《新编英语语法教程》主要章节语法术语
- 格式:doc
- 大小:765.50 KB
- 文档页数:12
常用英语语法术语表达语法grammar句法syntax词法morphology结构structure层次rank句子sentence从句clause词组phrase词类part of speech单词word实词notional word虚词structural word单纯词simple word派生词derivative复合词compound词性part of speech名词noun专有名词proper noun普通名词common noun可数名词countable noun不可数名词uncountable noun 抽象名词abstract noun具体名词concrete noun物质名词material noun集体名词collective noun个体名词individual noun介词preposition连词conjunction动词verb主动词main verb及物动词transitive verb不及物动词intransitive verb 系动词link verb助动词auxiliary verb情态动词modal verb规则动词regular verb不规则动词irregular verb短语动词phrasal verb限定动词finite verb非限定动词infinite verb使役动词causative verb感官动词verb of senses动态动词dynamic verb静态动词state verb感叹词exclamation形容词adjective副词adverb方式副词adverb of manner程度副词adverb of degree时间副词adverb of time地点副词adverb of place修饰性副词adverb of adjunct连接性副词adverb of conjunct 疑问副词interrogative adverb关系副词relative adverb代词pronoun人称代词personal pronoun物主代词possessive pronoun反身代词reflexive pronoun相互代词reciprocal pronoun指示代词demonstrative pronoun 疑问代词interrogative pronoun关系代词relative pronoun不定代词indefinite pronoun名词性物主代词nominal possessive pronoun形容词性物主代词adjectival possessive pronoun 冠词article定冠词definite article不定冠词indefinite article数词numeral基数词cardinal numeral序数词ordinal numeral分数词fractional numeral形式form单数形式singular form复数形式plural form限定动词finite verb form非限定动词non-finite verb form原形base form从句clause从属句subordinate clause并列句coordinate clause名词从句nominal clause定语从句attributive clause状语从句adverbial clause宾语从句object clause主语从句subject clause同位语从句appositive clause时间状语从句adverbial clause of time地点状语从句adverbial clause of place方式状语从句adverbial clause of manner让步状语从句adverbial clause of concession原因状语从句adverbial clause of cause结果状语从句adverbial clause of result目的状语从句adverbial clause of purpose条件状语从句adverbial clause of condition真实条件状语从句adverbial clause of real condition非真实条件状语从句adverbial clause of unreal condition 含蓄条件句adverbial clause of implied condition错综条件句adverbial clause of mixed condition句子sentence简单句simple sentence并列句compound sentence复合句complex sentence并列复合句compound complex sentence 陈述句declarative sentence疑问句interrogative sentence一般疑问句general question特殊疑问句special question选择疑问句alternative question附加疑问句tag question反义疑问句disjunctive question修辞疑问句rhetorical question感叹疑问句exclamatory question存在句existential sentence肯定句positive sentence基本句型basic sentence patern否定句negative sentence祈使句imperative sentence省略句elliptical sentence感叹句exclamatory sentence句子成分members of sentences主语subject谓语predicate宾语object双宾语dual object直接宾语direct object间接宾语indirect object复合宾语complex object同源宾语cognate object补语complement主补subject complement宾补object complement表语predicative定语attribute同位语appositive状语adverbial句法关系syntactic relationship 并列coordinate从属subordination修饰modification前置修饰pre-modification后置修饰post-modification限制restriction双重限制double-restriction非限制non-restriction数number单数形式singular form复数形式plural form规则形式regular form不规则形式irregular form格case普通格common case所有格possessive case主格nominative case宾格objective case性gender阳性masculine阴性feminine通性common中性neuter人称person第一人称first person第二人称second person第三人称third person时态tense过去将来时past future tense过去将来进行时past future continuous tense过去将来完成时past future perfect tense一般现在时simple present tense一般过去时simple past tense一般将来时simple future tense现在完成时past perfect tense过去完成时present perfect tense将来完成时future perfect tense现在进行时present continuous tense过去进行时past continuous tense将来进行时future continuous tense过去将来进行时past future continuous tense现在完成进行时present perfect continuous tense 过去完成进行时past perfect continuous tense语态voice主动语态active voice被动语态passive voice语气mood陈述语气indicative mood祈使语气imperative mood虚拟语气subjunctive mood否定negation否定范围scope of negation 全部否定full negation局部否定partial negation 转移否定shift of negation。
新编英语语法教程主要章节语法术语
1.语言和语法的相关概念:本章主要介绍了语言的定义,语法的作用以及语法的分类和相关的术语。
2.词汇的构成:本章主要介绍了英语词汇的构成方式,包括基本词汇和派生词汇,并介绍了常见的词缀和词根。
3.词性和句法:本章主要介绍了英语中常见的词性,如名词、动词、形容词,以及它们在句子中的不同功能和用法。
4.时态和语态:本章主要介绍了英语中的各种时态和语态,包括一般现在时、一般过去时、现在进行时、过去进行时、一般将来时、被动语态等。
5.句子成分和句子结构:本章主要介绍了英语句子的基本成分,如主语、谓语、宾语、定语、状语等,并介绍了不同类型的句子结构。
6.从句和复合句:本章主要介绍了从句的种类和用法,包括名词性从句、定语从句和状语从句,并介绍了如何构建复合句。
7.语法错误和修正:本章主要介绍了常见的语法错误和如何进行语法修正,以帮助学习者避免语法错误。
8.句子的语法和语义关系:本章主要介绍了句子中不同成分之间的语法和语义关系,包括主谓关系、主宾关系、感官动词和宾语关系等。
在每个章节中,教材会以简洁明了的语言解释各种语法规则,并通过例句和练习来帮助学习者理解和运用这些规则。
此外,教材还会提供一些提示和技巧,以帮助学习者更好地掌握英语语法。
通过学习新编英语语法教程,学习者可以系统地了解和掌握英语语法知识,提高英语写作和口语表达的准确性和流利度。
教案新编英语语法教程章振邦2016——2017学年度第二学期本课程教学总体安排课程名称:商务英语语法与词汇课程性质与类型:限选课总学时28、学分:2教学目的与要求:1)开设此课,旨在让学生系统学习和掌握各类语法现象,并且学以致用,活学活用,力求避免在使用英语词汇的过程中出现语法错误。
2)帮助学生理解和掌握各类语法现象所使用的规则,以便他们在以后的专业四级考试和工作中恰当地运用英语语法。
3)扩大学生的商务英语词汇量。
教材及参考书目:《新编英语语法教程》章振邦《实用英语语法详解》薄冰《高级英语语法详解》全建强考核方式及成绩计算方法:笔试总成绩=平时成绩X30% + 考试成绩X70%课程教学日历课程名称:商务英语语法与词汇授课学期:2016—2017学年第一学期第1讲教学安排的说明章节题目:句子结构学时分配:2本章教学目的与要求:谓结构和句子分析基本句型课堂教学方案课题名称、句子结构授课时数:2 授课类型:理论课教学方法与手段:讲授、讨论、指导教学目的的要求:1谓结构和句子分析 2基本句型教学重点、难点:1谓结构和句子分析 2基本句型教学内容及组织安排:1主谓结构和句子分析(1)主语和谓语分句按其逻辑意义,通常分为主语和谓语两大部分。
英语在其长期发展中形成一种相对固定的句子结构:“主语+谓语”的结构。
主语是句子的话题,是信息传递的出发点;谓语是对话题所作的说明,是说话人所要传递的信息。
试观察下列诸句:主语谓语China is a great socialist country.中国是一个伟大的社会主义国家。
Marxism-Leninism is a universally applicable truth.马克思列宁主义是放之四海而皆准的真理。
The students have English lessons twice a week.学生们每星期上两堂英语课。
Hans doesn't seem to be taller than Peter.汉斯似乎并不比彼得高。
《新编英语语法教程》主要章节语法术语第一章:基本语法概念本章主要介绍了英语语法的基本概念,如句子、名词、动词、形容词、副词等。
学习者可以通过本章了解英语基本语法结构和用法。
第二章:句子成分本章讲解了句子的主要成分,如主语、谓语、宾语、定语、状语等。
学习者可以通过本章学会如何分析句子的成分,理解句子的结构。
第三章:时态与语态本章详细解释了英语中的各种时态和语态,如一般现在时、一般过去时、现在进行时、被动语态等。
学习者可以通过本章掌握不同时态和语态的用法。
第四章:句子类型本章探讨了英语中的各种句子类型,如陈述句、疑问句、祈使句、感叹句等。
学习者可以通过本章学会如何构造和使用不同类型的句子。
第五章:从句与主从复合句本章介绍了从句的概念及其分类,如名词性从句、定语从句、状语从句等。
学习者可以通过本章了解从句的结构和用法,以及如何构造主从复合句。
第六章:非谓语动词本章讲解了非谓语动词的种类和用法,如不定式、动名词、分词等。
学习者可以通过本章学会使用非谓语动词来丰富自己的表达方式。
第七章:语法辨析与干扰本章列举了一些常见的语法错误和干扰问题,如时态混淆、主谓一致、被动语态与进行时的区别等。
学习者可以通过本章学会避免这些常见错误。
第八章:语法综合运用本章提供了一些综合性的语法习题,帮助学习者巩固和应用所学的语法知识。
通过完成这些习题,学习者可以提高语法分析和应用能力。
以上是《新编英语语法教程》主要章节和一些重要的语法术语的介绍。
这本书的内容较为全面,适合英语学习者系统学习和掌握英语语法知识。
Book IUnit 1 一般过去时与现在完成时的区别;过去进行时;过去完成时1. The simple past and the present perfect contrasted2. The past progressive3. The past perfectUnit 2 if、wh、that引导的宾语从句The nominal clause used as the object, introduced by1. if2. wh-word3. thatUnit 3 被动语态The passive sentence1. in the simple present2. in the present perfect3. in the simple past4. in the futureUnit 4 情态动词1. Modal auxiliaries can /could and be able to used to express “ability”2. Modal auxiliary have to expressing “obligation”3. Modal auxiliaries can /may used to express “permission” or “request for permission”4. Modal auxiliaries had better expressing “advice” or “suggestion”Unit 5 一般现在时的间接引语Indirect speech introduced by a simple present verb1. reporting statements2. reporting yes-no questions3. reporting wh-questionsUnit 6 时间状语从句The adverbial clause of time introduced by1.when2.before3.since4. untilUnit 7 非谓语动词的使用1. The infinitive preceded by a wh- word used as the object2. The infinitive used as a postponed object in the pattern It takes ( so much time) to do sth3. The bare infinitive used as the object complement4. The –ing participle used as the object in pattern Would you mind…Unit 8 关系分句1. The relative clause introduced by that(as the subject)2. The relative clause introduced by that (as the object of a verb)3. The relative clause introduced by who,whomUnit 9 真实条件句与非真实条件句1. Sentences of real conditions2. Sentences of unreal conditions related to the present with be /have /action verbs in the conditional clauseUnit 10将来进行时,将来完成时与将来完成进行时1. The future progressive2. The future perfect3. The future perfect progressive.Unit 11 名词性从句Master the use of English nominal clauses and review indirect speechUnit 12 被动语态Master the use of passive voiceUnit 13 情态动词Modal auxiliaries: may/might, should/ought to, would rather, must/can‟tUnit 14 间接引语Indirect speech introduced by1. a simple present verb reporting past events2. a simple past verb reporting questions and answers3. a simple past verb reporting a conversationUnit 15 状语从句(地点,条件,原因,让步)The adverbial clause1. of place introduced by where2. of condition introduced by unless3. of cause introduced by because/ since4. of concession introduced by thoughUnit 16 现在分词1. –ing participle used as the object2. –ing participle preceded by go3. –ing participle used as the subject4. –ing participle used as the object of a preposition5. –ing participle used as a noun modifier6. –ing participle used as the object complement7. The infinitive preceded by in order expressing …purposeUnit 17 whose,whom引导的关系分句1. The relative clause introduced by whose.2. The relative clause introduced by w hom (as the object of a preposition)3. The cleft sentence with attention focused on various sentence elements.4. The relative clause preceded by a noun which is modified by a superlative. Unit 18 非真实条件句1. Sentences of unreal conditions making a supposition about the future2. Sentences of unreal conditions with past non-facts and present imaginary consequences3. Sentences of unreal conditions with past non-facts and past imaginary consequencesBook IIUnit 1 现在完成进行时,过去进行时与过去完成进行时Unit 2 名词性从句Unit 3 被动语态Unit 4 情态动词Unit 5 间接引语Unit 6 状语从句(目的,结果,让步)Unit 7 非谓语动词Unit 8 关系分句(关系副词)Unit 9 虚拟语气Unit 10 将来时间表示法Unit 11 it 引导的名词性从句Unit 12 被动语态Unit 13 情态动词Unit 14 间接引语Unit 15 状语从句Unit 16 非谓语动词Unit 17 关系分句(介词+关系代词)Unit 18 非真实条件句。
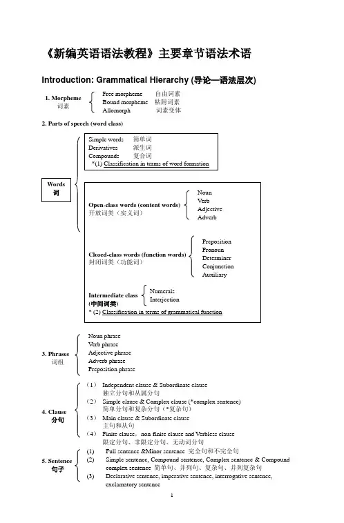
《新编英语语法教程》主要章节语法术语Introduction: Grammatical Hierarchy (导论—语法层次)2. Parts of speech (word class)3. Phrases词组4. Clause分句5. Sentence句子1. Morpheme词素Free morpheme 自由词素Bound morpheme 粘附词素Allomorph 词素变体Noun phraseVerb phraseAdjective phraseAdverb phrasePreposition phraseConjunctionLecture 1 Sentence Structure(L1)Sentence elements:S (subject) 主语V (predicate verb)谓语动词O (object)宾语C (complement)补足语A (Adverbial)状语1. Two ways of sentence analysis1) SVOSentenceClauseNP VP NPSubject Predicate verb ObjectAll the man have done their best.Sentence = Subject + Predicate (Predicate Verb + Object, Complement, Adverbial, etc.)●句子由主语和谓语构成,进一步把谓语剖析为谓语动词、宾语、补语、状语等。
2) Subject + Predicate (= operator + predication)SentenceClauseSubject PredicateOperator PredicationAll the man have done their best.●句子由主语和谓语构成,进一步把谓语剖析为操作词(operator)和述谓成分(predication)。
Dealing with AIDS1.Dealing with AIDS strengthens the bond of friendship, encourages emotional and maturegrowth. Before the sixteenth of October 1995, I was the most carefree person in the world. I had no worries and was just living life up. I never thought that anything could happen to me or my friends. We were invincible. That is, until the word AIDS came into my life.2.For 10 years David and I were the best of friends. Then we got to high school and thingsstarted to change. We were in different cl asses, so we didn’t hang out as much. It bothered me but I thought that we were both just growing up, and there were more friends where he came from. Then I began to notice that he wasn’t in school a lot, and was sick more than usual. So I called him and h e hung up on me. I didn’t know what to do, so once again I blew it off. Then one day I saw David in the mall and I confront ed him as to why we were not friends any more.He pulled me aside and broke down in tears and said that he was dying. I didn’t believ e him.Sure, I had heard about AIDS, but hat it was a homosexual disease and it didn’t affect young people, so I said that it was a sick joke and left.3.When I got home things started to make sense. I ran to my room and cried. David was only17; he coul dn’t die. Then I felt so bad that we had grown so far apart. I called David, asking him to come over so we could talk. When he came over I saw a seriousness in him that I had never seen before. He looked so old, too old for his age. I asked how it happened. David had had unprotected sex once and now had to pay with his life. I was so angry. I have never felt so powerless in my whole life. When things had gone wrong before this, I could always rely on my parents to make things better. There was nothing that they could do this time. I had to handle it all on my own.4.David and I became very close again, and it seemed that I was the only one there for him.David made the decision to tell people about his disease. There was no use in hiding it; sooner or later people would find out. People looked at him as if he had a plague, and our friends from school wanted nothing to do with him. Soon after that they wanted nothing to do with me. All of a sudden I felt that I had the disease. I didn’t know what to do. My whole life was changing so fast that I couldn’t keep up. Once again I was growing up and realized that our friendship meant everything to me. Also, I couldn’t turn my back on him when he needed me the most.So I stuck it out and lost most of my friends. Th e ones that still talked with me didn’t come too close in fear that they would catch the disease. The thing was, I didn’t even have AIDS, so why did my friends treat me like this? I was being treated this way because teenagers are not used to dealing with situations like this, and don’t know how to react. So how could I blame them since I would have done the same thing?5.As time went on, David became very ill. There was nothing that I could do but watch himdie. David found out that he had full-blown AIDS. This to me meant death was sure to come and all too quickly. I wasn’t ready to let him die, not yet anyway. There were so many things that I wanted to do and say, but couldn’t find the words. I went to doctor after doctor with him, and saw him go through so much. Everyone said that I must keep a positive attitude for his sake, because attitude means everything. So, in times of stress I was the one that had to keep things together. I pushed all my emotions aside and was strong for him.6.My mom had had a trip planned for the whole family for some time now, and still wantedto go. She thought that the trip would do me good; she said that I was not the one that wasdying. I couldn’t believe that she said that to me, but to make her happy I went. We were go ne for about two weeks, and when I came back the first thing I did was go to see David. That was when I saw AIDS for the first time. I didn’t even recognize him. David had lost weight, had purple lesions all over his body, and was very pale. He couldn’t ev en get up when he saw me. He wasbedridden. I still had to be the strong one and keep everything in. I had brought him stuff from the ocean, his favorite place. We talked about my trip and anything else we could think of. Then he fell asleep because he could no longer stay awake for long periods of time.7.On the second of May 1996, David was put in hospital. This gave him the feeling that therewas no more hope left, and that he was going to die. I still had to maintain my positive outlook for him. He n eeded that in me. One day he looked at me and said, “Faye, I am dying; let’s accept that and deal with it. I know what I did was wrong and now I have to deal with it. All I want you to do is to remember me, enjoy life and be careful.” For the first time in front of him,I cried. I knew that it wouldn’t be long before he was gone forever. He shouldn’t have todeal with this at such a young age. Towards the end of May he became so sick that the hospital staff had a bubble around him, so he wouldn’t catch our bad germs. I hated to see him like that, and every day it became worse. I had come to realize that any day now he would die. At night I would wonder if he would make it through. School was over now, so I spent every hour I could in the hospital. He was everything to me. I felt bad for the time that we had lost and how I wasn’t even going to fight for our friendship.8.The fifth of June, 1996 marked the end of my best friend David’s life. He went peacefully.That was a comfort all in its own. In a way I was glad that it was over, for he was no longer in pain. All the emotions that I had held in came rushing out as I realized that I would never see David again. His mother said that I had kept him alive and that she was grateful that I was her son’s last friend. It hasn’t been a year yet, but I have done so much since then that I am no longer that carefree teenager. I now educate people about AIDS, which to me is keeping David’s memory alive. Even though David is gone, he is still with me and always will be in mind and spirit.Paragraph 1Words and Expressions1. strengthen: vt.to make something stronger or more effective, or to become stronger or more effectivee.g. The wind strengthened during the night.夜里风刮得更大了。
Words and phrases:(1) sip: v. drink something slowly, taking very small mouthfulse.g.The graceful lady was sitting at the table sipping her tea.We chatted about learning Chinese as we walked and sipped coffee at the same time.(2) lavish: a. very elaborate and impressive, spending a lot of money; very generouse.g.The apartment building was lavishly decorated.We were always lavish with financial aid in times of crisis.(3) hiccup: n.a small problem or difficulty; [usually plural] a sudden repeated stopping of thebreath, usually caused by eating or drinking too faste.g. A recent sales hiccup is nothing to panic about.She laughed so much she got hiccups.(4) frugal: a. avoiding wastee.g.She lives a frugal life.As children we were taught to be frugal and hard-working.(5) meek: a. very quiet and gentle and unwilling to argue with peoplee.g.Their boss was always so meek and mild.You can be alternately as meek as a lamb or as mad as a hornet.(6) It didn’t (doesn’t) take a genius to: It was (is) easy/evident to, it took (takes) no effort toe.g.It doesn’t take a genius to read between the lines.I know that it doesn’t take a genius to work out that sleep is important for good health.(7) in store: in readiness; awaitinge.g.The King was, of course, optimistic and excited about what the future has in store.It is an indication of their talent and the bright future that most young men believe is instore.(8) appeal: v. make a serious public request for help, money, information, etc.e.g.Farmers have appealed to the government for help.The two countries appealed for a speedy solution to the hostage crisis.(9) bail out: escape from a situation that someone does not want to be in any moree.g.After many years in the business, his father is baling out.They will discuss how to bail the economy out of its slump.(10) gloat: v. show pleasure at one’s own success or at other people’s failure in an arrogant andunpleasant waye.g.The opposing team gloated over our bad luck.She gloated over the fact that she received the highest score on the exam.(11) disguised: a. having its true character concealed with the intent of misleadinge.g.When more people are engaged in some activity than the number of person required forthat , this is called disguised unemployment.Opportunity often comes disguised in the form of misfortune, or temporary defeat.(12) foot: v. pay for something, especially something expensive that one does not want to pay fore.g.He ordered drinks and then left me to foot the bill!We ended up having to foot the bill for a new roof because our insurance didn’t coverstorm damage.(13) shush: v. tell someone to be very quiet, especially by putting one’s fingers against lips or bysaying “shush”e.g.The little girl started to cry and her mother shushed her.Shushing someone is the silent equivalent of screaming “Shut up”.(14) nicety: n. [usually plural] questions and remarks made for the sake of politeness; the qualityor state of being nicee.g.We met the new captain while we were taking enemy fire and were unable to observethe niceties of formal introductions.The diplomatic niceties from a career bureaucrat betray a serious underlying tensionthat is getting difficult to conceal.(15) grooming: n. activity leading to skilled behaviore.g.There is speculation that he is grooming his son to succeed him as president.“Our three founders are working harder than ever and we’re grooming the nextgeneration of leaders,” says the spokesman.(16) flippantly: ad. in the manner of not being serious about something that other people think oneshould be serious aboute.g.He answered the reporters’ questions flippantly.Do not speak without careful consideration, or flippantly make promises.(17) inherit: v. receive money, property, etc., from someone after they have diede.g.Each generation seems to inherit not only new knowledge but also new ignorance.In most cases identical twins who inherited almost the same genes have differentpersonalities.(18) prenuptial: a. relating to events before a marriagee.g.He was asked whether or not he would sign a prenuptial agreement.(19) stun: v. surprise or upset someone so much that he/she does not react immediatelye.g.The youngest footballer stunned the crowd with a last-minute goal.Most audience were stunned by the film’s violent and tragic end.(20) preen: v. spend time making oneself look tidier and more attractivee.g.She was preening herself in front of the mirror.The study revealed that 50% of men under 35 spend at least 20 minutes preeningthemselves every morning in the bathroom.(21) smugness: n. an excessive feeling of self-satisfactione.g.Their new neighbour had the smugness that many doctors show.Smugness is, as you note, never an attractive trait — whether it is justified or not.(22) bloodcurdling: a. extremely frighteninge.g.They gather around and tell bloodcurdling horror stories on the hottest summer nights.On the trip, the cat let out what the driver des cribed as a “bloodcurdling cry” and wentlimp.(23) rant: v. talk or complain in a loud excited and rather confused way because of feeling stronglyabout somethinge.g.She was still ranting about the unfairness of it all.I suppose my grandfather will rant and rave when he finds out about the brokenwindow.(24) streak: v. move quickly in a straight linee.g. A jet streaked across the sky a few minutes ago.On a clear night scores of meteors streak the sky.(25) clutch: v. hold something tightlye.g. A drowning man will clutch at a straw.She was found clutching a bottle of champagne near the railway station.(26) shroud: v. keep information secret so that people do not know what really happened; cover orhidee.g.The incident has always been shrouded in mystery.Her little boy was shrouded under a dark blanket.。
(完整版)新编英语语法教程框架整理(导论+第一讲).doc导论——语法层次自由词素Free Morpheme词素屈折词缀Inflectional Affix粘附词素Bound Morpheme 前缀Prefix派生词缀Derivational Affix后缀Suffix简单词 Simple Word构成(构词法)派生词 Derivative复合词 Compound Word词封闭词类:所有功能词Function Word (介代连助限定词)类别(语法功能)半闭半开:基数词序数词感叹词开放词类:名词 Noun 形容词 Adjective 副词主动词Verb 名词词组Noun Phrase:(限定词) +(置修饰语 )+名词 +(后置修饰语 ) 简单动词词组Simple Phrase主动词为中心词语法动词词组Verb Phrase 复杂动词词组Complex phrase词组限定动词词组Finite Verb Phrase按照动词形式非限定词词组Non-finite Verb Phrase 形容词词组Adjective Phrase :(修饰语) +形容词 +(后置修饰语 /补足成分)副词词组Adverb Phrase:(修饰语) +副词 +(后置修饰语)介词词组Prepositional Phrase:(修饰语) +介词 +不足成分主句 Main Clause形式分句句子功能形式功能从句 Subordinate Claus限定分句Finite Clause无动词分句Verbless Clause非限定分句Non-finite Clause :不定式简单句 Simple Sentence并列句 Compound Sentence复杂句 Complex Sentence并列复杂句Compound-complex Sentence 陈述句 Declarative Sentence疑问句 Question感叹句 Exclamatory Sentence祈使句 Imperative Sentence-ing 分词-ed 分词第一讲句子结构主动补 SVC 结构主动 SV 结构基本句型主动宾宾SVoO 结构主动宾 SVO 结构主动宾补SVOC 结构完全句Full Sentence简单句基本语序语序前置(倒装)后置句型的转换与扩大:修饰、并列、从属、省略、替代句式变换并列句形式复杂句并列复杂句不完全句Minor Sentence句子句子分析主语 Subject谓语动词Predicate Verb①宾语Object补语 Complement状语 Adverbial②操作词Operator+述谓成分Prediction。
新编英语教程(大一第一学期)unit7语法点Unit 7 When Lightning Struck1.I was in the tiny bathroom in the back of the plane when I felt the slamming jolt, andthen the horrible swerve that threw me against the door. Oh, Lord, I thought, this is it!Somehow I managed to unbolt the door and scramble out. The flight attendants, already strapped in, waved wildly for me to sit down. As I lunged toward my seat, passengers looked up at me with the stricken expressions of creatures who know they are about to die.2.“I think we got hit by lightning,” the girl in the seat next to mine said. She was from asmall town in east Texas, and this was only her second time on an airplane. She had won a trip to England by competing in a high school geography bee and was supposed to make a connecting flight when we landed in Newark.3.In the next seat, at the window, sat a young businessman who had been confidentlyworking. Now he looked worried. And that really worries me —when confident-looking businessmen look worried. The laptop was put away. “Something’s not right,” he said.4.The pilot’s voice came over the speaker. I heard vaguely through my fear, “Enginenumber two ... emergency landing ... New Orleans.” When he was done, the voice of a flight attendant came on, reminding us of the emergency procedures she had reviewed before takeoff. Of course I never paid attention to this drill, always figuring that if we ever got to the point where we needed to use life jackets, Iwould have already died of terror.5.Now we began a roller-coaster ride through the thunderclouds. I was ready to faint, butwhen I saw the face of the girl next to me, I pulled myself together. I reached for her hand and reassured her that we were going to make it. ”What a story you’re going to tell when you get home!” I said. “After this, London’s going to seem like small potatoes.”6.I wondered where I was getting my strength. Then I saw that my other hand was tightlyheld by a ringed hand. Someone was comforting me —a glamorous young woman across the aisle, the female equivalent of the confident businessman. She must have seen how scared I was and reached over.7.“I tell you,” she confided, “the problems I brought up on this plane with me sure don’ts eem real big right now.” I loved her Southern drawl, her indiscriminate use of per fume, and her soulful squeezes. I was sure that even if I survived the plane crash, I’d have a couple of broken fingers from all the TLC.“Are you okay?” she kept asking me.8.Among the many feelings going through my head during those excruciating 20 minuteswas pride —pride in how well everybody on board was behaving. No one panicked. No one screamed. As we jolted and screeched our way downward, I could hear small pockets of soothing conversation everywhere.9.I thought of something I had heard a friend say about the wonderful gift his dying fatherhad given the family: he had died peacefully, as if not toalarm any of them about an experience they would all have to go through someday.10.And then —yes! —we landed safely.Outside on the ground, attendants and officialswere waiting to transfer us to alternative flights. But we passengers clung together. We chatted about the lives we now felt blessed to be living, as difficult or rocky as they might be.The young businessman lamented that he had not a chance to buy his two little girls a present.An older woman offered him her box of expensive Lindt chocolates, still untouched, tied with a lovely bow. “I shouldn’t be eating the m anyhow,” she said. My glamorous aisle mate took out her cell phone and passed it around to anyone who wanted to make a call to hear the reassuring voice of a loved one.11.There was someone I wanted to call. Back in Vermont, my husband, Bill, wasanticipating my arrival late that night. He had been complaining that he wasn’t ge tting to see very much of me because of my book tour. I had planned to surprise him by getting in a few hours early. Now I just wanted him to know I was okay and on my way.12.When my name was finally called to board my new flight,I felt almost tearful to beparting from the people whose lives had so intensely, if briefly, touched mine.13.Even now, back on terra firma, walking down a Vermont road, I sometimes hear anairplane and look up at that small, glinting piece of metal. I remember the passengers on that fateful, lucky flight and wish I could thank them for the many acts of kindness I witnessed andreceived. I am indebted to my fellow passengers and wish I could pay them back.14.But then, remembering my aisle mate’s hand clutching mine while I clutched the handof the high school student, I feel struck by lightning all over again: the point is not to pay back kindness but to pass it on.Paragraphs 1-4Words and Expressions1. lightning: n. a powerful flash of light in the sky caused by electricity passing from one cloud to another or to the earth, usu. followed by thundere.g. He runs as fast as lightning.Collocation:be struck by lightning: be hit by lightninge.g. The tower has been struck by lightning.Derivation:lightning: adj.2. jolt: n. a sudden rough shaking movemente.g. Residents felt the first jolt of the earthquake at about 8 a.m.Derivation:jolt: v.Comparison: jolt, jerkjerk: a sudden quick movementPractice:1) The train moved off with a ________ (jerk)2) I felt every _________ of the bus. (jolt)3. swerve: n. the act of turning asidee.g. The car made a sudden swerve to avoid the dog.Comparison:swirl: the act of turning around quickly in a circular movementDerivation:swerve: v.4. unbolt:v. unlock; release the bolts of (a door, for example)e.g. The shopkeeper unbolted the door and let the customers in.Comparison: unbolt, untieuntie: undo the knots in something or undo something that has been tiedAntonym:bolt5. scramble:v. climb up or over something with difficulty, using your hands to help youe.g. The boys scrambled over the wall.Collocations:scramble up/down/back, etc.e.g. We scrambled up a rocky slope.Synonym:climbDerivation:scramble: n.6. lunge:v. make sudden forceful forward movements of the body, often to make an attacke.g. He lunged at me with a knife.Comparison: lunge, lunglung: one of the two organs in your body that you breathe withe.g. Smoking can cause lung cancer.Derivation:lunge: n.Translation:They both lunged forwards to catch a ball.他们俩都冲上去抢球。
1.主谓一致主谓一致Subject-Verb Concord即谓语动词在人称和数上要和主语保持一致,主谓一致包括语法一致、意义一致和就近一致。
1.1指导原则(1)语法一致语法一致即谓语动词在单复数形式上要和主语保持一致eg.A grammar book helps you learn something about the rules of a language. (主语是单数形式,谓语也采取单数形式)语法书帮助你学习语言的某些规则.Grammar books help you learn something about the rules of a language. (主语是复数形式,谓语也采取复数形式)语法书帮助你学习语言的某些规则.(2)意义一致和就近原则意义一致就是谓语动词要和主语意义上的单复数保持一致。
补充解释和例句见书P22就近一致就是谓语动词要和靠近它的主语部分保持一致。
常出现在这类句子中的连词有:or, either…or…,neither…nor …,not only…but also …等.例句见书P23英语中,有时几个名词或代词有某些此连接起来一起作句子的主语,此时,谓语动词的形式就须有与之最接近的名词或代词的人称和数决定。
如:(1)There is a desk and five chairs in his room.他房间里有一张办公桌和五把椅子。
There are five chairs and a desk in his room.他房间里有五把椅子和一张办公桌。
(2)Either you or Li Lei is going to be sent there.要么是你要么是李蕾将被派到那里去。
Are either you or Li Lei going to be sent there?是你将被派到那里去还是李蕾将被派到那里去?1.2-s结尾的名词作主语(1)以-s结尾的疾病名称和游戏名称(2)以-ics结尾的学科名称(3)以-s结尾的地理名称(4)其他以-s结尾的名词1.3以集合名词作主语(1)通常作复数的集体名词见书P27【注】goods(货物),clothes(衣服)只有复数形式,且只表示复数意义:Such clothes are very cheap.那样的衣服很便宜。
《新编英语语法教程》主要章节语法术语Introduction: Grammatical Hierarchy (导论—语法层次)2. Parts of speech (word class)3. Phrases词组4. Clause分句5. Sentence句子1. Morpheme词素Free morpheme 自由词素Bound morpheme 粘附词素Allomorph 词素变体Noun phraseVerb phraseAdjective phraseAdverb phrasePreposition phraseConjunctionLecture 1 Sentence Structure(L1)Sentence elements:S (subject) 主语V (predicate verb)谓语动词O (object)宾语C (complement)补足语A (Adverbial)状语1. Two ways of sentence analysis1) SVOSentenceClauseNP VP NPSubject Predicate verb ObjectAll the man have done their best.Sentence = Subject + Predicate (Predicate Verb + Object, Complement, Adverbial, etc.)●句子由主语和谓语构成,进一步把谓语剖析为谓语动词、宾语、补语、状语等。
2) Subject + Predicate (= operator + predication)SentenceClauseSubject PredicateOperator PredicationAll the man have done their best.●句子由主语和谓语构成,进一步把谓语剖析为操作词(operator)和述谓成分(predication)。
2. Basic clause typesSVC, SV, SV A, SVO, SVOA, SVOC, SV oOLecture 2 Subject-Verb Concord (L2-3)Guiding principles:Grammatical Concord Notional Concord Principle of Proximity语法一致原则意义一致原则就近原则Nominal clause Non-finite clause Relative clause Cleft sentence Existential clause 名词性分句非限定分句关系分句分裂句存在句Lecture 3 Noun and Noun Phrase(L4-5)1. Classification of nounsPartitive (Unit Noun) 单位词 2. Cases of NounsNominative case / Subjective case (主格)Accusative case / Objective case (宾格 )Genitive case (属格 )/ Possessive case (所有格) Dative case (受事格/与格)Genitive caseGenitive cases specifying the reference of the noun phrase. Specific reference (特指) Generic reference (类指) Indefinite genitive phrase (非确定特指)Lecture 4 Determiner (L6-7)1. DefinitionDeterminers are function words which are used to determine or fix the reference of a noun.2. ClassificationIndependent GenitiveDouble Genitive3.ArticlesArticle is a major group of determiners used to delimit the scope of reference of nouns (主要用来限定名词的指称范围).*p.74, 7.1.3, 冠词的确定特指(definite specific reference)分为前照应特指(cataphoric specific reference)、后照应特指(anaphoric specific reference)和语境特指(situational reference),这与后面的代词照应(pronoun reference p.104, 9.3)在术语上略有不同。
Lecture 5 Pronoun(L8-9)1. ClassificationAntecedent 先行词2. The use of reflexive pronoun (-self)3. Pronoun reference (代词照应)前照应(Cataphoric reference)、后照应(Anaphoric reference)、语境照应(Situational reference)、人称照应(Personal reference)、指示照应(Demonstrative reference)Lecture 6 Verb and Verb Phrase(L10-22)1. Classification of verbs动词分类的标准有很多种,如上图所示,记住基本的术语和其用法就是。
比如及物动词、不及物动词、联系动词、助动词、动态动词、静态动词、词组动词、限定动词、非限定动词、不定式,不带to不定式(bare infinitive)等等,还有副词/介词小品词(adverb particle & proposition particle)。
➢Transitive Verbs:followed by objects.➢Intransitive verbs:do not require an object.➢Linking verbs:followed by subject compliments.•SVO主—动—宾(Transitive verb)•SV oO主—动—宾—宾(Ditransitive verb)【双宾语动词】•SVOC主—动—宾—补(Monotransitive verb)【单宾语动词】•SV主—动(Intransitive verb)•SVC主—动—补(Linking verb)•This aspect is of essential importance because the verb type here determines the basic sentence structure of your sentence and how you can expand your sentence.2. Five forms of Verbs(动词的五种基本形式)原形(base form)、第三人称单数(third person singular)、过去式(past tense)、过去分词(past tense)、现在分词(present participle)3. Tense and aspectsTenseSimple present Simple past Simple future Past future Aspectprogressive 现在进行体过去进行体将来进行体过去将来进行体perfective 现在完成体过去完成体将来完成体过去将来完成体Perfective现在完成进行体过去完成进行体将来完成进行体过去将来完成进行体progressive4.Mood陈述式(Indicative mood)、祈使式(Imperative mood)、虚拟式(Subjunctive mood)5.Non-finite verbspp. 230-1 动态形容词(Dynamic Adjective)、静态形容词(Stative Adjective)p.251 前置修饰语(Premodifier)、p.256 悬垂分词(Dangling Participle)/无依着分词(Unattached participle)、依着法则(Attachment rule)Lecture 7 Adjective and Adverb(L23-24)1.1 Adjective & Adjective Phrase1.2 Adjective form1.3 Adjective meaning动态形容词、静态形容词、等级形容词、非等级形容词2.1 Adverb & Adverb Phrase (Adv P)2.2Adv form2.3 Adv Meaningp.274 修饰性状语(Adjunct)、评注性状语(Disjunct)、连接性状语(Conjunct)Lecture 8 Degree & Comparative Construction(L25)(比较等级和比较结构)1.Degree formsRegular degree forms of Adj & AdvPositive/absolute 原级Comparative比较级Superlative最高级Monosyllabic(单音节) Adj & Adv Synthetic(inflectional)综合(屈折)形式Adj-/Adv-er Adj/Adv-estPolysyllabic(多音节) Adj & Adv Analytic (phrasal)分析(词组)形式more Adj/Adv most Adj/AdvDisyllabic(双音节) Adj & Adv Synthetic or Analytic Adj-/Adv-ermore Adj/AdvAdj/Adv-estmost Adj/AdvNotes:(1) -ing and -ed participial Adj takes more ~ & most ~(2) Some irregular forms, e.g., far, good(3) Gradable indefinite Det & Prons: many/much, few, little 2. Comparative construction3. General structure of Comparative constructionNotes:(1) More (less, fewer) can be Det. or Pron.:Model 2 accounted for more variance … than did Model 1. (Det .) It appeared in more than 50% of the request e-mails. (Pron.) (2) As & than are Conj or rarely Prep:John is taller than she (is). / John is taller than her.E.g. Apple is as tasty as tomato.Lecture 9 Statement, Question, Command & Exclamation (L27) (陈述句、疑问句、祈使句、感叹句)Sentence types 句子1. Statements2. Questions (Interrogative sentences): General (yes-no) questions, Special (Wh-) questions, Alternative questions, Tag questions (附加疑问句), Rhetorical questions (修辞疑问句)3. Commands and Exclamations4. Tag questions (pp.316-9) Transferred negation (否定转移)Lecture 10 Existential Sentence & It-Patterns (L28-29) (存在句和It-句型)1. Existential sentence存在句、实义主语(Notional Subject )、真主语(Real subject )、地点状语(Locative adverbial )、时间状语(Temporal adverbial )*p.326, 提及的非确定特指,冠词、数词等限定词,见限定词(Determiner )一讲。