轴答案:B3. 以下哪项是线性微分方程的特征?A. 可解性B. 唯一性C. 线性叠加原理D. 非线性答案:C4. 在复数域中,以下哪个表达式表示复数的模?A. |z|B. z^2C. z*zD. z/|z|答案:A5. 以下哪个函数是奇函数?A. f(x) = x^2B. f(x) = x^3C. f(x) = sin(x)D. f(x) = cos(x)答案:B二、填空题(每题3分,共15分)1. 傅里叶级数展开中,周期函数的系数可以通过______计算得到。
答案:傅里叶系数2. 拉普拉斯变换中,s = σ + jω代表的是______。
答案:复频域3. 线性微分方程的解可以表示为______的线性组合。
答案:特解4. 复数z = a + bi的共轭复数是______。
答案:a - bi5. 波动方程的一般解可以表示为______和______的函数。
答案:空间变量;时间变量三、简答题(每题5分,共20分)1. 简述傅里叶变换和拉普拉斯变换的区别。
答案:傅里叶变换主要用于处理周期信号,将时间域信号转换到频域;而拉普拉斯变换适用于非周期信号,将时间域信号转换到复频域。
2. 什么是波动方程?请给出其一般形式。
答案:波动方程是描述波动现象的偏微分方程,一般形式为∂²u/∂t² = c²∂²u/∂x²,其中u是波函数,c是波速。
3. 请解释什么是特征值和特征向量,并给出一个例子。
答案:特征值是线性变换中,使得变换后的向量与原向量方向相同(或相反)的标量。
特征向量则是对应的非零向量。
例如,对于矩阵A,如果存在非零向量v和标量λ,使得Av = λv,则λ是A的特征值,v是对应的特征向量。
《数学物理方法》试卷(A 卷)参考答案姓名: 学号:题号 一 二 三 四 五 六 七八 总分 得分注:本试卷共一页,共八大题。
答案请做在答题纸上,交卷时,将试题纸与答题纸填好姓名与学号,必须同时交齐,否则考卷作废!可能用到的公式:1). (2l +1)xP l (x )=lP l −1(x )+(l +1)P l+1(x ), 2). P 0(x )=1, P 1(x )=x ;3))(~)]([00k k f x f eF xik −=;4))]([1])([x f F ikd f F x=∫∞−ξξ; 5).])1(1[2sin )(I 333n ln l xdx l n x l x −−=−=∫ππ一、 简答下列各题。
(12分,每题6分)1. 试在复平面上画出3)arg(0π<−<i z ,4Re 2<<z 点集的区域。
解:如图阴影部分为所求区域 (6分)2. 填空题:函数3)2)(1()(i z z z f +−=是单值的还是多值的?多值的(1分);若是多值,是几值?3值(2分);其支点是什么?1,-2i ,∞(3分)。
二、 (9分) 试指出函数3sin )(zzz z f −=的奇点(含ㆀ点)属于哪一类奇点? 解:22112033)12()1(])12()1([1sin )(−∞=+∞=∑∑+−=+−−=−=n n nn n n n n n z n z z z z z z f (3分) z=0为f (z )的可去奇点;(3分)z=∞为f (z )的本性奇点;(3分)三、 (9分) 已知解析函数f (z ) = u (x ,y ) + iv (x ,y )的虚部v (x,y ) = cos x sh y , 求f (z )= ? 解:由C-R 条件x y x v yy x u y y x v x y x u ∂∂−=∂∂∂∂=∂∂),(),(,),(),( (3分)得 u x (x,y ) = v y (x,y ) = cos x ch y u y (x,y ) = −v x (x,y ) = sin x sh y (3分)高数帮帮数帮高数帮高f (z ) = f (x +iy ) = u (x ,y ) + iv (x ,y ) = sin x ch y +i cos x sh y + c上式中令 x=z, y=0, 则 f (z ) = f (z+i0) = sinz + c (3分)四、 (10分) 求积分dz z e I Lz∫−=6)1(其中曲线L 为(a)圆周21=z ;(b)圆周2=z 解:(a) 6)1()(−=z e z f z 在圆周21=z 内解析,I = 0;(5分) (b) 在圆周2=z 内有一奇点,I = 2πiRes f (1)= 2π i !52)1()1()!16(166551lim e i z e z dx d z z π=−−−→(5分) 五、 (10分) 计算拉普拉斯变换?]2sin [=t t L (提示:要求书写计算过程)解:已知 42]2[sin ,][sin 222+=+=p t L p t L 也即ωωω(2分) 由象函数微分定理)3(4)(4p4)(4p ]2sin []2sin )[()2(4)(4p )42(]2sin )[()3(,)()1()]()[(2222222分分分+=+−−=−=−∴+−=+=−−=−p p t t L t t L p p dp d t t L p f dp d t f t L nnnn六、 (15分) 将f (x )= (35/8)x 4 + 5x 3−(30/8)x 2 +(10/3)x +1展开为以{ P l (x ) }基的广义付里叶级数。
数学物理方程期末考试试题及答案一、求解方程(15分)⎪⎩⎪⎨⎧===-=+=-.)()(0002x u x u u a u at x at x xx tt ψϕ其中)0()0(ψϕ=。
解:设⎩⎨⎧+=-at x at x ηξ=则方程变为: 0=ξηu ,)()(at x G at x F u ++-=(8’)由边值条件可得:)()0()2(),()2()0(x G x F x x G F ψϕ=+=+由)0()0(ψϕ=即得:)0()2()2(),(ϕψϕ--++=at x at x t x u 。
二、利用变量分离法求解方程。
(15分)⎪⎩⎪⎨⎧==≥==∈=-====)(,)(,0,0,),(,00002x u x u t u u Q t x u a u t t t l x x xx tt ψϕ其中l x ≤≤0。
0>a 为常数解:设)()(t T x X u =代于方程得:0''=+X X λ,0''2=+T a T λ(8’)x C x C X λλsin cos21+=,at C at C T λλsin cos 21+=由边值条件得:21)(,0ln C πλ== lx n at A at B u n n n πλλsin)sin cos (1+=∑∞= ⎰=l n dx l x n x l B 0sin )(2πϕ,⎰=ln dx lx n x an A 0sin )(2πψπ 三.证明方程02=--cu u a u xx t )0(≥c 具有狄利克雷边界条件的初边值问题解的唯一性与稳定性. (15分)证明:设u e v ct -=代入方程:⎪⎩⎪⎨⎧====-=).(),(),(),0()(02102t g t l v t g t v x v v a v t xx t ϕ设21,v v 都是方程的解设21v v v -=代入方程得:⎪⎩⎪⎨⎧====-=0),(,),0(0002t l v t v v v a v t xx t由极值原理得0=v 唯一性得证。
大学数学专业《大学物理(下册)》期末考试试卷A卷附答案姓名:______ 班级:______ 学号:______考试须知:1、考试时间:120分钟,本卷满分为100分。
2、请首先按要求在试卷的指定位置填写您的姓名、班级、学号。
一、填空题(共10小题,每题2分,共20分)1、质量为的物体,初速极小,在外力作用下从原点起沿轴正向运动,所受外力方向沿轴正向,大小为。
物体从原点运动到坐标为点的过程中所受外力冲量的大小为_________。
2、同一种理想气体的定压摩尔热容大于定容摩尔热容,其原因是_______________________________________________。
3、一质点作半径为0.1m的圆周运动,其角位置的运动学方程为:,则其切向加速度大小为=__________第1秒末法向加速度的大小为=__________。
4、沿半径为R的圆周运动,运动学方程为 (SI) ,则t时刻质点的法向加速度大小为________;角加速度=________。
5、若静电场的某个区域电势等于恒量,则该区域的电场强度为_______________,若电势随空间坐标作线性变化,则该区域的电场强度分布为 _______________。
6、将热量Q传给一定量的理想气体:(1)若气体的体积不变,则热量转化为_____________________________。
(2)若气体的温度不变,则热量转化为_____________________________。
(3)若气体的压强不变,则热量转化为_____________________________。
7、一长直导线旁有一长为,宽为的矩形线圈,线圈与导线共面,如图所示. 长直导线通有稳恒电流,则距长直导线为处的点的磁感应强度为___________;线圈与导线的互感系数为___________。
8、设描述微观粒子运动的波函数为,则表示_______________________;须满足的条件是_______________________;其归一化条件是_______________________。
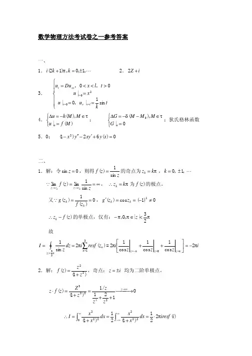
数学物理方法考试卷之一参考答案一、1.L ,1,0,)12(±=+k k i π 2.i Z +23.===><<====t k u u x u t l x Du u l x x x t xx t sin 1| ,0||0 ,0 ,020 4.=∈−=∆)(|),(M f u M M h u στ;=∈−−=∆0|),(0στδG M M M G ;狄氏格林函数 5.0; 0)(62)1(2=+′−′′−x y y x y x 二、1.解:令0sin =z ,则得zz f sin 1)(=的奇点为πk z k =,L ,1 ,0±=k ∞==→→zz f k kz z z z sin 1lim)(lim Q , πk z k =∴为)(z f 的极点。
又0)(1)(==k k z f z g Q ,0)1(cos )(≠−==′k k k z z g )(z f z k −∴的单极点,仅有:πππ23||,0,<∈−z故∫∑====ππ23||31)(2sin 1z n n z resf i dz z I =++==−=πππz z z zzzi cos 1cos 1cos 120i π2−= 2.解:)1()(22z z z f +=,奇点:i z ±= 均为二阶单极点。
0121/1)1()(24223 → ++=+=⋅∞→z z z z z Z z f z ∫∫∞∞∞−⋅=+=+=∴0222222)(221)1(21)1(i iresf dx x x dx x x I πiz i z i z z i z dz d i = +−−=2222)()()(π4)(23ππ=+⋅==iz i z iz i 三、 12112)1(11)(+−=+−+=+−=z z z z z z f ,奇点:1−=z 2|1|=−−=i R ,)1(111++−=+i i z z 故 ①在2||<−i z 中有: ∑∑∞=∞=++−−=−+−+=+−++=+001)1()()1()()1()1(111111111k k k k k kkk i i z i z i i i i z iz k k k i z iz f )()11(21)(01−+−+=∴∑∞=+,是Taylor 展开。
华南师范大学信息光电子科技学院2008-2009年(一)学期末考试试卷光电工程系《数学物理方法》试卷(A 卷)参考答案注:本试卷共一页,共八大题。
答案请做在答题纸上,交卷时,将试题纸与答题纸填好姓名与学号,必须同时交齐,否则考卷作废! 可能用到的公式:1). (2l +1)xP l (x )=lP l −1(x )+(l +1)P l+1(x ), 2). P 0(x )=1, P 1(x )=x ;3))(~)]([00k k f x f e F xik −=;4))]([1])([x f F ikd f F x=∫∞−ξξ; 5).])1(1[2sin )(I 333n ln l xdx l n x l x −−=−=∫ππ一、 简答下列各题。
(12分,每题6分)1. 试在复平面上画出3)arg(0π<−<i z ,4Re 2<<z 点集的区域。
解:如图阴影部分为所求区域 (6分)2. 填空题:函数3)2)(1()(i z z z f +−=是单值的还是多值的?多值的(1分);若是多值,是几值?3值(2分);其支点是什么?1,-2i ,∞(3分)。
二、 (9分) 试指出函数3sin )(zzz z f −=的奇点(含ㆀ点)属于哪一类奇点? 解:22112033)12()1(])12()1([1sin )(−∞=+∞=∑∑+−=+−−=−=n n nn n n n n n z n z z z z z z f (3分) z=0为f (z )的可去奇点;(3分)z=∞为f (z )的本性奇点;(3分)三、 (9分) 已知解析函数f (z ) = u (x ,y ) + iv (x ,y )的虚部v (x,y ) = cos x sh y , 求f (z )= ? 解:由C-R 条件xy x v y y x u y y x v x y x u ∂∂−=∂∂∂∂=∂∂),(),(,),(),( (3分)得 u x (x,y ) = v y (x,y ) = cos x ch y u y (x,y ) = −v x (x,y ) = sin x sh y (3分)du (x,y ) =u x (x,y )d x + u y (x,y )dy = cos x ch y dx + sin x sh y dy=d (sin x ch y ) f (z ) = f (x +iy ) = u (x ,y ) + iv (x ,y ) = sin x ch y +i cos x sh y + c上式中令 x=z, y=0, 则 f (z ) = f (z+i0) = sinz + c (3分)四、 (10分) 求积分dz z e I Lz∫−=6)1(其中曲线L 为(a)圆周21=z ;(b)圆周2=z 解:(a) 6)1()(−=z e z f z 在圆周21=z 内解析,I = 0;(5分) (b) 在圆周2=z 内有一奇点,I = 2πiRes f (1)= 2π i !52)1()1()!16(166551lim e i z e z dx d z z π=−−−→(5分) 五、 (10分) 计算拉普拉斯变换?]2sin [=t t L (提示:要求书写计算过程)解:已知 42]2[sin ,][sin 222+=+=p t L p t L 也即ωωω(2分) 由象函数微分定理)3(4)(4p4)(4p ]2sin []2sin )[()2(4)(4p )42(]2sin )[()3(,)()1()]()[(2222222分分分+=+−−=−=−∴+−=+=−−=−p p t t L t t L p p dp d t t L p f dp d t f t L nnnn六、 (15分) 将f (x )= (35/8)x 4 + 5x 3−(30/8)x 2 +(10/3)x +1展开为以{ P l (x ) }基的广义付里叶级数。
物理系 20 —20 学年第 学期期末考试《数学物理方法》试卷(A )考试时间:120分钟 考试方式:闭卷班级 专业 姓名 学号一、填空题(本大题共9题,每空2分,共24分) 1、写出复数1+3i 的三角式)3sin3(cos2ππi +,指数式e i32π。
2、z a z b -=-中z 代表复平面上位于ab 线段中垂线上点。
3、幂级数∑∞=⎪⎭⎫⎝⎛1k kk z 的收敛半径为 ∞。
4、复变函数),(),()(y x i y x z f υμ+=可导的充分必要条件yv x v y u x u ∂∂∂∂∂∂∂∂,,,存在,并且满足柯西-黎曼方程 。
5、e z在Z=0的邻域上的泰勒级数是(至少写出前三项)e z=......!3!2!1132++++z z z 。
6、若周期函数f (x )是奇函数,则可展为傅立叶正弦级数f (x )= lxk b k k πsin1∑∞=展开系数为ξπξξd lk f l b l k ⎰=0sin )(2 。
7、就奇点的类型而言,Z=∞是函数f(z)=ZZcos 的 可去 奇点,Z=0是函数的 单极 点。
8、三维波动方程形式2()0tt xx yy zz a μμμμ-++=。
9、拉普拉斯方程0u ∆=在球坐标系中的表达式为:2222222111sin 0.sin sin u u ur r r r r r θθθθθφ∂∂∂∂∂⎛⎫⎛⎫++= ⎪ ⎪∂∂∂∂∂⎝⎭⎝⎭。
二、简答题(本大题共3题,每题8分,共24分)1、 分别简述单通区域和复通区域下的柯西定理。
单通区域柯西定理:如果函数)(z f 在闭单通区域B 上解析,则沿B 上任一段光滑闭合曲线 ,有⎰=0)(dz z f ; (4分)复通区域柯西定理:如果函数)(z f 是闭复通区域上的单值解析函数,则⎰∑⎰==+ni idz z f dz z f 10)()(,式中 为区域外界境线,诸i为区域内界境线,积分均沿界境线正方向进行。
嘉应学院物理系《数学物理方法》B 课程考试题一、简答题(共70分)1、试阐述解析延拓的含义。
解析延拓的结果是否唯一?(6分)解析延拓就是通过函数的替换来扩大解析函数的定义域。
替换函数在原定义域上与替换前的函数相等。
无论用何种方法进行解析延拓,所得到的替换函数都完全等同。
2、奇点分为几类?如何判别?(6分)在挖去孤立奇点Zo而形成的环域上的解析函数F(z)的洛朗级数,或则没有负幂项,或则只有有限个负幂项,或则有无限个负幂项,我们分别将Zo称为函数F(z)的可去奇点,极点及本性奇点。
判别方法:洛朗级数展开法A,先找出函数f(z)的奇点;B,把函数在的环域作洛朗展开1)如果展开式中没有负幂项,则为可去奇点;2)如果展开式中有无穷多负幂项,则为本性奇点;3)如果展开式中只有有限项负幂项,则为极点,如果负幂项的最高项为,则为m阶奇点。
3、何谓定解问题的适定性?(6分)1,定解问题有解;2,其解是唯一的;3,解是稳定的。
满足以上三个条件,则称为定解问题的适定性。
4、什么是解析函数?其特征有哪些?(6分)在某区域上处处可导的复变函数称为该区域上的解析函数.1)在区域内处处可导且有任意阶导数.2)()()⎩⎨⎧==21,,CyxvCyxu这两曲线族在区域上正交。
3)()yxu,和()yxv,都满足二维拉普拉斯方程。
(称为共轭调和函数)4)在边界上达最大值。
4、数学物理泛定方程一般分为哪几类?波动方程属于其中的哪种类型?(6分)数学物理泛定方程一般分为三种类型:双曲线方程、抛物线方程、椭圆型偏微分方程。
波动方程属于其中的双曲线方程。
5、写出)(x δ挑选性的表达式(6分)()()()()()()⎪⎪⎪⎩⎪⎪⎪⎨⎧=-==-⎰⎰⎰∞∞∞-∞∞-)()()(00000R f dv R r r f f dx x x f x f dx x x x fδδδ6、写出复数231i +的三角形式和指数形式(8分)三角形式:()3sin3cos231cos sin 2321isin cos 222ππϕϕρϕϕρi i i+=++=+=+指数形式:由三角形式得:313πρπϕi ez ===7、求函数2)2)(1(--z z z在奇点的留数(8分)解:奇点:一阶奇点z=1;二阶奇点:z=21)2)(1()1(lim Re 21)1(=⎥⎦⎤⎢⎣⎡---=→z z zz sf z1)1(1lim )2)(1()2(!11limRe 22222)2(\-=⎥⎦⎤⎢⎣⎡--=⎥⎦⎤⎢⎣⎡---=→→z z z z z dz dsf z z8、求回路积分 dz zzz ⎰=13cos (8分)解:)(z f 有三阶奇点z=0(在积分路径内)[]21-cosz lim z cosz !21limRe 033220)0(\==⎥⎦⎤⎢⎣⎡=→→z z z dzd sf ∴原积分=i i sf i πππ-=-=)21(2)0(Re 29、计算实变函数定积分dx x x ⎰∞∞-++1142(8分)解:⎥⎦⎤⎢⎣⎡++⎥⎦⎤⎢⎣⎡+-⎥⎦⎤⎢⎣⎡-+⎥⎦⎤⎢⎣⎡--+=++=)1(22)1(22)1(22)1(22111)(242i z i z i z i z z z z z f它具有4个单极点:只有z=)1(22i --和z=)1(22i +在上半平面,其留数分别为:ππ2)221221(2I 221)1(22)1(22)1(221lim Re 221)1(22)1(22)1(221lim Re 20))1(22(\20))1(22(\=+=∴=⎥⎥⎥⎥⎥⎦⎤⎢⎢⎢⎢⎢⎣⎡⎥⎦⎤⎢⎣⎡++⎥⎦⎤⎢⎣⎡-+⎥⎦⎤⎢⎣⎡--+==⎥⎥⎥⎥⎥⎦⎤⎢⎢⎢⎢⎢⎣⎡⎥⎦⎤⎢⎣⎡++⎥⎦⎤⎢⎣⎡+-⎥⎦⎤⎢⎣⎡--+=→+→--iii i i z i z i z z sfi i z i z i z z sfz i z i10、求幂级数kk i z k)(11-∑∞= 的收敛半径(8分)111lim111limlim1≤-=+=+==∞→∞→+∞→i z kk k k a a R k k k k k 所以收敛圆为二、计算题(共30分)1、试用分离变数法求解定解问题(14分)⎪⎪⎩⎪⎪⎨⎧=-===><<=-====0,2/100,000002t t t l x x x x xx tt u x u u u t l x u a u令)()(),(t T x X t x u =,并代入方程得⎪⎩⎪⎨⎧===-0)()(0)()0(0''''2''t T l X t T X T X a XT 移项 λ-==X XT a T ''2'' ⎪⎩⎪⎨⎧===+0)(0)0(0''''l X X X X λ和02''=+T a T λxC x C x X C x C x X eC eC x X x xλλλλλλλsincos)(0)(0)(0212121+=+==+=---时,方程的解为:>在时,方程的解为:在时,方程的解为:<在由边界条件0)(0)0(''==l X X ,得:xl n C x X ln n l l C l C l C l X C C X xC x C x X CXx x X ππλπλλλλλλλλλλλλλλλcos)(0sinsincos)(000)0(sincos)(0(00)(01222121'22'21'==→=∴=≠=+-==≠==+===≡(否则方程无解),,时,>时,时,<)3,21(sin cos )()(000002''222,得:的方程代人和把=⎪⎩⎪⎨⎧+=+==+==n l at n B l at n A t T tB A t T T a T T ln n n nππλπλλx ln lat n B lat n A t B A t x U n n n πππcos)sincos(),(100+∑++=∴∞=由初始条件得⎪⎪⎩⎪⎪⎨⎧=∑+-=∑+∞=∞=0cos 21cos 1010x l n l a n B B x x l n A A nn n n πππ把右边的函数展成傅里叶余弦级数, 比较两边的系数得⎰⎰⎰⎰⋅=⋅-==-=ln ln llxdxl n an B xdxln x lA dx lB dxx lA 000cos02cos )21(201)21(1πππ得:⎪⎩⎪⎨⎧=+=-=∴-=-=)2(0)12(4)1(cos 22122220k n k n n l A n n l A l A n n πππxl n lat n n ll t x U n πππcoscos)4(21),(221-∑+-=∴∞=2、把下列问题转化为具有齐次边界条件的定解问题(不必求解)(6分)⎪⎪⎪⎩⎪⎪⎪⎨⎧===-==∆====0,sin 0),(000b y y a x x u a xB u u y b Ay u u π),(),(),(t x w t x v t x u +=令 ⎪⎪⎪⎩⎪⎪⎪⎨⎧=====+====0sin 00000by y a x x yy xx v a x B v v v v v ,,π ⎪⎪⎩⎪⎪⎨⎧===-==+====000)(000b y y ax x yyxx w w w y b Ay w w w ,,则,v ,w 都可以分别用分离变量法求解了。
大学数学专业《大学物理(下册)》期末考试试卷B卷含答案姓名:______ 班级:______ 学号:______考试须知:1、考试时间:120分钟,本卷满分为100分。
2、请首先按要求在试卷的指定位置填写您的姓名、班级、学号。
一、填空题(共10小题,每题2分,共20分)1、设作用在质量为1kg的物体上的力F=6t+3(SI).如果物体在这一力的作用下,由静止开始沿直线运动,在0到 2.0 s的时间间隔内,这个力作用在物体上的冲量大小I=__________________。
2、质量为m的物体和一个轻弹簧组成弹簧振子,其固有振动周期为T.当它作振幅为A的自由简谐振动时,其振动能量E=__________。
3、如图所示,一静止的均匀细棒,长为、质量为,可绕通过棒的端点且垂直于棒长的光滑固定轴在水平面内转动,转动惯量为。
一质量为、速率为的子弹在水平面内沿与棒垂直的方向射出并穿出棒的自由端,设穿过棒后子弹的速率为,则此时棒的角速度应为______。
4、一圆锥摆摆长为I、摆锤质量为m,在水平面上作匀速圆周运动,摆线与铅直线夹角,则:(1) 摆线的张力T=_____________________;(2) 摆锤的速率v=_____________________。
5、若静电场的某个区域电势等于恒量,则该区域的电场强度为_______________,若电势随空间坐标作线性变化,则该区域的电场强度分布为 _______________。
6、一束光线入射到单轴晶体后,成为两束光线,沿着不同方向折射.这样的现象称为双折射现象.其中一束折射光称为寻常光,它______________定律;另一束光线称为非常光,它___________定律。
7、某人站在匀速旋转的圆台中央,两手各握一个哑铃,双臂向两侧平伸与平台一起旋转。
当他把哑铃收到胸前时,人、哑铃和平台组成的系统转动的角速度_____。
8、一个中空的螺绕环上每厘米绕有20匝导线,当通以电流I=3A时,环中磁场能量密度w =_____________ .()9、沿半径为R的圆周运动,运动学方程为 (SI) ,则t时刻质点的法向加速度大小为________;角加速度=________。
大学数学专业《大学物理(下册)》期末考试试题A卷含答案姓名:______ 班级:______ 学号:______考试须知:1、考试时间:120分钟,本卷满分为100分。
2、请首先按要求在试卷的指定位置填写您的姓名、班级、学号。
一、填空题(共10小题,每题2分,共20分)1、长为、质量为的均质杆可绕通过杆一端的水平光滑固定轴转动,转动惯量为,开始时杆竖直下垂,如图所示。
现有一质量为的子弹以水平速度射入杆上点,并嵌在杆中. ,则子弹射入后瞬间杆的角速度___________。
2、均匀细棒质量为,长度为,则对于通过棒的一端与棒垂直的轴的转动惯量为_____,对于通过棒的中点与棒垂直的轴的转动惯量_____。
3、如图所示,一束自然光入射到折射率分别为n1和n2的两种介质的交界面上,发生反射和折射.已知反射光是完全偏振光,那么折射角r的值为_______________________。
4、四根辐条的金属轮子在均匀磁场中转动,转轴与平行,轮子和辐条都是导体,辐条长为R,轮子转速为n,则轮子中心O与轮边缘b之间的感应电动势为______________,电势最高点是在______________处。
5、设作用在质量为1kg的物体上的力F=6t+3(SI).如果物体在这一力的作用下,由静止开始沿直线运动,在0到 2.0 s的时间间隔内,这个力作用在物体上的冲量大小I=__________________。
6、两个相同的刚性容器,一个盛有氧气,一个盛氦气(均视为刚性分子理想气体)。
开始他们的压强和温度都相同,现将3J的热量传给氦气,使之升高一定的温度。
若使氧气也升高同样的温度,则应向氧气传递的热量为_________J。
7、已知质点的运动方程为,式中r的单位为m,t的单位为s。
则质点的运动轨迹方程,由t=0到t=2s内质点的位移矢量______m。
8、一条无限长直导线载有10A的电流.在离它 0.5m远的地方它产生的磁感强度B为____________。
姓名班级 学号 ………密……….…………封…………………线…………………内……..………………不……………………. 准…………………答…. …………题…2022年大学数学专业《大学物理(二)》期末考试试卷 含答案 考试须知:1、考试时间:120分钟,本卷满分为100分。
2、请首先按要求在试卷的指定位置填写您的姓名、班级、学号。
3、请仔细阅读各种题目的回答要求,在密封线内答题,否则不予评分。
一、填空题(共10小题,每题2分,共20分)1、一质点的加速度和位移的关系为且,则速度的最大值为_______________ 。
2、静电场中有一质子(带电荷) 沿图示路径从a 点经c 点移动到b 点时,电场力作功J .则当质子从b 点沿另一路径回到a 点过程中,电场力作功A =___________;若设a 点电势为零,则b 点电势=_________。
3、反映电磁场基本性质和规律的积分形式的麦克斯韦方程组为:( )。
①②③④试判断下列结论是包含于或等效于哪一个麦克斯韦方程式的.将你确定的方程式用代号填在相应结论后的空白处。
(1) 变化的磁场一定伴随有电场;__________________ (2) 磁感线是无头无尾的;________________________ (3) 电荷总伴随有电场.__________________________4、刚体绕定轴转动时,刚体的角加速度与它所受的合外力矩成______,与刚体本身的转动惯量成反比。
(填“正比”或“反比”)。
5、在热力学中,“作功”和“传递热量”有着本质的区别,“作功”是通过__________来完成的; “传递热量”是通过___________来完成的。
6、一个半径为、面密度为的均匀带电圆盘,以角速度绕过圆心且垂直盘面的轴线旋转;今将其放入磁感应强度为的均匀外磁场中,的方向垂直于轴线。
在距盘心为处取一宽度为的圆环,则该带电圆环相当的电流为________,该电流所受磁力矩的大小为________ ,圆________盘所受合力矩的大小为________。
天津工业大学(2009—2010学年第一学期)
《数学物理方法》(A)试卷解答2009.12 理学院)
特别提示:请考生在密封线左侧的指定位置按照要求填写个人信息,若写在其它处视为作弊。
本试卷共有四道大题,请认真核对后做答,若有疑问请与监考教师联系。
一
填空题(每题3分,共10小题)
1. 复数 i e +1 的指数式为:i ee ;
三角形式为:)1sin 1(cos i e + .
2. 以复数 0z 为圆心,以任意小正实数ε 为半径作一圆,则圆内所有点的集合称为0z 点的 邻域 .
3. 函数在一点可导与解析是 不等价的 (什么关系?).
4. 给出矢量场旋度的散度值,即=⨯∇⋅∇f ϖ
0 .
-------------------------------
密封线
----------------------------------------
密封线
----------------------------------------
密封线---------------------------------------
学院
专业班
学号
姓名
装订线
装订线
装订线
5. 一般说来,在区域内,只要有一个简单的闭合曲线其内有不属
于该区域的点,这样的区域称为 复通区域 .
6. 若函数)(z f 在某点0z 不可导,而在0z 的任意小邻域内除0z 外处处可导,则称0z 为)(z f 的 孤立奇点 .
7. δ函数的挑选性为
⎰
∞
∞
-=-)()()(00t f d t f ττδτ.
8. 在数学上,定解条件是指 边界条件 和
初始条件 .
9. 常见的三种类型的数学物理方程分别为 波动方程 、
输运方程 和 稳定场方程 .
10. 写出l 阶勒让德方程: 0)1(2)1(222
=Θ++Θ
-Θ-l l dx d x dx
d x .
二
计算题(每小题7分,共6小题)
1. 已知解析函数)(z f 的实部xy y x y x u +-=22),(,求该解析函数(0)0(=f ).
解: y x u x +=2,x y u y +-=2,2=xx u ,2-=yy u . 0xx yy u u +=, (,)u x y 是调和函数. 2分 利用柯西-黎曼条件
x y u v =,x y v u =-, 即,x y v x -=2,y x v y +=2, 2分 于是,
⎰+++-=
)
,()2()2(y x C
dy y x dx x y v
⎰
⎰+++-+
++-=
)
0,()
0,0()
,()
0,()2()2()2()2(x y x x C dy y x dx x y dy y x dx x y
C x y xy +-+=2
222
2. 2分
所以,)2
1()(2i
z z f -=. 1分
2. 给出如图所示弦振动问题在0x 点处的衔接条件. 解:
),0(),0(00t x u t x u +=-, 2分
0sin sin )(21=--ααT T t F , 2分
又因为
),0(sin 011t x u tg x -=≈αα, ),0(sin 022t x u tg x +-=≈αα, 2分 所以,
)(),0(),0(00t F t x Tu t x Tu x x -=--+. 1分
3. 由三维输运方程推导出亥姆霍兹方程.
解:三维输运方程为
02=∆-u a u t (1分)
分离时间变数t 和空间变数r ϖ
,以
)()(),(r v t T t r u ϖ
ϖ= (2分) 上式代入方程,得
v v
T
a T ∆='2 (1分)
令上式等于同一常数2k -, 2
2
k v v T
a T -=∆=' (2分) 则得骇姆霍兹方程为
02=+∆v k v (1分)
4. 在00=z 邻域把m z z f )1()(+=展开(m 不是整数).
解:先计算展开系数:
m z z f )1()(+=, m f 1)0(=;
)(1)1()(1z f z
m
z m z f m +=
+='-; m m f 1)0(='; 2)1)(1()(-+-=''m z m m z f m m m f 1)1()0(-=''; 5分
)()1()
1(2
z f z m m +-=
,
所以,m z )1(+在00=z 邻域上的泰勒级数为
+-++
=+21!
2)1(1!11)1(z m m z m z m m m m ⎭
⎬⎫
⎩⎨⎧+-+
+=Λ2!2)1(!111z m m z m m . 2分
5. 计算⎰
=-22sin 21z z
zdz
.
解: 因为4
π
π±→n z (n 为整数,包括零),有0)sin 21(2→-z ,因
此,40π
π±
=n z 是极点.但是,在2=z 圆内的极点只有4
π
±
.又由于
1分
4]sin 21)
4[(lim 2
4
π
π
π-=--
→z z z z , 2分 4]sin 21)
4[(lim 2π
π
π-=-+
-→z z z z , 2分
所以, i sf sf i z zdz z 2
22)]4
(Re )4([Re 2sin 21ππππ-=-+=-⎰=. 2分
6. 求拉氏变换][cos t L ω,ω为常数. 解: Θ )(2
1cos t i t
i e e t ωωω-+=
, s p e L st -=
1][ 2分 ∴ ⎥⎦
⎤
⎢⎣⎡+=-)(21][cos t i t i e e L t L ωωω
][2
1
][21t i t i e L e L ωω-+= 2分 ⎥⎦
⎤
⎢⎣⎡++-=
ωωi p i p 1121 2分 2
2ω
+=p p
0Re >p 1分
三
计算题
求解两端固定均匀弦的定解问题 02=-xx tt u a u 00
==x u
,0==l
x u
,
)(0x u t ϕ==,)(0
x u t t ψ==.
解: 设此问题的解为
)()(),(t T x X t x u = 代入方程和初始条件,得 02=''-''T X a T X ,
0)()0(=t T X ,0)()(=t T l X , 可得,
X X T
a T '
'=''2, 0)0(=X ,0)(=l X , 令,
λ-=''=''X X T
a T 2 所以,
⎩⎨⎧===+''0)(,0)0(0
l X X X X λ ,(本征值问题)
02=+''T a T λ 下面先求解本征值问题:
当0<λ时, x
x
e c e c x X λλ--
-+=21)(,
由初始条件,得 021==c c , 因此,0),(≡t x u ,解无意义.
当0=λ时, 21)(c x c x X +=, 同样由初始条件,得 021==c c , 因此,0),(≡t x u ,解无意义.
当0>λ时, x c x c x X λλsin cos )(21+=, 由初始条件,得 01=c ,0sin 2=l c λ, 所以,0sin =l λ,即,πλn l = (n 为正整数),
因此本征值为:22
2l
n πλ= Λ,3,2,1=n
本征函数为:l
x
n c x X πsin
)(2=, 2c 为任意常数. 10分 方程02=+''T a T λ的解为:l
at
n B l at n A t T ππsin
cos )(+=, 因此,
l x n l at n B l at n A t x u n n n πππsin sin cos ),(⎪⎭
⎫ ⎝⎛
+=, 此问题的通解为:
l x n l at n B l at n A t x u t x u n n n n n πππsin
sin cos ),(),(11⎪⎭⎫ ⎝
⎛
+==∑∑∞
=∞
=, 代入初始条件得
∑∞
==1
)(sin n n x l x
n A ϕπ, ∑∞
==1
)(sin n n
x l
x
n l a n B ψππ, 所以,
⎰=l n d l n l A 0sin )(2ξπξξϕ, ⎰=
l n d l
n a n B 0sin )(2ξπξ
ξψπ. 10分
四
简答题
给出泊松方程,并说明求解此方程的方法、步骤.
解: 泊松方程为:),,(z y x f u =∆ 3分 令 w v u +=,取v 唯一特解, 2分 则 0=-=∆-∆=∆f u v u w 2分 然后求解拉氏方程 0=∆w 得w 。
1分。