备战2020数学高考三大类递推数列通项公式的求法
- 格式:doc
- 大小:379.00 KB
- 文档页数:12
三项递推关系求通项1. 什么是递推关系?在数学中,递推关系是指通过给定的初始条件和递推公式来确定一系列数值的方法。
递推关系常用于解决一些复杂的问题,特别是与数列、函数或图形有关的问题。
2. 什么是通项?通项是指一个数列中任意一项与其序号之间的关系。
通过求得一个数列的通项,我们可以方便地计算出该数列的任意一项。
3. 求解三项递推关系的方法下面将介绍如何求解三项递推关系,并得到该递推关系的通项公式。
步骤1:观察前几个数值首先,我们需要观察给定的数列或序列,并记录下前几个已知的数值。
这些已知数值将作为我们求解递推公式和通项公式的基础。
步骤2:建立递推公式根据观察到的已知数值,我们可以尝试建立一个递推公式,使得该公式能够从前一项或几个前置项计算出当前项。
例如,假设我们观察到以下数列:1, 2, 4, 8, …我们可以发现,每一项都是前一项的两倍。
因此,我们可以建立如下的递推公式:a(n) = 2 * a(n-1),其中a(n)表示第n项。
步骤3:求解递推公式在建立了递推公式之后,我们需要通过该公式来计算数列的其他项。
首先,我们可以使用递推公式计算出第3项和第4项:a(3) = 2 * a(2) = 2 * 2 = 4 a(4) = 2 * a(3) = 2 * 4 = 8然后,我们可以继续使用递推公式计算出更多的项。
步骤4:观察数列并总结规律通过计算数列的多个项,我们可以进一步观察数列中的规律,并总结出通项公式。
以前面的例子为例,观察数列可知,每一项均为前一项乘以一个常数。
因此,通项公式可以表示为:a(n) = a(1) * (常数)^n对于这个例子来说,常数为2。
因此,通项公式可以写成:a(n) = a(1) * (2)^n步骤5:验证通项公式最后,我们需要验证所得到的通项公式是否能够正确地计算出数列中的任意一项。
我们可以选择一个任意的n值,将其代入通项公式中计算得到的结果与实际数列中的对应项进行比较。
思路探寻由递推关系式求数列的通项公式是数列中常见的题型之一.解答此类问题的关键是仔细分析已知的递推关系式,找出其中的规律,将问题转化为常规的等差、等比、常数数列的求通项公式或求和问题来求解.本文主要探讨了几种常见的题型及其解法.一、累加法对于形如a n +1=a n +f (n )的递推关系式,我们一般采用累加法来求数列的通项公式.首先把递推关系式转化为a n +1-a n =f (n )的形式,然后将各项f (1),f (2),f (3),…,f (n -1)逐项累加,即a n =a 1+(a 2-a 1)+(a 3-a 2)+…+(a n -a n -1),通过正负相消便可求得数列的通项公式.例1.已知数列{a n }满足a 1=12,a n +1=a n +1n 2+n,求a n .解:由已知可得a n +1-a n =1n 2+n =1n (n +1)=1n -1n +1,则(a 2-a 1)+(a 3-a 2)+(a 4-a 3)+…+(a n -a n -1)=æèöø1-12+æèöø12-13+æèöø13-14+…+æèöø1n -1-1n ,所以a n -a 1=1-1n.因为a 1=12,所以a n =32-1n.累加法较为简单,但适用范围较窄,只适用于求解形如a n +1=a n +f (n )的递推关系式的通项公式.二、累积法对于形如a n +1=f (n )a n 的递推关系式,若要求其数列的通项公式,需把递推关系式转化为a n +1a n =f (n )的形式,然后利用累乘法求解.将各项a 2a 1=f (1),a 3a 2=f (2),…,a n a n -1=f (n -1),逐项累乘得到a na 1=f (1)f (2)…f (n -1),就可以求得a n .例2.已知数列{a n }满足a 1=23,a n +1=n n +1·a n ,求a n .解:由a n +1=n n +1·a n得a n +1a n =n n +1,故a n =a n a n -1·a n -1a n -2·…·a 2a 1·a 1=n -1n ×n -2n -1×…×12×23=23n.即a n =23n.在运用累积法解题时,要注意递推关系式a n =f (n )a n -1只适合n ≥2的情形,因此需将n =1的情况单独讨论.三、构造法构造法是由递推关系求数列通项公式的常用方法,该方法具有较强的灵活性.运用构造法解题的关键是通过对递推关系式进行灵活处理,将问题转化为常规的等差、等比数列问题,运用等差、等比数列的通项公式求得原数列的通项公式.例3.在数列{a n }中,a 1=1,a n +1=2a n +3,求a n .解:设a n +1-t =2(a n -t ),即a n +1=2a n -t ,则t =-3.故a n +1+3=2(a n +3).令b n =a n +3,则b 1=a 1+3=4,且b n +1b n =a n +1+3a n +3=2.所以{b n }是以b 1=4为首项,2为公比的等比数列.所以b n =4×2n -1=2n +1,即a n =2n +1-3.对于a n +1=pa n +q (其中p ,q 均为常数,pq (p -1)≠0)型的递推关系式,我们一般采用构造法来求数列的通项公式.首先引入参数,将递推关系式构造成a n +1+t =p (a n +t )的形式,通过对应系数求得t 的值,进而将问题转化为求等比数列的通项公式来解答.例4.已知数列{a n }的首项a 1=35,a n +1=3a n 2a n +1,n =1,2,3,…,求{a n }的通项公式.解:∵a n +1=3a n2a n +1,∴1a n +1=23+13a n ,∴1a n +1-1=13æèçöø÷1a n -1.又1a n-1=23,∴{}1a n -1是以23为首项、13为公比的等比数列,∴1a n -1=23×13n -1=23n ,∴a n =3n3n +2.对于a n +1=Aa nBa n +C(A ,B ,C 为常数)型的递推关系式,可通过在递推关系式两边同时取倒数,将递推关系式转化为a n +1=pa n +q (其中p ,q 均为常数,pq (p -1)≠0)型,再进行求解.累加法、累乘法、构造法都是由递推关系式求数列的通项公式的常规方法.由于数列问题中的递推关系式多种多样,所以求数列通项公式的方法也各不相同.同学们在解题的过程中要注意灵活选择与之相应的方法来解题.(作者单位:江苏省苏州市吴江开发区中学)51Copyright©博看网 . All Rights Reserved.。
递推公式求数列通项公式求解数列的通项公式是数学中常见的问题。
在进行数列的通项公式推导时,有几种常见的方法可以使用,包括递归法、差分法、代数法、矩阵法等。
以下将针对这些方法进行详细阐述。
一、递归法递归法是数列求解中最常见的方法之一、利用递归关系式,可以将数列的第n项表示成前n-1项的表达式。
常见的递归方法有等差、等比数列等。
1.1等差数列的通项公式等差数列是指数列中每个相邻项之间的差值都相等的数列。
设数列的首项为 a1,公差为 d,则递推关系式为 an = a1 + (n-1)d,其中 n 表示项数。
首先求取数列的第一项和第二项的值,然后利用递推公式即可求得数列的通项公式。
1.2等比数列的通项公式等比数列是指数列中每个相邻项之间的比值都相等的数列。
设数列的首项为 a1,公比为 q,则递推关系式为 an = a1 * q^(n-1)。
首先求取数列的第一项和公比的值,然后利用递推公式即可求得数列的通项公式。
二、差分法差分法是通过找到数列的差分递推关系,进而进行推导。
通过一次差、二次差等操作,可以将数列的通项公式转化为关于n的多项式。
2.1一次差的差分法对于一个数列 {an},定义一次差数列 {bn} = {an+1 - an},即 b1 = a2 - a1,b2 = a3 - a2,以此类推。
如果一次差数列 {bn} 满足等差数列的递推关系,即 bn = c,则原数列的通项公式为 an = c*n +d。
其中 d 为首项的值。
2.2二次差的差分法对于一个数列 {an},定义二次差数列 {cn} = {bn+1 - bn},即 c1 = b2 - b1,c2 = b3 - b2,以此类推。
如果二次差数列 {cn} 满足等差数列的递推关系,即 cn = c,则原数列的通项公式为 bn = c*n^2 +d*n + e。
其中 d 为二次差数列首项的值,e 为数列首项的值。
三、代数法代数法以解线性方程组的形式求解数列的通项公式。
最全的递推数列求通项公式方法递推数列是指数列中的每一项都由前一项通过其中一种规律得出。
求递推数列的通项公式是数学中的重要问题,可以通过多种方法实现。
下面将介绍最常用的几种方法。
1.等差数列通项公式等差数列是指数列中的每一项与前一项之差都相等的数列。
设等差数列的第一项为a1,公差为d,则第n项为an=a1+(n-1)d。
这是等差数列的通项公式。
2.等比数列通项公式等比数列是指数列中的每一项与前一项之比都相等的数列。
设等比数列的第一项为a1,公比为r,则第n项为an=a1*r^(n-1)。
这是等比数列的通项公式。
3.斐波那契数列通项公式斐波那契数列是指数列中的每一项都是前两项之和。
设斐波那契数列的第一项为a1,第二项为a2,则第n项为an=a(n-1)+a(n-2)。
但通常情况下,我们将斐波那契数列的第一项设为0,第二项设为1,此时的通项公式为an=F(n-1),其中F(n-1)表示第n-1个斐波那契数。
4.龙贝尔数列通项公式龙贝尔数列是指数列中的每一项都是前一项与当前项索引之和。
设龙贝尔数列的第一项为a1,则第n项为an=a(n-1)+n。
这是龙贝尔数列的通项公式。
5.通项公式的递推法有些数列并没有明确的通项公式,但可以通过递推法求得通项公式。
递推法的核心思想是找到数列中的其中一种规律,通过前面的项得出后面的项。
这种方法比较灵活,可以适用于各种类型的数列。
总结起来,以上是求递推数列通项公式的几种常见方法。
在实际中,我们可以观察数列的规律,推测出通项公式,然后通过数学推导证明其正确性。
对于复杂的递推数列,我们可能需要运用更多的数学知识和技巧,如离散数学、线性代数等。
递推数列求通项公式-高考数学一题多解一、攻关方略数列学习中难度较高的一个内容是递推数列,由递推关系求通项公式是一种十分重要的题型,解题方法丰富多彩,注重分析递推式的结构特点,合理构造得到等差或等比等常见数列是解题的重要策略.下面对一些常见的由递推关系求通项公式的求法做一些归纳.第一类:型如()1n n a a f n +=+的一阶递推式,可改写为()1n n a a f n +-=的形式,左端通过“累加”可以消项;右端()f n 是关于n 的函数,可以求和.故运用“累加法”必定可行,即()()()112132111()n n n n k a a a a a a a a a f k --==+-+-+⋅⋅⋅+-=+∑.第二类:型如1()n n a g n a +=的递推式,可改写为1()n na g n a +=的形式.左端通过“迭乘”可以消项;右端通常也可以化简,故运用“迭乘法”必定可行,即3211121(1)(2)(1)(2)n n n a a a a a a n n g g a a a -=⋅⋅⋅⋅⋅⋅⋅=⋅⋅⋅⋅⋅⋅⋅-≥.第三类:型如1n n a pa q +=+(1p ≠,0q ≠)的递推式,可由下面两种构造法求通项公式.构造法一:由1n n a pa q +=+及1n n a pa q -=+,两式相减得()11n n n n a a p a a +--=-,得{}1n n a a +-是首项为21a a -,公比为p 的等比数列,先求{}1n n a a +-的通项公式,再利用“累加法”求{}n a 的通项公式.构造法二:若1p =,则显然是以1a 为首项、q 为公差的等差数列;若1p ≠,0p ≠,0q ≠,则构造数列{}n a λ+,满足()1n n a p a λλ++=+.运用待定系数法,解得1q p λ=-,则1n q a p ⎧⎫+⎨⎬-⎩⎭是首项为11q a p +-,公比为p 的等比数列.第四类:型如1nn n pa a a q+=+(0p ≠,0q ≠,0n a ≠)的递推式,运用取倒数,构造数列1n a ⎧⎫⎨⎬⎩⎭,满足111n n q a pa p +=+,运用换元法,即令1n n b a =,得11n n q b b p p +=+,从而转换为第三类.第五类:型如1rn n a pa +=(0p >,0r ≠,1r ≠)的递推式,运用两边取对数法得1lg lg lg n n a r a p +=+,令lg n n b a =,转化为1lg n n b rb p +=+型,即第三类,再运用待定系数法.第六类:型如1n n a pa qn r +=++(1p ≠,0p ≠,0q ≠)的递推式,可构造数列{}n a n λμ++,满足()1(1)n n a n p a n λμλμ++++=++,运用待定系数法解得1q p λ=-,21(1)r qp p μ=+--,从而由等比数列求通项公式;进一步推广,若递推式中包含n 的二次项、三次项,则构造的数列中也同样包含对应次数项.第七类:型如1()n n a pa f n +=+(1p ≠,0p ≠)的递推式,可在等式两边同除以1n p +,构造数列nn a p ⎧⎫⎨⎬⎩⎭,满足111()n n n n n a a f n p p p +++=+,令n n n a b p =,则转化为11()n n n f n b b p ++=+,即第一类,再利用“累加法”求通项公式.第八类:型如满足:11a m =,22a m =,21n n n a pa qa ++=+(p 、q 是常数)的递推式,则称数列{}n a 为二阶线性递推数列,可构造数列{}1n n a a λ+-,满足()11n n n n a a a a λμλ+--=-,则,,p q λμλμ+=⎧⎨=-⎩即λ,μ为方程20x px q --=的两个根,此方程称之为特征方程,则数列{}n a 的通项公式n a 均可用特征根求得(即转化为第七类进一步求解).第九类:型如1n n n ra sa pa q++=+(0p ≠,0q ≠,0r ≠,0s ≠)的递推式,利用不动点法,其中rx sx px q +=+的根为该数列的不动点,若该数列有两个相异的不动点μ,则n n a a v μ⎧⎫-⎨⎬-⎩⎭为等比数列;若该数列有唯一的不动点μ,即方程等根时,1n a μ⎧⎫⎨⎬-⎩⎭为等差数列,这就是不动点求递推数列通项公式的方法.除上述9种类型之外还有换元法、数学归纳法(归纳一猜想一论证)等.给出相类似的递推式必有相应的破解之道,这是模型思想的运用,对所给的递推式借助于变形、代换、运算等方法转化为等差数列、等比数列这两类基本数列(模型)而求解.切变形、代换、运算的手段都是构造法的体现,真可谓:递推数列变化无穷,变形、代换方法众多.模型思想是根主线,合理构造顿显坦途.【典例】(2021·全国甲卷T17)已知数列{}n a 的各项均为正数,记n S 为{}n a 的前n 项和,从下面①②③中选取两个作为条件,证明另外一个成立.①数列{}n a是等差数列:②数列是等差数列;③213a a =.注:若选择不同的组合分别解答,则按第一个解答计分.选①②作条件证明③:(一)待定系数法解法一:【解析】待定系数法+n a 与n S 关系式(0)an b a =+>,则()2n S an b =+,当1n =时,()211a S a b ==+;当2n ≥时,()()221n n n a S S an b an a b-=-=+--+()22a an a b =-+;因为{}n a 也是等差数列,所以()()222a b a a a b +=-+,解得0b =;所以()221n a a n =-,21a a =,故22133a a a ==.解法二:【解析】待定系数法设等差数列{}n a 的公差为d,等差数列的公差为1d ,1(1)n d =-,将1(1)2n n n S na d -=+1(1)n d -,化简得())2222211111222d d n a n d n d n d ⎛⎫+-=+-+⎪⎝⎭对于n +∀∈N 恒成立.则有21211112,240,d d a d d d ⎧=⎪⎪-=-⎨=,解得112d d a ==.所以213a a =.选①③作条件证明②:因为213a a =,{}n a 是等差数列,所以公差2112d a a a =-=,所以()21112n n n S na d n a -=+==,)1n +-=所以是等差数列.选②③作条件证明①:(二)定义法解法一:(0)an b a =+>,则()2n S an b =+,当1n =时,()211a S a b ==+;当2n ≥时,()()221n n n a S S an b an a b-=-=+--+()22a an a b =-+;因为213a a =,所以()()2323a a b a b +=+,解得0b =或43ab =-;当0b =时,()221,21n a a a a n ==-,当2n ≥时,2-1-2n n a a a =满足等差数列的定义,此时{}n a 为等差数列;当43a b =-4=3an b an a =+-03a =-<不合题意,舍去.综上可知{}n a 为等差数列.解法二:求解通项公式因为213a a ===也为等差数列,所以公差1d =()11n d =-=,故21n S n a =,当2n ≥时,()()221111121n n n a S S n a n a n a -=-=--=-,当1n =时,满足上式,故{}n a 的通项公式为()121n a n a =-,所以()1123n a n a -=-,112n n a a a --=,符合题意.【点评】这类题型在解答题中较为罕见,求解的关键是牢牢抓住已知条件,结合相关公式,逐步推演,选①②时,法一:利用等差数列的通项公式是关于n 的一次函数,直接(0)an b a =+>,平方后得到n S 的关系式,利用11,1,2n n n S n a S S n -=⎧=⎨-≥⎩得到{}n a 的通项公式,进而得到213a a =,是选择①②证明③的通式通法;法二:分别设出{}n a 与{}n S的公差,写出各自的通项公式后利用两者的关系,对照系数,得到等量关系1d =12d a =,进而得到213a a =;选①③时,按照正常的思维求出公差,表示出n S进而由等差数列定义进行证明;选②③时,法一:利用等差数列的通项公式是关于n 的一次函数,(0)an b a =+>,结合,n n a S 的关系求出n a ,根据213a a =可求b ,然后可证{}n a1d =11,1,2n n n S n a S S n -=⎧=⎨-≥⎩,求出{}n a 的通项公式,进而证明出结论.【针对训练】(2022年全国高考乙卷)1.嫦娥二号卫星在完成探月任务后,继续进行深空探测,成为我国第一颗环绕太阳飞行的人造行星,为研究嫦娥二号绕日周期与地球绕日周期的比值,用到数列{}n b :1111b α=+,212111b αα=++,31231111b ααα=+++,…,依此类推,其中(1,2,)k k α*∈=N .则()A .15b b <B .38b b <C .62b b <D .47b b <2.设数列{an }满足a 1=3,134n n a a n +=-.(1)计算a 2,a 3,猜想{an }的通项公式并加以证明;(2)求数列{2nan }的前n 项和Sn .3.已知数列{}n a 满足11a =,11,,2,.n n n a n a a n ++⎧=⎨+⎩为奇数为偶数(1)记2n n b a =,写出1b ,2b ,并求数列{}n b 的通项公式;(2)求{}n a 的前20项和.4.已知公比大于1的等比数列{}n a 满足24320,8a a a +==.(1)求{}n a 的通项公式;(2)记m b 为{}n a 在区间*(0,]()m m ∈N 中的项的个数,求数列{}m b 的前100项和100S .(2022全国甲卷)5.记n S 为数列{}n a 的前n 项和.已知221nn S n a n+=+.(1)证明:{}n a 是等差数列;(2)若479,,a a a 成等比数列,求n S 的最小值.6.记n S 为数列{}n a 的前n 项和,n b 为数列{}n S 的前n 项积,已知212n nS b +=.(1)证明:数列{}n b 是等差数列;(2)求{}n a 的通项公式.7.设{}n a 是首项为1的等比数列,数列{}n b 满足3nn na b =.已知1a ,23a ,39a 成等差数列.(1)求{}n a 和{}n b 的通项公式;(2)记n S 和n T 分别为{}n a 和{}n b 的前n 项和.证明:2nn S T <.8.对负整数a ,数43a +、77a +、283a a ++依次成等差数列.(1)求a 的值;(2)若数列{}n a 满足()112n n n a aa n *++=-∈N ,1a m =,求{}n a 的通项公式;(3)在(2)的条件下,若对任意n *∈N ,有2121n n a a +-<,求m 的取值范围.9.设0b >,数列{}n a 满足1a b =,()1121n n n nba a n a n --=≥+-(1)求数列{}n a 的通项公式;(2)证明:对于一切正整数n ,121n n a b +≤+.10.设数列{}n a 满足:11a =,12n n n a a -=-+(2n ≥),数列{}n b 满足:1(1)3n n n b a +=-⋅.求数列{}n b 的通项公式.参考答案:1.D【分析】根据()*1,2,k k α∈=N …,再利用数列{}n b 与k α的关系判断{}n b 中各项的大小,即可求解.【详解】[方法一]:常规解法因为()*1,2,k k α∈=N ,所以1121ααα<+,112111ααα>+,得到12b b >,同理11223111ααααα+>++,可得23b b <,13b b >又因为223411,11αααα>++112233411111ααααααα++<+++,故24b b <,34b b >;以此类推,可得1357b b b b >>>>…,78b b >,故A 错误;178b b b >>,故B 错误;26231111αααα>++…,得26b b <,故C 错误;11237264111111αααααααα>++++++…,得47b b <,故D 正确.[方法二]:特值法不妨设1,n a =则1234567835813213455b 2,b b ,b b ,b b ,b 2358132134========,47b b <故D 正确.2.(1)25a =,37a =,21n a n =+,证明见解析;(2)1(21)22n n S n +=-⋅+.【分析】(1)方法一:(通性通法)利用递推公式得出23,a a ,猜想得出{}n a 的通项公式,利用数学归纳法证明即可;(2)方法一:(通性通法)根据通项公式的特征,由错位相减法求解即可.【详解】(1)[方法一]【最优解】:通性通法由题意可得2134945a a =-=-=,32381587a a =-=-=,由数列{}n a 的前三项可猜想数列{}n a 是以3为首项,2为公差的等差数列,即21n a n =+.证明如下:当1n =时,13a =成立;假设()n k k *=∈N 时,21k a k =+成立.那么1n k =+时,1343(21)4232(1)1k k a a k k k k k +=-=+-=+=++也成立.则对任意的*n ∈N ,都有21n a n =+成立;[方法二]:构造法由题意可得2134945a a =-=-=,32381587a a =-=-=.由123,5a a ==得212a a -=.134n n a a n +=-,则134(1)(2)n n a a n n -=--≥,两式相减得()1134n n n n a a a a +--=--.令1n n n b a a +=-,且12b =,所以134n n b b -=-,两边同时减去2,得()1232n n b b --=-,且120b -=,所以20n b -=,即12n n a a +-=,又212a a -=,因此{}n a 是首项为3,公差为2的等差数列,所以21n a n =+.[方法三]:累加法由题意可得2134945a a =-=-=,32381587a a =-=-=.由134n n a a n +=-得1114333n n n n n a a n +++-=-,即2121214333a a -=-⨯,3232318333a a -=-⨯,……1114(1)(2)333n n nn n a a n n ---=--⨯≥.以上各式等号两边相加得1123111412(1)33333n n n a a n ⎡⎤-=-⨯+⨯+-⨯⎢⎥⎣⎦ ,所以1(21)33n n n a n =+⋅.所以21(2)n a n n =+≥.当1n =时也符合上式.综上所述,21n a n =+.[方法四]:构造法21322345,387a a a a =-==-=,猜想21n a n =+.由于134n n a a n +=-,所以可设()1(1)3n n a n a n λμλμ++++=++,其中,λμ为常数.整理得1322n n a a n λμλ+=++-.故24,20λμλ=--=,解得2,1λμ=-=-.所以()112(1)13(21)3211n n n a n a n a +-+-=--=⋅⋅⋅=-⨯-.又130a -=,所以{}21n a n --是各项均为0的常数列,故210n a n --=,即21n a n =+.(2)由(1)可知,2(21)2n nn a n ⋅=+⋅[方法一]:错位相减法231325272(21)2(21)2n n n S n n -=⨯+⨯+⨯++-⋅++⋅ ,①23412325272(21)2(21)2n n n S n n +=⨯+⨯+⨯++-⋅++⋅ ,②由①-②得:()23162222(21)2n n n S n +-=+⨯+++-+⋅ ()21121262(21)212n n n -+-=+⨯+⋅⨯-1(12)22n n +=-⋅-,即1(21)22n n S n +=-⋅+.[方法二]【最优解】:裂项相消法112(21)2(21)2(23)2n n n n n n n a n n n b b ++=+=---=-,所以231232222n n n S a a a a =++++ ()()()()2132431n n b b b b b b b b +=-+-+-++- 11n b b +=-1(21)22n n +=-+.[方法三]:构造法当2n ≥时,1(21)2n n n S S n -=++⋅,设11()2[(1)]2n n n n S pn q S p n q --++⋅=+-+⋅,即122n n n pn q p S S ----=+,则2,21,2pq p -⎧=⎪⎪⎨--⎪=⎪⎩,解得4,2p q =-=.所以11(42)2[4(1)2]2n n n n S n S n --+-+⋅=+--+⋅,即{}(42)2n n S n +-+⋅为常数列,而1(42)22S +-+⋅=,所以(42)22n n S n +-+⋅=.故12(21)2n n S n +=+-⋅.[方法四]:因为12(21)2222422n n n n n nn a n n n -=+=⋅+=⋅+,令12n n b n -=⋅,则()()231()0,11n nx x f x x x x x x x-=++++=≠- ,()121211(1)()1231(1)n n nn x x nx n x f x x x nxx x +-'⎡⎤-+-+=++++==⎢⎥--⎢⎥⎣⎦' ,所以12n b b b +++L 21122322n n -=+⋅+⋅++⋅ 1(2)12(1)2n n f n n +==+-+'⋅.故234(2)2222nn S f =++'+++ ()1212412(1)212n n n n n +-⎡⎤=+⋅-++⎣⎦-1(21)22n n +=-+.【整体点评】(1)方法一:通过递推式求出数列{}n a 的部分项从而归纳得出数列{}n a 的通项公式,再根据数学归纳法进行证明,是该类问题的通性通法,对于此题也是最优解;方法二:根据递推式134n n a a n +=-,代换得134(1)(2)n n a a n n -=--≥,两式相减得()1134n n n n a a a a +--=--,设1n n n b a a +=-,从而简化递推式,再根据构造法即可求出n b ,从而得出数列{}n a 的通项公式;方法三:由134n n a a n +=-化简得1114333n n n n n a a n +++-=-,根据累加法即可求出数列{}n a 的通项公式;方法四:通过递推式求出数列{}n a 的部分项,归纳得出数列{}n a 的通项公式,再根据待定系数法将递推式变形成()1(1)3n n a n a n λμλμ++++=++,求出,λμ,从而可得构造数列为常数列,即得数列{}n a 的通项公式.(2)方法一:根据通项公式的特征可知,可利用错位相减法解出,该法也是此类题型的通性通法;方法二:根据通项公式裂项,由裂项相消法求出,过程简单,是本题的最优解法;方法三:由2n ≥时,1(21)2nn n S S n -=++⋅,构造得到数列{}(42)2n n S n +-+⋅为常数列,从而求出;方法四:将通项公式分解成12(21)2222422n n n n n nn a n n n -=+=⋅+=⋅+,利用分组求和法分别求出数列{}{}12,2n n n -⋅的前n 项和即可,其中数列{}12n n -⋅的前n 项和借助于函数()()231()0,11n nx x f x x x x x x x-=++++=≠- 的导数,通过赋值的方式求出,思路新颖独特,很好的简化了运算.3.(1)122,5,31n b b b n ===-;(2)300.【分析】(1)方法一:由题意结合递推关系式确定数列{}n b 的特征,然后求和其通项公式即可;(2)方法二:分组求和,结合等差数列前n 项和公式即可求得数列的前20项和.【详解】解:(1)[方法一]【最优解】:显然2n 为偶数,则21222212,1n n n n a a a a +++=+=+,所以2223n n a a +=+,即13n n b b +=+,且121+12b a a ===,所以{}n b 是以2为首项,3为公差的等差数列,于是122,5,31n b b b n ===-.[方法二]:奇偶分类讨论由题意知1231,2,4a a a ===,所以122432,15b a b a a ====+=.由11n n a a +-=(n 为奇数)及12n n a a +-=(n 为偶数)可知,数列从第一项起,若n 为奇数,则其后一项减去该项的差为1,若n 为偶数,则其后一项减去该项的差为2.所以*23()n n a a n N +-=∈,则()11331n b b n n =+-⨯=-.[方法三]:累加法由题意知数列{}n a 满足*113(1)1,()22nn n a a a n +-==++∈N .所以11213(1)11222b a a -==++=+=,322433223(1)3(1)11212352222b a a a a a --==++=+=+++=++=+=,则222121222111()()()121221+n n n n n n b a a a a a a a a a ---==-+-+-+=+++++++12(1)131n n n =+-+=-⨯.所以122,5b b ==,数列{}n b 的通项公式31n b n =-.(2)[方法一]:奇偶分类讨论20123201351924620++++++++()()S a a a a a a a a a a a a =+=+++ 1231012310(1111)b b b b b b b b =-+-+-++-+++++ 110()102103002b b +⨯=⨯-=.[方法二]:分组求和由题意知数列{}n a 满足12212121,1,2n n n n a a a a a -+==+=+,所以2122123n n n a a a +-=+=+.所以数列{}n a 的奇数项是以1为首项,3为公差的等差数列;同理,由2221213n n n a a a ++=+=+知数列{}n a 的偶数项是以2为首项,3为公差的等差数列.从而数列{}n a 的前20项和为:201351924260()()S a a a a a a a a =+++++++++ 1091091013102330022⨯⨯=⨯++⨯+⨯=.【整体点评】(1)方法一:由题意讨论{}n b 的性质为最一般的思路和最优的解法;方法二:利用递推关系式分类讨论奇偶两种情况,然后利用递推关系式确定数列的性质;方法三:写出数列{}n a 的通项公式,然后累加求数列{}n b 的通项公式,是一种更加灵活的思路.(2)方法一:由通项公式分奇偶的情况求解前n 项和是一种常规的方法;方法二:分组求和是常见的数列求和的一种方法,结合等差数列前n 项和公式和分组的方法进行求和是一种不错的选择.4.(1)2n n a =;(2)100480S =.【分析】(1)利用基本元的思想,将已知条件转化为1,a q 的形式,求解出1,a q ,由此求得数列{}n a 的通项公式.(2)方法一:通过分析数列{}m b 的规律,由此求得数列{}m b 的前100项和100S .【详解】(1)由于数列{}n a 是公比大于1的等比数列,设首项为1a ,公比为q ,依题意有31121208a q a q a q ⎧+=⎨=⎩,解得解得12,2a q ==,或1132,2a q ==(舍),所以2n n a =,所以数列{}n a 的通项公式为2n n a =.(2)[方法一]:规律探索由于123456722,24,28,216,232,264,2128=======,所以1b 对应的区间为(0,1],则10b =;23,b b 对应的区间分别为(0,2],(0,3],则231b b ==,即有2个1;4567,,,b b b b 对应的区间分别为(0,4],(0,5],(0,6],(0,7],则45672b b b b ====,即有22个2;8915,,,b b b 对应的区间分别为(0,8],(0,9],,(0,15] ,则89153b b b ==== ,即有32个3;161731,,,b b b 对应的区间分别为(0,16],(0,17],,(0,31] ,则1617314b b b ==== ,即有42个4;323363,,,b b b 对应的区间分别为(0,32],(0,33],,(0,63] ,则3233635b b b ====L ,即有52个5;6465100,,,b b b L 对应的区间分别为(0,64],(0,65],,(0,100] ,则64651006b b b ====L ,即有37个6.所以23451001222324252637480S =⨯+⨯+⨯+⨯+⨯+⨯=.[方法二]【最优解】:由题意,2n m ≤,即2log n m ≤,当1m =时,10b =.当)12,21k k m +⎡∈-⎣时,,m b k k *=∈N ,则()()()()1001234573233636465100S b b b b b b b b b b b b =++++++++++++++ 0122438416532637480=+⨯+⨯+⨯+⨯+⨯+⨯=.[方法三]:由题意知)1,2,2k k m b k m +⎡=∈⎣,因此,当1m =时,10b =;[2,4)m ∈时,1m b =;[4,8)m ∈时,2m b =;[8,16)m ∈时,3m b =;[16,32)m ∈时,4m b =;[32,64)m ∈时,5m b =;[64,128)m ∈时,6m b =.所以1001234100S b b b b b =+++++ 0(11)(222)(666)=++++++++++ 0122438416532637480=+⨯+⨯+⨯+⨯+⨯+⨯=.所以数列{}n b 的前100项和100480S =.【整体点评】(2)方法一:通过数列{}n a 的前几项以及数列{}m b 的规律可以得到12100,,,b b b 的值,从而求出数列{}m b 的前100项和,这是本题的通性通法;方法二:通过解指数不等式可得数列{}m b 的通项公式,从而求出数列{}m b 的前100项和,是本题的最优解;方法三,是方法一的简化版.5.(1)证明见解析;(2)78-.【分析】(1)依题意可得222n n S n na n +=+,根据11,1,2n n n S n a S S n -=⎧=⎨-≥⎩,作差即可得到11n n a a --=,从而得证;(2)法一:由(1)及等比中项的性质求出1a ,即可得到{}n a 的通项公式与前n 项和,再根据二次函数的性质计算可得.【详解】(1)因为221nn S n a n+=+,即222n n S n na n +=+①,当2n ≥时,()()()21121211n n S n n a n --+-=-+-②,①-②得,()()()22112212211n n n n S n S n na n n a n --+---=+----,即()12212211n n n a n na n a -+-=--+,即()()()1212121n n n a n a n ----=-,所以11n n a a --=,2n ≥且N*n ∈,所以{}n a 是以1为公差的等差数列.(2)[方法一]:二次函数的性质由(1)可得413a a =+,716a a =+,918a a =+,又4a ,7a ,9a 成等比数列,所以2749a a a =⋅,即()()()2111638a a a +=+⋅+,解得112a =-,所以13n a n =-,所以()22112512562512222228n n n S n n n n -⎛⎫=-+=-=--⎪⎝⎭,所以,当12n =或13n =时,()min 78n S =-.[方法二]:【最优解】邻项变号法由(1)可得413a a =+,716a a =+,918a a =+,又4a ,7a ,9a 成等比数列,所以2749a a a =⋅,即()()()2111638a a a +=+⋅+,解得112a =-,所以13n a n =-,即有1123210,0a a a a <<<<= .则当12n =或13n =时,()min 78n S =-.【整体点评】(2)法一:根据二次函数的性质求出n S 的最小值,适用于可以求出n S 的表达式;法二:根据邻项变号法求最值,计算量小,是该题的最优解.6.(1)证明见解析;(2)()3,121,21n n a n n n ⎧=⎪⎪=⎨⎪-≥+⎪⎩.【分析】(1)由已知212n nS b +=得221n n n b S b =-,且0n b ≠,取1n =,得132b =,由题意得1212222212121n n n b b b b b b b ⋅⋅⋅⋅=---,消积得到项的递推关系111221n n n n b b b b +++=-,进而证明数列{}n b 是等差数列;(2)由(1)可得n b 的表达式,由此得到n S 的表达式,然后利用和与项的关系求得()3,121,21n n a n n n ⎧=⎪⎪=⎨⎪-≥+⎪⎩.【详解】(1)[方法一]:由已知212n n S b +=得221n n n b S b =-,且0n b ≠,12n b ≠,取1n =,由11S b =得132b =,由于n b 为数列{}n S 的前n 项积,所以1212222212121n n n b b b b b b b ⋅⋅⋅⋅=---,所以1121121222212121n n n b b b b b b b +++⋅⋅⋅⋅=---,所以111221n n n nb b b b +++=-,由于10n b +≠所以12121n n b b +=-,即112n n b b +-=,其中*n ∈N 所以数列{}n b 是以132b =为首项,以12d =为公差等差数列;[方法二]【最优解】:由已知条件知1231-⋅=⋅⋅⋅⋅ n n n b S S S S S ①于是11231(2)--=⋅⋅⋅⋅≥ n n b S S S S n .②由①②得1nn n b S b -=.③又212n nS b +=,④由③④得112n n b b --=.令1n =,由11S b =,得132b =.所以数列{}n b 是以32为首项,12为公差的等差数列.[方法三]:由212n nS b +=,得22=-n n n S b S ,且0n S ≠,0n b ≠,1n S ≠.又因为111--=⋅⋅=⋅ n n n n n b S S S S b ,所以1122-==-n n n n b b S S ,所以()1111(2)2222212---=-==≥---n n n n n n n S S b b n S S S .在212n n S b +=中,当1n =时,1132==b S .故数列{}n b 是以32为首项,12为公差的等差数列.[方法四]:数学归纳法由已知212n n S b +=,得221n n n b S b =-,132b =,22b =,352=b ,猜想数列{}n b 是以32为首项,12为公差的等差数列,且112n b n =+.下面用数学归纳法证明.当1n =时显然成立.假设当n k =时成立,即121,21+=+=+k k k b k S k .那么当1n k =+时,11112++⎛⎫==+ ⎪⎝⎭k k k b b S 331(1)1222k k k k ++⋅==+++.综上,猜想对任意的n ∈N 都成立.即数列{}n b 是以32为首项,12为公差的等差数列.(2)由(1)可得,数列{}n b 是以132b =为首项,以12d =为公差的等差数列,()3111222n nb n ∴=+-⨯=+,22211n n n b n S b n+==-+,当n =1时,1132a S ==,当n ≥2时,()121111n n n n n a S S n n n n -++=-=-=-++,显然对于n =1不成立,∴()3,121,21n n a n n n ⎧=⎪⎪=⎨⎪-≥+⎪⎩.【整体点评】(1)方法一从212n nS b +=得221n n n b S b =-,然后利用n b 的定义,得到数列{}n b 的递推关系,进而替换相除消项得到相邻两项的关系,从而证得结论;方法二先从n b 的定义,替换相除得到1nn n b S b -=,再结合212n n S b +=得到112n n b b --=,从而证得结论,为最优解;方法三由212n nS b +=,得22=-n n n S b S ,由n b 的定义得1122-==-n n n n b b S S ,进而作差证得结论;方法四利用归纳猜想得到数列112n b n =+,然后利用数学归纳法证得结论.(2)由(1)的结论得到112n b n =+,求得n S 的表达式,然后利用和与项的关系求得{}n a 的通项公式;7.(1)11()3n n a -=,3n nn b =;(2)证明见解析.【分析】(1)利用等差数列的性质及1a 得到29610q q -+=,解方程即可;(2)利用公式法、错位相减法分别求出,n n S T ,再作差比较即可.【详解】(1)因为{}n a 是首项为1的等比数列且1a ,23a ,39a 成等差数列,所以21369a a a =+,所以211169a q a a q =+,即29610q q -+=,解得13q =,所以11()3n n a -=,所以33n n n na nb ==.(2)[方法一]:作差后利用错位相减法求和211213333n n n n nT --=++++ ,012111111223333-⎛⎫=++++ ⎪⎝⎭n n S ,230121123111112333323333n n n n S n T -⎛⎫⎛⎫-=++++-++++=⎪ ⎪⎝⎭⎝⎭ 012111012222333---++++ 111233---+n n n n .设0121111101212222Γ3333------=++++ n n n ,⑧则1231111012112222Γ33333-----=++++ n n n .⑨由⑧-⑨得1121113312111113322Γ132********--⎛⎫--- ⎪⎛⎫⎝⎭=-++++-=-+- ⎪⎝⎭- n n n n nn n .所以211312Γ432323----=--=-⨯⨯⨯n n n n n n .因此10232323--=-=-<⨯⨯n n n n nS n n nT .故2nn S T <.[方法二]【最优解】:公式法和错位相减求和法证明:由(1)可得11(1)313(1)12313n n n S ⨯-==--,211213333n n n n nT --=++++ ,①231112133333n n n n nT +-=++++ ,②①-②得23121111333333n n n n T +=++++- 1111(1)1133(1)1323313n n n n n n ++-=-=---,所以31(14323n n nn T =--⋅,所以2n n S T -=3131(1)(1043234323n nn n n n ----=-<⋅⋅,所以2nn S T <.[方法三]:构造裂项法由(Ⅰ)知13⎛⎫= ⎪⎝⎭n n b n ,令1()3αβ⎛⎫=+ ⎪⎝⎭nn c n ,且1+=-n n n b c c ,即1111()[(1)]333αβαβ+⎛⎫⎛⎫⎛⎫=+-++ ⎪ ⎪ ⎪⎝⎭⎝⎭⎝⎭nnn n n n ,通过等式左右两边系数比对易得33,24αβ==,所以331243nn c n ⎛⎫⎛⎫=+⋅ ⎪ ⎪⎝⎭⎝⎭.则12113314423nn n n n T b b b c c +⎛⎫⎛⎫=+++=-=-+ ⎪⎝⎭⎝⎭,下同方法二.[方法四]:导函数法设()231()1-=++++=- n nx x f x x x x x x,由于()()()()()()1221'111'11(1)'1(1)1n n n n n x x x x x x x x nx n x x x x +⎡⎤⎡⎤⎡⎤----⨯--+-+⎣⎦⎣⎦⎢⎥==---⎢⎥⎣⎦,则12121(1)()123(1)+-+-+=++++='- n nn nx n x f x x x nxx .又1111333-⎛⎫⎛⎫== ⎪ ⎪⎝⎭⎝⎭n n n b n ,所以2112311111233333n n n T b b b b n -⎡⎤⎛⎫⎛⎫=++++=+⨯+⨯++⋅=⎢⎥ ⎪ ⎪⎝⎭⎝⎭⎢⎥⎣⎦12111(1)11133333113n nn n f +⎛⎫⎛⎫+-+ ⎪ ⎪⎛⎫⎝⎭⎝⎭⋅=⨯ ⎪⎝⎭⎛⎫- ⎪⎝⎭'13113311(1)4334423n nnn n n +⎡⎤⎛⎫⎛⎫⎛⎫⎛⎫=+-+=-+⎢⎥ ⎪ ⎪⎪⎪⎝⎭⎝⎭⎝⎭⎝⎭⎢⎥⎣⎦,下同方法二.【整体点评】本题主要考查数列的求和,涉及到等差数列的性质,错位相减法求数列的和,考查学生的数学运算能力,是一道中档题,其中证明不等式时采用作差法,或者作商法要根据式子得结构类型灵活选择,关键是要看如何消项化简的更为简洁.(2)的方法一直接作差后利用错位相减法求其部分和,进而证得结论;方法二根据数列的不同特点,分别利用公式法和错位相减法求得,n n S T ,然后证得结论,为最优解;方法三采用构造数列裂项求和的方法,关键是构造1()3αβ⎛⎫=+ ⎪⎝⎭nn c n ,使1+=-n n n b c c ,求得n T 的表达式,这是错位相减法的一种替代方法,方法四利用导数方法求和,也是代替错位相减求和法的一种方法.8.(1)2a =-(2)()()()1212n nn a m n -=⋅-+-⋅-(3)163m <【分析】(1)根据等差中项的性质可出关于a 的等式,结合a 为负整数可得出a 的值;(2)推导出数列()2n n a ⎧⎫⎪⎪⎨-⎪⎪⎩⎭为等差数列,确定该数列的首项和公差,即可求得数列{}n a 的通项公式;(3)由2121n n a a +-<对*n ∈N 恒成立结合参变量分离法可得出1243n m +<,求出1243n +的最小值,可得出实数m 的取值范围.【详解】(1)解:由题意可得()21414383a a a a +=++++,整理可得2280a a --=,a 为负整数,解得2a =-.(2)解:因为()1122n n n a a ++=-+-,等式两边同时除以()12n +-可得()()11122n nn n a a ++-=--,所以,数列()2n n a ⎧⎫⎪⎪⎨⎬-⎪⎪⎩⎭是首项为2m -,公差为1的等差数列,故()()122n n a m n =-+--,因此,()()()1212n n n a m n -=⋅-+-⋅-.(3)解:由2121n n a a +-<对*n ∈N 恒成立得()()()()()()22122212222222n n n n m n m n +--⋅-+-<⋅--⋅⋅+-对n *∈N 均成立.()2220n --> ,不等式两边同除()222n --,得()()()482222m n m n +-⋅<+-⋅-,得1243n m +<对n *∈N 恒成立,当1n =时,1243n +取最小值163,163m ∴<.9.(1)11(1)011n n n b a nb b b b b =⎧⎪=⎨->≠⎪-⎩且(2)证明见解析【分析】(1)由题设形式可以看出,题设中给出了关于数列a n 的面的一个方程,即一个递推关系,所以应该对此递推关系进行变形整理以发现其中所蕴含的规律,观察发现若对方程两边取倒数则可以得到一个类似等差数列的形式,对其中参数进行讨论,分类求其通项即可.(2)由于本题中条件较少,解题思路不宜用综合法直接分析出,故求解本题可以采取分析法的思路,由结论探究其成立的条件,再证明此条件成立,即可达到证明不等式的目的.【详解】(1)()1121n n n nba a n a n --=≥+- 1111(2)n n n n n a b b a --∴=+⨯≥当1b =时,11(2)1n n n n n a a -=+≥-,∴数列n n a ⎧⎫⎨⎬⎩⎭是以11a 为首项,以1为公差的等差数列,1(1)1n n n n a ∴=+-⨯=,即1n a =,当0b >,且1b ≠时,11111(2)11n n n n n a b b b a -⎛⎫-+=+≥ --⎝⎭即数列11n n a b ⎧⎫+⎨⎬-⎩⎭是以11111(1)a b b b +=--为首项,公比为1b 的等比数列,111111(1)(1)n n n n a b b b b b b -⎛⎫∴+=⨯= ⎪---⎝⎭即(1)1n n nnb b a b -=-,∴数列{}n a 的通项公式是()111011n n n b a nb b b b b =⎧⎪=⎨->≠⎪-⎩且(2)证明:当1b =时,不等式显然成立当0b >,且1b ≠时,(1)1n n nnb b a b -=-,要证对于一切正整数n ,121n n a b +≤+,只需证1(1)211n n n nb b b b+-⨯≤+-,即证()11121011n nn n b b nb b b b +--≤+⨯>--)()1111n n b bb +-+⨯- ()1111n n b b b +-=+⨯-()()11211n n n b b b b +--=+⨯++⋯++()()22121121n n n n n n b b b b b b b -++--=++⋯+++++⋯++()12211111n n n n n b b b b b b bb b --⎡⎤⎛⎫=++⋯+++++⋯++ ⎪⎢⎥⎝⎭⎣⎦(222)2n n b nb ≥++⋯+=∴不等式成立,综上所述,对于一切正整数n ,有121n n a b +≤+,【点睛】本题考点是数列的递推式,考查根据数列的递推公式求数列的通项,研究数列的性质的能力,本题中递推关系的形式适合用取倒数法将所给的递推关系转化为有规律的形式,两边取倒数,条件许可的情况下,使用此技巧可以使得解题思路呈现出来.数列中有请多成熟的规律,做题时要注意积累这些小技巧,在合适的情况下利用相关的技巧,可以简化做题.在(2)的证明中,采取了分析法的来探究解题的思路,通过本题希望能进一步熟悉分析法证明问题的技巧.10.223n n b =-⋅.【分析】利用辅助法,对于数列{}n a 的递推公式,两边同时除以2n ,根据数列构造法,可得答案.【详解】∵12n n n a a -+=,两边同时除以2n 得1111222n n n n a a --+⋅=.令2n n n a c =,则1112n n c c -=-+.两边同时加上23-得1212323n n c c -⎛⎫-=-⋅- ⎪⎝⎭.∴数列23n c ⎧⎫-⎨⎬⎩⎭是以123c -为首项,12-为公比的等比数列.∴112211133232n n n c c -⎛⎫⎛⎫⎛⎫-=-⋅-=⋅- ⎪ ⎪⎝⎭⎝⎭⎝⎭,∴211332n n c ⎛⎫=+⋅- ⎪⎝⎭.∴2122(1)33n n n n n a c ==⋅+⋅-⋅.又∵1(1)3n n n b a +=-⋅,∴12(1)233n n n n b a =⋅--=-⋅,。
根据递推关系求数列通项公式的几种方法要求根据递推关系求解数列的通项公式,其实是要求找到一个能将数列的每一项都表示为n(项数)的函数的公式。
在数学中,有几种方法可以求解这类问题。
一、代数方法:对于一些简单的递推关系,可以尝试使用代数方法来求解数列的通项公式。
这种方法通过观察数列中的模式,尝试将递推关系转化为代数方程,然后解方程得到通项公式。
例如,我们考虑求解斐波那契数列的通项公式。
斐波那契数列的递推关系为:Fn=Fn-1+Fn-2,其中F1=1,F2=1我们假设通项公式为Fn=k1a^n+k2b^n,其中k1、k2为常数,a、b为待定数。
k1a^n+k2b^n=k1a^(n-1)+k2b^(n-1)+k1a^(n-2)+k2b^(n-2)整理得:k1a^2-k1a-k2=0。
解这个方程,可以得到a和b的值,然后将a和b的值代入通项公式中,即可求解斐波那契数列的通项公式。
二、特征根法:特征根法是求解一阶线性递推关系(如Fn=aFn-1+b)的通项公式的常用方法。
该方法的基本思想是,将递推关系转化为一个一阶线性常微分方程,然后解方程得到通项公式。
例如,我们考虑求解斐波那契数列的通项公式。
斐波那契数列满足的递推关系为:Fn=Fn-1+Fn-2,其中F1=1,F2=1将递推关系转化为一阶线性常微分方程得到:y''-y'-y=0其中y=Fn。
解这个方程得到的特征根为α1=(1+√5)/2,α2=(1-√5)/2通项公式可以表示为:Fn=k1(α1)^n+k2(α2)^n其中k1、k2为常数。
利用初始条件F1=1,F2=1,可以求解出k1和k2的值,进而求解出斐波那契数列的通项公式。
三、母函数法:母函数法是一种求解递推关系的高效方法,尤其适用于求解求和问题。
该方法的基本思想是,将数列视为一个幂级数的系数列,通过构造母函数来解决递推关系。
例如,我们考虑求解斐波那契数列的通项公式。
斐波那契数列的递推关系为:Fn=Fn-1+Fn-2,其中F1=1,F2=1我们假设母函数为F(x)=F0+F1x+F2x^2+F3x^3+...F(x)=x(F(x)-F0)+x^2F(x)整理得:F(x)=F0+xF(x)+x^2F(x)移项得:F(x)=F0/(1-x-x^2)。
递推数列求通项公式的常见类型及方法递推数列求通项即依据给出数列中相邻两项或几项的关系式,n a 与n S 的关系式等,求出通项公式,是数列中的重要内容,是高考中常见的题目.本文给出常见的类型和方法.1. )(1n f a a n n +=+.方法:叠加法. 令1,2,1-=n n,得21321(1)(2)(1)n n a a f a a f a a f n -=+=+=+-以上1-n 个式子相加,得111().n ni a a f i -==+∑ 例1.数列{}n a 中,)2(1,1211≥-+==-n n n a a a n n ,求数列{}n a 的通项. 解: 令n n ,,3,2 =,得212322121221331n n a a a a a a n n -=+-=+-=+-n n a a n -++-+-+=∴22211331221 11111223(1)111111(1)()()223112.a n n n n n =+++⨯⨯-=+-+-++--=- 2. )(1n f a a n n =+. 方法:累积法. 令1,2,1-=n n,得21321(1)(2)(1).n n a a f a a f a a f n -===-以上1-n 个式子求积,得)(111i f a a n i n-=∏+=. 例2. 数列{}n a 中,)2()11(,2121≥⋅-==-n a na a n n ,求数列{}n a 的通项.解: 由题1212)1)(1()11(--+-=-=n n n a nn n a n a ,令1,2,1-=n n ,得 21232212132243(1)(1)n n a a a a n n a a n -⨯=⨯=-+= 2221)1)(1(342231n n n a a n +-⋅⋅⨯⋅⨯⋅=∴ 11121.n a n n n +=⋅⋅+= 3. )0,1(1≠≠+=+q p q pa a n n . 方法一:配凑法.1().n n a p a λλ+-=-方法二:待定系数法.令)(1λλ-=-+n n a p a 比较已知得,.1q p q pλλλ-==- λ是方程q px x +=的根. q px x +=是特征方程.方程三: 两根同除以1+n p ,得111++++=n n n n n p q p a p a 转化为类型1. 例3(07.全国) 数列{}n a 中, ,3,2,1),2)(12(,21=+-==n a a a n n ,求数列{}n a 的通项. 解法一: )2)(12(1+-=+n n a a {}为公比的等比数列为首项,是以数列122222)2)(12(211--=--∴--=-∴+a a a a n n nn n na )12(2)12)(22(21-⨯=--=-∴- 故 2)12(2+-⨯=n n a解法二:令))(12(1λλ--=-+n n a a)12(2)12(-=--∴λλ 解得2=λ下同解法一.解法三:)12(2)12()2)(12(1-+-=+-=+n n n a a a两边同除以1)12(+-n ,得nn n n n a a )12(2)12()12(11-+-=-++ 令n n n n n a a b )12()12(+=-= 则n n n b b )12(21++=+.令.1,2,1-=n n 得11223112)12(2)12(2)12(2--++=++=++=n n n b b b b b b1211)12(2)12(2)12(2-+++++++=∴n n b b2)12(2)12(1])12(1)[12(2)12(21++=+-+-+⋅++=-n nn n n n b a )12(22)12(-⨯+=-=∴.4. )0,1(,1≠≠+=+q p q pa a n n n .方法一:两边同除以1+n p ,得111++++=n nn n n n p q p a p a 转化为类型一.方法二:待定系数法.令)(11-+-=-n n n n q a p q a λλ比较已知得p q q -=λ. 例4.数列{}n a 中,)1(,23,111≥+==+n a a a n n n ,求数列{}n a 的通项. 解法一:两边同除以13+n ,得1113233++++=n nn n n n a a . 令n n n a b 3=,则1132+++=n nn n b b . 令.1,2,1-=n n 得n n n n b b b b b b 323232113223212--+=+=+= n n n b b 32323213221-++++=∴ nn n n )32(1321])32(1[31323232311322-=--=++++=- n n n a 23-=∴.解法二:令)2(3211-+⋅-=-n n n n a a λλn n n 22321=-⋅∴-λλ解得2-=λ.即)2(3211n n n n a a +=+++,所以数列{}n n a2+是以321=+a 为首项,3为公比的等比数列. .23,32n n n n n n a a -==+∴故5. )1).((1≠+=+p n f pa a n n .方法:两边同除以1+n p ,得111)(++++=n n n n n pn f p a p a 转化为类型一. 例5. 数列{}n a 中,)1(,223,111≥-+==+n n a a a n n ,求数列{}n a 的通项.解: 两边同除以13+n ,得11132233+++-+=n n n n n n a a 令n nn a b 3=,得11322++-+=n n n n b b . 利用叠加法及错位相减法,以求得2123+-=n a n n . 6.)()(1n g a n f a n n +=+.方法: 两边同除以)()2()1(n f f f ,得)()2()1()()()2()1()()2()1(1n f f f n g n f f f a n f f f a n n +=+转化为类型一 例6. (2008年河南省普通高中毕业班教学质量调研考试)数列{}n a 中,)1(2)1(22,111≥++++==+n n n a n n a a n n ,求数列{}n a 的通项. 解: 令,2)(+=n n n f 则)2)(1(2211534231)()2()1(++=+⨯+-⨯⨯⨯⨯=n n n n n n n f f f 两边同除以)()2()1(n f f f ,得)2)(1(22)1(2)1(2)2)(1(21++++++=+++n n n n n n a n n a n n 即21)1(2)1()1)(2(+++=+++n na n a n n n n 令n n na n b )1(+=,则21)1(2++=+n b b n n令.1,2,1-=n n 得2122321223222n b b b b b b n n +=⨯+=⨯+=-)32(22221n b b n +++⨯+=∴3)12)(1(]16)12)(1([212++=-++⨯+⨯=n n n n n n 312+=∴n a n . 7. )(1n f a a n n =+. 方法: 由已知)1(12+=++n f a a n n ,两式相除,得)()1(2n f n f a a n n +=+. 例7. 数列{}n a 中,)1(,)31(,211≥==+n a a a n nn ,求数列{}n a 的通项. 解: 由题2,31121==a a a ,得612=a n n n a a )31(1=+ ………..① 112)31(+++=n n n a a ……...② ②÷①得 312=+n n a a k k a a a a a a 2421231,,,,,,和+∴都是以31为公比的等比数列 当n 为奇数时,21211)31(2--⋅==n n n q a a 当n 为偶数时,22222)31(61--⋅==n n n q a a ⎪⎪⎩⎪⎪⎨⎧⋅⋅=∴--为偶数,为奇数n n a n nn 2221)31(61,)31(2. 8.n n n qa pa a +=++12. 方法一: 配凑法.)(112n n n n a a a a αβα-=-+++方法二: 待定系数法. 令)(112n n n n a a a a αβα-=-+++,比较已知得 ⎩⎨⎧==+q p αββα 得出βα, 其中βα,是方程q px x +=2的两根,方程q px x +=2是特征方程.例8. 数列{}n a 中,)1(,65,5,11221≥-===++n a a a a a n n n ,求数列{}n a 的通项.解: 令)(112n n n n a a a a αβα-=-+++比较已知得⎩⎨⎧==+65αββα 得出2,3==βα )3(23112n n n n a a a a -=-∴+++数列{}n n a a 31-+是以2312=-a a 为首项,2为公比的等比数列.则n n n a a 231=-+,即n n n a a 231+=+.下同例4. 9.)0(,1≠++=+ac b aa d ca a n n n . 方法: 不动点法. 令bax d cx x ++=………(*) 若(*)有两重根,021x x x ==,则⎭⎬⎫⎩⎨⎧-01x a n为等差数列. 若(*)有两根,21x x ≠,则⎭⎬⎫⎩⎨⎧--21x a x a nn 为等比数列. 例9.(08,洛阳三练)数列{}n a 中,n n a a a -==+21,2111,求数列{}n a 的通项. 解:令xx -=21,得1=x . 111121111111-=----=---+n n n n a a a a , 为公差的等差数列为首项,是以1-2121111111-=-=-⎭⎬⎫⎩⎨⎧-∴a a n . 1)1()1(211--=-⨯-+-=-∴n n a n 1+=∴n n a n . 例10.(07.全国)数列{}n b 中,)1(3243,211≥++==+n b b b b n nn ,求数列{}n b 的通项. 解: 令3243++=x x x ,解得2,221=-=x x , 则411)12(2223243232432222+=-+-+++++=-+-+++n n n n n n n n n n b b b b b b b b b b 数列⎪⎭⎪⎬⎫⎪⎩⎪⎨⎧-+22n n b b 是以22222211-+=-+b b 为首项,4)12(+为公比的等比数列. 24)1(4)12()12(222222--+=+⋅-+=-+∴n n n nb b故1)12(1)12(22424-+++⋅=--n n nb .10. n n S a 与的关系.方法: ⎩⎨⎧-=-,,1n nn n S S S a 21≥=n n 可以向n a 转化,也可以向n S 转化.例11. 数列{}n a 的前n 项和,)1(12≥+=n a a S nn n ,求数列{}n a 的通项公式. 解法一: 1=n 时,1111212a a a S =+=,解得11=a )2(,1212111≥+=∴+=---n a a S a a S n n n nn n 两式相减得 11112---+-=n n n n n a a a a a ,)1(111--+-=-n n n n a a a a . 平方得 4)1()1(212122=+-+--n n n n a a a a . 数列⎪⎭⎪⎬⎫⎪⎩⎪⎨⎧+221n n a a 是以212121=+a a 为首项,4为公差的等差数列。
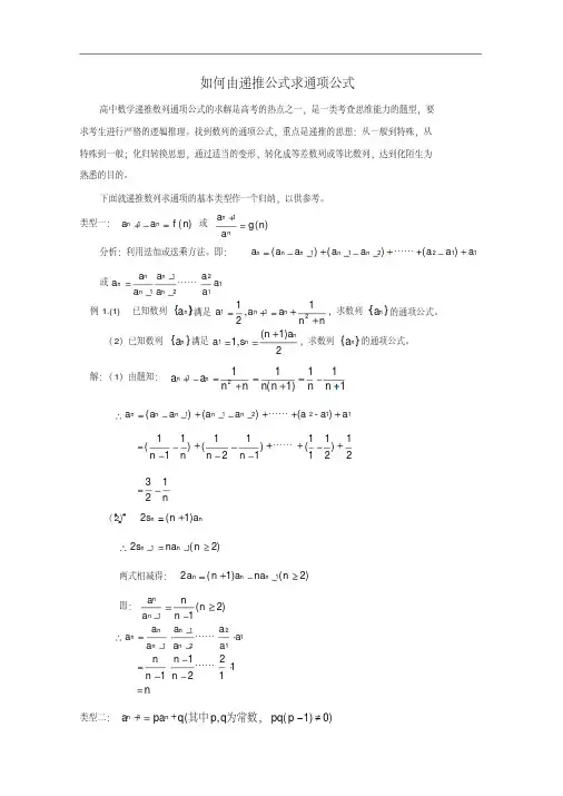
如何由递推公式求通项公式高中数学递推数列通项公式的求解是高考的热点之一,是一类考查思维能力的题型,要求考生进行严格的逻辑推理。
找到数列的通项公式,重点是递推的思想:从一般到特殊,从特殊到一般;化归转换思想,通过适当的变形,转化成等差数列或等比数列,达到化陌生为熟悉的目的。
下面就递推数列求通项的基本类型作一个归纳,以供参考。
类型一:1()nna a f n 或1()n na g n a 分析:利用迭加或迭乘方法。
即:112211()()+()nnnnna a a a a a a a ……或121121n n n nna a a a a a a a ……例1.(1)已知数列na 满足11211,2nna a a nn,求数列n a 的通项公式。
(2)已知数列n a 满足1(1)1,2nn n a a s ,求数列n a 的通项公式。
解:(1)由题知:121111(1)1nna a nnn n nn 112211()())n n n n na a a a a +(a -a a (1)111111()()()121122n n nn ……312n(2)2(1)n n s n a 112(2)nn s na n两式相减得:12(1)(2)n nna n a na n 即:1(2)1n na n n a n 121121n n nn n a a a a a a a a (121)121nn n n……n类型二:1(,(1)0)nn a pa q p q pq p 其中为常数,分析:把原递推公式转为:1(),1nnq a tp a t p其中t=,再利用换元法转化为等比数列求解。
例2.已知数列n a 中,11,123n n a a a ,求n a 的通项公式。
解:由123nn a a 可转化为:132(3)n na a 令3,nn b a 11n+1n则b =a +3=4且b =2b n b 1是以b =4为首项,公比为q=2的等比数列11422n n bn即123n na 类型三:1()(nn a pa f n 其中p 为常数)分析:在此只研究两种较为简单的情况,即()f x 是多项式或指数幂的形式。
数列11 数列的通项( 叠加法、累乘法求通项)一、具体目标:掌握用不同的数学方法求不同形式数列的通项公式.通过数列通项公式的求解过程,利用数列的变化规律,恰当选择方法,是数列的研究和探索奠定基础. 二、知识概述: 1.数列的通项公式:(1)如果数列{}n a 的第n 项与序号n 之间的关系可以用一个式子来表示,那么这个公式叫做这个数列的通项公式.即()n a f n =,不是每一个数列都有通项公式,也不是每一个数列都有一个个通项公式. (2)数列{}n a 的前n 项和n S 和通项n a 的关系:11(1)(2)n nn S n a S S n -=⎧=⎨-≥⎩.2.求数列的通项公式的注意事项:(1)根据数列的前几项求它的一个通项公式,要注意观察每一项的特点,观察出项与n 之间的关系、规律,可使用添项、通分、分割等办法,转化为一些常见数列的通项公式来求.对于正负符号变化,可用()1n-或()11n +-来调整.(2)根据数列的前几项写出数列的一个通项公式是不完全归纳法,它蕴含着“从特殊到一般”的思想.由不完全归纳法得出的结果是不可靠,要注意代值验证.(3)对于数列的通项公式要掌握:①已知数列的通项公式,就可以求出数列的各项;②根据数列的前几项,写出数列的一个通项公式,这是一个难点,在学习中要注意观察数列中各项与其序号的变化情况,分解所给数列的前几项,看看这几项的分解中.哪些部分是变化的,哪些是不变的,再探索各项中变化部分与序【考点讲解】号的联系,从而归纳出构成数列的规律,写出通项公式.3.数列通项一般有三种类型:(1)已知数列是等差或等比数列,求通项,破解方法:公式法或待定系数法;(2)已知S n ,求通项,破解方法:利用S n -S n -1= a n ,但要注意分类讨论,本例的求解中检验必不可少,值 得重视;(3)已知数列的递推公式,求通项,破解方法:猜想证明法或构造法。
4. 已知数列{}n a 的前n 项和n S ,求数列的通项公式,其求解过程分为三步: (1)先利用11a S =求出1a ;(2)用1n -替换n S 中的n 得到一个新的关系,利用=n a 1n n S S -- (2)n ≥便可求出当2n ≥时n a 的表达式; (3)对1n =时的结果进行检验,看是否符合2n ≥时n a 的表达式,如果符合,则可以把数列的通项公式合写;如果不符合,则应该分1n =与2n ≥两段来写.【注】该公式主要是用来求数列的通项,求数列通项时,一定要分两步讨论,结果能并则并,不并则分. 5. 递推公式推导通项公式方法: (1)叠加法:1()n n a a f n +-=叠加法(或累加法):已知()⎩⎨⎧=-=+n f a a a a n n 11,求数列通项公式常用叠加法(或累加法)即112211)()()(a a a a a a a a n n n n n +-++-+-=---Λ.(2)累乘法:已知()⎪⎩⎪⎨⎧==+n f a a a a nn 11求数列通项公式用累乘法. (3)待定系数法:1n n a pa q +=+(其中,p q 均为常数,)0)1((≠-p pq ) 解法:把原递推公式转化为:)(1t a p t a n n -=-+,其中pqt -=1,再利用换元法转化为等比数列求解. (4)待定系数法: nn n q pa a +=+1(其中,p q 均为常数,)0)1)(1((≠--q p pq ). (或1nn n a pa rq +=+,其中,,p q r 均为常数).解法:在原递推公式两边同除以1+n q ,得:111n n n n a a p q q q q++=⋅+,令n n n q a b =,得:q b q p b nn 11+=+,再按 第(3)种情况求解.(5)待定系数法:b an pa a n n ++=+1(100)p a ≠≠,, 1122332211a a a a a a a a a a a a n n n n n n n ⋅⋅⋅⋅⋅⋅=-----Λ解法:一般利用待定系数法构造等比数列,即令)()1(1y xn a p y n x a n n ++=++++,与已知递推式比较, 解出y x ,,从而转化为{}y xn a n ++是公比为p 的等比数列. (6)待定系数法:21(0,1,0)n n a pa an bn c p a +=+++≠≠解法:一般利用待定系数法构造等比数列,即令221(1)(1)()n n a x n y n z p a xn yn z ++++++=+++,与已知递推式比较,解出y x ,,从而转化为{}2n a xn yn z +++是公比为p 的等比数列. (7)待定系数法:n n n qa pa a +=++12(其中,p q 均为常数).解法:先把原递推公式转化为)(112n n n n sa a t sa a -=-+++其中,s t 满足s t pst q+=⎧⎨=-⎩,再按第(4)种情况求解.(8)取倒数法:1()()()nn n g n a a f n a t n +=+解法:这种类型一般是等式两边取倒数后换元转化为q pa a n n +=+1,按第(3)种情况求解.(11()()()0n n n n g n a t n a f n a a +++-=,解法:等式两边同时除以1n n a a +⋅后换元转化为q pa a n n +=+1,按第(3)种情况求解.).(9)取对数rn n pa a =+1)0,0(>>n a p解法:这种类型一般是等式两边取以p 为底的对数,后转化为q pa a n n +=+1,按第(3)种情况求解. 6. 以数列为背景的新定义问题是高考中的一个热点题型,考查频率较高,一般会结合归纳推理综合命题.常见的命题形式有新法则、新定义、新背景、新运算等.(1)准确转化:解决数列新定义问题时,一定要读懂新定义的本质含义,将题目所给定义转化成题目要 求的形式,切忌同已有概念或定义相混淆.(2)方法选取:对于数列新定义问题,搞清定义是关键,仔细认真地从前几项(特殊处、简单处)体会题意,从而找到恰当的解决方法. 类型1 )(1n f a a n n +=+解法:把原递推公式转化为)(1n f a a n n =-+,利用叠加法求解例1.设数列{}n a 中,112,1n n a a a n +==++,则通项n a = .【解析】法一:由题意可知:112,1n n a a a n +==++ 所以有()111n n a a n -=+-+,()1221n n a a n --=+-+,()2331n n a a n --=+-+,K ,3221a a =++,2111a a =++,1211a ==+将以上各式相加得:()()()123211n a n n n n =-+-+-+++++⎡⎤⎣⎦L()()()()11111111222n n n n n n n n --+⎡⎤-+⎣⎦=++=++=+ 故应填()112n n ++.法二:由题意11n n a a n +=++可得:11n n a a n +-=+, ()111n n a a n --=-+,()1221n n a a n ---=-+,()2331n n a a n ---=-+,K ,3221a a -=+,2111a a -=+,1211a ==+.将以上各式相加得:()()()123211n a n n n n =-+-+-+++++⎡⎤⎣⎦L()()()()11111111222n n n n n n n n --+⎡⎤-+⎣⎦=++=++=+ 故应填()112n n ++. 【答案】()112n n ++ 类型2 n n a n f a )(1=+ .解法:把原递推公式转化为)(1n f a a nn =+,利用叠乘法求解。
已知数列的递推公式求通项公式的方法
1.累加法:递推关系式为1()n n a a f n +-=采用累加法。
“累加法”实为等差数列通项公式的推导方法。
2.累乘法:递推关系式为
1()n n
a f n a +=采用累乘法。
“累乘法”实为等比数列通项公式的推导方法 3.构造法:递推关系式为(1)1n n a pa q +=+,(2)1n
n n a pa q +=+,
都可以通过恒等变形,构造出等差或等
比数列,利用等差或等比数列的定义进行解题,其中的构造方法可通过待定系数法来进行。
4. 和化项法:递推关系式为()n S f n =或()n n S f a =一般利用11,
1
,2
n n n S n a S S n -=⎧
=⎨-≥⎩进行转化。
例1.已知12a = , 1n a +=2132n n a -+⋅
求数列{}n a 的通项公式.
例2.已知11,a = 11
n n n a a n +=⋅
+,
求数列{}n a 的通项公式
例3.已知11,a =123n n a a +=+,
求数列{}n a 的通项公式
例5.已知43n n S a =+,
求数列{}n a 的通项公式.
例4.已知11,a =123n n n a a +=+,
求数列{}n a 的通项公式
例6.已知113
n n a S +=
,11a =,
求数列{}n a 的通项公式。
递推数列的通项公式的几种求法递推公式是给出数列的重要方法,对于递推公式确定的数列的求解,是近几年高考中的热点问题. 通常可以通过递推公式的变换,转化为等差数列或等比数列问题,有时也用到一些特殊的转化方法与特殊数列. 本文介绍求递推数列的通项公式的几种常见方法.一、累加相消法利用恒等式112211)()()(a a a a a a a a n n n n n +-+-+-=---Λ求通项公式的方法称为累加相消法. 累加相消法是求形如)(1n f a a n n =--(数列{()f n }的前n 项和可求)的递推数列通项公式的基本方法.例1 已知}{n a 中,nn n a a a 2,311+==+,求n a 。
解:由12n n n a a +=+,得112n n n a a --=+ ∴112n n n a a ---= 2122n n n a a ----=……………… 2322a a -=212a a -=∴ 以上各式相加得112212(12)22222212n n n n n a a -----=⋅⋅==--L∴ 12221n nn a a =-+=-二、累乘相消法 利用恒等式112211a a aa a a a a n n n n n ⋅⋅⋅=---Λ求通项公式的方法称为累乘相消法. 累乘相消法是求形如)(1n g a a n n=-(数列{()}g n 的前n 项积可求)的递推数列通项公式的基本方法. 例2 已知}{n a 中,12n n na a n +=+,且12a =,求数列}{n a 的通项公式.解:由12n n na a n +=+,得12n na n a n +=+ ∴2113a a =,3224a a =,4335a a =,5446a a =,……,122n n a n a n---=,111n n a n a n --=+ ∴以上各式相乘,得11232123451(1)n a n n a n n n n --=⋅⋅⋅=++L ∴ 4(1)n a n n =+ 例3 已知数列{a n },满足a 1=1,a n =a 1+2a 2+3a 3+…+(n -1)a n -1(2n …),则{a n }的通项 1,1_______,2n n a n =⎧=⎨⎩…解:由1321)1(32--+++=n n a n a a a a Λ ,得23211)2(32---+++=n n a n a a a a Λ(3n …)两式相减得:11)1(---=-n n n a n a a ,即n a a n n=-1(3n …) 用累乘相消法可得132122n n n n n a a a a a a a a ---=⋅⋅⋅L !2n = 三、迭代法通过对递推关系进行适当变形后,用下标较小的项替代下标较大的项,通过累次运算,最终得出通项公式.例4 已知数列{}n a 的各项都是正数,且满足:*1111,(4),2n n n a a a a n N +==⋅-∈. 求数列{}n a 的通项公式a n .解:2111(4)[(2)4]22n n n n a a a a +=-=--+,所以211(2)(2)2n n a a +-=-- 令2n n b a =-,则212222212221211111111()()()222222n nn n n n b b b b b -+++---=-=--=-⋅==-L L 又11b =-,所以211()2nn b -=-,即21122()2nn n a b -=+=-四、转化法通过变换递推关系,将非等差、等比数列转化为与等差、等比有关的数列而求得通项公式的方法称为转化法. 常用的转化途径有:1.配凑变换——将递推公式1n n a ca b -=+ (b 、c 是常数,且c ≠1)通过配凑变成1()11n n b b a c a c c -+=+--。
递推式求数列通项公式常见类型及解法对于由递推式所确定的数列通项公式问题,通常可通过对递推式的变形转化成等差数列或等比数列,也可以通过构8造把问题转化。
下面分类说明。
一、型例1. 在数列{a}中,已知,求通项公式。
n解:已知递推式化为,即,所以。
将以上个式子相加,得,所以。
二、型例2. 求数列的通项公式。
解:当,即当,所以。
三、型例3. 在数列中,,求。
解法1:设,对比,得。
于是,得,以3为公比的等比数列。
所以有。
解法2:又已知递推式,得上述两式相减,得,因此,数列是以为首项,以3为公比的等比数列。
所以,所以。
四、型例4. 设数列,求通项公式。
解:设,则,,所以,即。
设这时,所以。
由于{b}是以3为首项,以为公比的等比数列,所以有。
n由此得:。
说明:通过引入一些尚待确定的系数转化命题结构,经过变形与比较,把问题转化成基本数列(等差或等比数列)。
五、型例5. 已知b≠0,b≠±1,,的通项公式。
写出用n和b表示an解:将已知递推式两边乘以,得,又设,于是,原递推式化为,仿类型三,可解得,故。
说明:对于递推式,可两边除以,得,引入辅助数列,然后可归结为类型三。
六、型例6. 已知数列,求。
解:在两边减去。
所以为首项,以。
所以令上式,再把这个等式累加,得。
所以。
说明:可以变形为,就是,则可从,解得,于是是公比为的等比数列,这样就转化为前面的类型五。
等差、等比数列是两类最基本的数列,是数列部分的重点,自然也是高考考查的热点,而考查的目的在于测试灵活运用知识的能力,这个“灵活”往往集中在“转化”的水平上。
转化的目的是化陌生为熟悉,当然首先是等差、等比数列,根据不同的递推公式,采用相应的变形手段,达到转化的目的。
构建新数列巧解递推数列题1 求通项求通项是递推数列竞赛题的常见题型,这类问题可通过构建新数列进行代换,使递推关系式简化,这样就把原数列变形转化为等差数列、等比数列和线性数列等容易处理的数列,使问题由难变易,所用的即换元和化归的思想。
递推数列求通项公式的典型方法1、 a n+1=a n +f (n )型 累加法:a n =(a n -a n-1)+(a n-1-a n-2)+…+(a 2-a 1)+ a 1 =f (n-1)+f (n-2)+…f (1)+ a1例1 已知数列{a n }满足a 1=1,a n+1=a n +2n (n ∈N *), 求a n 解: a n =(a n -a n-1)+(a n-1-a n-2)+…+(a 2-a 1)+ a 1 =2n-1+2n-2+…+21+1=2n -1(n ∈N *)例 在数列{n a }中,31=a ,)1(11++=+n n a a n n ,求通项公式n a .解:原递推式可化为:1111+-+=+n n a a n n则,211112-+=a a 312123-+=a a413134-+=a a ,……,nn a a n n 1111--+=-逐项相加得:n a a n 111-+=.故na n 14-=2、)(1n g a ann =+型累积法:112211.....a a aa a a a a n n n n n ---=所以()()()()11...321a g n g n g n g a n ---=∴例2:已知数列{a n }满足()*1N n n a ann ∈=+,.11=a 求n a解:112211...a a aa a a a a n n n n n ---==()()()()!11...321-=---n n n n ()()+∈-=∴N n n a n !1例2 设数列{n a }是首项为1的正项数列,且0)1(1221=+-+++n n n n a a na a n (n=1,2,3…),则它的通项公式是n a =▁▁▁(2000年高考15题). 解:原递推式可化为:)]()1[(11n n n n a a na a n +-+++=0 ∵ n n a a ++1>0,11+=+n na a n n 则,43,32,21342312===a a a a a a ……,nn a a n n 11-=- 逐项相乘得:n a a n 11=,即n a =n1. 3.q pa a n n +=+1型(p,q 为常数)方法:(1)⎪⎪⎭⎫⎝⎛-+=-++111p q a p p q a n n ,再根据等比数列的相关知识求n a . (2)()11-+-=-n n n n a a p a a 再用累加法求n a .(3)111++++=n n n n n p qp a p a ,先用累加法求n n p a 再求n a 例3.已知{}n a 的首项a a =1(a 为常数),()2,21≥∈=+-n N n a a n n ,求n a解 设()λλ-=--12n n a a ,则1-=λ ()1211+=+∴-n n a a{}1+∴n a 为公比为2的等比数列。
思路探寻求递推数列的通项公式问题是一类难度系数较大的问题,侧重于考查同学们的运算和推理能力.求递推数列的通项公式问题中的递推式多种多样,解答这类问题的关键是合理整合递推式,将问题转化为简单的、易于求解的数列问题.本文主要分析三类递推数列通项公式的求法.一、a n +1=qa n -1+d 型递推数列对于形如a n +1=qa n -1+d (q ≠1,d ≠0)的递推数列问题,我们一般采用待定系数法进行求解.在解题时,要先设出待定系数m ,使a n +1+m =q (a n −1+m ),然后将其与原递推式中对应项的系数相比较,建立含有待定系数的方程或方程组,解方程或方程组,求出待定系数的值,就能构造出一个等比数列{}a n +m ,再根据等比数列的通项公式就可以求出数列{}a n 的通项公式.例1.在若数列{}a n 中,a 1=1,a n +1=12a n +1()n ∈N +,求a n .解:令a n +1+m =12()a n+m ,则m =-2,所以{}a n -2是首项为-1,公比为12的等比数列,所以a n -2=-æèöø12n -1,即a n =-æèöø12n -1+2.该递推式属于a n +1=qa n -1+d 型,因此我们需从a n +1=12a n +1入手,运用待定系数法进行求解.二、a n +1=ca n +f ()n 型递推数列当遇到形如a n +1=ca n +f ()n (c ≠0)型的数列递推式时,一般要先将递推式变形为a n +1f ()n =ca nf ()n +1的形式,然后令a n f ()n =b n ,得到b n +1=c q b n +1q ,这样便将问题转化求a n +1=qa n −1+d 型递推数列的通项公式.运用待定系数法构造出等比数列便可解答出来.例2.在数列{}a n 中,a 1=1,a n +1=3a n +2n ()n ∈N +,求a n .解:由a n +1=3a n +2n得2∙a n +12n +1=3∙a n 2n +1,令b n =a n 2n ,则b n +1=32b n +12.由待定系数法得b n +1+1=32(b n +12),令c n =b n +1,则c n +1=32c n ,所以{}c n 是首项为c 1=b 1+1=32,公比为32的等比数列,所以c n =æèöø32n,b n =æèöø32n-1,即a n =2n ∙b n =32-2n .我们先通过换元,把分散的条件联系起来,让隐含的条件显露出来,将问题转化为求a n +1=qa n −1+d 型递推数列的通项公式.再运用待定系数法便可求出数列的通项公式.三、a n +1∙a n =ca n +1+da n 型递推数列对于形如a n +1∙a n =ca n +1+da n (c ≠0,d ≠0)递推数列,在求其通项公式时,我们先要在递推式的两边同时除以a n +1·a n ,得到c a n +da n +1=1,将问题转化为a n +1=qa n −1+d 型递推数列问题,再运用待定系数法求解即可.例3.已知数列{}a n 满足:a n ≠0,且a n =3a n -1a n -1+3()n ≥2,a 1=12,求数列的通项公式.解:在递推式a n =3a n -1a n -1+3的两边取倒数得1a n =1a n -1+13,所以数列{}a n 是首项为1a 1=2、公差为13的等差数列,所以1a n=2+()n -1∙13=13()n +5,所以a n =3n +5.我们先在递推式的两边取倒数,便可构造出首项为1a 1=2、公差为13的等差数列,再根据等差数列的通项公式求得数列的通项公式.虽然求递推式数列的通项公式问题的难度较大,但是我们只要掌握方法,善于整合数列的递推式,将问题转化为等比、等差数列问题进行求解,问题便能迎刃而解.在解题时,要抓住关键,重点分析数列的递推式,将其合理进行变形,如引入待定系数、取倒数、换元等,构造出等差、等比数列,根据等差、等比数列的通项公式进行求解.(作者单位:湖北省襄阳市南漳县第一中学)谈谈三类递推数列通项公式的求法石磊53Copyright©博看网 . All Rights Reserved.。
递推数列通项公式的求法递推数列是指通过前一项或前几项推导出后一项的数列。
通项公式是指通过数列中的任意一项可以直接计算出该项的数值的公式。
在求递推数列的通项公式时,可以使用多种方法,包括直接法、联立方程法、差分法、母函数法等。
下面将详细介绍这些方法。
一、直接法二、联立方程法联立方程法适用于一些复杂的递推数列,通过联立多个方程来求出通项公式。
该方法需要已知的一些数列值,然后根据这些值建立方程组,通过解方程组来求得通项公式。
例如,对于数列1,3,7,13,21,...,我们可以通过观察得到an = a(n-1) + 2n-1、然后,我们可以通过已知项确定初始值,如a1 = 1、通过逐一代入这些值,可以得到如下的方程组:a2 = a1 + 2(2) - 1,a3 = a2 + 2(3) - 1,...,以此类推。
然后我们可以通过求解这个方程组来得到数列的通项公式。
三、差分法差分法是通过求解数列项之间的差分来求得通项公式。
该方法常用于递推数列的高阶通项公式的求解。
对于数列an,我们可以通过计算an+1- an的值,然后继续计算相邻项之间的差分,直到得到一个关于n的表达式。
例如,对于数列1,3,6,10,15,...,我们可以计算出相邻项之间的差分:2,3,4,5,...。
我们发现这个差分数列是一个等差数列,其通项公式为an = n(n+1)/2、通过这个通项公式,我们可以进一步求得原数列的通项公式。
四、母函数法母函数法是一种重要的数学工具,适用于一些复杂的递推数列。
该方法通过构造一个函数来表示数列的各项,然后通过求解函数的表达式来得到数列的通项公式。
例如,对于数列1,1,2,3,5,...,我们可以构造一个函数F(x)=1+x+x^2+x^3+x^4+...。
我们可以通过求解这个函数关于x的表达式来得到数列的通项公式。
这个函数有一个特点,即F(x)=xF(x)+1,通过求解这个方程我们可以得到F(x)=1/(1-x)。
求递推数列的通项公式的十一种方法
递推数列是一种数学数列,其中每一项都是由前一项推算出来的。
通
项公式则是通过已知的数列项之间的关系,找出数列的整体规律,从而可
以直接计算任意一项的值。
下面将介绍11种方法来推导递推数列的通项公式。
1.递归定义法
递归定义法是通过规定数列的首项以及前面项与后面项之间的关系,
来表达出数列的通项公式。
2.直接求和法
直接求和法是通过将数列的前n项求和,并将结果化简得出通项公式。
3.递推关系法
递推关系法是通过规定数列前两项之间的关系,并将该关系推广到前
n项之间的关系,从而求出通项公式。
4.变量代换法
变量代换法是通过引入新的变量,将原数列表示成一个新的数列,从
而得到新数列的通项公式。
5.假设公式法
假设公式法是通过猜测数列的通项公式,并验证猜测的公式是否符合
已知项的规律。
6.拆项法
拆项法是通过拆解数列的项,将数列表示成两个或多个部分,再求和得出通项公式。
7.枚举法
枚举法是通过穷举数列的前几项,找出数列项之间的规律,推算出通项公式。
8.差分法
差分法是通过计算数列项之间的差值,找出数列项之间的规律,从而得到通项公式。
9.生成函数法
生成函数法是通过将数列视为多项式的系数,构造一个生成函数,再通过求导、积分等运算得到通项公式。
10.求和公式法
求和公式法是通过利用已知的数列求和公式,计算数列的前n项和,并化简得出通项公式。
11.对称性法
对称性法是通过观察数列的对称性,推断出数列的通项公式。
三大类递推数列通项公式的求法
湖北省竹溪县第一高级中学徐鸿
一、一阶线性递推数列求通项问题
一阶线性递推数列主要有如下几种形式:
1.
这类递推数列可通过累加法而求得其通项公式(数列{f(n)}可求前n项和).
当为常数时,通过累加法可求得等差数列的通项公式.而当为等差数列时,
则为二阶等差数列,其通项公式应当为形式,注意与等差数列求和公式一般形式的区别,后者是,其常数项一定为0.
2.
这类递推数列可通过累乘法而求得其通项公式(数列{g(n)}可求前n项积).
当为常数时,用累乘法可求得等比数列的通项公式.
3.;
这类数列通常可转化为,或消去常数转化为二阶递推式
.
例1已知数列中,,求的通项公式.
解析:解法一:转化为型递推数列.
∵∴又,故数列{}是首项为2,公比为2的等比数列.∴,即.
解法二:转化为型递推数列.
∵=2x n-1+1(n≥2) ①∴=2x n+1 ②
②-①,得(n≥2),故{}是首项为x
2-x
1
=2,
公比为2的等比数列,即,再用累加法得.解法三:用迭代法.
当然,此题也可用归纳猜想法求之,但要用数学归纳法证明.
例2已知函数的反函数为
求数列的通项公式.
解析:由已知得,则.
令=,则.比较系数,得.
即有.∴数列{}是以为首项,为
公比的等比数列,∴,故.
评析:此题亦可采用归纳猜想得出通项公式,而后用数学归纳法证明之.
(4)
若取倒数,得,令,从而转化为(1)型而求之.
(5);
这类数列可变换成,令,则转化为(1)型一阶线性递推公式.
例3设数列求数列的通项公式.解析:∵,两边同除以,得.令,则有.于是,得,∴数列是以首项为,公比为的等比数列,故,即,从而.例4设求数列的通项公式.
解析:设用代入,可解出.
∴是以公比为-2,首项为的等比数列.
∴,
即.
(6)
这类数列可取对数得,从而转化为等差数列型递推数列.
二、可转化为等差、等比数列或一些特殊数列的二阶递推数列
例5设数列求数列
的通项公式.
解析:由可得
设
故即用累加法得
或
例6在数列求数列的通项公式.
解析:可用换元法将其转化为一阶线性递推数列.
令使数列是以为公比的等比数列(待定).
即∴对照已给递推式,有即的两个实根.
从而
∴①
或②
由式①得;由式②得.
消去.
例7在数列求.
解析:由①,得②.
式②+式①,得,从而有.∴数列是以6为其周期.故
==-1.
三、特殊的n阶递推数列
例8已知数列满足,求
的通项公式.
解析:∵①
∴②
②-①,得.∴故有
将这几个式子累乘,得
又
例9数列{}满足,求数列{}的同项公式.解析:由①,得②.式①-式②,得,或,故有
.
∴,.
将上面几个式子累乘,得,即.
∵也满足上式,∴.
特征方程法求解递推关系中的数列通项
.
设已知数列的项满足
其中求这个数列的通项公式.
采用数学归纳法可以求解这一问题,然而这样做太过繁琐,而且在猜想通项公式中容易出错,本文提出一种易于被学生掌握的解法——特征方程法:针对问题中的递推关系式作出
一个方程称之为特征方程;借助这个特征方程的根快速求解通项公式.下面以定理形式进行阐述.
定理1设上述递推关系式的特征方程的根为,则当时,为常数列,即
,其中是以为公比的等比数列,即
.
证明:因为由特征方程得作换元
则
当时,,数列是以为公比的等比数列,故
当时,,为0数列,故(证毕)
下面列举两例,说明定理1的应用.
例1已知数列满足:求
解:作方程
当时,数列是以为公比的等比数列.于是
例2已知数列满足递推关系:其中为虚数单位.
当取何值时,数列是常数数列?
解:作方程则
要使为常数,即则必须
现在考虑一个分式递推问题(*).
例3已知数列满足性质:对于且求的通项公式.
将这问题一般化,应用特征方程法求解,有下述结果.
定理2如果数列满足下列条件:已知的值且对于,都有
(其中p、q、r、h均为常数,且),那么,可作特征方程.
(1)当特征方程有两个相同的根(称作特征根)时,
若则
若,则其中特别地,当存在使时,无穷数列不存在.
(2)当特征方程有两个相异的根、(称作特征根)时,则,
其中
证明:先证明定理的第(1)部分.
作交换
则
①
∵是特征方程的根,∴
将该式代入①式得②
将代入特征方程可整理得这与已知条件矛盾.故特征方程的
根于是③
当,即=时,由②式得故
当即时,由②、③两式可得此时可对②式作如下变化:
④
由是方程的两个相同的根可以求得
∴
将此式代入④式得
令则故数列是以为公差的等差数列.
∴
其中
当时,
当存在使时,无意义.故此时,无穷数列是不存在的.
再证明定理的第(2)部分如下:
∵特征方程有两个相异的根、,∴其中必有一个特征根不等于,不妨令
于是可作变换
故,将代入再整理得
⑤
由第(1)部分的证明过程知不是特征方程的根,故
故所以由⑤式可得:
⑥
∵特征方程有两个相异根、方程有两个相异根、,而方程与方程又是同解方程.
∴
将上两式代入⑥式得
当即时,数列是等比数列,公比为.此时对于都有
当即时,上式也成立.
由且可知
所以(证毕)
注:当时,会退化为常数;当时,可化归为较易解的递推关系,在此不再赘述.
现在求解前述例3的分类递推问题.
解:依定理作特征方程变形得其根为故特征方程有两个相异的根,使用定理2的第(2)部分,则有
∴
∴
即
例4已知数列满足:对于都有
(1)若求(2)若求(3)若求(4)当取哪些值时,无穷数列不存在?
解:作特征方程
变形得
特征方程有两个相同的特征根依定理2的第(1)部分解答.
(1)∵对于都有
(2)∵
∴
令,得.故数列从第5项开始都不存在,
当≤4,时,.
(3)∵∴
∴
令则∴对于
∴
(4)显然当时,数列从第2项开始便不存在.由本题的第(1)小题的解答过程
知,时,数列是存在的,当时,则有
令则得
且≥2.
∴当(其中且N≥2)时,数列从第项开始便不存在.
于是知:当在集合或且≥2}上取值时,无穷数列都不存在.。