数列求和专题复习
- 格式:doc
- 大小:210.62 KB
- 文档页数:7
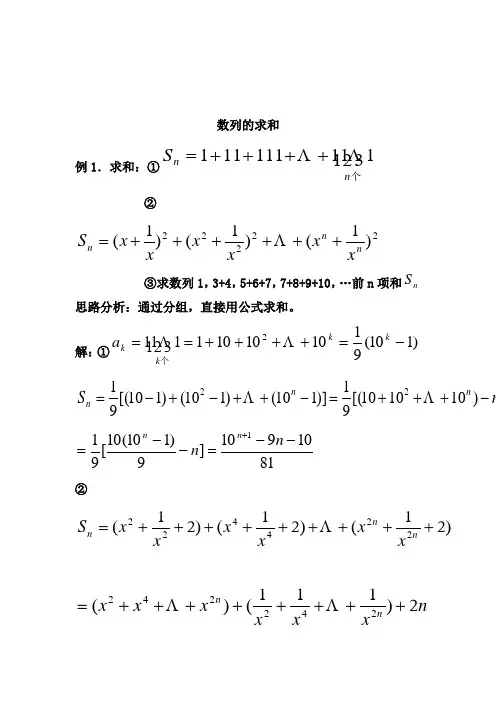
数列的求和例1.求和:①个n n S 111111111++++=②22222)1()1()1(n nn xx x x x x S ++++++=③求数列1,3+4,5+6+7,7+8+9+10,…前n 项和n S 思路分析:通过分组,直接用公式求和。
解:①)110(9110101011112-=++++==kkk k a 个)101010[(91)]110()110()110[(9122nS nn n -+++=-++-+-= 8110910]9)110(10[911--=--=+n n n n ②)21()21()21(224422+++++++++=n nn xx x x x x Snxx x x x x n n2)111()(242242++++++++=(1)当1±≠x时,(2)n x x x x n x x x x x x S n n n n n n 2)1()1)(1(21)1(1)1(22222222222+-+-=+--+--=+--- (2)当n S x n 4,1=±=时③)]1()12[()12(2)12(-+-+++++-=k k k k k a kkk k k k 23252)]23()12[(2-=-+-=)21(23)21(2522221n n a a a S n n +++-+++=+++=2)1(236)12)(1(25+-++⋅=n n n n n )25)(1(61-+=n n n 总结:运用等比数列前n 项和公式时,要注意公比11≠=q q 或讨论。
2.错位相减法求和例2.已知数列)0()12(,,5,3,112≠--a an a a n ,求前n 项和。
思路分析:已知数列各项是等差数列1,3,5,…2n-1与等比数列120,,,,-n aa a a对应项积,可用错位相减法求和。
解:()1)12(53112--++++=n na n a a S ()2)12(5332nnan a a a aS -++++=()()nn n a n a a a a S a )12(22221)1(:21132--+++++=---当nn n n a a a S a a )12()1()1(21)1(,121----+=-≠-时 21)1()12()12(1a a n a n a S n n n --++-+=+当2,1nS a n ==时3.裂项相消法求和例3.求和)12)(12()2(534312222+-++⋅+⋅=n n n S n思路分析:分式求和可用裂项相消法求和.解: )12)(12(11)2()12)(12()2(22+-+-=+-=k k k k k k a k)121121(211)12)(12(11+--+=+-+=k k k k )]121121()5131()311[(2121+--++-+-+=+++=n n n a a a S n n 12)1(2)1211(21++=+-+=n n n n n练习:求n n an a a a S ++++= 32321答案: ⎪⎪⎩⎪⎪⎨⎧≠----=+=)1()1()1()1()1(2)1(2a a a a n a a a n n S n nn4.倒序相加法求和 例4求证:nn nnnnn C n C C C 2)1()12(53210+=+++++思路分析:由m n nm n C C -=可用倒序相加法求和。
高考数学专题复习题:数列求和一、单项选择题(共8小题)1.某旅游景区计划将山脚下的一片荒地改造成一个停车场,根据地形,设计7排停车位,靠近山脚的第1排设计9个停车位,从第2排开始,每排设计的停车位个数是上一排的2倍减去8,则设计的停车位的总数是( ) A .172B .183C .286D .3112.在数列{}n a 中,已知112a =,1(2)n n n a na ++=,则它的前30项的和为( ) A .1929B .2829C .2930D .30313.已知{}n a 是递增的等比数列 ,且34528++=a a a ,等差数列{}n b 满足23b a =,542b a =+,85b a =.如果m 为正整数,且对任意的*n ∈N ,都有12231nn b b b m a a a +≥+++,那么m 的最小值为( ) A .8B .7C .5D .44.数列{}n a 的前n 项和为n S ,11a =−,*(1)(N )n n na S n n n =+−∈,设(1)n n n b a =−,则数列{}n b 的前51项之和为( ) A .149−B .49−C .49D .1495.已知递推数列{}n a 满足11a =,()*121n n a a n +=+∈N ,如果n S 是数列{}n a 的前n 项和,那么9S =( ) A .9210−B .9211−C .10210−D .10211−6.如图,某地毯是一系列正方形图案,在4个大正方形中,着色的小正方形的个数依次构成一个数列{a n }的前4项. 记12100111S a a a =++⋅⋅⋅+,则下列结论正确的为( )A .87S >B .87S =C .87S <D .S 与87的大小关系不能确定7.已知首项为2的数列{}n a 满足114522n n n n a a a a ++−−=,当{}n a 的前n 项和16n S ≥时,则n 的最小值为( ) A .40B .41C .42D .438.如图,用相同的球堆成若干堆“正三棱锥”形的装饰品,其中第1堆只有1层,且只有1个球;第2堆有2层4个球,其中第1层有1个球,第2层有3个球;依次递推;第n 堆有n 层共n S 个球,第1层有1个球,第2层有3个球,第3层有6个球,依次递推.已知201540S =,则2021n n ==∑( )A .2290B .2540C .2650D .2870二、多选题(共3小题)9.已知函数()f x 满足22()()()()f x y f x y f x f y +−=−,(1)1f =,(2)0f =,下列说法正确的是( ) A .(3)1f =−B .(2024)0f =C .21()x k k =+∈Z 时,()(1)kf x =−D .20241()2024k f k ==∑10.利用不等式“ln 10x x −+≤,当且仅当x =1时,等号成立”可得到许多与n (2n ≥且*n ∈N )有关的结论,则下列结论正确的是( ) A .111ln 1231n n <+++⋅⋅⋅+− B .1111ln 4562n n>+++⋅⋅⋅+C .()()()()12121412e 2n n n+++⋅⋅⋅+>⋅D .e12e 1n n n n n ++⋅⋅⋅+<⋅− 11.“杨辉三角”是二项式系数在三角形中的一种几何排列,从第1行开始,第n 行从左至右的数字之和记为n a ,如{}12112,1214,,n a a a =+==++=⋅⋅⋅的前n 项和记为n S ,依次去掉每一行中所有的1构成的新数列2,3,3,4,6,4,5,10,10,5,...,记为{b n },{b n }的前n 项和记为n T ,则下列说法正确的有( )A .101022S =B .12n n n a S S +⎧⎫⎨⎬⋅⎩⎭的前n 项和21122n a +−− C .5766b =D .574150T =三、填空题(共3小题)12.在数列{}n a 中,11a =且1n n a a n +=,当20n ≥时,1231112n n na a a a a λ+++⋅⋅⋅+≤+−,则实数λ的取值范围为__________.13.已知数列{}n a 满足111,21n n a a a n +=+=+,则其前9项和9S =__________,数列1n S ⎧⎫⎨⎬⎩⎭的前2024项的和为__________. 14.函数()[]f x x =称为高斯函数,其中[]x 表示不超过x 的最大整数,如][2.32, 1.92⎡⎤=−=−⎣⎦,已知数列{}n a 满足121,5a a ==,2145n n n a a a +++=,若[]21log ,n n n b a S +=为数列18108n n b b +⎧⎫⎨⎬⋅⎩⎭的前n 项和,则[]2025S =__________.四、解答题(共5小题)15.已知数列{}n a ,{}n b 中,14a =,12b =−,{}n a 是公差为1的等差数列,数列{}n n a b +是公比为2的等比数列. (1)求数列{}n b 的通项公式. (2)求数列{}n b 的前n 项和n T . 16.已知数列{}n a 满足122n n a a n +−=+. (1)证明:数列{}2n a n −是等差数列.(2)若12a =,求数列1n a ⎧⎫⎨⎬⎩⎭的前n 项和n S .17.已知数列{}n a 是递增的等差数列,它的前三项和为9,前三项的积为15. (1)求数列{}n a 的通项公式. (2)记b n =1(an+1)2,设数列{}n b 的前n 项和为n T ,求证:14n T <.18.已知{}n a 是等差数列,{}n b 是等比数列,且{}n b 的前n 项和为n S ,1122a b ==,()5435a a a =−,在①()5434b b b =−,②12n n b S +=+这两个条件中任选其中一个,完成下面问题的解答.(1)求数列{}n a 和{}n b 的通项公式.(2)设数列n n a b ⎧⎫⎨⎬⎩⎭的前n 项和为n T ,求n T .19.已知2()cos 2x f x a x =+.(1)若()f x 在π0,2⎡⎤⎢⎥⎣⎦上单调递增,求a 的取值范围.(2)证明:()2*11112111tan1212tan 3tantan 23n nn n n n−++++>∈+N . 参考答案12.(],1−∞13.45,4048202514.202515.(1)23nn b n =−− (2)n T 217222n n n+−−− 16.(1)通过构造()()22111n n a n a n +⎡⎤−+−−=⎣⎦证明即可 (2)1n nS n =+. 17.(1)21n a n =− (2)先求数列{}n b 的通项,放缩后再裂项求和即可证明。
专题二:数列求和的基本方法一.利用常用求和公式求和 1.等差数列求和公式:11()(1)22n n n a a n n S na d +-==+2.等比数列求和公式:111(1)(1)(1)11n n n na q S a a q a q q q q =⎧⎪=--⎨=≠⎪--⎩3.1123(1)2n S n n n =++++=+ 4.22221123(1)(21)6n S n n n n =++++=++5.333321123[(1)]2n S n n n =++++=+ 例1.设123,n S n n N *=++++∈ ,求1()(32)nn S f n n S +=+的最大值。
练习:1.已知数列2{log (1)},n a n N *-∈为等差数列,且133,9a a ==。
(1)求数列{}n a 的通项公式; (2)求21321111n na a a a a a ++++--- 。
二.错位相减法这种方法是在推导等比数列的前n 项和公式时所用到的方法,主要用于求数列{}n n a b ⋅的前n 项和,其中{},{}n n a b 分别是等差数列和等比数列。
例2.求23222322nn S n =+⋅+⋅++⋅ 。
例3.求数列2313521,,,,nn a aaa- 的前n 项和n S 。
练习: 2.求数列3621,1,,,,22nn 的前n 项和。
3.求和:21159(43)n x x n x -++++- 。
4.已知点1(,2)n n n a a ++在直线2x y =上,其中n=1,2,3,...。
(1)若()2n n na b n N *=∈,求证:数列{}n b 是等差数列;(2)若11a =,求数列{}n a 的前n 项和n S 。
5.设数列{}n a 满足21123333,3n n n a a a a n N -*++++=∈ 。
(1)求数列{}n a 的通项公式; (2)设n nn b a =,求数列{}n b 的前n 项和n S 。
数列求和专题一.公式法(已知数列是等差或等比数列可以直接使用等差或等比的求和公式求和) 二.分组求和法若数列的通项是若干项的代数和,可将其分成几部分来求.例1:求数列11111246248162n n ++L ,,,,,…的前n 项和n S .- 23411111111(2462)(1)222222n n n S n n n ++⎛⎫=+++++++++=++- ⎪⎝⎭L L .例2: 求数列5,55,555,…,55…5 的前n 项和S n解: 因为55…5=)110(95-n 所以 S n =5+55+555+...+55 (5)=[])110()110()110(952-+⋅⋅⋅+-+-n=⎥⎦⎤⎢⎣⎡---n n 110)110(1095 =815095108150--⨯n n 练习:、求数列11111,2,3,4,392781L 的前n 项和。
解:211223nn n ++-⋅三.错位相减法这种方法是在推导等比数列的前n 项和公式时所用的方法,这种方法主要用于求数列{a n · b n }的前n 项和,其中{ a n }、{ b n }分别是等差数列和等比数列.例: 求和:132)12(7531--+⋅⋅⋅++++=n n x n x x x S ………(0x ≠)解: 当x=1时,23121315171(21)1135(21)n n S n n n -=+∙+∙+∙+⋅⋅⋅+-∙=++++-=当x ≠1时, 132)12(7531--+⋅⋅⋅++++=n n x n x x x S ………………. ① ①式两边同乘以x 得n xS = 231135(23)(21)n n x x x n x n x -+++⋅⋅⋅+-+-………② (设制错位)①-②得 n n n x n xx x x x S x )12(222221)1(1432--+⋅⋅⋅+++++=-- (错位相减)再利用等比数列的求和公式得:n n n x n xx x S x )12(1121)1(1----⋅+=-- ∴ 21)1()1()12()12(x x x n x n S n n n -+++--=+n练习: 1:求数列⋅⋅⋅⋅⋅⋅,22,,26,24,2232n n 前n 项的和. 1224-+-=n n n S2. 已知数列.}{,)109()1(n n nn S n a n a 项和的前求⨯+=四.裂项相消法 常见的拆项公式有:1()n n k =+111()k n n k -+=1k,1(21)(21)n n =-+111()22121n n --+,等. 例1:求数列311⨯,421⨯,531⨯,…,)2(1+n n ,…的前n 项和S. 解:∵)2(1+n n =211(21+-n n )S n =⎥⎦⎤⎢⎣⎡+-+⋅⋅⋅+-+-)211()4121()311(21n n =)2111211(21+-+--n n =42122143+-+-n n 例2:设9)(2+=x x f ,(1)若;),2(),(,111n n n u n u f u u 求≥==-(2)若;}{,,3,2,1,11n n k k k S n a k u u a 项和的前求数列 =+=+解:(1)}{),2(9122121n n nu n u u u ∴⎩⎨⎧≥+==- 是公差为9的等差数列,,89,0,892-=∴>-=∴n u u n u n n n(2)),8919(9119891--+=++-=k k k k a k);119(91)]8919()1019()110[(91-+=--+++-+-=∴n n n S n练习: 1、 求数列2112+,2124+,2136+,2148+,…的前n 项和n S .2、求数列⋅⋅⋅++⋅⋅⋅++,11,,321,211n n 的前n 项和.五.倒序相加法这是推导等差数列的前n 项和公式时所用的方法,就是将一个数列倒过来排列(反序),再把它与原数列相加,就可以得到n 个)(1n a a +.例1:求89sin 88sin 3sin 2sin 1sin 22222++⋅⋅⋅+++的值解:设89sin 88sin 3sin 2sin 1sin 22222++⋅⋅⋅+++=S …………. ①将①式右边反序得1sin 2sin 3sin 88sin 89sin 22222+++⋅⋅⋅++=S …………..② (反序) 又因为 1cos sin ),90cos(sin 22=+-=x x x x①+②得 (反序相加))89cos 89(sin )2cos 2(sin )1cos 1(sin 2222222 ++⋅⋅⋅++++=S =89∴ S =44.5例2: 求222222222222123101102938101++++++++的和. 解:设222222222222123101102938101S =++++++++ 则222222222222109811012938101S =++++++++.两式相加,得 2111105S S =+++=∴=,.练习:设221)(xx x f +=,求:⑴)4()3()2()()()(111f f f f f f +++++; ⑵).2010()2009()2()()()()(21312009120101f f f f f f f ++++++++ 【解题思路】观察)(x f 及⎪⎭⎫ ⎝⎛x f 1的特点,发现1)1()(=+xf x f 六、合并法求和针对一些特殊的数列,将某些项合并在一起就具有某种特殊的性质,因此,在求数列的和时,可将这些项放在一起先求和,然后再求S n .例6: 求cos1°+ cos2°+ cos3°+···+ cos178°+ cos179°的值.解:设S n = cos1°+ cos2°+ cos3°+···+ cos178°+ cos179°∵ cos(180)cos n n -=- (找特殊性质项)∴S n = (cos1°+ cos179°)+( cos2°+ cos178°)+ (cos3°+ cos177°)+···+(cos89°+ cos91°)+ cos90° (合并求和)= 0练习:已知:n S n n ⋅-++-+-+-=+1)1(654321 .求n S .(⎪⎪⎩⎪⎪⎨⎧-+=)(2)(21为正偶数为正奇数n n n n S n )。
数列求和例题精讲1. 公式法求和(1)等差数列前n 项和公式 d n n na a a n a a n S k n k n n 2)1(2)(2)(111-+=+=+=-+ (2)等比数列前n 项和公式 1=q 时 1na S n =1≠q 时 qqa a q q a S n n n --=--=11)1(11(3)前n 个正整数的和 2)1(321+=++++n n n Λ 前n 个正整数的平方和 6)12)(1(3212222++=++++n n n n Λ前n 个正整数的立方和 23333]2)1([321+=++++n n n Λ公式法求和注意事项 (1)弄准求和项数n 的值;(2)等比数列公比q 未知时,运用前n 项和公式要分类。
例1.求数列13741+n ,,,,Λ的所有项的和例2.求和221-++++n x x x Λ(0,2≠≥x n )2.分组法求和例3.求数列1,21+,321++,…,n ++++Λ321的所有项的和。
例4.已知数列{}n a 中,⎪⎩⎪⎨⎧+=)()2()(15为偶数为奇数n n n a nn ,求m S 2。
3.并项法求和例5.数列{}n a 中, 21)1(n a n n +-=,求100S 。
例6.数列{}n a 中,,n a n n 4)1(-=,求20S 及35S 。
4.错位相减法求和{}{}{}若为等差数列,为等比数列,求数列(差比数列)前项a b a b n n n n n{}和,可由求,其中为的公比。
S qS S q b n n n n -例7.求和12321-++++n nx x x Λ(0≠x )。
5.裂项法求和:把数列各项拆成两项或多项之和,使之出现成对互为相反数的项。
例8.求和)12)(12(1751531311+-++⨯+⨯+⨯n n Λ。
例9.求和nn +++++++++11321231121Λ。
[练习] 求和:…………111211231123+++++++++++n (…………,)a S n n n ===-+2116 . 倒序相加法:把数列的各项顺序倒写,再与原来顺序的数列相加。
数列求和专题一、公式法法求和1、 等差数列求和公式:d n n na a a n S n n 2)1(2)(11-+=+=2、等比数列求和公式:⎪⎩⎪⎨⎧≠--=--==)1(11)1()1(111q q q a a qq a q na S n nn3、 )1(211+==∑=n n k S nk n 4、)12)(1(6112++==∑=n n n k S nk n5、 213)]1(21[+==∑=n n k S nk n [例1] 已知3log 1log 23-=x ,求⋅⋅⋅++⋅⋅⋅+++nx x x x 32的前n 项和. 解:由212log log 3log 1log 3323=⇒-=⇒-=x x x由等比数列求和公式得 n n x x x x S +⋅⋅⋅+++=32 (利用常用公式)=xx x n--1)1(=211)211(21--n =1-n 21[例2] 设S n =1+2+3+…+n ,n ∈N *,求1)32()(++=n nS n S n f 的最大值.解:由等差数列求和公式得 )1(21+=n n S n , )2)(1(21++=n n S n (利用常用公式) ∴ 1)32()(++=n nS n S n f =64342++n n n=nn 64341++=50)8(12+-nn 501≤∴ 当 88-n ,即n =8时,501)(max =n f二、乘公比错项(位)相减法求和(等差⨯等比)这种方法是在推导等比数列的前n 项和公式时所用的方法,这种方法主要用于求数列}{n n b a ⨯的前n 项和,其中}{n a ,}{n b 分别是等差数列和等比数列。
[例3] 求和:132)12(7531--+⋅⋅⋅++++=n n x n x x x S ………………………①解:由题可知,{1)12(--n x n }的通项是等差数列{2n -1}的通项与等比数列{1-n x}的通项之积设n n x n x x x x xS )12(7531432-+⋅⋅⋅++++=………………………. ② (设制错位) ①-②得 n n n x n x x x x x S x )12(222221)1(1432--+⋅⋅⋅+++++=-- (错位相减)再利用等比数列的求和公式得:n n n x n xx x S x )12(1121)1(1----⋅+=-- ∴ 21)1()1()12()12(x x x n x n S n n n -+++--=+ [例4] 求数列⋅⋅⋅⋅⋅⋅,22,,26,24,2232n n前n 项的和. 解:由题可知,{n n 22}的通项是等差数列{2n}的通项与等比数列{n 21}的通项之积设n n nS 2226242232+⋅⋅⋅+++=…………………………………①14322226242221++⋅⋅⋅+++=n n nS ………………………………② (设制错位) ①-②得1432222222222222)211(+-+⋅⋅⋅++++=-n n n nS (错位相减)1122212+---=n n n∴ 1224-+-=n n n S[例1]:求数列}{1-n nq (q 为常数)的前n 项和。
数列求和方法总结姓名:一、公式法:(1)等差数列的前n项和公式:一般形式:推导方法:(2)等比数列的前n项和公式:一般形式:推导方法:练习:1+2+3+…+n=2+22+23+…+2n=二、分类(组)求和法:例1:已知a n=(2n-1)+12n,求S n.例2:求S=12-22+32-42+…+(2n-1)2-(2n)2归纳总结:三、倒序相加法:例3:已知f(x)=12x+2,求f(1n+1)+f(2n+1)+…+f(nn+1),(n∈N*,且n≥2)归纳总结:四、裂项求和法:例4:已知a n=1n(n+1),求S n.若改为a n=1n(n+2)呢?归纳总结:五、错位相减法:例5:已知a n= 2n-12n,求S n.例6:已知a n=nx n,(x∈R),求S n. 归纳总结:当堂检测1、{a n }为等差数列,d ≠0,a n ≠0,求证:1a 1a 2+1a 2a 3+…+1a n a n +1=n a 1a n +1.2、已知函数f (x )=a 1x +a 2x 2+a 3x 3+…+a n x n ,且a 1、a 2、a3、…a n 构成一个数列,又f (1)=n 2,(1)求数列{a n }的通项公式;(2)比较f (13)与1的大小.3. 已知数列{}n a 是一个等差数列,且255,11.a a ==(1)求数列{}n a 的通项公式n a . (2)令*21(),1n n b n N a =∈-求数列{}n b 的前n 项和.n T4. 已知数列{}n a 满足*113,33(),n n n a a a n N +=-=∈数列{}n b 满足.3n n na b = (1)证明:数列{}n b 是等差数列并求出数列{}n b 的通项公式. (2) 求数列{}n a 的前n 项和n S .5、已知等差数列}{n a 是递增数列,且满足8,158374=+=a a a a(1)求数列}{n a 的通项公式;(2)令)2(911≥=-n a a b n n n ,311=b ,求}{n b 的前n 项和n S .。
数列求和专题复习一、公式法1.等差数列求和公式:d n n na a a n S n n 2)1(2)(11-+=+=2。
等比数列求和公式:⎪⎩⎪⎨⎧≠--=--==)1(11)1()1(111q q q a a qq a q na S n nn3。
常见数列求和公式:)1(211+==∑=n n k S nk n ;)12)(1(6112++==∑=n n n k S n k n ;213)]1(21[+==∑=n n k S nk n例1:已知3log 1log 23-=x ,求⋅⋅⋅++⋅⋅⋅+++nx x x x 32的前n 项和。
例2:设n S n +⋅⋅⋅+++=321,+∈N n ,求1)32()(++=n nS n S n f 的最大值。
二、倒序相加法似于等差数列的前n 项和的公式的推导方法。
如果一个数列{}n a ,与首末两项等距的两项之和等于首末两项之和,可采用正序写和与倒序写和的两个和式相加,就得到一个常数列的和。
这一种求和的方法称为倒序相加法。
例3:求89sin 88sin 3sin 2sin 1sin 22222++⋅⋅⋅+++的值例4:求222222222222123101102938101++++++++的和.变式1:已知函数()xf x =(1)证明:()()11f x f x +-=;(2)求128910101010f f f f ⎛⎫⎛⎫⎛⎫⎛⎫++++⎪ ⎪ ⎪ ⎪⎝⎭⎝⎭⎝⎭⎝⎭的值.三、裂项相消法这是分解与组合思想在数列求和中的具体应用. 裂项法的实质是将数列中的每项(通项)分解,然后重新组合,使之能消去一些项,最终达到求和的目的。
通项分解(裂项)如:(1))()1(n f n f a n -+= (2)n n n n tan )1tan()1cos(cos 1sin -+=+ (3)111)1(1+-=+=n n n n a n (4))121121(211)12)(12()2(2+--+=+-=n n n n n a n (5)])2)(1(1)1(1[21)2)(1(1++-+=++=n n n n n n n a n(6) nnn n n n n n S n n n n n n n n n a 2)1(11,2)1(12121)1()1(221)1(21+-=+-⋅=⋅+-+=⋅++=-则 例5:求数列⋅⋅⋅++⋅⋅⋅++,11,,321,211n n 的前n 项和.例6:在数列{}n a 中,11211++⋅⋅⋅++++=n nn n a n ,又12+⋅=n n n a a b ,求数列{}n b 的前n 项的和.变式1:求证:1sin 1cos 89cos 88cos 12cos 1cos 11cos 0cos 12=+⋅⋅⋅++四、q 倍错位相减法类似于等比数列的前n 项和的公式的推导方法。