2018年数学三考试大纲
- 格式:doc
- 大小:84.00 KB
- 文档页数:13
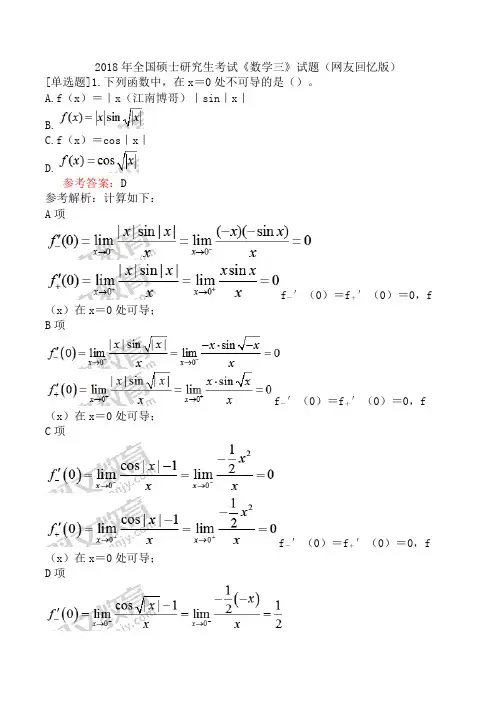
2018年全国硕士研究生考试《数学三》试题(网友回忆版)[单选题]1.下列函数中,在x=0处不可导的是()。
A.f(x)=|x(江南博哥)|sin|x|B.C.f(x)=cos|x|D.参考答案:D参考解析:计算如下:A项f-′(0)=f+′(0)=0,f (x)在x=0处可导;B项f-′(0)=f+′(0)=0,f (x)在x=0处可导;C项f-′(0)=f+′(0)=0,f (x)在x=0处可导;D项f-′(0)≠f+′(0),f(x)在x=0处不可导。
[单选题]2.设函数f(x)在[0,1]上二阶可导,且则()。
A.当f′(x)<0时,f(1/2)<0B.当f″(x)<0时,f(1/2)<0C.当f′(x)>0时,f(1/2)<0D.当f″(x)>0时,f(1/2)<0参考答案:D参考解析:通过举反例以排除错误选项:A项,在此令f(x)=-x+1/2,得到而f′(x)=-1<0,f(1/2)=0,故排除A项;B项,在此令f(x)=-x2+1/3,得到而f″(x)=-2<0,f(1/2)=-1/4+1/3=1/12>0,故排除B项;C项,在此令f(x)=x-1/2,得到而f′(x)=1>0,f(1/2)=0,故排除C 项;D项,由一阶泰勒公式得其中ξ∈(x,1/2)。
按照题意进行积分得若f″(x)>0,由f″(x)>0,则可知f(1/2)<0一定成立。
[单选题]3.则()。
A.M>N>KB.M>K>NC.K>M>ND.K>N>M参考答案:C参考解析:因为2x/(1+x2)是奇函数,故当x∈[-π/2,π/2]时,,得K>M,排除AB两项。
注意到当x≠0时,e x>1+x,则当x∈[-π/2,π/2]时,(1+x)/e x≤1(且不恒等于1),得N<M。
综上所述,K>M>N。
[单选题]4.设某产品的成本函数C(Q)可导,其中Q为产量,若产量为Q0时平均成本最小,则()。
A.C′(Q0)=0B.C′(Q0)=C(Q0)C.C′(Q0)=Q0C(Q0)D.Q0C′(Q0)=C(Q0)参考答案:D参考解析:平均成本(Q)=C(Q)/Q,又因为′(Q)=[QC′(Q)-C (Q)]/Q2,当Q=Q0时,平均成本最小,故′(Q0)=0,即Q0C′(Q0)-C (Q0)=0,则Q0C′(Q0)=C(Q0),因此选D。
2018年高考理科数学全国卷3(含答案与解析) 数学试卷 第1页(共20页) 数学试卷 第2页(共20页)绝密★启用前2018年普通高等学校招生全国统一考试(课标全国卷Ⅲ)理科数学本试卷满分150分,考试时间120分钟.第Ⅰ卷(选择题 共60分)一、选择题:本题共12小题,每小题5分,共60分.在每小题给出的四个选项中,只有一项是符合题目要求的.1.已知集合{10}A x x =-∣≥,{0,1,2}B =,则A B = ( )A .{0}B .{1}C .{1,2}D .{0,1,2} 2.()(1i 2i)+-=( )A .3i --B .3i -+C .3i -D .3i +3.中国古建筑借助榫卯将木构件连接起来.构件的凸出部分叫榫头,凹进部分叫卯眼,图中木构件右边的小长方体是榫头.若如图摆放的木构件与某一带卯眼的木构件咬合成长方体,则咬合时带卯眼的木构件的俯视图可以是( )ABC D 4.若1sin 3α=,则cos2α=( )A .89B .79C .79-D .89-5.252()x x+的展开式中4x 的系数为( )A .10B .20C .40D .806.直线2=0x y ++分别与x 轴,y 交于A ,B 两点,点P 在圆22(2)=2x y -+上,则ABP △面积的取值范围是( )A .[2,6 ]B .[4,8]C .[2,3 2 ]D [ 22,32] 7.函数422y x x =-++的图象大致为( )ABCD8.某群体中的每位成员使用移动支付的概率都为p ,各成员的支付方式相互独立.设X为该群体的10位成员中使用移动支付的人数, 2.4DX =,()6(4)P X P X ==<,则p =( )A .0.7B .0.6C .0.4D .0.39.ABC △的内角A ,B ,C 的对边分别为a ,b ,c .若ABC △的面积为2224,则C = ( )A .π2B .π3C .π4D .π6毕业学校_____________ 姓名________________ 考生号________________ ________________ _____________-------------在--------------------此--------------------卷--------------------上--------------------答--------------------题--------------------无--------------------效----------------数学试卷 第3页(共20页) 数学试卷 第4页(共20页)10.设A ,B ,C ,D 是同一个半径为4的球的球面上四点,ABC △为等边三角形且其面积为93,则三棱锥D ABC -体积的最大值为( )A .123B .183C .243D .54311.设1F ,2F 是双曲线C :22221(0,0)x y a b a b-=>>的左、右焦点,O 是坐标原点.过2F 作C 的一条渐近线的垂线,垂足为P .若1||6||PF OP =,则C 的离心率为 ( )A .5B .2C .3D .2 12.设0.2log 0.3a =,2log 0.3b =,则( )A .0a b ab +<<B .ab a b +<<0C .0a b ab +<<D .0ab a b +<<第Ⅱ卷(非选择题 共90分)二、填空题:本题共4小题,每小题5分,共20分.13.已知向量2)(1,=a ,)2(2,=-b ,),(1λ=c .若2()+∥c a b ,则=λ . 14.曲线)e (1xy ax =+在点(0,1)处的切线的斜率为2-,则a = .15函数π()cos(3)6f x x =+在[0,π]的零点个数为 .16.已知点1()1,M -和抛物线C :²4y x =,过C 的焦点且斜率为k 的直线与C 交于A ,B 两点.若90AMB ∠=,则k = .三、解答题:共70分.解答应写出文字说明、证明过程或演算步骤.第17~21题为必考题,每个试题考生都必须作答.第22、23题为选考题,考生根据要求作答.) (一)必考题:共60分. 17.(12分)等比数列{}n a 中,11a =,534a a =. (1)求{}n a 的通项公式;(2)记n S 为{}n a 的前n 项和.若63m S =,求m .18.(12分)某工厂为提高生产效率,开展技术创新活动,提出了完成某项生产任务的两种新的生产方式.为比较两种生产方式的效率,选取40名工人,将他们随机分成两组,每组20人.第一组工人用第一种生产方式,第二组工人用第二种生产方式.根据工人完成生产任务的工作时间(单位:min )绘制了如下茎叶图:(1)根据茎叶图判断哪种生产方式的效率更高,并说明理由;(2)求40名工人完成生产任务所需时间的中位数m ,并将完成生产任务所需时间超过超过m不超过m第一种生产方式 第二种生产方式(3)根据(2)中的列联表,能否有99%的把握认为两种生产方式的效率有差异?附:22()(a b)(c d)(a c)(b d)n ad bc K -=++++,2()P K k ≥0.050 0.010 0.001k3.841 6.635 10.82819.(12分)-------------在--------------------此--------------------卷--------------------上--------------------答--------------------题--------------------无--------------------效----------------2018年高考理科数学全国卷3(含答案与解析)数学试卷 第5页(共20页) 数学试卷 第6页(共20页)如图,边长为2的正方形ABCD 所在的平面与半圆弧CD 所在平面垂直,M 是CD 上异于C ,D 的点.(1)证明:平面AMD ⊥平面BMC ;(2)当三棱锥M ABC -体积最大时,求面MAB 与面MCD 所成二面角的正弦值.20.(12分)已知斜率为k 的直线l 与椭圆C :22143x y +=交于A ,B 两点,线段AB 的中点为(1,)()M m m >0.(1)证明:12k <-;(2)设F 为C 的右焦点,P 为C 上一点,且0FP FA FB ++=.证明:FA ,FP ,FB成等差数列,并求该数列的公差. 21.(12分)已知函数22()()ln(1)2f x a x x x x +=-++.(1)若0a =,证明:当10x -<<时,()0f x <;当0x >时,()0f x >; (2)若=0x 是()f x 的极大值点,求a .(二)选考题:共10分.请考生在第22、23题中任选一题作答.如果多做,则按所做的第一题计分.22.[选修4—4:坐标系与参数方程](10分)在平面直角坐标系xOy 中,O 的参数方程为cos ,sin x y θθ=⎧⎨=⎩(θ为参数),过点(0,2)且倾斜角为α的直线l 与O 交于A ,B 两点. (1)求α的取值范围;(2)求AB 中点P 的轨迹的参数方程.23.[选修4—5:不等式选讲](10分) 设函数()211f x x x =++-. (1)画出() y f x =的图象;(2)当[ 0),x ∈+∞,()b x f ax +≤,求a b +的最小值.毕业学校_____________ 姓名________________ 考生号________________ ________________ _____________数学试卷 第7页(共20页) 数学试卷 第8页(共20页)2018年普通高等学校招生全国统一考试(课标全国卷Ⅲ)理科数学答案解析第Ⅰ卷一、选择题 1.【答案】C【解析】∵={1}A x x |≥,{0,1,2}B =,∴={1,2}A B ,故选C .2.【答案】D【解析】21i 2i)(2i 2i i 3i )(+-=-+-=+,故选D . 3.【答案】A【解析】两个木构件咬合成长方体时,小长方体(榫头)完全嵌入带卯眼的木构件,易知俯视图可以为A .故选A . 4.【答案】B 【解析】由1sin 3α=,得22127cos212sin 12()=1=399αα=-=-⨯-.故选B .5.【答案】C【解析】252()x x+的展开式的通项251103155()(2)2r r r r r r r T C x x C x ---+==,令1034r -=,得2r =,所以4x 的系数为225240C ⨯=.故选C . 6.【答案】A【解析】由圆22(2)=2x y -+可得圆心坐标(2,0),半径r =ABP △的面积记为S ,点P 到直线AB 的距离记为d ,则有12S AB d =.易知AB =maxd ==min d =所以26S ≤≤,故选A .7.【答案】D【解析】∵42()2f x x x =-++,∴3()42f x x x '=-+,令()0f x '>,解得x <或x 0<此时,()f x 递增;令()0f x '<,解得x <0或x ,此时,()f x 递减.由此可得()f x 的大致图象.故选D . 8.【答案】B【解析】由题知~1()0,X B p ,则(101 2.4)DX p p =⨯⨯-=,解得0.4p =或0.6.又∵()6(4)P X P X ==<,即446664221010(1)(1)(1)0.5C P p C P p p p p --⇒-⇒<<>,∴0.6p =,故选B .9.【答案】C【解析】根据余弦定理得2222cos a b c ab C +-=,因为2224ABCa Sbc +-=△,所以c 42os ABC ab C S =△,又1sin 2ABC S ab C =△,所以tan 1C =,因为π()0,C ∈,所以4C π=.故选C .10.【答案】B【解析】设ABC △的边长为a ,则1sin60=932ABC S a a =△,解得6a =(负值舍去).ABC △的外接圆半径r 满足62sin60r=,得r =球心到平面ABC 的距离为2=.所以点D 到平面ABC 的最大距离为246+=,所以三棱锥DABC -体积的最大值为163⨯=故选B .11.【答案】C【解析】点2(,0)F c 到渐近线b y x a =的距离2(0)PF b b ==>,而2OF c =,所以在2Rt OPF △中,由勾股定理可得OP a ,所以1PF ==.在2Rt OPF △中,222cos PF b PF O OF c∠==,在12F F P△中,2222222121221246cos 22PF F F PF b c a PF O PF F F b c+-+-∠==⋅⋅2,所以222222463464b b c a b c a c bc +-=⇒=-,则有22223()46c a c a -=-值舍去),即e =.故选C .2018年高考理科数学全国卷3(含答案与解析)数学试卷 第9页(共20页) 数学试卷 第10页(共20页)12.【答案】B【解析】解法一:∵0.20.2log 0.3log 1=0a =>,22log 0.3log 1=0b =<,∴0ab <,排除C . ∵0.20.20log 0.3log 0.2=1<<,22log 0.3log 0.5=1-<,即01a <<,1b <-,∴0a b +<,排除D .∵220.2log 0.3lg0.2log 0.2log 0.3lg 2b a ===,∴2223log 0.3log 0.2log 12b b a -=-=<,∴1bb ab a b a+⇒+<<,排除A .故选B . 解法二:易知01a <<,1b -<,∴0ab <,0a b +<, ∵0.30.30.311log 0.2log 2log 0.41a b +=+=<, 即1a bab+<,∴a b ab +>, ∴0ab a b +<<.故选B .第Ⅱ卷二、填空题13.【答案】12【解析】由已知得2(4,2)+=a b .又,()1c λ=,2()+∥c a b ,所以42=0λ-,解得12λ=. 14.【答案】3-【解析】设(e ))1(x f x ax =+,则()()1e x f x ax a '=++,所以曲线在点(0,1)处的切线的斜率(0)12k f a '==+=-,解得3a =-. 15.【答案】3【解析】令()0f x =,得πcos(3)6x +,解得ππ+()39k x k =∈Z .当0k =时,π9x =;当1k =时,4π9x =;当2k =时,7π9x =,又[ 0,π]x ∈,所以满足要求的零点有3个.16.【答案】2【解析】解法一:由题意可知C 的焦点坐标为(1,0),所以过焦点(1,0),斜率为k 的直线方程为1y x k =+,设111,y A y k ⎛⎫+ ⎪⎝⎭,221,y B y k ⎛⎫+ ⎪⎝⎭,将直线方程与抛物线方程联立得21,4,y x k y x ⎧=+⎪⎨⎪=⎩整理得2440y y k --=,从而得124y y k +=,124y y =-.∵1()1,M -,90AMB ∠=,∴0MA MB =,即1212(2)(2)(1)(1)0y yy y k k+++--=,即2440k k -+=,解得2k =.解法二:设11A(,)x y ,22(),B x y ,则2112224,4,y x y x ⎧=⎨=⎩①②②-①得2221214()y y x x -=-,从而2121124y y x x k y y --+==.设AB 的中点为M ',连接MM '.∵直线AB 过抛物线24y x =的焦点,∴以线段AB 为直径的M '⊙与准线:1l x =-相切.∵1()1,M -,90AMB ∠=,∴点M 在准线:1l x =-上,同时在M '⊙上,∴准线l 是M '⊙的切线,切点M ,且MM l '⊥,即MM '与x 轴平行,∴点M '的纵坐标为1,即1212221y y y y =⇒++=,故124422y y k =+==. 故答案为:2. 三、解答题17.【答案】(1)解:设{}n a 的公比为q ,由题设得1n n a q -=.由已知得424q q =,解得0q =(舍去)或2q =-或2q =. 故1(2)n n a -=-或12n n a -=. (2)若1(2)n n a -=-,则1(2)3nn S --=.数学试卷 第11页(共20页) 数学试卷 第12页(共20页)由63m S =得(2)188m -=-.此方程没有正整数解.若12n n a -=,则21n n S =-.由63m S =得264m =,解得6m =. 综上,6m =.【解析】(1)解:设{}n a 的公比为q ,由题设得1n n a q-=.由已知得424q q =,解得0q =(舍去)或2q =-或2q =. 故1(2)n n a -=-或12n n a -=.(2)若1(2)n n a -=-,则1(2)3n n S --=.由63m S =得(2)188m -=-。
2018 年一般高等学校招生全国一致考试( Ⅰ卷 )文科数学注意事项:1.答卷前,考生务势必自己的九名、考生号等填写在答题卡和试卷指定地点上.2.回答选择题时,选出每题答案后,用铅笔把答题卡上对应题目的答案标号涂黑.如需变动,用橡皮擦洁净后,再选涂其余答案标号.回答非选择题时,将答案写在答题卡上,写在本试卷上无效.3.考试结束后,将本试卷和答题卡一并交回.一、选择题(此题共 12 小题,每题 5 分,共60 分.在每题给出的四个选项中,只有一项是切合题目要求的.)1.已知会合 A 0,2 ,B 2 , 1,0 ,1,2 ,则AIB ()A. 0,2 B. 1,2 C. 0 D. 2, 1,0 ,1,21 i,则 z ()2.设z 2i1 iA.0 B.1C. 1 D. 2 23.某地域经过一年的新乡村建设,乡村的经济收入增添了一倍.实现翻番.为更好地认识该地域乡村的经济收入变化状况,统计了该地域新乡村建设前后乡村的经济收入组成比率.获得以下饼图:则下边结论中不正确的选项是()A.新乡村建设后,栽种收入减少B.新乡村建设后,其余收入增添了一倍以上C.新乡村建设后,养殖收入增添了一倍D.新乡村建设后,养殖收入与第三家产收入的总和超出了经济收入的一半4.记 S n为等差数列a n的前n项和.若 3S3 S2 S4, a1 2 ,则 a3 ()A.12 B.10 C.10 D. 125.设函数 f x x 3a 1 x 2ax .若 f x 为奇函数, 则曲线 yf x 在点 0 ,0 处的切线方程为()A . y2xB . y xC . y 2xD . y x6.在 △ ABC 中, AD 为 BC 边上的中线,uuurE 为 AD 的中点,则 EB ()A . 3 uuur1 uuurB . 1 uuur 3 uuur4 AB4 AC 4 AB AC4 C . 3 uuur 1 uuur D . 1 uuur 3 uuur 4 AB4 AC4 AB AC47.某圆柱的高为 2,底面周长为 16,其三视图以下图,圆柱表面上的点 M 在正视图上的对应点为 A ,圆柱表面上的点 N 在左视图上的对应点为 B ,则在此圆柱 侧面上,从 M 到 N的路径中,最短路径的长度为( )A .2 17B .2 5C .3D .28.设抛物线 C :y24 x 的焦点为 F ,过点2 ,0 且斜率为2的直线与 C 交于 M , N 两点,3uuuur uuur ()则FM FNA .5B . 6C .7D . 89.已知函数 f xx, ≤0 , f xf x x a (),若 g x 存在 2 个零点, 则 a 的exln x ,x 0取值范围是A . 1,0B . ,C . 1,D . 1,10.下列图来自古希腊数学家希波克拉底所研究的几何图形,此图由三个半圆组成,三个半圆的直径分别为直角三角形ABC 的斜边 BC ,直角边 AB , AC , △ ABC 的三边所围成的地区记为Ⅰ,黑色部分记为Ⅱ,其余部分记为Ⅲ,在整个图形中随机取一点,此点取自Ⅰ,Ⅱ,Ⅲ的概率分别记为p 1 , p 2 , p 3 ,则( )A . p 1 p 2B . p 1 p 3C . p 2 p 3D . p 1 p 2p 3211.已知双曲线 C :xy 2 1 , O 为坐标原点, F 为 C 的右焦点,过 F 的直线与 C 的两条渐 3近线的交点分别为 M , N .若 △ OMN 为直角三角形,则 MN () A .3B . 3C .2 3D . 4212.设函数 f x2 x, ≤ 0,则知足 f x 1f 2x 的 x 的取值范围是()x 01,yA .,1B . 0,C . 1,0D . ,0二、填空题(此题共 4 小题,每题 5 分,共 20 分)13.已知函数 f xlog 2 x 2 a ,若 f 31 ,则 a________.x 2 y 2 ≤ 014.若 x ,y 知足拘束条件x ≥ 0 ,则 z3x 2 y 的最大值为 ________.y 1y ≤ 015.直线 y x 1 与圆 x 2y 2 2 y 3 0 交于 A ,B 两点,则 AB________ .16. △ ABC 的内角 A ,B ,C 的对边分别为 a ,b ,c ,已知 b sinC csin B4asin Bsin C ,b 2c 2 a 2 8 ,则 △ ABC 的面积为 ________.三、解答题(共70 分。
2018年考研数学三真题及答案一、 选择题1.下列函数中,在 0x =处不可导的是()().sin A f x x x = ().B f x x =().?C f x cos x = ().D f x =答案:() D 解析:方法一:()()()000sin 0limlim lim sin 0,x x x x x x f x f x x xx A →→→-===可导 ()()()0000limlim 0,x x x x f x f x x B →→→-===可导()()()20001cos 102limlim lim 0,x x x x x f x f x x C x→→→---===可导 ()()()000102limlim x x x x f f x xD x →→→--==不存在,不可导 应选()D . 方法二:因为()(1)0f f x ==()()000102lim lim x x x x f x f x x→→→--==不存在 ()f x ∴在0x =处不可导,选()D 对()():?A f x xsinx =在 0x =处可导 对()()32:~?B f x xx x =在 0x =处可导对()():x x C f cos =在 0x =处可导.2.设函数()f x 在[0,1]上二阶可导,且()10,f x dx =⎰则()()1'0,02A f x f ⎛⎫<<⎪⎝⎭当时 ()()1''0,02B f x f ⎛⎫<< ⎪⎝⎭当时 ()()1'0,02C f x f ⎛⎫><⎪⎝⎭当时 ()()1''0,02D f x f ⎛⎫>< ⎪⎝⎭当时 答案()D【解析】将函数()f x 在12处展开可得()()()()()222111000''1111',22222''1111111''',22222222f f x f f x x f f x dx ff x x dx f f x dx ξξξ⎛⎫⎛⎫⎛⎫⎛⎫=+-+- ⎪ ⎪⎪ ⎪⎝⎭⎝⎭⎝⎭⎝⎭⎡⎤⎛⎫⎛⎫⎛⎫⎛⎫⎛⎫⎛⎫=+-+-=+-⎢⎥ ⎪ ⎪⎪ ⎪ ⎪ ⎪⎝⎭⎝⎭⎝⎭⎝⎭⎝⎭⎝⎭⎢⎥⎣⎦⎰⎰⎰故当''()0f x >时,()1011.0.22f x dx f f⎛⎫⎛⎫>< ⎪ ⎪⎝⎭⎝⎭⎰从而有选()D 。
2018年普通高等学校招生全国统一考试新课标3卷理科数学注意事项:1.答卷前,考生务必将自己的姓名、准考证号填写在答题卡上。
2.回答选择题时,选出每小题答案后,用铅笔把答题卡上对应题目的答案标号涂黑。
如需改动,用橡皮擦干净后,再选涂其它答案标号,回答非选择题时,将答案写在答题卡上,写在本试卷上无效。
3.考试结束后,将本试卷和答案卡一并交回。
一、选择题:本题共12小题,每小题5分,共60分。
在每小题给出的四个选项中,只有一项是符合题目要求的。
1.已知集合A={x|x-1≥0},B={0,1,2},则A∩B=( )A.{0} B.{1} C.{1,2} D.{0,1,2}解析:选C2.(1+i)(2-i)=( )A.-3-i B.-3+i C.3-i D.3+i解析:选D3.中国古建筑借助榫卯将木构件连接起来,构件的凸出部分叫棒头,凹进部分叫卯眼,图中木构件右边的小长方体是棒头.若如图摆放的木构件与某一带卯眼的木构件咬合成长方体,则咬合时带卯眼的木构件的俯视图可以是( )解析:选A4.若sinα=13,则cos2α= ( )A.89B.79C.-79D.-89解析:选B cos2α=1-2sin2α=1-19 =895.(x2+2x)5的展开式中x4的系数为( )A.10 B.20 C.40 D.80解析:选C 展开式通项为T r+1=C5r x10-2r(2x)r= C5r2r x10-3r,r=2, T3= C5222x4,故选C6.直线x+y+2=0分别与x轴,y轴交于A,B两点,点P在圆(x-2)2+y2=2上,则ΔABP面积的取值范围是( ) A.[2,6] B.[4,8] C.[2,32] D.[22,32]解析:选A,线心距d=22,P到直线的最大距离为32,最小距离为2,|AB|=22,S min=2, S max=67.函数y=-x4+x2+2的图像大致为( )解析:选D 原函数为偶函数,设t=x 2,t ≥0,f(t)=-t 2+t+2,故选D8.某群体中的每位成员使用移动支付的概率都为p ,各成员的支付方式相互独立,设X 为该群体的10位成员中使用移动支付的人数,DX=2.4,P(X=4)<P(X=6),则p=( ) A .0.7 B .0.6 C .0.4 D .0.3解析:选B X ~B(10,p),DX=10p(1-p)=2.4,解得p=0.4或p=0.6,p=0.4时,p(X=4)=C 104(0.4)4(0.6)6>P(X=6)= C 106(0.4)6(0.6)4,不合。
洛阳市2018 届高中三年级第三次统一考试数学试卷(理)第Ⅰ卷(选择题,共60分)一、选择题:本大题共12个小题,每小题5分,共60分.在每小题给出的四个选项中,只有一项是符合题目要求的.1.设集合{|||2}A x Z x =∈≤,2{|1}B y y x ==-,则A B I 的子集个数为( ) A .4 B . 8 C . 16 D .32 2.已知复数534iz i=+(i 是虚数单位),则z 的共轭复数z 对应的点在( ) A .第四象限 B .第三象限 C .第二象限 D .第一象限 3.“lg lg m n >”是“11()()22m n <”的( ) A .充要条件 B .必要不充分条件 C .充分不必要条件 D .既不充分也不必要条件 4.设随机变量(1,1)X N :,其正态分布密度曲线如图所示,那么向正方形ABCD 中随机投掷10000个点,则落入阴影部分的点的个数的估计值是( )注:若2(,)X N μσ:,则()0.6826P X μσμσ-<<+≈,(22)0.9544P X μσμσ-<<+≈.A .6038B .6587 C.7028 D .75395.《九章算术》中的“竹九节”问题:现有一根9节的竹子,自上而下各节的容积成等差数列,上面4节的容积共3升,下面3节的容积共4升,现自上而下取第1,3,9节,则这3节的容积之和为( )A .133升B .176升 C.199 升 D .2512升 6.将函数()cos(2)4f x x π=-的图像向平移8π个单位,得到函数()g x 的图像,则下列说法不正确...的是( )A .1()62g π=B .()g x 在区间57(,)88ππ上是增函数 C.2x π=是()g x 图像的一条对称轴 D .(,0)8π-是()g x 图像的一个对称中心7.设双曲线22221(0,0)x y a b a b -=>>的左、右焦点分别为1F ,2F ,过1F 作倾斜角为3π的直线与y 轴和双曲线的右支分别交于点A 、B ,若11()2OA OB OF =+u u u r u u u r u u u r,则该双曲线的离心率为( )A .2B 2+ D 8.在ABC △中,点P 满足2BP PC =u u u r u u u r,过点P 的直线与AB ,AC 所在直线分别交于点M ,N ,若AM mAB =u u u u r u u u r ,(0,0)AN nAC m n =>>u u u r u u u r,则2m n +的最小值为( )A .3B .4 C.83 D .1039.若2017(12018)x -=220170122017a a x a x a x +++L ()x R ∈,则2017122017201820182018a a a+++L 的值为( )A .20172018B .1 C. 0 D .1-10.在三棱锥P ABC -中,PA ⊥平面ABC ,23BAC π∠=,3AP =,AB =Q 是边BC 上的一动点,且直线PQ 与平面ABC 所成角的最大值为3π,则三棱锥P ABC -的外接球的表面积为( )A .45πB .57π C. 63π D .84π11.记数列{}n a 的前n 项和为n S .已知11a =,1()2()n n n n S S a n N *+-=∈,则2018S =( )A .10093(21)- B .10093(21)2- C.20183(21)- D .20183(21)2-12.已知函数2()22ln x f x x e x=-与()2ln g x e x mx =+的图像有4个不同的交点,则实数m 的取值范围是( )A .(4,0)-B .1(,2)2 C. 1(0,)2D .(0,2)第Ⅱ卷(共90分)二、填空题:本大题共4个小题,每小题5分,共20分.13.阅读下面程序框图,运行相应程序,则输出i的值为 .14.设x,y 满足约束条件1020330x y x y x y -+≥⎧⎪-≤⎨⎪+-≤⎩,则||3y z x =+的最大值为 .15.已知一几何体的三视图如图所示,则该几何体的体积为 .16.已知椭圆的焦点为1(,0)F c -,2(,0)F c ,其中423cos c xdx π=⎰,直线l 与椭圆相切于第一象限的点P ,且与x ,y 轴分别交于点A ,B ,设O 为坐标原点,当AOB △的面积最小时,1260F PF ∠=︒,则此椭圆的方程为 .三、解答题 :本大题共6小题,共70分.解答应写出必要的文字说明、证明过程或演算步骤.17. 在ABC △中,内角A ,B ,C 的对边分别为a ,b ,c 且sin ()sin sin b B c b C a A +-=. (1)求角A 的大小; (2)若3sin sin 8B C =,且ABC △的面积为23,求a . 18. 如图,四边形ABCD 是矩形,沿对角线AC 将ACD △折起,使得点D 在平面ABC 内的摄影恰好落在边AB 上.(1)求证:平面ACD ⊥平面BCD ;(2)当2ABAD=时,求二面角D AC B --的余弦值. 19. 某次数学知识比赛中共有6个不同的题目,每位同学从中随机抽取3个题目进行作答,已知这6个题目中,甲只能正确作答其中的4个,而乙正确作答每个题目的概率均为23,且甲、乙两位同学对每个题目的作答都是相互独立、互不影响的. (1)求甲、乙两位同学总共正确作答3个题目的概率;(2)若甲、乙两位同学答对题目个数分别是m ,n ,由于甲所在班级少一名学生参赛,故甲答对一题得15分,乙答对一题得10分,求甲乙两人得分之和X 的期望. 20. 已知抛物线2:C y x =-,点A ,B 在抛物线上,且横坐标分别为12-,32,抛物线C 上的点P 在A ,B 之间(不包括点A ,点B ),过点B 作直线AP 的垂线,垂足为Q . (1)求直线AP 斜率k 的取值范围; (2)求|||PA PQ ⋅的最大值. 21. 已知函数2()(1)2x t f x x e x =--,其中t R ∈. (1)讨论函数()f x 的单调性;(2)当3t =时,证明:不等式1122()()2t f x x f x x x +-->-恒成立(其中1x R ∈,10x >).请考生在22、23两题中任选一题作答,如果多做,则按所做的第一题记分.22.选修4-4:坐标系与参数方程已知直线l 的极坐标方程为sin()4πρθ+=,现以极点O 为原点,极轴为x 轴的非负半轴建立平面直角坐标系,曲线1C 的参数方程为12cos 22sin x y ϕϕ=-+⎧⎨=-+⎩(ϕ为参数).(1)求直线l 的直角坐标方程和曲线1C 的普通方程;(2)若曲线2C 为曲线1C 关于直线l 的对称曲线,点A ,B 分别为曲线1C 、曲线2C 上的动点,点P 坐标为(2,2),求||||AP BP +的最小值. 23.选修4-5:不等式选讲已知函数()3|||31|f x x a x =-++,g()|41||2|x x x =--+.(1)求不等式()6g x <的解集;(2)若存在1x ,2x R ∈,使得1()f x 和2()g x 互为相反数,求a 的取值范围.试卷答案一、选择题1-5:CACBB 6-10: DCADB 11、12:AC二、填空题13. 4 14. 1 15. 1123π+ 16.221159x y += 三、解答题17.(1)由sin ()sin sin b B c b C a A +-=,由正弦定理得22()b c b c a +-=,即222b c bc a +-=,所以2221cos 22b c a A bc +-==,∴3A π=. (2)由正弦定理simA sin sin a b c B C ==,可得sin sin a B b A =,sin sin a Cc A=,所以1sin 2ABCS bc A =△1sin sin sin 2sin sin a B a CA A A=⋅⋅2sin sin 2sin a B C A ==.又3sin sin 8B C =,sin 2A =,∴28a =4a =. 18.(1)设点D 在平面ABC 上的射影为点E ,连接DE ,则DE ⊥平面ABC ,∴DE BC ⊥. ∵四边形ABCD 是矩形,∴AB BC ⊥,∴BC ⊥平面ABD ,∴BC AD ⊥.又AD CD ⊥,所以AD ⊥平面BCD ,而AD ⊂平面ACD ,∴平面ACD ⊥平面BCD .(2)以点B 为原点,线段BC 所在的直线为x 轴,线段AB 所在的直线为y 轴,建立空间直角坐标系,如图所示.设AD a =,则2AB a =,∴(0,2,0)A a ,(,0,0)C a . 由(1)知AD BD ⊥,又2ABAD=,∴30DBA ∠=︒,60DAB ∠=︒,∴cos AE AD DAB =⋅∠12a =,32BE AB AE a =-=,3sin DE AD DAB a =⋅∠=, ∴33(0,,)22D a a ,∴13(0,,)22AD a a =-u u u r ,(,2,0)AC a a =-u u u r . 设平面ACD 的一个法向量为(,,)m x y z =u r,则00m AD m AC ⎧⋅=⎪⎨⋅=⎪⎩u r u u u r u r u u u r ,即130220ay az ax ay ⎧-+=⎪⎨⎪-=⎩, 不妨取1z =,则3y =,23x =,∴(23,3,1)m =u r. 而平面ABC 的一个法向量为(0,0,1)n =r,∴cos ,m n u r r ||||m nm n ⋅=u r ru r r 222(23)(3)1=++14=.故二面角D AC B --的余弦值为14.19.(1)由题意可知共答对3题可以分为3种情况:甲答对1题乙答对2题;甲答对2题乙答对1题;甲答对3题乙答对0题.故所求的概率12224233621()()33C C P C C =⋅2112423361()3C C C C +⋅30343362131()()33135C C C +⋅=. (2)m 的所有取值有1,2,3.1242361(1)5C C P m C ===,2142363(2)5C C P m C ===,34361(3)5C P m C ===,故131()1232555E m =⨯+⨯+⨯=.由题意可知2(3,)3n B :,故2()323E n =⨯=.而1510X m n =+,所以()15()10()50E X E m E n =+=.20.(1)由题可知11(,)24A --,39(,)24B -,设2(,)p p P x x -,1322p x -<<,所以 21412p p x k x -+=+12p x =-+∈(1,1)-,故直线AP 斜率k 的取值范围是(1,1)-. (2)直线11:24AP y kx k =+-,直线93:042BQ x ky k ++-=,联立直线AP ,BQ 方程可知点Q的横坐标为223422Q k k x k --=+,||PQ =()Q p x x -22341()222k k k k --=+-+2=1||)2p PA x =+)k -,所以3||||(1)(1)PA PQ k k ⋅=-+,令3()(1)(1)f x x x =-+,11x -<<,则2'()(1)(24)f x x x =---22(1)(21)x x =--+,当112x -<<-时'()0f x >,当112x -<<时'()0f x <,故()f x 在1(1,)2--上单调递增,在1(,1)2-上单调递减. 故max 127()()216f x f =-=,即||||PA PQ ⋅的最大值为2716. 21.(1)由于'()()xxf x xe tx x e t =-=-.1)当0t ≤时,0x e t ->,当0x >时,'()0f x >,()f x 递增, 当0x <时,'()0f x <,()f x 递减;2)当0t >时,由'()0f x =得0x =或ln x t =.① 当01t <<时,ln 0t <,当0x >时,'()0f x >,()f x 递增,当ln 0t x <<时,'()0f x <,()f x 递减, 当ln x t <时,'()0f x >,()f x 递增; ② 当1t =时,'()0f x >,()f x 递增; ③当1t >时,ln 0t >.当ln x t >时,'()0f x >,()f x 递增, 当0ln x t <<时,'()0f x <,()f x 递减, 当0x <时,'()0f x >,()f x 递增.综上,当0t ≤时,()f x 在(,0)-∞上是减函数,在(0,)+∞上是增函数; 当01t <<时,()f x 在(,ln )t -∞,(0,)+∞上是增函数,在(ln ,0)t 上是减函数; 当1t =时,()f x 在(,)-∞+∞上是增函数;当1t >时,()f x 在(,0)-∞,(ln ,)t +∞上是增函数,在(0,ln )t 上是减函数. (2)依题意1212()()f x x f x x +--1212()()x x x x >--+,1212()()f x x x x ⇔+++1212()()f x x x x >-+-恒成立.设()()g x f x x =+,则上式等价于1212()()g x x g x x +>-, 要证明1212()()g x x g x x +>-对任意1x R ∈,2(0,)x ∈+∞恒成立, 即证明23()(1)2x g x x e x x =--+在R 上单调递增,又'()31x g x xe x =-+, 只需证明310x xe x -+≥即可.令()1xh x e x =--,则'()1xh x e =-, 当0x <时,'()0h x <,当0x >时,'()0h x >,∴min ()(0)0h x h ==,即x R ∀∈,1x e x ≥+,那么,当0x ≥时,2x xe x x ≥+,所以31x xe x -+≥2221(1)0x x x -+=-≥;当0x <时,1x e <,31x xe x x -+=1(3)0x e x-+>,∴310xxe x -+≥恒成立.从而原不等式成立.22.解:(1)∵sin()4πρθ+=,∴sin cos 22ρθρθ+=, 即cos sin 4ρθρθ+=,∴直线l 的直角坐标方程为40x y +-=;∵12cos 22sin x y ϕϕ=-+⎧⎨=-+⎩,∴曲线1C 的普通方程为22(1)(2)4x y +++=.(2)∵点P 在直线4x y +=上,根据对称性,||AP 的最小值与||BP 的最小值相等. 曲线1C 是以(1,2)--为圆心,半径2r =的圆.∴min 1||||AP PC r =-23==.所以||||AP BP +的最小值为236⨯=.23.解:(1)∵()g x =33,2151,24133,4x x x x x x ⎧⎪-+≤-⎪⎪---<≤⎨⎪⎪->⎪⎩,当2x ≤-时,336x -+<解得1x >-,此时无解.当124x -<≤时,516x --<,解得75x >-,即7154x -<≤. 当14x <时,336x -<,解得3x <,即134x <<,综上,()6g x <的解集为7{|3}5x x -<<. (2)因为存在1x ,2x R ∈,使得12()()f x g x =-成立.所以{|(),}y y f x x R =∈{|(),}y y g x x R =-∈≠∅I .又()3|||31|f x x a x =-++|(33)(31)||31|x a x a ≥--+=+,由(1)可知9()[,)4g x ∈-+∞,则9()(,]4g x -∈-∞. 所以9|31|4a +≤,解得1351212a -≤≤.故a 的取值范围为135[,]1212-.。
2018年高考文科数学全国卷3(含答案与解析)2018年普通高等学校招生全国统一考试课标全国卷III数学(文科)本试卷满分150分,考试时间120分钟。
第Ⅰ卷(选择题共60分)一、选择题:本题共12小题,每小题5分,共60分。
在每小题给出的四个选项中,只有一项是符合题目要求的。
1.已知集合$A=\{x|x-1\geq0\}$,$B=\{0,1,2\}$,则$AB=$A。
$\emptyset$ B。
$\{1\}$ C。
$\{1,2\}$ D。
$\{0,1,2\}$2.$(1+i)(2-i)=$A。
$-3-i$ B。
$-3+i$ C。
$3-i$ D。
$3+i$3.中国古建筑借助榫卯将木构件连接起来。
构件的凸出部分叫榫头,凹进部分叫卯眼,图中木构件右边的小长方体是榫头。
若如图摆放的木构件与某一带卯眼的木构件咬合成长方体,则咬合时带卯眼的木构件的俯视图可以是ABCD4.若$\sin\alpha=\frac{1}{3}$,则$\cos2\alpha=$A。
$\frac{8}{9}$ B。
$\frac{7}{99}$ C。
$-\frac{7}{9}$ D。
$-\frac{8}{9}$5.若某群体中的成员只用现金支付的概率为0.45,既用现金支付也用非现金支付的概率为0.15,则不用现金支付的概率为A。
0.3 B。
0.4 C。
0.6 D。
0.76.函数$f(x)=\frac{\tan x}{1+\tan^2x}$的最小正周期为A。
$\frac{\pi}{4}$ B。
$\frac{\pi}{2}$ C。
$\pi$ D。
$2\pi$7.下列函数中,其图象与函数$y=\ln x$的图象关于直线$x=1$对称的是A。
$y=\ln(1-x)$ B。
$y=\ln(2-x)$ C。
$y=\ln(1+x)$ D。
$y=\ln(2+x)$成任务的时间,得到以下数据:第一组:12.15.13.14.16.18.17.14.16.15.13.12.14.15.13.16.17.14.15.13第二组:16.17.14.18.15.16.13.14.15.16.17.15.14.16.15.17.15.16.18.141)分别计算两组工人完成任务的平均时间和标准差;2)根据以上数据,判断两种生产方式哪一种更有效,并说明理由.19.(12分)已知函数f(x)在区间[0,1]上连续,且f(0)=f(1)=0.证明:对于任意正整数n。
数学三考试大纲考试科目:微积分、线性代数、概率论与数理统计考试形式和试卷结构一、试卷满分及考试时间试卷满分为150分,考试时间为180分钟.二、答题方式答题方式为闭卷、笔试.三、试卷内容结构微积分约56%线性代数约22%概率论与数理统计约22%四、试卷题型结构单项选择题选题8小题,每小题4分,共32分填空题6小题,每小题4分,共24分解答题(包括证明题) 9小题,共94分微积分一、函数、极限、连续考试内容函数的概念及表示法函数的有界性、单调性、周期性和奇偶性复合函数、反函数、分段函数和隐函数基本初等函数的性质及其图形初等函数函数关系的建立数列极限与函数极限的定义及其性质函数的左极限和右极限无穷小量和无穷大量的概念及其关系无穷小量的性质及无穷小量的比较极限的四则运算极限存在的两个准则:单调有界准则和夹逼准则两个重要极限:函数连续的概念函数间断点的类型初等函数的连续性闭区间上连续函数的性质考试要求1.理解函数的概念,掌握函数的表示法,会建立应用问题的函数关系.2.了解函数的有界性、单调性、周期性和奇偶性.3.理解复合函数及分段函数的概念,了解反函数及隐函数的概念.4.掌握基本初等函数的性质及其图形,了解初等函数的概念.5.了解数列极限和函数极限(包括左极限与右极限)的概念.6.了解极限的性质与极限存在的两个准则,掌握极限的四则运算法则,掌握利用两个重要极限求极限的方法.7.理解无穷小量的概念和基本性质,掌握无穷小量的比较方法.了解无穷大量的概念及其与无穷小量的关系.8.理解函数连续性的概念(含左连续与右连续),会判别函数间断点的类型.9.了解连续函数的性质和初等函数的连续性,理解闭区间上连续函数的性质(有界性、最大值和最小值定理、介值定理),并会应用这些性质.二、一元函数微分学考试内容导数和微分的概念导数的几何意义和经济意义函数的可导性与连续性之间的关系平面曲线的切线与法线导数和微分的四则运算基本初等函数的导数复合函数、反函数和隐函数的微分法高阶导数一阶微分形式的不变性微分中值定理洛必达(L'Hospital)法则函数单调性的判别函数的极值函数图形的凹凸性、拐点及渐近线函数图形的描绘函数的最大值与最小值考试要求1.理解导数的概念及可导性与连续性之间的关系,了解导数的几何意义与经济意义(含边际与弹性的概念),会求平面曲线的切线方程和法线方程.2.掌握基本初等函数的导数公式、导数的四则运算法则及复合函数的求导法则,会求分段函数的导数,会求反函数与隐函数的导数.3.了解高阶导数的概念,会求简单函数的高阶导数.4.了解微分的概念、导数与微分之间的关系以及一阶微分形式的不变性,会求函数的微分.5.理解罗尔(Rolle)定理、拉格朗日( Lagrange)中值定理,了解泰勒(Taylor)定理、柯西(Cauchy)中值定理,掌握这四个定理的简单应用.6.会用洛必达法则求极限.7.掌握函数单调性的判别方法,了解函数极值的概念,掌握函数极值、最大值和最小值的求法及其应用.8.会用导数判断函数图形的凹凸性(注:在区间(a,b)内,设函数发f(x)具有二阶导数.当f n(x)>0时,f(x)的图形是凹的;当f n(x)<0时,f(x)的图形是凸的),会求函数图形的拐点以及水平、铅直和斜渐近线,会描绘函数的图形.9.会描述简单函数的图形.三、一元函数积分学考试内容原函数和不定积分的概念不定积分的基本性质基本积分公式定积分的概念和基本性质定积分中值定理积分上限的函数及其导数牛顿-莱布尼茨(Newton- Leibniz)公式不定积分和定积分的换元积分法与分部积分法反常(广义)积分定积分的应用考试要求1.理解原函数与不定积分的概念,掌握不定积分的基本性质和基本积分公式,掌握不定积分的换元积分法与分部积分法.2.了解定积分的概念和基本性质,了解定积分中值定理,理解积分上限的函数并会求它的导数,掌握牛顿-莱布尼茨公式以及定积分的换元积分法和分部积分法.3.会利用定积分计算平面图形的面积、旋转体的体积和函数的平均值,会利用定积分求解简单的经济应用问题.4.了解反常积分的概念,会计算反常积分.四、多元函数微积分学考试内容多元函数的概念二元函数的几何意义二元函数的极限与连续的概念有界闭区域上二元连续函数的性质多元函数偏导数的概念与计算多元复合函数的求导法与隐函数求导法二阶偏导数全微分多元函数的极值和条件极值、最大值和最小值二重积分的概念、基本性质和计算无界区域上简单的反常二重积分考试要求1.了解多元函数的概念,了解二元函数的几何意义.2.了解二元函数的极限与连续的概念,了解有界闭区域上二元连续函数的性质.3.了解多元函数偏导数与全微分的概念,会求多元复合函数一阶、二阶偏导数,会求全微分,会求多元隐函数的偏导数.4.了解多元函数极值和条件极值的概念,掌握多元函数极值存在的必要条件,了解二元函数极值存在的充分条件,会求二元函数的极值,会用拉格朗日乘数法求条件极值,会求简单多元函数的最大值和最小值,并会解决简单的应用问题.5.了解二重积分的概念与基本性质,掌握二重积分的计算方法(直角坐标、极坐标),了解无界区域上较简单的反常二重积分并会计算.五、无穷级数考试内容常数项级数的收敛与发散的概念收敛级数的和的概念级数的基本性质与收敛的必要条件几何级数与p级数及其收敛性正项级数收敛性的判别法任意项级数的绝对收敛与条件收敛交错级数与莱布尼茨定理幂级数及其收敛半径、收敛区间(指开区间)和收敛域幂级数的和函数幂级数在其收敛区间内的基本性质简单幂级数的和函数的求法初等函数的幂级数展开式考试要求1.了解级数的收敛与发散、收敛级数的和的概念.2.了解级数的基本性质及级数收敛的必要条件,掌握几何级数及p级数的收敛与发散的条件,掌握正项级数收敛性的比较判别法和比值判别法.3.了解任意项级数绝对收敛与条件收敛的概念以及绝对收敛与收敛的关系,了解交错级数的莱布尼茨判别法.4.会求幂级数的收敛半径、收敛区间及收敛域.5.了解幂级数在其收敛区间内的基本性质(和函数的连续性、逐项求导和逐项积分),会求简单幂级数在其收敛区间内的和函数.6.了解e x,sinx,cosx,ln(1+x),及(1+x)a的麦克劳林(Maclaurin)展开式.六、常微分方程与差分方程考试内容常微分方程的基本概念变量可分离的微分方程齐次微分方程一阶线性微分方程线性微分方程解的性质及解的结构定理二阶常系数齐次线性微分方程及简单的非齐次线性微分方程差分与差分方程的概念差分方程的通解与特解一阶常系数线性差分方程微分方程的简单应用考试要求1.了解微分方程及其阶、解、通解、初始条件和特解等概念.2.掌握变量可分离的微分方程、齐次微分方程和一阶线性微分方程的求解方法.3.会解二阶常系数齐次线性微分方程.4.了解线性微分方程解的性质及解的结构定理,会解自由项为多项式、指数函数、正弦函数、余弦函数的二阶常系数非齐次线性微分方程.5.了解差分与差分方程及其通解与特解等概念.6.了解一阶常系数线性差分方程的求解方法.7.会用微分方程求解简单的经济应用问题.线性代数一、行列式考试内容行列式的概念和基本性质行列式按行(列)展开定理考试要求1.了解行列式的概念,掌握行列式的性质.2.会应用行列式的性质和行列式按行(列)展开定理计算行列式.二、矩阵考试内容矩阵的概念矩阵的线性运算矩阵的乘法方阵的幂方阵乘积的行列式矩阵的转置逆矩阵的概念和性质矩阵可逆的充分必要条件伴随矩阵矩阵的初等变换初等矩阵矩阵的秩矩阵的等价分块矩阵及其运算考试要求1.理解矩阵的概念,了解单位矩阵、数量矩阵、对角矩阵、三角矩阵的定义及性质,了解对称矩阵、反对称矩阵及正交矩阵等的定义和性质.2.掌握矩阵的线性运算、乘法、转置以及它们的运算规律,了解方阵的幂与方阵乘积的行列式的性质.3.理解逆矩阵的概念,掌握逆矩阵的性质以及矩阵可逆的充分必要条件,理解伴随矩阵的概念,会用伴随矩阵求逆矩阵.4.了解矩阵的初等变换和初等矩阵及矩阵等价的概念,理解矩阵的秩的概念,掌握用初等变换求矩阵的逆矩阵和秩的方法.5.了解分块矩阵的概念,掌握分块矩阵的运算法则.三、向量考试内容向量的概念向量的线性组合与线性表示向量组的线性相关与线性无关向量组的极大线性无关组等价向量组向量组的秩向量组的秩与矩阵的秩之间的关系向量的内积线性无关向量组的正交规范化方法考试要求1.了解向量的概念,掌握向量的加法和数乘运算法则.2.理解向量的线性组合与线性表示、向量组线性相关、线性无关等概念,掌握向量组线性相关、线性无关的有关性质及判别法.3.理解向量组的极大线性无关组的概念,会求向量组的极大线性无关组及秩.4.理解向量组等价的概念,理解矩阵的秩与其行(列)向量组的秩之间的关系.5.了解内积的概念.掌握线性无关向量组正交规范化的施密特(Schmidt)方法.四、线性方程组考试内容线性方程组的克拉默(Cramer)法则线性方程组有解和无解的判定齐次线性方程组的基础解系和通解非齐次线性方程组的解与相应的齐次线性方程组(导出组)的解之间的关系非齐次线性方程组的通解考试要求1.会用克拉默法则解线性方程组.2.掌握非齐次线性方程组有解和无解的判定方法.3.理解齐次线性方程组的基础解系的概念,掌握齐次线性方程组的基础解系和通解的求法.4.理解非齐次线性方程组解的结构及通解的概念.5.掌握用初等行变换求解线性方程组的方法.五、矩阵的特征值和特征向量考试内容矩阵的特征值和特征向量的概念、性质相似矩阵的概念及性质矩阵可相似对角化的充分必要条件及相似对角矩阵实对称矩阵的特征值和特征向量及相似对角矩阵考试要求1.理解矩阵的特征值、特征向量的概念,掌握矩阵特征值的性质,掌握求矩阵特征值和特征向量的方法.2.理解矩阵相似的概念,掌握相似矩阵的性质,了解矩阵可相似对角化的充分必要条件,掌握将矩阵化为相似对角矩阵的方法.3.掌握实对称矩阵的特征值和特征向量的性质.六、二次型考试内容二次型及其矩阵表示合同变换与合同矩阵二次型的秩惯性定理二次型的标准形和规范形用正交变换和配方法化二次型为标准形二次型及其矩阵的正定性考试要求1.了解二次型的概念,会用矩阵形式表示二次型,了解合同变换与合同矩阵的概念.2.了解二次型的秩的概念,了解二次型的标准形、规范形等概念,了解惯性定理,会用正交变换和配方法化二次型为标准形.3.理解正定二次型、正定矩阵的概念,并掌握其判别法.概率论与数理统计一、随机事件和概率考试内容随机事件与样本空间事件的关系与运算完备事件组概率的概念概率的基本性质古典型概率几何型概率条件概率概率的基本公式事件的独立性独立重复试验考试要求1.了解样本空间(基本事件空间)的概念,理解随机事件的概念,掌握事件的关系及运算.2.理解概率、条件概率的概念,掌握概率的基本性质,会计算古典型概率和几何型概率,掌握概率的加法公式、减法公式、乘法公式、全概率公式以及贝叶斯(Bayes)公式等.3.理解事件的独立性的概念,掌握用事件独立性进行概率计算;理解独立重复试验的概念,掌握计算有关事件概率的方法.二、随机变量及其分布考试内容随机变量随机变量分布函数的概念及其性质离散型随机变量的概率分布连续型随机变量的概率密度常见随机变量的分布随机变量函数的分布考试要求1.理解随机变量的概念,理解分布函数的概念及性质,会计算与随机变量相联系的事件的概率.2.理解离散型随机变量及其概率分布的概念,掌握0-1分布、二项分布B(n,p)、几何分布、超几何分布、泊松(Poisson)分布及其应用.5.会求随机变量函数的分布.三、多维随机变量的分布考试内容多维随机变量及其分布函数二维离散型随机变量的概率分布、边缘分布和条件分布二维连续型随机变量的概率密度、边缘概率密度和条件密度随机变量的独立性和不相关性常见二维随机变量的分布两个及两个以上随机变量简单函数的分布考试要求1.理解多维随机变量的分布函数的概念和基本性质.2.理解二维离散型随机变量的概率分布和二维连续型随机变量的概率密度,掌握二维随机变量的边缘分布和条件分布.3.理解随机变量的独立性和不相关性的概念,掌握随机变量相互独立的条件,理解随机变量的不相关性与独立性的关系.4.掌握二维均匀分布和二维正态分布,理解其中参数的概率意义.5.会根据两个随机变量的联合分布求其函数的分布,会根据多个相互独立随机变量的联合分布求其简单函数的分布.四、随机变量的数字特征考试内容随机变量的数学期望(均值)、方差、标准差及其性质随机变量函数的数学期望切比雪夫(Chebyshev)不等式矩、协方差、相关系数及其性质考试要求1.理解随机变量数字特征(数学期望、方差、标准差、矩、协方差、相关系数)的概念,会运用数字特征的基本性质,并掌握常用分布的数字特征.2.会求随机变量函数的数学期望.3.了解切比雪夫不等式.五、大数定律和中心极限定理考试内容切比雪夫大数定律伯努利(Bernoulli)大数定律辛钦(Khinchine)大数定律棣莫弗—拉普拉斯(De Moivre-Laplace)定理列维—林德伯格(Levy-Lindberg)定理考试要求1.了解切比雪夫大数定律、伯努利大数定律和辛钦大数定律(独立同分布随机变量序列的大数定律).2.了解棣莫弗—拉普拉斯中心极限定理(二项分布以正态分布为极限分布)、列维—林德伯格中心极限定理(独立同分布随机变量序列的中心极限定理),并会用相关定理近似计算有关随机事件的概率.六、数理统计的基本概念考试内容总体个体简单随机样本统计量经验分布函数样本均值样本方差和样本矩x2分布t分布F 分布分位数正态总体的常用抽样分布考试要求1.了解总体、简单随机样本、统计量、样本均值、样本方差及样本矩的概念,其中样本方差定义为2.了解产生x2变量、t变量和f变量的典型模式;了解标准正态分布、x2分布、t分布和f分布的上侧a分位数,会查相应的数值表.3.掌握正态总体的样本均值、样本方差、样本矩的抽样分布.4.了解经验分布函数的概念和性质.七、参数估计考试内容点估计的概念估计量和估计值矩估计法最大似然估计法考试要求1.了解参数的点估计、估计量与估计值的概念.2.掌握矩估计法(一阶矩、二阶矩)和最大似然估计法.。