键盘的ASCII码对应VC的虚拟键码
- 格式:doc
- 大小:23.50 KB
- 文档页数:3
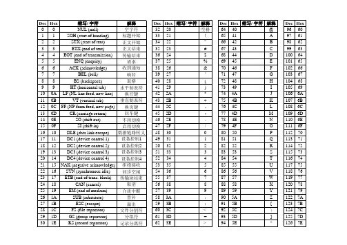
最全ASCII码对照表2009-04-15 00:00Bin Dec Hex 缩写/字符解释0000 0000 0 00 NUL (null) 空字符0000 0001 1 01 SOH (start of handing) 标题开始0000 0010 2 02 STX (start of text) 正文开始0000 0011 3 03 ETX (end of text) 正文结束0000 0100 4 04 EOT (end of transmission) 传输结束0000 0101 5 05 ENQ (enquiry) 请求0000 0110 6 06 ACK (acknowledge) 收到通知0000 0111 7 07 BEL (bell) 响铃0000 1000 8 08 BS (backspace) 退格0000 1001 9 09 HT (horizontal tab) 水平制表符0000 1010 10 0A LF (NL line feed, new line) 换行键0000 1011 11 0B VT (vertical tab) 垂直制表符0000 1100 12 0C FF (NP form feed, new page) 换页键0000 1101 13 0D CR (carriage return) 回车键0000 1110 14 0E SO (shift out) 不用切换0000 1111 15 0F SI (shift in) 启用切换0001 0000 16 10 DLE (data link escape) 数据链路转义0001 0001 17 11 DC1 (device control 1) 设备控制1 0001 0010 18 12 DC2 (device control 2) 设备控制2 0001 0011 19 13 DC3 (device control 3) 设备控制3 0001 0100 20 14 DC4 (device control 4) 设备控制4 0001 0101 21 15 NAK (negative acknowledge) 拒绝接收0001 0110 22 16 SYN (synchronous idle) 同步空闲0001 0111 23 17 ETB (end of trans. block) 传输块结束0001 1000 24 18 CAN (cancel) 取消0001 1001 25 19 EM (end of medium) 介质中断0001 1010 26 1A SUB (substitute) 替补0001 1011 27 1B ESC (escape) 溢出0001 1100 28 1C FS (file separator) 文件分割符0001 1101 29 1D GS (group separator) 分组符0001 1110 30 1E RS (record separator) 记录分离符0001 1111 31 1F US (unit separator) 单元分隔符0010 0000 32 20 空格0010 0001 33 21 !0010 0010 34 22 "0010 0011 35 23 #0010 0100 36 24 $0010 0101 37 25 %0010 0110 38 26 &0010 0111 39 27 '0010 1000 40 28 (0010 1001 41 29 )0010 1101 45 2D - 0010 1110 46 2E . 0010 1111 47 2F / 0011 0000 48 30 0 0011 0001 49 31 1 0011 0010 50 32 2 0011 0011 51 33 3 0011 0100 52 34 4 0011 0101 53 35 5 0011 0110 54 36 6 0011 0111 55 37 7 0011 1000 56 38 8 0011 1001 57 39 9 0011 1010 58 3A : 0011 1011 59 3B ; 0011 1100 60 3C < 0011 1101 61 3D = 0011 1110 62 3E > 0011 1111 63 3F ? 0100 0000 64 40 @ 0100 0001 65 41 A 0100 0010 66 42 B 0100 0011 67 43 C 0100 0100 68 44 D 0100 0101 69 45 E 0100 0110 70 46 F 0100 0111 71 47 G 0100 1000 72 48 H 0100 1001 73 49 I 0100 1010 74 4A J 0100 1011 75 4B K 0100 1100 76 4C L 0100 1101 77 4D M 0100 1110 78 4E N 0100 1111 79 4F O 0101 0000 80 50 P 0101 0001 81 51 Q 0101 0010 82 52 R 0101 0011 83 53 S 0101 0100 84 54 T 0101 0101 85 55 U 0101 0110 86 56 V 0101 0111 87 57 W 0101 1000 88 58 X0101 1100 92 5C \0101 1101 93 5D ]0101 1110 94 5E ^0101 1111 95 5F _0110 0000 96 60 `0110 0001 97 61 a0110 0010 98 62 b0110 0011 99 63 c0110 0100 100 64 d0110 0101 101 65 e0110 0110 102 66 f0110 0111 103 67 g0110 1000 104 68 h0110 1001 105 69 i0110 1010 106 6A j0110 1011 107 6B k0110 1100 108 6C l0110 1101 109 6D m0110 1110 110 6E n0110 1111 111 6F o0111 0000 112 70 p0111 0001 113 71 q0111 0010 114 72 r0111 0011 115 73 s0111 0100 116 74 t0111 0101 117 75 u0111 0110 118 76 v0111 0111 119 77 w0111 1000 120 78 x0111 1001 121 79 y0111 1010 122 7A z0111 1011 123 7B {0111 1100 124 7C |0111 1101 125 7D }0111 1110 126 7E ~0111 1111 127 7F DEL (delete) 删除ESC键VK_ESCAPE (27)回车键:VK_RETURN (13)TAB键:VK_TAB (9)Caps Lock键:VK_CAPITAL (20)Shift键:VK_SHIFT ()Ctrl键:VK_CONTROL (17)Alt键:VK_MENU (18)空格键:VK_SPACE (/32)退格键:VK_BACK (8)左徽标键:VK_LWIN (91)右徽标键:VK_LWIN (92)鼠标右键快捷键:VK_APPS (93) Insert键:VK_INSERT (45) Home键:VK_HOME (36) Page Up:VK_PRIOR (33) PageDown:VK_NEXT (34)End键:VK_END (35)Delete键:VK_DELETE (46)方向键(←):VK_LEFT (37)方向键(↑):VK_UP (38)方向键(→):VK_RIGHT (39)方向键(↓):VK_DOWN (40)F1键:VK_F1 (112)F2键:VK_F2 (113)F3键:VK_F3 (114)F4键:VK_F4 (115)F5键:VK_F5 (116)F6键:VK_F6 (117)F7键:VK_F7 (118)F8键:VK_F8 (119)F9键:VK_F9 (120)F10键:VK_F10 (121)F11键:VK_F11 (122)F12键:VK_F12 (123)Num Lock键:VK_NUMLOCK (144) 小键盘0:VK_NUMPAD0 (96) 小键盘1:VK_NUMPAD0 (97) 小键盘2:VK_NUMPAD0 (98) 小键盘3:VK_NUMPAD0 (99) 小键盘4:VK_NUMPAD0 (100) 小键盘5:VK_NUMPAD0 (101) 小键盘6:VK_NUMPAD0 (102) 小键盘7:VK_NUMPAD0 (103) 小键盘8:VK_NUMPAD0 (104) 小键盘9:VK_NUMPAD0 (105) 小键盘.:VK_DECIMAL (110) 小键盘*:VK_MULTIPLY (106) 小键盘+:VK_MULTIPLY (107) 小键盘-:VK_SUBTRACT (109) 小键盘/:VK_DIVIDE (111) Pause Break键:VK_PAUSE (19) Scroll Lock键:VK_SCROLL (145)。
键盘各键对应的ASCII码值(包括鼠标和键盘所有的键) ESC键VK_ESCAPE (27)回车键:VK_RETURN (13)TAB键:VK_TAB (9)Caps Lock键:VK_CAPITAL (20)Shift键:VK_SHIFT ($10)Ctrl键:VK_CONTROL (17)Alt键:VK_MENU (18)空格键:VK_SPACE ($20/32)退格键:VK_BACK (8)左徽标键:VK_LWIN (91)右徽标键:VK_LWIN (92)鼠标右键快捷键:VK_APPS (93)------------------------------------------Insert键:VK_INSERT (45)Home键:VK_HOME (36)Page Up:VK_PRIOR (33)PageDown:VK_NEXT (34)End键:VK_END (35)Delete键:VK_DELETE (46)方向键(←):VK_LEFT (37)方向键(↑):VK_UP (38)方向键(→):VK_RIGHT (39)方向键(↓):VK_DOWN (40)------------------------------------------F1键:VK_F1 (112)F2键:VK_F2 (113)F3键:VK_F3 (114)F4键:VK_F4 (115)F5键:VK_F5 (116)F6键:VK_F6 (117)F7键:VK_F7 (118)F8键:VK_F8 (119)F9键:VK_F9 (120)F10键:VK_F10 (121)F11键:VK_F11 (122)F12键:VK_F12 (123)------------------------------------------Num Lock键:VK_NUMLOCK (144)小键盘0:VK_NUMPAD0 (96)小键盘1:VK_NUMPAD0 (97)小键盘2:VK_NUMPAD0 (98)小键盘3:VK_NUMPAD0 (99)小键盘4:VK_NUMPAD0 (100)小键盘5:VK_NUMPAD0 (101)小键盘6:VK_NUMPAD0 (102)小键盘7:VK_NUMPAD0 (103)小键盘8:VK_NUMPAD0 (104)小键盘9:VK_NUMPAD0 (105)小键盘.:VK_DECIMAL (110)小键盘*:VK_MULTIPLY (106)小键盘+:VK_MULTIPLY (107)小键盘-:VK_SUBTRACT (109)小键盘/:VK_DIVIDE (111)Pause Break键:VK_PAUSE (19)Scroll Lock键:VK_SCROLL (145)------------------------------------------0x1 鼠标左键0x2 鼠标右键0x3 CANCEL 键0x4 鼠标中键0x8 BACKSPACE 键0x9 TAB 键0xC CLEAR 键0xD ENTER 键0x10 SHIFT 键0x11 CTRL 键0x12 MENU 键0x13 PAUSE 键0x14 CAPS LOCK 键0x1B ESC 键0x20 SPACEBAR 键0x21 PAGE UP 键0x22 PAGE DOWN 键0x23 END 键0x24 HOME 键0x25 LEFT ARROW 键0x26 UP ARROW 键0x27 RIGHT ARROW 键0x28 DOWN ARROW 键0x29 SELECT 键0x2A PRINT SCREEN 键0x2B EXECUTE 键0x2C SNAPSHOT 键0x2D INSERT 键0x2E DELETE 键0x2F HELP 键0x90 NUM LOCK 键A 至Z 键与A –Z 字母的ASCII 码相同:值描述65 A 键66 B 键67 C 键68 D 键69 E 键70 F 键71 G 键72 H 键73 I 键74 J 键75 K 键76 L 键77 M 键78 N 键79 O 键80 P 键81 Q 键82 R 键83 S 键84 T 键85 U 键86 V 键87 W 键88 X 键89 Y 键90 Z 键------------------------------------------0 至9 键与数字0 –9 的ASCII 码相同:值描述48 0 键49 1 键50 2 键51 3 键52 4 键53 5 键54 6 键55 7 键56 8 键57 9 键下列常数代表数字键盘上的键:值描述0x60 0 键0x61 1 键0x62 2 键0x63 3 键0x64 4 键0x65 5 键0x66 6 键0x67 7 键0x68 8 键0x69 9 键0x6A MULTIPLICATION SIGN (*) 键0x6B PLUS SIGN (+) 键0x6C ENTER 键0x6D MINUS SIGN (–) 键0x6E DECIMAL POINT (.) 键0x6F DIVISION SIGN (/) 键---------------------------------------------- 下列常数代表功能键:值描述0x70 F1 键0x71 F2 键0x72 F3 键0x73 F4 键0x74 F5 键0x75 F6 键0x76 F7 键0x77 F8 键0x78 F9 键0x79 F10 键0x7A F11 键0x7B F12 键0x7C F13 键0x7D F14 键0x7E F15 键0x7F F16 键。
OCT(八进制)最全ASCII码对应表-与键盘按键对应值(二进)Bin (十进)Dec (十六进)Hex 缩写/字符解释0000 0000 0 00 NUL (null)空字符0000 0001 1 01 SOH (start of handing) 标题开始0000 0010 2 02 STX (start of text) 正文开始0000 0011 3 03 ETX (end of text)正文结束0000 0100 4 04 EOT (end of transmission)传输结束0000 0101 5 05 ENQ (enquiry) 请求0000 0110 6 06 ACK (acknowledge) 收到通知0000 0111 7 07 BEL (bell) 响铃0000 1000 8 08 BS (backspace) 退格0000 1001 9 09 HT (horizontal tab)水平制表符0000 1010 10 0A LF (NL line feed, new line)换行键0000 1011 11 0B VT (vertical tab)垂直制表符0000 1100 12 0C FF (NP form feed, new page) 换页键0000 1101 13 0D CR (carriage return)回车键0000 1110 14 0E SO (shift out)不用切换0000 1111 15 0F SI (shift in) 启用切换0001 0000 16 10 DLE (data link escape)数据链路转义0001 0001 17 11 DC1 (device control 1) 设备控制1 0001 0010 18 12 DC2 (device control 2) 设备控制20001 0011 19 13 DC3 (device control 3)设备控制3 0001 0100 20 14 DC4 (device control 4) 设备控制4 0001 0101 21 15 NAK (negative acknowledge)拒绝接收0001 0110 22 16 SYN (synchronous idle) 同步空闲0001 0111 23 17 ETB (end of trans。
表一:ASCII码表(完整版)ASCII 值字符ASCII 值字符:ASCII 值字符ASCII 值字符0 NUT 32(space)64 @ 96 、1SOH 33 65 A 97 a 2STX 34 66 B 98 b 3ETX 35 # 67C99 c4 EOT 36 $ 68 D 100 d5ENQ 37 % 69 E101 e 6ACK 38 & 70102 f7 BEL 39 J 71G 103 g8 BS 40 ( 72 H 104 h9HT 41 ) 73I 10510 LF 42 * 74 J 10611 VT 43 + 75K 107 k12 FF 44 J 76L 108 l13 CR 45 - 77 M 109 m14 SO 46 . 78N110 n15 SI 47 / 79 O 111 o16 DLE 48 0 80 P112 P17DCI 49 1 81 Q 113 q18 DC2 50 2 82 R 114 r19 DC3 51 3 83 X 115 s20 DC4 52 4 84 T 116 t21 NAK 53 5 85 U 117 u22 SYN 54 6 86 V 118 v23 TB 55 7 87W 119 w24CAN 56 8 88 X 120 x 25EM 57 9 89 Y121 y26 SUB 58 : 90 Z 122 z27ESC 59 ; 91 [ 123 {28 FS 60 < 92 124 |29 GS 61 = 93 ] 125 }30 RS 62 > 94 A 1261 31US 63 95 -127 DEL注:特殊控制字符所代表含义NUL空VT垂直制表SYN空转同步HT横向列表SOH标题开始FF走纸控制ETB信息组传送结束LF换行STX正文开始CR回车CAN作废GS组分隔符ETX正文结束SO移位输出EM纸尽NAK否定EOY传输结束SI移位输入SUB换置US单元分隔符ENQ询问字符DLE空格ESC换码DEL删除ACK承认BS退一格FS文字分隔符RS记录分隔符DC1设备控制1 DC2设备控制2 DC3设备控制3 DC4设备控制表二:104键盘码表(完整版)控制键字母按健 字母区数字键>键码(65 ~ 90) <==>字母(A ~ Z)健 可对照 ASCII 表 =>键码(48 ~ 57) <==>数字(0 ~ 9)健 可对照ASCII 表数字小键盘区按键常数值 健描述 常数 值健描述 vbKeyNumpad0 96 Num 0 键 vbKeyF1 112 F1键 vbKeyNumpad1 97 Num 1 键 vbKeyF2 113 F2键 vbKeyNumpad2 98Num 2 键 vbKeyF3 114 F3键 vbKeyNumpad3 99 Num 3 键 vbKeyF4 115 F4键 vbKeyNumpad4 100 Num 4 键 vbKeyF5 116F5键 vbKeyNumpad5 101 Num 5 键 vbKeyF6 117 F6键 vbKeyNumpad6 102 Num 6 键 vbKeyF7 118 F7键 vbKeyNumpad7 103 Num 7 键 vbKeyF8 119 F8键 vbKeyNumpad8 104 Num 8 键 vbKeyF9 120 F9键vbKeyNumpad9 105 Num 9 键 vbKeyF10 121F10键 vbKeyMultiply 106 (*)键 vbKeyF11 122F11键 vbKeyAdd 107 (+)键 vbKeyF12 123 F12键 vbKeySeparator 108 Enter 健 vbKeyF13 124 F13键 vbKeySubtract 109 (-)键 vbKeyF14 125 F14键 vbKeyDecimal 110 (.)键 vbKeyF15 126F15键 vbKeyDivide111(/) 键vbKeyF16常数值 健描述 常数值 健描述 vbKeyLButton 1 鼠标左键 vbKeyPageDow n 34 PageDow n 键 vbKeyRButton 2 鼠标右键 vbKeyE nd 35 End 键 vbKeyCa ncel 3 Cancel 键 vbKeyHome 36 Home 键 vbKeyMButt on 4 鼠标中键vbKeyLeft 37 左方向键 vbKeyBack 8 Backspace 健 vbKeyUp 38 上方向键 vbKeyTab 9 Tab 键 vbKeyRight 39 右方向键 vbKeyClear 12 Clear 键 vbKeyDow n 40 下方向键 vbKeyReturn 13 Enter 键 vbKeySelect 41 Select 键 vbKeyShif 16 Shift 键 vbKeyPri nt 42 Print Scree n vbKeyCo ntrol 17 Ctrl 键 vbKeyExecute 43 Execute 键 vbKeyMe nu 18 菜单键 vbKeyS napshot 44 Snap Shot 键 vbKeyPause 19 Pause 键 vbKey In ser 45 Ins 键 vbKeyC apital 20 Caps Lock 键 vbKeyDelete 46 Del 键 vbKeyEscape 27 Esc 键 vbKeyHelp 47 Help 键 vbKeySpace 32 Spacebar 键 vbKeyNumlock144Num Lock 键vbKeyPageUp33Page Up键BEL报警常数(vbKeyA ~ vbKeyZ) 常数(vbKeyO ~ vbKey9 ) F 功能健127 F16键。
ASCII码表和键盘键码表(完整珍藏版)表一:ASCII 码表(完整版)ASCII值字符ASCII值字符ASCII值字符ASCII值字符0NUT32(space)64@96、1SOH33!65A97a 2STX34”66B98b 3ETX35#67C99c4EOT36$68D100d 5ENQ37%69E101e6ACK38&70F102f7BEL39,71G103g 8BS40(72H104h 9HT41)73I105i 10LF42*74J106j 11VT43+75K107k 12FF44,76L108l 13CR45-77M109m 14SO46.78N110n 15SI47/79O111o 16DLE48080P112p 17DCI49181Q113q 18DC250282R114r 19DC351383X115s 20DC452484T116t 21NAK53585U117u 22SYN54686V118v 23TB55787W119w 24CAN56888X120x 25EM57989Y121y 26SUB58:90Z122z 27ESC59;91[123{ 28FS60<92/124| 29GS61=93]125} 30RS62>94^126~ 31US63? 95—127DEL 注:特殊控制字符所代表含义NUL 空VT 垂直制表SYN 空转同步HT 横向列表SOH 标题开始FF 走纸控制ETB 信息组传送结束LF 换行STX 正文开始CR 回车CAN 作废GS 组分隔符ETX 正文结束SO 移位输出EM 纸尽NAK 否定EOY 传输结束SI 移位输入SUB 换置US 单元分隔符ENQ 询问字符DLE 空格ESC 换码DEL 删除ACK 承认BS 退一格FS 文字分隔符RS 记录分隔符DC1 设备控制1DC2 设备控制2DC3 设备控制3DC4 设备控制4 BEL 报警表二:104键盘码表(完整版)控制键常数值健描述常数值健描述vbKeyLButton 1 鼠标左键vbKeyPageDown 34 PageDown 键vbKeyRButton 2 鼠标右键vbKeyEnd 35 End键vbKeyCancel 3 Cancel 键vbKeyHome 36Home 键vbKeyMButton 4 鼠标中键vbKeyLeft 37 左方向键vbKeyBack 8 Backspace健vbKeyUp 38 上方向键vbKeyTab 9 Tab 键vbKeyRight 39 右方向键vbKeyClear 12 Clear 键vbKeyDown 40 下方向键vbKeyReturn 13 Enter 键vbKeySelect 41 Select 键vbKeyShift 16 Shift键vbKeyPrint 42 Print Screen键vbKeyControl 17 Ctrl 键vbKeyExecute 43 Execute 键vbKeyMenu 18 菜单键vbKeySnapshot 44 Snap Shot键vbKeyPause 19 Pause 键vbKeyInser 45 Ins 键vbKeyCapital 20 Caps Lock 键vbKeyDelete 46 Del 键vbKeyEscape 27 Esc 键vbKeyHelp 47 Help 键vbKeySpace 32 Spacebar 键vbKeyNumlock 144 Num Lock 键vbKeyPageUp 33 Page Up字母按健字母区数字键常数(vbKeyA ~ vbKeyZ) <==>键码(65 ~ 90) <==>字母(A ~ Z)健可对照ASCII表常数(vbKey0 ~ vbKey9 ) <==>键码(48 ~ 57) <==>数字(0 ~ 9)健可对照ASCII表数字小键盘区按键F功能健常数值健描述常数值健描述vbKeyNumpad0 96 Num 0键vbKeyF1 112 F1键vbKeyNumpad1 97 Num 1键vbKeyF2 113 F2键vbKeyNumpad2 98 Num 2键vbKeyF3 114 F3键vbKeyNumpad3 99 Num 3键vbKeyF4 115 F4键vbKeyNumpad4 100 Num 4键vbKeyF5 116 F5键vbKeyNumpad5 101 Num 5键vbKeyF6 117 F6键vbKeyNumpad6 102 Num 6键vbKeyF7 118 F7键vbKeyNumpad7 103 Num 7键vbKeyF8 119 F8键vbKeyNumpad8 104 Num 8键vbKeyF9 120 F9键vbKeyNumpad9 105 Num 9键vbKeyF10 121 F10键vbKeyMultiply 106 (*) 键vbKeyF11 122 F11键vbKeyAdd 107 (+) 键vbKeyF12 123 F12键vbKeySeparator 108 Enter健vbKeyF13 124 F13键vbKeySubtract 109 (-) 键vbKeyF14 125 F14键vbKeyDecimal 110 (.) 键vbKeyF15 126 F15键vbKeyDivide 111 (/) 键vbKeyF16 127 F16键3、通过活动,使学生养成博览群书的好习惯。
#define VK_RBU TTON0x02 鼠标右键#define VK_CAN CEL 0x03 Contro l-Break处理#define VK_MBU TTON 0x04 /* NOT contig uouswith L & RBUTTO N */ 鼠标中间键#define VK_BAC K 0x08 Backsp ace键#define VK_TAB0x09 Tab键#define VK_CLE AR 0x0C Clear键#define VK_RET URN 0x0D Enter键#define VK_SHI FT 0x10 Shift键#define VK_CON TROL0x11 Ctrl键#define VK_MEN U 0x12 Alt键#define VK_PAU SE 0x13#define VK_CAP ITAL0x14 Caps lock键#define VK_KAN A0x15#define VK_HAN GEUL 0x15 /* old name - should be here for compat ibili ty */#define VK_HAN GUL 0x15#define VK_JUN JA0x17#define VK_FIN AL 0x18#define VK_HAN JA0x19#define VK_KAN JI 0x19#define VK_ESC APE 0x1B Escape键#define VK_CON VERT0x1C#define VK_NON CONVE RT 0x1D#define VK_ACC EPT 0x1E#define VK_MOD ECHAN GE 0x1F#define VK_SPA CE 0x20 空格键#define VK_PRI OR 0x21 Page up键#define VK_NEX T 0x22 Page down键#define VK_END0x23 End键#define VK_HOM E 0x24 Home键#define VK_LEF T 0x25 左箭头键#define VK_UP0x26 上箭头键#define VK_RIG HT 0x27 右箭头键#define VK_DOW N 0x28 下箭头键#define VK_SEL ECT 0x29 Select键#define VK_PRI NT 0x2A#define VK_SNA PSHOT 0x2C Printscreen键#define VK_INS ERT 0x2D Insert键#define VK_DEL ETE 0x2E Delete键#define VK_HEL P 0x2F Help键/* VK_0 thru VK_9 are the same as ASCII'0' thru '9' (0x30 - 0x39) */ /* VK_A thru VK_Z are the same as ASCII'A' thru 'Z' (0x41 - 0x5A) */#define VK_LWI N 0x5B#define VK_RWI N 0x5C#define VK_APP S 0x5D#define VK_NUM PAD00x60 数字小键盘上的0#define VK_NUM PAD10x61#define VK_NUM PAD20x62#define VK_NUM PAD30x63#define VK_NUM PAD40x64#define VK_NUM PAD50x65#define VK_NUM PAD60x66#define VK_NUM PAD70x67#define VK_NUM PAD80x68#define VK_NUM PAD90x69#define VK_MUL TIPLY0x6A数字小键盘上的*#define VK_ADD0x6B 数字小键盘上的+#define VK_SEP ARATO R 0x6C 分隔符键#define VK_SUB TRACT0x6D 数字小键盘上的-#define VK_DEC IMAL0x6E 数字小键盘上的.#define VK_DIV IDE 0x6F 数字小键盘上的/#define VK_F10x70#define VK_F20x71#define VK_F30x72#define VK_F40x73#define VK_F50x74#define VK_F60x75#define VK_F70x76#define VK_F80x77#define VK_F90x78#define VK_F100x79#define VK_F110x7A#define VK_F120x7B#define VK_F130x7C#define VK_F140x7D#define VK_F150x7E#define VK_F160x7F#define VK_F170x80#define VK_F180x81#define VK_F190x82#define VK_F200x83#define VK_F210x84#define VK_F220x85#define VK_F230x86#define VK_F240x87#define VK_0 ... VK_9 0x30 - 0x39 0-9键#define VK_A ... VK_Z 0x41 - 0x5A A-Z键#define VK_NUM LOCK0x90#define VK_SCR OLL 0x91 Scroll Lock/** VK_L* & VK_R* - left and rightAlt, Ctrl and Shiftvirtua l keys.* Used only as parame tersto GetAsy ncKey State() and GetKey State().* No otherAPI or messag e will distin guish left and rightkeys in this way.*/#define VK_LSH IFT 0xA0#define VK_RSH IFT 0xA1#define VK_LCO NTROL0xA2#define VK_RCO NTROL0xA3#define VK_LME NU 0xA4 左Alt键#define VK_RME NU 0xA5 右Alt键#if(WINVER >= 0x0400)#define VK_PRO CESSK EY0xE5#endif/* WINVER >= 0x0400 */#define VK_ATT N 0xF6#define VK_CRS EL 0xF7#define VK_EXS EL 0xF8#define VK_ERE OF 0xF9#define VK_PLA Y0xFA#define VK_ZOO M 0xFB#define VK_NON AME 0xFC#define VK_PA10xFD#define VK_OEM_CLEA R 0xFEVK_OEM_1 BA Used for miscel laneo us charac ters; it can vary by keyboa rd.Window s 2000/XP: For the US standa rd keyboa rd, the ';:' keyVK_OEM_PLUS BB Window s 2000/XP: For any countr y/region, the '=+' keyVK_OEM_COMM A BC Window s 2000/XP: For any countr y/region, the ',<' keyVK_OEM_MINU S BD Window s 2000/XP: For any countr y/region, the '-_' keyVK_OEM_PERI OD BE Window s 2000/XP: For any countr y/region, the '>.' keyVK_OEM_2 BF Used for miscel laneo us charac ters; it can vary by keyboa rd. Window s 2000/XP: For the US standa rd keyboa rd, the '/?' keyVK_OEM_3 C0 Used for miscel laneo us charac ters; it can vary by keyboa rd. Window s 2000/XP: For the US standa rd keyboa rd, the '`~' key- C1-D7 Reserv ed- D8-DA Unassi gnedVK_OEM_4 DB Used for miscel laneo us charac ters; it can vary by keyboa rd. Window s 2000/XP: For the US standa rd keyboa rd, the '[{' keyVK_OEM_5 DC Used for miscel laneo us charac ters; it can vary by keyboa rd. Window s 2000/XP: For the US standa rd keyboa rd, the '\|' keyVK_OEM_6 DD Used for miscel laneo us charac ters; it can vary by keyboa rd. Window s 2000/XP: For the US standa rd keyboa rd, the ']}' keyVK_OEM_7 DE Used for miscel laneo us charac ters; it can vary by keyboa rd. Window s 2000/XP: For the US standa rd keyboa rd, the '' "' key。
键盘按键对应的十六进制编码键盘按键对应的十六进制编码是一个固定的映射关系,用于表示每个按键在计算机中的唯一标识。
以下是一些常见的键盘按键及其对应的十六进制编码(也称为扫描码或虚拟键码):0x08:Backspace键(退格键)0x09:Tab键(制表键)0x0C:Clear键(数字键盘上的5,当Num Lock关闭时)0x0D:Enter键(回车键)0x10:Shift键(左或右Shift键)0x11:Ctrl键(左或右Ctrl键)0x12:Alt键(左或右Alt键)0x13:Pause键(暂停键)0x14:Caps Lock键(大写锁定键)0x1B:Esc键(逃逸键)0x20:Spacebar键(空格键)0x21:Page Up键(向上翻页键)0x22:Page Down键(向下翻页键)0x23:End键(结束键)0x24:Home键(起始键)0x25:LEFT ARROW键(左箭头键)0x26:UP ARROW键(上箭头键)0x27:RIGHT ARROW键(右箭头键)0x28:DOWN ARROW键(下箭头键)0x29:Select键(选择键)0x2A:Print键(打印键)0x2B:Execute键(执行键)0x2D:Insert键(插入键)或Num Lock关闭时的数字键盘00x2E:Delete键(删除键)或Num Lock关闭时的数字键盘.0x2F:Help键(帮助键)此外,字母、数字和特殊字符键(如A-Z、0-9、@、#等)的编码通常从0x30开始,每个键都有一个唯一的编码。
例如,0x41代表A键,0x42代表B键,依此类推。
需要注意的是,这些编码值可能会因不同的操作系统、编程语言和键盘布局而有所差异。
因此,在特定上下文中使用时,请确保查阅相关文档以获取准确的映射关系。
键盘ASCII码值对照表0x1 鼠标左键0x2 鼠标右键0x3 CANCEL 键0x4 鼠标中键0x8 BACKSPACE 键0x9 TAB 键0xC CLEAR 键0xD ENTER 键0x10 SHIFT 键0x11 CTRL 键0x12 MENU 键0x13 PAUSE 键0x14 CAPS LOCK 键0x1B ESC 键0x20 SPACEBAR 键0x21 PAGE UP 键0x22 PAGE DOWN 键0x23 END 键0x24 HOME 键0x25 LEFT ARROW 键0x26 UP ARROW 键0x27 RIGHT ARROW 键0x28 DOWN ARROW 键0x29 SELECT 键0x2A PRINT SCREEN 键0x2B EXECUTE 键0x2C SNAPSHOT 键0x2D INSERT 键0x2E DELETE 键0x2F HELP 键0x90 NUM LOCK 键====================================大小写字母的 ASCII 码相同:值描述65 A 键66 B 键67 C 键68 D 键69 E 键70 F 键71 G 键74 J 键75 K 键76 L 键77 M 键78 N 键79 O 键80 P 键81 Q 键82 R 键83 S 键84 T 键85 U 键86 V 键87 W 键88 X 键89 Y 键90 Z 键===================================0 至9 键的ASCII 码:值描述48 0 键49 1 键50 2 键51 3 键52 4 键53 5 键54 6 键55 7 键56 8 键57 9 键===================================下列常数代表数字键盘上的键:值描述0x60 0 键0x61 1 键0x62 2 键0x63 3 键0x64 4 键0x65 5 键0x66 6 键0x67 7 键0x6A MULTIPLICATION SIGN (*) 键0x6B PLUS SIGN (+) 键0x6C ENTER 键0x6D MINUS SIGN (–) 键0x6E DECIMAL POINT (.) 键0x6F DIVISION SIGN (/) 键====================================下列常数代表功能键:值描述0x70 F1 键0x71 F2 键0x72 F3 键0x73 F4 键0x74 F5 键0x75 F6 键0x76 F7 键0x77 F8 键0x78 F9 键0x79 F10 键0x7A F11 键0x7B F12 键0x7C F13 键0x7D F14 键0x7E F15 键0x7F F16 键====================================ASCII 码对照表Char Dec Oct Hex | Char Dec Oct Hex | Char Dec Oct Hex | Char Dec Oct Hex ------------------------------------------------------------------------------------- (nul) 0 0000 0x00 | (sp) 32 0040 0x20 | @ 64 0100 0x40 | ` 96 0140 0x60(soh) 1 0001 0x01 | ! 33 0041 0x21 | A 65 0101 0x41 | a 97 0141 0x61(stx) 2 0002 0x02 | " 34 0042 0x22 | B 66 0102 0x42 | b 98 0142 0x62(etx) 3 0003 0x03 | # 35 0043 0x23 | C 67 0103 0x43 | c 99 0143 0x63(eot) 4 0004 0x04 | $ 36 0044 0x24 | D 68 0104 0x44 | d 100 0144 0x64(enq) 5 0005 0x05 | % 37 0045 0x25 | E 69 0105 0x45 | e 101 0145 0x65(ack) 6 0006 0x06 | & 38 0046 0x26 | F 70 0106 0x46 | f 102 0146 0x66(bel) 7 0007 0x07 | ' 39 0047 0x27 | G 71 0107 0x47 | g 103 0147 0x67(bs) 8 0010 0x08 | ( 40 0050 0x28 | H 72 0110 0x48 | h 104 0150 0x68(ht) 9 0011 0x09 | ) 41 0051 0x29 | I 73 0111 0x49 | i 105 0151 0x69(nl) 10 0012 0x0a | * 42 0052 0x2a | J 74 0112 0x4a | j 106 0152 0x6a(vt) 11 0013 0x0b | + 43 0053 0x2b | K 75 0113 0x4b | k 107 0153 0x6b(np) 12 0014 0x0c | , 44 0054 0x2c | L 76 0114 0x4c | l 108 0154 0x6c(cr) 13 0015 0x0d | - 45 0055 0x2d | M 77 0115 0x4d | m 109 0155 0x6d(so) 14 0016 0x0e | . 46 0056 0x2e | N 78 0116 0x4e | n 110 0156 0x6e(si) 15 0017 0x0f | / 47 0057 0x2f | O 79 0117 0x4f | o 111 0157 0x6f(dle) 16 0020 0x10 | 0 48 0060 0x30 | P 80 0120 0x50 | p 112 0160 0x70 (dc1) 17 0021 0x11 | 1 49 0061 0x31 | Q 81 0121 0x51 | q 113 0161 0x71 (dc2) 18 0022 0x12 | 2 50 0062 0x32 | R 82 0122 0x52 | r 114 0162 0x72 (dc3) 19 0023 0x13 | 3 51 0063 0x33 | S 83 0123 0x53 | s 115 0163 0x73 (dc4) 20 0024 0x14 | 4 52 0064 0x34 | T 84 0124 0x54 | t 116 0164 0x74 (nak) 21 0025 0x15 | 5 53 0065 0x35 | U 85 0125 0x55 | u 117 0165 0x75 (syn) 22 0026 0x16 | 6 54 0066 0x36 | V 86 0126 0x56 | v 118 0166 0x76 (etb) 23 0027 0x17 | 7 55 0067 0x37 | W 87 0127 0x57 | w 119 0167 0x77 (can) 24 0030 0x18 | 8 56 0070 0x38 | X 88 0130 0x58 | x 120 0170 0x78 (em) 25 0031 0x19 | 9 57 0071 0x39 | Y 89 0131 0x59 | y 121 0171 0x79(sub) 26 0032 0x1a | : 58 0072 0x3a | Z 90 0132 0x5a | z 122 0172 0x7a(esc) 27 0033 0x1b | ; 59 0073 0x3b | [ 91 0133 0x5b | { 123 0173 0x7b(fs) 28 0034 0x1c | < 60 0074 0x3c | \ 92 0134 0x5c | | 124 0174 0x7c(gs) 29 0035 0x1d | = 61 0075 0x3d | ] 93 0135 0x5d | } 125 0175 0x7d(rs) 30 0036 0x1e | > 62 0076 0x3e | ^ 94 0136 0x5e | ~ 126 0176 0x7e(us) 31 0037 0x1f | ? 63 0077 0x3f | _ 95 0137 0x5f | (del) 127 0177 0x7f====================================常数值描述vbKeyLButton 1 鼠标左键vbKeyRButton 2 鼠标右键vbKeyCancel 3 CANCELvbKeyMButton 4 鼠标中键vbKeyBack 8 BACKSPACEvbKeyTab 9 TABvbKeyClear 12 CLEARvbKeyReturn 13 ENTERvbKeyShift 16 SHIFTvbKeyControl 17 CTRLvbKeyMenu 18 菜单键vbKeyPause 19 PAUSEvbKeyCapital 20 CAPS LOCKvbKeyEscape 27 ESCvbKeySpace 32 SPACEBARvbKeyPageUp 33 PAGEUPvbKeyPageDown 34 PAGEDOWNvbKeyEnd 35 ENDvbKeyHome 36 HOMEvbKeyLeft 37 LEFT ARROWvbKeyUp 38 UP ARROW vbKeyRight 39 RIGHT ARROW vbKeyDown 40 DOWN ARROW vbKeySelect 41 SELECT vbKeyPrint 42 PRINT SCREEN vbKeyExecute 43 EXECUTE vbKeySnapshot 44 SNAP SHOT vbKeyInser 45 INSvbKeyDelete 46 DELvbKeyHelp 47 HELP vbKeyNumlock 144 NUM LOCKvbKeyA 65 AvbKeyB 66 BvbKeyC 67 CvbKeyD 68 DvbKeyE 69 EvbKeyF 70 FvbKeyG 71 GvbKeyH 72 HvbKeyI 73 IvbKeyJ 74 JvbKeyK 75 KvbKeyL 76 LvbKeyM 77 MvbKeyN 78 NvbKeyO 79 OvbKeyP 80 PvbKeyQ 81 QvbKeyR 82 RvbKeyS 83 SvbKeyT 84 TvbKeyU 85 UvbKeyV 86 VvbKeyW 87 WvbKeyX 88 XvbKeyY 89 YvbKeyZ 90 ZvbKey0 48 0vbKey1 49 1vbKey2 50 2vbKey3 51 3vbKey4 52 4vbKey5 53 5vbKey6 54 6vbKey7 55 7vbKey8 56 8vbKey9 57 9数字小键盘上的键vbKeyNumpad0 96 0vbKeyNumpad1 97 1vbKeyNumpad2 98 2vbKeyNumpad3 99 3vbKeyNumpad4 100 4vbKeyNumpad5 101 5vbKeyNumpad6 102 6vbKeyNumpad7 103 7vbKeyNumpad8 104 8vbKeyNumpad9 105 9vbKeyMultiply 106 乘号(*)vbKeyAdd 107 加号(+) vbKeySeparator 108 ENTER(在数字小键盘上)vbKeySubtract 109 减号(-)vbKeyDecimal 110 小数点(.)vbKeyDivide 111 除号(/)功能键vbKeyF1 112 F1vbKeyF2 113 F2vbKeyF3 114 F3vbKeyF4 115 F4vbKeyF5 116 F5vbKeyF6 117 F6vbKeyF7 118 F7vbKeyF8 119 F8vbKeyF9 120 F9vbKeyF10 121 F10vbKeyF11 122 F11vbKeyF12 123 F12vbKeyF13 124 F13vbKeyF14 125 F14vbKeyF15 126 F15vbKeyF16 127 F16。
OCT(八进制)最全ASCII码对应表—与键盘按键对应值(二进)Bin (十进)Dec (十六进)Hex 缩写/字符解释0000 0000 0 00 NUL (null) 空字符0000 0001 1 01 SOH (start of handing) 标题开始0000 0010 2 02 STX (start of text) 正文开始0000 0011 3 03 ETX (end of text) 正文结束0000 0100 4 04 EOT (end of transmission) 传输结束0000 0101 5 05 ENQ (enquiry) 请求0000 0110 6 06 ACK (acknowledge) 收到通知0000 0111 7 07 BEL (bell) 响铃0000 1000 8 08 BS (backspace) 退格0000 1001 9 09 HT (horizontal tab) 水平制表符0000 1010 10 0A LF (NL line feed, new line) 换行键0000 1011 11 0B VT (vertical tab) 垂直制表符0000 1100 12 0C FF (NP form feed, new page) 换页键0000 1101 13 0D CR (carriage return) 回车键0000 1110 14 0E SO (shift out) 不用切换0000 1111 15 0F SI (shift in) 启用切换0001 0000 16 10 DLE (data link escape) 数据链路转义0001 0001 17 11 DC1 (device control 1) 设备控制1 0001 0010 18 12 DC2 (device control 2) 设备控制20001 0011 19 13 DC3 (device control 3) 设备控制3 0001 0100 20 14 DC4 (device control 4) 设备控制4 0001 0101 21 15 NAK (negative acknowledge) 拒绝接收0001 0110 22 16 SYN (synchronous idle) 同步空闲0001 0111 23 17 ETB (end of trans. block) 传输块结束0001 1000 24 18 CAN (cancel) 取消0001 1001 25 19 EM (end of medium) 介质中断0001 1010 26 1A SUB (substitute) 替补0001 1011 27 1B ESC (escape) 溢出0001 1100 28 1C FS (file separator) 文件分割符0001 1101 29 1D GS (group separator) 分组符0001 1110 30 1E RS (record separator) 记录分离符0001 1111 31 1F US (unit separator) 单元分隔符0010 0000 32 20 空格0010 0001 33 21 !0010 0010 34 22 "0010 0011 35 23 #0010 0100 36 24 $0010 0101 37 25 %0010 0110 38 26 &0010 0111 39 27 '0010 1000 40 28 (0010 1010 42 2A * 0010 1011 43 2B + 0010 1100 44 2C , 0010 1101 45 2D - 0010 1110 46 2E . 0010 1111 47 2F / 0011 0000 48 30 0 0011 0001 49 31 1 0011 0010 50 32 2 0011 0011 51 33 3 0011 0100 52 34 4 0011 0101 53 35 5 0011 0110 54 36 6 0011 0111 55 37 7 0011 1000 56 38 8 0011 1001 57 39 9 0011 1010 58 3A : 0011 1011 59 3B ; 0011 1100 60 3C < 0011 1101 61 3D = 0011 1110 62 3E >0100 0000 64 40 @0100 0001 65 41 A 0100 0010 66 42 B 0100 0011 67 43 C 0100 0100 68 44 D 0100 0101 69 45 E 0100 0110 70 46 F 0100 0111 71 47 G 0100 1000 72 48 H 0100 1001 73 49 I 0100 1010 74 4A J 0100 1011 75 4B K 0100 1100 76 4C L 0100 1101 77 4D M 0100 1110 78 4E N 0100 1111 79 4F O 0101 0000 80 50 P 0101 0001 81 51 Q 0101 0010 82 52 R 0101 0011 83 53 S0101 0101 85 55 U 0101 0110 86 56 V 0101 0111 87 57 W 0101 1000 88 58 X 0101 1001 89 59 Y 0101 1010 90 5A Z 0101 1011 91 5B [ 0101 1100 92 5C \ 0101 1101 93 5D ] 0101 1110 94 5E ^ 0101 1111 95 5F _ 0110 0000 96 60 ` 0110 0001 97 61 a 0110 0010 98 62 b 0110 0011 99 63 c 0110 0100 100 64 d 0110 0101 101 65 e 0110 0110 102 66 f 0110 0111 103 67 g 0110 1000 104 68 h 0110 1001 105 69 i0110 1011 107 6B k0110 1100 108 6C l0110 1101 109 6D m0110 1110 110 6E n0110 1111 111 6F o0111 0000 112 70 p0111 0001 113 71 q0111 0010 114 72 r0111 0011 115 73 s0111 0100 116 74 t0111 0101 117 75 u0111 0110 118 76 v0111 0111 119 77 w0111 1000 120 78 x0111 1001 121 79 y0111 1010 122 7A z0111 1011 123 7B {0111 1100 124 7C |0111 1101 125 7D }0111 1110 126 7E ~0111 1111 127 7F DEL (delete) 删除键盘常用ASCII码(十进制表示值)ESC键VK_ESCAPE (27)回车键:VK_RETURN (13)TAB键:VK_TAB (9)Caps Lock键:VK_CAPITAL (20)Shift键:VK_SHIFT (16)Ctrl键:VK_CONTROL (17)Alt键:VK_MENU (18)空格键:VK_SPACE (/32)退格键:VK_BACK (8)左徽标键:VK_LWIN (91)右徽标键:VK_LWIN (92)鼠标右键快捷键:VK_APPS (93)Insert键:VK_INSERT (45)Home键:VK_HOME (36)Page Up:VK_PRIOR (33)PageDown:VK_NEXT (34)End键:VK_END (35)Delete键:VK_DELETE (46)方向键(←):VK_LEFT (37)方向键(↑):VK_UP (38)方向键(→):VK_RIGHT (39)方向键(↓):VK_DOWN (40)F1键:VK_F1 (112)F2键:VK_F2 (113)F3键:VK_F3 (114)F4键:VK_F4 (115)F5键:VK_F5 (116)F6键:VK_F6 (117)F7键:VK_F7 (118)F8键:VK_F8 (119)F9键:VK_F9 (120)F10键:VK_F10 (121)F11键:VK_F11 (122)F12键:VK_F12 (123)Num Lock键:VK_NUMLOCK (144)小键盘0:VK_NUMPAD0 (96)小键盘1:VK_NUMPAD0 (97)小键盘2:VK_NUMPAD0 (98)小键盘3:VK_NUMPAD0 (99)小键盘4:VK_NUMPAD0 (100)小键盘5:VK_NUMPAD0 (101)小键盘6:VK_NUMPAD0 (102)小键盘7:VK_NUMPAD0 (103)小键盘8:VK_NUMPAD0 (104)小键盘9:VK_NUMPAD0 (105)小键盘.:VK_DECIMAL (110)小键盘*:VK_MULTIPLY (106)小键盘+:VK_MULTIPLY (107)小键盘-:VK_SUBTRACT (109)小键盘/:VK_DIVIDE (111)Pause Break键:VK_PAUSE (19)Scroll Lock键:VK_SCROLL (145)Bin二进Dec十进Hex十六进缩写/字符解释00000000000 NUL(null)空字符00000001101SOH(start of handling)标题开始常见ASCII码的大小规则:0~9<A~Z<a~z1)数字比字母要小。
OCT(八进制)之巴公井开创作最全ASCII码对应表—与键盘按键对应值(二进)Bin (十进)Dec (十六进)Hex 缩写/字符解释0000 0000 0 00 NUL (null)空字符0000 0001 1 01 SOH (start of handing) 题目开始0000 0010 2 02 STX (start of text) 正文开始0000 0011 3 03 ETX (end of text) 正文结束0000 0100 4 04 EOT (end of transmission) 传输结束0000 0101 5 05 ENQ (enquiry)请求0000 0110 6 06 ACK (acknowledge) 收到通知0000 0111 7 07 BEL (bell)响铃0000 1000 8 08 BS (backspace)退格0000 1001 9 09 HT (horizontal tab) 水平制表符0000 1010 10 0A LF (NL line feed, new line) 换行键0000 1011 11 0B VT (vertical tab)垂直制表符0000 1100 12 0C FF (NP form feed, new page) 换页键0000 1101 13 0D CR (carriage return) 回车键0000 1110 14 0E SO (shift out)不用切换0000 1111 15 0F SI (shift in)启用切换0001 0000 16 10 DLE (data link escape) 数据链路转义0001 0001 17 11 DC1 (device control1) 设备控制1 0001 0010 18 12 DC2 (device control2) 设备控制2 0001 0011 19 13 DC3 (device control3) 设备控制3 0001 0100 20 14 DC4 (device control4) 设备控制4 0001 0101 21 15 NAK (negative acknowledge) 拒绝接收0001 0110 22 16 SYN (synchronous idle) 同步空闲0001 0111 23 17 ETB (end of trans. block) 传输块结束0001 1000 24 18 CAN (cancel)取消0001 1001 25 19 EM (end of medium) 介质中断0001 1010 26 1A SUB (substitute)替补0001 1011 27 1B ESC (escape)溢出0001 1100 28 1C FS (file separator) 文件分割符0001 1101 29 1D GS (group separator) 分组符0001 1110 30 1E RS (record separator) 记录分离符0001 1111 31 1F US (unit separator) 单位分隔符0010 0000 32 20 空格0010 0001 33 21 !0010 0010 34 22 "0010 0011 35 23 #0010 0100 36 24 $0010 0101 37 20010 0110 38 2 6 &0010 0111 39 2 7 '0010 1000 40 2 8 (0010 1001 41 2 9 )0010 1010 42 2 A *0010 1011 43 2 B +0010 1100 44 2 C ,0010 1101 45 2 D -0010 1110 46 2 E .0010 1111 47 2 F /0011 0000 48 30011 0001 49 3 1 10011 0010 50 3 2 20011 0011 51 3 3 30011 0100 52 3 4 40011 0101 53 3 5 50011 0110 54 3 6 60011 0111 55 3 7 70011 1000 56 3 8 80011 1001 57 3 9 90011 1010 58 3 A :0011 1011 59 30011 1100 60 3 C <0011 1101 61 3 D =0011 1110 62 3 E >0011 1111 63 3 F ?0100 0000 64 4 0 @0100 0001 65 4 1 A0100 0010 66 4 2 B0100 0011 67 4 3 C0100 0100 68 4 4 D0100 0101 69 4 5 E0100 0110 70 4 6 F0100 0111 71 4 7 G0100 1000 72 4 8 H0100 1001 73 4 9 I0100 1010 74 4 A J0100 1011 75 4 B K0100 1100 76 4 C L0100 1101 77 4 D M0100 1110 78 4 E N0100 1111 79 4 F O0101 0000 80 5 0 P1 Q0101 0010 82 5 2 R0101 0011 83 5 3 S0101 0100 84 5 4 T0101 0101 85 5 5 U0101 0110 86 5 6 V0101 0111 87 5 7 W0101 1000 88 5 8 X0101 1001 89 5 9 Y0101 1010 90 5 A Z0101 1011 91 5 B [C \0101 1101 93 5 D ]0101 1110 94 5 E ^0101 1111 95 5 F _0110 0000 96 6 0 `0110 0001 97 6 1 a0110 0010 98 6 2 b0110 0011 99 6 3 c0110 0100 100 64 d0110 0101 101 65 e0110 0110 102 66 f0110 0111 103 6 7 g0110 1000 104 6 8 h0110 1001 105 6 9 i0110 1010 106 6 A j0110 1011 107 6 B k0110 1100 108 6 C l0110 1101 109 6 D m0110 1110 110 6 E n0110 1111 111 6 F o0111 0000 112 7 0 p0111 0001 113 7 1 q2 r0111 0011 115 7 3 s0111 0100 116 7 4 t0111 0101 117 7 5 u0111 0110 118 7 6 v0111 0111 119 7 7 w0111 1000 120 7 8 x0111 1001 121 7 9 y0111 1010 122 7 A z0111 1011 123 7 B {0111 1100 124 7 C |D }0111 1110 126 7E ~0111 1111 127 7F DEL (delete)删除键盘经常使用ASCII码(十进制暗示值)ESC键 VK_ESCAPE (27) 回车键: VK_RETURN (13) TAB键: VK_TAB (9)Caps Lock键: VK_CAPITAL (20)Shift键: VK_SHIFT (16) Ctrl键: VK_CONTROL (17) Alt键: VK_MENU (18) 空格键: VK_SPACE (/32)退格键: VK_BACK (8)左徽标键: VK_LWIN (91)右徽标键: VK_LWIN (92)鼠标右键快捷键:VK_APPS (93)Insert键: VK_INSERT (45) Home键: VK_HOME (36)Page Up: VK_PRIOR (33) PageDown: VK_NEXT (34)End键: VK_END (35) Delete键: VK_DELETE (46)方向键(←): VK_LEFT (37)方向键(↑): VK_UP (38)方向键(→): VK_RIGHT (39)方向键(↓): VK_DOWN (40)F1键: VK_F1 (112) F2键: VK_F2 (113) F3键: VK_F3 (114) F4键: VK_F4 (115) F5键: VK_F5 (116) F6键: VK_F6 (117) F7键: VK_F7 (118) F8键: VK_F8 (119) F9键: VK_F9 (120) F10键: VK_F10 (121)F11键: VK_F11 (122)F12键: VK_F12 (123) Num Lock键: VK_NUMLOCK (144)小键盘0: VK_NUMPAD0 (96)小键盘1: VK_NUMPAD0 (97) 小键盘2: VK_NUMPAD0 (98) 小键盘3: VK_NUMPAD0 (99) 小键盘4: VK_NUMPAD0 (100)小键盘5: VK_NUMPAD0 (101)小键盘6: VK_NUMPAD0 (102) 小键盘7: VK_NUMPAD0 (103) 小键盘8: VK_NUMPAD0 (104) 小键盘9: VK_NUMPAD0 (105)小键盘.: VK_DECIMAL (110) 小键盘*: VK_MULTIPLY (106) 小键盘+: VK_MULTIPLY (107) 小键盘-: VK_SUBTRACT (109)小键盘/: VK_DIVIDE (111) Pause Break键: VK_PAUSE (19)Scroll Lock键: VK_SCROLL (145)罕见ASCII码的年夜小规则:0~9<A~Z<a~z1)数字比字母要小.如“7”<“F”;2)数字0比数字9要小,并按0到9顺序递增.如“3”<“8” ;3)字母A比字母Z要小,并按A到Z顺序递增.如“A”<“Z” ;4)同个字母的年夜写字母比小写字母要小32.如“A”<“a” .记住几个罕见字母的ASCII码年夜小:“A”为65;“a”为97;“0”为 48.另外还有128-255的ASCII字符[编纂本段]字符集简史6000年前象形文字3000年前字母表1838年到1854年 Samuel F. B. Morse发明了电报,字母表中的每个字符对应于一系列短的和长的脉冲1821年到1824年 Louis Braille发明盲文,6位代码,它把字符、经常使用字母组合、经常使用单字和标点进行编码.一个特殊的escape代码暗示后续的字符代码应解释为年夜写.一个特殊的shift代码允许后续代码被解释为数字.1931年 CCITT标准化Telex代码,包括Baudot #2的代码,都是包括字符和数字的5位代码.1890年早期计算机的字符码是从Hollerith卡片,6位字符码系统BCDIC(Binary-Coded Decimal Interchange Code:二进制编码十进制交换编码)60年代扩展为8位EBCDIC,IBM年夜型主机的标准1967年美国信息交换标准码(ASCII:American Standard Code for Information Interchange)在字符长度是6位、7位还是8位的问题上发生了很年夜的争议.从可靠性的观点来看不应使用替换字符,因此ASCII不能是6位编码,但由于费用的原因也排除8位版本的方案(那时每位的贮存空间本钱仍很昂贵).这样,最终的字符码就有26个小写字母、26个年夜写字母、10个数字、32个符号、33个句柄和一个空格,总共128个字符码.ASCII现在记录在ANSI X3.4-1986字符集-用于信息交换的7位美国国家标准码(7-Bit ASCII:7-Bit American National Standard Code for Information Interchange),由美国国家标准协会(American National Standards Institute)发布.图2-1中所示的ASCII字符码与ANSI文件中的格式相似. [编纂本段]ASCII国际问题ASCII是美国标准,所以它不能良好满足其它讲英语国家的需要.例如英国的英镑符号(£)在哪里?拉丁语字母表重音符号使用斯拉夫字母表的希腊语、希伯来语、阿拉伯语和俄语.汉字系统的中国象形汉字,日本和朝鲜.1967年,国际标准化组织(ISO:International Standards Organization)推荐一个ASCII的变种,代码0x40、0x5B、0x5C、0x5D、0x7B、0x7C和0x7D“为国家使用保管”,而代码0x5E、0x60和0x7E标为“当国内要求的特殊字符需要8、9或10个空间位置时,可用于其它图形符号”.这显然不是一个最佳的国际解决方案,因为这其实不能保证一致性.但这却显示了人们如何想尽法子为分歧的语言来编码的.[编纂本段]扩展ASCII1981年 IBM PC ROM256个字符的字符集,即IBM扩展字符集1985年11 Windows字符集被称作“ANSI字符集”,遵循了A NSI草案和ISO标准(ANSI/ISO 8859-1-1987,简“Latin 1”.ANSI字符集的最第一版本:1987年4月代码页437,字符的映像代码,呈现在MS-DOS 3.3[编纂本段]双字节字符集双字节字符集(DBCS:double-byte character set),解决中国、日本和韩国的象形文字符和ASCII的某种兼容性.DBCS从256代码开始,就像ASCII一样.与任何行为良好的代码页一样,最初的128个代码是ASCII.然而,较高的128个代码中的某些总是跟随着第二个字节.这两个字节一起(称作首字节和跟随字节)界说一个字符,通常是一个复杂的象形文字.[编纂本段]键盘经常使用ASCII码ESC键 VK_ESCAPE (27)回车键: VK_RETURN (13)TAB键: VK_TAB (9)Caps Lock键: VK_CAPITAL (20)Shift键: VK_SHIFT (16)Ctrl键: VK_CONTROL (17)Alt键: VK_MENU (18)空格键: VK_SPACE (32)退格键: VK_BACK (8)左徽标键: VK_LWIN (91)右徽标键: VK_LWIN (92)鼠标右键快捷键:VK_APPS (93) Insert键: VK_INSERT (45) Home键: VK_HOME (36)Page Up: VK_PRIOR (33) PageDown: VK_NEXT (34)End键: VK_END (35)Delete键: VK_DELETE (46)方向键(←): VK_LEFT (37)方向键(↑): VK_UP (38)方向键(→): VK_RIGHT (39)方向键(↓): VK_DOWN (40)F1键: VK_F1 (112)F2键: VK_F2 (113)F3键: VK_F3 (114)F4键: VK_F4 (115)F5键: VK_F5 (116)F6键: VK_F6 (117)F7键: VK_F7 (118)F8键: VK_F8 (119)F9键: VK_F9 (120)F10键: VK_F10 (121)F11键: VK_F11 (122)F12键: VK_F12 (123)Num Lock键: VK_NUMLOCK (144)小键盘0: VK_NUMPAD0 (48)小键盘1: VK_NUMPAD0 (49)小键盘2: VK_NUMPAD0 (50)小键盘3: VK_NUMPAD0 (51)小键盘4: VK_NUMPAD0 (52)小键盘5: VK_NUMPAD0 (53)小键盘6: VK_NUMPAD0 (54)小键盘7: VK_NUMPAD0 (55)小键盘8: VK_NUMPAD0 (56)小键盘9: VK_NUMPAD0 (57)小键盘.: VK_DECIMAL (46)小键盘*: VK_MULTIPLY (42)小键盘+: VK_ADD (43)小键盘-: VK_SUBTRACT (45)小键盘/: VK_DIVIDE (47)Pause Break键: VK_PAUSE (19)Scroll Lock键: VK_SCROLL (145) [编纂本段]ASCII码的算法:A在ascii中界说为01000001,也就是十进制65,有了这个标准后,当我们输入A时,计算机就可以通过ascii码知道输入的字符的二进制编码是01000001.而没有这样的标准,我们就必需自己想法子告诉计算机我们输入了一个A;没有这样的标准,我们在另外机器上就需要重新编码以告诉计算机我们要输入A.ascii码指的不是十进制,是二进制.只是用十进制暗示习惯一点而已,比如在ascii码中,A的二进制编码为01000001,如果用十进制暗示是65,用十六进制暗示就是41H.在ascii码表中,只包括了一些字符、数字、标点符号的信息暗示,这主要是因为计算机是美国发明的,在英文下面,我们使用a scii暗示就足够了!可是在汉字输入下面,用ascii码就不能暗示了,而汉字只是中国的通用暗示,所以如果我们要在计算机中输入汉字,就必需有一个像ascii码的标准来暗示每一个汉字,这就是中国的汉字国标码,它界说了汉字在计算机中的一个暗示标准.通过这个标准,但我们输入汉字的时候,我们的输入码就转换为区位码,通过唯一的区位码获得这个汉字的字形码并显示出来.固然汉字的区位码在计算机中也是用二进制暗示的!二进制数转换为十进制数二进制数第0位的权值是2的0次方,第1位的权值是2的1次方……所以,设有一个二进制数:0110 0100,转换为10进制为:下面是竖式:0110 0100 换算成十进制第0位 0 * 2^0 = 0第1位 0 * 2^1 = 0第2位 1 * 2^2 = 4第3位 0 * 2^3 = 0第4位 0 * 2^4 = 0第5位 1 * 2^5 = 32第6位 1 * 2^6 = 64第7位 0 * 2^7 = 0---------------------------100用横式计算为:0 * 2^0 + 0 * 2^1 + 1 * 2^2 +0*2^3+ 0 * 2^4 + 1 * 2^5 + 1 * 2^6 + 0 * 2^7 = 1000乘以几多都是0,所以我们也可以直接跳过值为0的位:1 * 2^2 + 1 * 2^5 + 1 * 2^6 = 1006.2.2 八进制数转换为十进制数八进制就是逢8进1.八进制数采纳 0~7这八数来表达一个数.八进制数第0位的权值为8的0次方,第1位权值为8的1次方,第2位权值为8的2次方……所以,设有一个八进制数:1507,转换为十进制为:用竖式暗示:1507换算成十进制.第0位 7 * 8^0 = 7第1位 0 * 8^1 = 0第2位 5 * 8^2 = 320第3位 1 * 8^3 = 512--------------------------839同样,我们也可以用横式直接计算:7 * 8^0 + 0 * 8^1 + 5 * 8^2 + 1 * 8^3 = 839结果是,八进制数 1507 转换成十进制数为 8396.2.3 八进制数的表达方法C,C++语言中,如何表达一个八进制数呢?如果这个数是 876,我们可以判定它不是八进制数,因为八进制数中不成能出7以上的阿拉伯数字.但如果这个数是123、是567,或12345670,那么它是八进制数还是10进制数,都有可能.所以,C,C++规定,一个数如果要指明它采纳八进制,必需在它前面加上一个0,如:123是十进制,但0123则暗示采纳八进制.这就是八进制数在C、C++中的表达方法.由于C和C++都没有提供二进制数的表达方法,所以,这里所学的八进制是我们学习的,CtC++语言的数值表达的第二种进制法.现在,对同样一个数,比如是100,我们在代码中可以用平常的10进制表达,例如在变量初始化时:int a = 100;我们也可以这样写:int a = 0144; //0144是八进制的100;一个10进制数如何转成8进制,我们后面会学到.千万记住,用八进制表达时,你不能少了最前的那个0.否则计算机会通通当做10进制.不外,有一个处所使用八进制数时,却不能使用加0,那就是我们前面学的用于表达字符的“转义符”表达法.6.2.4 八进制数在转义符中的使用我们学过用一个转义符'\'加上一个特殊字母来暗示某个字符的方法,如:'\n'暗示换行(line),而'\t'暗示Tab字符,'\''则暗示单引号.今天我们又学习了一种使用转义符的方法:转义符'\'后面接一个八进制数,用于暗示ASCII码即是该值的字符.比如,查一下第5章中的ASCII码表,我们找到问号字符(?)的ASCII值是63,那么我们可以把它转换为八进值:77,然后用 ' \77'来暗示'?'.由于是八进制,所以本应写成 '\077',但因为C,C ++规定不允许使用斜杠加10进制数来暗示字符,所以这里的0可以不写.事实上我们很少在实际编程中非要用转义符加八进制数来暗示一个字符,所以,6.2.4小节的内容,年夜家仅仅了解就行.6.2.5 十六进制数转换成十进制数2进制,用两个阿拉伯数字:0、1;8进制,用八个阿拉伯数字:0、1、2、3、4、5、6、7;10进制,用十个阿拉伯数字:0到9;16进制,用十六个阿拉伯数字……等等,阿拉伯人或说是印度人,只发明了10个数字啊?16进制就是逢16进1,但我们只有0~9这十个数字,所以我们用A,B,C,D,E,F这五个字母来分别暗示10,11,12,13,14,15.字母不区分年夜小写.十六进制数的第0位的权值为16的0次方,第1位的权值为16的1次方,第2位的权值为16的2次方……所以,在第N(N从0开始)位上,如果是是数 X (X 年夜于即是0,而且X小于即是 15,即:F)暗示的年夜小为 X * 16的N 次方.假设有一个十六进数 2AF5, 那么如何换算成10进制呢?用竖式计算:2AF5换算成10进制:第0位: 5 * 16^0 = 5第1位: F * 16^1 = 240第2位: A * 16^2 = 2560第3位: 2 * 16^3 = 8192---------------------------------10997直接计算就是:5 * 16^0 + F * 16^1 + A * 16^2 + 2 * 16^3 = 10997(别忘了,在上面的计算中,A暗示10,而F暗示15)现在可以看出,所有进制换算成10进制,关键在于各自的权值分歧.假设有人问你,十进数 1234 为什么是一千二百三十四?你尽可以给他这么一个算式:1234 = 1 * 10^3 + 2 * 10^2 + 3 * 10^1 + 4 * 10^06.2.6 十六进制数的表达方法如果不使用特殊的书写形式,16进制数也会和10进制相混.随便一个数:9876,就看不出它是16进制或10进制.C,C++规定,16进制数必需以 0x开头.比如 0x1暗示一个16进制数.而1则暗示一个十进制.另外如:0xff,0xFF,0X102A,等等.其中的x也也不区分年夜小写.(注意:0x中的0是数字0,而不是字母O)以下是一些用法示例:int a = 0x100F;int b = 0x70 + a;至此,我们学完了所有进制:10进制,8进制,16进制数的表达方式.最后一点很重要,C/C++中,10进制数有正负之分,比如12暗示正12,而-12暗示负12,;但8进制和16进制只能用达无符号的正整数,如果你在代码中里:-078,或者写:-0xF2,C,C++其实不把它当做一个负数.6.2.7 十六进制数在转义符中的使用转义符也可以接一个16进制数来暗示一个字符.如在6.2.4小节中说的 '?' 字符,可以有以下表达方式:'?' //直接输入字符'\77' //用八进制,此时可以省略开头的0'\0x3F' //用十六进制同样,这一小节只用于了解.除空字符用八进制数 '\0' 暗示以外,我们很少用后两种方法暗示一个字符.6.3 十进制数转换到二、八、十六进制数6.3.1 10进制数转换为2进制数给你一个十进制,比如:6,如果将它转换成二进制数呢?10进制数转换成二进制数,这是一个连续除2的过程:把要转换的数,除以2,获得商和余数,将商继续除以2,直到商为0.最后将所有余数倒序排列,获得数就是转换结果.听起来有些糊涂?我们结合例子来说明.比如要转换6为二进制数.“把要转换的数,除以2,获得商和余数”.那么:要转换的数是6, 6 ÷ 2,获得商是3,余数是0. (不要告诉我你不会计算6÷3!)“将商继续除以2,直到商为0……”现在商是3,还不是0,所以继续除以2.那就:3 ÷ 2, 获得商是1,余数是1.“将商继续除以2,直到商为0……”现在商是1,还不是0,所以继续除以2.那就:1 ÷ 2, 获得商是0,余数是1 (拿笔纸算一下,1÷2是不是商0余1!)“将商继续除以2,直到商为0……最后将所有余数倒序排列”好极!现在商已经是0.我们三次计算依次获得余数分别是:0、1、1,将所有余数倒序排列,那就是:110了!6转换成二进制,结果是110.把上面的一段改成用表格来暗示,则为:被除数计算过程商余数6 6/2 3 03 3/2 1 11 1/2 0 1(在计算机中,÷用 / 来暗示)如果是在考试时,我们要画这样表还是有点费时间,所更罕见的换算过程是使用下图的连除:(图:1)请年夜家对比图,表,及文字说明,而且自已拿笔计算一遍如何将6转换为二进制数.说了半天,我们的转换结果对吗?二进制数110是6吗?你已经学会如何将二进制数转换成10进制数了,所以请现在就计算一下110换成10进制是否就是6.6.3.2 10进制数转换为8、16进制数非常开心,10进制数转换成8进制的方法,和转换为2进制的方法类似,惟一变动:除数由2酿成8.来看一个例子,如何将十进制数120转换成八进制数.用表格暗示:被除数计算过程商余数120 120/8 15 015 15/8 1 71 1/8 0 1120转换为8进制,结果为:170.非常非常开心,10进制数转换成16进制的方法,和转换为2进制的方法类似,惟一变动:除数由2酿成16.同样是120,转换成16进制则为:被除数计算过程商余数120 120/16 7 87 7/16 0 7120转换为16进制,结果为:78.请拿笔纸,采纳(图:1)的形式,演算上面两个表的过程.6.4 二、十六进制数互相转换二进制和十六进制的互相转换比力重要.不外这二者的转换却不用计算,每个C,C++法式员都能做到看见二进制数,直接就能转换为十六进制数,反之亦然.我们也一样,只要学完这一小节,就能做到.首先我们来看一个二进制数:1111,它是几多呢?你可能还要这样计算:1 * 20 + 1 * 21 + 1 * 22 + 1 * 23 = 1 * 1 + 1 * 2 + 1 * 4 + 1 * 8 = 15.然而,由于1111才4位,所以我们必需直接记住它每一位的权值,而且是从高位往低位记,:8、4、2、1.即,最高位的权值为23= 8,然后依次是 22 = 4,21=2, 20 = 1.记住8421,对任意一个4位的二进制数,我们都可以很快算出它对应的10进制值.下面列出四位二进制数 xxxx 所有可能的值(中间略过部份)仅4位的2进制数快速计算方法十进制值十六进值1111 = 8 + 4 + 2 + 1 = 15 F1110 = 8 + 4 + 2 + 0 = 14 E1101 = 8 + 4 + 0 + 1 = 13 D1100 = 8 + 4 + 0 + 0 = 12 C1011 = 8 + 4 + 0 + 1 = 11 B1010 = 8 + 0 + 2 + 0 = 10 A1001 = 8 + 0 + 0 + 1 = 10 9....0001 = 0 + 0 + 0 + 1 = 1 10000 = 0 + 0 + 0 + 0 = 0 0二进制数要转换为十六进制,就是以4位一段,分别转换为十六进制.如(上行为二制数,下面为对应的十六进制):1111 1101 , 1010 0101 , 1001 1011F D , A 5 , 9 B反过来,当我们看到 FD时,如何迅速将它转换为二进制数呢?先转换F:看到F,我们需知道它是15(可能你还不熟悉A~F这五个数),然后15如何用8421凑呢?应该是8 + 4 + 2 + 1,所以四位全为1 :1111.接着转换 D:看到D,知道它是13,13如何用8421凑呢?应该是:8 + 4 + 1,即:1101.所以,FD转换为二进制数,为: 1111 1101由于十六进制转换成二进制相当直接,所以,我们需要将一个十进制数转换成2进制数时,也可以先转换成16进制,然后再转换成2进制.比如,十进制数 1234转换成二制数,如果要一直除以2,直接获得2进制数,需要计算较屡次数.所以我们可以先除以16,获得1 6进制数:被除数计算过程商余数1234 1234/16 77 277 77/16 4 13 (D)4 4/16 0 4结果16进制为: 0x4D2然后我们可直接写出0x4D2的二进制形式: 0100 1101 0010.其中对映关系为:0100 -- 41101 -- D0010 -- 2同样,如果一个二进制数很长,我们需要将它转换成10进制数时,除前面学过的方法是,我们还可以先将这个二进制转换成16进制,然后再转换为10进制.下面举例一个int类型的二进制数:01101101 11100101 10101111 00011011我们按四位一组转换为16进制: 6D E5 AF 1B。
键盘键与虚拟键码对照表字母和数字键数字小键盘的键功能键其它键键键码键键码键键码键键码A650 96 F1 112 Backspace 8B661 97 F2 113Tab 9C67 2 98 F3 114Clear 12D683 99 F4 115Enter 13E69 4 100F5 116Shift16F70 5 101F6 117Control 17G71 6 102F7 118 Alt 18H72 7 103F8 119 Caps Lock 20I73 8 104F9 120Esc 27J74 9 105F10121Spacebar32K75 * 106F11122 Page Up33L76 + 107F12123 Page Down 34M77 Enter 108-- --End 35 N78 - 109-- -- Home36O79 . 110-- -- Left Arrow37 P80 / 111-- -- Up Arrow38Q81 -- ---- -- Right Arrow 39 R82 -- ---- -- Down Arrow 40 S83 -- ---- -- Insert 45 T84 -- ---- -- Delete 46 U85 -- ---- -- Help 47 V86 -- ---- -- Num Lock 144 W87X88Y89Z900481492503514525536547558569570x1 鼠标左键0x2 鼠标右键0x3 CANCEL 键0x4 鼠标中键0x8 BACKSPACE 键0x9 TAB 键0xC CLEAR 键0xD ENTER 键0x10 SHIFT 键0x11 CTRL 键0x12 MENU 键0x13 PAUSE 键0x14 CAPS LOCK 键0x1B ESC 键0x20 SPACEBAR 键0x21 PAGE UP 键0x22 PAGE DOWN 键0x23 END 键0x24 HOME 键0x25 LEFT ARROW 键0x26 UP ARROW 键0x27 RIGHT ARROW 键0x28 DOWN ARROW 键0x29 Select 键0x2A PRINT SCREEN 键0x2B EXECUTE 键0x2C SNAPSHOT 键0x2D Insert 键0x2E Delete 键0x2F HELP 键0x90 NUM LOCK 键A 至 Z 键与 A – Z 字母的 ASCII 码相同:值描述65 A 键66 B 键67 C 键68 D 键69 E 键70 F 键71 G 键72 H 键73 I 键74 J 键75 K 键76 L 键77 M 键78 N 键79 O 键80 P 键81 Q 键82 R 键83 S 键84 T 键85 U 键86 V 键87 W 键88 X 键89 Y 键90 Z 键0 至 9 键与数字 0 – 9 的 ASCII 码相同:48 0 键49 1 键50 2 键51 3 键52 4 键53 5 键54 6 键55 7 键56 8 键57 9 键下列常数代表数字键盘上的键:值描述0x60 0 键0x61 1 键0x62 2 键0x63 3 键0x64 4 键0x65 5 键0x66 6 键0x67 7 键0x68 8 键0x69 9 键0x6A MULTIPLICATION SIGN (*) 键0x6B PLUS SIGN (+) 键0x6C ENTER 键0x6D MINUS SIGN (–) 键0x6E DECIMAL POINT (.) 键0x6F DIVISION SIGN (/) 键下列常数代表功能键:0x70 F1 键0x71 F2 键0x72 F3 键0x73 F4 键0x74 F5 键0x75 F6 键0x76 F7 键0x77 F8 键0x78 F9 键0x79 F10 键0x7A F11 键0x7B F12 键0x7C F13 键0x7D F14 键0x7E F15 键0x7F F16 键0 None3 Cancel(Break)8 Back9 Tab13 Return16 ShiftKey17 ControlKey18 Menu19 Pause20 Capital(大小写)27 Escape32 Space33 PageUp34 Next(PageDonw)35 End36 Home37 Left38 Up39 Right40 Down0-9 48-5745 Insert46 Delete65->90 A->Z91 LWin93 Apps96 105 NumPad0- 106 Multiply * 107 Add+108109 Subtract-110 Decimal .111 Divide /112-123 F1-F12144 NumLock145 Scroll173 VolumeMute174 VolumeDown175 VolumeUp186 Oem1 ;187 Oemplus =188 Oemcomma ,189 OemMinus -190 OemPeriod .191 OemQuestion / 192 Oemtilde `219 OemOpenBrackets [ 220 Oem5 \221 Oem6 ]222 Oem7 '。
键盘各键对应的ASCII码值(包括鼠标和键盘所有的键)ESC键 VK_ESCAPE (27)回车键: VK_RETURN (13)TAB键: VK_TAB (9)Caps Lock键: VK_CAPITAL (20)Shift键: VK_SHIFT ($10)Ctrl键: VK_CONTROL (17)Alt键: VK_MENU (18)空格键: VK_SPACE ($20/32)退格键: VK_BACK (8)左徽标键: VK_LWIN (91)右徽标键: VK_LWIN (92)鼠标右键快捷键:VK_APPS (93)------------------------------------Insert键: VK_INSERT (45)Home键: VK_HOME (36)Page Up: VK_PRIOR (33)PageDown: VK_NEXT (34)End键: VK_END (35)Delete键: VK_DELETE (46)方向键(←): VK_LEFT (37)方向键(↑): VK_UP (38)方向键(→): VK_RIGHT (39)方向键(↓): VK_DOWN (40)-----------------------------------F1键: VK_F1 (112)F2键: VK_F2 (113)F3键: VK_F3 (114)F4键: VK_F4 (115)F5键: VK_F5 (116)F6键: VK_F6 (117)F7键: VK_F7 (118)F8键: VK_F8 (119)F9键: VK_F9 (120)F10键: VK_F10 (121)F11键: VK_F11 (122)F12键: VK_F12 (123)---------------------------------Num Lock键: VK_NUMLOCK (144) 小键盘0: VK_NUMPAD0 (96)小键盘1: VK_NUMPAD0 (97)小键盘2: VK_NUMPAD0 (98)小键盘3: VK_NUMPAD0 (99)小键盘4: VK_NUMPAD0 (100)小键盘5: VK_NUMPAD0 (101)小键盘6: VK_NUMPAD0 (102)小键盘7: VK_NUMPAD0 (103)小键盘8: VK_NUMPAD0 (104)小键盘9: VK_NUMPAD0 (105)小键盘.: VK_DECIMAL (110)小键盘*: VK_MULTIPLY (106)小键盘+: VK_MULTIPLY (107)小键盘-: VK_SUBTRACT (109)小键盘/: VK_DIVIDE (111)Pause Break键: VK_PAUSE (19)Scroll Lock键: VK_SCROLL (145) -------------------------------------0x1 鼠标左键0x2 鼠标右键0x3 CANCEL 键0x4 鼠标中键0x8 BACKSPACE 键0x9 TAB 键0xC CLEAR 键0xD ENTER 键0x10 SHIFT 键0x11 CTRL 键0x12 MENU 键0x13 PAUSE 键0x14 CAPS LOCK 键0x1B ESC 键0x20 SPACEBAR 键0x21 PAGE UP 键0x22 PAGE DOWN 键0x23 END 键0x24 HOME 键0x25 LEFT ARROW 键0x26 UP ARROW 键0x27 RIGHT ARROW 键0x28 DOWN ARROW 键0x29 SELECT 键0x2A PRINT SCREEN 键0x2B EXECUTE 键0x2C SNAPSHOT 键0x2D INSERT 键0x2E DELETE 键0x2F HELP 键0x90 NUM LOCK 键-----------------------------------------A 至 Z 键与 A – Z 字母的 ASCII 码相同:值描述65 A 键66 B 键67 C 键68 D 键69 E 键70 F 键71 G 键72 H 键73 I 键74 J 键75 K 键76 L 键77 M 键78 N 键79 O 键80 P 键81 Q 键82 R 键83 S 键85 U 键86 V 键87 W 键88 X 键89 Y 键90 Z 键------------------------------------------ 0 至 9 键与数字 0 – 9 的 ASCII 码相同:值描述48 0 键49 1 键50 2 键51 3 键52 4 键53 5 键54 6 键55 7 键56 8 键57 9 键---------------------------------------- 下列常数代表数字键盘上的键:值描述0x60 0 键0x61 1 键0x62 2 键0x63 3 键0x64 4 键0x65 5 键0x66 6 键0x68 8 键0x69 9 键0x6A MULTIPLICATION SIGN (*) 键0x6B PLUS SIGN (+) 键0x6C ENTER 键0x6D MINUS SIGN (–) 键0x6E DECIMAL POINT (.) 键0x6F DIVISION SIGN (/) 键---------------------------------------------- 下列常数代表功能键:值描述0x70 F1 键0x71 F2 键0x72 F3 键0x73 F4 键0x74 F5 键0x75 F6 键0x76 F7 键0x77 F8 键0x78 F9 键0x79 F10 键0x7A F11 键0x7B F12 键0x7C F13 键0x7D F14 键0x7E F15 键0x7F F16 键。
最小的是空格最大的是a常见ASCII码的大小规则:0~9<A~Z<a~z1)数字比字母要小。
如“7”<“F”;2)数字0比数字9要小,并按0到9顺序递增。
如“3”<“8”;3)字母A比字母Z要小,并按A到Z顺序递增。
如“A”<“Z”;4)同个字母的大写字母比小写字母要小32。
如“A”<“a”。
记住几个常见字母的ASCII码大小:“A”为65;“a”为97;“0”为 48。
键盘常用ASCII码ESC键 VK_ESCAPE (27)回车键: VK_RETURN (13)TAB键: VK_TAB (9)Caps Lock键: VK_CAPITAL (20)Shift键: VK_SHIFT (16)Ctrl键: VK_CONTROL (17)Alt键: VK_MENU (18)空格键: VK_SPACE (32)退格键: VK_BACK (8)左徽标键: VK_LWIN (91)右徽标键: VK_LWIN (92)鼠标右键快捷键:VK_APPS (93)Insert键: VK_INSERT (45)Home键: VK_HOME (36)Page Up: VK_PRIOR (33)PageDown: VK_NEXT (34)End键: VK_END (35)Delete键: VK_DELETE (46)方向键(←): VK_LEFT (37)方向键(↑): VK_UP (38)方向键(→): VK_RIGHT (39)方向键(↓): VK_DOWN (40)F1键: VK_F1 (112)F2键: VK_F2 (113)F3键: VK_F3 (114)F4键: VK_F4 (115)F5键: VK_F5 (116)F6键: VK_F6 (117)F7键: VK_F7 (118)F8键: VK_F8 (119)F9键: VK_F9 (120)F10键: VK_F10 (121)F11键: VK_F11 (122)F12键: VK_F12 (123)Num Lock键: VK_NUMLOCK (144)小键盘0: VK_NUMPAD0 (48)小键盘1: VK_NUMPAD0 (49)小键盘2: VK_NUMPAD0 (50)小键盘3: VK_NUMPAD0 (51)小键盘4: VK_NUMPAD0 (52)小键盘5: VK_NUMPAD0 (53)小键盘6: VK_NUMPAD0 (54)小键盘7: VK_NUMPAD0 (55)小键盘8: VK_NUMPAD0 (56)小键盘9: VK_NUMPAD0 (57)小键盘.: VK_DECIMAL (46)小键盘*: VK_MULTIPLY (42)小键盘+: VK_ADD (43)小键盘-: VK_SUBTRACT (45)小键盘/: VK_DIVIDE (47)Pause Break键: VK_PAUSE (19)Scroll Lock键: VK_SCROLL (145)Bin Dec Hex 缩写/字符解释00000000 0 00 NUL(null) 空字符00000001 1 01 SOH(start of handling) 标题开始00000010 2 02 STX (start of text) 正文开始00000011 3 03 ETX (end of text) 正文结束00000100 4 04 EOT (end of transm-ission) 传输结束00000101 5 05 ENQ (enquiry) 请求00000110 6 06 ACK (acknow-ledge) 收到通知00000111 7 07 BEL (bell) 响铃00001000 8 08 BS (backsp-ace) 退格00001001 9 09 HT (horizon-tal tab) 水平制表符00001010 10 0A LF (NL line feed, new line) 换行键00001011 11 0B VT (vertical tab) 垂直制表符00001100 12 0C FF (NP form feed, new page) 换页键00001101 13 0D CR (carriage return) 回车键00001110 14 0E SO (shift out) 不用切换00001111 15 0F SI (shift in) 启用切换00010000 16 10 DLE (data link escape) 数据链路转义00010001 17 11 DC1 (device control 1) 设备控制1 00010010 18 12 DC2 (device control 2) 设备控制2 00010011 19 13 DC3 (device control 3) 设备控制3 00010100 20 14 DC4 (device control 4) 设备控制4 00010101 21 15 NAK (negati-ve acknowl-edge) 拒绝接收00010110 22 16 SYN (synchr-onous idle) 同步空闲00010111 23 17 ETB (end of trans. block) 传输块结束00011000 24 18 CAN (cancel) 取消00011001 25 19 EM (end of medium) 介质中断00011010 26 1A SUB (substit-ute) 替补00011011 27 1B ESC (escape) 溢出00011100 28 1C FS (file separat-or) 文件分割符00011101 29 1D GS (group separat-or) 分组符00011110 30 1E RS (record separat-or) 记录分离符00011111 31 1F US (unit separat-or) 单元分隔符00100000 32 20 空格00100001 33 21 !00100010 34 22 "00100011 35 23 #00100100 36 24 $00100101 37 25 %00100110 38 26 &00100111 39 27 '00101000 40 28 (00101001 41 29 )00101010 42 2A *00101011 43 2B +00101100 44 2C ,00101101 45 2D -00101110 46 2E .00101111 47 2F /00110000 48 30 000110001 49 31 100110010 50 32 200110011 51 33 300110100 52 34 400110101 53 35 500110110 54 36 600110111 55 37 700111000 56 38 800111001 57 39 900111010 58 3A :00111011 59 3B ;00111100 60 3C <00111101 61 3D =00111110 62 3E >00111111 63 3F ?01000000 64 40 @01000001 65 41 A01000011 67 43 C 01000100 68 44 D 01000101 69 45 E 01000110 70 46 F 01000111 71 47 G 01001000 72 48 H 01001001 73 49 I 01001010 74 4A J 01001011 75 4B K 01001100 76 4C L 01001101 77 4D M 01001110 78 4E N 01001111 79 4F O 01010000 80 50 P 01010001 81 51 Q 01010010 82 52 R 01010011 83 53 S 01010100 84 54 T 01010101 85 55 U 01010110 86 56 V 01010111 87 57 W 01011000 88 58 X 01011001 89 59 Y 01011010 90 5A Z 01011011 91 5B [ 01011100 92 5C \ 01011101 93 5D ] 01011110 94 5E ^ 01011111 95 5F _ 01100000 96 60 ` 01100001 97 61 a 01100010 98 62 b 01100011 99 63 c 01100100 100 64 d 01100101 101 65 e 01100110 102 66 f 01100111 103 67 g 01101000 104 68 h 01101001 105 69 i 01101010 106 6A j 01101011 107 6B k 01101100 108 6C l 01101101 109 6D m01101111 111 6F o01110000 112 70 p01110001 113 71 q01110010 114 72 r01110011 115 73 s01110100 116 74 t01110101 117 75 u01110110 118 76 v01110111 119 77 w01111000 120 78 x01111001 121 79 y01111010 122 7A z01111011 123 7B {01111100 124 7C |01111101 125 7D }01111110 126 7E ~01111111 127 7F DEL (delete) 删除。
ASC码对应键盘按键键盘按下事件的对应的ASC码不容易记,现在就把它写下来,作为备份a-z:65-90ESC键 VK_ESCAPE (27)回车键: VK_RETURN (13)TAB键: VK_TAB (9)Caps Lock键: VK_CAPITAL (20)Shift键: VK_SHIFT ($10/16)Ctrl键: VK_CONTROL (17)Alt键: VK_MENU (18)空格键: VK_SPACE ($20/32)退格键: VK_BACK (8)左徽标键: VK_LWIN (91)右徽标键: VK_LWIN (92)鼠标右键快捷键:VK_APPS (93)Insert键: VK_Insert (45)Home键: VK_HOME (36)Page Up: VK_PRIOR (33)PageDown: VK_NEXT (34)End键: VK_END (35)Delete键: VK_Delete (46)方向键(←): VK_LEFT (37)方向键(↑): VK_UP (38)方向键(→): VK_RIGHT (39)方向键(↓): VK_DOWN (40)F1键: VK_F1 (112)F2键: VK_F2 (113)F3键: VK_F3 (114)F4键: VK_F4 (115)F5键: VK_F5 (116)F6键: VK_F6 (117)F7键: VK_F7 (118)F8键: VK_F8 (119)F9键: VK_F9 (120)F10键: VK_F10 (121)F11键: VK_F11 (122)F12键: VK_F12 (123)Num Lock键: VK_NUMLOCK (144)小键盘0: VK_NUMPAD0 (96)小键盘1: VK_NUMPAD0 (97)小键盘2: VK_NUMPAD0 (98)小键盘3: VK_NUMPAD0 (99)小键盘4: VK_NUMPAD0 (100)小键盘5: VK_NUMPAD0 (101)小键盘6: VK_NUMPAD0 (102)小键盘7: VK_NUMPAD0 (103)小键盘8: VK_NUMPAD0 (104)小键盘9: VK_NUMPAD0 (105)小键盘.: VK_DECIMAL (110)小键盘*: VK_MULTIPLY (106)小键盘+: VK_MULTIPLY (107)小键盘-: VK_SUBTRACT (109)小键盘/: VK_DIVIDE (111)Pause Break键: VK_PAUSE (19)Scroll Lock键:VK_SCROLL (145)键盘按下事件的对应的ASC 码不容易记,现在就把它写下来,作为备份a-z:65-90ESC键 VK_ESCAPE (27)回车键: VK_RETURN (13)TAB键: VK_TAB (9)Caps Lock键: VK_CAPITAL (20) Shift键: VK_SHIFT ($10/16) Ctrl键: VK_CONTROL (17)Alt键: VK_MENU (18)空格键: VK_SPACE ($20/32)退格键: VK_BACK (8)左徽标键: VK_LWIN (91)右徽标键: VK_LWIN (92)鼠标右键快捷键:VK_APPS (93) Insert键: VK_Insert (45) Home键: VK_HOME (36) Page Up: VK_PRIOR (33) PageDown: VK_NEXT (34) End键: VK_END (35)Delete键: VK_Delete (46)方向键(←): VK_LEFT (37)方向键(↑): VK_UP (38)方向键(→): VK_RIGHT (39)方向键(↓): VK_DOWN (40)F1键: VK_F1 (112)F2键: VK_F2 (113)F3键: VK_F3 (114)F4键: VK_F4 (115)F5键: VK_F5 (116)F6键: VK_F6 (117)F7键: VK_F7 (118)F8键: VK_F8 (119)F9键: VK_F9 (120)F10键: VK_F10 (121)F11键: VK_F11 (122)F12键: VK_F12 (123)Num Lock键: VK_NUMLOCK (144) 小键盘0: VK_NUMPAD0 (96)小键盘1: VK_NUMPAD0 (97)小键盘2: VK_NUMPAD0 (98)小键盘3: VK_NUMPAD0 (99)小键盘4: VK_NUMPAD0 (100)小键盘5: VK_NUMPAD0 (101)小键盘6: VK_NUMPAD0 (102)小键盘7: VK_NUMPAD0 (103)小键盘8: VK_NUMPAD0 (104)小键盘9: VK_NUMPAD0 (105)小键盘.: VK_DECIMAL (110)小键盘*: VK_MULTIPLY (106)小键盘+: VK_MULTIPLY (107)小键盘-: VK_SUBTRACT (109)小键盘/: VK_DIVIDE (111)Pause Break键: VK_PAUSE (19) Scroll Lock键: VK_SCROLL (145)。
创作编号:GB8878185555334563BT9125XW创作者:凤呜大王*OCT(八进制)最全ASCII码对应表—与键盘按键对应值(二进)Bin (十进)Dec (十六进)Hex 缩写/字符解释0000 0000 0 00 NUL (null) 空字符0000 0001 1 01 SOH (start of handing) 标题开始0000 0010 2 02 STX (start of text) 正文开始0000 0011 3 03 ETX (end of text) 正文结束0000 0100 4 04 EOT (end of transmissio n) 传输结束0000 0101 5 05 ENQ (enquiry) 请求0000 0110 6 06 ACK (acknowledge) 收到通知0000 0111 7 07 BEL (bell) 响铃0000 1000 8 08 BS (backspace) 退格0000 1001 9 09 HT (horizontal tab) 水平制表符0000 1010 10 0A LF (NL line feed, new lin e) 换行键0000 1011 11 0B VT (vertical tab) 垂直制表符0000 1100 12 0C FF (NP form feed, new pag e) 换页键0000 1101 13 0D CR (carriage return) 回车键0000 1110 14 0E SO (shift out) 不用切换0000 1111 15 0F SI (shift in) 启用切换0001 0000 16 10 DLE (data link escape) 数据链路转义0001 0001 17 11 DC1 (device control1) 设备控制10001 0010 18 12 DC2 (device control2) 设备控制20001 0011 19 13 DC3 (device control3) 设备控制30001 0100 20 14 DC4 (device control4) 设备控制40001 0101 21 15 NAK (negative acknowledge) 拒绝接收0001 0110 22 16 SYN (synchronous idl e) 同步空闲0001 0111 23 17 ETB (end of trans. bloc k) 传输块结束0001 1000 24 18 CAN (cancel) 取消0001 1001 25 19 EM (end of medium) 介质中断0001 1010 26 1A SUB (substitute) 替补0001 1011 27 1B ESC (escape) 溢出0001 1100 28 1C FS (file separator) 文件分割符0001 1101 29 1D GS (group separator) 分组符0001 1110 30 1E RS (record separator) 记录分离符0001 1111 31 1F US (unit separator) 单元分隔符0010 0000 32 20 空格0010 0001 33 21 !0010 0010 34 22 "0010 0011 35 23 #0010 0100 36 24 $0010 0101 37 25 %0010 0110 38 26 &0010 0111 39 27 '0010 1001 41 29 ) 0010 1010 42 2A * 0010 1011 43 2B + 0010 1100 44 2C , 0010 1101 45 2D - 0010 1110 46 2E . 0010 1111 47 2F / 0011 0000 48 30 0 0011 0001 49 31 1 0011 0010 50 32 2 0011 0011 51 33 3 0011 0100 52 34 4 0011 0101 53 35 5 0011 0110 54 36 6 0011 0111 55 37 7 0011 1000 56 38 8 0011 1001 57 39 9 0011 1010 58 3A : 0011 1011 59 3B ; 0011 1100 60 3C < 0011 1101 61 3D = 0011 1110 62 3E > 0011 1111 63 3F ? 0100 0000 64 40 @0100 0001 65 41 A 0100 0010 66 42 B 0100 0011 67 43 C 0100 0100 68 44 D 0100 0101 69 45 E 0100 0110 70 46 F 0100 0111 71 47 G 0100 1000 72 48 H 0100 1001 73 49 I 0100 1010 74 4A J 0100 1011 75 4B K 0100 1100 76 4C L0100 1110 78 4E N 0100 1111 79 4F O 0101 0000 80 50 P 0101 0001 81 51 Q 0101 0010 82 52 R 0101 0011 83 53 S 0101 0100 84 54 T 0101 0101 85 55 U 0101 0110 86 56 V 0101 0111 87 57 W 0101 1000 88 58 X 0101 1001 89 59 Y 0101 1010 90 5A Z 0101 1011 91 5B [ 0101 1100 92 5C \ 0101 1101 93 5D ] 0101 1110 94 5E ^ 0101 1111 95 5F _ 0110 0000 96 60 ` 0110 0001 97 61 a 0110 0010 98 62 b 0110 0011 99 63 c 0110 0100 100 64 d 0110 0101 101 65 e 0110 0110 102 66 f 0110 0111 103 67 g 0110 1000 104 68 h 0110 1001 105 69 i 0110 1010 106 6A j 0110 1011 107 6B k 0110 1100 108 6C l 0110 1101 109 6D m 0110 1110 110 6E n 0110 1111 111 6F o 0111 0000 112 70 p 0111 0001 113 71 q 0111 0010 114 72 r0111 0100 116 74 t0111 0101 117 75 u0111 0110 118 76 v0111 0111 119 77 w0111 1000 120 78 x0111 1001 121 79 y0111 1010 122 7A z0111 1011 123 7B {0111 1100 124 7C |0111 1101 125 7D }0111 1110 126 7E ~0111 1111 127 7F DEL (delete) 删除键盘常用ASCII码(十进制表示值)ESC键VK_ESCAPE (27)回车键:VK_RETURN (13)TAB键:VK_TAB (9)Caps Lock键:VK_CAPITAL (20)Shift键:VK_SHIFT (16)Ctrl键:VK_CONTROL (17)Alt键:VK_MENU (18)空格键:VK_SPACE (/32)退格键:VK_BACK (8)左徽标键:VK_LWIN (91)右徽标键:VK_LWIN (92)鼠标右键快捷键:VK_APPS (93)Insert键:VK_INSERT (45)Home键:VK_HOME (36)Page Up:VK_PRIOR (33)PageDown:VK_NEXT (34)End键:VK_END (35)Delete键:VK_DELETE (46)方向键(←):VK_LEFT (37)方向键(↑):VK_UP (38)方向键(→):VK_RIGHT (39)方向键(↓):VK_DOWN (40)F1键:VK_F1 (112)F2键:VK_F2 (113)F3键:VK_F3 (114)F4键:VK_F4 (115)F5键:VK_F5 (116)F6键:VK_F6 (117)F7键:VK_F7 (118)F8键:VK_F8 (119)F9键:VK_F9 (120)F10键:VK_F10 (121)F11键:VK_F11 (122)F12键:VK_F12 (123)Num Lock键:VK_NUMLOCK (144) 小键盘0:VK_NUMPAD0 (96) 小键盘1:VK_NUMPAD0 (97) 小键盘2:VK_NUMPAD0 (98) 小键盘3:VK_NUMPAD0 (99) 小键盘4:VK_NUMPAD0 (100) 小键盘5:VK_NUMPAD0 (101) 小键盘6:VK_NUMPAD0 (102) 小键盘7:VK_NUMPAD0 (103) 小键盘8:VK_NUMPAD0 (104) 小键盘9:VK_NUMPAD0 (105) 小键盘.:VK_DECIMAL (110) 小键盘*:VK_MULTIPLY (106) 小键盘+:VK_MULTIPLY (107)小键盘-:VK_SUBTRACT (109) 小键盘/:VK_DIVIDE (111) Pause Break键:VK_PAUSE (19) Scroll Lock键:VK_SCROLL (145)常见ASCII码的大小规则:0~9<A~Z<a~z1)数字比字母要小。