高中数学公式及知识点总结大全(精华版)
- 格式:doc
- 大小:137.50 KB
- 文档页数:28
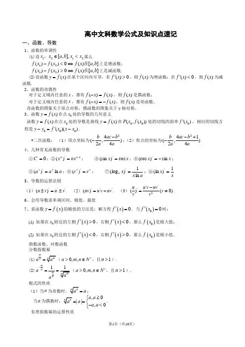
高中文科数学公式一、函数、导数1、函数的单调性(1)设2121],,[x x b a x x 、那么],[)(0)()(21b a x f x f x f 在上是增函数;],[)(0)()(21b a x f x f x f 在上是减函数.(2)设函数)(x f y 在某个区间内可导,若0)(x f ,则)(x f 为增函数;若0)(x f ,则)(x f 为减函数.2、函数的奇偶性对于定义域内任意的x ,都有)()(x f x f ,则)(x f 是偶函数;对于定义域内任意的x ,都有)()(x f x f ,则)(x f 是奇函数。
奇函数的图象关于原点对称,偶函数的图象关于y 轴对称。
3、函数)(x f y 在点0x 处的导数的几何意义函数)(x f y 在点0x 处的导数是曲线)(x f y 在))(,(00x f x P 处的切线的斜率)(0x f ,相应的切线方程是))((000x x x f y y.*二次函数:(1)顶点坐标为24(,)24b ac baa;(2)焦点的坐标为241(,)24b ac baa4、几种常见函数的导数①'C0;②1')(n n nxx ;③x x cos )(sin ';④x x sin )(cos ';⑤a a a xxln )(';⑥xxe e ')(;⑦ax x a ln 1)(log ';⑧xx 1)(ln '5、导数的运算法则(1)'''()uv uv . (2)'''()uv u vuv . (3)'''2()(0)uu v uv vvv.6、会用导数求单调区间、极值、最值7、求函数y f x 的极值的方法是:解方程0f x.当00fx 时:(1) 如果在0x 附近的左侧0f x ,右侧0f x ,那么0f x 是极大值;(2) 如果在0x 附近的左侧0f x,右侧0fx,那么0f x 是极小值.指数函数、对数函数分数指数幂(1)mnmn aa (0,,am nN ,且1n ). (2)11mnm nmnaaa(0,,am nN ,且1n ).根式的性质(1)当n 为奇数时,nnaa ;当n 为偶数时,,0||,0nna aaa a a.有理指数幂的运算性质(1)(0,,)r sr saaaa r s Q . (2) ()(0,,)rsrs a a a r s Q .(3)()(0,0,)rrrab a b abrQ .注:若a >0,p 是一个无理数,则a p 表示一个确定的实数.上述有理指数幂的运算性质,对于无理数指数幂都适用..指数式与对数式的互化式:log ba NbaN (0,1,0)aa N ..对数的换底公式 :log log log m a m N N a(0a ,且1a ,0m,且1m ,0N ).对数恒等式:log a Na N (0a ,且1a ,0N ). 推论log log m na a n bb m(0a,且1a ,0N).常见的函数图象k<0k>0y=kx+boyxa<0a>0y=ax2+bx+coyx-1-212y=x+1x oyx0<a<1a>11y=a xoyx0<a<1a>11y=log a xoyx二、三角函数、三角变换、解三角形、平面向量8、同角三角函数的基本关系式22sincos1,tan =cossin .9、正弦、余弦的诱导公式(奇变偶不变,符号看象限)k的正弦、余弦,等于的同名函数,前面加上把看成锐角时该函数的符号;2k的正弦、余弦,等于的余名函数,前面加上把看成锐角时该函数的符号。
高中数学公式及知识点总结大全(精华版)在高中数学学习中,掌握数学公式和知识点是至关重要的。
本文将为大家总结高中数学中常用的公式和知识点,旨在帮助同学们更好地学习和掌握数学知识,提高数学成绩。
一、基础知识点总结1. 直线与平面几何- 直线的方程:一般式、点斜式、两点式等- 直线与角的关系:平行线、垂直线等- 圆的性质:圆的方程、弧长、面积等2. 集合与不等关系- 集合的运算:并集、交集、差集等- 不等关系的性质:大于、小于、等于等3. 函数- 函数的性质:奇函数、偶函数、单调性等- 常用函数:一次函数、二次函数、指数函数等- 函数的图像及性质:拐点、极值点等二、常用公式总结1. 代数式与因式分解- (a+b)² = a²+2ab+b²- (a-b)² = a²-2ab+b²- a²-b² = (a+b)(a-b)2. 几何与三角函数- 三角函数基本关系:sin²θ+cos²θ=1- 角平分线定理:直角三角形中,垂直边上的高等于斜边上的高3. 二次函数与方程- 一元二次方程:ax²+bx+c=0- 二次函数顶点坐标:(-b/2a, -Δ/4a)三、高中数学实例应用1. 解析几何- 坐标系、直线、圆等的相关性质- 平面图形的运用:平行四边形、三角形、梯形等2. 统计与概率- 统计学基本概念:均值、方差、标准差等- 概率论基础知识:样本空间、事件的概率等通过本文的数学公式及知识点总结,希望能够帮助广大高中同学更深入地了解数学知识,提高学习成绩。
数学虽然有一定的难度,但只要勤奋学习、不断总结经验,相信大家一定能够在数学的道路上越走越远。
祝各位同学学习进步,取得优异成绩!。
高中文科数学公式及知识点速记一、函数、导数1、函数的单调性(1)设2121],,[x x b a x x <∈、那么],[)(0)()(21b a x f x f x f 在⇔<-上是增函数; ],[)(0)()(21b a x f x f x f 在⇔>-上是减函数.(2)设函数)(x f y =在某个区间内可导,若0)(>'x f ,则)(x f 为增函数;若0)(<'x f ,则)(x f 为减函数.2、函数的奇偶性对于定义域内任意的x ,都有)()(x f x f =-,则)(x f 是偶函数; 对于定义域内任意的x ,都有)()(x f x f -=-,则)(x f 是奇函数。
奇函数的图象关于原点对称,偶函数的图象关于y 轴对称。
3、函数)(x f y =在点0x 处的导数的几何意义函数)(x f y =在点0x 处的导数是曲线)(x f y =在))(,(00x f x P 处的切线的斜率)(0x f ',相应的切线方程是))((000x x x f y y -'=-.*二次函数: (1)顶点坐标为24(,)24b ac b a a --;(2)焦点的坐标为241(,)24b ac b a a-+- 4、几种常见函数的导数①'C 0=;②1')(-=n n nxx ; ③x x cos )(sin '=;④x x sin )(cos '-=;⑤a a a xx ln )('=;⑥xx e e =')(; ⑦a x x a ln 1)(log '=;⑧xx 1)(ln '= 5、导数的运算法则(1)'''()u v u v ±=±. (2)'''()uv u v uv =+. (3)'''2()(0)u u v uv v v v-=≠. 6、会用导数求单调区间、极值、最值7、求函数()y f x =的极值的方法是:解方程()0f x '=.当()00f x '=时: (1) 如果在0x 附近的左侧()0f x '>,右侧()0f x '<,那么()0f x 是极大值; (2) 如果在0x 附近的左侧()0f x '<,右侧()0f x '>,那么()0f x 是极小值. 指数函数、对数函数分数指数幂(1)m na =0,,a m n N *>∈,且1n >).(2)1m nm naa-==(0,,a m n N *>∈,且1n >).根式的性质(1)当na =; 当n,0||,0a a a a a ≥⎧==⎨-<⎩.有理指数幂的运算性质 (1) (0,,)rsr sa a aa r s Q +⋅=>∈.(0,1,0)a a N>≠>.1≠,0m>,且1m≠,0N>).).).89、正弦、余弦的诱导公式(奇变偶不变,符号看象限)α看成锐角时该函数的符号;α看成锐角时该函数的符号。
高中数学知识点总结及公式大全PDF一、代数1. 集合与函数- 集合的基本概念、运算及其性质- 函数的定义、性质和常见类型(如一次函数、二次函数、指数函数、对数函数、三角函数等)- 函数的图像和变换(平移、伸缩、对称等)2. 等式与不等式- 一元一次方程、一元二次方程的解法- 不等式的性质和解集表示- 解线性不等式和二次不等式3. 序列与数列- 等差数列和等比数列的通项公式和求和公式- 数列的极限概念及计算4. 多项式- 多项式的基本概念、运算性质- 多项式的因式分解- 二次方程的根与系数的关系5. 指数与对数- 指数运算法则、指数函数的图像和性质- 对数运算法则、对数函数的图像和性质- 换底公式及其应用二、几何1. 平面几何- 点、线、面的基本性质- 三角形、四边形的性质和计算- 圆的性质、圆的方程2. 立体几何- 空间几何体的性质和计算(如棱柱、棱锥、圆柱、圆锥、球等) - 空间向量及其在立体几何中的应用3. 解析几何- 直线和圆的解析方程- 圆锥曲线(椭圆、双曲线、抛物线)的方程和性质三、概率与统计1. 概率- 随机事件的概率定义和计算- 条件概率、独立事件- 随机变量及其分布(如二项分布、正态分布等)2. 统计- 数据的收集、整理和描述- 统计量(如平均数、中位数、众数、方差、标准差等)的计算和意义- 线性回归和相关性的基本概念四、微积分1. 导数- 导数的定义、几何意义和物理意义- 常见函数的导数公式- 导数的运算法则和应用(如极值问题、相关变化率问题等)2. 积分- 不定积分的概念、性质和基本积分表- 定积分的定义、性质和计算- 微积分基本定理及其应用公式大全1. 代数公式- 等差数列通项公式:\(a_n = a_1 + (n-1)d\)- 等比数列通项公式:\(a_n = a_1 \cdot q^{n-1}\)- 等差数列求和公式:\(S_n = \frac{n}{2} [2a_1 + (n-1)d]\) - 等比数列求和公式:\(S_n = \frac{a_1 - a_1q^n}{1 - q}\)(\(q \neq 1\))- 二次方程求根公式:\(x = \frac{-b \pm \sqrt{b^2 -4ac}}{2a}\)2. 几何公式- 直角三角形面积:\(S = \frac{1}{2}ab\)- 三角形面积(海伦公式):\(S = \sqrt{p(p-a)(p-b)(p-c)}\)(\(p\)为半周长)- 圆的周长:\(C = 2\pi r\)- 圆的面积:\(S = \pi r^2\)3. 概率统计公式- 二项分布概率公式:\(P(X=k) = \binom{n}{k} p^k (1-p)^{n-k}\)- 正态分布概率密度函数:\(f(x) =\frac{1}{\sqrt{2\pi\sigma^2}} e^{-\frac{(x-\mu)^2}{2\sigma^2}}\)4. 微积分公式- 导数公式:- 常数:\(\frac{d}{dx}c = 0\)- 幂函数:\(\frac{d}{dx}x^n = nx^{n-1}\) - 指数函数:\(\frac。
高中文科数学公式及知识点速记一、函数、导数1、函数的单调性(1)设2121],,[x x b a x x <∈、那么],[)(0)()(21b a x f x f x f 在⇔<-上是增函数; ],[)(0)()(21b a x f x f x f 在⇔>-上是减函数.(2)设函数)(x f y =在某个区间内可导,若0)(>'x f ,则)(x f 为增函数;若0)(<'x f ,则)(x f 为减函数.2、函数的奇偶性对于定义域内任意的x ,都有)()(x f x f =-,则)(x f 是偶函数; 对于定义域内任意的x ,都有)()(x f x f -=-,则)(x f 是奇函数。
奇函数的图象关于原点对称,偶函数的图象关于y 轴对称。
3、函数)(x f y =在点0x 处的导数的几何意义函数)(x f y =在点0x 处的导数是曲线)(x f y =在))(,(00x f x P 处的切线的斜率)(0x f ',相应的切线方程是))((000x x x f y y -'=-.*二次函数: (1)顶点坐标为24(,)24b ac b a a --;(2)焦点的坐标为241(,)24b ac b a a-+- 4、几种常见函数的导数①'C 0=;②1')(-=n n nxx ; ③x x cos )(sin '=;④x x sin )(cos '-=;⑤a a a xx ln )('=;⑥xx e e =')(; ⑦a x x a ln 1)(log '=;⑧xx 1)(ln '= 5、导数的运算法则(1)'''()u v u v ±=±. (2)'''()uv u v uv =+. (3)'''2()(0)u u v uv v v v -=≠. 6、会用导数求单调区间、极值、最值7、求函数()y f x =的极值的方法是:解方程()0f x '=.当()00f x '=时: (1) 如果在0x 附近的左侧()0f x '>,右侧()0f x '<,那么()0f x 是极大值; (2) 如果在0x 附近的左侧()0f x '<,右侧()0f x '>,那么()0f x 是极小值. 指数函数、对数函数分数指数幂(1)m na =0,,a m n N *>∈,且1n >).(2)1m nm naa-==(0,,a m n N *>∈,且1n >).根式的性质(1)当na =; 当n,0||,0a a a a a ≥⎧==⎨-<⎩.有理指数幂的运算性质(1) r sa a⋅=(2) ()r s rsa a=(3)()r rab a b=注:若a>0,指数幂都适用..(0,1,0)a a N>≠>..1a≠,0m>,且1m≠,0N>).对数恒等式:).推论logmnab).常见的函数图象822sin cosθθ+9απ±kα看成锐角时该函数的符号;αππ±+2kα看成锐角时该函数的符号。
高中数学知识点总结及公式大全(7篇)高中数学知识点总结及公式大全1空间两条直线只有三种位置关系:平行、相交、异面1、按是否共面可分为两类:(1)共面:平行、相交(2)异面:异面直线的定义:不同在任何一个平面内的两条直线或既不平行也不相交。
面外直线的判定定理:用平面内一点与平面外一点之间的直线,平面内不经过该点的直线为面外直线。
两异面直线所成的角:范围为(0°,90°)esp.空间向量法两异面直线间距离:公垂线段(有且只有一条)esp.空间向量法2、若从有无公共点的角度看可分为两类:(1)有且仅有一个公共点——相交直线;(2)没有公共点——平行或异面直线和平面的位置关系:直线和平面只有三种位置关系:在平面内、与平面相交、与平面平行①直线在平面内——有无数个公共点②直线和平面相交——有且只有一个公共点直线与平面的夹角:平面的对角线与其在该平面上的投影所形成的锐角。
高中数学知识点总结及公式大全2(一)导数第一定义设函数 y = f(x) 在点 x0 的某个领域内有定义,当自变量 x 在 x0 处有增量△x ( x0 + △x 也在该邻域内 ) 时,相应地函数取得增量△y = f(x0 + △x) - f(x0) ;如果△y 与△x 之比当△x→0 时极限存在,则称函数 y = f(x) 在点x0 处可导,并称这个极限值为函数 y = f(x) 在点 x0 处的导数记为 f(x0) ,即导数第一定义(二)导数第二定义设函数 y = f(x) 在点 x0 的某个领域内有定义,当自变量 x 在 x0 处有变化△x ( x - x0 也在该邻域内 ) 时,相应地函数变化△y = f(x) - f(x0) ;如果△y 与△x 之比当△x→0 时极限存在,则称函数 y = f(x) 在点 x0 处可导,并称这个极限值为函数 y = f(x) 在点 x0 处的导数记为f(x0) ,即导数第二定义(三)导函数与导数如果函数 y = f(x) 在开区间 I 内每一点都可导,就称函数f(x)在区间 I 内可导。
高中文科数学公式及知识点速记一、函数、导数1、函数的单调性(1)设2121],,[x x b a x x <∈、那么],[)(0)()(21b a x f x f x f 在⇔<-上是增函数; ],[)(0)()(21b a x f x f x f 在⇔>-上是减函数.(2)设函数)(x f y =在某个区间可导,若0)(>'x f ,则)(x f 为增函数;若0)(<'x f ,则)(x f 为减函数.2、函数的奇偶性对于定义域任意的x ,都有)()(x f x f =-,则)(x f 是偶函数; 对于定义域任意的x ,都有)()(x f x f -=-,则)(x f 是奇函数。
奇函数的图象关于原点对称,偶函数的图象关于y 轴对称。
3、函数)(x f y =在点0x 处的导数的几何意义函数)(x f y =在点0x 处的导数是曲线)(x f y =在))(,(00x f x P 处的切线的斜率)(0x f ',相应的切线方程是))((000x x x f y y -'=-.*二次函数: (1)顶点坐标为24(,)24b ac b a a --;(2)焦点的坐标为241(,)24b ac b a a-+- 4、几种常见函数的导数①'C 0=;②1')(-=n n nxx ; ③x x cos )(sin '=;④x x sin )(cos '-=;⑤a a a xx ln )('=;⑥xx e e =')(; ⑦a x x a ln 1)(log '=;⑧xx 1)(ln '= 5、导数的运算法则(1)'''()u v u v ±=±. (2)'''()uv u v uv =+. (3)'''2()(0)u u v uv v v v -=≠. 6、会用导数求单调区间、极值、最值7、求函数()y f x =的极值的方法是:解方程()0f x '=.当()00f x '=时: (1) 如果在0x 附近的左侧()0f x '>,右侧()0f x '<,那么()0f x 是极大值; (2) 如果在0x 附近的左侧()0f x '<,右侧()0f x '>,那么()0f x 是极小值. 指数函数、对数函数分数指数幂(1)m na =0,,a m n N *>∈,且1n >).(2)1m nm naa-==(0,,a m n N *>∈,且1n >).根式的性质(1)当na =; 当n,0||,0a a a a a ≥⎧==⎨-<⎩.有理指数幂的运算性质(1)r sa a⋅=(2) ()r s rsa a=(3)()r rab a b=注:若a>0,指数幂都适用..(0,1,0)a a N>≠>..1a≠,0m>,且1m≠,0N>).对数恒等式:).推论logmnab).常见的函数图象822sin cosθθ+9απ±kα看成锐角时该函数的符号;αππ±+2kα看成锐角时该函数的符号。
高中文科数学公式及知识点速记一、函数、导数1、函数的单调性(1)设2121],,[x x b a x x <∈、那么],[)(0)()(21b a x f x f x f 在⇔<-上是增函数; ],[)(0)()(21b a x f x f x f 在⇔>-上是减函数.(2)设函数)(x f y =在某个区间内可导,若0)(>'x f ,则)(x f 为增函数;若0)(<'x f ,则)(x f 为减函数.2、函数的奇偶性对于定义域内任意的x ,都有)()(x f x f =-,则)(x f 是偶函数; 对于定义域内任意的x ,都有)()(x f x f -=-,则)(x f 是奇函数。
奇函数的图象关于原点对称,偶函数的图象关于y 轴对称。
3、函数)(x f y =在点0x 处的导数的几何意义函数)(x f y =在点0x 处的导数是曲线)(x f y =在))(,(00x f x P 处的切线的斜率)(0x f ',相应的切线方程是))((000x x x f y y -'=-.*二次函数: (1)顶点坐标为24(,)24b ac b a a --;(2)焦点的坐标为241(,)24b ac b a a-+- 4、几种常见函数的导数①'C 0=;②1')(-=n n nxx ; ③x x cos )(sin '=;④x x sin )(cos '-=;⑤a a a xx ln )('=;⑥xx e e =')(; ⑦a x x a ln 1)(log '=;⑧xx 1)(ln '= 5、导数的运算法则(1)'''()u v u v ±=±. (2)'''()uv u v uv =+. (3)'''2()(0)u u v uv v v v -=≠. 6、会用导数求单调区间、极值、最值7、求函数()y f x =的极值的方法是:解方程()0f x '=.当()00f x '=时: (1) 如果在0x 附近的左侧()0f x '>,右侧()0f x '<,那么()0f x 是极大值; (2) 如果在0x 附近的左侧()0f x '<,右侧()0f x '>,那么()0f x 是极小值. 指数函数、对数函数分数指数幂(1)m na =0,,a m n N *>∈,且1n >).(2)1m nm naa-==(0,,a m n N *>∈,且1n >).根式的性质(1)当na =; 当n,0||,0a a a a a ≥⎧==⎨-<⎩.有理指数幂的运算性质(1) r sa a⋅=(2) ()r s rsa a=(3)()r rab a b=注:若a>0,指数幂都适用..(0,1,0)a a N>≠>..1a≠,0m>,且1m≠,0N>).对数恒等式:).推论logmnab).常见的函数图象822sin cosθθ+9απ±kα看成锐角时该函数的符号;αππ±+2kα看成锐角时该函数的符号。
高中数学知识点总结及公式大全1.函数与方程(1)函数的概念、性质及表示方法(2)一次函数、二次函数、幂函数、指数函数、对数函数的性质和图像(3)函数的运算(4)一次方程、二次方程、一元高次方程的解法(5)多项式方程、分式方程的解法(6)不等式的解法2.数列与数学归纳法(1)数列的概念及表示方法(2)等差数列和等比数列的性质和求和公式(3)递推数列与通项公式(4)数学归纳法的原理和应用3.几何与三角函数(1)平面几何的基本概念和性质(2)三角函数的基本概念和性质(3)三角恒等式与解三角方程(4)解三角形(5)平面向量的概念和运算(6)解向量的应用问题4.数与图的关系(1)直角坐标系与平面图形的性质(2)平面图形的对称性质与判定方法(3)空间图形的投影与视图(4)立体图形的表面积与体积5.概率与统计(1)概率的基本概念(2)古典概型与几何概型(3)事件的概率与计数原理(4)随机变量的概念和分布(5)统计的基本概念和方法(6)参数估计与假设检验1.一次函数的一般式方程:y=ax+b2.一次函数的斜率公式:a=(y2-y1)/(x2-x1)3.二次函数的一般式方程:y=ax^2+bx+c4.二次函数的顶点坐标公式:x= -b/(2a),y= -(b^2-4ac)/(4a)5.二次函数的判别式公式:△=b^2-4ac6.指数函数的定义域:(-∞,+∞)7.指数函数的性质:a^m * a^n= a^(m+n),a^(-n)=1/(a^n),(a^m)^n= a^(mn)8.对数函数的性质:log(xy)=log(x)+log(y),log(x/y)=log(x)-log(y),log(a^n)=nlog(a)9.等差数列的通项公式:an=a1+(n-1)d10.等差数列的求和公式:Sn=n/2(a1+an)11.等比数列的通项公式:an=a1*r^(n-1)12.等比数列的求和公式:Sn=a1(1-r^n)/(1-r)13.三角函数的互余关系:sin(π/2-θ)=cos(θ),tan(π/2-θ)=cot(θ),sec(π/2-θ)=csc(θ)14.三角函数的和差化积公式:sin(α±β)=sin(α)cos(β)±cos(α)sin(β),cos(α±β)=cos(α)cos(β)∓sin(α)sin(β)15.立体图形的表面积和体积的公式:长方体的表面积=2(ab+bc+ac),长方体的体积=abc,球体的表面积=4πr^2,球体的体积=(4/3)πr^3。
高中数学知识点总结及公式大全一、代数1.一次函数及相关知识一次函数的一般式方程为y=kx+b,其中k为斜率,b为截距。
与x轴交点:x=-b/k与y轴交点:y=b斜率的计算: k=(y2-y1)/(x2-x1)2.二次函数及相关知识二次函数的一般式方程为y=ax^2+bx+c,其中a≠0。
二次函数的顶点坐标为:(-b/2a, f(-b/2a)),其中f(x)=ax^2+bx+c。
二次函数的判别式为Δ=b^2-4ac,当Δ>0时,二次函数有两个实数解;当Δ=0时,二次函数有一个重复实数根;当Δ<0时,二次函数无实数解。
3.指数函数及对数函数指数函数的一般式方程为y=a^x,其中a>0且a≠1。
对数函数的一般式方程为y=logax,其中a>0且a≠1。
对数函数的性质:loga1=0,loga(a^x)=x,a^(logax)=x4.幂函数幂函数的一般式方程为y=x^a,其中a为常数。
5.绝对值函数绝对值函数的一般式方程为y=|x|。
6.组合函数组合函数即将一个函数的输出值作为另一个函数的输入值得到的新函数。
例如,若f(x)和g(x)均为函数,则(f∘g)(x)=f(g(x))。
7.多项式及相关知识n次多项式的一般式为:y=a_nx^n+a_(n-1)x^(n-1)+...+a1x+a0多项式的除法:对于多项式f(x)÷g(x),若g(x)≠0,则商多项式为q(x)、余式为r(x)且f(x)=g(x)q(x)+r(x)多项式的乘法:(a+b)·(c+d)=ac+ad+bc+bd8.解方程二元一次方程组求解:通过消元法、代入法、加减消去法等方法求解一元二次方程求解:可以通过配方法、公式法、因式分解等方法求解复杂方程求解:可以通过讨论函数单调性、先化为一次函数或二次函数等方法求解9.不等式一元一次不等式的解法:利用加减法、乘除法、绝对值法等方法求解一元二次不等式的解法:先将不等式化为标准形式,然后通过讨论函数的单调性、绘制函数图像、代数法等方法求解10.排列与组合排列:当n个人中取m个人,且彼此不考顺序,则排列数用P(m,n)表示,其计算公式为:P(m,n)=n!/(n-m)!组合:当n个人中取m个人,彼此不考顺序,则组合数用C(m,n)表示,其计算公式为:C(m,n)=n!/(m!(n-m)!)11.数列与数学归纳法数列的概念:数列是按一定顺序排列的一组数。
高中数学知识点总结及公式大全1. 代数1.1 代数运算1.1.1 加法运算•加法运算法则:如果a、b是实数,则a + b = b + a1.1.2 减法运算•减法运算法则:如果a、b是实数,则a - b ≠ b - a1.1.3 乘法运算•乘法运算法则:如果a、b是实数,则a * b = b * a1.1.4 除法运算•除法运算法则:如果a、b是实数且b≠0,则a / b ≠ b / a1.2 一元二次方程1.2.1 一元二次方程的定义•一元二次方程的标准形式为:ax^2 + bx + c = 0,其中a、b、c是已知实数,且a≠0。
1.2.2 一元二次方程求解公式•一元二次方程的求解公式为:x = (-b ± √(b^2 - 4ac)) / 2a1.3 等差数列1.3.1 等差数列的定义•等差数列是指一个数列中,从第二项起,每一项与它的前一项的差都相等。
1.3.2 等差数列的通项公式•等差数列的通项公式为:an = a1 + (n - 1)d,其中a1是首项,d是公差,n是项数。
1.4 等比数列1.4.1 等比数列的定义•等比数列是指一个数列中,从第二项起,每一项与它的前一项的比都相等。
1.4.2 等比数列的通项公式•等比数列的通项公式为:an = a1 * r^(n - 1),其中a1是首项,r是公比,n是项数。
2. 几何2.1 平面几何2.1.1 直线与平面的位置关系•平面与直线的位置关系有三种情况:平面与直线相交、平面与直线平行、平面与直线重合。
2.1.2 平行线的性质•平行线的性质包括:平行线不相交、平行线上的任意两点到另一平行线的距离相等、平行线的斜率相等。
2.2 空间几何2.2.1 点、直线、平面的位置关系•点、直线、平面的位置关系有三种情况:点在直线上、点在平面上、直线与平面的位置关系。
2.2.2 空间几何中的立体图形•空间几何中的立体图形包括:球体、立方体、圆锥、圆柱、棱柱等。
高中数学知识点总结及公式大全1、常用数学公式表(1)乘法与因式分解a2-b2=(a+b)(a-b);a3+b3=(a+b)(a2-ab+b2);a3-b3=(a-b)(a2+ab+b2)。
(2)三角不等式|a+b|≤|a|+|b|;|a-b|≤|a|+|b|;|a|≤b-b≤a≤b;|a-b|≥|a|-|b|-|a|≤a≤|a|。
(3)一元二次方程的解:-b+√(b2-4ac)/2a-b-b+√(b2-4ac)/2a。
(4)根与系数的关系:x1+x2=-b/ax1*x2=c/a,注:韦达定理。
(5)判别式1)b2-4a=0,注:方程有相等的两实根。
2)b2-4ac\u003e0,注:方程有一个实根。
3)b2-4ac\u003c0,注:方程有共轭复数根。
2、三角函数公式(1)两角和公式sin(a+b)=sinacosb+cosasinb;sin(a-b)=sinacosb-sinbcosa;cos(a+b)=cosacosb-sinasinb;cos(a-b)=cosacosb+sinasinb;tan(a+b)=(tana+tanb)/(1-tanatanb);tan(a-b)=(tana-tanb)/(1+tanatanb);ctg(a+b)=(ctgactgb-1)/(ctgb+ctga);ctg(a-b)=(ctgactgb+1)/(ctgb-ctga)。
(2)倍角公式tan2a=2tana/(1-tan2a);ctg2a=(ctg2a-1)/2ctga;cos2a=cos2a-sin2a=2cos2a-1=1-2sin2a。
(3)半角公式sin(a/2)=√((1-cosa)/2);sin(a/2)=-√((1-cosa)/2);cos(a/2)=√((1+cosa)/2);cos(a/2)=-√((1+cosa)/2);tan(a/2)=√((1-cosa)/((1+cosa));tan(a/2)=-√((1-cosa)/((1+cosa));ctg(a/2)=√((1+cosa)/((1-cosa));ctg(a/2)=-√((1+cosa)/((1-cosa))。
高中文科数学公式及知识点速记一、函数、导数 1、函数的单调性(1)设2121],,[x x b a x x <∈、那么],[)(0)()(21b a x f x f x f 在⇔<-上是增函数;],[)(0)()(21b a x f x f x f 在⇔>-上是减函数.(2)设函数)(x f y =在某个区间内可导,若0)(>'x f ,则)(x f 为增函数;若0)(<'x f ,则)(x f 为减函数.2、函数的奇偶性对于定义域内任意的x ,都有)()(x f x f =-,则)(x f 是偶函数;对于定义域内任意的x ,都有)()(x f x f -=-,则)(x f 是奇函数。
奇函数的图象关于原点对称,偶函数的图象关于y 轴对称。
3、函数)(x f y =在点0x 处的导数的几何意义函数)(x f y =在点0x 处的导数是曲线)(x f y =在))(,(00x f x P 处的切线的斜率)(0x f ',相应的切线方程是))((000x x x f y y -'=-.*二次函数: (1)顶点坐标为24(,)24b ac b a a --;(2)焦点的坐标为241(,)24b ac b a a-+-4、几种常见函数的导数①'C 0=;②1')(-=n n nx x ; ③x x cos )(sin '=;④x x sin )(cos '-=;⑤a a a x x ln )('=;⑥x x e e =')(; ⑦ax x a ln 1)(log '=;⑧x x 1)(ln '=5、导数的运算法则(1)'''()u v u v ±=±. (2)'''()uv u v uv =+. (3)'''2()(0)u u v uv v v v -=≠. 6、会用导数求单调区间、极值、最值7、求函数()y f x =的极值的方法是:解方程()0f x '=.当()00f x '=时: (1) 如果在0x 附近的左侧()0f x '>,右侧()0f x '<,那么()0f x 是极大值; (2) 如果在0x 附近的左侧()0f x '<,右侧()0f x '>,那么()0f x 是极小值.指数函数、对数函数 分数指数幂(1)m na =0,,a m n N *>∈,且1n >).(2)1mn m na a-==(0,,a m n N *>∈,且1n >).根式的性质(1)当na =;当n,0||,0a a a a a ≥⎧==⎨-<⎩.有理指数幂的运算性质(1) (0,,)r s r s a a a a r s Q +⋅=>∈.(2) ()(0,,)r s rs a a a r s Q =>∈.(3)()(0,0,)r r r ab a b a b r Q =>>∈.注: 若a >0,p 是一个无理数,则a p 表示一个确定的实数.上述有理指数幂的运算性质,对于无理数指数幂都适用..指数式与对数式的互化式: log b a N b a N =⇔=(0,1,0)a a N >≠>..对数的换底公式 :log log log m a m NN a=(0a >,且1a ≠,0m >,且1m ≠, 0N >).对数恒等式:log a N a N =(0a >,且1a ≠, 0N >). 推论 log log m n a a nb b m=(0a >,且1a ≠, 0N >). 常见的函数图象二、三角函数、三角变换、解三角形、平面向量 8、同角三角函数的基本关系式22sin cos 1θθ+=,tan θ=θθcos sin . 9、正弦、余弦的诱导公式(奇变偶不变,符号看象限)απ±k 的正弦、余弦,等于α的同名函数,前面加上把α看成锐角时该函数的符号;αππ±+2k 的正弦、余弦,等于α的余名函数,前面加上把α看成锐角时该函数的符号。
高中数学知识点总结及公式大全完整版一、函数1.函数概念函数是一种基本的数学工具,它是一种特殊的关系,用于将一组输入值映射到唯一的输出值上。
2.函数表示方法函数可以用各种不同的符号表示。
其中最常见的是:f(x)表示函数名为f,它的自变量为x,它的值为f(x)。
y=f(x)也表示函数名为f,它的自变量为x,它的值为y。
3.常见函数类型及其特征函数有各种不同的类型,包括:线性函数:y=kx+b,其中k和b是常数。
二次函数:y=ax²+bx+c,其中a、b和c是常数。
指数函数:y=aⁿ,其中a是常数,n是自变量。
对数函数:y=logaⁿ,其中a是常数,n是自变量。
三角函数:包括正弦函数、余弦函数和正切函数。
常数函数:f(x)=c,其中c是常数。
二、微积分1.导数导数是微积分的一个基本概念,它表示函数在某点的切线的斜率。
导数可以用极限的形式来定义:f’(x) = lim h→0 [f(x+h) - f(x)] / h其中,f’(x)表示函数f在点x处的导数,h是一个无穷小,表示x的变化量。
2.微分微分是导数的一种形式化表示。
如果f(x)是一个可导函数,那么它的微分可以用以下符号表示:dy/dx = f’(x)dx其中,dy/dx表示函数f在点x处的微分,dx是x的变化量。
3.积分积分是微积分的另一个基本概念,它代表了一个函数下方面积的大小。
积分可以用无限小的长方形面积的方式来定义:∫a^b f(x) dx = lim n→∞ Σ i=1->n [f(xi)∆x]其中,∫代表积分,a和b是积分区间的上下界,f(x)是被积函数,n是区间上长方形的数量,xi是每个长方形的左端点,∆x是区间的步进值。
三、三角学1.基本三角函数三角函数是指正弦、余弦和正切函数。
正弦函数的符号是sin(x),余弦函数的符号是cos(x),正切函数的符号是tan(x)。
2.三角恒等式三角恒等式是一组数学公式,可用于简化三角函数之间的关系。
高中文科数学公式一、函数、导数1、函数的单调性(1)设2121],,[x x b a x x <∈、那么],[)(0)()(21b a x f x f x f 在⇔<-上是增函数; ],[)(0)()(21b a x f x f x f 在⇔>-上是减函数.(2)设函数)(x f y =在某个区间内可导,若0)(>'x f ,则)(x f 为增函数;若0)(<'x f ,则)(x f 为减函数.2、函数的奇偶性对于定义域内任意的x ,都有)()(x f x f =-,则)(x f 是偶函数; 对于定义域内任意的x ,都有)()(x f x f -=-,则)(x f 是奇函数。
奇函数的图象关于原点对称,偶函数的图象关于y 轴对称。
3、函数)(x f y =在点0x 处的导数的几何意义函数)(x f y =在点0x 处的导数是曲线)(x f y =在))(,(00x f x P 处的切线的斜率)(0x f ',相应的切线方程是))((000x x x f y y -'=-.*二次函数: (1)顶点坐标为24(,)24b ac b a a --;(2)焦点的坐标为241(,)24b ac b a a-+- 4、几种常见函数的导数①'C 0=;②1')(-=n n nxx ; ③x x cos )(sin '=;④x x sin )(cos '-=;⑤a a a xx ln )('=;⑥xx e e =')(; ⑦a x x a ln 1)(log '=;⑧xx 1)(ln '= 5、导数的运算法则(1)'''()u v u v ±=±. (2)'''()uv u v uv =+. (3)'''2()(0)u u v uv v v v -=≠. 6、会用导数求单调区间、极值、最值7、求函数()y f x =的极值的方法是:解方程()0f x '=.当()00f x '=时: (1) 如果在0x 附近的左侧()0f x '>,右侧()0f x '<,那么()0f x 是极大值; (2) 如果在0x 附近的左侧()0f x '<,右侧()0f x '>,那么()0f x 是极小值. 指数函数、对数函数分数指数幂(1)m na =0,,a m n N *>∈,且1n >).(2)1m nm naa-==0,,a m n N *>∈,且1n >).根式的性质(1)当na =; 当n,0||,0a a a a a ≥⎧==⎨-<⎩.有理指数幂的运算性质(1) r sa a⋅=(2) ()r s rsa a=(3)()r rab a b=注:若a>0数指数幂都适用..(0,1,0)a a N>≠>..1a≠,0m>,且1m≠,0N>).对数恒等式:).推论logmnab).常见的函数图象822sin cosθθ+9απ±kα看成锐角时该函数的符号;αππ±+2kα看成锐角时该函数的符号。
高中数学公式及知识点总结大全高中数学是一门基础性强的科目,学好高中数学对于通识科学和深入学习其他专业课程都有很大帮助。
下面将为大家总结高中数学中的常用公式和知识点。
一、函数1、基本函数公式:①y=kx:直线函数,其中k为斜率,x为自变量,y为因变量。
②y=x²:二次函数,开口朝上,开口为a。
③y=-x²:二次函数,开口朝下,开口为-a。
④y=√x:开口朝上的平方根函数,变化率最大的点为(0,0)。
⑤y=-√x:开口朝下的平方根函数,没有定义域对应值为负数。
⑥y=a⁽ˣ⁾:指数函数,a>0且a≠1,a>1开口朝上,0<a<1开口朝下,变化率最大的点为(0,1)。
⑦y=logₐx:对数函数,a>0且a≠1,其中a称为底数,x称为实参,y称为虚参,定义域为x>0,变化速率最大的点为(1,0)。
2、函数的性质:①奇偶性:对于函数f(x),若f(-x)=f(x),则称f(x)为偶函数;若f(-x)=-f(x),则称f(x)为奇函数。
二次函数和正弦、余弦函数平移后仍为自身即线对称的,即偶函数。
②单调性:单调递增指自变量增大时,因变量也增大,反之为单调递减。
③最值点:函数图像上最高点和最低点,即最大值和最小值,由函数的导数为0时得到。
④零点:函数值为0的点。
⑤导数:函数在一点的切线斜率,表示为y=Δy/Δx,y'=f⁽x⁾表示x变化一单位,函数值变化的速率。
二、三角函数1、基本定义:弧度制:弧长等于半径的一部分。
三角函数:正弦、余弦、正切、余切、正割、余割2、基本公式:①正弦函数:y=Asin(Bx+C)+D②余弦函数:y=Acos(Bx+C)+D③正切函数:y=Atan(Bx+C)+D3、三角函数的运算:①和差化积公式:sin(a±b)=sinacosb±cosasinb,cos(a±b)=cosacosb-正bsinasinb②积化和差公式:sinacosb=1/2[cos(a-b)+cos(a+b)],sinasinb=1/2[cos(a-b)-cos(a+b)],cosacosb=1/2[cos(a+b)+cos(a-b)],sinacosb=1/2[sin(a+b)+sin(a-b)]4、三角函数的图像:正弦函数的图像为一条周期为$2π$的连续的曲线,最大值为1,最小值为-1;余弦函数也是周期为$2π$的连续曲线,最大值为1,最小值为-1;正切函数为无界函数,当$x=kπ-1/2π(k∈Z)$时,函数值不存在。