2011年广东省普通高校招生考生志愿表
- 格式:doc
- 大小:151.50 KB
- 文档页数:2
广东省2011年第二批本科A类理科普通类院校征集志愿投档情况院校代码院校名称计划数投档数投档分最低排位10063 天津中医药大学5 5 551 4459210071 天津体育学院3 3 494 10617310078 华北水利水电学院210093 承德医学院2 2 559 3704810094 河北师范大学6 6 523 7485010101 衡水学院13 13 493 10812410109 太原科技大学9 9 510 8909510113 山西农业大学8 8 499 10150210117 长治医学院 3 3 497 10329910118 山西师范大学12 12 495 10513710119 太原师范学院 4 4 496 10479210120 山西大同大学19 19 501 9859010127 内蒙古科技大学3 3 501 9899610128 内蒙古工业大学610129 内蒙古农业大学4 4 490 11081910142 沈阳工业大学4 4 538 5809810149 沈阳化工大学14 14 513 8566510160 辽宁医学院1 1 492 10876410163 沈阳药科大学7 7 511 8800110166 沈阳师范大学5 5 520 7813010169 鞍山师范学院210172 大连外国语学院1 1 538 5765810186 长春理工大学5 5 539 5658110191 吉林建筑工程学院2 2 497 10330710201 北华大学37 37 506 9325510203 吉林师范大学6 1 50410205 长春师范学院16 16 500 10019110206 白城师范学院12 7 49010207 吉林财经大学1 1 574 2491510219 黑龙江科技学院18 18 498 10215310222 佳木斯大学10 10 501 9843210228 黑龙江中医药大学110229 牡丹江医学院4 4 503 9713810231 哈尔滨师范大学11 4 506 9301910232 齐齐哈尔大学17 17 500 9992210234 哈尔滨学院510245 哈尔滨金融学院6 6 516 8270610305 盐城工学院5 5 503 9644910324 盐城师范学院5 5 491 10948210332 苏州科技学院1 1 544 5180810347 湖州师范学院6 6 500 9958710361 安徽理工大学1 1 539 5746410363 安徽工程大学3 3 510 88402 10364 安徽农业大学4 4 503 96420 10371 阜阳师范学院310373 淮北师范大学6 6 499 100758 10389 福建农林大学5 5 537 59466 10392 福建医科大学1 1 573 25903 10395 闽江学院4 4 518 8037810397 武夷学院15 15 511 87480 10399 泉州师范学院18 18 508 91629 10402 漳州师范学院4 4 506 93531 10406 南昌航空大学2 2 553 42976 10407 江西理工大学1 1 548 47351 10408 景德镇陶瓷学院8 8 502 97272 10412 江西中医学院1 1 508 91581 10413 赣南医学院5 5 509 90166 10414 江西师范大学8 8 524 73799 10416 上饶师范学院2 2 501 99155 10417 宜春学院10 10 500 99580 10418 赣南师范学院7 7 502 97541 10430 山东建筑大学3 3 540 55900 10431 山东轻工业学院11 11 506 93514 10434 山东农业大学2 2 542 54354 10438 潍坊医学院10 10 491 109631 10447 聊城大学3 3 503 9704410451 鲁东大学8 8 523 7487310452 临沂大学17 17 502 97953 10453 泰山学院5 5 501 9926110455 菏泽学院8 6 49010462 郑州轻工业学院29 20 504 10464 河南科技大学3 1 50810465 中原工学院5 5 513 85015 10471 河南中医学院2 2 507 92485 10477 信阳师范学院3 1 49210481 南阳师范学院410483 商丘师范学院8 8 499 100755 10485 郑州航空工业管理学院4 1 523 10507 湖北中医药大学11 11 508 91081 10513 湖北师范学院6 2 51210519 襄樊学院6 6 500 9993610522 武汉体育学院8 2 53010531 吉首大学11 11 502 97224 10534 湖南科技大学5 5 540 55464 10545 湘南学院13 13 506 93425 10546 衡阳师范学院11 11 502 9795210547 邵阳学院32 32 509 8974410548 怀化学院23 23 497 103717 10549 湖南文理学院15 15 503 97028 10551 湖南科技学院2 2 526 71546 10553 湖南人文科技学院9 9 498 102378 10576 韶关学院111 111 522 75079 10578 韩山师范学院186 186 503 96899 10579 湛江师范学院45 45 513 85779 10582 嘉应学院1086 1086 502 97510 10585 广州体育学院8 8 526 70745 10587 星海音乐学院9 9 499 101387 10599 右江民族医学院1 1 539 57334 10600 广西中医学院1 1 528 68988 10601 桂林医学院1 1 497 103296 10603 广西师范学院3 3 503 96252 10605 河池学院20 20 499 100817 10606 玉林师范学院6 6 498 102056 10617 重庆邮电大学1 1 575 24457 10632 泸州医学院1 1 505 9418910633 成都中医药大学2 2 544 52207 10638 西华师范大学10 3 50910642 重庆文理学院11 11 514 84082 10643 重庆三峡学院9 9 503 97073 10647 长江师范学院14 14 500 100044 10649 乐山师范学院7 4 49110653 成都体育学院3 3 497 103527 10661 遵义医学院6 6 503 9685610662 贵阳中医学院110664 遵义师范学院4 3 49110667 安顺学院12 12 491 110027 10670 黔南民族师范学院4 1 494 10671 贵州财经学院1 1 560 36035 10674 昆明理工大学1 1 543 52771 10676 云南农业大学5 5 534 62347 10679 大理学院8 8 500 10035010687 红河学院7 7 498 10253710716 陕西中医学院2 2 502 97439 10719 延安大学5 5 534 6214910720 陕西理工学院8 8 503 96698 10721 宝鸡文理学院6 6 497 103745 10722 咸阳师范学院10 10 493 107824 10723 渭南师范学院6 6 493 107660 10733 甘肃农业大学510736 西北师范大学9 9 521 7714310737 兰州城市学院3 3 497 103612 10739 天水师范学院8 4 49110742 西北民族大学21 5 50710743 青海大学2 2 535 6096310748 青海民族大学810758 新疆农业大学15 15 493 107518 10759 石河子大学6 3 51710760 新疆医科大学110762 新疆师范大学3 3 490 111012 10764 伊犁师范学院110766 新疆财经大学5 1 50510809 山西中医学院1 1 493 107882 10812 吕梁学院410904 枣庄学院10 10 491 109523 10918 黄淮学院3 1 49910919 平顶山学院35 25 49010920 黄石理工学院6 6 501 98321 10927 咸宁学院4 4 534 6177411048 金陵科技学院 3 3 540 56296 11049 淮阴工学院 5 5 502 97487 11053 徐州工程学院 5 5 500 99777 11067 潍坊学院8 1 54711070 洛阳理工学院8 5 504 95430 11072 江汉大学 5 5 536 6065711075 三峡大学 1 1 564 3290711077 长沙学院18 18 536 60423 11080 西安文理学院 211100 琼州学院17 17 516 82205 11104 华北科技学院 1 1 527 69618 11230 齐齐哈尔医学院10 10 520 77922 11261 吉林工商学院14 14 503 96842 11311 三明学院 5 5 502 9787511318 江西科技师范学院10 4 505 11319 南昌工程学院 2 2 513 85037 11330 安阳工学院 2 2 497 103607 11332 湖北警官学院8 7 50511336 荆楚理工学院 5 5 495 105059 11354 梧州学院9 9 502 9795711390 玉溪师范学院 3 2 49211392 云南警官学院 1 1 502 97925 11407 北方民族大学20 20 500 100219 11458 上海电机学院12 12 543 53264 11504 江西警察学院 2 2 502 97975 11508 新余学院16 16 500 9951411510 山东交通学院9 9 495 10594511517 河南工程学院33 33 502 9776011534 湖南警察学院16 16 503 9642711535 湖南工业大学 5 5 538 5762011538 湖南女子学院 5 5 512 8677611551 重庆科技学院9 9 526 7085911556 文山学院 5 1 49311560 西安财经学院 1 1 535 6090311607 钦州学院 4 4 501 9879911629 北华航天工业学院 5 5 502 9742611641 淮海工学院13 13 502 9824011653 南阳理工学院22 22 505 9479011656 广东石油化工学院498 498 506 9293611726 长春大学 5 5 521 7609111765 河南城建学院 6 6 505 9476311802 黑龙江工程学院 511843 九江学院 6 6 532 6496411937 四川警察学院 3 3 502 9789814098 合肥师范学院5 4 49114099 湖北第二师范学院5 5 507 9228314101 太原工业学院16 16 500 10030214223 贵州师范学院6广东省2011年第二批本科A类文科普通类院校征集志愿投档情况院校代码院校名称计划数投档数投档分最低排位10071 天津体育学院2 2 534 4294510076 河北工程大学2 2 557 2413210101 衡水学院13 13 530 4673910104 邢台学院12 12 532 4479810109 太原科技大学2 2 534 4268110110 中北大学 1 1 552 2797710113 山西农业大学 4 4 535 4235010118 山西师范大学 6 6 535 4167110119 太原师范学院 3 3 531 4602510120 山西大同大学11 11 533 4404410135 内蒙古师范大学5 5 527 4911410160 辽宁医学院6 6 527 4973010169 鞍山师范学院3 1 52810172 大连外国语学院2 2 569 1619410190 长春工业大学3 3 541 3681410201 北华大学4 4 534 4321910203 吉林师范大学2 2 539 3827910205 长春师范学院11 11 534 4296310206 白城师范学院8 2 52910222 佳木斯大学4 4 530 4622910232 齐齐哈尔大学4 4 540 37740 10234 哈尔滨学院210324 盐城师范学院5 5 530 46574 10347 湖州师范学院2 2 543 34888 10371 阜阳师范学院210373 淮北师范大学3 3 543 35273 10377 滁州学院5 5 535 4214710397 武夷学院7 7 537 4032610402 漳州师范学院3 1 56010408 景德镇陶瓷学院2 2 535 42342 10413 赣南医学院5 5 532 44991 10414 江西师范大学4 4 561 21394 10416 上饶师范学院2 2 533 43636 10417 宜春学院5 5 534 4318310418 赣南师范学院3 3 534 42968 10419 井冈山大学310427 济南大学1 1 570 1570510447 聊城大学1 1 541 3652710453 泰山学院5 5 533 4358310455 菏泽学院2 2 529 4799810462 郑州轻工业学院20 20 539 38804 10464 河南科技大学3 3 554 25956 10465 中原工学院310477 信阳师范学院6 6 530 46995 10481 南阳师范学院210483 商丘师范学院13 13 530 46322 10485 郑州航空工业管理学院4 3 539 10507 湖北中医药大学2 2 549 29889 10519 襄樊学院2 1 52910522 武汉体育学院6 6 539 38371 10531 吉首大学7 7 534 4325610545 湘南学院8 8 539 3858010547 邵阳学院17 17 533 43973 10548 怀化学院30 30 532 44310 10549 湖南文理学院8 8 547 31975 10551 湖南科技学院6 6 541 36790 10553 湖南人文科技学院9 9 532 45216 10554 湖南商学院1 1 579 10991 10576 韶关学院225 225 535 41757 10578 韩山师范学院309 309 533 43478 10582 嘉应学院447 447 534 43200 10585 广州体育学院1 1 571 15263 10587 星海音乐学院18 18 529 47414 10588 广东技术师范学院2010594 广西工学院5 1 54310596 桂林理工大学2 2 547 31800 10605 河池学院15 15 530 46780 10606 玉林师范学院6 6 534 43312 10615 西南石油大学3 3 536 41096 10637 重庆师范大学2 2 550 29105 10638 西华师范大学5 3 54510642 重庆文理学院8 8 535 42023 10643 重庆三峡学院4 4 533 43687 10647 长江师范学院4 4 534 43205 10649 乐山师范学院6 6 528 48213 10650 四川外语学院1 1 574 13610 10653 成都体育学院3 3 541 36566 10661 遵义医学院10 10 534 42534 10664 遵义师范学院6 6 530 46490 10667 安顺学院3 2 52610670 黔南民族师范学院4 4 530 46580 10671 贵州财经学院1 1 553 27013 10674 昆明理工大学2 2 557 24375 10678 昆明医学院1 1 541 36441 10679 大理学院4 4 529 4748410680 云南中医学院2 2 553 27147 10687 红河学院8 8 530 4698210704 西安科技大学1 1 576 12481 10719 延安大学4 4 532 4431710720 陕西理工学院5 5 535 42148 10721 宝鸡文理学院3 3 528 48185 10723 渭南师范学院4 4 526 50985 10737 兰州城市学院17 4 52710739 天水师范学院210742 西北民族大学17 2 53910748 青海民族大学610762 新疆师范大学1 1 533 43451 10764 伊犁师范学院110766 新疆财经大学310809 山西中医学院2 2 532 44955 10918 黄淮学院310919 平顶山学院5 5 532 44651 10920 黄石理工学院211049 淮阴工学院 1 1 532 44728 11067 潍坊学院 6 1 53911070 洛阳理工学院 6 2 53611080 西安文理学院 5 4 53811104 华北科技学院7 5 542。
院校代码院校名称计划数投档数投档分最低排位10001北京大学12156592510002中国人民大学353764611310003清华大学226572810004北京交通大学55607288210005北京工业大学6558010006北京航空航天大学33617133310007北京理工大学55606304510010北京化工大学12125801083210019中国农业大学55590709810022北京林业大学1718587798710030北京外国语大学9963823810031北京第二外国语学院99603361410032北京语言大学1516611223010033中国传媒大学1314620111110034中央财经大学232563050410036对外经济贸易大学333362667210043北京体育大学66588761110052中央民族大学88593684610053中国政法大学485062387010054华北电力大学(北京) 99588751310055南开大学1111587796810056天津大学22603347510070天津财经大学1819594586310079华北电力大学(保定) 445811044410107石家庄铁道大学1010126内蒙古大学5010140辽宁大学432558010151大连海事大学1213582986110173东北财经大学20205811012410183吉林大学1011594565510184延边大学4010200东北师范大学10758010225东北林业大学3010246复旦大学16206498110248上海交通大学116544010271上海外国语大学9962671710272上海财经大学101163147910276华东政法大学2324597497810280上海大学33607280110284南京大学181963726710285苏州大学66589714510290中国矿业大学8458010293南京邮电大学44585864010294河海大学1314588777310295江南大学2324586846210300南京信息工程大学6258010316中国药科大学2158010335浙江大学161663921010357安徽大学1011582989610359合肥工业大学10158010384厦门大学2525612199510385华侨大学484258010386福州大学4258010403南昌大学11125811016210422山东大学2122606294910423中国海洋大学1415589732510459郑州大学1010582979810486武汉大学3840617137310487华中科技大学2222591652010491中国地质大学(武汉) 1617584908510497武汉理工大学1617585885510504华中农业大学12558010511华中师范大学1718588751610520中南财经政法大学9797602373110530湘潭大学27958010532湖南大学2425599436410533中南大学2223593602410542湖南师范大学24255801057310558中山大学925944615168710559暨南大学601613608269310560汕头大学32731558010561华南理工大学205205602384410564华南农业大学1499140158010572广州中医药大学55510658010574华南师范大学12651303587811610589海南大学531358010593广西大学4158010610四川大学2021605323710611重庆大学1011596523510613西南交通大学77585877110635西南大学77586823010651西南财经大学2425603355610652西南政法大学6770594577910657贵州大学2010697西北大学2158010698西安交通大学22593618410699西北工业大学44583956610718陕西师范大学22958010724西安外国语大学1920588754810730兰州大学2627583943711414中国石油大学(北京) 22594559711415中国地质大学(北京) 44597483511846广东外语外贸大学19932093593597112121南方医科大学2666558019422山东大学威海分校18195868309。
2011年广东高考分数线以及分数段统计表一、第一批本科院校(含执行本批次最低控制线的提前批本科院校)文科类:总分580分。
理科类:总分568分。
体育类:文化科总分398分,体育术科240分。
美术类:文化科总分358分,美术术科245分.音乐类:文化科总分351分,音乐术科229分。
二、第二批本科院校A线(含执行本批次最低控制分数线的提前批本科院校)文科类:总分536分。
理科类:总分504分.体育类:文化科总分320分,体育术科200分。
美术类:文化科总分339分,美术术科231分.音乐类:文化科总分300分,音乐术科200分.B线(含执行本批次最低控制分数线的提前批本科院校)文科类:总分489分。
理科类:总分460分。
体育类:文化科总分315分,体育术科198分。
美术类:文化科总分316分,美术术科222分。
音乐类:文化科总分284分,音乐术科192分.三、第三批专科院校A线(含执行本批次最低控制分数线的提前批专科院校)文科类:总分439分.理科类:总分383分。
体育类:文化科总分300分,体育术科190分。
美术类:文化科总分300分,美术术科207分.音乐类:文化科总分258分,音乐术科168分.B线(含执行本批次最低控制分数线的提前批专科院校)文科类:总分350分.理科类:总分330分。
体育类:文化科总分285分,体育术科185分。
美术类:文化科总分280分,美术术科185分。
音乐类:文化科总分230分,音乐术科135分。
四、高校招收中职毕业生的录取最低控制分数线:文化科总分200分,并取得广东省中等职业技术教育专业技能课程考试合格证书。
五、高等职业技术院校招收退役士兵的录取最低控制分数线为文化课总分150分。
2011年广东省普通高考文科类分数段统计表2011年广东省普通高考理科类分数段统计表2011年广东省普通高考美术类文化科分数段统计表2011年广东高等艺校单考录取最低控制线各地级以上市及佛山市顺德区招生办公室,各有关高等学校:根据我省艺术单考院校(专业)上报的录取分数线及合格考生情况,经研究,同意我省部分高等艺术院校(专业)单独考试术科分、统考文化分录取最低控制分数线按附表分数线执行.附件:1.独立设置的本科艺术院校单考专业录取最低控制分数线。
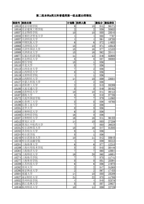
广东省2011年提前第一批本科文科普通类院校第一志愿投档情况
注:1.个别出档数为0的学校不列入上表.
2.中南民族大学少数民族考生另外出
档。
中国校友会网2011中国大学排行榜100强
中国校友会网2011中国造富大学排行榜
高三女生获“小诺贝尔奖”
时间:2011-5-31 10:36:46 来源:《记者观察》2011年6月上作者:未知编辑:访问次数:【关闭】
5月17日,人大附中传来好消息:该校一名高三女生在2011年英特尔国际科学与工程大奖赛中获得物理学一等奖,打破了北京选手在英..
5月17日,人大附中传来好消息:该校一名高三女生在2011年英特尔国际科学与工程大奖赛中获得物理学一等奖,打破了北京选手在英特尔大赛上的获奖纪录。
据悉,她除获得3000美元奖金外,还将有一颗小行星用她的名字来命名。
获奖学生名叫施轶萌。
据她介绍,英特尔国际科学与工程大奖赛被誉为青少年界的“小诺贝尔奖”,涉及所有自然科学和部分社会科学内容,共有17个参赛项目,包括动物学、地球学科、微生物等。
今年的比赛,吸引了来自世界65个国家和地区的1500余名青少年参与角逐。
施轶萌获得的是物理与天文学类一等奖,她获奖的项目是:基于风洞实验的昆虫及仿生翼流场特性研究。
据悉,该项目还获得了美国物理学会、美国专利与商标局等3个机构颁发的3个专项奖,而她的这一成绩也创下北京学生参加该项比赛的最佳成绩。