高中文科数学高考解答题解法总结及专项训练资料
- 格式:docx
- 大小:2.83 MB
- 文档页数:61
专题2解三角形(文科)解答题30题1.(广西邕衡金卷2023届高三第二次适应性考试数学(文)试题)记ABC 的面积为S ,其内角,,A B C 的对边分别为a ,b ,c ,已知1c =,)2214a b S +-=.(1)求C ;(2)求ABC 面积的最大值.2.(内蒙古自治区赤峰市2022届高三模拟考试数学(文科)4月20日试题)在△ABC 中,内角A ,B ,C 所对的边分别为a ,b ,c ,且满足sin cos 6b A a B π⎛⎫=- ⎪⎝⎭.(1)求tan B 的值;(2)设3a =,1c =,求b 和△ABC 的面积.3.(山西省运城市2022届高三5月考前适应性测试数学(文)试题(A 卷))在ABC中,内角A ,B ,C 的对边分别为a ,b ,c ,cos sin cos sin )a C A A c A =-.(1)求A ;(2)a =,ABC 的外接圆圆心为点P ,求PBC 的周长.4.(贵州省贵阳市白云区2023届高三上学期阶段性质量监测数学(文)试题)在ABC中,内角、、A B C 的对边分别为a 、b 、c ,在条件:①sin cos a C A ;()sin 0B C A ++=;③222sin sin sin sin sin B C B C A +-=,从上述三个条件中任选一个作为题目的补充条件,你的选择是______,并解答下面问题:(1)求角A 的大小;(2)若b c a +=ABC 的面积.5.(江西省宜春市丰城中学2022届高三高考模拟数学(文)试题)在ABC 中,内角A 、B 、C 的对边分别为a 、b 、c ,sin sin 2B Cb a B +⋅=,(1)求角A ;(2)若2AB AC ⋅=,求a 的最小值.6.(山西省太原市2022届高三下学期三模文科数学试题)已知锐角ABC中,()()sin sinA B A B+=-=.(1)求tan tanAB;(2)若7AB=,求ABC的面积S.7.(陕西省西安市莲湖区2022届高三下学期高考模拟考试文科数学试题)在①()cos 2cos A B C =+,②sin cos a C A =这两个条件中任选一个作为已知条件,然后解答问题.在ABC 中,角A ,B ,C 的对边分别为a ,b ,c ,______.(1)求角A ;(2)若2b =,4c =,求ABC 的BC 边上的中线AD 的长.8.(陕西省西安地区八校2022届高三下学期5月联考文科数学试题)如图,在平面四边形ABCD 中,E 为AD 2AB =,3BC AE ==,5CD DE ==.(1)若2BE =,求()tan ABE BEA ∠+∠的值;(2)若120BCD ∠=︒,求BE 的长.(2)连接BD .在BCD △中,3BC =,CD 2235235cos1203430BD =+-⨯⨯⨯︒=-由余弦定理,得22232cos 23BE AEB BE +-∠=⨯⨯余弦定理,得22257cos BE BED +-==∠9.(2023·河南信阳·河南省信阳市第二高级中学校联考一模)在ABC 中,角A ,B ,C 的对边分别为a ,b ,c ,若22a b bc -=.(1)求证:2A B =;(2)若3cos 4B =,点D 为边AB 上的一点,CD 平分ACB ∠,1CD =,求边长b .中,由正弦定理可得:在ACD10.(2022·贵州贵阳·贵阳一中校考模拟预测)在①10ac =,②a =③()sin sin 6sin b A C B +=这三个条件中任选一个,补充在下面问题中,若问题中的三角形存在,求c 的值及三角形ABC 的面积;若问题中的三角形不存在,请说明理由.问题:是否存在,ABC 它的内角A ,B ,C 的对边分别为a ,b ,c ,且cos2,3,sin Bb bc C==___________?注:如果选择多个条件分别解答,按第一个解答计分.11.(广东省潮州市2022届高三下学期二模数学试题)已知在ABC 中,A ,B ,C 为三个内角,a ,b ,c 为三边,2cos c b B =,2π3C =.(1)求角B 的大小;(2)在下列两个条件中选择一个作为已知,求出BC 边上的中线的长度.①ABC 的面积为4;②ABC 的周长为4+的三个12.(贵州省铜仁市2023届高三上学期期末质量监测数学(文)试题)设ABC的面积为S.且有关系式:内角A,B,C所对的边长为a,b,c,ABC2+=+.cos2cos22cos2sin sinA B C A B(1)求C;(2)求2cS的最小值.13.(广西四市2022届高三4月教学质量检测数学(文)试题)设ABC 的内角A 、B 、C 所对的边分别为a 、b 、c ,且2cos 2sin c b A b A -=.(1)证明:()sin 2sin sin A B B A -=;(2)若3A B =,求B 的值.14.(广西南宁市第十九中学2023届高三数学(文)信息卷(三)试题)在ABC 中,内角A ,B ,C 所对的边分别为a 、b 、c ,已知2222cos cos b c a ac C c A +-=+.(1)求角A 的大小;(2)若5a =,2c =,求ABC 的面积.15.(江西省南昌市2022届高三第二次模拟测试数学(文)试题)如图,锐角OAB 中,OA OB =,延长BA 到C ,使得3AC =,4AOC π∠=,sin 3OAC =∠.(1)求OC ;(2)求sin BOC ∠.16.(江西省重点中学盟校2022届高三第二次联考数学(文)试题)在ABC 中,内角A ,B ,C 的对边分别为a ,b ,c ,从条件①:sin sin 2B C b a B +=,条件②:1cos 2b a Cc =+,条件③:tan (2)tan b A c b B =-这三个条件中选择一个作为已知条件.(1)求角A ;(2)若3AB AC ⋅=,求a 的最小值.17.(江西省景德镇市2023届高三上学期第二次质检数学(文)试题)在ABC 中,角A ,B ,C 的对边分别为a ,b ,c ,若sin tan cos 2cos C B C A =-且角A 为锐角.(1)求角B ;(2)若ABC b 的最小值.18.(宁夏银川一中2022届高三二模数学(文)试题)ABC 的内角A ,B ,C 所对的边分别为a ,b ,c ,且ABC 的面积tan S B =⋅.(1)求B ;(2)若a 、b 、c 成等差数列,ABC ∆的面积为32,求2b .19.(宁夏平罗中学2022届高三下学期第三次模拟数学(文)试题)已知函数()f x m n =⋅,向量()sin cos n x x x =+ ,()cos sin ,2sin m x x x =-,在锐角ABC 中内角,,A B C 的对边分别为,,a b c ,(1)若()1f A =,求角A 的大小;(2)在(1)的条件下,a =c b +的最大值.20.(内蒙古包头市2022届高三第一次模拟考试文科数学试题(A 卷))如图所示,经过村庄B 有两条夹角为60︒的公路BA 和BC ,根据规划拟在两条公路之间的区域内建一工厂F ,分别在两条公路边上建两个仓库D 和E (异于村庄B ),设计要求3FD FE DE ===(单位:千米).(1)若30BDE ∠=︒,求BF 的值(保留根号);(2)若设BDE θ∠=,当θ为何值时,工厂产生的噪音对村庄B 的居民影响最小(即工厂F 与村庄B 的距离最远),并求其最远距离.(精确到0.1 1.732≈)21.(内蒙古赤峰市2022届高三下学期5月模拟考试数学(文科)试题)ABC 的三个内角A ,B ,C 的对边分别为a ,b ,c 且()()()sin sin sin b c C B c a A +-=-(1)求B ;(2)若2a =,b =ABC 的面积.22.(山西省晋中市2022届高三下学期5月模拟数学(文)试题)在ABC 中,角A ,B ,C 所对的边分别为a ,b ,c .在①23coscos cos 24A C A C --=;②()22sin sin sin 3sin sin A C B A C +=+;③2cos 2b C c a +=这三个条件中任选一个作为已知条件.(1)求角B 的大小;(2)若a c +=ABC 周长的最小值.23.(陕西省宝鸡中学2022届高三下学期高考模拟文科数学试题)已知())cos ,cos ,,cos a x x b x x ==-,()f x a b =⋅ ,(1)求()f x 的单调递增区间;(2)设ABC 的内角,,A B C所对的边分别为,,a b c ,若()12f A =,且a 22b c +的取值范围.24.(广西桂林市第十八中学2020-2021学年高二上学期第一次阶段性考试数学(文)试题)已知ABC 的三个内角、、A B C 的对边分别为a b c 、、,若角A B C ,,成等差数列,且2b =,(1)求ABC 的外接圆直径;(2)求a c +的取值范围.25.(甘肃省天水市田家炳中学2022-2023学年高三下学期开学考试数学(文科)试题)记ABC 的内角,,A B C 的对边分别为,,a b c .已知()()sin sin a B C b c B +=+,D 为边BC 的中点.(1)证明:2A B =;(2)若π3A =,AD ABC 的周长l .26.(河南省平顶山市汝州市2022届高三3月联考文科数学试题)在△ABC 中,内角A ,B ,C 的对边分别为a ,b ,c ,△ABC 的面积S AB AC →→=⋅.(2)延长AC 至点D ,使得CD =AC ,且BD =2BC ,若c =6,求△ABC 的周长.27.(甘肃省酒泉市2022届高三5月联考文科数学试题)在ABC 中,内角A 、B 、C 所对的边分别为a 、b 、c ,已知cos cos 26A C b C ππ⎛⎫⎛⎫--=- ⎪ ⎪⎝⎭⎝⎭.(2)若a b =,P 为ABC 内一点,2PA =,4PC =,则从下面①②③中选取两个作为条件,证明另外一个成立:①BP CP ⊥;②PB =;③150∠= BPA .28.(青海省海东市第一中学2022届高考模拟(一)数学(文)试题)在ABC 中,角A ,B ,C 的对边分别为a ,b ,c ,221cos 2a b bc ac B -+=.(1)求角A ;(2)若sin b A B =,求ABC 面积的最大值.29.(河南省2022-2023年度高三模拟考试数学(文科)试题)已知ABC 的内角,,A B C 所对的边分别为,,a b c ,且(sin sin )sin sin a A C c C b B -+=.(1)求角B ;(2)若5b =,求ABC 周长的最大值.30.(河南省郑州市2023届高三第一次质量预测文科数学试题)在△ABC 中,内角A ,B ,C 所对的边分别是a ,b ,c ,且cos sin b c a B B +=+.(1)求角A 的大小;(2)若D 是BC 边上一点,且2CD DB =,若2AD =,求△ABC 面积的最大值.因为2CD DB=,23 AD AB=由222133AD AB AC⎛⎫=+⎪⎝⎭,所以。
第六单元 解三角形教材复习课“解三角形”相关基础知识一课过1.正弦定理a sin A =b sin B =c sin C =2R ,其中R 是三角形外接圆的半径. 由正弦定理可以变形:(1)a ∶b ∶c =sin_A ∶sin_B ∶sin_C ; (2)a =2R sin A ,b =2R sin B ,c =2R sin C . 2.余弦定理a 2=b 2+c 2-2bc cos_A , b 2=a 2+c 2-2ac cos B , c 2=a 2+b 2-2ab cos_C .余弦定理可以变形:cos A =b 2+c 2-a 22bc ,cos B =a 2+c 2-b 22ac ,cos C =a 2+b 2-c 22ab .[小题速通]1.设△ABC 的内角A ,B ,C 的对边分别为a ,b ,c .若a =2,c =2 3,cos A =32,且b <c ,则b =( )A .3B .2 2C .2D. 3解析:选C 由a 2=b 2+c 2-2bc cos A ,得4=b 2+12-6b ,解得b =2或4,∵b <c ,∴b =2.2.在△ABC 中,角A ,B ,C 的对边分别为a ,b ,c ,若b 2+c 2-a 2=bc ,则角A 的大小为( )A .30°B .60°C .120°D .150°解析:选B 由余弦定理可得b 2+c 2-a 2=2bc cos A ,又因为b 2+c 2-a 2=bc ,所以cos A =12,则A =60°.3.在△ABC 中,角A ,B ,C 的对边分别为a ,b ,c ,若a sin A +b sin B <c sin C ,则△ABC 的形状是( )A .锐角三角形B .直角三角形C .钝角三角形D .不确定解析:选C 根据正弦定理可得a 2+b 2<c 2.由余弦定理得cos C =a 2+b 2-c 22ab <0,所以角C 是钝角,故选C.4.(2018·郑州质量预测)已知a ,b ,c 分别为△ABC 三个内角A ,B ,C 的对边,且(b -c )(sin B +sin C )=(a -3c )sin A ,则角B 的大小为( )A .30°B .45°C .60°D .120°解析:选A 由正弦定理及(b -c )(sin B +sin C )=(a -3c )·sin A ,得(b -c )(b +c )=(a -3c )a ,即b 2-c 2=a 2-3ac ,所以a 2+c 2-b 2=3ac ,又因为cos B =a 2+c 2-b 22ac,所以cos B =32,所以B =30°. 5.在△ABC 中,角A ,B ,C 的对边分别为a ,b ,c ,已知b cos C +3b sin C -a =0,则B =________.解析:由正弦定理可得sin B cos C +3sin B sin C =sin A =sin(B +C )=sin B cos C +sin C cos B ,则3sin B sin C =sin C cos B ,又sin C ≠0,所以tan B =33,则B =30°. 答案:30°[清易错]1.由正弦定理解已知三角形的两边和其中一边的对角求另一边的对角时易忽视解的判断.2.利用正、余弦定理解三角形时,要注意三角形内角和定理对角的范围的限制. 1.在△ABC 中,若a =18,b =24,A =45°,则此三角形解的情况是( ) A .无解 B .两解 C .一解D .不确定解析:选B ∵a sin A =b sin B ,∴sin B =b a sin A =2418sin 45°=223.又∵a <b ,∴B 有两个解, 即此三角形有两解.2.设△ABC 的内角A ,B ,C 的对边分别为a ,b ,c .若a =3,sin B =12,C =π6,则b=________.解析:在△ABC 中,∵sin B =12,0<B <π,∴B =π6或B =5π6.又∵B +C <π,C =π6,∴B =π6,∴A =2π3.∵a sin A =b sin B ,∴b =a sin B sin A=1. 答案:13.在△ABC 中,角A ,B ,C 的对边分别为a ,b ,c ,已知a =7,b =8,c =13,则角C 的大小为________.解析:∵在△ABC 中,a =7,b =8,c =13,∴由余弦定理可得cos C =a 2+b 2-c 22ab =72+82-1322×7×8=-12,∵C ∈(0,π),∴C =2π3. 答案:2π3设△ABC 的边为a ,b ,c ,所对的三个角为A ,B ,C ,其面积为S . (1)S =12ah (h 表示边a 上的高).(2)S =12bc sin A =12ac sin B =12ab sin C .(3)S =12r (a +b +c )(r 为△ABC 内切圆的半径).[小题速通]1.在△ABC 中,a ,b ,c 分别是角A ,B ,C 的对边,若a =1,b =3,B =60°,则△ABC 的面积为( )A.12B.32C .1D. 3解析:选B 在△ABC 中,由正弦定理可得sin A =a sin B b =12,则A =30°,所以C =90°,则△ABC 的面积S =12ab sin C =12×1×3×1=32.2.在△ABC 中,A =60°,AB =2,且△ABC 的面积为32,则BC 的长为( ) A.32B. 3 C .2 3D .2解析:选B 由题意S △ABC =12·AB ·AC ·sin A =32,则AC =1,由余弦定理可得BC =4+1-2×2×1×cos 60°= 3.3.在△ABC 中,B =120°,AC =7,AB =5,则△ABC 的面积为________. 解析:由余弦定理知72=52+BC 2-2×5×BC ×cos 120°, 即49=25+BC 2+5BC ,解得BC =3.故S △ABC =12AB ·BC sin B =12×5×3×32=1534.答案:15344.在△ABC 中,内角A ,B ,C 所对的边分别为a ,b ,c .已知△ABC 的面积为315,b -c =2,cos A =-14,则a 的值为________.解析:由cos A =-14,得sin A =154,所以△ABC 的面积为12bc sin A =12bc ×154=315,解得bc =24,又b -c =2,所以a 2=b 2+c 2-2bc cos A =(b -c )2+2bc -2bc cos A =22+2×24-2×24×⎝⎛⎭⎫-14=64,解得a =8. 答案:8[清易错]应用三角形面积公式S =12ab sin C =12ac sin B =12bc sin A 时,注意公式中的角应为两边的夹角.在△ABC 中,内角A ,B ,C 所对的边分别为a ,b ,c ,若a =2,c =23,A =30°,则△ABC 的面积为________.解析:∵a =2,c =23,A =30°, ∴由正弦定理得sin C =c ·sin A a =32,∴C =60°或120°, ∴B =90°或30°,则S △ABC =12ac sin B =23或 3.答案:23或 31.仰角和俯角在视线和水平线所成的角中,视线在水平线上方的角叫仰角,在水平线下方的角叫俯角(如图①).2.方位角从指北方向顺时针转到目标方向线的水平角,如B 点的方位角为α(如图②). 3.方向角相对于某一正方向的水平角.(1)北偏东α,即由指北方向顺时针旋转α到达目标方向(如图③); (2)北偏西α,即由指北方向逆时针旋转α到达目标方向; (3)南偏西等其他方向角类似.4.坡角与坡度(1)坡角:坡面与水平面所成的二面角(如图④,角θ为坡角);(2)坡度:坡面的铅直高度与水平长度之比(如图④,i 为坡度).坡度又称为坡比. [小题速通]1.(2018·潍坊调研)海面上有A ,B ,C 三个灯塔,AB =10 n mile ,从A 望C 和B 成60°视角,从B 望C 和A 成75°视角,则BC =( )A .10 3 n mile B.1063 n mileC .5 2 n mileD .5 6 n mile解析:选D 如图,在△ABC 中,C =180°-60°-75°=45°,又A =60°,由正弦定理,得AB sin C =BC sin A ,即10sin 45°=BC sin 60°,解得BC =5 6. 2.江岸边有一炮台高30 m ,江中有两条船,船与炮台底部在同一水平面上,由炮台顶部测得俯角分别为45°和60°,而且两条船与炮台底部连线成30°角,则两条船相距________m.解析:如图,OM =AO ·tan 45°=30(m), ON =AO ·tan 30°=33×30=103(m), 在△MON 中,由余弦定理得, MN =900+300-2×30×103×32=300=103(m). 答案:10 33.如图,一艘船上午9:30在A 处测得灯塔S 在它的北偏东30°的方向,之后它继续沿正北方向匀速航行,上午10:00到达B 处,此时又测得灯塔S 在它的北偏东75°的方向,且与它相距8 2 n mile.则此船的航速是________n mile/h.解析:设航速为v n mile/h ,在△ABS 中AB =12v ,BS =82,∠BSA =45°,由正弦定理得82sin 30°=12v sin 45°,则v =32.答案:32[清易错]易混淆方位角与方向角概念:方位角是指北方向线按顺时针转到目标方向线之间的水平夹角,而方向角是正北或正南方向线与目标方向线所成的锐角.若点A 在点C 的北偏东30°,点B 在点C 的南偏东60°,且AC =BC ,则点A 在点B 的( )A .北偏东15°B .北偏西15°C .北偏东10°D .北偏西10°解析:选B 如图所示,∠ACB =90°, 又AC =BC , ∴∠CBA =45°, 而β=30°,∴α=90°-45°-30°=15°. ∴点A 在点B 的北偏西15°.一、选择题1.已知△ABC 中,sin A ∶sin B ∶sin C =1∶1∶3,则此三角形的最大内角为( ) A .60° B .90° C .120°D .135°解析:选C ∵sin A ∶sin B ∶sin C =1∶1∶3, ∴a ∶b ∶c =1∶1∶3,设a =m ,则b =m ,c =3m . ∴cos C =a 2+b 2-c 22ab =m 2+m 2-3m 22m 2=-12, ∴C =120°.2.在△ABC 中,已知b =40,c =20,C =60°,则此三角形的解的情况是( ) A .有一解 B .有两解C .无解D .有解但解的个数不确定解析:选C 由正弦定理得b sin B =c sin C, ∴sin B =b sin Cc =40×3220=3>1.∴角B 不存在,即满足条件的三角形不存在.3.在△ABC 中,内角A ,B ,C 的对边分别为a ,b ,c ,若c =2a ,b =4,cos B =14.则c 的值为( )A .4B .2C .5D .6解析:选A ∵c =2a ,b =4,cos B =14,∴由余弦定理得b 2=a 2+c 2-2ac cos B , 即16=14c 2+c 2-14c 2=c 2,解得c =4.4.已知△ABC 中,内角A ,B ,C 所对边分别为a ,b ,c ,若A =π3,b =2a cos B ,c =1,则△ABC 的面积等于( )A.32B.34C.36D.38解析:选B 由正弦定理得sin B =2sin A cos B ,故tan B =2sin A =2sin π3=3,又B ∈(0,π),所以B =π3,又A =B =π3,则△ABC 是正三角形,所以S △ABC =12bc sin A =12×1×1×32=34.5.(2018·湖南四校联考)在△ABC 中,角A ,B ,C 所对的边分别为a ,b ,c ,若(a 2+b 2-c 2)tan C =ab ,则角C 的大小为( )A.π6或5π6B.π3或2π3C.π6D.2π3解析:选A 由题意知,a 2+b 2-c 22ab =12tan C ⇒cos C =cos C 2sin C ,sin C =12,又C ∈(0,π),∴C =π6或5π6.6.已知A ,B 两地间的距离为10 km ,B ,C 两地间的距离为20 km ,现测得∠ABC =120°,则A ,C 两地间的距离为( )A .10 kmB .10 3 kmC .10 5 kmD .107 km解析:选D 如图所示,由余弦定理可得,AC 2=100+400-2×10×20×cos 120°=700,∴AC =107(km).7.(2018·贵州质检)在△ABC 中,内角A ,B ,C 所对的边分别是a ,b ,c ,若c 2=(a -b )2+6,C =π3,则△ABC 的面积是( )A .3 B.932 C.332D .3 3解析:选C ∵c 2=(a -b )2+6, ∴c 2=a 2+b 2-2ab +6.①∵C =π3,∴c 2=a 2+b 2-2ab cos π3=a 2+b 2-ab .②由①②得-ab +6=0,即ab =6. ∴S △ABC =12ab sin C =12×6×32=332.8.一艘海轮从A 处出发,以每小时40 n mile 的速度沿南偏东40°的方向直线航行,30分钟后到达B 处,在C 处有一座灯塔,海轮在A 处观察灯塔,其方向是南偏东70°,在B 处观察灯塔,其方向是北偏东65°,那么B ,C 两点间的距离是( )A .10 2 n mileB .10 3 n mileC .20 3 n mileD .20 2 n mile解析:选A 画出示意图如图所示,易知,在△ABC 中,AB =20,∠CAB =30°,∠ACB =45°,根据正弦定理得BC sin 30°=ABsin 45°,解得BC =10 2.故B ,C 两点间的距离是10 2 n mile. 二、填空题9.在△ABC 中,角A ,B ,C 所对的边分别为a ,b ,c ,且a =2,cos C =-14,3sin A=2sin B ,则c =________.解析:因为3sin A =2sin B ,所以由正弦定理可得3a =2b ,则b =3,由余弦定理可得c 2=a 2+b 2-2ab cos C =4+9-2×2×3×⎝⎛⎭⎫-14=16,则c =4. 答案:410.在△ABC 中,角A ,B ,C 所对的边分别为a ,b ,c .若角A ,B ,C 成等差数列,且边a ,b ,c 成等比数列,则△ABC 的形状为________.解析:∵在△ABC 中,角A ,B ,C 成等差数列, ∴2B =A +C ,由三角形内角和定理,可得B =π3,又∵边a ,b ,c 成等比数列,∴b 2=ac , 由余弦定理可得b 2=a 2+c 2-2ac cos B , ∴ac =a 2+c 2-ac ,即a 2+c 2-2ac =0, 故(a -c )2=0,可得a =c , 所以△ABC 的形状为等边三角形. 答案:等边三角形11.已知△ABC 中,角A ,B ,C 所对的边分别为a ,b ,c ,且a =x ,b =2,B =45°,若三角形有两解,则x 的取值范围为________.解析:由AC =b =2,要使三角形有两解,就是要使以C 为圆心,以2为半径的圆与AB 有两个交点,当A =90°时,圆与AB 相切,只有一解;当A =45°时,交于B 点,也就是只有一解,所以要使三角形有两解,需满足45°<A <90°,即22<sin A <1,由正弦定理可得a =x =b sin Asin B=22sin A ,所以2<x <2 2. 答案:(2,22)12.如图,航空测量组的飞机航线和山顶在同一铅直平面内,已知飞机的飞行高度为10 000 m ,速度为50 m/s.某一时刻飞机看山顶的俯角为15°,经过420 s 后看山顶的俯角为45°,则山顶的海拔高度为________m .(取2=1.4,3=1.7)解析:如图,作CD 垂直于AB 的延长线于点D ,由题意知∠A =15°,∠DBC =45°,∴∠ACB =30°,AB =50×420=21 000(m).又在△ABC 中,BC sin A =ABsin ∠ACB ,∴BC =21 00012×sin 15°=10 500(6-2).∵CD ⊥AD ,∴CD =BC ·sin ∠DBC =10 500(6-2)×22=10 500(3-1)=7 350. 故山顶的海拔高度h =10 000-7 350=2 650(m). 答案:2 650 三、解答题13.(2017·山东高考)在△ABC 中,角A ,B ,C 的对边分别为a ,b ,c .已知b =3,AB ―→AC ―→=-6,S △ABC =3,求A 和a .解:因为AB ―→·AC ―→=-6, 所以bc cos A =-6, 又S △ABC =3, 所以bc sin A =6,因此tan A =-1,又0<A <π, 所以A =3π4. 又b =3,所以c =2 2.由余弦定理a 2=b 2+c 2-2bc cos A , 得a 2=9+8-2×3×22×⎝⎛⎭⎫-22=29, 所以a =29.14.在△ABC 中,角A ,B ,C 的对边分别为a ,b ,c ,已知2b cos C =a cos C +c cos A . (1)求角C 的大小;(2)若b =2,c =7,求a 及△ABC 的面积. 解:(1)∵2b cos C =a cos C +c cos A ,∴由正弦定理可得2sin B cos C =sin A cos C +cos A sin C ,即2sin B cos C =sin(A +C )=sin B.又sin B ≠0,∴cos C =12,C =π3.(2)∵b =2,c =7,C =π3,∴由余弦定理可得7=a 2+4-2×a ×2×12,即a 2-2a -3=0, 解得a =3或-1(舍去),∴△ABC 的面积S =12ab sin C =12×3×2×32=332.高考研究课(一)正、余弦定理的3个基础点——边角、形状和面积 [全国卷5年命题分析][典例] ,b ,c .已知a >b ,a =5,c =6,sin B =35.(1)求b 和sin A 的值; (2)求sin ⎝⎛⎭⎫2A +π4的值. [解] (1)在△ABC 中,因为a >b , 故由sin B =35,可得cos B =45.由已知及余弦定理,得b 2=a 2+c 2-2ac cos B =13, 所以b =13.由正弦定理a sin A =b sin B ,得sin A =a sin B b =31313.所以b 的值为13,sin A 的值为31313. (2)由(1)及a <c ,得cos A =21313,所以sin 2A =2sin A cos A =1213,cos 2A =1-2sin 2A =-513. 故sin ⎝⎛⎭⎫2A +π4=sin 2A cos π4+cos 2A sin π4=22×⎝⎛⎭⎫1213-513=7226. [方法技巧]应用正、余弦定理的解题策略(1)解三角形时,如果式子中含有角的余弦或边的二次式,要考虑用余弦定理;如果式子中含有角的正弦或边的一次式时,则考虑用正弦定理;以上特征都不明显时,则要考虑两个定理都有可能用到.(2)三角形解的个数的判断:已知两角和一边,该三角形是确定的,其解是唯一的;已知两边和一边的对角,该三角形具有不唯一性,通常根据三角函数值的有界性和大边对大角定理进行判断.[即时演练]1.(2017·山东高考)在△ABC 中,角A ,B ,C 的对边分别为a ,b ,c .若△ABC 为锐角三角形,且满足sin B (1+2cos C )=2sin A cos C +cos A sin C ,则下列等式成立的是( )A .a =2bB .b =2aC .A =2BD .B =2A解析:选A 由题意可知sin B +2sin B cos C =sin A cos C +sin(A +C ),即2sin B cos C =sin A cos C ,又cos C ≠0,故2sin B =sin A ,由正弦定理可知a =2b .2.(2017·全国卷Ⅱ)△ABC 的内角A ,B ,C 的对边分别为a ,b ,c ,若2b cos B =a cos C +c cos A ,则B =________.解析:法一:由2b cos B =a cos C +c cos A 及正弦定理,得 2sin B cos B =sin A cos C +sin C cos A =sin(A +C )=sin B >0, 因此cos B =12.又0<B <π,所以B =π3.法二:由2b cos B =a cos C +c cos A 及余弦定理,得 2b ·a 2+c 2-b 22ac =a ·a 2+b 2-c 22ab +c ·b 2+c 2-a 22bc ,整理得,a 2+c 2-b 2=ac , 所以2ac cos B =ac >0,cos B =12.又0<B <π,所以B =π3.答案:π33.(2018·成都二诊)如图,在平面四边形ABCD 中,已知A =π2,B =2π3,AB =6.在AB 边上取点E ,使得BE =1,连接EC ,ED .若∠CED =2π3,EC =7.(1)求sin ∠BCE 的值; (2)求CD 的长.解:(1)在△BEC 中,由正弦定理,知BE sin ∠BCE =CEsin B .∵B =2π3,BE =1,CE =7,∴sin ∠BCE =BE ·sin B CE =327=2114.(2)∵∠CED =B =2π3,∴∠DEA =∠BCE ,∴cos ∠DEA =1-sin 2∠DEA =1-sin 2∠BCE =1-328=5714.∵A =π2,∴△AED 为直角三角形,又AE =5,∴ED =AE cos ∠DEA =55714=27.在△CED 中,CD 2=CE 2=+DE 2-2CE ·DE ·cos ∠CED =7+28-2×7×27×⎝⎛⎭⎫-12=49.∴CD =7.+b )sin(A -B )=(a -b )·sin(A +B )”,试判断三角形的形状.[解] ∵(a 2+b 2)sin(A -B )=(a 2-b 2)sin(A +B ), ∴b 2[sin(A +B )+sin(A -B )]=a 2[sin(A +B )-sin(A -B )], ∴2sin A cos B ·b 2=2cos A sin B ·a 2,即a 2cos A sin B =b 2sin A cos B. 法一:用“边化角”解题由正弦定理得a =2R sin A ,b =2R sin B , ∴sin 2A cos A sin B =sin 2B sin A cos B , 又sin A ·sin B ≠0,∴sin A cos A =sin B cos B , ∴sin 2A =sin 2B .在△ABC 中,0<2A <2π,0<2B <2π, ∴2A =2B 或2A =π-2B ,∴A =B 或A +B =π2.∴△ABC 为等腰三角形或直角三角形. 法二:用“角化边”解题 由正弦定理、余弦定理得:a 2b ·b 2+c 2-a 22bc =b 2a ·a 2+c 2-b 22ac , ∴a 2(b 2+c 2-a 2)=b 2(a 2+c 2-b 2), ∴(a 2-b 2)(a 2+b 2-c 2)=0, ∴a 2-b 2=0或a 2+b 2-c 2=0. 即a =b 或a 2+b 2=c 2.∴△ABC 为等腰三角形或直角三角形. [方法技巧]判断三角形形状的2种方法(1)“边化角”利用正弦、余弦定理把已知条件转化为只含内角的三角函数间的关系,通过三角函数恒等变形,得出内角的关系,从而判断出三角形的形状,此时要注意应用A +B +C =π这个结论.(2)“角化边”利用正弦、余弦定理把已知条件转化为只含边的关系,通过因式分解、配方等得出边的相应关系,从而判断三角形的形状.[提醒] 在两种解法的等式变形中,一般两边不要约去公因式,应移项提取公因式,以免漏解.[即时演练]1.设△ABC 的内角A ,B ,C 所对的边分别为a ,b ,c ,若b cos C +c cos B =a sin A ,则△ABC 的形状为( )A .锐角三角形B .直角三角形C .钝角三角形D .不确定解析:选B 依据题设条件的特点,由正弦定理, 得sin B cos C +cos B sin C =sin 2A ,有sin(B +C )=sin 2A , 从而sin(B +C )=sin A =sin 2A ,解得sin A =1, ∴A =π2,∴△ABC 是直角三角形.2.在△ABC 中,“2a sin A =(2b +c )sin B +(2c +b )sin C ,且sin B +sin C =1”,试判断△ABC 的形状.解:由已知,根据正弦定理得2a 2=(2b +c )b +(2c +b )c , 即a 2=b 2+c 2+bc ,由余弦定理得,cos A =-12,sin A =32,则sin 2A =sin 2B +sin 2C +sin B sin C . 又sin B +sin C =1,所以sin B sin C =14,解得sin B =sin C =12.因为0<B <π2,0<C <π2,故B =C =π6,所以△ABC 是等腰钝角三角形.[典例] (2017·a ,b ,c ,已知sin(A +C )=8sin 2B2.(1)求cos B ;(2)若a +c =6,△ABC 的面积为2,求b .[解] (1)由题设及A +B +C =π得sin B =8sin 2B2,即sin B =4(1-cos B ), 故17cos 2B -32cos B +15=0, 解得cos B =1517或cos B =1(舍去).(2)由cos B =1517,得sin B =817,故S △ABC =12ac sin B =417ac .又S △ABC =2,则ac =172. 由余弦定理及a +c =6得b 2=a 2+c 2-2ac cos B =(a +c )2-2ac (1+cos B )=36-2×172×⎝⎛⎭⎫1+1517=4. 所以b =2. [方法技巧]三角形面积公式的应用原则(1)对于面积公式S =12ab sin C =12ac sin B =12bc sin A ,一般是已知哪一个角就使用哪一个公式.(2)与面积有关的问题,一般要用到正弦定理或余弦定理进行边和角的转化. [即时演练]1.(2018·太原一模)在△ABC 中,角A ,B ,C 所对的边分别为a ,b ,c ,若A =60°,b =1,S △ABC =3,则c 等于( )A .1B .2C .3D .4解析:选D ∵S △ABC =12bc sin A ,∴3=12×1×c ×32,∴c =4.2.(2018·陕西四校联考)在△ABC 中,角A ,B ,C 的对边分别为a ,b ,c ,且cos A =13. (1)求cos 2B +C2+cos 2A 的值;(2)若a =3,求△ABC 面积的最大值. 解:(1)cos 2B +C2+cos 2A =1+cos (B +C )2+2cos 2A -1=12-cos A 2+2cos 2A -1 =12-12×13+2×⎝⎛⎭⎫132-1 =-49.(2)由余弦定理可得(3)2=b 2+c 2-2bc cos A =b 2+c 2-23bc ≥2bc -23bc =43bc ,所以bc ≤94,当且仅当b =c =32时,bc 有最大值94.又cos A =13,A ∈(0,π),所以sin A =1-cos 2A =1-⎝⎛⎭⎫132=223,于是△ABC 面积的最大值为12×94×223=324.1.(2016·全国卷Ⅲ)在△ABC 中,B =π4,BC 边上的高等于13BC ,则cos A =( )A.31010B.1010 C .-1010D .-31010解析:选C 法一:设△ABC 中角A ,B ,C 所对的边分别为a ,b ,c , 则由题意得S △ABC =12a ·13a =12ac sin B ,∴c =23a .由余弦定理得b 2=a 2+c 2-2ac cos B =a 2+29a 2-2×a ×23a ×22=59a 2,∴b =53a .∴cos A =b 2+c 2-a 22bc =59a 2+29a 2-a 22×53a ×23a=-1010.法二:如图,AD 为△ABC 中BC 边上的高.设BC =a ,由题意知AD =13BC =13a ,B =π4,易知BD =AD =13a ,DC =23a .在Rt △ABD 中,由勾股定理得, AB =⎝⎛⎭⎫13a 2+⎝⎛⎭⎫13a 2=23a .同理,在Rt △ACD 中,AC = ⎝⎛⎭⎫13a 2+⎝⎛⎭⎫23a 2=53a . ∴cos A =59a 2+29a 2-a 22×53a ×23a=-1010.2.(2017·全国卷Ⅲ)△ABC 的内角A ,B ,C 的对边分别为a ,b ,c .已知C =60°,b =6,c =3,则A =________.解析:由正弦定理,得sin B =b sin Cc =6sin 60°3=22, 因为0°<B <180°,所以B =45°或135°. 因为b <c ,所以B <C ,故B =45°, 所以A =180°-60°-45°=75°.答案:75°3.(2016·全国卷Ⅱ)△ABC 的内角A ,B ,C 的对边分别为a ,b ,c ,若cos A =45,cos C=513,a =1,则b =________. 解析:因为A ,C 为△ABC 的内角,且cos A =45,cos C =513,所以sin A =35,sin C =1213,所以sin B =sin(π-A -C )=sin(A +C ) =sin A cos C +cos A sin C =35×513+45×1213=6365.又a =1,所以由正弦定理得b =a sin B sin A =6365×53=2113.答案:21134.(2017·全国卷Ⅰ)△ABC 的内角A ,B ,C 的对边分别为a ,b ,c .已知△ABC 的面积为a 23sin A. (1)求sin B sin C ;(2)若6cos B cos C =1,a =3,求△ABC 的周长. 解:(1)由题设得12ac sin B =a 23sin A ,即12c sin B =a 3sin A. 由正弦定理得12sin C sin B =sin A 3sin A .故sin B sin C =23.(2)由题设及(1)得cos B cos C -sin B sin C =-12,即cos(B +C )=-12.所以B +C =2π3,故A =π3.由题设得12bc sin A =a 23sin A,即bc =8.由余弦定理得b 2+c 2-bc =9,即(b +c )2-3bc =9, 得b +c =33.故△ABC 的周长为3+33.5.(2017·全国卷Ⅲ)△ABC 的内角A ,B ,C 的对边分别为a ,b ,c .已知sin A +3cos A=0,a =27,b =2.(1)求c ;(2)设D 为BC 边上一点,且AD ⊥AC ,求△ABD 的面积. 解:(1)由已知可得tan A =-3,所以A =2π3.在△ABC 中,由余弦定理得28=4+c 2-4c cos 2π3, 即c 2+2c -24=0. 解得c =4(负值舍去). (2)由题设可得∠CAD =π2,所以∠BAD =∠BAC -∠CAD =π6.故△ABD 的面积与△ACD 的面积的比值为 12AB ·AD ·sin π612AC ·AD =1.又△ABC 的面积为12×4×2×sin 2π3=23,所以△ABD 的面积为 3.6.(2016·全国卷Ⅰ)△ABC 的内角A ,B ,C 的对边分别为a ,b ,c ,已知2cos C (a cos B +b cos A )=c .(1)求C ;(2)若c =7,△ABC 的面积为332,求△ABC 的周长. 解:(1)由已知及正弦定理得2cos C (sin A cos B +sin B cos A )=sin C , 即2cos C sin(A +B )=sin C , 故2sin C cos C =sin C .因为sin C ≠0,可得cos C =12,所以C =π3.(2)由已知得12ab sin C =332.又C =π3,所以ab =6.由已知及余弦定理得a 2+b 2-2ab cos C =7, 故a 2+b 2=13,从而(a +b )2=25. 所以△ABC 的周长为5+7.7.(2015·全国卷Ⅱ)△ABC 中,D 是BC 上的点,AD 平分∠BAC ,BD =2DC . (1)求sin Bsin C; (2)若∠BAC =60°,求B . 解:(1)由正弦定理,得AD sin B =BD sin ∠BAD ,AD sin C =DCsin ∠CAD . 因为AD 平分∠BAC ,BD =2DC , 所以sin B sin C =DC BD =12.(2)因为C =180°-(∠BAC +B ),∠BAC =60°, 所以sin C =sin(∠BAC +B )=32cos B +12sin B. 由(1)知2sin B =sin C ,所以tan B =33, 所以B =30°.8.(2013·全国卷Ⅱ)△ABC 的内角A ,B ,C 的对边分别为a ,b ,c ,已知a =b cos C +c sin B.(1)求B ;(2)若b =2,求△ABC 面积的最大值.解:(1)由已知及正弦定理得sin A =sin B cos C +sin C sin B . ① 又A =π-(B +C ),故sin A =sin(B +C )=sin B cos C +cos B sin C . ② 由①②和C ∈(0,π)得sin B =cos B. 又B ∈(0,π),所以B =π4.(2)△ABC 的面积S =12ac sin B =24ac .由已知及余弦定理得4=a 2+c 2-2ac cos π4.又a 2+c 2≥2ac ,故ac ≤42-2, 当且仅当a =c 时,等号成立. 因此△ABC 面积的最大值为24×42-2=2+1.一、选择题1.在△ABC 中,角A ,B ,C 的对边分别为a ,b ,c ,已知a =1,b =3,A =30°,若B 为锐角,则A ∶B ∶C =( )A .1∶1∶3B .1∶2∶3C .1∶3∶2D .1∶4∶1解析:选B 因为a =1,b =3,A =30°,B 为锐角,所以由正弦定理可得sin B =b sin Aa =32,则B =60°,所以C =90°,则A ∶B ∶C =1∶2∶3. 2.如果将直角三角形三边增加相同的长度,则新三角形一定是( ) A .锐角三角形 B .钝角三角形 C .直角三角形D .根据增加的长度确定三角形的形状解析:选A 设原来直角三角形的三边长是a ,b ,c 且a 2=b 2+c 2,在原来的三角形三条边长的基础上都加上相同的长度,设为d ,原来的斜边仍然是最长的边,故cos A =(b +d )2+(c +d )2-(a +d )22(b +d )(c +d )=2bd +2cd +d 2-2ad2(b +d )(c +d )>0,所以新三角形中最大的角是一个锐角,故选A.3.(2018·太原模拟)在△ABC 中,角A ,B ,C 所对的边分别为a ,b ,c ,若b 2+c 2-a 2=3bc ,且b =3a ,则下列关系一定不成立的是( )A .a =cB .b =cC .2a =cD .a 2+b 2=c 2解析:选B 由余弦定理,得cos A =b 2+c 2-a 22bc =3bc 2bc =32,则A =30°.又b =3a ,由正弦定理得sin B =3sin A =3sin 30°=32,所以B =60°或120°.当B =60°时,△ABC 为直角三角形,且2a =c ,可知C 、D 成立;当B =120°时,C =30°,所以A =C ,即a =c ,可知A 成立,故选B.4.在直角梯形ABCD 中,AB ∥CD ,∠ABC =90°,AB =2BC =2CD ,则cos ∠DAC =( )A.1010 B.31010C.55D.255解析:选B 如图所示,设CD =a ,则易知AC =5a ,AD =2a ,在△ACD 中,CD 2=AD 2+AC 2-2AD ×AC ×cos ∠DAC ,∴a 2=(2a )2+(5a )2-2×2a ×5a ×cos ∠DAC ,∴cos ∠DAC =31010. 5.在△ABC 中,内角A ,B ,C 的对边分别为a ,b ,c ,若△ABC 的面积为S ,且2S =(a +b )2-c 2,则tan C 等于( )A.34B.43 C .-43D .-34解析:选C 因为2S =(a +b )2-c 2=a 2+b 2-c 2+2ab , 则由面积公式与余弦定理,得ab sin C =2ab cos C +2ab , 即sin C -2cos C =2,所以(sin C -2cos C )2=4, 即sin 2C -4sin C cos C +4cos 2C sin 2C +cos 2C =4,所以tan 2C -4tan C +4tan 2C +1=4,解得tan C =-43或tan C =0(舍去).6.在△ABC 中,角A ,B ,C 所对的边分别为a ,b ,c ,且满足b 2+c 2-a 2=bc ,AB ―→·BC ―→>0,a =32,则b +c 的取值范围是( ) A.⎝⎛⎭⎫1,32 B.⎝⎛⎭⎫32,32C.⎝⎛⎭⎫12,32D.⎝⎛⎦⎤12,32解析:选B 在△ABC 中,b 2+c 2-a 2=bc , 由余弦定理可得cos A =b 2+c 2-a 22bc =bc 2bc =12,∵A 是△ABC 的内角,∴A =60°. ∵a =32, ∴由正弦定理得a sin A =b sin B =c sin C =c sin (120°-B )=1, ∴b +c =sin B +sin(120°-B )=32sin B +32cos B=3sin(B +30°).∵AB ―→·BC ―→=|AB ―→|·|BC ―→|·cos(π-B )>0, ∴cos B <0,B 为钝角,∴90°<B <120°,120°<B +30°<150°,故sin(B +30°)∈⎝⎛⎭⎫12,32, ∴b +c =3sin(B +30°)∈⎝⎛⎭⎫32,32. 二、填空题7.在△ABC 中,角A ,B ,C 的对边分别为a ,b ,c ,且2c cos B =2a +b ,若△ABC 的面积S =32c ,则ab 的最小值为________. 解析:将2c cos B =2a +b 中的边化为角可得2sin C cos B =2sin A +sin B =2sin C cos B +2sin B cos C +sin B .则2sin B cos C +sin B =0,因为sin B ≠0,所以cos C =-12,则C =120°,所以S =12ab sin 120°=32c ,则c =12ab .由余弦定理可得⎝⎛⎭⎫12ab 2=a 2+b 2-2ab cos C ≥3ab ,则ab ≥12,当且仅当a =b =23时取等号,所以ab 的最小值为12.答案:128.(2017·浙江高考)已知△ABC ,AB =AC =4,BC =2.点D 为AB 延长线上一点,BD =2,连接CD ,则△BDC 的面积是________,cos ∠BDC =________.解析:在△ABC 中,AB =AC =4,BC =2, 由余弦定理得cos ∠ABC =AB 2+BC 2-AC 22AB ·BC=42+22-422×4×2=14, 则sin ∠ABC =sin ∠CBD =154, 所以S △BDC =12BD ·BC sin ∠CBD =12×2×2×154=152.因为BD =BC =2,所以∠CDB =12∠ABC ,则cos ∠CDB = cos ∠ABC +12=104.答案:1521049.已知a ,b ,c 分别为△ABC 三个内角A ,B ,C 的对边,a =2,且(2+b )(sin A -sin B )=(c -b )sin C ,则△ABC 面积的最大值为________.解析:因为a =2,且(2+b )(sin A -sin B )=(c -b )sin C , 所以(a +b )(sin A -sin B )=(c -b )sin C . 由正弦定理得b 2+c 2-bc =4,又因为b 2+c 2≥2bc ,所以bc ≤4,当且仅当b =c =2时取等号,此时三角形为等边三角形,所以S =12bc sin 60°≤12×4×32=3,故△ABC 的面积的最大值为 3. 答案: 3 三、解答题10.(2017·天津高考)在△ABC 中,内角A ,B ,C 所对的边分别为a ,b ,c .已知a sin A =4b sin B ,ac =5(a 2-b 2-c 2).(1)求cos A 的值; (2)求sin(2B -A )的值. 解:(1)由a sin A =4b sin B ,及a sin A =bsin B,得a =2b . 由ac =5(a 2-b 2-c 2)及余弦定理, 得cos A =b 2+c 2-a 22bc =-55ac ac =-55.(2)由(1),可得sin A =255,代入a sin A =4b sin B ,得sin B =a sin A 4b =55. 由(1)知,A 为钝角,所以cos B =1-sin 2B =255. 于是sin 2B =2sin B cos B =45,cos 2B =1-2sin 2B =35,故sin(2B -A )=sin 2B cos A -cos2B sin A=45×⎝⎛⎭⎫-55-35×255=-255. 11.在△ABC 中,角A ,B ,C 的对边分别为a ,b ,c .已知a sin B =3b cos A . (1)求角A 的大小;(2)若a =7,b =2,求△ABC 的面积.解:(1)因为a sin B =3b cos A ,由正弦定理得sin A sin B =3sin B cos A . 又sin B ≠0,从而tan A = 3. 由于0<A <π,所以A =π3.(2)法一:由余弦定理a 2=b 2+c 2-2bc cos A ,及a =7,b =2,A =π3,得7=4+c 2-2c ,即c 2-2c -3=0. 因为c >0,所以c =3.故△ABC 的面积S =12bc sin A =332.法二:由正弦定理,得7sinπ3=2sin B ,从而sin B =217,又由a >b ,知A >B ,所以cos B =277. 故sin C =sin(A +B )=sin ⎝⎛⎭⎫B +π3=sin B cos π3+cos B sin π3=32114. 所以△ABC 的面积S =12ab sin C =332.12.在△ABC 中,内角A ,B ,C 所对的边分别为a ,b ,c ,sin B ·(a cos B +b cos A )=3c cos B.(1)求B ;(2)若b =23,△ABC 的面积为23,求△ABC 的周长. 解:(1)由正弦定理得,sin B (sin A cos B +sin B cos A )=3sin C cos B , ∴sin B sin(A +B )=3sin C cos B , ∴sin B sin C =3sin C cos B.∵sin C ≠0,∴sin B =3cos B ,即tan B = 3. ∵B ∈(0,π),∴B =π3.(2)∵S △ABC =12ac sin B =34ac =23,∴ac =8.根据余弦定理得,b 2=a 2+c 2-2ac cos B , ∴12=a 2+c 2-8,即a 2+c 2=20, ∴a +c =(a +c )2=a 2+2ac +c 2=6, ∴△ABC 的周长为6+2 3.1.在平面五边形ABCDE 中,已知∠A =120°,∠B =90°,∠C =120°,∠E =90°,AB =3,AE =3,当五边形ABCDE 的面积S ∈⎣⎡⎭⎫63,3334时,则BC 的取值范围为________. 解析:因为AB =3,AE =3,且∠A =120°,由余弦定理可得BE =AB 2+AE 2-2AB ·AE ·cos A =33,且∠ABE =∠AEB =30°. 又∠B =90°,∠E =90°,所以∠DEB =∠EBC =60°. 又∠C =120°,所以四边形BCDE 是等腰梯形. 易得三角形ABE 的面积为934,所以四边形BCDE 的面积的取值范围是⎣⎡⎭⎫1534,63. 在等腰梯形BCDE 中,令BC =x ,则CD =33-x ,且梯形的高为3x2, 故梯形BCDE 的面积为12·(33+33-x )·3x 2,即15≤(63-x )x <24, 解得3≤x <23或43<x ≤5 3. 答案:[3,23)∪(43,53]2.如图,有一直径为8 m 的半圆形空地,现计划种植果树,但需要有辅助光照.半圆周上的C 处恰有一可旋转光源满足果树生长的需要,该光源照射范围是∠ECF =π6,点E ,F 在直径AB 上,且∠ABC =π6.(1)若CE =13,求AE 的长;(2)设∠ACE =α,求该空地种植果树的最大面积. 解:(1)由已知得△ABC 为直角三角形, 因为AB =8,∠ABC =π6,所以∠BAC =π3,AC =4.在△ACE 中,由余弦定理得,CE 2=AC 2+AE 2-2AC ·AE cos A ,且CE =13, 所以13=16+AE 2-4AE , 解得AE =1或AE =3.(2)因为∠ACB =π2,∠ECF =π6,所以∠ACE =α∈⎣⎡⎦⎤0,π3, 所以∠AFC =π-∠BAC -∠ACF =π-π3-⎝⎛⎭⎫α+π6=π2-α, 在△ACF 中,由正弦定理得CF sin ∠BAC =AC sin ∠AFC =AC sin ⎝⎛⎭⎫π2-α=AC cos α,所以CF =23cos α,在△ACE 中,由正弦定理得CE sin ∠BAC =AC sin ∠AEC =ACsin ⎝⎛⎭⎫π3+α,所以CE =23sin ⎝⎛⎭⎫π3+α,所以S △ECF =12CE ·CF sin ∠ECF =3sin ⎝⎛⎭⎫π3+αcos α=122sin ⎝⎛⎭⎫2α+π3+3.因为α∈⎣⎡⎦⎤0,π3,所以π3≤2α+π3≤π, 所以0≤sin ⎝⎛⎭⎫2α+π3≤1, 所以当sin ⎝⎛⎭⎫2α+π3=0,即α=π3时,S △ECF 取得最大值为4 3. 即该空地种植果树的最大面积为4 3 m 2. 高考研究课(二)正、余弦定理的3个应用点——高度、距离和角度 [全国卷5年命题分析]考点 考查频度 考查角度 高度问题 5年1考 测量山高问题距离问题 未考查 角度问题未考查测量高度问题[典例] 如图,一辆汽车在一条水平的公路上向正西行驶,到A 处时测得公路北侧一山顶D 在西偏北30°的方向上,行驶600 m 后到达B 处,测得此山顶在西偏北75°的方向上,仰角为30°,则此山的高度CD =________m.[解析] 由题意,在△ABC 中,∠BAC =30°, ∠ABC =180°-75°=105°,故∠ACB =45°. 又AB =600 m ,故由正弦定理得600sin 45°=BC sin 30°, 解得BC =300 2 m. 在Rt △BCD 中, CD =BC ·tan 30°=3002×33=100 6(m). [答案] 100 6 [方法技巧]利用正、余弦定理求解高度问题应注意的3个方面(1)在处理有关高度问题时,要理解仰角、俯角(它是在铅垂面上所成的角)、方向(位)角(它是在水平面上所成的角)是关键.(2)在实际问题中,可能会遇到空间与平面(地面)同时研究的问题,这时最好画两个图形,一个空间图形,一个平面图形,这样处理起来既清楚又不容易搞错.(3)注意山或塔垂直于地面或海平面,把空间问题转化为平面问题. [即时演练]1.要测量底部不能到达的电视塔AB 的高度,在C 点测得塔顶A 的仰角是45°,在D 点测得塔顶A 的仰角是30°,并测得水平面上的∠BCD =120°,CD =40 m ,则电视塔的高度为( )A .10 2 mB .20 mC .20 3 mD .40 m解析:选D 设电视塔的高度为x m ,则BC =x ,BD =3x .在△BCD 中,根据余弦定理得3x 2=x 2+402-2×40x ×cos 120°,即x 2-20x -800=0,解得x =40或x =-20(舍去).故电视塔的高度为40 m.2.如图,为测得河岸塔AB 的高,先在河岸上选一点C ,使C 在塔底B 的正东方向上,测得点A 的仰角为60°,再由点C 沿北偏东15°方向走10 m 到位置D ,测得∠BDC =45°,则塔AB 的高是________m.解析:在△BCD 中,CD =10,∠BDC =45°, ∠BCD =15°+90°=105°,∠DBC =30°, 由正弦定理得,BC sin 45°=CDsin 30°, 所以BC =CD sin 45°sin 30°=10 2.在Rt △ABC 中,tan 60°=ABBC ,AB =BC tan 60°=106(m). 答案:10 6测量距离问题[典例]侧,且B 点不可到达,要测出A ,B 的距离,其方法在A 所在的岸边选定一点C ,可以测出A ,C 的距离m ,再借助仪器,测出∠ACB =α,∠CAB =β,在△ABC 中,运用正弦定理就可以求出AB .若测出AC =60 m ,∠BAC =75°,∠BCA =45°,则A ,B 两点间的距离为________m. [解析] ∵∠ABC =180°-75°-45°=60°, ∴由正弦定理得,AB sin C =ACsin B,∴AB =AC ·sin C sin B =60×sin 45°sin 60°=206(m).即A ,B 两点间的距离为20 6 m. [答案] 20 6 [方法技巧]求距离问题的2个注意事项(1)选定或确定要创建的三角形,首先确定所求量所在的三角形,若其他量已知则直接求解;若有未知量,则把未知量放在另一确定三角形中求解.(2)确定用正弦定理还是余弦定理,如果都可用,就选择更便于计算的定理. [即时演练]1.如图所示,要测量一水塘两侧A ,B 两点间的距离,其方法先选定适当的位置C ,用经纬仪测出角α,再分别测出AC ,BC 的长b ,a ,则可求出A ,B 两点间的距离.即AB =a 2+b 2-2ab cos α.若测得CA =400 m ,CB =600 m ,∠ACB =60°,则AB 的长为________m. 解析:在△ABC 中,由余弦定理得 AB 2=AC 2+BC 2-2AC ·BC cos ∠ACB ,∴AB 2=4002+6002-2×400×600cos 60°=280 000. ∴AB =200 7 (m).即A ,B 两点间的距离为200 7 m. 答案:200 72.隔河看两目标A 与B ,但不能到达,在岸边选取相距 3 km 的C ,D 两点,同时,测得∠ACB =75°,∠BCD =45°,∠ADC =30°,∠ADB =45°(A ,B ,C ,D 在同一平面内),求两目标A ,B 之间的距离.解:在△ACD 中,∠ACD =120°, ∠CAD =∠ADC =30°,所以AC =CD = 3.在△BCD 中,∠BCD =45°,∠BDC =75°,∠CBD =60°,由正弦定理知BC =3sin 75°sin 60°=6+22. 在△ABC 中,由余弦定理,得AB 2=AC 2+BC 2-2AC ·BC ·cos ∠ACB =(3)2+⎝⎛⎭⎪⎫6+222-2×3×6+22×cos 75°=3+2+3-3=5,所以AB = 5 , 所以A ,B 两目标之间的距离为 5 km.角度问题[典例] (2018·南昌模拟)如图所示,当甲船位于A 处时获悉,在其正东方向相距20海里的B 处有一艘渔船遇险等待营救,甲船立即前往营救,同时把消息告知在甲船的南偏西30°相距10海里C 处的乙船,乙船立即朝北偏东θ+30°角的方向沿直线前往B 处营救,则sin θ的值为( )A.217 B.22C.32D.5714[解析] 如图,连接BC ,在△ABC 中,AC =10,AB =20,∠BAC=120°,由余弦定理,得BC 2=AC 2+AB 2-2AB ·AC ·cos 120°=700,∴BC =107, 再由正弦定理,得BC sin ∠BAC =ABsin θ,∴sin θ=217. [答案] A [方法技巧]解决测量角度问题的3个注意点(1)明确方向角的含义.(2)分析题意,分清已知与所求,再根据题意正确画出示意图,这是最关键、最重要的一步.(3)将实际问题转化为可用数学方法解决的问题后,注意正、余弦定理的“联袂”使用. [即时演练]1.如图,两座灯塔A 和B 与海岸观察站C 的距离相等,灯塔A 在观察站南偏西40°,灯塔B 在观察站南偏东60°,则灯塔A 在灯塔B 的( )A .北偏东10°B .北偏西10°C .南偏东80°D .南偏西80°解析:选D 由条件及图可知,∠A =∠B =40°,又∠BCD =60°,所以∠CBD =30°,所以∠DBA =10°,因此灯塔A 在灯塔B 南偏西80°.2.如图,位于A 处的信息中心获悉:在其正东方向相距40海里的B 处有一艘渔船遇险,在原地等待营救.信息中心立即把消息告知在其南偏西30°、相距20海里的C 处的乙船,现乙船朝北偏东θ的方向沿直线CB 前往B 处救援,求cos θ的值.。
⎩⎨⎧无穷数列有穷数列按项数 2221,21(1)2nn a a n a a n a n =⎧⎪=+=⎪⎨=-+⎪⎪=-⋅⎩n n n n n常数列:递增数列:按单调性递减数列:摆动数列:数 列1.数列的有关概念:(1) 数列:按照一定次序排列的一列数。
数列是有序的。
数列是定义在自然数N*或它的有限子集{1,2,3,…,n }上的函数。
(2) 通项公式:数列的第n 项a n 与n 之间的函数关系用一个公式来表示,这个公式即是该数列的通项公式。
如:221n a n =-。
(3) 递推公式:已知数列{a n }的第1项(或前几项),且任一项a n 与他的前一项a n -1(或前几项)可以用一个公式来表示,这个公式即是该数列的递推公式。
如:121,2,a a ==12(2)n n n a a a n --=+>。
2.数列的表示方法:(1) 列举法:如1,3,5,7,9,… (2)图象法:用(n, a n )孤立点表示。
(3) 解析法:用通项公式表示。
(4)递推法:用递推公式表示。
3.数列的分类:4.数列{a n }及前n 项和之间的关系:123n n S a a a a =++++ 11,(1),(2)n n n S n a S S n -=⎧=⎨-≥⎩ 5.等差数列与等比数列对比小结:等差数列等比数列一、定义1(2)n n a a d n --=≥1(2)nn a q n a -=≥ 二、公式1.()11n a a n d =+-()(),n m a a n m d n m =+->2.()12n n n a a S +=()112n n na d -=+1.11n na a q -=,()n m n m a a q n m -=-2.()()()11111111n n nna q S a q a a qq qq =⎧⎪=-⎨-=≠⎪--⎩ 三、性质1.,,2a b c b a c ⇔=+成等差,称b 为a 与c 的等差中项2.若m n p q +=+(m 、n 、p 、*q ∈N ), 则m n p q a a a a +=+3.n S ,2n n S S -,32n n S S -成等差数列 1.2,,a b c b ac ⇔=成等比,称b 为a 与c 的等比中项2.若m n p q +=+(m 、n 、p 、*q ∈N ),则m n p q a a a a ⋅=⋅3.n S ,2n n S S -,32n n S S -成等比数列6.在等差数列{n a }中,有关S n 的最值问题:(1)当1a >0,d<0时,满足⎩⎨⎧≤≥+01m m a a 的项数m 使得m s 取最大值. (2)当1a <0,d>0时,满足⎩⎨⎧≥≤+001m m a a 的项数m 使得m s 取最小值。
解三角形知识刚要一.公式与结论1.角与角关系:A +B +C = π;2.边与边关系:(1)大角对大边,大边对大角(2)两边之和大于第三边,两边只差小于第三边解三角形问题可能出现一解、两解或无解的情况,这时应结合“三角形中大边对大角定理及几何作图来帮助理解3.正弦定理:正弦定理:R Cc B b A a 2sin sin sin ===(其中R 是三角形外接圆的半径) 变形:①角化边 C R c BR b A R a sin 2sin 2sin 2=== ②边化角 R c C Rb B R a A 2sin 2sin 2sin ===③C B A c b a sin :sin :sin ::=①已知两角和一边;解三角形②已知两边和其中一边的对角.如:△ABC 中,①B b A a cos cos =,则△ABC 是等腰三角形或直角三角形 ②B a A b cos cos =,则△ABC 是等腰三角形。
4.余弦定理:2222cos a b c bc A =+- 222cos 2b c a A bc +-= 2222cos b a c ac B =+- 222cos 2a c b B ac +-= 2222cos c a b ab C =+- 222cos 2a b c C ab +-= 注意整体代入,如:21cos 222=⇒=-+B ac b c a(1)若C =90︒,则cos C = ,这时222c a b =+由此可知余弦定理是勾股定理的推广,勾股定理是余弦定理的特例.(2)余弦定理及其推论的基本作用为:①已知三角形的任意两边及它们的夹角就可以求出第三边;②已知三角形的三条边就可以求出其它角五.三角形面积5.面积公式 1.B ac A bc C ab S ABC sin 21sin 21sin 21===∆ 2. r c b a S ABC )(21++=∆,其中r 是三角形内切圆半径.注:由面积公式求角时注意解的个数6相关的结论:1.角的变换在△ABC 中,A+B+C=π,所以sin(A+B)=sinC ;cos(A+B)=-cosC ;tan(A+B)=-tanC 。
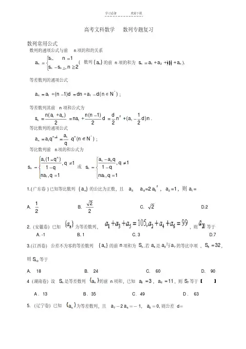
高考文科数学数列专题复习数列常用公式数列的通项公式与前n 项的和的关系11,1,2nnn s n a s s n( 数列{}n a 的前n 项的和为12nn s a a a ).等差数列的通项公式*11(1)()n a a n d dn a d n N ;等差数列其前n 项和公式为1()2n nn a a s 1(1)2n n na d211()22d na d n .等比数列的通项公式1*11()n nna a a qq nN q;等比数列前n 项的和公式为11(1),11,1nna q q s q na q或11,11,1n n a a qq qs na q 1.(广东卷)已知等比数列}{n a 的公比为正数,且3a ·9a =225a ,2a =1,则1a =A.21 B.22 C.2D.22.(安徽卷)已知为等差数列,,则等于A. -1B. 1C. 3D.73.(江西卷)公差不为零的等差数列{}n a 的前n 项和为n S .若4a 是37a a 与的等比中项, 832S ,则10S 等于A. 18B. 24C. 60D. 904(湖南卷)设n S 是等差数列n a 的前n 项和,已知23a ,611a ,则7S 等于【】A .13B .35C .49D .635.(辽宁卷)已知n a 为等差数列,且7a -24a =-1, 3a =0,则公差d =(A )-2 (B )-12(C )12(D )26.(四川卷)等差数列{n a }的公差不为零,首项1a =1,2a 是1a 和5a 的等比中项,则数列的前10项之和是A. 90B. 100C. 145D. 190 7.(宁夏海南卷)等差数列n a 的前n 项和为n S ,已知2110mmma a a,2138mS ,则m(A )38(B )20 (C )10 (D )911.(四川卷)等差数列{n a }的公差不为零,首项1a =1,2a 是1a 和5a 的等比中项,则数列的前10项之和是A. 90B. 100C. 145D. 1901(浙江)设等比数列{}n a 的公比12q,前n 项和为n S ,则44S a .3.(山东卷)在等差数列}{n a 中,6,7253a a a ,则____________6a .4.(宁夏海南卷)等比数列{n a }的公比0q , 已知2a =1,216n nn a a a ,则{n a }的前4项和4S =2(浙江文)(本题满分14分)设n S 为数列{}n a 的前n 项和,2n S knn ,*n N ,其中k是常数.(I )求1a 及n a ;1 .(2012年高考(辽宁文))在等差数列{a n }中,已知a 4+a 8=16,则a 2+a 10=()A .12B .16C .20D .242.(2012年高考(重庆文))已知{}n a 为等差数列,且13248,12,a a a a (Ⅰ)求数列{}n a 的通项公式;一、选择题1.【答案】B 【解析】设公比为q ,由已知得22841112a qa qa q,即22q,又因为等比数列}{n a 的公比为正数,所以2q,故211222a a q,选B2.【解析】∵135105a a a 即33105a ∴335a 同理可得433a ∴公差432d a a ∴204(204)1a a d .选B 。
高考数学解答题常考公式及答题模板题型一:解三角形1、正弦定理:R CcB b A a 2sin sin sin === (R 是ABC ∆外接圆的半径) 变式①:⎪⎩⎪⎨⎧===C R c B R b A R a sin 2sin 2sin 2 变式②:⎪⎪⎪⎩⎪⎪⎪⎨⎧===Rc C R bB R a A 2sin 2sin 2sin 变式③:C B A c b a sin :sin :sin ::= 2、余弦定理:⎪⎪⎩⎪⎪⎨⎧-+=-+==+=C ab b a c B ac c a b A bc c b a cos 2cos 2cos 2222222222 变式:⎪⎪⎪⎪⎩⎪⎪⎪⎪⎨⎧-+=-+=-+=ab c b a C ac b c a B bc a c b A 2cos 2cos 2cos 2222222223、面积公式:A bc B ac C ab S ABC sin 21sin 21sin 21===∆ 4、三角形的内角和等于ο180,即π=++C B A 5、诱导公式:奇变偶不变,符号看象限利用以上关系和诱导公式可得公式:⎪⎩⎪⎨⎧=+=+=+A C B B C A CB A sin )sin(sin )sin(sin )sin(和⎪⎩⎪⎨⎧-=+-=+-=+A C B B C A CB A cos )cos(cos )cos(cos )cos(6、平方关系和商的关系:①1cos sin 22=+θθ ②θθθcos sin tan =7、二倍角公式:①θθθcos sin 22sin =②θθθθθ2222sin 211cos 2sin cos 2cos -=-=-= ⇒降幂公式:22cos 1cos 2θθ+=,22cos 1sin 2θθ-= ③θθθ2tan 1tan 22tan -=8、和、差角公式:①⎩⎨⎧-=-+=+βαβαβαβαβαβαsin cos cos sin )sin(sin cos cos sin )sin( ②⎩⎨⎧+=--=+βαβαβαβαβαβαsin sin cos cos cos(sin sin cos cos cos())③⎪⎪⎩⎪⎪⎨⎧+-=--+=+βαβαβαβαβαβαtan tan 1tan tan )tan(tan tan 1tan tan )tan( 奇:2π的奇数倍 偶:2π的偶数倍9、基本不等式:①2ba ab +≤),(+∈R b a ②22⎪⎭⎫ ⎝⎛+≤b a ab ),(+∈R b a ③222b a ab +≤ ),(R b a ∈注意:基本不等式一般在求取值范围或最值问题中用到,比如求ABC ∆面积的最大值时。
集合、简易逻辑(1)集合的概念集合中的元素具有确定性、互异性和无序性. (2)常用数集及其记法N 表示自然数集,N*或N +表示正整数集,Z 表示整数集,Q 表示有理数集,R 表示实数集.(3)集合与元素间的关系对象a 与集合M 的关系是a M ∈,或者a M ∉,两者必居其一. (4)集合的表示法①自然语言法:用文字叙述的形式来描述集合.②列举法:把集合中的元素一一列举出来,写在大括号内表示集合. ③描述法:{x |x 具有的性质},其中x 为集合的代表元素. ④图示法:用数轴或韦恩图来表示集合. (5)集合的分类①含有有限个元素的集合叫做有限集.②含有无限个元素的集合叫做无限集.③不含有任何元素的集合叫做空集(∅).【1.1.2】集合间的基本关系(6)子集、真子集、集合相等 名称记号意义性质示意图子集B A ⊆(或)A B ⊇A 中的任一元素都属于B(1)A ⊆A(2)A ∅⊆(3)若B A ⊆且B C ⊆,则A C ⊆ (4)若B A ⊆且B A ⊆,则A B =A(B)或B A真子集A ≠⊂B(或B ≠⊃A )B A ⊆,且B 中至少有一元素不属于A(1)A ≠∅⊂(A 为非空子集)(2)若A B ≠⊂且B C ≠⊂,则A C ≠⊂B A集合 相等A B =A 中的任一元素都属于B ,B 中的任一元素都属于A(1)A ⊆B (2)B ⊆AA(B)(7)已知集合A 有(1)n n ≥个元素,则它有2n 个子集,它有21n -个真子集,它有21n -个非空子集,它有22n -非空真子集.集合的基本运算1. 集合运算:交、并、补.{|,}{|}{,}A B x x A x B A B x x A x B A x U x A ⇔∈∈⇔∈∈⇔∈∉U 交:且并:或补:且C 2. 主要性质和运算律 (1) 包含关系:,,,,,;,;,.U A A A A U A U A B B C A C A B A A B B A B A A B B ⊆Φ⊆⊆⊆⊆⊆⇒⊆⊆⊆⊇⊇C原命题若p 则q 否命题若┐p 则┐q 逆命题若q 则p 逆否命题若┐q 则┐p 互为逆否互逆否互为逆否互互逆否互(2) 等价关系:U A B A B A A B B AB U ⊆⇔=⇔=⇔=C (3) 集合的运算律:交换律:.;A B B A A B B A ==结合律:)()();()(C B A C B A C B A C B A == 分配律:.)()()();()()(C A B A C B A C A B A C B A == 0-1律:,,,A A A U A A U A U Φ=ΦΦ===等幂律:.,A A A A A A ==求补律:A ∩C U A =φ A ∪C U A =U C U U =φ C U φ=U反演律:C U (A ∩B)= (C U A )∪(C U B ) C U (A ∪B)= (C U A )∩(C U B )简易逻辑1、命题的定义:可以判断真假的语句叫做命题。
【学习目标】掌握正、余弦定理,能利用这两个定理及面积计算公式解斜三角形,培养运算求解能力.【方法总结】1.利用正弦定理,可以解决以下两类有关三角形的问题:(1)已知两角和任一边,求其他两边和一角;(2)已知两边和其中一边的对角,求另一边的对角(从而进一步求出其他的边和角).2.由正弦定理容易得到:在三角形中,大角对大边,大边对大角;大角的正弦值也较大,正弦值较大的角也较大,即A>B⇔a>b⇔sin A>sin B.3.已知三角形两边及其一边的对角解三角形时,利用正弦定理求解时,要注意判断三角形解的情况(存在两解、一解和无解三种可能).而解的情况确定的一般方法是“大边对大角且三角形钝角至多一个”.4.利用余弦定理,可以解决以下三类有关三角形的问题:(1)已知三边,求三个角;(2)已知两边和它们的夹角,求第三边和其余角;(3)已知两边和其中一边的对角,求其他边和角.(4)由余弦值确定角的大小时,一定要依据角的范围及函数值的正负确定.【三角形解题方法类型】(一)正余弦定理的灵活应用例1.在中,.(1)求角的大小;(2)求的取值范围.【答案】(1);(2)【解析】(Ⅰ)由正弦定理,求得,再由余弦定理,求得,即可求解的大小;(Ⅱ)由(Ⅰ)知,得,化简,根据三角函数的图象与性质,即可求解.【详解】(1)因为,由正弦定理,得,由余弦定理,又因为,所以(二)三角形中的中线问题例2.在中,内角的对边分别为,若,.(Ⅰ)求;(Ⅱ)若为边的中线,且,求的面积.【答案】(Ⅰ);(Ⅱ).【解析】(Ⅰ)根据题意,由正弦定理得,,进而得到即,由,∴.由得到,最后由正弦定理可得的值;(Ⅱ)设.在中,由余弦定理得,解得.得到三边长,结合(Ⅰ)可求的面积.(Ⅱ)设.在中,由余弦定理得即解得.∴.∴的面积.练习1.在△ABC中,角A,BC的对边分别为a,b,c,已知a=2,b=,2sinC=5sinA.(1)求B;(2)求BC边上的中线长.【答案】(1)60°;(2).【解析】(1)又2sin C=5sin A,利用正弦定理可得:2c=5a,又a=2,解得c.利用余弦定理即可得出B;(2)利用余弦定理求出BC边上的中线即可.练习2.在△ABC中,角A、B、C所对的边分别为a、b、c,且.(1)求角C的大小;(2)若A=,△ABC的面积为,M为BC的中点,求AM.【答案】(1) (2) .【解析】(1)利用正弦定理,结合同角三角函数的关系化简已知的等式,得到三边的关系式,再利用余弦定理表示出的值,可求角的大小;(2)求得,为等腰三角形,由三角形面积公式可求出的值,再利用余弦定理可得出的值.【详解】(1)∵∴∴由正弦定理得:即∴∵C为三角形的内角,∴【点睛】解三角形问题,多为边和角的求值问题,这就需要根据正、余弦定理以及三角形面积公式结合已知条件灵活转化边和角之间的关系,从而达到解决问题的目的.(三)面积的最值问题例3.在中,角A,B,C的对边分别为且.(1)若,且<,求的值.(2)求的面积的最大值.【答案】(1)(2)【解析】(1)由余弦定理可得,解得,又由且,联立方程组,即可求解,(2)由余弦定理,又由,求得,即可求解面积的最大值.(2)由余弦定理,得因为,所以,又因为,所以三角形的面积为,此时.【点睛】本题主要考查了余弦定理、基本不等式的应用,其中解答中合理利用余弦定理,得到的关系,再利用基本不等式求解是解答的关键,着重考查了分析问题和解答问题的能力,属于基础题.练习1.已知△ABC的内角A,B,C满足.(1)求角A;(2)若△ABC的外接圆半径为1,求△ABC的面积S的最大值.【答案】(1); (2).【解析】(1)利用正弦定理将角化为边可得,再由余弦定理即可得;(2)由正弦定理,可得,由基本不等式利用余弦定理可得,从而由可得解.(2),所以,所以(时取等号).练习1.在△ABC中,a,b,c分别是内角A,B,C的对边,已知(sin A+sin B)(a+b)=c·(sin C+sin B).(1)求角A;(2)若,求△ABC周长的取值范围。
高中文科数学专项训练11类第一套:集合与简易逻辑第二套:不等式第三套:函数第四套:概率与统计第五套:算法与极限第六套:导数第七套:三角与向量第八套:数列第九套:排列组合与二项式定理第十套:直线与圆的方程第十一套:圆锥曲线等立体几何专题经典高考题集锦01 集合与简易逻辑一、选择题1.(安徽1).若A 位全体实数的集合,{}2,1,1,2B =--则下列结论正确的是( D )A .}{2,1AB =--B . ()(,0)RC A B =-∞C .(0,)AB =+∞D . }{()2,1R C A B =--2.(安徽4).0a <是方程2210ax x ++=至少有一个负数根的( B )A .必要不充分条件B .充分不必要条件C .充分必要条件D .既不充分也不必要条件3.(北京1).若集合{|23}A x x =-≤≤,{|14}B x x x =<->或,则集合A B 等于( D )A .{}|34x x x >或≤ B .{}|13x x -<≤ C .{}|34x x <≤D .{}|21x x --<≤4.(福建1)若集合A ={x |x 2-x <0},B={x |0<x <3},则A ∩B 等于 ( A ) A.{x |0<x <1} B.{x |0<x <3} C.{x |1<x <3} D.¢ 5.(福建2)“a=1”是“直线x+y =0和直线x-ay =0互相垂直”的 ( C ) A.充分而不必要条件 B.必要而不充分条件 C.充要条件 D.既不充分也不必要条件6.(广东1) 第二十九届夏季奥林匹克运动会将于2008年8月8日在北京举行,若集合A =(参加北京奥运会比赛的运动员),集合B =(参加北京奥运会比赛的男运动员).集合C =(参加北京奥运会比赛的女运动员),则下列关系正确的是 ( C )A .A ⊆B B .B ⊆C C .A ∩B =CD .B ∪C =A7.(广东8)命题“若函数f (x )=log x x (a >0,a ≠1)在其定义域内是减函数,则log x 2<0”的逆否命题是( A )A .若log x 2<0,则函数f (x )= log x x (a >0,a ≠1)在其定义域内不是减函数B .若log x 2≥0,则函数f (x )= log x x (a >0,a ≠1)在其定义域内不是减函数C .若log x 2<0,则函数f (x )= log x x (a >0,a ≠1)在其定义域内是减函数D .若log x 2≥0,则函数f (x )= log x x (a >0,a ≠1)在其定义域内是减函数 8.(宁夏1)已知集合{}(2)(1)0M x x x =+-<,{}10N x x =+<,则M N =( C ) A .(11)-,B .(21)-,C .(21)--,D .(12),9.(湖南1)已知{}7,6,5,4,3,2=U ,{}7,5,4,3=M ,{}6,5,4,2=N ,则( B )A .{}6,4=⋂N M .B MN U =C .U M N C u = )( D. N N M C u = )( 10.(湖南2)“21<-x ”是“3<x ”的 ( A )A .充分不必要条件 B.必要不充分条件C .充分必要条件 D.既不充分也不必要条件 11.(江西1)“x y =”是“x y =”的 ( B )A .充分不必要条件B .必要不充分条件C .充要条件D .既不充分也不必要条件12.(江西2)定义集合运算:{},,A B z z xy x A y B *==∈∈.设{}1,2A =,{}0,2B =,则集合A B * 的所有元素之和为 ( D )A .0B .2C .3D .6 13.(辽宁1)已知集合{}31M x x =-<<,{}3N x x =-≤,则M N =( D )A .∅B .{}3x x -≥ C .{}1x x ≥ D .{}1x x <14.(全国Ⅱ2)设集合{|3M m m =∈-<<Z ,{|13}N n n MN =∈-=Z 则,≤≤( B )A .{}01,B .{}101-,,C .{}012,,D .{}1012-,,,15.(山东1) 满足{}1234M a a a a ⊆,,,,且{}{}12312M a a a a a =,,,的集合M 的个数是( B ) A .1 B .2C .3D .416.(山东4) 给出命题:若函数()y f x =是幂函数,则函数()y f x =的图象不过第四象限.在它的逆命题、否命题、逆否命题三个命题中,真命题的个数是( C ) A .3 B .2 C .1 D .017.(四川1)设集合{}{}{}1,2,3,4,5,1,2,3,2,3,4U A B ===,则()U A B =ð( B )(A){}2,3 (B){}1,4,5 (C){}4,5 (D){}1,5 18.(天津1) 设集合,,,则( A ) A .B .C .D .19.(浙江1)已知集合,,则 ( B )(A ) (B ) (C ) (D ) 20.(浙江3)已知,b 都是实数,那么“”是“>b ”的 ( D )(A )充分而不必要条件 (B )必要而不充分条件(C )充分必要条件 (D )既不充分也不必要条件 21.(重庆2)设x 是实数,则“x >0”是“|x |>0”的 ( A )(A)充分而不必要条件(B)必要而不充分条件(C)充要条件(D)既不充分也不必要条件22.(湖北3).若集合{1,2,3,4},{05,},P Q x x x R ==<<∈则 ( A ) A. “x R ∈”是“x Q ∈”的充分条件但不是必要条件 B. “x R ∈”是“x Q ∈”的必要条件但不是充分条件 C. “x R ∈”是“x Q ∈”的充要条件D. “x R ∈”既不是“x Q ∈”的充分条件也不是“x Q ∈”的必要条件 23.(陕西2) 已知全集{12345}U =,,,,,集合{1,3}A =,{3,4,5}B =,则集合()U A B =ð( D )A .{3}B .{4,5}C .{3,4,5}D .{1245},,,24.(陕西6)“1a =”是“对任意的正数x ,21ax x+≥”的( A ) A .充分不必要条件 B .必要不充分条件 C .充要条件 D .既不充分也不必要条件二、填空题 1.(福建16)设P 是一个数集,且至少含有两个数,若对任意a 、b ∈P ,都有a+b 、a-b 、{}08U x x =∈<N ≤{}1245S =,,,{}357T =,,()US T =ð{}124,,{}123457,,,,,{}12,{}124568,,,,,{|0}A x x =>{|12}B x x =-≤≤AB ={|1}x x ≥-{|2}x x ≤{|02}x x <≤{|12}x x -≤≤a 22b a >aab 、ab∈P (除数b ≠0)则称P 是一个数域,例如有理数集Q 是数域,有下列命题: ①数域必含有0,1两个数; ②整数集是数域;③若有理数集Q ⊆M ,则数集M 必为数域;④数域必为无限集.其中正确的命题的序号是 . ①④(把你认为正确的命题的序号都填上) 2.(江苏4).{}73)1(2-<-=x x x A ,则集合A Z 中有 个元素 0 3.(上海2)若集合{}|2A x x =≤,{}|B x x a =≥满足{2}A B =,则实数陆空a = .24.(重庆13)已知集合{}{}{}45A B ⋃=1,2,3,4,5,=2,3,4,=,,则A ⋂U (CB )= . {2,3}02 不等式一、选择题1.(广东10)设a , b ∈R ,若a -b >0,则下列不等式中正确的是( D )A .b -a >0B .a 3+b 3<0C .b +a >0D .a 2-b 2<02.(宁夏7)已知a 1>a 2>a 3>0,则使得2(1)1(123)i a x i -<=,,都成立的x 取值范围是( B )A .110a ⎛⎫⎪⎝⎭,B .120a ⎛⎫ ⎪⎝⎭,C .310a ⎛⎫ ⎪⎝⎭,D .320a ⎛⎫ ⎪⎝⎭,3.(山东7) 不等式252(1)x x +-≥的解集是( D ) A .132⎡⎤-⎢⎥⎣⎦,B .132⎡⎤-⎢⎥⎣⎦,C .(]11132⎡⎫⎪⎢⎣⎭,,D .(]11132⎡⎫-⎪⎢⎣⎭,,4.(四川5)不等式22x x -<的解集为( A )(A)()1,2- (B)()1,1- (C)()2,1- (D)()2,2- 5.(天津8) 已知函数则不等式的解集为( A )A .B .C .D .6.(浙江5),且,则 ( C )(A ) (B ) (C ) (D ) 7.(重庆7)函数f (x的最大值为 ( B ) (A)25(B)12(D)1二、填空题1.(北京10).不等式112x x ->+的解集是__________.{}|2x x <- 2.(江苏11)2*,,,230,y x y z R x y z xz∈-+=的最小值为 33.(江西13)不等式224122x x +-≤的解集为 .[3,1]-4.(上海1)不等式11x -<的解集是 .(0,2)三、解答题1.(广东17)(本小题满分12分)某单位用2160万元购得一块空地,计划在该地块上建造一栋至少10层、每层2000平方米的楼房.经测算,如果将楼房建为x (x ≥10)层,则每平方米的平均建筑费用为560+48x (单位:元).为了使楼房每平方米的平均综合费用最少,该楼房应建为多少层?(注:平均综合费用=平均建筑费用+平均购地费用,平均购地费用=购地总费用建筑总面积) 解:设楼房每平方米的平均综合费为f (x )元,则()()2160100001080056048560482000f x x x x x⨯=++=++()10,x x Z +≥∈20()20x x f x x x +⎧=⎨-+>⎩,≤,,,2()f x x ≥[]11-,[]22-,[]21-,[]12-,0,0a b ≥≥2a b +=12ab ≤12ab ≥222a b +≥223a b +≤()21080048f x x '=-令 ()0f x '= 得 15x =当 15x > 时,()0f x '> ;当 015x <<时,()0f x '< 因此 当15x =时,f (x )取最小值()152000f =;答:为了楼房每平方米的平均综合费最少,该楼房应建为15层.2.(江苏选修)设a ,b ,c 为正实数,求证:333111a b c+++abc ≥. 证明:因为,,a b c 为正实数,由平均不等式可得33333111a b c c++≥ 即 3331113a b c a b c ++≥ 所以3331113abc abc a b c abc+++≥+,而323abc abc abc abc +≥=所以333111a b c+++abc ≥ 3.(湖北19).(本不题满分12分)如图,要设计一张矩形广告,该广告含有大小相等的左右两个矩形栏目(即图中阴影部分),这两栏的面积之和为18000cm 2,四周空白的宽度为10cm ,两栏之间的中缝空白的宽度为5cm ,怎样确定广告的高与宽的尺寸(单位:cm ),能使矩形广告面积最小?解法1:设矩形栏目的高为a cm ,宽为b cm ,则ab =9000.①广告的高为a +20,宽为2b +25,其中a >0,b >0. 广告的面积S =(a +20)(2b +25)=2ab +40b +25a +500=18500+25a +40b≥18500+2b a 4025∙=18500+.245001000=ab当且仅当25a =40b 时等号成立,此时b =a 85,代入①式得a =120,从而b =75. 即当a =120,b =75时,S 取得最小值24500.故广告的高为140 cm,宽为175 cm 时,可使广告的面积最小.解法2:设广告的高为宽分别为x cm ,y cm ,则每栏的高和宽分别为x -20,,225-y 其中x >20,y >25两栏面积之和为2(x -20)18000225=-y ,由此得y =,252018000+-x 广告的面积S =xy =x (252018000+-x )=252018000+-x x ,整理得S =.18500)20(2520360000+-+-x x因为x -20>0,所以S ≥2.2450018500)20(2520360000=+-⨯-x x当且仅当)20(2520360000-=-x x 时等号成立,此时有(x -20)2=14400(x >20),解得x =140,代入y =2018000-x +25,得y =175,即当x =140,y =175时,S 取得最小值24500,故当广告的高为140 cm ,宽为175 cm 时,可使广告的面积最小.03函数一、选择题1.(安徽6).函数2()(1)1(0)f x x x =-+≤的反函数为 ( C )A .1()11)fx x -=≥ B . 1()11)fx x -=+≥C .1()12)f x x -=≥ D . 1()12)f x x -=-≥2.(安徽9).设函数1()21(0),f x x x x=+-< 则()f x ( A ) A .有最大值B .有最小值C .是增函数D .是减函数3.(北京2)若372log πlog 6log 0.8a b c ===,,,则( A ) A .a b c >>B .b a c >>C .c a b >>D .b c a >>4.(北京5)函数2()(1)1(1)f x x x =-+<的反函数为( B )A .1()11)fx x -=> B .1()11)fx x -=->C .1()11)f x x -=≥ D .1()11)f x x -=-≥5.(福建4)函数f (x )=x 3+sin x +1(x ∈R),若f (a )=2, 则f (-a )的值为( B ) A.3 B.0 C.-1 D.-2 6.(湖南4)函数)0()(2≤=x x x f 的反函数是 ( B ))0()(.1≥=-x x x f A )0()(.1≥-=-x x x fB)0()(.1≤--=-x x x fC )0()(.21≤-=-x x x fD7.(湖南6)下面不等式成立的是 ( A )A .322log 2log 3log 5<<B .3log 5log 2log 223<<C .5log 2log 3log 232<<D .2log 5log 3log 322<< 8.(江西3)若函数()y f x =的定义域是[0,2],则函数(2)()1f xg x x =-的定义域是( B ) A .[0,1] B .[0,1) C . [0,1)(1,4] D .(0,1)9.(江西4)若01x y <<<,则( C )A .33y x <B .log 3log 3x y <C .44log log x y <D .11()()44x y < 10.(江西12)已知函数2()2(4)4f x x m x m =+-+-,()g x mx =,若对于任一实数x ,()f x 与()g x 的值至少有一个为正数,则实数m 的取值范围是( C )A . [4,4]-B .(4,4)-C . (,4)-∞D .(,4)-∞- 11.(辽宁2)若函数(1)()y x x a =+-为偶函数,则a =( C ) A .2-B .1-C .1D .212.(辽宁4)已知01a <<,log log a a x =1log 52a y =,log log a a z =,则( C ) A .x y z >> B .z y x >> C .y x z >> D .z x y >>13.(全国Ⅰ1)函数y = D )A .{|1}x x ≤B .{|0}x x ≥C .{|10}x x x ≥或≤D .{|01}x x ≤≤14.(全国Ⅰ2)汽车经过启动、加速行驶、匀速行驶、减速行驶之后停车,若把这一过程中汽车的行驶路程s 看作时间t 的函数,其图像可能是( A )15.(全国Ⅰ8)若函数()y f x =的图象与函数1y =的图象关于直线y x =对称,则()f x =( A ) A .22e x -B .2e xC .21e x +D .2+2e x16.(全国Ⅱ4)函数1()f x x x=-的图像关于( C ) A .y 轴对称 B . 直线x y -=对称 C . 坐标原点对称 D . 直线x y =对称17.(全国Ⅱ5)若13(1)ln 2ln ln x e a x b x c x -∈===,,,,,则( C ) A .a <b <cB .c <a <bC . b <a <cD . b <c <a18.(山东3) 函数ππln cos 22y x x ⎛⎫=-<< ⎪⎝⎭的图象是( A )19.(山东5) 设函数2211()21x x f x x x x ⎧-⎪=⎨+->⎪⎩,,,,≤则1(2)f f ⎛⎫⎪⎝⎭的值为( A )A .1516B .2716-C .89D .1820.(山东12) 已知函数()log (21)(01)xa f xb a a =+->≠,的图象如图所示,则a b ,满足的关系是( A ) A .101a b -<<<B .101b a -<<<C .101ba -<<<- D .1101ab --<<<21.(天津3 ) 函数的反函数是( A )14)y x =≤≤xxA .B .C .D .A.B .C .D .A .B .C .D .22.(天津10) 设,若对于任意的,都有满足方程,这时的取值的集合为( B ) A .B .C .D .23.(重庆6)函数y =10x 2-1 (0<x ≤1=的反函数是 ( D )(A)1)10y x =>(B)y =x >110)(C) y =110<x ≤)1(D) y =110<x ≤)1 24.(湖北6).已知()f x 在R 上是奇函数,且2(4)(),(0,2)()2,(7)f x f x x f x x f +=∈==当时,则 ( A ) A.-2 B.2 C.-98 D.98 25.(湖北8).函数1()1f x n x=+ ( D ) A.(,4][2,)-∞-+∞ B. (4,0)(0,1)-⋃ C.[4,0)(0,1]- D.[4,0)(0,1]-⋃ 26.(陕西7) 已知函数3()2x f x +=,1()fx -是()f x 的反函数,若16mn =(m n ∈+R ,),则11()()fm f n --+的值为( D )A .10B .4C .1D .2-27.(陕西11) 定义在R 上的函数()f x 满足()()()2f x y f x f y xy +=++(x y ∈R ,),(1)2f =,则(2)f -等于( A )A .2B .3C .6D .9二、填空题1.(安徽13)函数2()f x =的定义域为 .[3,)+∞2.(北京13)如图,函数()f x 的图象是折线段ABC ,其中A B C ,,的坐标分别为2(1)(13)y x x =-≤≤2(1)(04)y x x =-≤≤21(13)y x x =-≤≤21(04)y x x =-≤≤1a >[]2x a a ∈,2y a a ⎡⎤∈⎣⎦,log log 3a a x y +=a {}12a a <≤{}2a a ≥{}23a a ≤≤{}23,(04)(20)(64),,,,,,则((0))f f =_________;2函数()f x 在1x =处的导数(1)f '=_________.2-3.(北京14).已知函数2()cos f x x x =-,对于ππ22⎡⎤-⎢⎥⎣⎦,上的任意12x x ,,有如下条件:①12x x >; ②2212x x >; ③12x x >.其中能使12()()f x f x >恒成立的条件序号是_________.②4.(湖南15)设[]x 表示不超x 的最大整数,(如[]145,22=⎥⎦⎤⎢⎣⎡=)。
高考文科数学的9种题型分析与详解,九大答题模板例题(含
答案)
数学在高考中的位置、分值极为重要,可以说“高考,得数学者得天下”,高中数学能够学好,对同学们升入理想大学会起到很大的作用。
对文科学生来说更是如此。
因为文科数学是最拉分的!很多同学在语文、英语等方面差别并不是很大,而在近几年的高考上来看,在数学上的分数差距较大,有的甚至差30-60分!那么文科生该如何攻克高考数学?
今天社长给同学们整理了一份高中文科数学的9种题型分析,九大答题模板,附例题解析,希望文科的同学们看完之后能在数学上有所收获。
接下来进入正题。
文末可免费领取电子版。
函 数【1.2.1】函数的概念(1)函数的概念①设A 、B 是两个非空的数集,如果按照某种对应法则f ,对于集合A 中任何一个数x ,在集合B 中都有唯一确定的数()f x 和它对应,那么这样的对应(包括集合A ,B 以及A 到B 的对应法则f )叫做集合A 到B 的一个函数,记作:f A B →.②函数的三要素:定义域、值域和对应法则.③只有定义域相同,且对应法则也相同的两个函数才是同一函数. (2)区间的概念及表示法①设,a b 是两个实数,且a b <,满足a x b ≤≤的实数x 的集合叫做闭区间,记做[,]a b ;满足a x b <<的实数x 的集合叫做开区间,记做(,)a b ;满足a x b ≤<,或a x b <≤的实数x 的集合叫做半开半闭区间,分别记做[,)a b ,(,]a b ;满足,,,x a x a x b x b ≥>≤<的实数x 的集合分别记做[,),(,),(,],(,)a a b b +∞+∞-∞-∞.注意:对于集合{|}x a x b <<与区间(,)a b ,前者a 可以大于或等于b ,而后者必须a b <. (3)求函数的定义域时,一般遵循以下原则:①()f x 是整式时,定义域是全体实数.②()f x 是分式函数时,定义域是使分母不为零的一切实数.③()f x 是偶次根式时,定义域是使被开方式为非负值时的实数的集合.④对数函数的真数大于零,当对数或指数函数的底数中含变量时,底数须大于零且不等于1. ⑤tan y x =中,()2x k k Z ππ≠+∈.⑥零(负)指数幂的底数不能为零.⑦若()f x 是由有限个基本初等函数的四则运算而合成的函数时,则其定义域一般是各基本初等函数的定义域的交集.⑧对于求复合函数定义域问题,一般步骤是:若已知()f x 的定义域为[,]a b ,其复合函数[()]f g x 的定义域应由不等式()a g x b ≤≤解出.⑨对于含字母参数的函数,求其定义域,根据问题具体情况需对字母参数进行分类讨论. ⑩由实际问题确定的函数,其定义域除使函数有意义外,还要符合问题的实际意义. (4)求函数的值域或最值求函数最值的常用方法和求函数值域的方法基本上是相同的.事实上,如果在函数的值域中存在一个最小(大)数,这个数就是函数的最小(大)值.因此求函数的最值与值域,其实质是相同的,只是提问的角度不同.求函数值域与最值的常用方法:①观察法:利用常见函数的值域来求一次函数y=ax+b(a ≠0)的定义域为R ,值域为R ; 反比例函数)0(≠=k xky 的定义域为{x|x ≠0},值域为{y|y ≠0}; 二次函数)0()(2≠++=a c bx ax x f 的定义域为R ,当a>0时,值域为{ab ac y y 4)4(|2-≥};当a<0时,值域为{ab ac y y 4)4(|2-≤}②配方法:③判别式法:若函数()y f x =可以化成一个系数含有y 的关于x 的二次2()()()0a y x b y x c y ++=,则在()0a y ≠时,由于,x y 为实数,故必须有2()4()()0b y a y c y ∆=-⋅≥,从而确定函数的值域或最值.④不等式法:利用基本不等式确定函数的值域或最值.转化成型如:)0(>+=k xkx y ,利用平均值不等式公式来求值域;⑤换元法:通过变量代换达到化繁为简、化难为易的目的,三角代换可将代数函数的最值问题转化为三角函数的最值问题.⑥反函数法:利用函数和它的反函数的定义域与值域的互逆关系确定函数的值域或最值. ⑦数形结合法:利用函数图象或几何方法确定函数的值域或最值. ⑧函数的单调性法.【1.2.2】函数的表示法(5)函数的表示方法表示函数的方法,常用的有解析法、列表法、图象法三种.解析法:就是用数学表达式表示两个变量之间的对应关系.列表法:就是列出表格来表示两个变量之间的对应关系.图象法:就是用图象表示两个变量之间的对应关系. (6)映射的概念①设A 、B 是两个集合,如果按照某种对应法则f ,对于集合A 中任何一个元素,在集合B 中都有唯一的元素和它对应,那么这样的对应(包括集合A ,B 以及A 到B 的对应法则f )叫做集合A 到B 的映射,记作:f A B →.②给定一个集合A 到集合B 的映射,且,a A b B ∈∈.如果元素a 和元素b 对应,那么我们把元素b 叫做元素a 的象,元素a 叫做元素b 的原象. (7)求函数解析式的题型有:1)已知函数类型,求函数的解析式:待定系数法;2)已知()f x 求[()]f g x 或已知[()]f g x 求()f x :换元法、配凑法;3)已知函数图像,求函数解析式;4)()f x 满足某个等式,这个等式除()f x 外还有其他未知量,需构造另个等式解方程组法;5)应用题求函数解析式常用方法有待定系数法等yxo〖1.3〗函数的基本性质 【1.3.1】单调性与最大(小)值(1)函数的单调性①定义及判定方法函数的 性 质定义图象判定方法函数的单调性如果对于属于定义域I 内某个区间上的任意两个自变量的值x 1、x 2,当x .1.< .x .2.时,都有f(x ...1.)<f(x .....2.).,那么就说f(x)在这个区间上是增函数.... x 1x 2y=f(X)xy f(x )1f(x )2o(1)利用定义(2)利用已知函数的单调性(3)利用函数图象(在某个区间图 象上升为增) (4)利用复合函数 如果对于属于定义域I 内某个区间上的任意两个自变量的值x 1、x 2,当x .1.< .x .2.时,都有f(x ...1.)>f(x .....2.).,那么就说f(x)在这个区间上是减函数.... y=f(X)yx ox x 2f(x )f(x )211(1)利用定义 (2)利用已知函数的单调性(3)利用函数图象(在某个区间图 象下降为减)(4)利用复合函数增函数,减函数减去一个增函数为减函数.③对于复合函数[()]y f g x =,令()u g x =,若()y f u =为增,()u g x =为增,则[()]y f g x =为增;若()y f u =为减,()u g x =为减,则[()]y f g x =为增;若()y f u =为增,()u g x =为减,则[()]y f g x =为减;若()y f u =为减,()u g x =为增,则[()]y f g x =为减. (2)打“√”函数()(0)af x x a x=+>的图象与性质 ()f x 分别在(,]a -∞-、[,)a +∞上为增函数,分别在[,0)a -、]a 上为减函数.(3)最大(小)值定义①一般地,设函数()y f x =的定义域为I ,如果存在实数M 满足:(1)对于任意的x I ∈,都有()f x M ≤;(2)存在0x I ∈,使得0()f x M =.那么,我们称M 是函数()f x 的最大值,记作max ()f x M =.②一般地,设函数()y f x =的定义域为I ,如果存在实数m 满足:(1)对于任意的x I ∈,都有()f x m ≥;(2)存在0x I ∈,使得0()f x m =.那么,我们称m 是函数()f x 的最小值,记作max ()f x m =.1 (4)证明函数单调性的一般方法:①定义法:设2121,x x A x x <∈且;作差)()(21x f x f -,判断正负号②用导数证明: 若)(x f 在某个区间A 内有导数,则()0f x ≥’,)x A ∈(⇔)(x f 在A 内为增函数;⇔∈≤)0)(A x x f ,(’)(x f 在A 内为减函数 (5)求单调区间的方法:定义法、导数法、图象法(6)复合函数[])(x g f y =在公共定义域上的单调性:①若f 与g 的单调性相同,则[])(x g f 为增函数;②若f 与g 的单调性相反,则[])(x g f 为减函数注意:先求定义域,单调区间是定义域的子集(7)一些有用的结论:①奇函数在其对称区间上的单调性相同;②偶函数在其对称区间上的单调性相反; ③在公共定义域内:增函数+)(x f 增函数)(x g 是增函数;减函数+)(x f 减函数)(x g 是减函数; 增函数-)(x f 减函数)(x g 是增函数;减函数-)(x f 增函数)(x g 是减函数④函数)0,0(>>+=b a x bax y 在,,b b a a ⎛⎤⎡⎫-∞-+∞ ⎪⎥⎢ ⎪⎝⎦⎣⎭或上单调递增;在,00b b a a ⎡⎫⎛⎤-⎪ ⎢⎥⎪ ⎣⎭⎝⎦或,上是单调递减【1.3.2】奇偶性①定义及判定方法函数的 性 质定义图象判定方法 函数的奇偶性如果对于函数f(x)定义域内任意一个x ,都有f(..-.x)=...-.f(x)....,那么函数f(x)叫做奇函数....(1)利用定义(要先判断定义域是否关于原点对称) (2)利用图象(图象关于原点对称)如果对于函数f(x)定义域内任意一个x ,都有f(..-.x)=...f(x)....,那么函数f(x)叫做偶函数....(1)利用定义(要先判断定义域是否关于原点对称) (2)利用图象(图象关于y 轴对称)②若奇函数()f x 的定义域包含0,则(0)0f =.()f x 为偶函数()(||)f x f x ⇔=③奇函数在y 轴两侧相对称的区间增减性相同,偶函数在y 轴两侧相对称的区间增减性相反. ④在公共定义域内,奇+奇=奇,奇⨯奇=偶,偶+偶=偶,偶⨯偶=偶,奇⨯偶=奇判断函数的奇偶性有时可以用定义的等价形式:()()0f x f x ±-=,()1()f x f x =±- 函数周期性定义:若T 为非零常数,对于定义域内的任一x ,使)()(x f T x f =+恒成立,则f(x)叫做周期函数,T 叫做这个函数的一个周期〖补充知识〗函数的图象(1)作图利用描点法作图:①确定函数的定义域; ②化解函数解析式; ③讨论函数的性质(奇偶性、单调性); ④画出函数的图象. 利用基本函数图象的变换作图:要准确记忆一次函数、二次函数、反比例函数、指数函数、对数函数、幂函数、三角函数等各种基本初等函数的图象.①平移变换0,0,|()()h h h h y f x y f x h ><=−−−−−−−→=+左移个单位右移|个单位0,0,|()()k k k k y f x y f x k ><=−−−−−−−→=+上移个单位下移|个单位②伸缩变换01,1,()()y f x y f x ωωω<<>=−−−−→=伸缩 01,1,()()A A y f x y Af x <<>=−−−−→=缩伸③对称变换()()x y f x y f x =−−−→=-轴()()y y f x y f x =−−−→=-轴 ()()y f x y f x =−−−→=--原点1()()y x y f x y f x -==−−−−→=直线 ()(||)y y y y f x y f x =−−−−−−−−−−−−−−−→=去掉轴左边图象保留轴右边图象,并作其关于轴对称图象 ()|()|x x y f x y f x =−−−−−−−−−→=保留轴上方图象将轴下方图象翻折上去①y=f(x) 轴x →y= -f(x); ②y=f(x) 轴y →y=f(-x);③y=f(x) ax =→直线y=f(2a -x); ④y=f(x) xy =→直线y=f -1(x);⑤y=f(x) 原点→y= -f(-x)(2)识图对于给定函数的图象,要能从图象的左右、上下分别范围、变化趋势、对称性等方面研究函数的定义域、值域、单调性、奇偶性,注意图象与函数解析式中参数的关系. (3)用图函数图象形象地显示了函数的性质,为研究数量关系问题提供了“形”的直观性,它是探求解题途径,获得问题结果的重要工具.要重视数形结合解题的思想方法.第二章 基本初等函数(Ⅰ)〖2.1〗指数函数【2.1.1】指数与指数幂的运算(1)根式的概念①如果,,,1nx a a R x R n =∈∈>,且n N +∈,那么x 叫做a 的n 次方根.当n 是奇数时,a 的n 次当n 是偶数时,正数a 的正的n负的n次方根用符号表示;0的n 次方根是0;负数a 没有n 次方根.这里n 叫做根指数,a 叫做被开方数.当n 为奇数时,a 为任意实数;当n 为偶数时,0a ≥.③根式的性质:n a =;当n 为奇数时,a =;当n 为偶数时,(0)|| (0) a a a a a ≥⎧==⎨-<⎩. (2)分数指数幂的概念①正数的正分数指数幂的意义是:0,,,mna a m n N +=>∈且1)n >.0的正分数指数幂等于0.②正数的负分数指数幂的意义是:1()0,,,m m nn aa m n N a -+==>∈且1)n >.0的负分数指数幂没有意义. 注意口诀:底数取倒数,指数取相反数.(3)分数指数幂的运算性质①(0,,)rsr sa a aa r s R +⋅=>∈ ②()(0,,)r s rs a a a r s R =>∈③()(0,0,)r r rab a b a b r R =>>∈【2.1.2】指数函数及其性质(4)指数函数〖2.2〗对数函数【2.2.1】对数与对数运算(1)对数的定义①若(0,1)xa N a a =>≠且,则x 叫做以a 为底N 的对数,记作log a x N =,其中a 叫做底数,N 叫做真数.②负数和零没有对数.③对数式与指数式的互化:log (0,1,0)xa x N a N a a N =⇔=>≠>.(2)几个重要的对数恒等式log 10a =,log 1a a =,log b a a b =.(3)常用对数与自然对数常用对数:lg N ,即10log N ;自然对数:ln N ,即log e N (其中 2.71828e =…). (4)对数的运算性质 如果0,1,0,0a a M N >≠>>,那么①加法:log log log ()a a a M N MN += ②减法:log log log a a aM M N N-= ③数乘:log log ()na a n M M n R =∈ ④log a N a N =⑤log log (0,)b n a a nM M b n R b=≠∈ ⑥换底公式:log log (0,1)log b a b N N b b a =>≠且【2.2.2】对数函数及其性质设函数()y f x =的定义域为A ,值域为C ,从式子()y f x =中解出x ,得式子()x y ϕ=.如果对于y 在C 中的任何一个值,通过式子()x y ϕ=,x 在A 中都有唯一确定的值和它对应,那么式子()x y ϕ=表示x 是y 的函数,函数()x y ϕ=叫做函数()y f x =的反函数,记作1()x f y -=,习惯上改写成1()y fx -=.(7)反函数的求法①确定反函数的定义域,即原函数的值域;②从原函数式()y f x =中反解出1()x f y -=;③将1()x fy -=改写成1()y f x -=,并注明反函数的定义域.(8)反函数的性质①原函数()y f x =与反函数1()y fx -=的图象关于直线y x =对称.②函数()y f x =的定义域、值域分别是其反函数1()y fx -=的值域、定义域.③若(,)P a b 在原函数()y f x =的图象上,则'(,)P b a 在反函数1()y f x -=的图象上.④一般地,函数()y f x =要有反函数则它必须为单调函数.〖2.3〗幂函数(1)幂函数的定义一般地,函数y x α=叫做幂函数,其中x 为自变量,α是常数.(2)幂函数的图象(3)幂函数的性质①图象分布:幂函数图象分布在第一、二、三象限,第四象限无图象.幂函数是偶函数时,图象分布在第一、二象限(图象关于y 轴对称);是奇函数时,图象分布在第一、三象限(图象关于原点对称);是非奇非偶函数时,图象只分布在第一象限.②过定点:所有的幂函数在(0,)+∞都有定义,并且图象都通过点(1,1).③单调性:如果0α>,则幂函数的图象过原点,并且在[0,)+∞上为增函数.如果0α<,则幂函数的图象在(0,)+∞上为减函数,在第一象限内,图象无限接近x 轴与y 轴.④奇偶性:当α为奇数时,幂函数为奇函数,当α为偶数时,幂函数为偶函数.当qpα=(其中,p q 互质,p 和q Z ∈),若p 为奇数q 为奇数时,则q py x =是奇函数,若p 为奇数q 为偶数时,则q py x =是偶函数,若p 为偶数q 为奇数时,则qpy x =是非奇非偶函数.⑤图象特征:幂函数,(0,)y x x α=∈+∞,当1α>时,若01x <<,其图象在直线y x =下方,若1x >,其图象在直线y x =上方,当1α<时,若01x <<,其图象在直线y x =上方,若1x >,其图象在直线y x =下方.〖补充知识〗二次函数(1)二次函数解析式的三种形式①一般式:2()(0)f x ax bx c a =++≠②顶点式:2()()(0)f x a x h k a =-+≠③两根式:12()()()(0)f x a x x x x a =--≠(2)求二次函数解析式的方法①已知三个点坐标时,宜用一般式.②已知抛物线的顶点坐标或与对称轴有关或与最大(小)值有关时,常使用顶点式. ③若已知抛物线与x 轴有两个交点,且横线坐标已知时,选用两根式求()f x 更方便.(3)二次函数图象的性质①二次函数2()(0)f x ax bx c a =++≠的图象是一条抛物线,对称轴方程为,2bx a=-顶点坐标是24(,)24b ac b a a--. ②当0a >时,抛物线开口向上,函数在(,]2b a -∞-上递减,在[,)2b a-+∞上递增,当2bx a =-时,2min 4()4ac b f x a -=;当0a <时,抛物线开口向下,函数在(,]2b a -∞-上递增,在[,)2ba -+∞上递减,当2bx a=-时,2max 4()4ac b f x a -=.③二次函数2()(0)f x ax bx c a =++≠当240b ac ∆=->时,图象与x 轴有两个交点11221212(,0),(,0),||||||M x M x M M x x a =-=. (4)一元二次方程20(0)ax bx c a ++=≠根的分布一元二次方程根的分布是二次函数中的重要内容,这部分知识在初中代数中虽有所涉及,但尚不够系统和完整,且解决的方法偏重于二次方程根的判别式和根与系数关系定理(韦达定理)的运用,下面结合二次函数图象的性质,系统地来分析一元二次方程实根的分布.设一元二次方程20(0)ax bx c a ++=≠的两实根为12,x x ,且12x x ≤.令2()f x ax bx c =++,从以下四个方面来分析此类问题:①开口方向:a ②对称轴位置:2bx a=- ③判别式:∆ ④端点函数值符号.(5)二次函数2()(0)f x ax bx c a =++≠在闭区间[,]p q 上的最值 设()f x 在区间[,]p q 上的最大值为M ,最小值为m ,令01()2x p q =+. (Ⅰ)当0a >时(开口向上)①若2b p a -<,则()m f p = ②若2b p q a ≤-≤,则()2b m f a =- ③若2b q a ->,则()m f q = ①若02b x a -≤,则()M f q = ②02bx a ->,则()M f p =(Ⅱ)当0a <时(开口向下)①若2bp a -<,则()M f p = ②若2b p q a ≤-≤,则()2b M f a =- ③若2bq a ->,则()M f q =①若02bx a -≤,则()m f q = ②02bx a ->,则()m f =.>O -=f (p) f (q) ()2b f a -x>O -=f (p) f (q) ()2b f a -x >O -=f(p)f (q) ()2bf a -x>O -=f(p)f (q) ()2bf a -0x x >O -=f (p) f (q) ()2b f a -0x x <O -=f (p) f (q) ()2b f a -x <O -=f (p) f(q) ()2bf a -x <O -=f (p) f (q) ()2b f a -0xx <O -=f(p) f (q)()2bf a -x<O-=f(p) f (q)()2bfa -0x第三章 函数的应用一、方程的根与函数的零点1、函数零点的概念:对于函数))((D x x f y ∈=,把使0)(=x f 成立的实数x 叫做函数))((D x x f y ∈=的零点。
集合、简易逻辑( 1)集合的概念集合中的元素具有确定性、互异性和无序性.(2)常用数集及其记法N 表示自然数集, N或N表示正整数集,Z表示整数集,Q表示有理数集,R表示实数集 .(3)集合与元素间的关系对象 a与集合M的关系是a M ,或者 a M ,两者必居其一 .(4)集合的表示法①自然语言法:用文字叙述的形式来描述集合.②列举法:把集合中的元素一一列举出来,写在大括号内表示集合.③描述法: { x | x具有的性质 } ,其中x为集合的代表元素 .④图示法:用数轴或韦恩图来表示集合.(5)集合的分类①含有有限个元素的集合叫做有限集. ②含有无限个元素的集合叫做无限集. ③不含有任何元素的集合叫做空集( ).(6)子集、真子集、集合相等名称记号意义性质示意图(1)A A(或(2) AA 中的任一元素A(B)子集BAB A) 都属于 B若 A B 且 B C ,则 A C 或(3)(4) 若 A B 且 B A ,则A BA BA B,且B 中(1) A (A 为非空子集)真子(或至少有一元素不(2) 若 A B 且 B C ,则 A C集B )属于 AAA中的任一元素集合都属于(1)A B B,B 中的相等任一元素都属于A(2)BA(7)已知集合A有n(n1) 个元素,则它有2n个子集,它有2n1个真子集,它有 2n1个非空子集,它有 2n2非空真子集 .集合的基本运算1.集合运算:交、并、补 .2.主要性质和运算律(1)包含关系:A A,A, A U ,CUA U ,A B,BC A C ; A I B A, A I B B; A U B A, A U B B.(2)等价关系:A B A I B A A U B B C U A U B U(3)集合的运算律:交换律: A B B A; A B B A.结合律 : (A B) C A (B C ); ( A B) C A (B C )分配律 :. A(B C ) ( A B) ( A C ); A ( B C ) ( A B) ( A C )0-1 律:I A, U A A,U I A A,U U A U等幂律: A A A, A A A.求补律: A∩C U A=φ A ∪C U A=U ?C U U=φ ?C Uφ=U反演律:C U(A∩B)= (C U A) ∪( C U B) C U(A∪B)= (C U A)∩( C U B)简易逻辑1、命题的定义:可以判断真假的语句叫做命题。
高中文科数学高考解答题解法总结范文及专项训练资料数学解答题是高考数学试卷中的一类重要题型,通常是高考的把关题和压轴题,具有较好的区分层次和选拔功能.目前的高考解答题已经由单纯的知识综合型转化为知识、方法和能力的综合型解答题.在高考考场上,能否做好解答题,是高考成败的关键,因此,在高考备考中学会怎样解题,是一项重要的内容.从历年高考看这些题型的命制都呈现出显著的特点和解题规律,从阅卷中发现考生“会而得不全分”的大有人在,针对以上情况,本节就具体的题目类型,来谈一谈解答数学解答题的一般思维过程、解题程序和答题格式,即所谓的“答题模板”.“答题模板”就是首先把高考试题纳入某一类型,把数学解题的思维过程划分为一个个小题,按照一定的解题程序和答题格式分步解答,即化整为零.强调解题程序化,答题格式化,在最短的时间内拟定解决问题的最佳方案,实现答题效率的最优化.【常见答题模板展示】模板一三角函数的图像与性质试题特点:通过升、降幂等恒等变形,将所给三角函数化为只含一种函数名的三角函数(一般化为yAin(某)k(A0,0),然后再研究三角函数的性质,如单调性、奇偶性、周期性、对称性、最值等.求解策略:观察三角函数中函数名称、角与结构上的差异,确定三角化简的方向.ur31in某co某),例1【河北省冀州市高三一轮复习检测一】已知向量m(co2某,22rurr31n(1,in某co某),设函数f(某)mgn.22(Ⅰ)求函数f(某)取得最大值时某取值的集合;(Ⅱ)设A,B,C为锐角三角形ABC的三个内角.若coB的值。
思路分析:(Ⅰ)首先运用三角恒等变换(如倍角公式、两角和与差的正弦余弦公式)对其进行化简,然后运用三角函数的图像及其性质即可得出f(某)取得最大值所满足的某取值的集合;(Ⅱ)由题意可得in(2C)31,f(C),求inA5433.然后运用已知条件可得出角C的大小,再由同角三角2函数的基本关系可得inB,最后由两角和的正弦公式即可得出所求的结果.解析:(Ⅰ)f(某)co2某(31in某co某)222-1-313133co2某(in2某co2某in某co某)(co2某in2某)44224413in(2某).要使f(某)取得最大值,须满足in(2某)取得最小值.32232某2k,kZ.某k,kZ.当f(某)取得最大值时,某取值的集合为3212,kZ}.12{某|某k点评:高考对三角函数的图像和性质的考查主要围绕三角函数解析式的确定以及三角函数的周期性、单调性、对称性的展开,本题在三角函数解析式的确定上呈现的非常好.【规律总结】答题模板第一步:三角函数式的化简,一般化成y=Ain(ω某+φ)+h的形式或y=Aco(ω某+φ)+h的形式.如:f(某)2in(2某)1.3第二步:根据f(某)的表达式求其周期、最值.第三步:由in某、co某的单调性,将“ω某+φ”看作一个整体,转化为解不等式问题.第四步:明确规范表述结论.第五步:反思回顾.查看关键点、易错点及解题规范.【举一反三】π1.【湖北】某同学用“五点法”画函数f(某)Ain(某)(0,||)在某一个周期内的2图象时,列表并填入了部分数据,如下表:某某00π2π3π3π25π62π0Ain(某)55(Ⅰ)请将上表数据补充完整,填写在答题卡上相应位置,并直接写出函数f(某)的解析式;...........(Ⅱ)将yf(某)图象上所有点向左平行移动(0)个单位长度,得到yg(某)的图象.若yg(某)图象的一个对称中心为( 5π,0),求的最小值.12-2-π【解析】(Ⅰ)根据表中已知数据,解得A5,2,.数据补全如下表:6某某0π12π2π3π3π25π62π13π127π12Ain(某)05050π且函数表达式为f(某)5in(2某).6模板二三角变换与解三角形试题特点:题中出现边与角的关系或者给定向量的关系式,利用正、余弦定理或利用向量的运算,将向量式转化为代数式,再进行有关的三角恒等变换解三角形.求解策略:(1)利用数量积公式、垂直与平行的主要条件转化向量关系为三角问题来解决.(2)利用正、余弦定理进行三角形边与角的互化.例2【河北省武邑中学高三上学期期末考试】已知ABC的面积为S,且ABACS.(1)求tan2A的值;(2)若B4,CBCA3,求ABC的面积S.思路分析:(1)利用平面向量的数量积运算法则及面积公式化简已知等式,求出tanA的值即可;(2)由tanA与tanB的值,利用两角和与差的正切函数公式求出tanC的值,进而求出inC的值,利用正弦定理求出b的值,再利用三角形面积公式即可求出S.(2)CBCA3,即ABc3,∵tanA2,0A2,∴inA25,5coA5.∴5-3-inCin(AB)inAcoBcoAinB25252310.由正弦定525210理知:cbc1125binB5,SbcinA533.inCinBinC225点评:解三角形的两条思路要牢记:边角互化与使用三角恒等变换公式,其中正、余弦定理是常使用的,其作用就是边角互化,用一句话概括:“化边化角整体待,三角变换用起来”【规律总结】答题模板第一步:定条件,即确定三角形中的已知和所求,在图形中标注出来,然后确定转化的方向.第二步:定工具,即根据条件和所求合理选择转化的工具,实施边角之间的互化.第三步:求结果.第四步:回顾反思,在实施边角互化的时候应注意转化的方向,一般有两种思路:一是全部转化为边之间的关系;二是全部转化为角之间的关系,然后进行恒等变形.【举一反三】【湖南】设ABC的内角A,B,C的对边分别为a,b,c,abtanA,且B为钝角.(1)证明:BA2;(2)求inAinC的取值范围.模板三概率的计算问题试题特点:主要考查古典概型、几何概型,等可能事件的概率计算公式,互斥事件的概率加法公式,对立事件的概率减法公式,相互独立事件的概率乘法公式等内容.例3【江西省吉安市第一中学高三上学期第四次周考】甲、乙两位同学从A,B,C,D共四所高校中,任选两所参加自主招生考试(并且只能选两所高校),但同学甲特别喜欢A高校,他-4-除选A高校外,再会在余下的3所中随机选1所;同学乙对4所高校没有偏爱,在4所高校中随机选2所.(1)求乙同学选中D高校的概率;(2)求甲、乙两名同学恰有一人选中D高校的概率.思路分析:(1)利用列举法写出乙同学选择高校的所有基本事件,从中找出乙同学选择D高校的基本事件,利用基本事件个数比求概率;(2)根据题意,利用列举法写出甲、乙两位同学选择高校的所有基本事件,从中找出恰有一人选中D高校的基本事件,利用基本事件个数比求概率.点评:解决概率问题首先要考虑是考查哪种概率类型;其次要弄清互斥事件、相互独立事件的概率计算.【规律总结】答题模板第一步:记事件.第二步:指出事件性质,即指出是互斥事件、相互独立事件,古典概型.第三步:求各个事件的概率.第四步:求出所求概率.第五步:反思回顾.查看关键点、易错点及解题规范.【举一反三】【安徽】某企业为了解下属某部门对本企业职工的服务情况,随机访问50名职工,根据这50名职工对该部门的评分,绘制频率分布直方图(如图所示),其中样本数据分组区间为[40,50],[50,60],,[80,90],[90,100](Ⅰ)求频率分布图中a的值;(Ⅱ)估计该企业的职工对该部门评分不低于80的概率;-5-(Ⅲ)从评分在[40,60]的受访职工中,随机抽取2人,求此2人评分都在[40,50]的概率.模板四立体几何中位置关系的证明及体积的计算问题试题特点:立体几何解答题主要分两类:一类是空间线面关系的判定和推理证明,主要是证明平行和垂直;另一类是空间几何量(几何体体积与面积)的计算.求解策略:(1)利用“线线线面面面”三者之间的相互转化证明有关位置关系问题:①由已知想未知,由求证想判定,即分析法与综合法相结合来找证题思路;②利用题设条件的性质适当添加辅助线(或面)是解题的常用方法之一.(2)空间几何量的计算,常用方法是依据公理、定理以及性质等经过推理论证,作出所求几何量并求之.一般解题步骤是“作、证、求”.例4【河北省衡水中学高三上学期七调考试】已知在四棱锥SABCD中,底面ABCD是平行四边形,若SBAC,SASC.(1)求证:平面SBD平面ABCD;-6-(2)若AB2,SB3,coSCB,SAC60,求四棱锥SABCD的体积.18思路分析:(1)本题证明面面垂直,比较简单,已经有ACSB,又有SASC,设ACBDO,则O是AC中点,于是有ACSO,从而有线面垂直,再有面面垂直;(2)要求棱锥体积,作SHBD,垂足为H,由(1)可得SH就是四棱锥的高,同样由(1)可得ABCD是菱形,因此可在SBC中由余弦定理求得SC,又SAC是正三角形,这样,SBO的边BO边上的高SH也可求得,SO,AC已知了,于是求得BO(SABCD可得了)从而得体积.解析:.(1)设ACBDO,连接SO,SASC,ACSO.SBAC,SOSBSAC平面SBD,AC平面ABCD,平面SBD平面ABCD点评:寻找立体几何的解题思路重点把握好以下几点:一是要有转化与化归的意识,即将线线关系、线面关系、面面关系之间的问题相互转化;二是要有平面化的思想,即将空间问题转化到某一平面处理;三是割补的意识,即将原几何体分割或补形,使之成为新的、更方便处理的几何体;四是要用好向量这个强有力的工具.【规律总结】答题模板第一步:根据条件合理转化.-7-第二步:写出推证平行或垂直所需的条件,条件要充分.第三步:写出所证明的结论.第四步:观察几何体的形状,选择求几何体的面积与体积的方法.第五步:求几何体的面积与体积.第六步:反思回顾,查看关键点、易错点及解题规范.【举一反三】【北京】如图,在三棱锥VC中,平面V平面C,V为等边三角形,CC且CC2,,分别为,V的中点.(I)求证:V//平面C;(II)求证:平面C平面V;(III)求三棱锥VC的体积.模板五数列通项公式及求和问题试题特点:数列解答题一般设两到三问,前面两问一般为容易题,主要考查数列的基本运算,最后一问为中等题或较难题,一般考查数列的通项和前n项和的求法、最值等问题.如果涉及递推数列,且与不等式证明相结合,那么试题难度大大加强.求解策略:(1)利用数列的有关概念求特殊数列的通项与前n项和.(2)利用转化与化归思想(配凑、变形)将一般数列转化为等差、等比数列(主要解决递推数列问题).(3)利用错位相减、裂项相消等方法解决数列求和.(4)利用函数与不等式处理范围和最值问题.-8-例5【江西省吉安市第一中学高三上学期第四次周考】已知数列{an}的前n项和为Sn,且2Sn=1-annN某.(1)求数列{an}的通项公式;()(2)设bn=bnbn+11,cn=,求数列{cn}的前n项和Tn.log1ann+1+n3思路分析:(1)根据ana1,n1,即可求出数列{an}的通项公式;(2)由(1)可SnSn1,n21,然后再采用裂项相消即可求出结果.n+1得bn=n+1-n11=-,,可得cn=nnn(n+1)点评:高考数列大题常常以等差和等比数列为背景进行设置,以递推式为载体,与相关知识交汇的力度在加大,总体上难度有所上升.重点考查仍然是数列的通项、求和、累加法、累乘法、错位相减法、数列与函数的关系、数列与导数的关系、不等式的放缩等.【规律总结】答题模板第一步:令n=1,由Sn=f(an)求出a1.第二步:令n≥2,构造an=Sn-Sn-1,用an代换Sn-Sn-1(或用Sn-Sn-1代换an,这要结合题目特点),由递推关系求通项.第三步:验证当n=1时的结论是否适合当n≥2时的结论.如果适合,则统一“合写”;如果不适合,则应分段表示.第四步:写出明确规范的答案.第五步:反思回顾.查看关键点、易错点及解题规范.本题的易错点,易忽略对n=1和n≥2分两类进行讨论,同时忽视结论中对二者的合并.-9-【举一反三】2【新课标1】Sn为数列{an}的前n项和.已知an>0,anan=4Sn3.(Ⅰ)求{an}的通项公式;(Ⅱ)设bn1,求数列{bn}的前n项和.anan1模板六圆锥曲线中的探索性问题试题特点:主要考查圆锥曲线的基本概念、标准方程及几何性质、直线与圆锥曲线的位置关系,涉及弦长、中点、轨迹、范围、定值、最值等问题与探索存在性问题.本模板就探索性问题加以总结求解策略:突破解答题,应重点研究直线与曲线的位置关系,要充分运用一元二次方程根的判别式和韦达定理,注意运用“设而不求”的思想方法,灵活运用“点差法”解题,要善于运用数形结合思想分析问题,使数与形相互转化,根据具体特征选择相应方法.某2y2例7【山西省康杰中学等四校高三第二次联考】已知椭圆C:221(ab0)的离心ab率为6,以原点O为圆心,椭圆C的长半轴长为半径的圆与直线2某2y60相切.3(1)求椭圆C的标准方程;(2)已知点A,B为动直线yk(某2)(k0)与椭圆C的两个交点,问:在某轴上是否存在定点E,使得EAEAAB为定值若存在,试求出点E的坐标和定值;若不存在,请说明理由.思路分析:(1)确定椭圆标准方程,一般方法为待定系数法,即列出两个独立条件即可:椭圆C的长轴长等于圆心到切线的距离,a26,又e6,因此c=2,2(2)3226b2a2c22(2)存在性问题,一般从假设存在出发,以算代求:假设某轴上存在定点E(m,0),则EAEAAB(EAAB)EAEAEB,而-10-22222EAEB某1m,y1某2m,y2(某1m)某2my1y2=k1某1某22km某1某24km,到此,3m联立直线方程与椭圆方程方程组,利用韦达定理代入求解得212m10k2m2613k2,要使上式为定值,即与k无关,须满足3m212m103m26,解得m7.3某2y21(2)由6得(13k2)某212k2某12k260,设A(某1,y1)、B(某2,y2),所以2yk(某2)12k212k26,根据题意,假设某轴上存在定点E(m,0),使得某1某2,某1某22213k13kEAEAAB(EAAB)EAEAEB为定值.则2EAEB某1m,y1某2m,y2(某1m)某2my1y2=k21某1某22km某1某24km2223m212m10k2m26要使上式213k7.此时,3275EAEAABm26,所以在某轴上存在定点E(,0)使得EA2EAAB为定值, 395且定值为.9为定值,即与k无关,3m212m103m26,得m点评:解答存在性问题时可以考虑特殊化方法和逆推法,此类问题对运算能力要求较高,在运算过程中对式子的整理与变形尤为重要,渗透了函数与方程的思想、数形结合思想、转化与化归思想和分类讨论的数学思想.【规律总结】答题模板第一步:假设结论存在.第二步:以存在为条件,进行推理求解.第三步:明确规范表述结论.若能推出合理结果,经验证成立即可肯定正确;若推出矛盾,-11-即否定假设.第四步:反思回顾.查看关键点,易错点及解题规范.常常容易忽略及忽略直线AB与某轴垂直的情况.【举一反三】2某2y21和点Am,nm≠0【北京】已知椭圆C:221ab0的离心率为,点P0,2ab0这一隐含条件以都在椭圆C上,直线PA交某轴于点M.(Ⅰ)求椭圆C的方程,并求点M的坐标(用m,n表示);(Ⅱ)设O为原点,点B与点A关于某轴对称,直线PB交某轴于点N.问:y轴上是否存在点Q,使得OQMONQ?若存在,求点Q的坐标;若不存在,说明理由.(Ⅱ)P(0,1),B(m,n),直线PB的方程为:y1nm某1,直线PB与某轴交于点N,令y0,某m1n,则N(m1n,0).设Q(0,y0),mtanOQM1ny0m,tanONQ(1n)y0y0m1ny0(1n),mOQMONQ,tanOQMtanONQ,则y(1n)m0,所以m(1n)y0y02m2m2m22C2Am,nm≠0n1),(注:点在椭圆上,,则2221nm2使得OQMONQ.2)y02,存在点Q(0,模板七函数的单调性、最值、极值问题试题特点:给定函数含有参数,常见的类型有f(某)a某3b某2c某d,-12-f(某)a某2b某cdln某,f(某)(a某2b某c)e某,根据对函数求导,按参数进行分类讨论,求出单调性、极值、最值.求解策略:(1)求解定义域;(2)求导(含二次函数形式的导函数);(3)对二次函数的二次项系数、△判别式、根的大小进行讨论.例7【湖南省长沙市雅礼中学高三月考试卷(三)】已知函数f某(1)当a=0时,求函数的单调区间;(2)当0.ln某22.e某2ln某1思路分析:(1)f'某,令f'某0,可得某e,然后列表即可求出结果;ln2某(2)利用导数结合函数f某的3个极值点为某1,某2,某3,构造函数,利用单调性去判断.解析:(1)f'某某2ln某1,令f'某0,可得某e.列表如下:ln2某单调减区间为0,1,1,e;增区间为e,.(2)由题,f'某某a2ln某ln2某a1某,对于函数h某2ln某a1,有某h'某2某aaa0,,,∴函数在上单调递减,在上单调递增,∵函数f某h某2某222aaa,所以,当0a12ln102e2有3个极值点某1某2某3,从而hmin某h时,ha2lna0,h1a10,∴函数f某的递增区间有某1,a和某3,,递减区间有0,某1,a,1,1,某3,此时,函数f某有3个极值点,且某2a;∴当0a1时,-13-a2ln某101某1ah某2ln某1的两个零点,即有,消去a有某1,某3是函数某a2ln某103某311上递减,在2某1ln某1某12某3ln某3某3,令g某2某ln某某在0,,上递ee增,点评:函数的极值、最值问题常常以含参形式出现,要对参数进行讨论,要熟练掌握函数求导公式、运用导数工具研究单调性的方法.【规律总结】答题模板第一步:确定函数的定义域.第二步:求函数f(某)的导数f′(某).第三步:求方程f′(某)=0的根.第四步:利用f′(某)=0的根和不可导点的某的值从小到大顺次将定义域分成若干个小开区间,并列出表格.第五步:由f′(某)在小开区间内的正、负值判断f(某)在小开区间内的单调性;求极值、最值.第六步:明确规范地表述结论.第七步:反思回顾.查看关键点、易错点及解题规范.常常容易易忽视定义域,对a不能正确分类讨论.【举一反三】【山东省日照市高三12月校际联合检测】已知二次函数r某a某22a1某b(a,b为常数,aR,a0,bR)的一个零点是2-14-1.函数ag某ln某,设函数f某r某g某.(1)求b的值,当a0时,求函数f某的单调增区间;(2)当a0时,求函数f某在区间,1上的最小值;(3)记函数yf某图象为曲线C,设点A某1,y1,B某2,y2是曲线C 上不同的两点,点M为线段AB的中点,过点M作某轴的垂线交曲线C于点N.判断曲线C在点N处的切线是否平行于直线AB?并说明理由.12(2)当a0时,由f(某)0,得某11111,即a0时,,某21,①当2a22a111f(某)在(0,1)上是减函数,所以f(某)在[,1]上的最小值为f(1)1a.②当1,222a1即1a时,2111f(某)在[,]上是减函数,在[,1]上是增函数,所以f(某)的最小值为2a22a11111f()1ln(2a).③当,即a1时,f(某)在[,1]上是增函数,所以2a4a2a22113f(某)的最小值为f()aln2.224综上,函数f(某)在[,1]上的最小值[f(某)]ma某1213a124aln2,111ln(2a),1a,24a11a,a02yy1某1某2,直线AB的斜率k12某2某12(3)设M(某0,y0),则点N的横坐标为某01[a(某12某22)(12a)(某1某2)ln某2ln 某1]某1某2-15-思路分析:(1)设数列an的首项为a1,公差为d,利用基本量表示有关量进行求解;(2)①先根据tnN固定t2,再根据M2M1M3,验证是否存在t3符合题意;②由①的结论。
一、选择题1. 题目:已知函数f(x) = x^2 - 2x + 1,求f(x)的图像与x轴的交点。
解答:首先,我们令f(x) = 0,得到x^2 - 2x + 1 = 0。
这是一个一元二次方程,可以通过配方法或者求根公式求解。
解得x1 = x2 = 1。
因此,f(x)的图像与x轴的交点为(1, 0)。
2. 题目:已知等差数列{an}的首项a1 = 3,公差d = 2,求第10项an。
解答:根据等差数列的通项公式an = a1 + (n - 1)d,代入a1 = 3,d = 2,n = 10,得到an = 3 + (10 - 1)×2 = 21。
3. 题目:已知三角形ABC的三个内角A、B、C满足sinA + sinB + sinC = 3,求三角形ABC的形状。
解答:由三角形的内角和定理,得到A + B + C = 180°。
由正弦定理,得到sinA + sinB + sinC = 3sinA + 3sinB + 3sinC。
化简得sinA + sinB + sinC =3sin(A + B + C) = 3sin180° = 0。
与题目条件sinA + sinB + sinC = 3矛盾,因此不存在这样的三角形。
二、填空题1. 题目:已知函数f(x) = (x - 1)^2,求f(x)的极值。
解答:f(x)的导数为f'(x) = 2(x - 1)。
令f'(x) = 0,解得x = 1。
因此,f(x)在x = 1处取得极值。
将x = 1代入f(x),得到f(1) = 0。
所以f(x)的极值为0。
2. 题目:已知等比数列{an}的首项a1 = 2,公比q = 3,求第n项an。
解答:根据等比数列的通项公式an = a1q^(n - 1),代入a1 = 2,q = 3,得到an = 2×3^(n - 1)。
三、解答题1. 题目:已知函数f(x) = x^3 - 3x^2 + 2x,求f(x)的单调区间。
数学解答题是高考数学试卷中的一类重要题型,通常是高考的把关题和压轴题,具有较好的区分层次和选拔功能.目前的高考解答题已经由单纯的知识综合型转化为知识、方法和能力的综合型解答题.在高考考场上,能否做好解答题,是高考成败的关键,因此,在高考备考中学会怎样解题,是一项重要的内容.从历年高考看这些题型的命制都呈现出显著的特点和解题规律,从阅卷中发现考生“会而得不全分”的大有人在,针对以上情况,本节就具体的题目类型,来谈一谈解答数学解答题的一般思维过程、解题程序和答题格式,即所谓的“答题模板”.“答题模板”就是首先把高考试题纳入某一类型,把数学解题的思维过程划分为一个个小题,按照一定的解题程序和答题格式分步解答,即化整为零.强调解题程序化,答题格式化,在最短的时间内拟定解决问题的最佳方案,实现答题效率的最优化. 【常见答题模板展示】 模板一 三角函数的图像与性质试题特点:通过升、降幂等恒等变形,将所给三角函数化为只含一种函数名的三角函数(一般化为,然后再研究三角函数的性质,如单调性、奇偶性、周期性、对称性、最值等.求解策略:观察三角函数中函数名称、角与结构上的差异,确定三角化简的方向. 例1【河北省冀州市高三一轮复习检测一】 已知向量,,设函数. (Ⅰ)求函数取得最大值时取值的集合;(Ⅱ)设,,为锐角三角形的三个内角.若,,求 的值。
思路分析:(Ⅰ)首先运用三角恒等变换(如倍角公式、两角和与差的正弦余弦公式)对其进行化简,然后运用三角函数的图像及其性质即可得出取得最大值所满足的取值的集合;(Ⅱ)由题意可得然后运用已知条件可得出角的大小,再由同角三角函数的基本关系可得,最后由两角和的正弦公式即可得出所求的结果. 解析:(Ⅰ)sin()(0,0)yA x k A ωϕω=++≠≠1(cos 2,cos )22m x x x =-31(1,sin cos )22n x x =-()f x =m n ()f x x A B C ABC 3cos 5B =1()4f C =-sin A ()f x x sin(2)32C π-=-C sin B 21()cos 2cos )2f x x x x =+-高中文科数学高考解答题解题方法总结要使取得最大值,须满足取得最小值.当取得最大值时,取值的集合为点评:高考对三角函数的图像和性质的考查主要围绕三角函数解析式的确定以及三角函数的周期性、单调性、对称性的展开,本题在三角函数解析式的确定上呈现的非常好. 【规律总结】答题模板第一步:三角函数式的化简,一般化成y =A sin(ωx +φ)+h 的形式或y =A cos(ωx +φ)+h 的形式. 如:.第二步:根据f (x )的表达式求其周期、最值.第三步:由sin x 、cos x 的单调性,将“ωx +φ”看作一个整体,转化为解不等式问题. 第四步:明确规范表述结论.第五步:反思回顾.查看关键点、易错点及解题规范. 【举一反三】1. 【湖北】某同学用“五点法”画函数π()sin()(0,||)2f x A x ωϕωϕ=+><在某一个周期内的图象时,列表并填入了部分数据,如下表:...........()x 的解析式; (Ⅱ)将()y f x =图象上所有点向左平行移动θ(0)θ>个单位长度,得到()y g x =的图象. 若2231cos 2(sin cos cos )44x x x x x =++13(cos 22)24x x =--+1sin(2).223x π=--()f x sin(2)3x π-∴22,32x k k ππ-=π-∈Z.∴,12x k k π=π-∈Z.∴()f x x {|,}.12x x k k π=π-∈Z ()2sin(2)13f x x π=++()y g x =图象的一个对称中心为5π(,0)12,求θ的最小值. 【解析】(Ⅰ)根据表中已知数据,解得π5,2,6A ωϕ===-. 数据补全如下表:且函数表达式为()5sin(2)6f x x =-.模板二 三角变换与解三角形试题特点:题中出现边与角的关系或者给定向量的关系式,利用正、余弦定理或利用向量的运算,将向量式转化为代数式,再进行有关的三角恒等变换解三角形.求解策略:(1)利用数量积公式、垂直与平行的主要条件转化向量关系为三角问题来解决.(2)利用正、余弦定理进行三角形边与角的互化.例2 【河北省武邑中学高三上学期期末考试】已知ABC ∆的面积为S ,且S AC AB =⋅. (1)求A 2tan 的值;(2)若4π=B 3=,求ABC ∆的面积S .思路分析:(1)利用平面向量的数量积运算法则及面积公式化简已知等式,求出tan A 的值即可;(2)由tan A 与tan B 的值,利用两角和与差的正切函数公式求出tan C 的值,进而求出sin C 的值,利用正弦定理求出b 的值,再利用三角形面积公式即可求出S .(2)3=-CA CB ,即3==c AB ,∵2tan =A ,20π<<A ,∴552sin =A ,55cos =A .∴10103225522552sin cos cos sin )sin(sin =⋅+⋅=+=+=B A B A B A C . 由正弦定理知:5sin sin sin sin =⋅=⇒=B Ccb B b Cc , 35523521sin 21=⋅⋅==A bc S . 点评:解三角形的两条思路要牢记:边角互化与使用三角恒等变换公式,其中正、余弦定理是常使用的,其作用就是边角互化,用一句话概括:“化边化角整体待,三角变换用起来” 【规律总结】答题模板第一步:定条件,即确定三角形中的已知和所求,在图形中标注出来,然后确定转化的方向. 第二步:定工具,即根据条件和所求合理选择转化的工具,实施边角之间的互化. 第三步:求结果.第四步:回顾反思,在实施边角互化的时候应注意转化的方向,一般有两种思路:一是全部转化为边之间的关系;二是全部转化为角之间的关系,然后进行恒等变形. 【举一反三】【湖南】设ABC ∆的内角A ,B ,C 的对边分别为a ,b ,c ,tan a b A =,且B 为钝角. (1)证明:2B A π-=;(2)求sin sin A C +的取值范围.模板三 概率的计算问题试题特点:主要考查古典概型、几何概型,等可能事件的概率计算公式,互斥事件的概率加法公式,对立事件的概率减法公式,相互独立事件的概率乘法公式等内容.求解策略:(1)搞清各类事件类型,并沟通所求事件与已知事件的联系.(2)涉及“至多”、“至少”问题时要考虑是否可通过计算对立事件的概率求解.(3)在概率与统计的综合问题中,能利用统计的知识提取相关信息用于解题.例3 【江西省吉安市第一中学高三上学期第四次周考】甲、乙两位同学从,,,A B C D 共四所高校中,任选两所参加自主招生考试(并且只能选两所高校),但同学甲特别喜欢A 高校,他除选A高校外,再会在余下的3所中随机选1所;同学乙对4所高校没有偏爱,在4所高校中随机选2所.(1)求乙同学选中D高校的概率;(2)求甲、乙两名同学恰有一人选中D高校的概率.思路分析:(1)利用列举法写出乙同学选择高校的所有基本事件,从中找出乙同学选择D高校的基本事件,利用基本事件个数比求概率;(2)根据题意,利用列举法写出甲、乙两位同学选择高校的所有基本事件,从中找出恰有一人选中D高校的基本事件,利用基本事件个数比求概率.点评:解决概率问题首先要考虑是考查哪种概率类型;其次要弄清互斥事件、相互独立事件的概率计算.【规律总结】答题模板第一步:记事件.第二步:指出事件性质,即指出是互斥事件、相互独立事件,古典概型.第三步:求各个事件的概率.第四步:求出所求概率.第五步:反思回顾.查看关键点、易错点及解题规范.【举一反三】【安徽】某企业为了解下属某部门对本企业职工的服务情况,随机访问50名职工,根据这50名职工对该部门的评分,绘制频率分布直方图(如图所示),其中样本数据分组区间为[40,50],[50,60],,[80,90],[90,100](Ⅰ)求频率分布图中a的值;(Ⅱ)估计该企业的职工对该部门评分不低于80的概率;(Ⅲ)从评分在[40,60]的受访职工中,随机抽取2人,求此2人评分都在[40,50]的概率.模板四 立体几何中位置关系的证明及体积的计算问题试题特点:立体几何解答题主要分两类:一类是空间线面关系的判定和推理证明,主要是证明平行和垂直;另一类是空间几何量(几何体体积与面积)的计算.求解策略:(1)利用“线线⇔线面⇔面面”三者之间的相互转化证明有关位置关系问题:①由已知想未知,由求证想判定,即分析法与综合法相结合来找证题思路;②利用题设条件的性质适当添加辅助线(或面)是解题的常用方法之一.(2)空间几何量的计算,常用方法是依据公理、定理以及性质等经过推理论证,作出所求几何量并求之.一般解题步骤是“作、证、求”.例4 【河北省衡水中学高三上学期七调考试】已知在四棱锥S ABCD -中,底面ABCD 是平行四边形,若,SB AC SA SC ⊥=. (1)求证:平面SBD ⊥平面ABCD ;(2)若12,3,cos ,608AB SB SCB SAC ==∠=-∠=︒,求四棱锥S ABCD -的体积.思路分析:(1)本题证明面面垂直,比较简单,已经有AC SB ⊥,又有SA SC =,设AC BD O =,则O 是AC 中点,于是有AC SO ⊥,从而有线面垂直,再有面面垂直;(2)要求棱锥体积,作SH BD ⊥,垂足为H ,由(1)可得SH 就是四棱锥的高,同样由(1)可得ABCD 是菱形,因此可在SBC ∆中由余弦定理求得SC ,又SAC ∆是正三角形,这样,SO AC 已知了,于是求得BO (ABCD S 可得了),SBO ∆的边BO 边上的高SH 也可求得,从而得体积.解析:.(1)设AC BD O ⋂=,连接SO ,,.,SA SC AC SO SB AC SO SB S AC =∴⊥⊥⋂=∴⊥平面SBD ,AC ⊂平面ABCD ,∴平面SBD ⊥平面ABCD点评:寻找立体几何的解题思路重点把握好以下几点:一是要有转化与化归的意识,即将线线关系、线面关系、面面关系之间的问题相互转化;二是要有平面化的思想,即将空间问题转化到某一平面处理;三是割补的意识,即将原几何体分割或补形,使之成为新的、更方便处理的几何体;四是要用好向量这个强有力的工具. 【规律总结】答题模板 第一步:根据条件合理转化.第二步:写出推证平行或垂直所需的条件,条件要充分. 第三步:写出所证明的结论.第四步:观察几何体的形状,选择求几何体的面积与体积的方法. 第五步:求几何体的面积与体积.第六步:反思回顾,查看关键点、易错点及解题规范. 【举一反三】【北京】如图,在三棱锥V C -AB 中,平面V AB ⊥平面C AB ,V ∆AB 为等边三角形,C C A ⊥B且C C A =B =O ,M 分别为AB ,V A 的中点.(I )求证:V //B 平面C MO ; (II )求证:平面C MO ⊥平面V AB ; (III )求三棱锥V C -AB 的体积.模板五 数列通项公式及求和问题试题特点:数列解答题一般设两到三问,前面两问一般为容易题,主要考查数列的基本运算,最后一问为中等题或较难题,一般考查数列的通项和前项和的求法、最值等问题.如果涉及递推数列,且与不等式证明相结合,那么试题难度大大加强.求解策略:(1)利用数列的有关概念求特殊数列的通项与前项和.(2)利用转化与化归思想(配凑、变形)将一般数列转化为等差、等比数列(主要解决递推数列问题).(3)利用错位相减、裂项相消等方法解决数列求和.(4)利用函数与不等式处理范围和最值问题.n n例5【江西省吉安市第一中学高三上学期第四次周考】已知数列n a 的前n 项和为n S ,且21n n S a n N.(1)求数列n a 的通项公式;(2)设+1131,log 1n n nnnb b bc a n n,求数列n c 的前n 项和n T .思路分析:(1)根据11,1,2n nn a n a S S n -=⎧=⎨-≥⎩,即可求出数列n a 的通项公式;(2)由(1)可得1,nb n,可得111,11n n nc nn n n 然后再采用裂项相消即可求出结果. 点评:高考数列大题常常以等差和等比数列为背景进行设置,以递推式为载体,与相关知识交汇的力度在加大,总体上难度有所上升.重点考查仍然是数列的通项、求和、累加法、累乘法、错位相减法、数列与函数的关系、数列与导数的关系、不等式的放缩等. 【规律总结】答题模板第一步:令n =1,由S n =f (a n )求出a 1.第二步:令n ≥2,构造a n =S n -S n -1,用a n 代换S n -S n -1(或用S n -S n -1代换a n ,这要结合题目特点),由递推关系求通项.第三步:验证当n =1时的结论是否适合当n ≥2时的结论. 如果适合,则统一“合写”;如果不适合,则应分段表示. 第四步:写出明确规范的答案.第五步:反思回顾.查看关键点、易错点及解题规范.本题的易错点,易忽略对n =1和n ≥2分两类进行讨论,同时忽视结论中对二者的合并.【举一反三】【新课标1】n S 为数列{n a }的前n 项和.已知n a >0,2n n a a +=43n S +.(Ⅰ)求{n a }的通项公式; (Ⅱ)设11n n n b a a +=,求数列{n b }的前n 项和. 模板六 圆锥曲线中的探索性问题试题特点:主要考查圆锥曲线的基本概念、标准方程及几何性质、直线与圆锥曲线的位置关系,涉及弦长、中点、轨迹、范围、定值、最值等问题与探索存在性问题.本模板就探索性问题加以总结求解策略:突破解答题,应重点研究直线与曲线的位置关系,要充分运用一元二次方程根的判别式和韦达定理,注意运用“设而不求”的思想方法,灵活运用“点差法”解题,要善于运用数形结合思想分析问题,使数与形相互转化,根据具体特征选择相应方法.例7 【山西省康杰中学等四校高三第二次联考】已知椭圆C :)0(12222>>=+b a by a x 的离心率为36,以原点O 为圆心,椭圆C 的长半轴长为半径的圆与直线0622=+-y x 相切. (1)求椭圆C 的标准方程;(2)已知点A,B 为动直线)0)(2(≠-=k x k y 与椭圆C 的两个交点,问:在x 轴上是否存在定点E ,使得AB EA EA ⋅+2为定值?若存在,试求出点E 的坐标和定值;若不存在,请说明理由. 思路分析:(1)确定椭圆标准方程,一般方法为待定系数法,即列出两个独立条件即可:椭圆C 的长轴长等于圆心到切线的距离,6)2(2622=-+=a ,又36=e ,因此c=2, 2222=-=c a b (2)存在性问题,一般从假设存在出发,以算代求:假设x 轴上存在定点E(m,0), 则EB EA EA AB EA AB EA EA ⋅=⋅+=⋅+)(2,而()()()21212211)(,,y y m x m x y m x y m x EB EA +--=-⋅-=⋅=()()()()22221212124k x x k m x x k m +-++++,到此,联立直线方程与椭圆方程方程组,利用韦达定理代入求解得()()222231210613mm k m k-++-+,要使上式为定值,即与k 无关,须满足()631012322-=+-m m m ,解得37=m .(2)由⎪⎩⎪⎨⎧-==+)2(12622x k y y x 得061212)31(2222=-+-+k x k x k ,设A(x1,y1)、B(x2,y2),所以2221222131612,3112kk x x k k x x +-=+=+,根据题意,假设x 轴上存在定点E(m,0),使得EB EA EA AB EA AB EA EA ⋅=⋅+=⋅+)(2为定值.则()()()21212211)(,,y y m x m x y m x y m x EB EA +--=-⋅-=⋅=()()()()()()22222221221231610123421km k m m mk x x m k x x k+-++-=++++-+要使上式为定值,即与k 无关,()631012322-=+-m m m ,得37=m . 此时, 95622-=-=⋅+m AB EA EA ,所以在x 轴上存在定点E(37,0) 使得AB EA EA ⋅+2为定值,且定值为95-.点评:解答存在性问题时可以考虑特殊化方法和逆推法,此类问题对运算能力要求较高,在运算过程中对式子的整理与变形尤为重要,渗透了函数与方程的思想、数形结合思想、转化与化归思想和分类讨论的数学思想. 【规律总结】答题模板 第一步:假设结论存在.第二步:以存在为条件,进行推理求解.第三步:明确规范表述结论.若能推出合理结果,经验证成立即可肯定正确;若推出矛盾,即否定假设.第四步:反思回顾.查看关键点,易错点及解题规范.常常容易忽略这一隐含条件以及忽略直线AB 与x 轴垂直的情况. 【举一反三】【北京】已知椭圆C :()222210x y a b a b+=>>,点()01P ,和点()A m n ,()0m ≠都在椭圆C 上,直线PA 交x 轴于点M .(Ⅰ)求椭圆C 的方程,并求点M 的坐标(用m ,n 表示);(Ⅱ)设O 为原点,点B 与点A 关于x 轴对称,直线PB 交x 轴于点N .问:y 轴上是否存在点Q ,使得OQM ONQ ∠=∠?若存在,求点Q 的坐标;若不存在,说明理由.(Ⅱ)(0,1),(,)P B m n -,直线PB 的方程为:11ny x m+=+,直线PB 与x 轴交于点N ,令0,1my x n==+,则(,0)1mN n+.设0(0,)Q y ,1tan (1)mmn OQM y n y -∠==-, 00(1)tan 1y y n ONQ mmn+∠==+,,tan tan OQM ONQ OQM ONQ ∠=∠∴∠=∠,则0(1)mn y =-0(1)y n m+,所以22222212m m y n m===-,(注:点()A m n ,()0m ≠在椭圆C 上,2212m n +=),则02y =±,存在点Q (0,2)±使得OQM ONQ ∠=∠. 模板七 函数的单调性、最值、极值问题试题特点:给定函数含有参数,常见的类型有,0∆>32()f x ax bx cx d =+++,,根据对函数求导,按参数进行分类讨论,求出单调性、极值、最值.求解策略:(1)求解定义域;(2)求导(含二次函数形式的导函数);(3)对二次函数的二次项系数、△判别式、根的大小进行讨论.例7【湖南省长沙市雅礼中学高三月考试卷(三)】已知函数()()2ln x a f x x-=(其中a 为常数). (1)当a =0时,求函数的单调区间;(2)当0<a <1时,设函数()f x 的3个极值点为123,,x x x ,且123x x x <<.证明:13x x +>思路分析:(1) ()()22ln 1'ln x x f x x-=,令()'0f x =,可得x =然后列表即可求出结果;(2)利用导数结合函数()f x 的3个极值点为123x x x ,,,构造函数,利用单调性去判断. 解析:(1) ()()22ln 1'ln x x f x x-=,令()'0f x =,可得x =列表如下:单调减区间为()(0,1,;增区间为)+∞.(2) 由题,()()22ln 1'ln a x a x x f x x⎛⎫-+- ⎪⎝⎭=,对于函数()2ln 1ah x x x=+-,有()22'x a h x x -=,∴函数()h x 在0,2a ⎛⎫ ⎪⎝⎭上单调递减,在,2a ⎛⎫+∞ ⎪⎝⎭上单调递增,∵函数()f x 有3个极值点123x x x <<,从而()min 2ln 1022a a h x h ⎛⎫==+<⎪⎝⎭,所以a <当01a <<时,()()2ln 0,110h a a h a =<=-<,∴函数()f x 的递增区间有()1,x a 和()3,x +∞,递减区间有()10,x ,()()3,1,1,a x ,此时,函数()f x 有3个极值点,且2x a =;∴当01a <<时,2()ln f x ax bx c d x =+++2()()x f x ax bx c e =++⋅13,x x 是函数()2ln 1a h x x x =+-的两个零点,即有11332ln 102ln 10a x x a x x ⎧+-=⎪⎪⎨⎪+-=⎪⎩,消去a 有1113332ln 2ln x x x x x x -=-,令()2ln g x x x x =-在10,e ⎛⎫ ⎪⎝⎭上递减,在1,e ⎛⎫+∞ ⎪⎝⎭上递增,点评:函数的极值、最值问题常常以含参形式出现,要对参数进行讨论,要熟练掌握函数求导公式、运用导数工具研究单调性的方法. 【规律总结】答题模板 第一步:确定函数的定义域. 第二步:求函数f (x )的导数f ′(x ). 第三步:求方程f ′(x )=0的根.第四步:利用f ′(x )=0的根和不可导点的x 的值从小到大顺次将定义域分成若干个小开区间,并列出表格.第五步:由f ′(x )在小开区间内的正、负值判断f (x )在小开区间内的单调性;求极值、最值. 第六步:明确规范地表述结论.第七步:反思回顾.查看关键点、易错点及解题规范.常常容易易忽视定义域,对a 不能正确分类讨论.【举一反三】【山东省日照市高三12月校际联合检测】已知二次函数(为常数,)的一个零点是.函数()()221r x ax a x b =--+,a b ,0,a R a b R ∈≠∈12a-,设函数.(1)求的值,当时,求函数的单调增区间; (2)当时,求函数在区间上的最小值;(3)记函数图象为曲线C ,设点是曲线C 上不同的两点,点M 为线段AB 的中点,过点M 作轴的垂线交曲线C 于点N.判断曲线C 在点N 处的切线是否平行于直线AB ?并说明理由.(2)当时,由,得,, ①当,即时,在上是减函数,所以在上的最小值为.②当,即时,在上是减函数,在上是增函数,所以的最小值为.③当,即时,在上是增函数,所以的最小值为.综上,函数在上的最小值,(3)设,则点的横坐标为,直线的斜率 ()ln g x x =()()()f x r x g x =-b 0a >()f x 0a <()f x 1,12⎡⎤⎢⎥⎣⎦()y f x =()()1122,,A x y B x y ,x 0a <()0f x '=112x a=-21x =112a ->102a -<<()f x (0,1)()f x 1[,1]2(1)1f a =-11122a≤-≤112a -≤≤-()f x 11[,]22a-1[,1]2a -()f x 11()1ln(2)24f a a a -=-+-1122a -<1a <-()f x 1[,1]2()f x 113()ln 2224f a =-+()f x 1[,1]2max13ln 2,12411[f(x)]1ln(2),1a 4211,02a a a aa a ⎧-+<-⎪⎪⎪=-+--≤≤-⎨⎪⎪--<<⎪⎩00(,)M x y N 1202x x x +=AB 21121y y k x x -=-22121221121[()(12)()ln ln ]a x x a x x x x x x =-+--+--,曲线在点处的切线斜率,假设曲线在点处的切线平行于直线,则,即模板八 含参不等式的恒成立问题试题特点:主要包括等式恒成立问题和不等式恒成立问题.求解策略:(1)对于可化为二次函数型的等式与不等式恒成立问题,可借助图象列不等式(组)求解.(2)通过移项,等式或不等式左右两边的函数图象易画,可画图求解.(3)将等式或不等式转化为某含待求参数的函数的值域或最值问题求解.例8【河北省衡水中学高三上学期七调考试】已知函数()()ln 1f x x x =+-. ⑴求()f x 的单调区间;⑵若k Z ∈,且()311f x x k x ⎛⎫-+>-⎪⎝⎭对任意1x >恒成立,求k 的最大值; ⑶对于在区间()0,1上任意一个常数a ,是否存在正数0x ,使得()02012f x a e x <-成立?请说明理由.思路分析:本题考查考查导数的应用,(1)求函数的单调区间,就是求出导函数'()f x ,然后解不等式'()0f x >(或'()0f x <)得单调增区间(或减区间);(2)不等式()311f x x k x ⎛⎫-+>- ⎪⎝⎭恒成立问题,化简不等式为ln 30x x x kx k +-+>,为此设211212ln ln ()(12)]x x a x x a x x -=++-+-C N 20001()2(12)k f x ax a x '==+--12122()(12)a x x a x x =++--+C N AB 12k k =()ln 3g x x x x kx k =+-+,求它的最小值,由最小值大于0得k 的范围,由'()ln 2g x x k =+-,在1x >时,ln 0x >,因此要分类,2k ≤或2k >,2k ≤时易得单调性,2k >时,得22()()3k k g x g ek e --==-极小,问题转化为230k k e -->时求k 的最大值,最终可得结果;(3)探索性问题,假设存在,不等式()02012f x a e x <-转化为02001102x x a x e++-<,为此只需找到当0x >时,函数()21102x a x h x x e+=+-<的最小值()min h x 满足()min 0h x <即可.⑵由()311f x x k x ⎛⎫-+>-⎪⎝⎭变形,得()3ln 11x x x k x ⎛⎫--+>- ⎪⎝⎭,整理得ln 30x x x kx k +-+>,令()()'ln 3,ln 2g x x x x kx k g x x k =+-+∴=+-,1ln 0x x >∴>,若2k ≤时,()'0g x >恒成立,即()g x 在区间()1,+∞上递增,由()1110,120222g k k k >∴+>∴>-∴-<≤,又k Z k ∈∴的最大值为2.若2k >由2ln 20k x k x e -+->∴>,由2ln 201k x k x e -+-<∴<<,即()g x 在()21,k e -上单调递减,在区间()2,k e -+∞上单调递增,所以()g x 在区间()1,+∞上有最小值,为()223k k g e k e --=-,于是转化为()2302k k ek -->>恒成立,求k 的最大值,令()()2'233x x h x x e h x e --=-∴=-,当2ln3x >+时,()()'0,h x h x <单调递减,当22ln3x <<+时,()()'0,h x h x >单调递增.()h x ∴在2ln3x =+处取得最大值.1ln3232ln34<<∴<+<,()()1130,2ln 333ln 30h h e=->+=+>,()()234120,5150h e h e =->=-<,4,k k ∴≤∴的最大值为4.⑶假设存在这样的0x 满足题意,则由()()0022000111022f x x x a a ex x e+<-⇔+-<*,∴要找一个00x >使()*式成立,只需找到当0x >时,函数()21102x a x h x x e+=+-<的最小值()minh x满足()min 0h x <即可.()'1xh x x a e ⎛⎫=- ⎪⎝⎭,令()'10ln xh x e x a a =∴=∴=-,取0ln x a =-,在00x x <<时,()'0h x <,在0x x >时,()()()()()2'0min 0ln ln ln 12a h x h x h x h a a a a a >∴==-=-+- 下面只需证明:在01a <<时,()2ln ln 102a a a a a -+-<成立即可.又令()()()2ln ln 1,0,12a p a a a a a a =-+-∈,则()()()2'1ln 0,2p a a p a =>∴在()0,1a ∈时为增函数.()()010,ln p a p x a ∴<=∴=-符合条件,即存在正数0x 满足条件.点评:高考函数大题的考查,无论如何变化,都离不开函数单调性的研究,因此在备考中就应该紧紧围绕这个中心问题,进行分类讨论、数形结合、转化与化归等数学思想方法的训练和总结.【规律总结】答题模板第一步:将问题转化为形如不等式f (x )≥a (或f (x )≤a )恒成立的问题. 第二步:求函数f (x )的最小值f (x )min 或最大值f (x )max . 第三步:解不等式f (x )min ≥a (或f (x )max ≤a ). 第四步:明确规范地表述结论.第五步:反思回顾.查看关键点、易错点及答题规范.如本题重点反思每一步转化的目标及合理性,最大或最小值是否正确. 【举一反三】【福建】已知函数f()ln(1)x x ,(),(k ),g x kx R(Ⅰ)证明:当0xx x 时,f();(Ⅱ)证明:当1k 时,存在00x ,使得对0(0),x x 任意,恒有f()()x g x ;(Ⅲ)确定k 的所以可能取值,使得存在0t ,对任意的(0),x ,t 恒有2|f()()|x g x x .(2)令G()f()()ln(1),(0,),x x g x x kx x 则有1(1k)()1+1+kx G x k x x,当0kG ()0x ,所以G()x 在[0,)上单调递增, G()(0)0x G ,故对任意正实数0x 均满足题意.当01k 时,令()0,x G 得11=10k x k k .取01=1x k,对任意0(0,),x x 恒有G ()0x ,所以G()x 在0[0,x )上单调递增, G()(0)0x G ,即f()()x g x .综上,当1k 时,总存在00x ,使得对任意的0(0),x x ,恒有f()()x g x .(3)当1k 时,由(1)知,对于(0,),x +()f()g x x x ,故()f()g x x ,|f()()|()()k ln(1)x g x g x f x x x ,令2M()k ln(1),[0)x x x x x ,+,则有21-2+(k-2)1M ()k2=,11x x k x x x x故当22(k 2)8(k 1)0)k x (,时,M ()0x ,M()x 在22(k 2)8(k 1)[0)k ,上单调递增,故M()M(0)0x ,即2|f()()|x g x x ,所以满足题意的t 不存在.当1k 时,由(2)知存在00x ,使得对任意的任意的0(0),xx ,恒有f()()x g x .此时|f()()|f()()ln(1)k x g x x g x x x ,令2N()ln(1)k ,[0)x x x x x ,+,则有2'1-2-(k+2)1()2=,11x x k N x k x x x故当2(+2(k +2)8(1k)0)k x )(,时,N ()0x ,M()x 在2(2)(k 2)8(1k)[0)k ,上单调递增,故N()(0)0x N ,即2f()()x g x x ,记0x 与2(2)(k 2)8(1k)k 中较小的为1x ,则当21(0)|f()()|x x x g x x ,时,恒有,故满足题意的t 不存在.当=1k ,由(1)知,(0,),x 当+|f()()|()()ln(1)x g x g x f x x x ,令2H()ln(1),[0)x x x x x ,+,则有21-2H ()12=,11x xx x x x当0x 时,H ()0x ,所以H()x 在[0+,)上单调递减,故H()(0)0x H ,故当0x 时,恒有2|f()()|x g x x ,此时,任意实数t 满足题意.综上,=1k .2f()()x g x x ,记0x 与1-k 2中较小的为1x ,则当21(0)|f()()|x x x g x x ,时,恒有,故满足题意的t 不存在.当=1k ,由(1)知,(0,),x 当+|f()()|()()ln(1)x g x g x f x x x ,令2M()ln(1),[0)x x x x x =-+-∈∞,+,则有212M ()12,11x xx x x x--'=--=++当0x 时,M ()0x ,所以M()x 在[0+∞,)上单调递减,故M()M(0)0x ,故当0x 时,恒有2|f()()|x g x x ,此时,任意实数t 满足题意.综上,=1k .模板九 探索创新性问题试题特点:主要包括两个类型:一是自定义的创新题,二是考查知识交汇渗透的情境创新题. 求解策略:(1)对于自定义的创新题,首先应准确理解新概念、新法则的含义,然后根据新概念、新法则把所求问题转化为我们熟悉的问题求解.(2)对于情境创新题,既要分析每一个知识点在题目中的作用,又要分析它们的交汇点在哪里,应做到两者的有机结合.例9 【宿迁市高三年级摸底考试数学试题】已知数列是等差数列,其前n 项和为S n ,若,.(1)求;(2)若数列{M n }满足条件: ,当时,-,其中数列单调递增,且,.①试找出一组,,使得;②证明:对于数列,一定存在数列,使得数列中的各数均为一个整数的平方.{}n a 410S =1391S =n S 11t M S =2n ≥n n t M S =1n t S -{}n t 11t =n t *∈N 2t 3t 2213M M M =⋅{}n a {}n t {}n M思路分析:(1)设数列的首项为,公差为,利用基本量表示有关量进行求解;(2)①先根据固定,再根据,验证是否存在符合题意;②由①的结论。