等差等比数列练习题(含答案)
- 格式:pdf
- 大小:66.68 KB
- 文档页数:5
高中数学《数列》练习题(含答案解析)一、单选题1.已知等差数列{an }的前n 项和为Sn ,且48S S =13,则816S S =( )A .310 B .37C .13D .122.已知等比数列{an }的前n 项和为Sn ,则“Sn +1>Sn ”是“{an }单调递增”的( ) A .充分不必要条件 B .必要不充分条件 C .充要条件 D .既不充分也不必要条件3.现有下列说法:①元素有三个以上的数集就是一个数列; ①数列1,1,1,1,…是无穷数列; ①每个数列都有通项公式;①根据一个数列的前若干项,只能写出唯一的通项公式; ①数列可以看着是一个定义在正整数集上的函数. 其中正确的有( ). A .0个B .1个C .2个D .3个4.数列{}n a 的前n 项和为n S ,且1(1)(21)n n a n +=-⋅+,则2021S =( )A .2020B .2021C .2022D .20235.已知等差数列{}n a 中,6819,27a a ==,则数列{}n a 的公差为( ) A .2B .3C .4D .56.标准对数视力表(如图)采用的“五分记录法”是我国独创的视力记录方式.标准对数视力表各行为正方形“E ”字视标,且从视力5.1的视标所在行开始往上,每一行“E ”的边长都是下方一行“E ”的边长的视力4.0的视标边长为a ,则视力4.9的视标边长为( )A .4510aB .91010aC .4510a -D .91010a -7.已知数列{}n a ,2141n n a n n ,则下列说法正确的是( )A .此数列没有最大项B .此数列的最大项是3aC .此数列没有最小项D .此数列的最小项是2a8.已知{}n a 是等差数列,公差0d >,其前n 项和为n S ,若2a 、52a+、172a +成等比数列,()12n n n a S +=,则不正确的是( ) A .1d= B .1020a = C .2n S n n =+ D .当2n ≥时,32n n S a ≥9.已知数列{}n a 的前n 项和为n S ,112a =,对任意的*n ∈N 都有1(2)n n na n a +=+,则2021S =( ) A .20192020B .20202021C .20212022D .1010101110.等差数列{}n a 前n 项和为n S , 281112a a a ++=,则13S =( ) A .32B .42C .52D .62二、填空题11.已知a 是1,2的等差中项,b 是1-,16-的等比中项,则ab 等于___________. 12.已知等差数列{}n a 的前n 项和为n S ,若65210,6Sa a =+=,则d =_________.13.设n S 是等差数列{}n a 的前n 项和,若891715a a =,则1517S S =______.14.已知等差数列{}n a 的前n 项和为nS,且1516a a +=-,936S =-,则n S 的最小值是______.三、解答题15.已知数列{}n a 为等差数列,{}n b 是公比为2的等比数列,且满足11221,5a b b a ==+=(1)求数列{}n a 和{}n b 的通项公式; (2)令n n n c a b =+求数列{}n c 的前n 项和n S ;16.已知等差数列{}n a 的前n 项和n S 满足30S =,55S =-. (1)求{}n a 的通项公式;(2)2n nb a =-+求数列11n n b b +⎧⎫⎨⎬⎩⎭的前n 项和n T . 17.某公司2021年年初花费25万元引进一种新的设备,设备投入后每年的收益均为21万元.若2021年为第1年,且该公司第()n n *∈N 年需要支付的设备维修和工人工资等费用总和n a (单位:万元)的情况如图所示.(1)求n a ;(2)引进这种设备后,第几年该公司开始获利? 18.设{}n a 是首项为1的等比数列,数列{}n b 满足3nn na b =.已知1a ,23a ,39a 成等差数列. (1)求{}n a 和{}nb 的通项公式;(2)记n S 和n T 分别为{}n a 和{}n b 的前n 项和.证明:2nn S T <.参考答案与解析:1.A【分析】运用等差数列前n 项和公式进行求解即可. 【详解】设等差数列{an }的公差为d , ①41181461582832a d a d a d S S +==⇒=+,显然0d ≠, ①8161182820283161204012010a d d d a d S d S d ++===++, 故选:A 2.D【分析】由110++>⇒>n n n S S a ,举反例102=>n na 和12nn a =-即可得出结果 【详解】110++>⇒>n n n S S a ,例如102=>n na ,但是数列{}n a 不单调递增,故不充分; 数列{}n a 单调递增,例如12n na =-,但是1n n S S +<,故不必要; 故选:D 3.B【分析】根据给定条件,利用数列的定义逐一分析各个命题,判断作答.【详解】对于①,数列是按一定次序排成的一列数,而数集的元素无顺序性,①不正确; 对于①,由无穷数列的意义知,数列1,1,1,1,…是无穷数列,①正确; 对于①0.1,0.01,0.001,0.0001,得到的不足近似值,依次排成一列得到的数列没有通项公式,①不正确;对于①,前4项为1,1,1,1的数列通项公式可以为1,N n a n =∈,cos 2π,N n b n n *=∈等,即根据一个数列的前若干项,写出的通项公式可以不唯一,①不正确;对于①,有些数列是有穷数列,不可以看着是一个定义在正整数集上的函数,①不正确, 所以说法正确的个数是1. 故选:B 4.D【分析】根据数列{}n a 的通项公式,可求得12342,2a aa a +=-+=-,依此类推,即可求解.【详解】①1(1)(21)n n a n +=-⋅+,故12343,5,7,9a a a a ==-==-故202112320202021S a a a a a =+++⋅⋅⋅++357940414043=-+-+⋅⋅⋅-+2101040432023=-⨯+=.故选:D. 5.C【分析】利用862d a a =-,直接计算公差即可. 【详解】等差数列{}n a 中,6819,27aa ==,设公差为d ,则86227198d a a =-=-=,即4d =.故选:C. 6.D【分析】由等比数列的通项公式计算.【详解】设第n 行视标边长为n a ,第n 1-行视标边长为()12n a n -≥,由题意可得()12n n a n -=≥,则()1101102nn a n a --=≥,则数列{}n a 为首项为a ,公比为11010-的等比数列, 所以101191010101010a a a ---⎛⎫== ⎪⎝⎭,则视力4.9的视标边长为91010a -,故选:D. 7.B【分析】令10t n =-≥,则1n t =+,22641411ttyt t t t ,然后利用函数的知识可得答案. 【详解】令10t n =-≥,则1n t =+,22,641411tty tt t t当0=t 时,0y = 当0t >时,146y t t=++,由双勾函数的知识可得y 在()02,上单调递增,在()2,+∞上单调递减 所以当2t =即3n =时,y 取得最大值, 所以此数列的最大项是3a ,最小项为10a = 故选:B . 8.A【分析】利用等差数列的求和公式可得出1n a na =,可得出10d a =>,根据已知条件求出1a 的值,可求得n a 、n S 的表达式,然后逐项判断可得出合适的选项.【详解】因为{}n a 是等差数列,则()()1122nn n n a n a a S ++==,所以,1n a na =, 所以,110n n d a a a +=-=>,因为()()2521722a a a +=+,可得()()2111522172a a a +=+,整理可得21191640a a --=,因为10a >,故12d a ==,A 错;12n a na n ==,则1020a =,B 对;()()112nn n a S n n +==+,C 对;当2n ≥时,()233202n n S a n n n n n -=+-=-≥,即32n n S a ≥,D 对.故选:A. 9.C【解析】由1(2)n n na n a +=+,可得1(1)(1)(2)n n n n a n n a ++=++,数列{}(1)n n n a +为常数列,令1n =,可得1(1)21n n n a a +==,进而可得1(1)n a n n =+,利用裂项求和即可求解.【详解】数列{}n a 满足112a =,对任意的*n ∈N 都有1(2)n n na n a +=+, 则有1(1)(1)(2)n n n n a n n a ++=++,可得数列{}(1)n n n a +为常数列, 有1(1)2n n n a a +=,得(1)1n n n a +=,得1(1)n a n n =+,又由111(1)1n a n n n n ==-++,所以20211111112021112232021202220222022S =-+-+⋅⋅⋅-=-=.故选:C【点睛】方法点睛:数列求和的方法(1)倒序相加法:如果一个数列{}n a 的前n 项中首末两端等距离的两项的和相等或等于同一个常数,那么求这个数列的前n 项和即可以用倒序相加法(2)错位相减法:如果一个数列的各项是由一个等差数列和一个等比数列的对应项之积构成的,那么这个数列的前n 项和即可以用错位相减法来求;(3)裂项相消法:把数列的通项拆成两项之差,在求和时,中间的一些项可相互抵消,从而求得其和; (4)分组转化法:一个数列的通项公式是由若干个等差数列或等比数列或可求和的数列组成,则求和时可用分组转换法分别求和再相加减;(5)并项求和法:一个数列的前n 项和可以两两结合求解,则称之为并项求和,形如()()1nn a f n =-类型,可采用两项合并求解. 10.C【分析】将2811a a a ++化成1a 和d 的形式,得到二者关系,求得7a ,利用13713S a =求得结果. 【详解】()()28111111()71031812a a a a d a d a d a d ++=+++++=+=164a d ∴+=,即74a = ()1131371313134522a a S a +∴===⨯= 故选:C.【点睛】思路点睛:该题考查的是有关数列的问题,解题思路如下:(1)根据题中所给的条件,结合等差数列通项公式,将其转化为关于首项与公差的式子; (2)化简求得数列的某一项;(3)结合等差数列求和公式,得到和与项的关系,求得结果. 11.6±【分析】根据等差和等比中项的定义求出,a b 得值,即可求解. 【详解】因为a 是1,2的等差中项,所以12322a +==, 因为b 是1-,16-的等比中项,所以2(1)(16)16b =-⨯-=,4b =±,所以6ab =±.故答案为:6±. 12.1【分析】由等差中项性质可求4a ,又510S =依据等差数列的前n 项和公式及通项公式列方程即可求得公差 【详解】由266a a +=有43a =,而510S = ①结合等差数列的前n 项和公式及通项公式113322a d a d +=⎧⎨+=⎩即可得1d = 故答案为:1【点睛】本题考查了等差数列,利用等差中项求项,结合已知条件、前n 项和公式、通项公式求公差13.1【分析】利用等差数列性质及前n 项和公式计算作答.【详解】在等差数列{}n a 中,891715a a =,所以1151511588117171179915(15(152152117(17)(1717)2))2a a S a a a a a a S a a a a ++⨯====⋅=++⨯. 故答案为:1 14.42-【分析】根据给定条件求出等差数列{}n a 的首项、公差,探求数列{}n a 的单调性即可计算作答.【详解】设等差数列{}n a 的公差为d ,由1591636a a S +=-⎧⎨=-⎩得112416989362a d a d +=-⎧⎪⎨⨯+=-⎪⎩,解得1122a d =-⎧⎨=⎩, 因此,()1212214n a n n =-+-⨯=-,令0n a =,解得7n =,于是得数列{}n a 是递增等差数列,其前6项为负,第7项为0,从第8项开始为正, 所以6S 或7S 最小,最小值为()656122422⨯⨯-+⨯=-. 故答案为:42-15.(1)21n a n =-,12n n b -=(2)221nn S n =+-【分析】(1)根据等差数列和等比数列的通项公式得到2d =,根据通项公式的求法得到结果;(2)1221n n n n c a b n -+=+=-分组求和即可.【详解】(1)设{}n a 的公差为d , 由已知,有215d ++=解得2d =,所以{}n a 的通项公式为21,n a n n *=-∈N , {}n b 的通项公式为12,n n b n -*=∈N .(2)1221n n n n c a b n -+=+=-,分组求和,分别根据等比数列求和公式与等差数列求和公式得到:212(121)21122n n n n n S n -+-=+=+--.16.(1)2n a n =-;(2)1n nT n =+.【解析】(1)由30S =,55S =-,可得113230254552a d a d ⨯⎧+=⎪⎪⎨⨯⎪+=-⎪⎩求出1,a d ,从而可得{}n a 的通项公式;(2)由(1)可得n b n =,从而可得11111(1)1n n b b n n n n +==-++,然后利用裂项相消求和法可求得n T 【详解】解:(1)设等差数列{}n a 的公差为d , 因为30S =,55S =-.所以113230254552a d a d ⨯⎧+=⎪⎪⎨⨯⎪+=-⎪⎩,化简得11021a d a d +=⎧⎨+=-⎩,解得111a d =⎧⎨=-⎩,所以1(1)1(1)(1)2n a a n d n n =+-=+--=-, (2)由(1)可知2(2)2n n b a n n =-+=--+=, 所以11111(1)1n n b b n n n n +==-++, 所以111111(1)()()1223111n nT n n n n =-+-+⋅⋅⋅+-=-=+++ 【点睛】此题考查等差数列前n 项和的基本量计算,考查裂项相消求和法的应用,考查计算能力,属于基础题17.(1)2n a n =;(2)第2年该公司开始获利.【分析】(1)根据题意得出数列的首项和公差,进而求得通项公式 (2)根据题意算出总利润,进而令总利润大于0,解出不等式即可. 【详解】(1)由题意知,数列{}n a 是12a =,公差2d =的等差数列, 所以()()112122n a a n d n n =+-=+-⨯=.(2)设引进这种设备后,净利润与年数n 的关系为()F n ,则()()2121222520252n n F n n n n n -⎡⎤=-+⨯-=--⎢⎥⎣⎦. 令()0F n >得220250n n -+<,解得1010n -<+ 又因为n *∈N ,所以2n =,3,4,…,18, 即第2年该公司开始获利.18.(1)11()3n n a -=,3n nn b =;(2)证明见解析. 【分析】(1)利用等差数列的性质及1a 得到29610q q -+=,解方程即可; (2)利用公式法、错位相减法分别求出,n n S T ,再作差比较即可.【详解】(1)因为{}n a 是首项为1的等比数列且1a ,23a ,39a 成等差数列,所以21369a a a =+,所以211169a q a a q =+,即29610q q -+=,解得13q =,所以11()3n n a -=,所以33n n n na nb ==. (2)[方法一]:作差后利用错位相减法求和211213333n n n n nT --=++++,012111111223333-⎛⎫=++++ ⎪⎝⎭n n S , 230121123111112333323333n n n n S n T -⎛⎫⎛⎫-=++++-++++= ⎪ ⎪⎝⎭⎝⎭012111012222333---++++111233---+n nn n .设0121111101212222Γ3333------=++++n n n , ① 则1231111012112222Γ33333-----=++++n nn . ①由①-①得1121113312111113322Γ13233332313--⎛⎫--- ⎪⎛⎫⎝⎭=-++++-=-+- ⎪⎝⎭-n n n n n n n . 所以211312Γ432323----=--=-⨯⨯⨯n n n n n n . 因此10232323--=-=-<⨯⨯n n n n nS n n nT . 故2nn S T <. [方法二]【最优解】:公式法和错位相减求和法证明:由(1)可得11(1)313(1)12313n n n S ⨯-==--,211213333n n n n n T --=++++,① 231112133333n n n n n T +-=++++,① ①-①得23121111333333n n n n T +=++++- 1111(1)1133(1)1323313n n n n n n ++-=-=---, 所以31(1)4323n n n n T =--⋅, 所以2n n S T -=3131(1)(1)043234323n n n n n n ----=-<⋅⋅, 所以2n n S T <. [方法三]:构造裂项法由(①)知13⎛⎫= ⎪⎝⎭n n b n ,令1()3αβ⎛⎫=+ ⎪⎝⎭n n c n ,且1+=-n n n b c c ,即1111()[(1)]333αβαβ+⎛⎫⎛⎫⎛⎫=+-++ ⎪ ⎪ ⎪⎝⎭⎝⎭⎝⎭n n n n n n ,通过等式左右两边系数比对易得33,24αβ==,所以331243n n c n ⎛⎫⎛⎫=+⋅ ⎪ ⎪⎝⎭⎝⎭. 则12113314423nn n n n T b b b c c +⎛⎫⎛⎫=+++=-=-+ ⎪⎪⎝⎭⎝⎭,下同方法二. [方法四]:导函数法设()231()1-=++++=-n n x x f x x x x x x ,由于()()()()()()1221'111'11(1)'1(1)1n n n n n x x x x x x x x nx n x x x x +⎡⎤⎡⎤⎡⎤----⨯--+-+⎣⎦⎣⎦⎢⎥==---⎢⎥⎣⎦, 则12121(1)()123(1)+-+-+=++++='-n nn nx n x f x x x nx x . 又1111333-⎛⎫⎛⎫== ⎪ ⎪⎝⎭⎝⎭n n n b n n ,所以2112311111233333n n n T b b b b n -⎡⎤⎛⎫⎛⎫=++++=+⨯+⨯++⋅=⎢⎥ ⎪ ⎪⎝⎭⎝⎭⎢⎥⎣⎦12111(1)11133333113n nn n f +⎛⎫⎛⎫+-+ ⎪ ⎪⎛⎫⎝⎭⎝⎭⋅=⨯ ⎪⎝⎭⎛⎫- ⎪⎝⎭' 13113311(1)4334423n n n n n n +⎡⎤⎛⎫⎛⎫⎛⎫⎛⎫=+-+=-+⎢⎥ ⎪ ⎪ ⎪⎪⎝⎭⎝⎭⎝⎭⎝⎭⎢⎥⎣⎦,下同方法二.【整体点评】本题主要考查数列的求和,涉及到等差数列的性质,错位相减法求数列的和,考查学生的数学运算能力,是一道中档题,其中证明不等式时采用作差法,或者作商法要根据式子得结构类型灵活选择,关键是要看如何消项化简的更为简洁.(2)的方法一直接作差后利用错位相减法求其部分和,进而证得结论;方法二根据数列的不同特点,分别利用公式法和错位相减法求得,n nS T,然后证得结论,为最优解;方法三采用构造数列裂项求和的方法,关键是构造1()3αβ⎛⎫=+ ⎪⎝⎭nnc n,使1+=-n n nb c c,求得nT的表达式,这是错位相减法的一种替代方法,方法四利用导数方法求和,也是代替错位相减求和法的一种方法.。
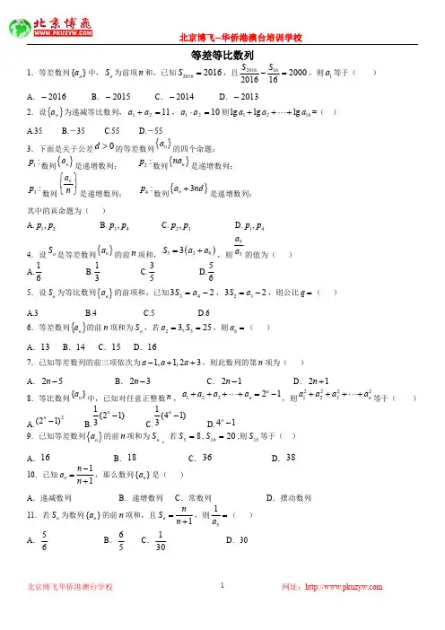
等差数列与等比数列的综合(北京习题集)(教师版)一.选择题(共7小题)1.(2017秋•通州区期末)已知数列{}n a 是公差不为0的等差数列,11a =,且1a ,2a ,5a 成等比数列,那么数列{}n a 的前10项和10S 等于( ) A .90B .100C .10或90D .10或1002.(2018•延庆县一模)若a ,b 是函数2()(0,0)f x x px q p q =-+>>的两个不同的零点,且a ,b ,2-这三个数适当排序后可成等差数列,且适当排序后也可成等比数列,则a b +的值等于( ) A .4B .5C .6D .73.(2018•西城区校级模拟)已知等差数列{}n a 的公差和首项都不为0,且1a 、2a 、4a 成等比数列,则1143(a a a += ) A .2B .3C .5D .74.(2018秋•西城区校级期中)若1,a ,b 成等差数列,3,2a +,5b +,成等比数列,则等差数列的公差为() A .3B .3或1-C .3-D .3或3-5.(2017•东城区三模)已知数列{}n a 是公差为1-的等差数列,且4a 是2a 与5a 的等比中项,n S 为{}n a 的前n 项和,则6(S = ) A .90-B .45-C .0D .156.(2015秋•海淀区校级期末)已知等差数列1,a ,b ,又4,2a +,1b +为等比数列,求该等差数列的公差() A .1-B .0C .2D .17.(2016•东城区二模)成等差数列的三个正数的和等于6,并且这三个数分别加上3、6、13后成为等比数列{}n b 中的3b 、4b 、5b ,则数列{}n b 的通项公式为( ) A .12n n b -=B .13n n b -=C .22n n b -=D .23n n b -=二.填空题(共8小题)8.(2017秋•房山区期末)等差数列{}n a 的首项为1,公差不为0,且2a ,3a ,6a 成等比数列,则6S = . 9.(2017秋•海淀区期末)已知公差为1的等差数列{}n a 中,1a ,2a ,4a 成等比数列,则{}n a 的前100项和为 . 10.(2018秋•东城区校级期中)若等差数列{}n a 与等比数列{}n b 中,若110a b =>,11110a b =>,则6a ,6b 的大小关系为 .11.(2018•海淀区校级三模)已知等差数列{}n a 中,公差0d ≠,12a =,1a ,2a ,4a 是等比数列{}n b 的前三项,则等差数列{}n a 的公差d = ,等比数列{}n b 的前n 项n S =12.(2017•北京)若等差数列{}n a 和等比数列{}n b 满足111a b ==-,448a b ==,则22a b = . 13.(2017•西城区二模)已知等差数列{}n a 的公差为2,且1a ,2a ,4a 成等比数列,则1a = ;数列{}n a 的前n 项和n S = .14.(2017春•海淀区期中)若数列{}n a 满足12312()()n n a a a a a a n +++⋯+=+,则数列{}n a 是等差数列.类比上述结论,可以猜想:若数列{}n b 满足 ,则数列{}n b 是等比数列.15.(2016•顺义区一模)国家新能源汽车补贴政策,刺激了电动汽车的销售,据市场调查发现,某地区今年Q 型电动汽车的销售将以每月10%的增长率增长;R 型电动汽车的销售将每月递增20辆,已知该地区今年1月份销售Q 型和R 型车均为50辆,据此推测该地区今年Q 型汽车销售量约为 辆;这两款车的销售总量约为 辆.(参考数据:111.1 2.9≈,121.1 3.1≈,131.1 3.5)≈等差数列与等比数列的综合(北京习题集)(教师版)参考答案与试题解析一.选择题(共7小题)1.(2017秋•通州区期末)已知数列{}n a 是公差不为0的等差数列,11a =,且1a ,2a ,5a 成等比数列,那么数列{}n a 的前10项和10S 等于( ) A .90B .100C .10或90D .10或100【分析】设{}n a 的公差为d ,且0d ≠,由等比中项的性质、等差数列的通项公式列出方程,求出d 的值,由等差数列的前n 项和公式求出{}n a 的前10项和10S . 【解答】解:设等差数列{}n a 的公差为d ,且0d ≠, 11a =且1a ,2a ,5a 成等比数列,2215()a a a ∴=,则2(1)1(14)d d +=+, 解得2d =或0d =(舍去), {}n a ∴的前10项和1010910121002S ⨯=⨯+⨯=, 故选:B .【点评】本题考查等差数列的通项公式、前n 项和公式,以及等比中项的性质,考查方程思想.2.(2018•延庆县一模)若a ,b 是函数2()(0,0)f x x px q p q =-+>>的两个不同的零点,且a ,b ,2-这三个数适当排序后可成等差数列,且适当排序后也可成等比数列,则a b +的值等于( ) A .4B .5C .6D .7【分析】由二次方程的韦达定理可得0a >,0b >,由题意可得a ,2-,b 或b ,2-,a 成等比数列,a ,b ,2-或b ,a ,2-或2-,a ,b 或2-,b ,a 成等差数列,由中项的性质,可得a ,b 的方程,解方程即可得到所求和. 【解答】解:a ,b 是函数2()(0,0)f x x px q p q =-+>>的两个不同的零点, 可得a b p +=,ab q =,即有0a >,0b >,a ,b ,2-这三个数适当排序后可成等差数列,且适当排序后也可成等比数列,即a ,2-,b 或b ,2-,a 成等比数列, 可得4ab =;又a ,b ,2-或b ,a ,2-或2-,a ,b 或2-,b ,a 成等差数列,可得22b a =-或22a b =-, 解得4a =,1b =或1a =,4b =, 可得5a b +=, 故选:B .【点评】本题考查等差数列、等比数列的中项的性质,以及二次方程的韦达定理,考查方程思想和运算能力,属于中档题.3.(2018•西城区校级模拟)已知等差数列{}n a 的公差和首项都不为0,且1a 、2a 、4a 成等比数列,则1143(a a a += ) A .2B .3C .5D .7【分析】利用等差数列以及等比数列的通项公式,求出数列首项与公比的关系,然后求解即可.【解答】解:由1a 、2a 、4a 成等比数列得2241a a a =, 2111()(3)a d a a d ∴+=+,21d a d ∴=, 0d ≠,1d a ∴=,则1141113111315523a a a a d a a a d a +++===+, 故选:C .【点评】本题考查数列的通项公式的应用,等差数列以及等比数列的应用,考查计算能力.4.(2018秋•西城区校级期中)若1,a ,b 成等差数列,3,2a +,5b +,成等比数列,则等差数列的公差为() A .3B .3或1-C .3-D .3或3-【分析】由题意列关于a ,b 的方程组,求得a ,b 后可得等差数列的公差. 【解答】解:1,a ,b 成等差数列,3,2a +,5b +成等比数列,则 221(2)3(5)a b a b =+⎧⎨+=+⎩,解得:47a b =⎧⎨=⎩或25a b =-⎧⎨=-⎩(舍). ∴等差数列的公差为3b a -=.故选:A .【点评】本题考查了等差数列的定义,考查了等差数列的通项公式,是基础题.5.(2017•东城区三模)已知数列{}n a 是公差为1-的等差数列,且4a 是2a 与5a 的等比中项,n S 为{}n a 的前n 项和,则6(S = ) A .90-B .45-C .0D .15【分析】由题意和等差数列的通项公式可得1a 的方程,解方程代入求和公式计算可得.【解答】解:由题意可得2425a a a =,公差1d =-, 2111(3)()(4)a d a d a d ∴+=++代入数据可得2111(3)(1)(4)a a a -=--, 解得15a =, 61656152S a d ⨯∴=+=. 故选:D .【点评】本题考查等差数列的求和公式和通项公式,属基础题.6.(2015秋•海淀区校级期末)已知等差数列1,a ,b ,又4,2a +,1b +为等比数列,求该等差数列的公差() A .1-B .0C .2D .1【分析】设等差数列的公差为d ,运用等差数列和等比数列的中项的性质,解方程可得2a =,3b =,即可得到公差1d =.【解答】解:设等差数列的公差为d , 由1,a ,b 成等差数列,可得21a b =+, 由4,2a +,1b +为等比数列,可得:24(1)(2)b a +=+, 解得2a =,3b =, 可得公差11d a =-=. 故选:D .【点评】本题考查等差数列和等比数列的中项的性质,考查等差数列的公差的求法,以及运算能力,属于基础题. 7.(2016•东城区二模)成等差数列的三个正数的和等于6,并且这三个数分别加上3、6、13后成为等比数列{}n b 中的3b 、4b 、5b ,则数列{}n b 的通项公式为( ) A .12n n b -=B .13n n b -=C .22n n b -=D .23n n b -=【分析】设成等差数列的三个正数为a d -,a ,a d +,由题意可得2a =,再由等比数列的中项的性质,可得1d =,求得公比为2,由等比数列的通项公式计算即可得到所求. 【解答】解:设成等差数列的三个正数为a d -,a ,a d +, 即有36a =,解得2a =,由题意可得23d -+,26+,213d ++成等比数列, 即为5d -,8,15d +成等比数列, 即有(5)(15)64d d -+=, 解得1(11d =-舍去),即有4,8,16成等比数列,可得公比为2, 则数列{}n b 的通项公式为33132422n n n n b b ---===. 故选:A .【点评】本题考查等差数列和等比数列的中项的性质,考查等比数列的通项公式的运用,以及运算能力,属于中档题.二.填空题(共8小题)8.(2017秋•房山区期末)等差数列{}n a 的首项为1,公差不为0,且2a ,3a ,6a 成等比数列,则6S = 24- . 【分析】设等差数列{}n a 的公差为0d ≠,由2a ,3a ,6a 成等比数列.解得d ,然后求解前6项的和. 【解答】解:设等差数列{}n a 的公差为0d ≠,2a ,3a ,6a 成等比数列.2326a a a ∴=,2(12)(1)(15)d d d ∴+=+⨯+,解得2d =-.611665(2)242S ∴=⨯+⨯⨯⨯-=-.故答案为:24-.【点评】本题考查等差数列与等比数列的通项公式,数列求和,考查了推理能力与计算能力,属于基础题. 9.(2017秋•海淀区期末)已知公差为1的等差数列{}n a 中,1a ,2a ,4a 成等比数列,则{}n a 的前100项和为 5050 . 【分析】由已知列式求得等差数列的首项,然后代入等差数列的前n 项和公式得答案. 【解答】解:在公差为1的等差数列{}n a 中, 由1a ,2a ,4a 成等比数列,得:2111(1)(3)a a a +=+,即11a =. 100100991001150502S ⨯∴=⨯+⨯=. 故答案为:5050.【点评】本题考查等差数列的通项公式,考查了等比数列的性质,训练了等差数列的前n 项和的求法,是基础的计算题.10.(2018秋•东城区校级期中)若等差数列{}n a 与等比数列{}n b 中,若110a b =>,11110a b =>,则6a ,6b 的大小关系为 66a b .【分析】运用等差数列中项的性质和基本不等式,以及等比数列中项的性质,即可得到所求结论. 【解答】解:若等差数列{}n a 与等比数列{}n b 中,若110a b =>,11110a b =>, 由等差数列中项的性质可得11161112a a aa a +=66||b b =,当且仅当111a a =取得等号.故答案为:66a b .【点评】本题考查等差数列和等比数列中项的性质,以及基本不等式的运用,考查运算和推理能力,属于中档题. 11.(2018•海淀区校级三模)已知等差数列{}n a 中,公差0d ≠,12a =,1a ,2a ,4a 是等比数列{}n b 的前三项,则等差数列{}n a 的公差d = 2 ,等比数列{}n b 的前n 项n S =【分析】由已知列式求出等差数列的公差,进一步得到等比数列的公比,代入等比数列的前n 项和公式求等比数列{}n b 的前n 项n S .【解答】解:由12a =,1a ,2a ,4a 是等比数列{}n b 的前三项, 得2214a a a =,即2(2)2(23)d d +=+,解得2d =. 214a a d ∴=+=,则数列{}n b 是以2为首项,以2为公比的等比数列,∴12(12)2212n n n S +-==--.故答案为:2;122n +-.【点评】本题考查等差数列的通项公式,考查等比数列的性质及前n 项和,是中档题. 12.(2017•北京)若等差数列{}n a 和等比数列{}n b 满足111a b ==-,448a b ==,则22a b = 1 . 【分析】利用等差数列求出公差,等比数列求出公比,然后求解第二项,即可得到结果. 【解答】解:等差数列{}n a 和等比数列{}n b 满足111a b ==-,448a b ==, 设等差数列的公差为d ,等比数列的公比为q . 可得:813d =-+,3d =,22a =;38q =-,解得2q =-,22b ∴=. 可得221a b =. 故答案为:1.【点评】本题考查等差数列以及等比数列的通项公式的应用,考查计算能力.13.(2017•西城区二模)已知等差数列{}n a 的公差为2,且1a ,2a ,4a 成等比数列,则1a = 2 ;数列{}n a 的前n 项和n S = .【分析】由题意可得1a ,12a +,16a +成等比数列,通过解方程求得1a 的值.然后求和.【解答】解:数列{}n a 是公差为2的等差数列,且1a ,2a ,4a 成等比数列,1a ∴,12a +,16a +成等比数列,2111(2)(6)a a a ∴+=+,解得12a =, 数列{}n a 的前n 项和2(1)222n n n S n n n -=+⨯=+. 故答案为:2;2n n +.【点评】本题主要考查等比数列的定义和性质,等差数列的通项公式的应用,属于基础题.14.(2017春•海淀区期中)若数列{}n a 满足12312()()n n a a a a a a n +++⋯+=+,则数列{}n a 是等差数列.类比上述结论,可以猜想:若数列{}n b 满足 21231()()n n n b b b b b b ⋯= ,则数列{}n b 是等比数列.【分析】把数列的项相加改成数列的项相乘,把结论的相乘的系数改成等比数列的指数,即可得到. 【解答】解:把数列的项相加改成数列的项相乘,把结论的相乘的系数改成等比数列的指数,可得: 若数列{}n b 满足21231()()n n n b b b b b b ⋯=,则数列{}n b 是等比数列. 故答案为:21231()()n n n b b b b b b ⋯=.【点评】本题考查等差数列与等比数列的综合,考查类比推理等基础知识与基本技能方法,属于基础题. 15.(2016•顺义区一模)国家新能源汽车补贴政策,刺激了电动汽车的销售,据市场调查发现,某地区今年Q 型电动汽车的销售将以每月10%的增长率增长;R 型电动汽车的销售将每月递增20辆,已知该地区今年1月份销售Q 型和R 型车均为50辆,据此推测该地区今年Q 型汽车销售量约为 1050 辆;这两款车的销售总量约为 辆.(参考数据:111.1 2.9≈,121.1 3.1≈,131.1 3.5)≈【分析】由题意可得,今年Q 型电动汽车的月销售量与R 型电动汽车的月销售量分别构成等比数列和等差数列,然后利用等比数列和等差数列的前n 项和求解.【解答】解:由题意可得,今年Q 型电动汽车的月销售量构成以50为首项,以1.1为公比的等比数列,则今年Q 型电动汽车的销售量为1250(111)10501 1.1-≈-;R 型电动汽车的月销售量构成以50为首项,以20为公差的等差数列,则R 型电动汽车的销售量为121112502019202⨯⨯+⨯=. ∴这两款车的销售总量约为:105019202970+=.故答案为:1050;2970.【点评】本题考查等差数列与等比数列的综合,考查了等差数列与等比数列的前n项和,是基础题.。
数列A 、等差数列知识点及例题一、数列由与的关系求n a n S na 由求时,要分n=1和n≥2两种情况讨论,然后验证两种情况可否用统一的解析式表示,若不能,则用分段函数的n S n a 形式表示为。
11(1)(2)n n n S n a S S n -=⎧=⎨-≥⎩〖例〗根据下列条件,确定数列的通项公式。
{}na 分析:(1)可用构造等比数列法求解;(2)可转化后利用累乘法求解;(3)将无理问题有理化,而后利用与的关系求解。
n a n S 解答:(1)(2)……累乘可得,故(3)二、等差数列及其前n 项和(一)等差数列的判定1、等差数列的判定通常有两种方法:第一种是利用定义,,第二种是利用等差中项,即。
1()(2)n n a a d n --=≥常数112(2)n n n a a a n +-=+≥2、解选择题、填空题时,亦可用通项或前n 项和直接判断。
(1)通项法:若数列{}的通项公式为n 的一次函数,即=An+B,则{}是等差数列;n a n a n a (2)前n 项和法:若数列{}的前n 项和是的形式(A ,B 是常数),则{}是等差数列。
n a n S 2n S An Bn =+n a 注:若判断一个数列不是等差数列,则只需说明任意连续三项不是等差数列即可。
〖例〗已知数列{}的前n 项和为,且满足n a n S 111120(2),2n n n n S S S S n a ---+=≥=A (1)求证:{}是等差数列;1nS (2)求的表达式。
n a 分析:(1)与的关系结论;1120n n n n S S S S ---+=A →1n S 11n S -→(2)由的关系式的关系式1nS →n S →n a 解答:(1)等式两边同除以得-+2=0,即-=2(n≥2).∴{}是以==2为首1n n S S -A 11n S -1n S 1n S 11n S -1n S 11S 11a 项,以2为公差的等差数列。
等差等比数列1.等差数列}{n a 中,n S 为前项n 和,已知20162016=S ,且2000162016162016=-S S ,则1a 等于()A .2016-B .2015-C .2014-D .3201-2.设{}n a 为递减等比数列,1121=+a a ,1021=⋅a a 则1210lg lg lg a a a ++⋅⋅⋅+=()A.35B.-35C.55D.-553.下面是关于公差0d >的等差数列{}n a 的四个命题:1:p 数列{}n a 是递增数列;2:p 数列{}n na 是递增数列;3:p 数列n a ⎧⎫⎨⎬⎩⎭是递增数列;4:p 数列{}3n a nd +是递增数列;其中的真命题为()A.12,p pB.34,p pC.23,p pD.14,p p 4.设n S 是等差数列{}n a 的前n 项和,()5283S a a =+,则53a a 的值为()A.16 B.13 C.35 D.565.设n S 为等比数列{}n a 的前项和,已知2343-=a S ,2332S a =-,则公比q =()A.3B.4C.5D.66.等差数列{}n a 的前n 项和为n S ,若25,352==S a ,则=8a ()A .13B .14C .15D .167.已知等差数列的前三项依次为1,1,23a a a -++,则此数列的第n 项为()A .25n -B .23n -C .21n -D .21n +8.等比数列{}n a 中,已知对任意正整数n ,12321n n a a a a +++⋅⋅⋅+=-,则2222123n a a a a +++⋅⋅⋅+等于()A.2(21)n -B.1(21)3n - C.1(41)3n - D.41n -9.已知等差数列{}n a 的前n 项和为n S ,若85=S ,2010=S ,则15S 等于()A .16B .18C .36D .3810.已知11n n a n -=+,那么数列{}n a 是()A .递减数列B .递增数列C .常数列D .摆动数列11.若n S 为数列{}n a 的前n 项和,且1n nS n =+,则51a =()A .56B .65C .130D .3012.数列{}n a 满足11a =,且对任意的*n N ∈都有11n n a a a n +=++,则1{}n a 的前100项和为()A .100101B .99100C .101100D .20010113.在各项都不相等的等差数列{a n }中,a 1,a 2是关于x 的方程x 2-7a 4x +18a 3=0的两个实根.(1)试判断-22是否在数列{a n }中;(2)求数列{a n }的前n 项和S n 的最大值.14.在等差数列{a n }中,a 1=1,S 5=-15.(1)求数列{a n }的通项公式;(2)若数列{a n }的前k 项和S k =-48,求k 的值.15.已知公差不为零的等差数列{}n a 的前n 项和为n S ,若10110S =,且124,,a a a 成等比数列(Ⅰ)求数列{}n a 的通项公式;(Ⅱ)设数列{}n b 满足()()111n n n b a a =-+,若数列{}n b 前n 项和n T .16.等差数列{}n a 中,其前n 项和为n S ,且212n n a S +⎛⎫= ⎪⎝⎭,(Ⅰ)求n a ;17.在等差数列{}n a 中,1122,20a a =-=.(1)求数列{}n a 的通项n a ;(2)若12...n n a a a b n +++=,求数列{}3n b 的前n 项和.18.已知数列满足,前项和为,若.(1)求数列的通项公式;(2)设,若,求的通项.19.已知等差数列的前项和为,且满足,.(Ⅰ)求数列的通项公式;(Ⅱ)若,求数列的前项和.20.在等差数列中,.(1)求数列的通项公式;(2)设,求的值.21.已知数列{}n a的前n项和,232nn nS-=.(1)求{}n a的通项公式;(2)设11nn nba a+=,数列{}n b的前n项和为n T,.22.已知数列{}n a 的通项公式为1,32n a n N n *=∈-.(1)求数列2n n a a ⎧⎫+⎨⎬⎩⎭的前n 项和n S ;(2)设1n n n b a a +=,求{}n b 的前n 项和n T .23.设数列{}n a 的前n 项和为n S ,点(,)()n S n n N n +∈均在函数32y x =+的图象上.(1)求证:数列{}n a 为等差数列;(2)设n T 是数列13{}n n a a +的前n 项和,求使20n m T <对所有n N +∈都成立的最小正整数m .24.已知等差数列{}n a 的公差不为零,且满足16a =,2a ,6a ,14a 成等比数列.(1)求数列{}n a 的通项公式;(2)记2(1)n nb n a =+,求数列{}n b 的前n 项和n S .25.已知正项数列{}n a 的前n 项和为n S ,且n S 是1与n a 的等差中项.(Ⅰ)求数列{}n a 的通项公式;(Ⅱ)求数列12n n a a +⎧⎫⎨⎬⎩⎭的前n 项和n T .26.已知等差数列{a n }满足:a 1=2,且2215a a a =.(1)求数列{a n }的通项公式;(2)记S n 为数列{}21n a -的前n 项和,求S n27.已知数列{}n a 的各项为正数,其前n 项和为n S 满足21()2n n a S +=,设10()n n b a n N =-∈.(1)求证:数列{}n a 是等差数列,并求{}n a 的通项公式;(2)设数列{}n b 的前n 项和为n T ,求n T 的最大值.28.数列{}n a 满足11a =,22a =,2122n n n a a a ++=-+.(1)设1n n n b a a +=-,证明{}n b 是等差数列;(2)求{}n a 的通项公式参考答案1.C 2.B 3.D 4.D 5.B 6.C 7.B 8.C.9.C 10.B 11.D 12.D 13.(1)-22不在数列{a n }中;(2)30.14.(1)a n =3-2n ;(2)k =8.15.(Ⅰ)2n a n =;(Ⅱ)21n n T n =+.16.(1)2 1.n a n ∴=-;17.(1)24n a n =-;(2)3118n n S -=.18.(1);(2).19.(Ⅰ);(Ⅱ).20.(1);(2)21.(1)32n a n =-;(2)1.22.(1)23n S n =;(2)31n n T n =+.23.(1)详见解析(2)1024.(1)24n a n =+;(2)2(2)n n +.25.(I )21n a n =-;(II )11.21n T n =-+26.(1)a n =2或a n =4n -2,(2)2n S n =或242n S n n=-27.(1)证明见解析,12-=n a n ;(2)25.28.(1)证明见解析;(2)()211n a n =-+.。
(b 1b n)nn + 1 ,则有2n3等差数列与等比数列的类比一、选择题(本大题共 1 小题,共 5.0 分){a } S S =n (a 1 + a n ) 1. 记等差数列 n 的前 n 项和为 n ,利用倒序求和的方法得 n 2 ;类似地,记等比数列{b n }的前 n 项积为T n ,且b n> 0(n ∈ N *),类比等差数列求和的方法,可将T n 表示成关于首项b 1,末项b n 与项数 n 的关系式 为 ( )1. Anb 1b nA. B. 2 C. nb 1b nnb 1b nD. 2 二、填空题(本大题共 9 小题,共 45.0 分)2. 在公差为 d 的等差数列{a n }中有:a n = a m + (n - m )d (m 、n ∈ N + ),类比到公比为 q 的等比数列{b n }中有: .2.b n = b m ⋅ q n - m (m ,n ∈ N * ){a} b = a 1 + 2a 2 + 3a 3 + … + n a n{b }3. 数列 n 是正项等差数列,若 n 1 + 2 + 3 + … + n ,则数列 n 也 为等差数列,类比上述结论,写出正项等比数列{c n },若d n = 则数列{d n }也为等比数列.1(c c 2c 3…c n )1 + 2 + 3 + … + n 3. 1 2 3 n4. 等差数列{a n }中,有a 1 + a 2 + … + a 2n + 1 = (2n + 1)a n + 1,类比以上性质,在等比数列{b n }中,有等式 成立.4.b 1b 2…b 2n + 1 = b 2n + 1T5. 若等比数列{a n }的前 n 项之积为T n T 3n = ( T n ) ;类比可得到以下正确结论:若等差数列的前 n 项之和为S n ,则有 .5. S 3n = 3(S 2n - S n ){a}a 11 + a 12 + … + a 20 = a 1 + a 2 + …a 306. 已知在等差数列 n 中, 10 30 ,则在等比数列{b n }中,类似的结论为10b 11 ⋅ b 12 ⋅ … ⋅ b 20 = 30b 1 ⋅ b 2 ⋅ b 3 ⋅ … ⋅ b 30q S nn7. 在等比数列{a n}中,若a9 = 1,则有a1⋅a2…a n = a1⋅a2…a17- n(n < 17,且n∈N* )成立,类比上述性质,在等差数列{b n}中,若b7 = 0,则有.b1 + b2 + … + b n= b1 + b2 + … + b13- n(n < 13,且n∈ N* )8.设S n是公差为d 的等差数列{a n}的前n 项和,则数列S6 - S3,S9 - S6,S12 - S9是等差数列,且其公差为9d.通过类比推理,可以得到结论:设T n是公比为2 的等比数列{b n}的前n 项积,则数列T6T9T12T3,T6,T9 是等比数列,且其公比的值是.5129.若等差数列{a n}的公差为d,前nS n{ }项的和为,则数列为等差数列,d. {b}公差为2 类似地,若各项均为正数的等比数列n的公比为q,前n 项的积为T n,则数列{nT n}为等比数列,公比为.10. 设等差数列{a n}的前n 项和为S n m,n(m < n),使得S m= S n,则S m + n= 0.类比上述结论,设正项等比数列{b n}的前n 项积为T n,若存在正整数m,n(m < n),使得T m= T n,则T m + n=.10. 1答案和解析【解析】{a} S= n(a1 + a n)1. 解:在等差数列n的前n 项和为n 2 ,因为等差数列中的求和类比等比数列中的乘积,所以各项均为正的等比数列{bn}的前n 项积T n= (b1b n)n,故选:A由等差和等比数列的通项和求和公式及类比推理思想可得结果,在运用类比推理时,通常等差数列中的求和类比等比数列中的乘积.本题考查类比推理、等差和等比数列的类比,搞清等差和等比数列的联系和区别是解决本题的关键.n + 1n + 12. 解:在等差数列{a n }中,我们有a n = a m + (n ‒ m )d ,类比等差数列,等比数列中也是如此,b n = b m ⋅ q n ‒ m(m ,n ∈ N ∗ ).故答案为b n = b m ⋅ q n ‒ m(m ,n ∈ N ∗ ).因为等差数列{a n }中,a n = a m + (n ‒ m )d (m ,n ∈ N + ),即等差数列中任意给出第 m项a m ,它的通项可以由该项与公差来表示,推测等比数列中也是如此,给出第 m 项 b m 和公比,求出首项,再把首项代入等比数列的通项公式中,即可得到结论.本题考查了类比推理,类比推理就是根据两个不同的对象在某些方面的相似之处,从而推出这两个对象在其他方面的也具有的相似之处,是基础题.3. 解: ∵ 根据等差数列构造的新的等差数列是由原来的等差数列的和下标一致的数字 倍的和,除以下标的和,∴ 根据新的等比数列构造新的等比数列, c c 2c 3…c n乘积变化为乘方 1 2 3 n ,1(c c 2c 3…c n ) 1 + 2 + 3 + … + n原来的除法变为开方 1 2 3 n1(c c 2c 3…c n ) 1 + 2 + 3 + … + n故答案为: 1 2 3 n根据等差数列构造的新的等差数列是由原来的等差数列的和下标一致的数字倍的和, 除以下标的和,等比数列要类比出一个结论,只有乘积变化为乘方,除法变为开方, 写出结论.本题考查类比推理,两类对象具有某些类似特征和其中一类对象的某些已知特征,推出另一类对象的也具有这类特征,是一个有特殊到特殊的推理.4. 解:把等差数列的通项相加改成等比数列的通项相乘,把结论的相乘的系数改成等比数列的指数,∴ 在等比数列{b n }中有结论b 1b 2…b 2n + 1 = b 2n + 1(n ∈ N + ).故答案为:b 1b 2…b 2n + 1 = b 2n + 1(n ∈ N + ). 利用“类比推理”,把等差数列的通项相加改成等比数列的通项相乘,把结论的相乘的系数改成等比数列的指数,即可得出.本题考查了等比数列的通项公式、类比推理等基础知识与基本技能方法,属于中档题.5. 解:在等差数列中S 3n= S n + (S 2n ‒ S n ) + (S 3n ‒ S 2n ) = (a 1 + a 2 + … + a n ) ++ (S 2n ‒ S n ) + (a 2n + 1 + a 2n + … + a 3n )因为a 1 + a 3n = a 2 + a 3n ‒ 1 = … = a n + a 2n + 1 = a n + 1 + a 2n 所以S n + (S 3n ‒ S 2n ) = 2(S 2n ‒ S n ),所以S 3n = 3(S 2n ‒ S n ). 故答案为:S 3n = 3(S 2n ‒ S n ).本小题主要考查类比推理,由等差和等比数列的通项和求和公式及类比推理思想可得结果.本题考查类比推理、等差和等比数列的类比,搞清等差和等比数列的联系和区别是解决本题的关键.6. 解:等差数列与等比数列的对应关系有:等差数列中的加法对应等比数列中的乘法,等差数列中除法对应等比数列中的开方,故此我们可以类比得到结论:10b 11 ⋅ b 12 ⋅ … ⋅ b 20 = 30b 1 ⋅ b 2 ⋅ b 3 ⋅ … ⋅ b 30. 故答案为:10b 11 ⋅ b 12 ⋅ … ⋅ b 20 = 30b 1 ⋅ b 2 ⋅ b 3 ⋅ … ⋅ b 30.在等差数列中,等差数列的性质m + n = p + q ,则a m + a n = a p + a q ,那么对应的在等比数列中对应的性质是若m + n = p + q ,则b m b n = b p b q .本题考查类比推理,掌握类比推理的规则及类比对象的特征是解本题的关键,本题中由等差结论类比等比结论,其运算关系由加类比乘,解题的难点是找出两个对象特征的对应,作出合乎情理的类比.7. 解:在等比数列中,若a 9 = 1,则a 18 ‒ n ⋅⋅⋅ a 9 ⋅⋅⋅ a n = 1即a 1 ⋅ a 2…a n = a 1 ⋅ a 2…a 17 ‒ n (n < 17,且n ∈ N ∗)成立,利用的是等比性质,若 m + n = 18,则a 18 ‒ n ⋅ a n = a 9 ⋅ a 9 = 1,∴ 在等差数列{b n }中,若b 7 = 0,利用等差数列的性质可知,若m + n = 14,b 14 ‒ n + b n = b 7 + b 7 = 0,∴ b 1 + b 2 + … + b n = b 1 + b 2 + … + b 13 ‒ n (n < 13,且n ∈ N ∗ )故答案为:b 1 + b 2 + … + b n = b 1 + b 2 + … + b 13 ‒ n (n < 13,且n ∈ N ∗).据等差数列与等比数列通项的性质,结合类比的规则,和类比积,加类比乘,由类比规律得出结论即可.本题的考点是类比推理,考查类比推理,解题的关键是掌握好类比推理的定义及等差等比数列之间的共性,由此得出类比的结论即可.T 6 T 9 T 12 T 3,T , T 929 = 5128. 解:由题意,类比可得数列6是等比数列,且其公比的值是 ,故答案为 512.由等差数列的性质可类比等比数列的性质,因此可根据等比数列的定义求出公比即可.本题主要考查等比数列的性质、类比推理,属于基础题目.{a } SS n= a + (n ‒ 1) ⋅ d 9. 解:因为在等差数列 n 中前 n 项的和为 n 的通项,且写成了n1 2. 所以在等比数列{b n }中应研究前 n 项的积为T n 的开 n 方的形式.类比可得nT n = b 1( q )n ‒ 1.其公比为 故答案为 q .S nS nd{ n } n= a 1 + (n ‒ 1) ⋅ 2仔细分析数列 为等差数列,且通项为 的特点,类比可写出对应数 列{nT n }为等比数列的公比.本小题主要考查等差数列、等比数列以及类比推理的思想等基础知识.在运用类比推理时,通常等差数列中的求和类比等比数列中的乘积.10. 解:在由等差数列的运算性质类比推理到等比数列的运算性质时:加减运算类比推理为乘除运算,累加类比为累乘,故由“已知数列{a n }为等差数列,它的前 n 项和为S n ,若存在正整数m ,n (m ≠ n ),使得S m = S n ,则S m + n = 0”.类比推理可得:“已知正项数列{b n }为等比数列,它的前n .项积为T n ,若存在正整数 m ,n .(m ≠ n ),使得T m = T n ,则T m + n = 1.故答案为 1.在类比推理中,等差数列到等比数列的类比推理方法一般为:加减运算类比推理为乘除运算,累加类比为累乘,由“已知数列{a n }为等差数列,它的前 n 项和为S n ,若存q在正整数m ,n (m ≠ n ),使得S m = S n ,则S m + n = 0”.类比推理可得:“已知正项数列 {b n }为等比数列,它的前n .项积为T n ,若存在正整数m ,n .(m ≠ n ),使得T m = T n ,则 T m + n = 1.类比推理的一般步骤是:(1)找出两类事物之间的相似性或一致性;(2)用一类事物的性质去推测另一类事物的性质,得出一个明确的命题(猜想).。
3月6日数列综合练习题一、单选题1.已知数列为等比数列,是它的前n项和.若,且与的等差中项为,则()A .35B .33C .31D .29【答案】C 【解析】试题分析:∵等比数列{}n a ,∴21a a q =⋅,∴13134222a q a a q a a ⋅⋅=⇒⋅=⇒=,又∵与的等差中项为54,∴477512244a a a ⋅=+⇒=,∴3741182a q q a ==⇒=,∴41316a a q ==,515116(1)(1)32311112a q S q--===--.2.等差数列{}n a 中,19173150a a a ++=则10112a a -的值是()A.30B.32C.34D.25【答案】A 【解析】试题分析:本题考查等差数列的性质,难度中等.由条件知930a =,所以10112a a -=930a =,故选A.3.数列满足且,则等于()A.B.C.D.【答案】D 【解析】由有解知数列1n x ⎧⎫⎨⎬⎩⎭是首项为1,公差为211112x x -=的等差数列;所以11121(1),221n n n n x x n +=+-=∴=+.故选D 4.设等差数列{}n a 的前n 项和为n S ,数列21{}n a -的前n 项和为n T ,下列说法错误..的是()A .若n S 有最大值,则n T 也有最大值B .若n T 有最大值,则n S 也有最大值C .若数列{}n S 不单调,则数列{}n T 也不单调D .若数列{}n T 不单调,则数列{}n S 也不单调【答案】C 【解析】【详解】解:数列{a 2n ﹣1}的首项是a 1,公差为2d ,A .若S n 有最大值,则满足a 1>0,d <0,则2d <0,即T n 也有最大值,故A 正确,B .若T n 有最大值,则满足a 1>0,2d <0,则d <0,即S n 也有最大值,故B 正确,C .S n =na 1()12n n -+•d 2d =n 2+(a 12d -)n ,对称轴为n 111122222d da a a d d d --=-==--⨯,T n =na 1()12n n -+•2d =dn 2+(a 1﹣d )n ,对称轴为n 111222a d d -=-=-•1a d,不妨假设d >0,若数列{S n }不单调,此时对称轴n 11322a d =-≥,即1a d-≥1,此时T n 的对称轴n 1122=-•111122a d ≥+⨯=1,则对称轴1122-•132a d <有可能成立,此时数列{T n }有可能单调递增,故C 错误,D .不妨假设d >0,若数列{T n }不单调,此时对称轴n 1122=-•132a d ≥,即1a d-≥2,此时{S n }的对称轴n 11122a d =-≥+25322>=,即此时{S n }不单调,故D 正确则错误是C ,故选C .5.设n=()A .333n 个B .21333n - 个C .21333n- 个D .2333n 个【答案】A【解析】1013333n n -====⋅⋅⋅ 个.故选A.6.已知各项均为正数的数列{}n a 的前n 项和为n S ,满足2124n n a S n +=++,且21a -,3a ,7a 恰好构成等比数列的前三项,则4a =().A .1B .3C .5D .7【答案】C 【详解】∵2124n n a S n +=++,当2n ≥,()21214n n a S n -=+-+,两式相减,化简得()2211n n a a +=+,∵0n a >,∴11n n a a +=+,数列{}n a 是公差1的等差数列.又21a -,3a ,7a 恰好构成等比数列的前三项,∴()()211126a a a +=+,∴12a =,∴45a =.故选:C第II 卷(非选择题)二、填空题7.已知数列{}n a 的首项11a =,且1(1)12nn na a n a +=+ ,则5a =____.【答案】198.等差数列{}n a 中,39||||a a =,公差0d <,则使前n 项和n S 取得最大值的自然数n 是________.【答案】5或6【解析】试题分析:因为0d <,且39||||a a =,所以39a a =-,所以1128a d a d +=--,所以150a d +=,所以60a =,所以0n a >()15n ≤≤,所以n S 取得最大值时的自然数n 是5或6.9.数列{}n a 满足:11a =,121n n a a +=+,且{}n a 的前n 项和为n S ,则n S =__.【答案】122n n +--【详解】由121n n a a +=+得()1+121n n a a +=+所以1112+n n a a +=+,且112a +=所以数列{}1n a +是以2为首项,2为公比的等比数列,且11=222n nn a -+⨯=所以21nn a =-前n 项和()123121222222212n nn nS n n n +-=++++-==--- 10.已知数列{}n a 中,132a =前n 项和为n S ,且满足()*123n n a S n N ++=∈,则满足2348337n n S S <<所有正整数n 的和是___________.【答案】12【详解】由()*123n n a S n N++=∈得()123n n n SS S +-+=,即()11332n n S S +-=-,所以数列{}3n S -是首项为113332S a -=-=-,公比为12的等比数列,故31322n nS -=-⋅,所以332n n S =-,所以22332n n S =-.由2348337n n S S <<得2332334833732n n -<-<,化简得1113327n <<,故3,4,5n =.满足2348337n nS S <<所有正整数n 的和为34512++=.故答案为:12三、解答题11.已知数列{a n }满足a 1=3,a n ﹣a n ﹣1﹣3n =0,n ≥2.(1)求数列{a n }的通项公式;(2)设b n 1na =,求数列{b n }的前n 项和S n .【详解】(1)数列{a n }满足a 1=3,a n ﹣a n ﹣1﹣3n =0,n ≥2,即a n ﹣a n ﹣1=3n ,可得a n =a 1+(a 2﹣a 1)+(a 3﹣a 2)+…+(a n ﹣a n ﹣1)=3+6+9+…+3n 12=n (3+3n )32=n 232+n ;(2)b n 123n a ==•2123n n =+(111n n -+),前n 项和S n 23=(1111112231n n -+-++-+ )23=(111n -+)()231n n =+.12.在数列{}n a 中,n S 为其前n 项和,满足2(,*)n n S ka n n k R n N =+-∈∈.(I )若1k =,求数列{}n a 的通项公式;(II )若数列{}21n a n --为公比不为1的等比数列,求n S .【答案】解:(1)当1k =时,2,n n S a n n =+-所以21,(2)n S n n n -=-≥,即22(1)(1),(1)n S n n n n n =+-+=+≥……3分所以当1n =时,112a S ==;当2n ≥时,221(1)(1)2n n n a S S n n n n n -=-=+----=所以数列{}n a 的通项公式为.……………6分(II )当时,1122n n n n n a S S ka ka n --=-=-+-,1(1)22n n k a ka n --=-+,111a S ka ==,若1k =,则211n a n --=-,从而{}21n a n --为公比为1的等比数列,不合题意;……………8分若1k ≠,则10a =,221a k=-,3246(1)k a k -=-212325378333,5,71(1)k k k a a a k k --+--=--=-=--由题意得,2213(5)(3)(7)0a a a -=--≠,所以0k =或32k =.……10分当0k =时,2n S n n =-,得22n a n =-,213n a n --=-,不合题意;…12分当32k =时,1344n n a a n -=-+,从而1213[2(1)1]n n a n a n ---=---因为121130,a -⨯-=-≠210n a n --≠,{}21n a n --为公比为3的等比数列,213nn a n --=-,所以231nn a n =-+,从而1233222n n S n n +=+-+.………………………14分【解析】试题分析:解:(1)当1k =时,2,n n S a n n =+-所以21,(2)n S n n n -=-≥,即22(1)(1),(1)n S n n n n n =+-+=+≥……3分所以当1n =时,112a S ==;当2n ≥时,221(1)(1)2n n n a S S n n n n n -=-=+----=所以数列{}n a 的通项公式为…6分(2)当时,1122n n n n n a S S ka ka n --=-=-+-,1(1)22n n k a ka n --=-+,111a S ka ==,若1k =,则211n a n --=-,从而{}21n a n --为公比为1的等比数列,不合题意;若1k ≠,则10a =,221a k=-,3246(1)k a k -=-212325378333,5,71(1)k k k a a a k k --+--=--=-=--由题意得,2213(5)(3)(7)0a a a -=--≠,所以0k =或32k =.当0k =时,2n S n n =-,得22n a n =-,213n a n --=-,不合题意;当32k =时,1344n n a a n -=-+,从而1213[2(1)1]n n a n a n ---=---因为121130,a -⨯-=-≠210n a n --≠,{}21n a n --为公比为3的等比数列,213nn a n --=-,所以231nn a n =-+,从而1233222n n S n n +=+-+.13.设数列{}n a 的通项公式63n a n =-+,{}n b 为单调递增的等比数列,123512b b b =,1133a b a b +=+.()1求数列{}n b 的通项公式.()2若3nn na cb -=,求数列{}n c 的前n 项和n T .【详解】()1由题意,数列{}n a 的通项公式n a 6n 3=-+,{}n b 为单调递增的等比数列,设公比为q ,123b b b 512=,1133a b a b +=+.可得331b q 512=,2113b 15b q -+=-+,解得1b 4=,或1q 2(2=-舍去),则n 1n 1n b 422-+=⋅=。
高三二轮复习讲义 等差、等比数列1.(2015·江苏卷)设数列{a n }满足a 1=1,且a n +1-a n =n +1(n ∈N *),则数列⎩⎨⎧⎭⎬⎫1a n 前10项的和为________.2.(2014·江苏卷)在各项均为正数的等比数列{a n }中,若a 2=1,a 8=a 6+2a 4,则a 6的值是________.3.(2010·江苏卷)函数y =x 2(x >0)的图象在点(a k ,a 2k )处的切线与x 轴交点的横坐标为a k +1,k 为正整数,a 1=16,则a 1+a 3+a 5=________.4.(2013·江苏卷)在正项等比数列{a n }中,a 5=12,a 6+a 7=3.则满足a 1+a 2+…+a n >a 1a 2…a n 的最大正整数n 的值为________.5、等差数列{a n }的前n 项和为S n ,已知S 10=0,S 15=25,则S n 的最小值为________.6、 (2015·郑州模拟)设等比数列{a n }的前n 项和为S n ,若S m -1=5,S m =-11,S m +1=21,则m 等于________.7、 (2015·苏北四市模拟)在等差数列{a n }中,a 1=-2 015,其前n 项和为S n ,若S 1212-S 1010=2,则S 2 015的值为________.8、在等比数列{a n }中,公比q =2,前87项和S 87=140,则a 3+a 6+a 9+…+a 87=________.9、(2015·苏州期中)在等差数列{a n }中,a 5=3,a 6=-2,则a 3+a 4+…+a 8=________.10、设S n 为等比数列{a n }的前n 项和,若a 1=1,且3S 1,2S 2,S 3成等差数列,则a n =________.11、 数列{a n }的前n 项和为S n ,a 1=1,且对任意正整数n ,点(a n +1,S n )在直线2x +y -2=0上. (1)求数列{a n }的通项公式;(2)是否存在实数λ,使得数列⎩⎨⎧⎭⎬⎫S n +λn +λ2n 为等差数列?若存在,求出λ的值;若不存在,请说明理由.12、 已知数列{a n }是各项均不为0的等差数列,S n 为其前n 项和,且满足a 2n =S 2n -1,令b n=1a n ·a n +1,数列{b n }的前n 项和为T n .(1)求数列{a n }的通项公式及数列{b n }的前n 项和T n ;(2)是否存在正整数m ,n (1<m <n ),使得T 1,T m ,T n 成等比数列?若存在,求出所有的m ,n 的值;若不存在,请说明理由.13.(2015·广州模拟)等比数列{a n }的前n 项和为S n ,若2S 4=S 5+S 6,则数列{a n }的公比q 的值为________.14.(2015·南师附中调研)设S n 是等差数列{a n }的前n 项和,若S 3S 6=13,则S 6S 7=________.15.(2015·南通检测)已知等比数列{a n }为递增数列,且a 3+a 7=3,a 2a 8=2,则a 13a 11=________.16.在等比数列{a n }中,已知a 1+a 3=8,a 5+a 7=4,则a 9+a 11+a 13+a 15=________.17.(2015·阳泉模拟)若等差数列{a n }满足a 7+a 8+a 9>0,a 7+a 10<0,则当n =________时,{a n }的前n 项和最大.18.(2015·安徽卷)已知数列{a n}是递增的等比数列,a1+a4=9,a2a3=8,则数列{a n}的前n项和等于________.19.(2015·福建卷改编)若a,b是函数f(x)=x2-px+q(p>0,q>0)的两个不同的零点,且a,b,-2这三个数可适当排序后成等差数列,也可适当排序后成等比数列,则p+q的值等于________.20.已知{a n}是等差数列,满足a1=3,a4=12,数列{b n}满足b1=4,b4=20,且{b n-a n}为等比数列.(1)求数列{a n}和{b n}的通项公式;(2)求数列{b n}的前n项和.21.(2015·洛阳模拟)成等差数列的三个正数的和等于15,并且这三个数分别加上2、5、13后成为等比数列{b n }中的b 3、b 4、b 5. (1)求数列{b n }的通项公式; (2)数列{b n }的前n 项和为S n ,求证:数列⎩⎨⎧⎭⎬⎫S n +54是等比数列.22.(2015·苏、锡、常、镇调研)已知数列{a n }是首项为133,公比为133的等比数列,设b n +15log 3a n =t ,常数t ∈N *.(1)求证:{b n }为等差数列;(2)设数列{c n }满足c n =a n b n ,是否存在正整数k ,使c k ,c k +1,c k +2按某种次序排列后成等比数列?若存在,求k ,t 的值;若不存在,请说明理由.数列的综合应用1、(2015·江苏卷)设a 1,a 2,a 3,a 4是各项为正数且公差为d (d ≠0)的等差数列. (1)证明:2a 1,2a 2,2a 3,2a 4依次构成等比数列;(2)是否存在a 1,d ,使得a 1,a 22,a 33,a 44依次构成等比数列?并说明理由;(3)是否存在a 1,d 及正整数n ,k ,使得a n 1,a n +k 2,a n +2k 3,a n +3k 4依次构成等比数列?并说明理由.2、(2011·江苏卷)设M 为部分正整数组成的集合,数列{a n }的首项a 1=1,前n 项的和为S n ,已知对任意的整数k ∈M ,当整数n >k 时,S n +k +S n -k =2(S n +S k )都成立. (1)设M ={1},a 2=2,求a 5的值; (2)设M ={3,4},求数列{a n }的通项公式.3、(2012·江苏卷)已知各项均为正数的两个数列{a n }和{b n }满足:a n +1=a n +b na 2n +b 2n,n ∈N *. (1)设b n +1=1+b n a n ,n ∈N *,求证:数列2n n b a ⎧⎫⎛⎫⎪⎪⎨⎬ ⎪⎝⎭⎪⎪⎩⎭是等差数列;(2)设b n +1=2·b na n ,n ∈N *,且{a n }是等比数列,求a 1和b 1的值.4、如果无穷数列{a n}满足下列条件:①a n+a n+22≤a n+1;②存在实数M,使得a n≤M,其中n∈N*,那么我们称数列{a n}为Ω数列.(1)设数列{b n}的通项为b n=5n-2n,且是Ω数列,求M的取值范围;(2)设{c n}是各项为正数的等比数列,S n是其前n项和,c3=14,S3=74,证明:数列{S n}是Ω数列;(3)设数列{d n}是各项均为正整数的Ω数列,求证:d n≤d n+1.5、(2014·江苏卷)设数列{a n}的前n项和为S n.若对任意的正整数n,总存在正整数m,使得S n=a m,则称{a n}是“H数列”.(1)若数列{a n}的前n项和S n=2n(n∈N*),证明:{a n}是“H数列”;(2)设{a n}是等差数列,其首项a1=1,公差d<0.若{a n}是“H数列”,求d的值;(3)证明:对任意的等差数列{a n},总存在两个“H数列”{b n}和{c n},使得a n=b n+c n(n∈N*)成立.6、(2014·泰州期末)设数列{a n}的前n项积为T n,已知对∀n,m∈N*,当n>m时,总有T nT m=T n-m·q(n-m)m(q>0是常数).(1)求证:数列{a n}是等比数列;(2)设正整数k,m,n(k<m<n)成等差数列,试比较T n·T k和(T m)2的大小,并说明理由;(3)探究:命题p:“对∀n,m∈N*,当n>m时,总有T nT m=T n-m·q(n-m)m(q>0是常数)”是命题t:“数列{a n}是公比为q(q>0)的等比数列”的充要条件吗?若是,请给出证明;若不是,请说明理由.7、 (2015·徐州质检)已知数列{a n },{b n }满足a 1=3,a n b n =2,b n +1=a n ⎝⎛⎭⎪⎫b n -21+a n ,n ∈N *.(1)求证:数列⎩⎨⎧⎭⎬⎫1b n 是等差数列,并求数列{b n }的通项公式;(2)设数列{c n }满足c n =2a n -5,对于给定的正整数p ,是否存在正整数q ,r (p <q <r ),使得1c p,1c q,1cr成等差数列?若存在,试用p 表示q ,r ;若不存在,请说明理由.18.(2015·全国Ⅱ卷)设S n 是数列{a n }的前n 项和,且a 1=-1,a n +1=S n S n +1,则S n =____________.19.数列{a n }的通项公式a n =1 n +n +1,若{a n }的前n 项和为24,则n 为________.20.(2012·江苏卷改编)各项均为正数的等比数列{a n }满足a 1a 7=4,a 6=8,若函数f (x )=a 1x +a 2x 2+a 3x 3+…+a 10x 10的导数为f ′(x ),则f ′⎝ ⎛⎭⎪⎫12=________.21.在等差数列{a n }中,a 1=142,d =-2,从第一项起,每隔两项取出一项,构成新的数列{b n },则此数列的前n 项和S n 取得最大值时n 的值是________.22.在正项数列{a n }中,a 1=2,a n +1=2a n +3×5n ,则数列{a n }的通项公式为________.23.(2015·苏、锡、常、镇模拟)已知各项都为正的等比数列{a n }满足a 7=a 6+2a 5,存在两项a m ,a n 使得 a m ·a n =4a 1,则1m +4n 的最小值为________.24.(2015·南通调研)设S n 为数列{a n }的前n 项之和,若不等式a 2n +S 2n n2≥λa 21对任何等差数列{a n }及任何正整数n 恒成立,则λ的最大值为________.25.(2015·南京、盐城模拟)已知等比数列{a n }的首项为43,公比为-13,其前n 项和为S n ,若A ≤S n -1S n≤B 对n ∈N *恒成立,则B -A 的最小值为________.26.数列{a n}满足a n=2a n-1+2n+1(n∈N*,n≥2),a3=27.(1)求a1,a2的值;(2)是否存在一个实数t,使得b n=12n(a n+t)(n∈N*),且数列{b n}为等差数列?若存在,求出实数t;若不存在,请说明理由;(3)求数列{a n}的前n项和S n.27.(2013·江苏卷)设{a n}是首项为a,公差为d的等差数列(d≠0),S n是其前n项的和.记b n=nS nn2+c,n∈N*,其中c为实数.(1)若c=0,且b1,b2,b4成等比数列,证明:S nk=n2S k(k,n∈N*);(2)若{b n}是等差数列,证明:c=0.28.(2014·南京、盐城模拟)已知数列{a n}满足a1=a(a>0,a∈N*),a1+a2+…+a n-pa n+1=0(p≠0,p≠-1,n∈N*).(1)求数列{a n}的通项公式a n;(2)若对每一个正整数k,若将a k+1,a k+2,a k+3按从小到大的顺序排列后,此三项均能构成等差数列,且公差为d k.①求p的值及对应的数列{d k}.②记S k为数列{d k}的前k项和,问是否存在a,使得S k<30对任意正整数k恒成立?若存在,求出a 的最大值;若不存在,请说明理由.。
等差数列前N 项和(第一课时) 一、选择题1.设S n 为等差数列{a n }的前n 项和,S 8=4a 3,a 7=-2,则a 9=( ) A .-6 B .-4 C .-2 D .2[答案] A[解析] 本题考查数列的基础知识和运算能力.⎩⎪⎨⎪⎧ S 3=4a 3a 7=-2⇒⎩⎪⎨⎪⎧ 3a 1+3d =4a 1+8d a 1+6d =-2⇒⎩⎪⎨⎪⎧a 1=10d =-2. ∴a 9=a 1+8d =-6.2.四个数成等差数列,S 4=32,a 2a 3=13,则公差d 等于( )A .8B .16C .4D .0[答案] A [解析] ∵a 2a 3=13,∴a 1+da 1+2d =13,∴d =-2a 1.又S 4=4a 1+4×32d =-8a 1=32,∴a 1=-4,∴d =8.3.等差数列{a n }中,a 3+a 7-a 10=8,a 11-a 4=14.记S n =a 1+a 2+a 3+…+a n ,则S 13=( )A .168B .156C .152D .286[答案] D[解析] ∵⎩⎪⎨⎪⎧ a 3+a 7-a 10=8a 11-a 4=14,∴⎩⎪⎨⎪⎧a 1-d =87d =14,∴⎩⎪⎨⎪⎧d =2a 1=10,∴S 13=13a 1+13×122d =286.4.在等差数列{a n }和{b n }中,a 1=25,b 1=15,a 100+b 100=139,则数列{a n +b n }的前100项的和为( )A .0B .4475C .8950D .10 000[答案] C[解析] 设c n =a n +b n ,则c 1=a 1+b 1=40,c 100=a 100+b 100=139,{c n }是等差数列,∴前100项和S 100=100(c 1+c 100)2=100×(40+139)2=8950.5.已知等差数列共有10项,其中奇数项之和为15,偶数项之和为30,则其公差是( ) A .5 B .4 C .3 D .2[答案] C[解析] 设等差数列为{a n },公差为d ,则⎩⎪⎨⎪⎧a 1+a 3+a 5+a 7+a 9=15a 2+a 4+a 6+a 8+a 10=30, ∴5d =15,∴d =3.6.设S n 是等差数列{a n }的前n 项和,若a 7a 5=913,则S 13S 9=( ) A .1 B .-1 C .2 D .12[答案] A [解析]S 13S 9=13a 79a 5=139×913=1,故选A . 二、填空题7.已知数列{a n }的通项公式a n =-5n +2,则其前n 项和S n =________. [答案] -5n 2+n2[解析] ∵a n =-5n +2, ∴a n -1=-5n +7(n ≥2),∴a n -a n -1=-5n +2-(-5n +7)=-5(n ≥2). ∴数列{a n }是首项为-3,公差为-5的等差数列. ∴S n =n (a 1+a n )2=n (-5n -1)2=-5n 2+n 2.8.设等差数列{a n }的前n 项和为S n ,若S 9=72,则a 2+a 4+a 9=________. [答案] 24[解析] ∵S 9=9·(a 1+a 9)2=72,∴a 1+a 9=16,即a 1+a 1+8d =16, ∴a 1+4d =8,又a 2+a 4+a 9=a 1+d +a 1+3d +a 1+8d =3(a 1+4d )=3×8=24. 三、解答题9.已知等差数列{a n }.(1)a 1=56,a 15=-32,S n =-5,求n 和d ;(2)a 1=4,S 8=172,求a 8和d . [解析] (1)∵a 15=56+(15-1)d =-32,∴d =-16.又S n =na 1+n (n -1)2·d =-5,解得n =15,n =-4(舍).(2)由已知,得S 8=8(a 1+a 8)2=8(4+a 8)2,解得a 8=39,又∵a 8=4+(8-1)d =39,∴d =5.等差数列前N 项和(第二课时) 一、选择题1.记等差数列{a n }的前n 项和为S n .若d =3,S 4=20,则S 6=( ) A .16 B .24 C .36 D .48[答案] D[解析] 由S 4=20,4a 1+6d =20,解得a 1=12⇒S 6=6a 1+6×52×3=48.2.已知{a n }为等差数列,a 1+a 3+a 5=105,a 2+a 4+a 6=99,S n 是等差数列{a n }的前n 项和,则使得S n 达到最大值的n 是( )A .21B .20C .19D .18[答案] B[解析] 由题设求得:a 3=35,a 4=33,∴d =-2,a 1=39,∴a n =41-2n ,a 20=1,a 21=-1,所以当n =20时S n 最大.故选B .3.13×5+15×7+17×9+…+113×15=( ) A .415B .215C .1415D .715[答案] B[解析] 原式=12(13-15)+12(15-17)+…+12(113-115)=12(13-115)=215,故选B .4.已知等差数列{a n }的前n 项和为S n ,a 5=5,S 5=15,则数列{1a n a n +1}的前100项和为( )A .100101B .99101C .99100D .101100[答案] A[解析] 本小题主要考查等差数列的通项公式和前n 项和公式的运用,以及裂项求和的综合应用.∵a 5=5,S 5=15 ∴5(a 1+5)2=15,∴a 1=1.∴d =a 5-a 15-1=1,∴a n =n .∴1a n a n +1=1n (n +1)=1n -1n +1. 则数列{1a n a n +1}的前100项的和为:T 100=(1-12)+(12-13)+…+(1100-1101)=1-1101=100101. 故选A .5.设等差数列{a n }的前n 项的和为S n ,若a 1>0,S 4=S 8,则当S n 取得最大值时,n 的值为( )A .5B .6C .7D .8[答案] B[解析] 解法一:∵a 1>0,S 4=S 8,∴d <0,且a 1=112d ,∴a n =-112d +(n -1)d =nd -132d ,由⎩⎨⎧a n ≥0a n +1<0,得⎩⎨⎧nd -132d ≥0(n +1)d -132d <0,∴512<n ≤612,∴n =6,解法二:∵a 1>0,S 4=S 8, ∴d <0且a 5+a 6+a 7+a 8=0, ∴a 6+a 7=0,∴a 6>0,a 7<0, ∴前六项之和S 6取最大值.6.设{a n }是等差数列,S n 为其前n 项和,且S 5<S 6,S 6=S 7>S 8,则下列结论错误的是( ) A .d <0 B .a 7=0C .S 9>S 5D .S 6与S 7均为S n 的最大值[答案] C[解析] 由S 5<S 6知a 6>0,由S 6=S 7知a 7=0,由S 7>S 8知a 8<0,C 选项S 9>S 5即a 6+a 7+a 8+a 9>0,∴a 7+a 8>0,显然错误. 二、填空题7.设S n 是等差数列{a n }(n ∈N *)的前n 项和,且a 1=1,a 4=7,则S 5=________. [答案] 25[解析] 由⎩⎪⎨⎪⎧ a 1=1a 4=7得⎩⎪⎨⎪⎧a 1=1d =2,∴S 5=5a 1+5×42×d =25.8.(2014·北京理,12)若等差数列{a n }满足a 7+a 8+a 9>0,a 7+a 10<0,则当n =________时,{a n }的前n 项和最大.[答案] 8[解析] 本题考查了等差数列的性质与前n 项和.由等差数列的性质,a 7+a 8+a 9=3a 8,a 7+a 10=a 8+a 9,于是有a 8>0,a 8+a 9<0,故a 9<0,故S 8>S 7,S 9<S 8,S 8为{a n }的前n 项和S n 中的最大值,等差数列{a n }中首项a 1>0公差d <0,{a n }是一个递减的等差数列,前n 项和有最大值,a 1<0,公差d >0,{a n }是一个递增的等差数列,前n 项和有最小值.三、解答题9.设等差数列{a n }满足a 3=5,a 10=-9. (1)求{a n }的通项公式;(2)求{a n }的前n 项和S n 及使得S n 取最大值的n 的值.[解析] (1)设公差为d ,由已知得⎩⎪⎨⎪⎧ a 1+2d =5a 1+9d =-9,解得⎩⎪⎨⎪⎧a 1=9d =-2.∴a n =a 1+(n -1)d =-2n +11.(2)由(1)知S n =na 1+n (n -1)2d =10n -n 2=-(n -5)2+25,∴当n =5时,S n 取得最大值.等比数列前N 项和综合练习1.(2013·新课标全国Ⅰ)设首项为1,公比为23的等比数列{a n }的前n 项和为S n ,则( )A .S n =2a n -1B .S n =3a n -2C .S n =4-3a nD .S n =3-2a n答案 D解析 S n =a 1(1-q n )1-q =a 1-a n q 1-q =1-23a n1-23=3-2a n ,故选D 项. 2.等比数列{a n }各项都是正数,若a 1=81,a 5=16,则它的前5项和是( )A .179B .211C .248D .275答案 B解析 ∵a 5=a 1q 4,∴16=81q 4.∴q =±23.又数列{a n }的各项都是正数,∴q =23. ∴S 5=a 1(1-q 5)1-q =81[1-(23)5]1-23=211. 3.在等比数列{a n }中,S n 表示前n 项和,若a 3=2S 2+1,a 4=2S 3+1,则公比q 等于( )A .3B .-3C .-1D .1答案 A解析 思路一:列方程求出首项和公比,过程略; 思路二:两等式相减得a 4-a 3=2a 3,从而求得a 4a 3=3=q .4.在公比为正数的等比数列中,a 1+a 2=2,a 3+a 4=8,则S 8等于( )A .21B .42C .135D .170 答案 D 解析5.设{a n }是由正数组成的等比数列,S n 为其前n 项和.已知a 2a 4=1,S 3=7,则S 5=( )A.152B.314C.334D.172答案 B解析 显然公比q ≠1,由题意,得⎩⎨⎧a 1q ·a 1q 3=1,a 1(1-q 3)1-q=7,解得⎩⎪⎨⎪⎧a 1=4,q =12,∴S 5=a 1(1-q 5)1-q =4(1-125)1-12=314. 6.在14与78之间插入n 个数组成等比数列,若各项总和为778,则此数列的项数( )A .4B .5C .6D .7答案 B解析 ∵q ≠1(14≠78),∴Sn =a 1-anq 1-q.∴778=14-78q 1-q ,解得q =-12,78=14×(-12)n +2-1.∴n =3,故该数列共5项.7.等比数列{an }的首项为1,公比为q ,前n 项和为S ,则数列⎩⎨⎧⎭⎬⎫1a n 的前n 项和为( ) A.1S B .S C .Sq 1-n D .S -1q 1-n答案 C解析 q ≠1时,S =1-q n 1-q ,⎩⎨⎧⎭⎬⎫1a n 的前n 项和为1(1-1q n )1-1q =q 1-n ·1-q n1-q =q 1-n ·S .当q =1时,q 1-n ·S =S .8.在等比数列{a n }中,公比q =-2,S 5=44,则a 1的值为( ) A .4 B .-4 C .-2 D .2答案 A 解析9.数列{a n }的前n 项和为S n =4n +b (b 是常数,n ∈N *),若这个数列是等比数列,则b 等于( )A .-1B .0C .1D .4答案 A 解析10.(2013·北京)若等比数列{a n }满足a 2+a 4=20,a 3+a 5=40,则公比q =________;前n 项和S n =________.答案 2 2n +1-2解析 由题意知q =a 3+a 5a 2+a 4=2.由a 2+a 4=a 2(1+q 2)=a 1q (1+q 2)=20, ∴a 1=2,∴S n =2(1-2n )1-2=2n +1-2.11.(2012·新课标全国)等比数列{a n }的前n 项和为S n ,若S 3+3S 2=0,则公比q =________.答案 -2解析 由S 3=-2S 2,可得a 1+a 2+a 3=-3(a 1+a 2),即a 1(1+q +q 2)=-3a 1(1+q ),化简整理得q 2+4q +4=0,解得q =-2.12.若等比数列{a n }中,a 1=1,a n =-512,前n 项和为S n =-341,则n 的值是________.答案 1013.(2012·浙江)设公比为q (q >0)的等比数列{a n }的前n 项和为S n ,若S 2=3a 2+2,S 4=3a 4+2,则q =________.答案 32解析 由已知S 4-S 2=3a 4-3a 2,即a 4+a 3=3a 4-3a 2,即2a 4-a 3-3a 2=0,两边同除以a 2,得2q 2-q -3=0,即q =32或q =-1(舍).答案 3n -1,或(-3)n -14解析答案24解析16.等比数列{a n}的公比q>0,已知a2=1,a n+2+a n+1=6a n,则{a n}的前4项和S4=________.答案 152解析 由条件a n +2+a n +1=a n q 2+a n q =6a n ,q >0,得q =2,又a 2=1,所以a 1=12,S 4=152.17.一个等比数列的首项为1,项数为偶数,其中奇数项的和为85,偶数项的和为170,求该数列的公比和项数.答案 该数列的公比为2,项数为8解析18.设等比数列{a n }的公比q <1,前n 项和为S n ,已知a 3=2,S 4=5S 2,求{a n }的通项公式.解析 由题设知a 1≠0,S n =a 1(1-q n )1-q,则⎩⎨⎧ a 1q 2=2,a 1(1-q 4)1-q =5×a 1(1-q 2)1-q , ①② 由②得1-q 4=5(1-q 2),(q 2-4)(q 2-1)=0. (q -2)(q +2)(q -1)(q +1)=0,因为q <1,解得q =-1或q =-2. 当q =-1时,代入①得a 1=2,a n =2×(-1)n -1;当q =-2时,代入①得a 1=12,a n =12×(-2)n -1.综上,当q =-1时,a n =2×(-1)n -1;当q =-2时,a n =12×(-2)n -1.。
第1讲 等差数列和等比数列考情解读 1.等差、等比数列基本量和性质的考查是高考热点,经常以小题形式出现.2.数列求和及数列与函数、不等式的综合问题是高考考查的重点,考查分析问题、解决问题的综合能力.1.a n 与S n 的关系S n =a 1+a 2+…+a n ,a n =⎩⎪⎨⎪⎧S 1,n =1,S n -S n -1,n ≥2.2.等差数列和等比数列热点一 等差数列例1 (1)等差数列{a n }的前n 项和为S n ,若a 2+a 4+a 6=12,则S 7的值是( ) A .21 B .24 C .28 D .7(2)设等差数列{a n }的前n 项和为S n ,若-1<a 3<1,0<a 6<3,则S 9的取值范围是________. 思维启迪 (1)利用a 1+a 7=2a 4建立S 7和已知条件的联系;(2)将a 3,a 6的范围整体代入. 答案 (1)C (2)(-3,21)解析 (1)由题意可知,a 2+a 6=2a 4,则3a 4=12,a 4=4,所以S 7=7×(a 1+a 7)2=7a 4=28.(2)S 9=9a 1+36d =3(a 1+2d )+6(a 1+5d ) 又-1<a 3<1,0<a 6<3,∴-3<3(a 1+2d )<3,0<6(a 1+5d )<18, 故-3<S 9<21.思维升华 (1)等差数列问题的基本思想是求解a 1和d ,可利用方程思想; (2)等差数列的性质①若m ,n ,p ,q ∈N *,且m +n =p +q ,则a m +a n =a p +a q ; ②S m ,S 2m -S m ,S 3m -S 2m ,…,仍成等差数列; ③a m -a n =(m -n )d ⇔d =a m -a nm -n(m ,n ∈N *);④a n b n =A 2n -1B 2n -1(A 2n -1,B 2n -1分别为{a n },{b n }的前2n -1项的和). (3)等差数列前n 项和的问题可以利用函数的性质或者转化为等差数列的项,利用性质解决.(1)已知等差数列{a n }中,a 7+a 9=16,S 11=992,则a 12的值是( )A .15B .30C .31D .64(2)在等差数列{a n }中,a 5<0,a 6>0且a 6>|a 5|,S n 是数列的前n 项的和,则下列说法正确的是( )A .S 1,S 2,S 3均小于0,S 4,S 5,S 6…均大于0B .S 1,S 2,…S 5均小于0,S 6,S 7,…均大于0C .S 1,S 2,…S 9均小于0,S 10,S 11…均大于0D .S 1,S 2,…S 11均小于0,S 12,S 13…均大于0 答案 (1)A (2)C解析 (1)因为a 8是a 7,a 9的等差中项,所以2a 8=a 7+a 9=16⇒a 8=8,再由等差数列前n 项和的计算公式可得S 11=11(a 1+a 11)2=11·2a 62=11a 6,又因为S 11=992,所以a 6=92,则d =a 8-a 62=74,所以a 12=a 8+4d =15,故选A. (2)由题意可知a 6+a 5>0,故S 10=(a 1+a 10)×102=(a 5+a 6)×102>0,而S 9=(a 1+a 9)×92=2a 5×92=9a 5<0,故选C.热点二 等比数列例2 (1)(2014·安徽)数列{a n }是等差数列,若a 1+1,a 3+3,a 5+5构成公比为q 的等比数列,则q =_____________________.(2)已知等比数列{a n }的前n 项和为S n ,且a 1+a 3=52,a 2+a 4=54,则S na n 等于( )A .4n -1B .4n -1C .2n -1D .2n -1思维启迪 (1)列方程求出d ,代入q 即可;(2)求出a 1,q ,代入化简. 答案 (1)1 (2)D解析 (1)设等差数列的公差为d ,则a 3=a 1+2d , a 5=a 1+4d ,∴(a 1+2d +3)2=(a 1+1)(a 1+4d +5),解得d =-1, ∴q =a 3+3a 1+1=a 1-2+3a 1+1=1.(2)∵⎩⎨⎧a 1+a 3=52,a 2+a 4=54,∴⎩⎨⎧a 1+a 1q 2=52,①a 1q +a 1q 3=54,②由①②可得1+q 2q +q 3=2,∴q =12,代入①得a 1=2, ∴a n =2×(12)n -1=42n ,∴S n =2×(1-(12)n )1-12=4(1-12n ),∴S na n =4(1-12n )42n=2n -1,故选D. 思维升华 (1){a n }为等比数列,其性质如下:①若m 、n 、r 、s ∈N *,且m +n =r +s ,则a m ·a n =a r ·a s ; ②a n =a m q n -m ;③S n ,S 2n -S n ,S 3n -S 2n 成等比数列(q ≠-1). (2)等比数列前n 项和公式 S n =⎩⎪⎨⎪⎧na 1(q =1),a 1(1-q n )1-q=a 1-a n q 1-q (q ≠1).①能“知三求二”;②注意讨论公比q 是否为1;③a 1≠0.(1)已知各项不为0的等差数列{a n }满足a 4-2a 27+3a 8=0,数列{b n }是等比数列,且b 7=a 7,则b 2b 8b 11等于( ) A .1 B .2 C .4D .8(2)在等比数列{a n }中,a 1+a n =34,a 2·a n -1=64,且前n 项和S n =62,则项数n 等于( ) A .4 B .5 C .6D .7答案 (1)D (2)B解析 (1)∵a 4-2a 27+3a 8=0,∴2a 27=a 4+3a 8,即2a 27=4a 7,∴a 7=2,∴b 7=2,又∵b 2b 8b 11=b 1qb 1q 7b 1q 10=b 31q 18=(b 7)3=8,故选D.(2)设等比数列{a n }的公比为q ,由a 2a n -1=a 1a n =64,又a 1+a n =34,解得a 1=2,a n =32或a 1=32,a n =2.当a 1=2,a n =32时,S n =a 1(1-q n )1-q =a 1-a n q 1-q =2-32q 1-q=62,解得q =2.又a n =a 1q n-1,所以2×2n -1=2n =32,解得n =5.同理,当a 1=32,a n =2时,由S n =62,解得q =12.由a n =a 1q n -1=32×(12)n -1=2,得(12)n -1=116=(12)4,即n -1=4,n =5.综上,项数n 等于5,故选B.热点三 等差数列、等比数列的综合应用例3 已知等差数列{a n }的公差为-1,且a 2+a 7+a 12=-6. (1)求数列{a n }的通项公式a n 与前n 项和S n ;(2)将数列{a n }的前4项抽去其中一项后,剩下三项按原来顺序恰为等比数列{b n }的前3项,记{b n }的前n 项和为T n ,若存在m ∈N *,使对任意n ∈N *,总有S n <T m +λ恒成立,求实数λ的取值范围.思维启迪 (1)利用方程思想求出a 1,代入公式求出a n 和S n ;(2)将恒成立问题通过分离法转化为最值.解 (1)由a 2+a 7+a 12=-6得a 7=-2,∴a 1=4, ∴a n =5-n ,从而S n =n (9-n )2.(2)由题意知b 1=4,b 2=2,b 3=1, 设等比数列{b n }的公比为q , 则q =b 2b 1=12,∴T m =4[1-(12)m ]1-12=8[1-(12)m ],∵(12)m 随m 增加而递减, ∴{T m }为递增数列,得4≤T m <8. 又S n =n (9-n )2=-12(n 2-9n )=-12[(n -92)2-814],故(S n )max =S 4=S 5=10,若存在m ∈N *,使对任意n ∈N *总有S n <T m +λ, 则10<4+λ,得λ>6.即实数λ的取值范围为(6,+∞). 思维升华 等差(比)数列的综合问题的常见类型及解法(1)等差数列与等比数列交汇的问题,常用“基本量法”求解,但有时灵活地运用性质,可使运算简便.(2)等差数列、等比数列与函数、方程、不等式等的交汇问题,求解时用等差(比)数列的相关知识,将问题转化为相应的函数、方程、不等式等问题求解即可.已知数列{a n }前n 项和为S n ,首项为a 1,且12,a n ,S n 成等差数列.(1)求数列{a n }的通项公式;(2)数列{b n }满足b n =(log 2a 2n +1)×(log 2a 2n +3),求证:1b 1+1b 2+1b 3+…+1b n <12.(1)解 ∵12,a n ,S n 成等差数列,∴2a n =S n +12,当n =1时,2a 1=S 1+12,∴a 1=12,当n ≥2时,S n =2a n -12,S n -1=2a n -1-12,两式相减得a n =S n -S n -1=2a n -2a n -1, ∴a na n -1=2, ∴数列{a n }是首项为12,公比为2的等比数列,∴a n =12×2n -1=2n -2.(2)证明 b n =(log 2a 2n +1)×(log 2a 2n +3)=log 222n +1-2×log 222n+3-2=(2n -1)(2n +1),1b n =12n -1×12n +1=12(12n -1-12n +1), 1b 1+1b 2+1b 3+…+1b n =12[(1-13)+(13-15)+…+(12n -1-12n +1)]=12(1-12n +1)<12(n ∈N *). 即1b 1+1b 2+1b 3+…+1b n <12.1.在等差(比)数列中,a 1,d (q ),n ,a n ,S n 五个量中知道其中任意三个,就可以求出其他两个.解这类问题时,一般是转化为首项a 1和公差d (公比q )这两个基本量的有关运算. 2.等差、等比数列的性质是两种数列基本规律的深刻体现,是解决等差、等比数列问题既快捷又方便的工具,应有意识地去应用.但在应用性质时要注意性质的前提条件,有时需要进行适当变形.3.等差、等比数列的单调性 (1)等差数列的单调性d >0⇔{a n }为递增数列,S n 有最小值. d <0⇔{a n }为递减数列,S n 有最大值. d =0⇔{a n }为常数列. (2)等比数列的单调性当⎩⎪⎨⎪⎧ a 1>0,q >1或⎩⎪⎨⎪⎧ a 1<0,0<q <1时,{a n }为递增数列,当⎩⎪⎨⎪⎧ a 1>0,0<q <1或⎩⎪⎨⎪⎧a 1<0,q >1时,{a n }为递减数列. 4.常用结论(1)若{a n },{b n }均是等差数列,S n 是{a n }的前n 项和,则{ma n +kb n },{S nn }仍为等差数列,其中m ,k 为常数.(2)若{a n },{b n }均是等比数列,则{ca n }(c ≠0),{|a n |},{a n ·b n },{ma n b n }(m 为常数),{a 2n },{1a n}仍为等比数列.(3)公比不为1的等比数列,其相邻两项的差也依次成等比数列,且公比不变,即a 2-a 1,a 3-a 2,a 4-a 3,…,成等比数列,且公比为a 3-a 2a 2-a 1=(a 2-a 1)qa 2-a 1=q .(4)等比数列(q ≠-1)中连续k 项的和成等比数列,即S k ,S 2k -S k ,S 3k -S 2k ,…,成等比数列,其公差为q k .等差数列中连续k 项的和成等差数列,即S k ,S 2k -S k ,S 3k -S 2k ,…,成等差数列,公差为k 2d . 5.易错提醒(1)应用关系式a n =⎩⎪⎨⎪⎧S 1,n =1,S n -S n -1,n ≥2时,一定要注意分n =1,n ≥2两种情况,在求出结果后,看看这两种情况能否整合在一起.(2)三个数a ,b ,c 成等差数列的充要条件是b =a +c2,但三个数a ,b ,c 成等比数列的充要条件是b 2=ac .真题感悟1.(2014·大纲全国)等比数列{a n }中,a 4=2,a 5=5,则数列{lg a n }的前8项和等于( ) A .6 B .5 C .4 D .3 答案 C解析 数列{lg a n }的前8项和S 8=lg a 1+lg a 2+…+lg a 8=lg(a 1·a 2·…·a 8)=lg(a 1·a 8)4 =lg(a 4·a 5)4=lg(2×5)4=4.2.(2014·北京)若等差数列{a n }满足a 7+a 8+a 9>0,a 7+a 10<0,则当n =________时,{a n }的前n 项和最大. 答案 8解析 ∵a 7+a 8+a 9=3a 8>0,∴a 8>0. ∵a 7+a 10=a 8+a 9<0,∴a 9<-a 8<0. ∴数列的前8项和最大,即n =8. 押题精练1.已知等比数列{a n }的前n 项和为S n ,则下列一定成立的是( ) A .若a 3>0,则a 2 013<0 B .若a 4>0,则a 2 014<0 C .若a 3>0,则a 2 013>0 D .若a 4>0,则a 2 014>0答案 C解析 因为a 3=a 1q 2,a 2 013=a 1q 2 012,而q 2与q 2 012均为正数,若a 3>0,则a 1>0,所以a 2 013>0,故选C.2.已知数列{a n }是首项为a ,公差为1的等差数列,b n =1+a na n.若对任意的n ∈N *,都有b n ≥b 8成立,则实数a 的取值范围为________. 答案 (-8,-7)解析 a n =a +(n -1)×1=n +a -1,所以b n =1+a n a n =n +an +a -1,因为对任意的n ∈N *,都有b n ≥b 8成立,即n +a n +a -1≥8+a 8+a -1(n ∈N *)恒成立,即n -8(a +7)(n +a -1)≤0(n ∈N *),则有⎩⎪⎨⎪⎧a +7<0,1-a <9,解得-8<a <-7. 3.设各项均为正数的数列{a n }的前n 项和为S n ,满足a 2n +1=4S n +4n +1,n ∈N *,且a 2,a 5,a 14恰好是等比数列{b n }的前三项. (1)求数列{a n },{b n }的通项公式;(2)记数列{b n }的前n 项和为T n ,若对任意的n ∈N *,(T n +32)k ≥3n -6恒成立,求实数k 的取值范围.解 (1)当n ≥2时,由题设知4S n -1=a 2n -4(n -1)-1,∴4a n =4S n -4S n -1=a 2n +1-a 2n -4, ∴a 2n +1=a 2n +4a n +4=(a n +2)2,∵a n >0,∴a n +1=a n +2.∴当n ≥2时,{a n }是公差d =2的等差数列. ∵a 2,a 5,a 14构成等比数列,∴a 25=a 2·a 14,(a 2+6)2=a 2·(a 2+24),解得a 2=3, 由条件可知,4a 1=a 22-5=4,∴a 1=1, ∵a 2-a 1=3-1=2,∴{a n }是首项a 1=1,公差d =2的等差数列. ∴等差数列{a n }的通项公式为a n =2n -1. ∵等比数列{b n }的公比q =a 5a 2=2×5-13=3,∴等比数列{b n }的通项公式为b n =3n . (2)T n =b 1(1-q n )1-q =3(1-3n )1-3=3n +1-32,∴(3n +1-32+32)k ≥3n -6对任意的n ∈N *恒成立,∴k ≥2n -43n 对任意的n ∈N *恒成立,令c n =2n -43n ,c n -c n -1=2n -43n -2n -63n -1=-2(2n -7)3n ,当n ≤3时,c n >c n -1; 当n ≥4时,c n <c n -1. ∴(c n )max =c 3=227,∴k ≥227.(推荐时间:60分钟)一、选择题1.等比数列{a n }中a 1=3,a 4=24,则a 3+a 4+a 5等于( ) A .33 B .72 C .84 D .189答案 C解析 由题意可得q 3=8,所以q =2.所以a 3+a 4+a 5=a 1q 2(1+q +q 2)=84. 2.设等差数列{a n }的前n 项和为S n ,若2a 6=6+a 7,则S 9的值是( ) A .27 B .36 C .45 D .54答案 D解析 由2a 6=6+a 7得a 5=6,所以S 9=9a 5=54.故选D.3.设等比数列{a n }的前n 项和为S n ,若S m -1=5,S m =-11,S m +1=21,则m 等于( ) A .3 B .4 C .5 D .6答案 C解析 由已知得,S m -S m -1=a m =-16,S m +1-S m =a m +1=32,故公比q =-2,又S m =a 1-a m q1-q =-11,故a 1=-1,又a m =a 1·q m -1=-16,代入可求得m =5.4.数列{a n }的首项为3,{b n }为等差数列且b n =a n +1-a n (n ∈N *),若b 3=-2,b 10=12,则a 8等于( )A .0B .3C .8D .11 答案 B解析 ∵{b n }为等差数列,设其公差为d , 由b 3=-2,b 10=12,∴7d =b 10-b 3=12-(-2)=14,∴d =2, ∵b 3=-2,∴b 1=b 3-2d =-2-4=-6, ∴b 1+b 2+…+b 7=7b 1+7×62·d=7×(-6)+21×2=0,又b 1+b 2+…+b 7=(a 2-a 1)+(a 3-a 2)+…+(a 8-a 7)=a 8-a 1=a 8-3, ∴a 8-3=0,a 8=3.故选B. 5.数列{a n }满足a 1=2,a n =a n +1-1a n +1+1,其前n 项积为T n ,则T 2 014等于( )A.16 B .-16C .6D .-6答案 D解析 由a n =a n +1-1a n +1+1得a n +1=1+a n 1-a n ,而a 1=2,所以a 2=-3,a 3=-12,a 4=13,a 5=2,则数列是以4为周期,且a 1a 2a 3a 4=1,所以T 2 014=(a 1a 2a 3a 4)503a 1a 2=1503×2×(-3)=-6,故选D.6.已知{a n }是等差数列,S n 为其前n 项和,若S 21=S 4 000,O 为坐标原点,点P (1,a n ), Q (2 011,a 2 011),则OP →·OQ →等于( ) A .2 011 B .-2 011 C .0 D .1 答案 A解析 由S 21=S 4 000得a 22+a 23+…+a 4 000=0, 由于a 22+a 4 000=a 23+a 3 999=…=2a 2 011, 所以a 22+a 23+…+a 4 000=3 979a 2 011=0, 从而a 2 011=0,而OP →·OQ →=2 011+a 2 011a n =2 011. 二、填空题7.在等比数列{a n }中,已知a 1+a 3=8,a 5+a 7=4,则a 9+a 11+a 13+a 15=________. 答案 3解析 设等比数列{a n }的公比为q ,由已知,得⎩⎪⎨⎪⎧a 1+a 1q 2=8,a 1q 4+a 1q 6=4,解得q 4=12. 又a 9+a 11=a 1q 8+a 3q 8=(a 1+a 3)q 8=8×(12)2=2,a 13+a 15=a 1q 12+a 3q 12=(a 1+a 3)q 12=8×(12)3=1, 所以a 9+a 11+a 13+a 15=2+1=3.8.(2014·广东)若等比数列{a n }的各项均为正数,且a 10a 11+a 9a 12=2e 5,则ln a 1+ln a 2+…+ln a 20=______.答案 50解析 因为a 10a 11+a 9a 12=2a 10a 11=2e 5,所以a 10a 11=e 5.所以ln a 1+ln a 2+…+ln a 20=ln(a 1a 2…a 20)=ln[(a 1a 20)·(a 2a 19)·…·(a 10a 11)]=ln(a 10a 11)10=10ln(a 10a 11)=10ln e 5=50ln e =50.9.设等差数列{a n }的前n 项和为S n ,若a 1=-11,a 4+a 6=-6,则当S n 取最小值时,n =________. 答案 6解析 设等差数列的公差为d ,则由a 4+a 6=-6得2a 5=-6,∴a 5=-3.又∵a 1=-11,∴-3=-11+4d ,∴d =2,∴S n =-11n +n (n -1)2×2=n 2-12n =(n -6)2-36, 故当n =6时,S n 取最小值.10.已知数列{a n }的首项为a 1=2,且a n +1=12(a 1+a 2+…+a n ) (n ∈N *),记S n 为数列{a n }的前n 项和,则S n =________,a n =________.答案 2×⎝⎛⎭⎫32n -1 ⎩⎪⎨⎪⎧ 2 (n =1),⎝⎛⎭⎫32n -2 (n ≥2)解析 由a n +1=12(a 1+a 2+…+a n ) (n ∈N *),可得a n +1=12S n ,所以S n +1-S n =12S n ,即S n +1=32S n ,由此可知数列{S n }是一个等比数列,其中首项S 1=a 1=2,公比为32,所以S n =2×⎝⎛⎭⎫32n -1, 由此得a n =⎩⎪⎨⎪⎧2 (n =1),⎝⎛⎭⎫32n -2 (n ≥2). 三、解答题11.成等差数列的三个正数的和等于15,并且这三个数分别加上2、5、13后成为等比数列{b n }中的b 3、b 4、b 5.(1)求数列{b n }的通项公式;(2)数列{b n }的前n 项和为S n ,求证:数列{S n +54}是等比数列.(1)解 设成等差数列的三个正数分别为a -d ,a ,a +d .依题意,得a -d +a +a +d =15.解得a =5.所以{b n }中的b 3,b 4,b 5依次为7-d,10,18+d .依题意,有(7-d )(18+d )=100,解得d =2或d =-13(舍去).故{b n }的第3项为5,公比为2.由b 3=b 1·22,即5=b 1·22,解得b 1=54. 所以b n =b 1·q n -1=54·2n -1=5·2n -3, 即数列{b n }的通项公式b n =5·2n -3. (2)证明 由(1)得数列{b n }的前n 项和S n =54(1-2n )1-2=5·2n -2-54, 即S n +54=5·2n -2. 所以S 1+54=52,S n +1+54S n +54=5·2n -15·2n -2=2. 因此{S n +54}是以52为首项,2为公比的等比数列. 12.若数列{b n }对于n ∈N *,都有b n +2-b n =d (常数),则称数列{b n }是公差为d 的准等差数列,如数列{c n },若c n =⎩⎪⎨⎪⎧4n -1,n 为奇数,4n -9,n 为偶数,则数列{c n }是公差为8的准等差数列.设数列{a n }满足a 1=a ,对于n ∈N *,都有a n +a n +1=2n .(1)求证:{a n }为准等差数列;(2)求{a n }的通项公式及前20项和S 20.(1)证明 ∵a n +1+a n =2n ,①∴a n +2+a n +1=2n +2.②由②-①得a n +2-a n =2(n ∈N *),∴{a n }是公差为2的准等差数列.(2)解 已知a 1=a ,a n +1+a n =2n (n ∈N *),∴a 1+a 2=2,即a 2=2-a .∴由(1)可知a 1,a 3,a 5,…,成以a 为首项,2为公差的等差数列,a 2,a 4,a 6,…,成以2-a 为首项,2为公差的等差数列.∴当n 为偶数时,a n =2-a +(n 2-1)×2=n -a , 当n 为奇数时,a n =a +(n +12-1)×2=n +a -1, ∴a n =⎩⎪⎨⎪⎧n +a -1,n 为奇数,n -a ,n 为偶数. S 20=a 1+a 2+…+a 19+a 20=(a 1+a 2)+(a 3+a 4)+…+(a 19+a 20)=2×1+2×3+…+2×19=2×(1+19)×102=200. 13.(2013·湖北)已知S n 是等比数列{a n }的前n 项和,S 4,S 2,S 3成等差数列,且a 2+a 3+a 4=-18.(1)求数列{a n }的通项公式;(2)是否存在正整数n ,使得S n ≥2 013?若存在,求出符合条件的所有n 的集合;若不存在,说明理由.解 (1)设等比数列{a n }的公比为q ,则a 1≠0,q ≠0.由题意得⎩⎪⎨⎪⎧ S 2-S 4=S 3-S 2,a 2+a 3+a 4=-18. 即⎩⎪⎨⎪⎧-a 1q 2-a 1q 3=a 1q 2,a 1q (1+q +q 2)=-18, 解得⎩⎪⎨⎪⎧a 1=3,q =-2. 故数列{a n }的通项公式为a n =3×(-2)n -1. (2)由(1)有S n =3[1-(-2)n ]1-(-2)=1-(-2)n . 假设存在n ,使得S n ≥2 013,则1-(-2)n ≥2 013,即(-2)n ≤-2 012.当n 为偶数时,(-2)n >0,上式不成立;当n 为奇数时,(-2)n =-2n ≤-2 012,即2n ≥2 012,得n ≥11.综上,存在符合条件的正整数n ,且所有这样的n 的集合为{n |n =2k +1,k ∈N ,k ≥5}.。
等差数列等比数列综合练习题一.选择题1. 已知031=--+n n a a ,则数列{}n a 是 ( )A. 递增数列B. 递减数列C. 常数列D. 摆动数列 2.等比数列}{n a 中,首项81=a ,公比21=q ,那么它的前5项的和5S 的值是( ) A .231 B .233 C .235 D .2373. 设n S 是等差数列}{n a 的前n 项和,若S 7=35,则a 4=( ) A. 8 B.7C.6D.54. 等差数列}{n a 中,=-=++10915812,1203a a a a a 则( ) A .24B .22C .20D .-85. 数列{}n a 的通项公式为n n a n 2832-=,则数列{}n a 各项中最小项是 ( ) A. 第4项 B.第5项 C. 第6项 D. 第7项6.已知a ,b ,c ,d 是公比为2的等比数列,则dc ba ++22等于( ) A .1 B .21 C .41D .817.在等比数列{}n a 中,7114146,5,a a a a •=+=则2010a a =( ) A.23B.32C.23或32 D.23-或 32- 8.已知等比数列{}n a 中,n a >0,243546225a a a a a a ++=,那么35a a +=( ) A.5 B .10 C.15 D .209.各项不为零的等差数列{}n a 中,有23711220a a a -+=,数列{}n b 是等比数列,且7768,b a b b ==则( )A.2B. 4C.8 D .16 10.已知等差数列{}n a 中, 211210,10,38,n m m m m a m a a a S -+-≠>+-==若且则m 等于 A. 38 B. 20 C.10D. 911.已知n s 是等差数列{}n a *()n N ∈的前n 项和,且675s s s >>,下列结论中不正确的是( )A. d<0B. 110s >C.120s <D. 130s < 12.等差数列}{n a 中,1a ,2a ,4a 恰好成等比数列,则14a a 的值是( ) A .1 B .2 C .3 D .4二.填空题13.已知{a n }为等差数列,a 15=8,a 60=20,则a 75=________ 14. 在等比数列}{n a 中,1682=•a a ,则5a =__________15.在等差数列{a n }中,若a 7=m ,a 14=n ,则a 21=__________ 16. 若数列{}n x 满足1lg 1lg n n x x +=+()n N *∈,且12100100x x x +++=,则()101102200lg x x x +++=________17.等差数列{a n }的前n 项和为S n ,若a 3+a 17=10,则S 19的值_________ 18.已知等比数列{a n }中,a 1+a 2+a 3=40,a 4+a 5+a 6=20,则前9项之和等于_________三.解答题19. 设三个数a ,b ,c 成等差数列,其和为6,又a ,b ,1+c 成等比数列,求此三个数.20. 已知数列{}n a 中,111,23n n a a a -==+,求此数列的通项公式.21. 设等差数列{}na的前n项和公式是253ns n n=+,求它的前3项,并求它的通项公式.22. 已知等比数列{}n a的前n项和记为S n,,S10=10,S30=70,求S40。
高中数学《等差数列、等比数列》专题练习题(含答案解析)一、选择题1.(2017·全国卷Ⅰ)记S n 为等差数列{a n }的前n 项和.若a 4+a 5=24,S 6=48,则{a n }的公差为( )A .1B .2C .4D .8 C [设{a n }的公差为d ,则由⎩⎪⎨⎪⎧a 4+a 5=24,S 6=48,得⎩⎪⎨⎪⎧a 1+3d a 1+4d24,6a 1+6×52d =48,解得d =4.故选C .]2.设公比为q (q >0)的等比数列{}a n 的前n 项和为S n ,若S 2=3a 2+2,S 4=3a 4+2,则a 1等于( )A .-2B .-1C .12D .23B [S 4-S 2=a 3+a 4=3a 4-3a 2 ,即3a 2+a 3-2a 4=0,即3a 2+a 2q -2a 2q 2=0 ,即2q 2-q -3=0,解得q =-1 (舍)或q =32,当q =32时,代入S 2=3a 2+2,得a 1+a 1q =3a 1q +2,解得a 1=-1,故选B .]3.(2018·莆田市3月质量检测)等比数列{a n }的前n 项和为S n ,已知S 2=a 1+2a 3,a 4=1,则S 4=( )A .78B .158C .14D .15D [由S 2=a 1+2a 3,得a 1+a 2=a 1+2a 3,即a 2=2a 3,又{a n }为等比数列,所以公比q =a 3a 2=12,又a 4=a 1q 3=a 18=1,所以a 1=8.S 4=a 11-q 41-q=8×⎝ ⎛⎭⎪⎫1-1161-12=15.故选D .]4.设等差数列{a n }的前n 项和为S n ,且a 1>0,a 3+a 10>0,a 6a 7<0,则满足S n >0的最大自然数n 的值为( )A .6B .7C .12D .13C [∵a 1>0,a 6a 7<0,∴a 6>0,a 7<0,等差数列的公差小于零,又a 3+a 10=a 1+a 12>0,a 1+a 13=2a 7<0,∴S 12>0,S 13<0,∴满足S n >0的最大自然数n 的值为12.]5.(2018·衡水模拟)设等比数列{a n }的前n 项和为S n ,若S m -1=5,S m =-11,S m+1=21,则m 等于( )A .3B .4C .5D .6C [在等比数列中,因为S m -1=5,S m =-11,S m +1=21,所以a m =S m -S m -1=-11-5=-16,a m +1=S m +1-S m =32.则公比q =a m +1a m=32-16=-2,因为S m =-11, 所以a 1[12m ]1+2=-11,①又a m +1=a 1(-2)m =32,② 两式联立解得m =5,a 1=-1.] 6.等差数列{a n }中,a na 2n是一个与n 无关的常数,则该常数的可能值的集合为( )A .{1}B .⎩⎨⎧⎭⎬⎫1,12C .⎩⎨⎧⎭⎬⎫12D .⎩⎨⎧⎭⎬⎫0,12,1B [a na 2n =a 1n -1da 12n -1d =a 1-d +nda 1-d +2nd,若a 1=d ,则a na 2n =12;若a 1≠0,d =0,则a n a 2n =1.∵a 1=d ≠0,∴a na 2n ≠0,∴该常数的可能值的集合为⎩⎨⎧⎭⎬⎫1,12.] 7.已知等比数列{a n }中,a 2a 10=6a 6,等差数列{b n }中,b 4+b 6=a 6,则数列{b n }的前9项和为( )A .9B .27C .54D .72B [根据等比数列的基本性质有a 2a 10=a 26=6a 6,a 6=6,所以b 4+b 6=a 6=6,所以S 9=9b 1+b 92=9b 4+b 62=27.]8.(2018·安阳模拟)正项等比数列{a n }中,a 2=8,16a 24=a 1a 5,则数列{a n }的前n 项积T n 中的最大值为( )A .T 3B .T 4C .T 5D .T 6A [设正项等比数列{a n }的公比为q (q >0),则16a 24=a 1a 5=a 2a 4=8a 4,a 4=12,q 2=a 4a 2=116,又q >0,则q =14,a n =a 2q n -2=8×⎝ ⎛⎭⎪⎫14n -2=27-2n ,则T n =a 1a 2…a n =25+3+…+(7-2n )=2n (6-n ),当n =3时,n (6-n )取得最大值9,此时T n 最大,即(T n )max =T 3,故选A .]二、填空题9.已知公差不为0的等差数列{a n }满足a 1,a 3,a 4成等比数列,S n 为数列{a n }的前n 项和,则S 3-S 2S 5-S 3的值为________.2 [根据等比中项有a 23=a 1·a 4,即(a 1+2d )2=a 1(a 1+3d ),化简得a 1=-4d ,S 3-S 2S 5-S 3=a 3a 4+a 5=a 1+2d 2a 1+7d =-2d -d=2.] 10.已知数列{a n }满足a 1=-40,且na n +1-(n +1)a n =2n 2+2n ,则a n 取最小值时n 的值为________.10或11 [由na n +1-(n +1)a n =2n 2+2n =2n (n +1),两边同时除以n (n +1),得a n +1n +1-a nn =2,所以数列⎩⎨⎧⎭⎬⎫a n n 是首项为-40、公差为2的等差数列,所以a nn =-40+(n -1)×2=2n -42,所以a n=2n 2-42n ,对于二次函数f (x )=2x 2-42x ,在x =-b2a=--424=10.5时,f (x )取得最小值,因为n 取正整数,且10和11到10.5的距离相等,所以n 取10或11时,a n 取最小值.]11.已知正项等差数列{a n }的前n 项和为S n ,S 10=40,则a 3·a 8的最大值为________. 16 [S 10=10a 1+a 102=40⇒a 1+a 10=a 3+a 8=8,a 3·a 8≤⎝ ⎛⎭⎪⎫a 3+a 822=⎝ ⎛⎭⎪⎫822=16, 当且仅当a 3=a 8=4时“=”成立.]12.已知函数{a n }满足a n +1+1=a n +12a n +3,且a 1=1,则数列⎩⎨⎧⎭⎬⎫2a n +1的前20项和为________.780 [由a n +1+1=a n +12a n +3得2a n +3a n +1=1a n +1+1,即1a n +1+1-1a n +1=2,∴数列⎩⎨⎧⎭⎬⎫1a n +1是以12为首项,2为公差的等差数列,则1a n +1=2n -32,∴数列⎩⎨⎧⎭⎬⎫2a n +1是以1为首项,4为公差的等差数列,其前20项的和为20+10×19×4=780.]三、解答题13.(2018·德阳二诊)已知数列{a n }满足a 1=1,a n +1=2a n +1 . (1)求证:数列{a n +1}为等比数列;(2)求数列⎩⎨⎧⎭⎬⎫2n a n a n +1的前n 项和T n . [解] (1)∵a n +1=2a n +1,∴a n +1+1=2(a n +1). 又a 1=1,∴a 1+1=2≠0,a n +1≠0.∴{a n +1}是以2为首项,2为公比的等比数列. (2)由(1)知a n =2n -1, ∴2na n a n +1=2n2n -12n +1-1=12n -1-12n +1-1,∴T n =12-1-122-1+122-1-123-1+…+12n -1-12n +1-1=1-12n +1-1.14.已知数列{}a n 的前n 项和为S n ,且S n =2a n -3n (n ∈N *). (1)求a 1,a 2,a 3的值;(2)是否存在常数λ,使得数列{a n +λ}为等比数列?若存在,求出λ的值和通项公式a n ;若不存在,请说明理由.[解] (1)当n =1时,由S 1=2a 1-3×1,得a 1=3; 当n =2时,由S 2=2a 2-3×2,可得a 2=9; 当n =3时,由S 3=2a 3-3×3,得a 3=21. (2)令(a 2+λ)2=(a 1+λ)·(a 3+λ), 即(9+λ)2=(3+λ)·(21+λ),解得λ=3. 由S n =2a n -3n 及S n +1=2a n +1-3(n +1), 两式相减,得a n +1=2a n +3.由以上结论得a n +1+3=(2a n +3)+3=2(a n +3), 所以数列{a n +3}是首项为6,公比为2的等比数列, 因此存在λ=3,使得数列{a n +3}为等比数列,所以a n+3=(a1+3)×2n-1,a n=3(2n-1)(n∈N*).。
等差等比数列及其前n 项和作业及答案一、选择题:1.设命题甲为“a ,b ,c 成等差数列”,命题乙为“a b +c b=2”,那么 ( ) A .甲是乙的充分不必要条件 B .甲是乙的必要不充分条件C .甲是乙的充要条件D .甲是乙的既不充分也不必要条件解析:由a b +c b=2,可得a +c =2b ,但a 、b 、c 均为零时,a 、b 、c 成等差数列, 但a b +c b≠2. 答案:B 2.(2009·福建高考)等差数列{a n }的前n 项和为S n ,且S 3=6,a 3=4,则公差d 等于 ( )A .1 B.53C .2D .3 解析:∵S 3=(a 1+a 3)×32=6,而a 3=4,∴a 1=0, ∴d =a 3-a 12=2. 答案:C 3.(2010·广州模拟)已知数列{a n }的前n 项和S n =n 2-9n ,第k 项满足5<a k <8,则k等于 ( )A .9B .8C .7D .6解析:a n =⎩⎪⎨⎪⎧ S 1 (n =1)S n -S n -1 (n ≥2)=⎩⎪⎨⎪⎧-8 (n =1)-10+2n (n ≥2)=2n -10, ∵5<a k <8,∴5<2k -10<8, ∴152<k <9,又∵k ∈N *,∴k =8. 答案:B 4.设等差数列{a n }的前n 项和为S n ,若S 3=9,S 6=36,则a 7+a 8+a 9等于 ( )A .63B .45C .36D .27解析:由{a n }是等差数列,则S 3,S 6-S 3,S 9-S 6成等差数列.由2(S 6-S 3)=S 3+(S 9-S 6)得到S 9-S 6=2S 6-3S 3=45,即a 7+a 8+a 9=45. 答案:B5.设数列{a n }是等差数列,且a 4=-4,a 9=4,S n 是数列{a n }的前n 项和,则 ( )A .S 5<S 6B .S 5=S 6C .S 7=S 5D .S 7=S 6解析:因为a 4=-4,a 9=4,所以a 4+a 9=0,即a 6+a 7=0,所以S 7=S 5+a 6+a 7=S 5. 答案:C6.各项都是正数的等比数列{}a n 中,a 2,123,a 1成等差数列,则a 3+a 4a 4+a 5的值为 ( ) A.5-12 B.5+12 C.1-52 D.5+12或5-12解析:设{a n }的公比为q ,∵a 1+a 2=a 3, ∴a 1+a 1q =a 1q 2,即q 2-q -1=0, ∴q =1±52,又∵a n >0,∴q >0,∴q =1+52,a 3+a 4a 4+a 5=1q =5-12. 答案:A 7.(2009·广东高考)已知等比数列{a n }的公比为正数,且a 3·a 9=2a 25,a 2=1,则a 1=( )A.12B.22C.2 D .2 解析:∵a 3·a 9=2a 25=a 26,∴a 6a 5= 2. 又a 2=1=a 1·2,∴a 1=22. 答案:B 8.设等比数列{a n }的前n 项和为S n ,若S 6∶S 3=1∶2,则S 9∶S 3等于 ( )A .1∶2B .2∶3C .3∶4D .1∶3解析:∵{a n }为等比数列, ∴S 3,S 6-S 3,S 9-S 6成等比数列,即(S 6-S 3)2=S 3·(S 9-S 6), 又∵S 6∶S 3=1∶2,∴14S 23=S 3(S 9-12S 3),即34S 3=S 9, ∴S 9∶S 3=3∶4. 答案:C 9.若数列{a n }满足a 2n +1a 2np (p 为正常数,n ∈N *),则称{a n }为“等方比数列”. 甲:数列{a n }是等方比数列;乙:数列{a n }是等比数列,则 ( )A .甲是乙的充分条件但不是必要条件B .甲是乙的必要条件但不是充分条件C .甲是乙的充要条件D .甲既不是乙的充分条件也不是乙的必要条件解析:数列{a n }是等比数列则a n +1a n =q ,可得a 2n +1a 2n=q 2,则{a n }为“等方比数列”.当{a n }为“等方比数列”时,则a 2n +1a 2n=p (p 为正常数,n ∈N *),当n ≥1时a n +1a n =±p ,所以此数列{a n }并不一定是等比数列. 答案:B10.已知{a n }是等比数列,a 2=2,a 5=14,则a 1a 2+a 2a 3+…+a n a n +1= ( ) A .16(1-4-n ) B .16(1-2-n ) C.323(1-4-n ) D.323(1-2-n ) 解析:∵q 3=a 5a 2=18∴q =12,a 1=4,数列{a n ·a n +1}是以8为首项,14为公比的等比数列,不难得出答案为C. 答案:C11. 在等差数列{a n }中,若a 1<0,S 9=S 12,则当S n 取得最小值时,n 等于A .10B .11C .9或10D .10或11解析:设数列{a n }的公差为d ,则由题意得9a 1+12×9×(9-1)d =12a 1+12×12×(12-1)d , 即3a 1=-30d ,∴a 1=-10d . ∵a 1<0,∴d >0. ∴S n =na 1+12n (n -1)d =12dn 2-212dn =d 2⎝⎛⎭⎫n -2122-441d 8∴S n 有最小值,又n ∈N *, ∴n =10,或n =11时,S n 取最小值. 答案:D12.在等比数列{a n }中,a n >0(n ∈N +),公比q ∈(0,1),且a 1a 5+2a 3a 5+a 2a 8=25,又a 3与a 5的等比中项为2,b n =log 2a n ,数列{b n }的前n 项和为S n ,则当S 11+S 22+…+S n n 最大时,n 的值等于 ( )A .8B .9C .8或9D .17解析:∵a 1a 5+2a 3a 5+a 2a 8=25, ∴a 23+2a 3a 5+a 25=25,又a n >0,∴a 3+a 5=5, 又q ∈(0,1),∴a 3>a 5,而a 3a 5=4,∴a 3=4,a 5=1, ∴q =12,a 1=16,a n =16×(12)n -1=25-n , b n =log 2a n =5-n ,b n +1-b n =-1,∴{b n }是以b 1=4为首项,-1为公差的等差数列, ∴S n =n (9-n )2∴S n n =9-n 2, ∴当n ≤8时,S n n >0;当n =9时,S n n =0;当n >9时,S n n<0, ∴当n =8或9时,S 11+S 22+…+S n n 最大. 答案:C 二、填空题:13.在等差数列{a n }中,已知log 2(a 5+a 9)=3,则等差数列{a n }的前13项的和S 13=________.解析:∵log 2(a 5+a 9)=3,∴a 5+a 9=23=8.∴S 13=13×(a 1+a 13)2=13×(a 5+a 9)2=13×82=52. 答案:52 14.(2009·辽宁高考)等差数列{a n }的前n 项和为S n ,且6S 5-5S 3=5,则a 4=________. 解析:设等差数列{a n }的首项为a 1,公差为d ,则由6S 5-5S 3=5,得6(a 1+3d )=2,所以a 4=13. 答案:1315.(2009·浙江高考)设等比数列{a n }的公比q =12,前n 项和为S n ,则S 4a 4=________. 解析:a 4=a 1(12)3=181,S 4=a 1(1-124)1-12=158a 1, ∴S 4a 4=15. 答案:15 16.(2009·宁夏、海南高考)等比数列{a n }的公比q >0.已知a 2=1,a n +2+a n +1=6a n ,则{a n }的前4项和S 4=________.解析:∵a n +2+a n +1=6a n ,∴a n ·q 2+a n ·q =6a n (a n ≠0), ∴q 2+q -6=0,∴q =-3或q =2. ∵q >0,∴q =2,∴a 1=12,a 3=2,a 4=4, ∴S 4=12+1+2+4=152. 答案:152三、解答题:17.在数列{a n }中,a 1=1,a n +1=2a n +2n .(1)设b n =a n 2-,证明:数列{b n }是等差数列; (2)求数列{a n }的前n 项和S n . 解:(1)证明:由已知a n +1=2a n +2n 得 b n +1=a n +12n =2a n +2n 2n =a n 2n -1+1=b n +1. 又b 1=a 1=1, 因此{b n }是首项为1,公差为1的等差数列.(2)由(1)知a n 2-=n ,即a n =n ·2n -1. S n =1+2×21+3×22+…+n ×2n -1, 两边乘以2得,2S n =2+2×22+…+n ×2n . 两式相减得S n =-1-21-22-…-2n -1+n ·2n =-(2n -1)+n ·2n =(n -1)2n+1. 18.设数列{a n }的前n 项和为S n ,已知a 1+2a 2+3a 3+…+na n =(n -1)S n +2n (n ∈N *).(1)求a 2,a 3的值; (2)求证:数列{S n +2}是等比数列.解:(1)∵a 1+2a 2+3a 3+…+na n =(n -1)S n +2n (n ∈N *),∴当n =1时,a 1=2×1=2; 当n =2时,a 1+2a 2=(a 1+a 2)+4,∴a 2=4;当n =3时,a 1+2a 2+3a 3=2(a 1+a 2+a 3)+6,∴a 3=8.(2)∵a 1+2a 2+3a 3+…+na n =(n -1)S n +2n (n ∈N *),①∴当n ≥2时,a 1+2a 2+3a 3+…+(n -1)a n -1=(n -2)S n -1+2(n -1).②①-②得na n =(n -1)S n -(n -2)S n -1+2=n (S n -S n -1)-S n +2S n -1+2=na n -S n +2S n -1+2. ∴-S n +2S n -1+2=0,即S n =2S n -1+2,∴S n +2=2(S n -1+2). ∵S 1+2=4≠0, ∴S n -1+2≠0, ∴S n +2S n -1+22, 故{S n +2}是以4为首项,2为公比的等比数列. 19.已知数列{a n }满足2a n +1=a n +a n +2(n ∈N *),它的前n 项和为S n ,且a 3=5,S 6=36.(1)求数列{a n }的通项公式;(2)设b n =6n +(-1)n -1λ·2a n (λ为正整数,n ∈N *),试确定λ的值,使得对任意n ∈N *,都有b n +1>b n 成立.解:(1)∵2a n +1=a n +a n +2,∴{a n }是等差数列,设{a n }的首项为a 1,公差为d , 由a 3=5,S 6=36得⎩⎪⎨⎪⎧ a 1+2d =56a 1+15d =36,解得a 1=1,d =2. ∴a n =2n -1.(2)由(1)知b n =6n +(-1)n -1·λ·22n -1,要使得对任意n ∈N *都有b n +1>b n 恒成立, ∴b n +1-b n =6n +1+(-1)n ·λ·22n +1-6n -(-1)n -1·λ·22n -1=5·6n -5λ·(-1)n -1·22n -1>0恒成立, 即12λ·(-1)n -1<(32)n . 当n 为奇数时, 即λ<2·(32)n ,而(32)n 的最小值为32, ∴λ<3. 当n 为偶数时,λ>-2(32)n , 而-2(32)n 的最大值为-92,∴λ>-92.由上式可得-92<λ<3,而λ为正整数, ∴λ=1或λ=2. 20.(2010·株州模拟)已知二次函数f (x )=ax 2+bx +c (x ∈R),满足f (0)=f (12)=0,且f (x )的最小值是-18.设数列{a n }的前n 项和为S n ,对一切n ∈N *,点(n ,S n )在函数f (x )的图象上.(1)求数列{a n }的通项公式;(2)通过b n =S n n +c 构造一个新的数列{b n },是否存在非零常数c ,使得{b n }为等差数列; (3)令c n =S n +n n,设数列{c n ·2c n }的前n 项和为T n ,求T n . 解:(1)因为f (0)=f (12)=0,所以f (x )的对称轴为x =0+122=14,又因为f (x )的最小值是-18,由二次函数图象的对称性可设f (x )=a (x -14)2-18. 又f (0)=0,所以a =2,所以f (x )=2(x -14)2-18=2x 2-x . 因为点(n ,S n )在函数f (x )的图象上,所以S n =2n 2-n .当n =1时,a 1=S 1=1;当n ≥2时,a n =S n -S n -1=4n -3(n =1时也成立),所以a n =4n -3(n ∈N *).(2)因为b n =S n n +c =2n 2-n n +c =2n (n -12)n +c c =-12(c ≠0),即得b n =2n ,此时数列{b n }为等差数列,所以存在非零常数c =-12{b n }为等差数列. (3)c n =S n +n n =2n 2-n +n n=2n ,则c n ·2c n =2n ×22n =n ×22n +1. 所以T n =1×23+2×25+…+(n -1)22n -1+n ×22n +1,4T n =1×25+2×27+…+(n -1)22n +1+n ×22n +3,两式相减得:-3T n =23+25+…+22n +1-n ×22n +3=23(1-4n )1-4n ·22n +3, T n =23(1-4n )9+n ·22n +33=(3n -1)22n +3+89. 21.已知数列{a n }的前三项与数列{b n }的前三项对应相同,且a 1+2a 2+22a 3+…+2n -1a n=8n 对任意的n ∈N *都成立,数列{b n +1-b n }是等差数列.(1)求数列{a n }与{b n }的通项公式;(2)问是否存在k ∈N *,使得(b k -a k )∈(0,1)?请说明理由.解:(1)已知a 1+2a 2+22a 3+…+2n -1a n =8n (n ∈N *)①当n ≥2时,a 1+2a 2+22a 3+…+2n -2a n -1=8(n -1)(n ∈N *)②①-②得2n -1a n =8,求得a n =24-n , 在①中令n =1,可得a 1=8=24-1, ∴a n =24-n (n ∈N *). 由题意知b 1=8,b 2=4,b 3=2, ∴b 2-b 1=-4,b 3-b 2=-2, ∴数列{b n +1-b n }的公差为-2-(-4)=2, ∴b n +1-b n =-4+(n -1)×2=2n -6, 法一:迭代法得:b n =b 1+(b 2-b 1)+(b 3-b 2)+…+(b n -b n -1) =8+(-4)+(-2)+…+(2n -8)=n 2-7n +14(n ∈N *).法二:可用累加法,即b n -b n -1=2n -8, b n -1-b n -2=2n -10, … b 3-b 2=-2, b 2-b 1=-4, b 1=8,相加得b n =8+(-4)+(-2)+…+(2n -8)=8+(n -1)(-4+2n -8)2=n 2-7n +14(n ∈N *). (2)∵b k -a k =k 2-7k +14-24-k , 设f (k )=k 2-7k +14-24-k .当k ≥4时,f (k )=(k -72)2+74-24-k 单调递增. 且f (4)=1, ∴当k ≥4时,f (k )=k 2-7k +14-24-k ≥1. 又f (1)=f (2)=f (3)=0, ∴不存在k ∈N *,使得(b k -a k )∈(0,1).22.等差数列{a n }的前n 项和为S n ,S 4=24,a 2=5,对每一个k ∈N *,在a k 与a k +1之间插入2k -1个1,得到新数列{b n },其前n 项和为T n .(1)求数列{a n }的通项公式; (2)试问a 11是数列{b n }的第几项;(3)是否存在正整数m ,使T m =2010?若存在,求出m 的值;若不存在,请说明理由. 解:(1)设{a n }的公差为d ,∵S 4=4a 1+4×32d =24,a 2=a 1+d =5, ∴a 1=3,d =2,a n =3+(n -1)×2=2n +1.(2)依题意,在a 11之前插入的1的总个数为1+2+22+…+29=1-2101-2=1023, 1023+11=1034,故a 11是数列{b n }的第1034项.(3)依题意,S n =na 1+n (n -1)2d =n 2+2n , a n 之前插入的1的总个数为1+2+22+…+2n -2=1-2n -11-2=2n -1-1, 故数列{b n }中,a n 及前面的所有项的和为n 2+2n +2n -1-1,∴数列{b n }中,a 11及前面的所有项的和为112+22+210-1=1166<2010, 而2010-1166=844,a 11与a 12之间的1的个数为210=1024个, 即在a 11后加844个1,其和为2010,故存在m =1034+844=1878,使T 1878=2010.。
第一部分 一 9一、选择题1.(文)(2014·东北三省三校联考)等差数列{a n }的前n 项和为S n ,若a 2+a 4+a 6 =12,则S 7的值是( )A .21B .24C .28D .7[答案] C[解析] ∵a 2+a 4+a 6=3a 4=12,∴a 4=4, ∴2a 4=a 1+a 7=8,∴S 7=7(a 1+a 7)2=7×82=28.[方法点拨] 1.熟记等差、等比数列的求和公式. 2.形如a n +1=a n +f (n )的递推关系用累加法可求出通项; 3.形如a n +1=a n f (n )的递推关系可考虑用累乘法求通项a n ;4.形如a n +1=ka n +b (k 、b 为常数)可通过变形,设b n =a n +bk -1构造等比数列求通项a n .(理)在等比数列{a n }中,a 1=a ,前n 项和为S n ,若数列{a n +1}成等差数列,则S n 等于( ) A .a n +1-a B .n (a +1) C .na D .(a +1)n -1[答案] C[解析] 利用常数列a ,a ,a ,…判断,则存在等差数列a +1,a +1,a +1,…或通过下列运算得到:2(aq +1)=(a +1)+(aq 2+1),∴q =1,S n =na .2.(文)已知S n 为等差数列{a n }的前n 项和,若S 1=1,S 4S 2=4,则S 6S 4的值为( )A.94 B.32 C.53 D .4[答案] A[解析] 由等差数列的性质可知S 2,S 4-S 2,S 6-S 4成等差数列,由S 4S 2=4得S 4-S 2S 2=3,则S 6-S 4=5S 2,所以S 4=4S 2,S 6=9S 2,S 6S 4=94.(理)(2014·全国大纲文,8)设等比数列{a n }的前n 项和为S n .若S 2=3,S 4=15,则S 6=( )A .31B .32C .63D .64[答案] C[解析] 解法1:由条件知:a n >0,且⎩⎪⎨⎪⎧a 1+a 2=3,a 1+a 2+a 3+a 4=15, ∴⎩⎪⎨⎪⎧a 1(1+q )=3,a 1(1+q +q 2+q 3)=15,∴q =2. ∴a 1=1,∴S 6=1-261-2=63.解法2:由题意知,S 2,S 4-S 2,S 6-S 4成等比数列,即(S 4-S 2)2=S 2(S 6-S 4),即122=3(S 6-15),∴S 6=63.[方法点拨] 下标成等差的等差、等比数列的项或前n 项和的问题,常考虑应用等差、等比数列的性质求解.3.(2015·浙江理,3)已知{a n }是等差数列,公差d 不为零,前n 项和是S n .若a 3,a 4,a 8成等比数列,则( )A .a 1d >0,dS 4>0B .a 1d <0,dS 4<0C .a 1d >0,dS 4<0D .a 1d <0,dS 4>0 [答案] B[解析] 考查等差数列的通项公式及其前n 项和;等比数列的概念. ∵{a n }为等差数列,且a 3,a 4,a 8成等比数列, ∴(a 1+3d )2=(a 1+2d )(a 1+7d )⇒ a 1=-53d ,∴S 4=2(a 1+a 4)=2(a 1+a 1+3d )=-23d ,∴a 1d =-53d 2<0,dS 4=-23d 2<0,故选B.4.等比数列{a n }的前n 项和为S n ,已知S 3=a 2+10a 1,a 5=9,则a 1=( ) A.13 B .-13C.19 D .-19[答案] C[解析] ∵S 3=a 2+10a 1,∴a 1+a 2+a 3=a 2+10a 1,a 3=9a 1=a 1q 2,∴q 2=9, 又∵a 5=9,∴9=a 3·q 2=9a 3,∴a 3=1, 又a 3=9a 1,故a 1=19.[方法点拨] 求基本量的问题,熟记等差、等比数列的定义、通项及前n 项和公式,利用公式、结合条件,建立方程求解.5.(2015·江西省质检)已知数列{a n }满足a 1=1,a 2=3,a n +2=3a n (n ∈N *),则数列{a n }的前2015项的和S 2015等于( )A .31008-2B .31008-3C .32015-2D .32015-3[答案] A[解析] 因为a 1=1,a 2=3,a n +2a n=3, 所以S 2015=(a 1+a 3+…+a 2015)+(a 2+a 4+…+a 2014)=1-310081-3+3(1-31007)1-3=31008-2.6.(文)(2014·新乡、许昌、平顶山调研)设{a n }是等比数列,S n 是{a n }的前n 项和,对任意正整数n ,有a n +2a n +1+a n +2=0,又a 1=2,则S 101的值为( )A .2B .200C .-2D .0[答案] A[解析] 设公比为q ,∵a n +2a n +1+a n +2=0,∴a 1+2a 2+a 3=0,∴a 1+2a 1q +a 1q 2=0,∴q 2+2q +1=0,∴q =-1,又∵a 1=2,∴S 101=a 1(1-q 101)1-q =2[1-(-1)101]1+1=2.(理)(2014·哈三中二模)等比数列{a n },满足a 1+a 2+a 3+a 4+a 5=3,a 21+a 22+a 23+a 24+a 25=15,则a 1-a 2+a 3-a 4+a 5的值是( )A .3 B. 5 C .- 5 D .5[答案] D[解析] 由条件知⎩⎪⎨⎪⎧a 1(1-q 5)1-q=3a 21(1-q10)1-q2=15,∴a 1(1+q 5)1+q=5,∴a 1-a 2+a 3-a 4+a 5=a 1[1-(-q )5]1-(-q )=a 1(1+q 5)1+q=5.7.(文)在等差数列{a n }中,a 1+a 2+a 3=3,a 18+a 19+a 20=87,则此数列前20项的和等于( )A .290B .300C .580D .600[答案] B[解析] 由a 1+a 2+a 3=3,a 18+a 19+a 20=87得, a 1+a 20=30,∴S 20=20×(a 1+a 20)2=300.(理)已知等比数列{a n }中,各项都是正数,且a 1,12a 3,2a 2成等差数列,则a 8+a 9a 6+a 7=( )A .1+ 2B .1- 2C .3+2 2D .3-2 2 [答案] C[解析] 由条件知a 3=a 1+2a 2, ∴a 1q 2=a 1+2a 1q , ∵a 1≠0,∴q 2-2q -1=0, ∵q >0,∴q =1+2, ∴a 8+a 9a 6+a 7=q 2=3+2 2. 8.(2015·福建理,8)若a ,b 是函数f (x )=x 2-px +q (p >0,q >0)的两个不同的零点,且a ,b ,-2这三个数可适当排序后成等差数列,也可适当排序后成等比数列,则p +q 的值等于( )A .6B .7C .8D .9[答案] D[解析] 由韦达定理得a +b =p ,a ·b =q ,因为p >0,q >0,则a >0,b >0,当a ,b ,-2适当排序后成等比数列时,-2必为等比中项,故a ·b =(-2)2=4,故q =4,b =4a .当适当排序后成等差数列时,-2必不是等差中项,当a 是等差中项时,2a =4a -2,解得a =1,b =4,;当b 是等差中项时,8a =a -2,解得a =4,b =1,综上所述,a +b =p =5,所以p +q =9,选D.9.已知数列{a n },{b n }满足a 1=b 1=1,a n +1-a n =b n +1b n=2,n ∈N +,则数列{ba n }的前10项的和为( )A.43(49-1) B.43(410-1) C.13(49-1) D.13(410-1) [答案] D[解析] 由a 1=1,a n +1-a n =2得,a n =2n -1, 由b n +1b n=2,b 1=1得b n =2n -1, ∴ba n =2a n -1=22(n -1)=4n -1,∴数列{ba n }前10项和为1×(410-1)4-1=13(410-1).10.(文)若数列{a n }为等比数列,且a 1=1,q =2,则T n =1a 1a 2+1a 2a 3+…+1a n a n +1等于( )A .1-14nB.23(1-14n ) C .1-12nD.23(1-12n ) [答案] B[解析] 因为a n =1×2n -1=2n -1,所以a n ·a n +1=2n -1·2n =2×4n -1, 所以1a n a n +1=12×(14)n -1,所以{1a n a n +1}也是等比数列,所以T n =1a 1a 2+1a 2a 3+…+1a n a n +1=12×1×(1-14n )1-14=23(1-14n ),故选B.(理)(2014·唐山市一模)已知等比数列{a n }的前n 项和为S n ,且a 1+a 3=52,a 2+a 4=54,则S na n( )A .4n -1B .4n -1 C .2n -1 D .2n -1[答案] C[解析] 设公比为q ,则a 1(1+q 2)=52,a 2(1+q 2)=54,∴q =12,∴a 1+14a 1=52,∴a 1=2.∴a n =a 1q n -1=2×(12)n -1,S n =2[1-(12)n ]1-12=4[1-(12)n ],∴S n a n =4[1-(12)n ]2×(12)n -1=2(2n -1-12)=2n -1.[点评] 用一般解法解出a 1、q ,计算量大,若注意到等比数列的性质及求S na n,可简明解答如下:∵a 2+a 4=q (a 1+a 3),∴q =12,∴S na n =a 1(1-q n )1-q a 1q n -1=1-q n (1-q )·qn -1=1-12n 12·12n -1=2n -1. 11.给出数列11,12,21,13,22,31,…,1k ,2k -1,…,k1,…,在这个数列中,第50个值等于1的项的序号..是( ) A .4900 B .4901 C .5000 D .5001[答案] B[解析] 根据条件找规律,第1个1是分子、分母的和为2,第2个1是分子、分母的和为4,第3个1是分子、分母的和为6,…,第50个1是分子、分母的和为100,而分子、分母的和为2的有1项,分子、分母的和为3的有2项,分子、分母的和为4的有3项,…,分子、分母的和为99的有98项,分子、分母的和为100的项依次是:199,298,397,…,5050,5149,…,991,第50个1是其中第50项,在数列中的序号为1+2+3+…+98+50=98(1+98)2+50=4901.[点评] 本题考查归纳能力,由已知项找到规律,“1”所在项的特点以及项数与分子、分母的和之间的关系,再利用等差数列求和公式即可.二、填空题12.(文)(2015·广东理,10)在等差数列{a n }中,若a 3+a 4+a 5+a 6+a 7=25,则a 2+a 8=________.[答案] 10[解析] 本题考查等差数列的性质及简单运算,属于容易题.因为{a n }是等差数列,所以a 3+a 7=a 4+a 6=a 2+a 8=2a 5,a 3+a 4+a 5+a 6+a 7=5a 5=25 即a 5=5,a 2+a 8=2a 5=10.(理)(2015·湖南理,14)设S n 为等比数列{a n }的前n 项和.若a 1=1,且3S 1,2S 2,S 3成等差数列,则a n =________.[答案] 3n -1[解析] 考查等差数列与等比数列的性质.∵3S 1,2S 2,S 3成等差数列,∴4S 2=3S 1+S 3,∴4(a 1+a 2)=3a 1+a 1+a 2+a 3⇒a 3=3a 2⇒q =3.又∵{a n }为等比数列,∴a n =a 1q n -1=3n -1.[方法点拨] 条件或结论中涉及等差或等比数列中的两项或多项的关系时,先观察分析下标之间的关系,再考虑能否应用性质解决,要特别注意等差、等比数列性质的区别.13.(文)(2015·安徽理,14)已知数列{a n }是递增的等比数列,a 1+a 4=9,a 2a 3=8,则数列{a n }的前n 项和等于________.[答案] 2n -1[解析] 考查1.等比数列的性质;2.等比数列的前n 项和公式.由题意,⎩⎪⎨⎪⎧ a 1+a 4=9,a 2·a 3=8.∴⎩⎪⎨⎪⎧a 1+a 4=9,a 1·a 4=8,解得a 1=1,a 4=8或者a 1=8,a 4=1,而数列{a n }是递增的等比数列,所以a 1=1,a 4=8,即q 3=a 4a 1=8,所以q =2,因而数列{a n }的前n 项和S n =a 1(1-q n )1-q =1-2n 1-2=2n -1.(理)(2015·江苏,11)设数列{a n }满足a 1=1,且a n +1-a n =n +1(n ∈N *),则数列⎩⎨⎧⎭⎬⎫1a n 前10项的和为________.[答案]2011[解析] 考查数列通项,裂项求和.由题意得:a n =(a n -a n -1)+(a n -1-a n -2)+…+(a 2-a 1)+a 1=n +(n -1)+…+2+1=n (n +1)2,所以1a n =2(1n -1n +1),S n =2(1-12)+2(12-13)+…+2(1n -1n +1)=2(1-1n +1)=2nn +1,S 10=2011.三、解答题14.(文)设数列{a n }的前n 项和为S n ,且S n =4a n -p (n ∈N *),其中p 是不为零的常数. (1)证明:数列{a n }是等比数列;(2)当p =3时,若数列{b n }满足b n +1=a n +b n (n ∈N *),b 1=2,求数列{b n }的通项公式. [解析] (1)证明:因为S n =4a n -p (n ∈N *), 则S n -1=4a n -1-p (n ∈N *,n ≥2),所以当n ≥2时,a n =S n -S n -1=4a n -4a n -1, 整理得a n =43a n -1.由S n =4a n -p ,令n =1,得a 1=4a 1-p ,解得a 1=p3.所以{a n }是首项为p 3,公比为43的等比数列.(2)因为a 1=1,则a n =(43)n -1,由b n +1=a n +b n (n =1,2,…),得b n +1-b n =(43)n -1,当n ≥2时,由累加法得b n =b 1+(b 2-b 1)+(b 3-b 2)+…+(b n -b n -1) =2+1-(43)n -11-43=3(43)n -1-1,当n =1时,上式也成立.∴b n =3·(43)n -1-1.[方法点拨] 证明数列是等差(等比)数列时,应用定义分析条件,结合性质进行等价转化. (理)(2015·河南高考适应性测试)已知数列{a n }的各项均为正数,且a 1=2,a n =a 2n +1+4a n +1+2.(1)令b n =log 2(a n +2),证明:数列{b n }是等比数列. (2)设c n =nb n ,求数列{c n }的前n 项和S n .[解析] (1)由a n =a 2n +1+4a n +1+2,得a n +2=a 2n +1+4a n +1+4=(a n +1+2)2.因为a n >0,所以a n +2=a n +1+2. 因为b n +1b n =log 2(a n +1+2)log 2(a n +2)=log 2a n +2log 2(a n +2)=12,又b 1=log 2(a 1+2)=2,所以数列{b n }是首项为2,公比为12的等比数列.(2)由(1)知,b n =2·⎝⎛⎭⎫12n -1,则c n =2n ⎝⎛⎭⎫12n -1. S n =2×⎝⎛⎭⎫120+4×⎝⎛⎭⎫121+…+2(n -1)⎝⎛⎭⎫12n -2+2n ⎝⎛⎭⎫12n -1,① 12S n =2×⎝⎛⎭⎫121+4×⎝⎛⎭⎫122+…+2(n -1)⎝⎛⎭⎫12n -1+2n ⎝⎛⎭⎫12n .② ①-②得:12S n =2×⎝⎛⎭⎫120+2×⎝⎛⎭⎫121+2×⎝⎛⎭⎫122+…+2×⎝⎛⎭⎫12n -1-2n ·⎝⎛⎭⎫12n =21-⎝⎛⎭⎫12n1-12-2n ·⎝⎛⎭⎫12n =4-(4+2n )⎝⎛⎭⎫12n . 所以S n =8-(n +2)⎝⎛⎭⎫12n -2.15.(2015·南昌市一模)已知等差数列{a n }的前n 项和为S n ,a 1=1,S 3=6,正项数列{b n }满足b 1·b 2·b 3·…·b n =2S n .(1)求数列{a n },{b n }的通项公式;(2)若λb n >a n 对n ∈N *均成立,求实数λ的取值范围.[解析] (1)等差数列{a n },a 1=1,S 3=6,∴d =1,故a n =n⎩⎪⎨⎪⎧b 1·b 2·b 3·…·b n =2S n (1)b 1·b 2·b 3·…·b n -1=2S n -1 (2),(1)÷(2)得b n =2S n -S n -1=2a n =2n (n ≥2), b 1=2S 1=21=2,满足通项公式,故b n =2n(2) 设λb n >a n 恒成立⇒λ>n 2n 恒成立,设c n =n 2n ⇒c n +1c n =n +12n当n ≥2时,c n <1,{c n }单调递减, ∴(c n )max =c 1=12,故λ>12.16.(文)(2014·湖北理,18)已知等差数列{a n }满足:a 1=2,且a 1,a 2,a 5成等比数列. (1)求数列{a n }的通项公式;(2)记S n 为数列{a n }的前n 项和,是否存在正整数n ,使得S n >60n +800?若存在,求n 的最小值;若不存在,说明理由.[分析] (1)设数列{a n }的公差为d ,利用等比数列的性质得到a 22=a 1·a 5,并用a 1、d 表示a 2、a 5,列等式求解公差d ,进而求出通项,注意对公差d 分类讨论;(2)利用(1)的结论,对数列{a n }的通项分类讨论,分别利用通项公式及等差数列的前n 项和公式求解S n ,然后根据S n >60n +800列不等式求解.[解析] (1)设数列{a n }的公差为d ,依题意,2,2+d,2+4d 成等比数列,故有(2+d )2=2(2+4d ).化简得d 2-4d =0,解得d =0或d =4. 当d =0时,a n =2;当d =4时,a n =2+(n -1)·4=4n -2,从而得数列{a n }的通项公式为a n =2或a n =4n -2. (2)当a n =2时,S n =2n ,显然2n <60n +800, 此时不存在正整数n ,使得S n >60n +800成立, 当a n =4n -2时,S n =n [2+(4n -2)]2=2n 2,令2n 2>60n +800,即n 2-30n -400>0, 解得n >40或n <-10(舍去).此时存在正整数n ,使得S n >60n +800成立,n 的最小值为41. 综上,当a n =2时,不存在满足题意的n ;当a n =4n -2时,存在满足题意的n ,其最小值为41.[方法点拨] 存在型探索性问题解答时先假设存在,依据相关知识(概念、定理、公式、法则、性质等),结合所给条件进行推理或运算,直到得出结果或一个明显成立或错误的结论,从而断定存在与否.(理)(2014·新课标Ⅰ理,17)已知数列{a n}的前n项和为S n,a1=1,a n≠0,a n a n+1=λS n-1,其中λ为常数.(1)证明:a n+2-a n=λ;(2)是否存在λ,使得{a n}为等差数列?并说明理由.[分析](1)利用a n+1=S n+1-S n用配凑法可获证;(2)假设存在λ,则a1,a2,a3应成等差数列求出λ的值,然后依据a n+2-a n=λ推证{a n}为等差数列.[解析](1)由题设:a n a n+1=λS n-1,a n+1a n+2=λS n+1-1,两式相减得a n+1(a n+2-a n)=λa n+1.由于a n+1≠0,所以a n+2-a n=λ.(2)由题设,a1=1,a1a2=λS1-1,可得a2=λ-1.由(1)知,a3=λ+1,令2a2=a1+a3,解得λ=4.故a n+2-a n=4,由此可得{a2n-1}是首项为1,公差为4的等差数列,a2n-1=4n-3;{a2n}是首项为3,公差为4的等差数列,a2n=4n-1.所以a n=2n-1,a n+1-a n=2.因此存在λ=4,使得数列{a n}为等差数列.。
等差数列与等比数列比较基础训练题(含
详解)
等差数列与等比数列比较基础训练题(含详解)
问题一
已知等差数列的首项为 a1,公差为 d,求第 n 项的公式。
答案:第 n 项的公式为 an = a1 + (n-1)d 。
问题二
已知公比为 q,等比数列的首项为 a1,求第 n 项的公式。
答案:第 n 项的公式为 an = a1 * q^(n-1) 。
问题三
已知等差数列的首项为 a1,公差为 d,第 n 项的值为 an,求前n 项和的公式。
答案:前 n 项和的公式为 Sn = (n/2)(a1 + an) 。
问题四
已知公比为 q,等比数列的首项为 a1,第 n 项的值为 an,求前n 项和的公式。
答案:前 n 项和的公式为 Sn = a1 * (q^n - 1) / (q - 1) 。
问题五
已知等差数列的首项为 a1,公差为 d,求等差数列的公差。
答案:公差为 d。
问题六
已知公比为 q,等比数列的首项为 a1,求等比数列的公比。
答案:公比为 q。
问题七
已知等差数列的首项为 a1,等差为 d,前 n 项和为 Sn,求 n。
答案:n = (2 * Sn - a1) / d + 1。
问题八
已知等比数列的首项为 a1,公比为 q,前 n 项和为 Sn,求 n。
答案:n = log(q * Sn / a1) / log(q) + 1。
以上是等差数列与等比数列的基础训练题及详解,希望对您有帮助。
高中数学常见题型解法归纳及反馈检测第38讲二等差等比数列的性质【知识要点】n — n一、等差数列的通项公式 a n = a A +(n-l)d = a m +(n-m)d (WG N= — ---- . a n = dn+ (%-〃),n — m当d HO 时,它是一个一次函数;等比数列的通项公式:色=即/1=4詡5(49工0)./? n Y]二、等差数列的前n 项和公式:S” =-(a t +%) =,吗般已知①时,用公式S” =-(a l +色), 已知〃时,用公式S n = na x +—(/?-1)6?;2S” = na A +~ (1 - — - —)n = An 2 + Bn,当d 丰0时,它是关于n 的二次函数.由于其常数2 2 2项为零,所以其图像过原点.na xq = 1^£沖・1-q三、等差数列错误!未找到引用源。
中,如果错误味找到引用源。
,则错误!未找到引用源。
,特殊地,错误! 未找到引用源。
时,则错误!未找到引用源。
,错误!未找到引用源。
是错误!未找到引用源。
的等差屮项.等比数列错误!未找到引用源。
中,如果错误!未找到引用源。
,则错误!未找到引用源…特殊地,错误!未 找到引用源。
时,贝U 错误味找到引用源。
,错误!未找到引用源。
是错误!未找到引用源。
的等比中项.四、等差数列被均匀分段求和后,得到的数列仍是等差数列,即错误!未找到引用源。
成等差数列. 等比数列被均匀分段求和后,得到的数列仍是等比数列,即错误!未找到引用源。
成等比数列. 【方法讲评】【例1】己知等差数列错误!未找到引用源。
中,错误!未找到引用源。
,求错误!未找到引用na A q = 1 吐£2 或S” = 等比数列的前斤项和公式:s n =<【解析】由题得力=壬字二貯=2【点评】对于等差数列的性质勺厂二弘+⑺・要注意灵活运用,提高解题效n-m率.知道了等差数列中的两项,就可以求出数列的公差.等差数列的首项是相对的,可以把其屮的某些项看 作是首项. 【例2]已知等比数列错误!未找到引用源。
等差数列练习题一、单选题(共10题;共0分)1.数列前项和为,,,,若,则=()A. B. C. D.2.在数列中,,则的值为()A.−2B.C.D.3.数列,,,,的第14项是A. B. C. D.4.已知数列的前n项和为,且,则数列的通项公式为A. B. C. D.5.已知数列{a n}满足a1=1,,则254是该数列的()A.第14项B.第12项C.第10项D.第8项6.等比数列{a n}的前n项和为S n,己知S2=3,S4=15,则S3=( )A.7B.-9C.7或-9D.7.等差数列的前项和为,若,则()A. B. C. D.8.《张丘建算经》是我国南北朝时期的一部重要数学著作,书中系统的介绍了等差数列,同类结果在三百多年后的印度才首次出现.书中有这样一个问题,大意为:某女子善于织布,后一天比前一天织的快,而且每天增加的数量相同,已知第一天织布5尺,一个月(按30天计算)总共织布585尺,问每天增加的数量为多少尺?该问题的答案为()A.尺B.尺C.尺D.尺9.将正整数按如图所示的规律排列下去,且用表示位于从上到下第行,从左到右n列的数,比如,若,则有()A. B.C. D.10.世界上最古老的数学著作《莱茵德纸草书》中有一道这样的题目:把磅面包分给个人,使每人所得成等差数列,且使较大的两份之和的是较小的三份之和,则最小的份为()A.磅B.磅C.磅D.磅二、填空题(共10题;共0分)11.观察如图中各多边形图案,每个图案均由若干个全等的正六边形组成,记第个图案中正六边形的个数是.由,,,…,可推出________.12.两千多年前,古希腊毕达哥拉斯学派的数学家曾经在沙滩上研究数学问题,他们在沙滩上画点或用小石子来表示数,按照点或小石子能排列的形状对数进行分类,如图中的实心点个数1,5,12,22,…,被称为五角形数,其中第1个五角形数记作,第2个五角形数记作,第3个五角形数记作,第4个五角形数记作,……,若按此规律继续下去,若,则________.13.某种平面分形图如图所示,一级分形图是由一点出发的三条线段,长度相等,两两夹角为120°;二级分形图是在一级分形图的每条线段末端出发再生成两条长度为原来的线段,且这两条线段与原线段两两夹角为120°,……,依此规律得到n级分形图.则n级分形图中共有________条线段.14.已知圆的有条弦,且任意两条弦都彼此相交,任意三条弦不共点,这条弦将圆分成了个区域,(例如:如图所示,圆的一条弦将圆分成了2(即)个区域,圆的两条弦将圆分成了4(即)个区域,圆的3条弦将圆分成了7(即)个区域),以此类推,那么与之间的递推式关系为:________.15.如图,数表满足:第n行首尾两数均为n;(2)表中递推关系类似杨辉三角,记第n(n>1)行第2个数为a(n).根据表中上下两行数据关系,可以求得当n≥2时,a(n)=________.16.数列由,确定,则________.17.已知数列满足,,,则 ________.18.已知等比数列中,则其前3项的和的取值范围是________.19.(2018•北京)设是等差数列,且a1=3, a2+a5= 36,则的通项公式为________20.数列满足, ,数列的前项和为=________.三、解答题(共4题;共0分)21.已知等差数列的首项,公差,前项和为,.(1)求数列的通项公式;(2)设数列前项和为,求.22.在数列中,,.(1)求证:数列是等差数列;(2)求数列的前n项和.23.在数列中,,,设.(1)证明:数列是等比数列,并求的通项公式;(2)求的前项和.24.设正项数列的前项和为,且满足,,.(1)求数列的通项公式;(2)若正项等比数列满足,,且,数列的前项和为,求证.等差数列练习题答案部分第 1 题:【答案】C【解析】【解答】由题意有:当时,,两式作差可得:,由于,故,即数列的奇数项、偶数项分别构成一个公差为3的等差数列,,据此可得,则数列的通项公式为:,,,加2后能被3整除,则.故答案为:C.【分析】本题利用对n进行分类讨论,再利用S求a的方法求出第k项,从而求出k的值。