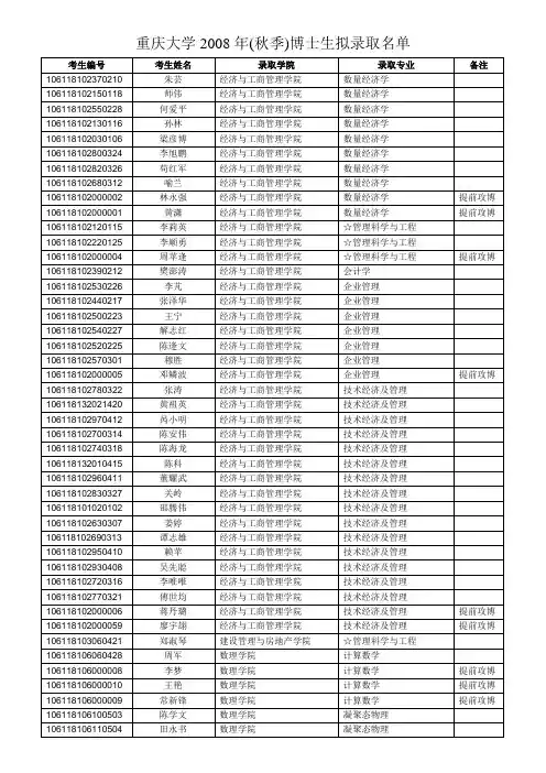
2015年重庆大学博士研究生录取名单
- 格式:pdf
- 大小:242.66 KB
- 文档页数:16
2015年博士和硕士研究生拟录取名单
按照中国农业科学院研究生院关于做好2015年研究生复试及录取工作通知的相关要求,通过体检、专业课笔试、综合面试、外语听力和口语测试等复试环节的筛选,经过招生录取领导小组最后审核,最终确定拟录取的23名博士研究生和30名硕士研究生(含少数民族骨干),其具体名单和指导导师信息如下:
一、拟录取博士研究生及指导导师
争取名额:
二、拟录取硕士研究生及指导导师
注:新生入学报到前不需要缴纳任何费用,请勿相信任何电话通知,以免上当受骗。
考生姓名考生编号拟录取学院代码拟录取学院名称拟录取专业代码李子春101865900100002001理学院070207李玥101865900100007001理学院070207李如雪101865900100005001理学院070207郎鹏101865900100010001理学院070207韩颖101865900100003001理学院070207单俊杰101865900100004001理学院070207罗梦希101865900100011001理学院070207李东伟101865900100006001理学院070207石晶101865900100001001理学院070207谢卓101865900100008001理学院070207李博超101865900100009001理学院070207王兰101865900100019001理学院080900王宇恒101865900100012001理学院080900宋旭尧101865900100015001理学院080900刘浩源101865900100017001理学院080900李季101865900100025001理学院080900李星毅101865900100022001理学院080900李鑫伟101865900100023001理学院080900王莹101865900100013001理学院080900张强101865900100020001理学院080900王醒华101865900200044002光电工程学院080300贾青松101865900200038002光电工程学院080300陈伟101865900200033002光电工程学院080300刘阳101865900200031002光电工程学院080300王灵杰101865900200034002光电工程学院080300吴笑天101865900200040002光电工程学院080300吕宝林101865900200032002光电工程学院080300张磊101865900200045002光电工程学院080300于笑楠101865900200049002光电工程学院080300王丽101865900200041002光电工程学院080300赵宇101865900200047002光电工程学院080300李亚红101865900200027002光电工程学院080300杨金也101865900200042002光电工程学院080300张文颖101865900200039002光电工程学院080300尹鹏101865900200028002光电工程学院080300杨红芳101865900200026002光电工程学院080300王伟101865900200055002光电工程学院080400徐达101865900200058002光电工程学院080400方宇超101865900200056002光电工程学院080400王加安101865900200059002光电工程学院080400张丹丹101865900200057002光电工程学院080400郭丽丽101865900200052002光电工程学院080400李艳荻101865900200051002光电工程学院080400张齐元101865900200054002光电工程学院080400刘显著101865900200030002光电工程学院080400廉中旭101865900300062003机电工程学院080200张向辉101865900300069003机电工程学院080200张林帅101865900300078003机电工程学院080200姜大伟101865900300077003机电工程学院080200李云峰101865900300066003机电工程学院080200张赢101865900300061003机电工程学院080200李金哲101865900300075003机电工程学院080200郑研斌101865900300074003机电工程学院080200白杨杨101865900300067003机电工程学院080200刘春盛101865900300072003机电工程学院080200崔博101865900300079003机电工程学院080200唐超101865900400090004电子信息工程学院081000王子赫101865900400084004电子信息工程学院081000郭锐强101865900400085004电子信息工程学院081000辛瑞昊101865900400081004电子信息工程学院081000孙英慧101865900400088004电子信息工程学院081000陶宏江101865900400080004电子信息工程学院081000郑亮101865900400089004电子信息工程学院081000朱浩然101865900400083004电子信息工程学院081000管海军101865900400086004电子信息工程学院081000刘玉峰101865900500092005计算机科学技术学院081200付飞蚺101865900500095005计算机科学技术学院081200张凤101865900500096005计算机科学技术学院081200杨帆101865900500097005计算机科学技术学院081200李博101865900500099005计算机科学技术学院081200孙苏鹏101865900500101005计算机科学技术学院081200徐洪华101865900500102005计算机科学技术学院081200王帅101865900500103005计算机科学技术学院081200武岩101865900500093005计算机科学技术学院081200胡静101865900500100005计算机科学技术学院081200刘丽丹101865900600114006材料科学与工程学院080500张文敏101865900600107006材料科学与工程学院080500丁宁101865900600113006材料科学与工程学院080500奚雪101865900600110006材料科学与工程学院080500王兴业101865900600106006材料科学与工程学院080500马秀秀101865900600111006材料科学与工程学院080500郭泽萱101865900600112006材料科学与工程学院080500拟录取专业名称研究方向代码研究方向名称博士生导师姓名光学03纳米光子学与生物光子学张喜和光学01激光及其与物质相互作用金光勇光学02激光物理与新型激光器王晓华光学04超快等离子激元林景全光学04超快等离子激元林景全光学06纳米光电子材料与器件物理李金华光学09BaTiO3晶体薄膜非线性电光调制器件孙德贵光学07飞秒激光成丝郝作强光学08空间目标的散射光谱研究蔡红星光学11激光等离子体光源富江敏尚光学12光电子光谱富江敏尚电子科学与技术01激光物理与新型固体激光器金光勇电子科学与技术01激光物理与新型固体激光器金光勇电子科学与技术02光电成像器件与系统端木庆铎电子科学与技术09半导体光电子器件曲轶电子科学与技术07新型半导体光电子器件及应用高欣电子科学与技术04红外辐射与探测技术李野电子科学与技术05薄膜材料与器件王新电子科学与技术12机器人纳米操纵技术王作斌电子科学与技术10半导体激光器物理与技术万春明光学工程01光电子技术及应用刘国军光学工程01光电子技术及应用薄报学光学工程01光电子技术及应用马晓辉光学工程02空间光通信技术姜会林光学工程02空间光通信技术姜会林光学工程02空间光通信技术姜会林光学工程02空间光通信技术佟首峰光学工程02空间光通信技术佟首峰光学工程02空间光通信技术佟首峰光学工程03现代光学制造技术董连和光学工程06仿生光学付跃刚光学工程06仿生光学付跃刚光学工程03现代光学制造技术付秀华光学工程07光电仪器与技术周维虎光学工程05光显示技术姜肇国光学工程04衍射光学理论及应用薛常喜仪器科学与技术01航天器模拟试验与标定技术张国玉仪器科学与技术01航天器模拟试验与标定技术张国玉仪器科学与技术02精密测控技术与仪器车英仪器科学与技术02精密测控技术与仪器车英仪器科学与技术05光电精密测量与柔性装配李丽娟仪器科学与技术05光电精密测量与柔性装配李丽娟仪器科学与技术03光电检测技术与质量控制徐熙平仪器科学与技术06干涉测试技术韩森仪器科学与技术04视觉检测技术杨进华机械工程02精密微制造技术及装备于化东机械工程01精密、超精密加工、检测及装备于化东机械工程01精密、超精密加工、检测及装备于化东机械工程01精密、超精密加工、检测及装备史国权机械工程03激光加工技术石岩机械工程04机电系统控制理论与技术曹国华机械工程15大型异构件复合机床装备王志翔机械工程04机电系统控制理论与技术于正林机械工程04机电系统控制理论与技术张立中机械工程08数字化设计与制造王彤宇机械工程03激光加工技术张宏信息与通信工程06信号与信息处理韩太林信息与通信工程02光通信与智能信息处理王晓曼信息与通信工程03光通信与光信息对抗技术宋路信息与通信工程10光电信息处理技术王春阳信息与通信工程05图像处理与目标识别段锦信息与通信工程08立体成像与立体目标目标识别技术朴燕信息与通信工程08立体成像与立体目标目标识别技术朴燕信息与通信工程09雷达信息处理刘云清信息与通信工程09雷达信息处理刘云清计算机科学与技术02数字媒体技术与系统杨华民计算机科学与技术02数字媒体技术与系统杨华民计算机科学与技术01计算机仿真建模与虚拟现实技术杨华民计算机科学与技术02数字媒体技术与系统白宝兴计算机科学与技术03计算机图形图像处理与识别赵建平计算机科学与技术03计算机图形图像处理与识别赵建平计算机科学与技术04数据库与数据挖掘李莉计算机科学与技术01计算机仿真建模与虚拟现实技术陈纯毅计算机科学与技术05智能控制与脑信息学李奇计算机科学与技术04数据库与数据挖掘崔广才材料科学与工程01功能高分子材料及应用段潜材料科学与工程02光电功能陶瓷材料张希艳材料科学与工程03光学玻璃与特种玻璃吕景文材料科学与工程05纳米材料化学董相廷材料科学与工程06能源工程技术田坚材料科学与工程04新能源材料何兴权材料科学与工程08宽禁带光电功能材料蒋大勇备注硕博连读硕博连读硕博连读硕博连读硕博连读硕博连读硕博连读硕博连读硕博连读硕博连读硕博连读硕博连读硕博连读硕博连读硕博连读硕博连读硕博连读硕博连读硕博连读硕博连读。
2015年拟录取硕士研究生名单注:1.本拟录取名单分学院按专业排序,根据上级要求,考生姓名和考生编号已做适当隐私保护处理;2.本拟录取名单中含单考、援藏计划、少数民族骨干计划(下注“骨干”),不包括拟录取的推荐免试生;3.备注中所列加分项目均以教育部下发名单为准。
经济学院 - 国际商务(专业学位)姓名考生编号初试成绩复试成绩加权总成绩备注余**10002*****0163838931181.11王**10002*****0162336831878.77刘**10002*****1102137830078.63邓**10002*****0924236831078.09张**10002*****0159437330178.02唐**10002*****0164536530977.58虞**10002*****0160836530877.5路**10002*****0164636330977.30王**10002*****0924137029777.25费**10002*****0161537329277.24朱**10002*****0162436330476.87李**10002*****0163236530076.81余**10002*****0159536130676.76腾**10002*****0160935631076.41李**10002*****0162836030376.37吴**10002*****1079536429476.16王**10002*****0731435530876.1朱**10002*****0160735930176.06王**10002*****0161435830276.00梁**10002*****0164335830175.92刘**10002*****1369035530475.75韩**10002*****0159235829775.57江**10002*****0158035330475.47朱**10002*****1384135629975.46屈**10002*****0162135829575.40刘**10002*****0163035430175.36张**10002*****0744835430175.36宋**10002*****0158635330275.30李**10002*****0161635330175.22邓**10002*****0162935230074.99韩**10002*****0164136128574.96林**10002*****0163135729074.83于**10002*****0834735429174.50吴**10002*****1277635828274.29程**10002*****1500535928074.26于**10002*****0164935029474.2张**10002*****0161935328874.10曹**10002*****0159135028973.77褚**10002*****0159935028573.42赵**10002*****1397635527673.35财政金融学院 - 金融(专业学位)姓名考生编号初试成绩复试成绩加权总成绩备注朱**10002*****0213840530683.57冯**10002*****0737640330282.87李**10002*****0206440928581.65李**10002*****0201042227181.61杨**10002*****0199539929581.59吴**10002*****1552139629781.46张**10002*****0694238730681.41于**10002*****0214240428581.05戴**10002*****0201338830180.96郭**10002*****1430639828880.67覃**10002*****0202638430280.59吴**10002*****0704039229280.41金**10002*****0211939228879.95蓝**10002*****0200039628379.86白**10002*****0206539328679.84董**10002*****0190138429479.68石**10002*****1503239728079.64朱**10002*****0212438529279.57吕**10002*****0926739228479.49蒋**10002*****0189139128579.49刘**10002*****1020039627979.40张**10002*****0210138329279.33陈**10002*****0953239727779.29孙**10002*****1545139527979.28李**10002*****1548439028479.25汪**10002*****0197938828679.24卢**10002*****0213738229279.21董**10002*****0188838328978.98李**10002*****0952539427778.93罗**10002*****0184538628578.89黄**10002*****0195238628378.66吴**10002*****0807738328678.64于**10002*****0194639127778.57冯**10002*****0201538927978.56李**10002*****0197238328578.53张**10002*****1502738728078.44张**10002*****0198539627078.37熊**10002*****1080439926578.16许**10002*****1067038328178.07张**10002*****0209138128378.06李**10002*****1237839826578.04毕**10002*****0200839027378吴**10002*****1323538427977.96卢**10002*****0212638727577.86杨**10002*****1452238727477.75蒋**10002*****0973338028077.6李**10002*****0212338227777.49刘**10002*****1149639526377.45赵**10002*****1105438827077.41李**10002*****0200438727077.29邵**10002*****1492238726977.18廖**10002*****0207338027376.8张**10002*****0953538127176.69张**10002*****1504038127176.69陈**10002*****0208138726476.61卢**10002*****0209638426676.48阮**10002*****0210838126976.46黄**10002*****0185539924876.22任**10002*****1388238726076.15黄**10002*****0185438626076.03潘**10002*****0194038026575.88李**10002*****0188036025071.77骨干谢**10002*****1347933723967.75骨干赵**10002*****0193737831080.78陈**10002*****0185035431578.48卢**10002*****0184937129778.46曾**10002*****0722536330478.30黄**10002*****0195536429677.50郭**10002*****0197735330777.44刘**10002*****0198635930077.36刘**10002*****1554934031376.57孟**10002*****0189535429476.08杨**10002*****0193636827875.93王**10002*****0192134630175.92沈**10002*****0218534630175.92吴**10002*****1430235529075.74蔡**10002*****0219134329875.21张**10002*****0218034928974.90孟**10002*****0865334928974.90严**10002*****1062435528074.6乔**10002*****0758835927374.28林**10002*****0219535327874.13伊**10002*****0193835527473.91赵**10002*****0808134628373.86韦**10002*****0188535227473.55杨**10002*****0853034827673.30王**10002*****1201035426973.22李**10002*****1014434328073.16张**10002*****0202935326472.53宁**10002*****0216533727772.09欧**10002*****0182534027372王**10002*****0861133827471.87袁**10002*****0926233427871.85刘**10002*****0195633527671.74贾**10002*****0693833826670.96陈**10002*****0197135624270.37宁**10002*****0193332227770.29吕**10002*****0217733726170.26刘**10002*****0219632327369.96刘**10002*****0198833925669.93杨**10002*****0199132126668.92王**10002*****0219434423568.13财政金融学院 - 税务(专业学位)姓名考生编号初试成绩复试成绩加权总成绩备注孙**10002*****0222041230183.84贾**10002*****1329041029182.45陈**10002*****1388640129081.26魏**10002*****1504540029081.14谭**10002*****1329140427880.25王**10002*****0220739228679.72齐**10002*****1504239528279.62周**10002*****0222639128579.49林**10002*****0222837030779.48周**10002*****0223539927679.42范**10002*****0788138229379.32王**10002*****0222738029479.2张**10002*****1431838928278.90罗**10002*****0222138728178.55朱**10002*****0223439027778.45宋**10002*****0704639226977.78钟**10002*****0927338327477.27吴**10002*****1349038726776.95葛**10002*****1054138227076.69柯**10002*****1080938126876.34李**10002*****0221537727076.09鲁**10002*****0221737726475.41赵**10002*****1348937726275.18毕**10002*****0223037825874.84马**10002*****0220234125970.52骨干刘**10002*****0237936427575.10王**10002*****0235135927574.50杨**10002*****0234234927172.85张**10002*****0236634926472.05黄**10002*****0224234027171.77陈**10002*****0229332428471.33杨**10002*****0243634026571.08李**10002*****0232033726370.49闫**10002*****0227032527370.2徐**10002*****0234732627069.97薛**10002*****0229532225868.12财政金融学院 - 保险(专业学位)姓名考生编号初试成绩复试成绩加权总成绩备注周**10002*****0244941531585.8郭**10002*****1388739330782.24王**10002*****0244538931082.10孟**10002*****0244839230381.66刘**10002*****0244038829980.73施**10002*****0244638230480.58董**10002*****0244237230879.84张**10002*****0746338429579.79倪**10002*****1504838628779.12范**10002*****0244137228977.66统计学院 - 应用统计(专业学位)姓名考生编号初试成绩复试成绩加权总成绩备注梁**10002*****0816741330684.04刘**10002*****0279941829683.89黎**10002*****1082041130283.42陈**10002*****0278241030183.2张**10002*****0278540329781.87林**10002*****0280440429581.84陈**10002*****0278938931881.71邓**10002*****0280740628681.35吉**10002*****1506138731381.00何**10002*****1506539429680.53金**10002*****0278840427980.47郝**10002*****1493939429480.36李**10002*****0278739129780.19尹**10002*****1506239828580.14李**10002*****0956539029279.62留**10002*****1350640127279.45林**10002*****0956738829279.34赵**10002*****0804338529679.27鞠**10002*****1111238129678.71宋**10002*****0276439327378.42吴**10002*****0868437530278.38白**10002*****0280338627977.95王**10002*****0279338028677.71赵**10002*****0277939026977.65张**10002*****0275437229877.62闫**10002*****1553138527277.21辛**10002*****0828038826476.94贾**10002*****1111037428476.70王**10002*****1110937428376.61何**10002*****0278138626376.58王**10002*****0277837328276.39李**10002*****1228936928876.34韩**10002*****0837237228376.33孙**10002*****0929236529476.3李**10002*****1506938625876.15周**10002*****1110636529075.95熊**10002*****0802037926675.86李**10002*****1586437027575.37李**10002*****0956636827575.09叶**10002*****1432937725974.98胡**10002*****1244436727574.95法学院(专业学位) - 法律(非法学)姓名考生编号初试成绩复试成绩加权总成绩备注范**10002*****1387339429781.22林**10002*****0661638230380.46张**10002*****1334338729780.38陈**10002*****0665237829879.41詹**10002*****1010738728679.12王**10002*****0668838528678.88伍**10002*****1036737929278.85陈**10002*****0666537829278.73李**10002*****0653238128878.63张**10002*****1090238128678.40李**10002*****1423937729078.38朱**10002*****1490037229578.35王**10002*****0945436130678.29陈**10002*****1057336729978.21黄**10002*****0658036430278.19温**10002*****1143438128478.17侯**10002*****0646238028578.17赵**10002*****0660536629978.09魏**10002*****0648036629877.97钟**10002*****0898637229177.89贠**10002*****1293436330077.84宋**10002*****0669137828477.81刘**10002*****0657337728577.81刘**10002*****0875137229077.78王**10002*****1306538028177.71邵**10002*****0659036529677.62林**10002*****0663838028077.6刘**10002*****1049637029077.54兰**10002*****1570737728177.35谢**10002*****1389936729077.18魏**10002*****1142636529076.94任**10002*****1387136329276.93孔**10002*****1567037827676.90张**10002*****0743538526876.82谢**10002*****1405436429076.82王**10002*****1478435529976.77邓**10002*****0691237427976.76唐**10002*****0664035929476.68陈**10002*****0743638726476.61谭**10002*****0655637927276.56王**10002*****1558037327876.53徐**10002*****0646936129076.46刘**10002*****0848335929276.45宋**10002*****0847736428676.36付**10002*****1478536728276.26周**10002*****0658936228776.24史**10002*****0992736228676.12王**10002*****1489835828975.98藏**10002*****1556136328375.90唐**10002*****0663635529175.85施**10002*****1090035529175.85叶**10002*****0665834929775.82李**10002*****0665135928675.76海**10002*****1285537027475.71黄**10002*****0700536727775.69牛**10002*****1333736428075.68祁**10002*****1031935828675.64肖**10002*****0662235528975.62梁**10002*****0655437127275.60梁**10002*****0645137027375.6李**10002*****1164336927475.59王**10002*****1334634629875.57陈**10002*****0647936228175.55李**10002*****0656235928475.53张**10002*****0824235728675.52韩**10002*****0945635528875.51李**10002*****1574636627675.46樊**10002*****1333836028275.42袁**10002*****0992535828475.41郜**10002*****1140335628675.40洪**10002*****1403837626575.40左**10002*****1089935428875.39范**10002*****1333136427775.33陈**10002*****1166736028175.31郭**10002*****0667434829375.24叶**10002*****0651735029075.14张**10002*****1207236627375.12雷**10002*****1272435628375.06黄**10002*****0685036127774.97白**10002*****1426435328574.93亓**10002*****1233536727074.89张**10002*****1026136627174.89孟**10002*****1199735728074.84韩**10002*****1223036227474.75谢**10002*****1187835428274.70孙**10002*****1143635328374.70曾**10002*****1089536227374.64孙**10002*****0992835727874.61兰**10002*****1489934928674.56江**10002*****1051736227274.52周**10002*****1477136127374.52孔**10002*****0760335028474.45赖**10002*****1442335028474.45高**10002*****1028334828674.44宋**10002*****1327534728674.32江**10002*****1406335627674.26尚**10002*****0662735128174.23赵**10002*****0655936127074.17张**10002*****0667535527674.14王**10002*****0653135427774.13臧**10002*****0658235327874.13孙**10002*****0997535028174.11朱**10002*****0786334628574.09王**10002*****0656636027074.05黄**10002*****1478335727374.04胡**10002*****1090435427674.02高**10002*****0822035327774.01刘**10002*****1334735627373.92崔**10002*****0999035127873.89李**10002*****0647835027973.88常**10002*****0668235727173.81陈**10002*****1520835227673.78蒋**10002*****1477934927873.65官**10002*****0982534728073.64蒋**10002*****1396635627073.57徐**10002*****0664535427273.56胡**10002*****0654735327373.56田**10002*****0822435327273.44刘**10002*****1411535227373.44赵**10002*****0970136326173.38靳**10002*****1308135926573.36马**10002*****0653335626873.34石**10002*****0664735227273.32王**10002*****1242834927573.30甄**10002*****0737234827673.30饶**10002*****1050134727773.29连**10002*****0760134527973.28王**10002*****1164135726673.24胡**10002*****0661135227173.21杨**10002*****0713134227672.58骨干马**10002*****0970431926668.68骨干吉**10002*****1488231726468.21骨干法学院(专业学位) - 法律(法学)考生编号初试成绩复试成绩加权总成绩10002*****1481536230878.64 10002*****1336835529376.08 10002*****1335835029075.14 10002*****1026935428474.93 10002*****1167734928774.68 10002*****0670835328174.47 10002*****1145434328874.07 10002*****1480134928073.8810002*****1336934028573.3710002*****0673333429173.3310002*****1069834228273.2610002*****0825034627172.4910002*****1188333927872.4510002*****1145133727872.2110002*****1334933527671.7410002*****1013434126871.5410002*****0673833927071.5310002*****0678833627071.1710002*****0678233027671.1410002*****0680333027270.6810002*****0677833226770.35公共管理学院(专业学位) - 公共管理(专业学位)考生编号初试成绩复试成绩加权总成绩10002*****050412302807810002*****0478920730275.9110002*****0468322926175.6210002*****0473323624775.42提10002*****0466922127375.4提10002*****0496720329774.5410002*****0480221627474.5110002*****0489922126574.4810002*****0504921327674.1410002*****0492019830274.1110002*****0473520728373.7410002*****0492920229173.6510002*****0507121826373.6510002*****049622092737310002*****0505120428172.9110002*****0499022224872.74村10002*****0475320228272.6210002*****0493120228172.51村10002*****0507820128272.4210002*****0486921725372.3110002*****0478820627072.05提10002*****0503719528871.9110002*****0500020427071.6510002*****0502619528571.5710002*****0491319128971.22提10002*****0484620925771.1710002*****0468118130571.05提10002*****0506119727470.7110002*****0505020625770.5710002*****0504819727270.4810002*****0482618329670.4210002*****0509520026670.410002*****0499819727170.3710002*****0479519028370.34提10002*****0481718229670.2210002*****0503320625470.22提10002*****0506319127970.08提10002*****0469718429170.0510002*****0500618928270.0210002*****0488819726769.9110002*****0485520724969.8510002*****0473719327369.8提10002*****0476519526869.62提10002*****0499518828069.610002*****0489318029369.4810002*****0474819925969.4提10002*****0498218927669.3410002*****0478219326869.2210002*****0486218827569.0210002*****0496419226869.0210002*****0484717729469提10002*****0475118527868.7710002*****0476318028668.68提10002*****0503218827268.6810002*****0483817030268.5110002*****0499218228168.5110002*****0478419126368.25提10002*****0476419126268.1410002*****0494619126268.14村10002*****0505419226068.1110002*****0467717728668.0810002*****0502517329368.0810002*****0481118726767.9110002*****0506618527067.8510002*****0510618726567.68提10002*****0499419125767.5710002*****0469318826267.54提10002*****0488918626567.48村10002*****0501419025767.3710002*****0483218127267.2810002*****0494718925667.0510002*****0497017827567.0210002*****0501016629667.02提10002*****050041712876710002*****0489818126866.8210002*****0494118925466.8210002*****0485817428066.810002*****0482817228366.7410002*****0498018326366.65村10002*****0506017827166.5710002*****0492519723766.4810002*****0489619224566.410002*****0486718026265.94提10002*****0487916928165.91提10002*****0492818126065.9110002*****0470617527065.85提10002*****0481419423665.77提10002*****0491118125765.57提10002*****0475416827565.02提10002*****0477016428265.02提10002*****0483716926864.42提10002*****0486617525664.25提10002*****0487816926163.62提10002*****0479116925963.4提10002*****0478116526363.05提10002*****0484116525862.48提10002*****0507317523862.2提10002*****0473216225962提10002*****0471116125861.68提10002*****0475616424060.22提10002*****0512120528873.9110002*****0511419030072.2810002*****0510721325671.85提10002*****0511619825969.210002*****0510321122167.45提10002*****0511519025667.2510002*****0510518526467.17提10002*****051191832666710002*****0512417527165.9710002*****0510218325665.8510002*****0500218425465.8210002*****0468019822965.7710002*****0511116728365.7410002*****0510916728165.5110002*****0486116827865.3710002*****0497516827665.1410002*****0498717625964.810002*****0500816827364.810002*****0512017326464.7710002*****0484016727464.7110002*****0501216727464.7110002*****0473117525964.610002*****0507418524164.5410002*****0502717625364.1110002*****0480816627064.0510002*****0509017026364.0510002*****0488317225763.7710002*****0469217026063.7110002*****0503016327263.6810002*****0489416227363.610002*****0505916626663.610002*****0498517225563.54 10002*****0507216027663.54 10002*****0499617624763.42 10002*****0501816227163.37 10002*****0468216226963.14 10002*****0479916825863.08 10002*****0490716026662.4 10002*****0484916724961.85 10002*****0488716924361.57文学院(专业学位) - 汉语国际教育(专业学位)考生编号初试成绩复试成绩加权总成绩10002*****0326737530479.74 10002*****0994338027877.37 10002*****0959035030476.74 10002*****1229735629676.54 10002*****0978736128776.12 10002*****1047235229475.84 10002*****1182336527975.68 10002*****0733436827575.58 10002*****1153834430075.56 10002*****1169635828275.18 10002*****0326334429675.10 10002*****0325934629274.89 10002*****1182234828874.67 10002*****1572335028474.45 10002*****0733235527574.02 10002*****1119134828273.98 10002*****1572134728373.98 10002*****1022235926973.82 10002*****1083835427473.79 10002*****1596335027773.65 10002*****0799435527173.57 10002*****0794934228273.26 10002*****1119333328972.98 10002*****1067734327872.9310002*****0958834527572.8210002*****1191934826972.50志愿10002*****1117735825872.4410002*****1075133728072.4410002*****0876833328272.1810002*****0727032429172.1310002*****1255734327172.1310002*****0727334426972.0210002*****1181834326971.9010002*****1395634227071.8910002*****0697134326871.7810002*****1342033827371.7610002*****0837634226871.6610002*****0789433727371.6410002*****1059334526471.5710002*****1202233627271.4010002*****0326433327571.3810002*****0995633127771.3710002*****1330232828071.3610002*****0325234326471.3310002*****0727233826971.3010002*****1169733227571.2610002*****0750236024571.210002*****1069933926771.1910002*****0917335025571.1410002*****1375033027671.1410002*****1239035125371.0310002*****1169833926570.9610002*****1118633626870.9410002*****0326533726570.7210002*****1153932427870.6510002*****0858233826370.6110002*****0326832827270.4410002*****0917232827170.3310002*****1452832727270.3210002*****0819633826070.2710002*****1230033925870.1610002*****0784133725869.92 10002*****0998233625869.80 10002*****1343833326169.78 10002*****0862933725669.69 10002*****1575233425869.56 10002*****1549132726569.52 10002*****1047133225969.44 10002*****1051132826069.07 10002*****0733633125668.97 10002*****0726833025768.97 10002*****0917432825868.84 10002*****1308733125068.29文学院(专业学位) - 电影(专业学位)考生编号初试成绩复试成绩加权总成绩10002*****0327939229981.21 10002*****1279438927978.56 10002*****1036235930678.05 10002*****0327437428677.56 10002*****0327336128676.00 10002*****1460234928774.68 10002*****0799734229174.29 10002*****0343634528573.97 10002*****0340335127573.54 10002*****0697432629773.06 10002*****1449532928371.82新闻学院 - 新闻与传播(专业学位)考生编号初试成绩复试成绩加权总成绩10002*****0355740929482.68 10002*****0351040129281.49 10002*****0354239529881.45 10002*****0355040528781.4 10002*****1375838930281.19 10002*****0839639029980.97 10002*****0355540428180.5910002*****0751237830580.21 10002*****0354739228980.06 10002*****1055839029079.94 10002*****0355438229779.78 10002*****0960538529379.68 10002*****0354838329179.21 10002*****1405737929579.19 10002*****1196838328978.98 10002*****0918238328578.53 10002*****0353838228478.29 10002*****0352537728778.04 10002*****1256638727577.86 10002*****0709037828477.81 10002*****0761137628577.69 10002*****1269337927777.13 10002*****0355637128476.97 10002*****0350437428076.88 10002*****1075834525370.31外国语学院(专业学位) - 英语笔译(专业学位)考生编号初试成绩复试成绩加权总成绩10002*****0784335729477.7 10002*****0356636528877.64 10002*****1211436927476.04 10002*****0328234628274.88 10002*****1235437325573.72 10002*****1210636125973.1 10002*****1154834826873.08 10002*****1279835124169.52 10002*****1202636023469.42 10002*****1210234823768.65 10002*****1376035323068.15外国语学院(专业学位) - 英语口译(专业学位)考生编号初试成绩复试成绩加权总成绩10002*****1041940730584.2710002*****1220836429378.25 10002*****0357136528777.5 10002*****1192535728476.27 10002*****1465935027674.42 10002*****1573135526973.92历史学院 - 文物与博物馆(专业学位)考生编号初试成绩复试成绩加权总成绩10002*****0361639630081.15 10002*****0361439330481.07 10002*****1376239030380.57 10002*****0904339130180.54 10002*****1416839828379.97 10002*****1578039029479.8 10002*****1549538429779.21 10002*****1580037829778.37 10002*****1355937929578.34 10002*****0360937629477.84 10002*****1123637029877.34 10002*****1579837828477.26 10002*****0361036030976.88 10002*****1549436430276.84 10002*****0870936629676.61 10002*****1577937228376.33 10002*****1048336928075.66 10002*****1183337327275.53 10002*****1522337227375.48艺术学院 - 美术(专业学位)考生编号初试成绩复试成绩加权总成绩10002*****0370134031278.57 10002*****0368332832078.51 10002*****0371636829278.51 10002*****0371434230677.91 10002*****0369333829375.65 10002*****0370333929075.3210002*****0370032130275.24 10002*****0371233629075.02 10002*****0370534927874.61艺术学院 - 艺术设计(专业学位)考生编号初试成绩复试成绩加权总成绩10002*****0372939331283.87 10002*****0372836629779.02 10002*****0373533828474.37信息学院(专业学位) - 软件工程(专业学位)考生编号初试成绩复试成绩加权总成绩10002*****0374237732180.29 10002*****1546137128776.54 10002*****1016536026973.45 10002*****0379633329571.90 10002*****0379332530171.3 10002*****0734935024870.25 10002*****0379232928270.23 10002*****0378633227770.22 10002*****1330831329469.02 10002*****0374031427467.44 10002*****1037931227266.99 10002*****0858731026566.11 10002*****1124330625164.35 10002*****1124130223061.99 10002*****0962030023361.97商学院(专业学位) - 国际商务(专业学位)考生编号初试成绩复试成绩加权总成绩10002*****1127837530378.47 10002*****1437337430478.41 10002*****0395738129178.28 10002*****1407138627977.95 10002*****1509337329677.5910002*****0894837529177.44 10002*****0790938427477.24 10002*****1453736828976.29 10002*****0394836129175.48 10002*****0395636228675.19 10002*****1331236328375.07 10002*****0392935529675.07 10002*****0392536627474.72 10002*****1361736527474.58 10002*****1011836826974.57 10002*****0394736726974.43 10002*****0394935328974.19 10002*****0395437026074.08 10002*****1376835128873.82 10002*****1158835927473.74 10002*****1509135128273.31 10002*****1317336326073.10 10002*****0393535126972.19商学院(专业学位) - 资产评估(专业学位)考生编号初试成绩复试成绩加权总成绩10002*****0397141530283.98 10002*****1331341127881.36 10002*****1231540628481.18 10002*****0397240128780.74 10002*****0872539927579.43 10002*****0937040027279.31 10002*****1509539327078.16 10002*****1158939027478.08 10002*****0963438128577.76 10002*****1376938926477.08 10002*****0398638826577.03 10002*****0397737528677.01 10002*****0396537129076.79 10002*****0396736929276.68 10002*****0810037627976.5510002*****0397538126576.05 10002*****0397337526775.38 10002*****0753137426675.16 10002*****0991036924372.48 10002*****1356936921470.00商学院(会计) - 会计(专业学位)姓名考生编号初试成绩复试成绩加权总成绩备注许**10002*****0534425130885.4朱**10002*****0534624731485.28周**10002*****0533024731084.82刘**10002*****0522424231584.4王**10002*****0528124530984.31金**10002*****0521124630483.94李**10002*****0533524430683.77姚**10002*****0969624330283.11李**10002*****1304723730782.48卢**10002*****0532224229882.45王**10002*****0535023830582.45刘**10002*****0870123530281.51郭**10002*****0532524428681.48李**10002*****1381823630081.48毕**10002*****0530824129181.45王**10002*****024727981.28许**10002*****0533923629781.14姜**10002*****1518323529480.6钱**10002*****0526624427880.57谢**10002*****0528023828880.51孙**10002*****0531724228080.4李**10002*****0689023728780.2杨**10002*****0870323828079.6花**10002*****0537024226879.02宋**10002*****0532324027178.97陈**10002*****1381423626777.71任**10002*****1381121326673骨干牧**10002*****1077321426272.74骨干曾**10002*****0516420024968.45骨干喻**10002*****0548122929979.97石**10002*****0547321930778.88刘**10002*****0556721830878.8刘**10002*****0546522130278.71陆**10002*****0558521631078.62于**10002*****0556522329778.54王**10002*****023626977.94查**10002*****0556321730277.91王**10002*****0550221929877.85裴**10002*****0548021529977.17柳**10002*****0559320930376.42熊**10002*****0542022627376.4邓**10002*****0551022128176.31连**10002*****0545020231376.17熊**10002*****0548321329275.97贺**10002*****0969722127275.28王**10002*****0540321128975.22吕**10002*****0543721528275.22王**10002*****0551820430175.2孙**10002*****1305820529774.94丁**10002*****0541822226774.91许**10002*****0540620629474.8田**10002*****0552719830874.8李**10002*****0543621028674.68秦**10002*****0559121028674.68王**10002*****1232919830774.68李**10002*****020429474.4郭**10002*****0818320129874.25王**10002*****0548220229574.11姚**10002*****0554619530373.62杨**10002*****0546621626673.6滕**10002*****0553921925873.28韩**10002*****0716119629072.34温**10002*****0556620926772.31王**10002*****0559420227772.05刘**10002*****0552119528871.91徐**10002*****0873121325571.74陈**10002*****0540420726471.57高**10002*****0539719927571.22王**10002*****0545820825971.2杨**10002*****0555420126970.94郭**10002*****0557720326470.77刘**10002*****0540021224870.74张**10002*****0538519527670.54魏**10002*****0554820725570.54左**10002*****0546419827070.45李**10002*****020126470.37村官加分马**10002*****0558019627270.28农业与农村发展学院 - 农村与区域发展(专业学位)考生编号初试成绩复试成绩加权总成绩10002*****0414938431081.5010002*****0414338131381.4910002*****0415237530679.9710002*****1216039727879.4110002*****1275236430077.9610002*****0813436728576.6110002*****0415136628075.9210002*****0742736927675.8210002*****0414835429175.7310002*****1557735628775.5210002*****0711335428575.0510002*****1204935628074.7210002*****1204836227274.5210002*****1498035228274.4610002*****0414635127673.6610002*****1192935127573.5410002*****1438035826573.2410002*****1064334527372.610002*****1204734227672.5810002*****1023934327472.4710002*****0414735525771.9710002*****0414435725371.7510002*****1394135325070.9310002*****1221433726670.8410002*****1543933529373.68援信息资源管理学院 - 图书情报(专业学位)考生编号初试成绩复试成绩加权总成绩10002*****1213023228978.9010002*****0641122530078.21国10002*****0643122529878.04国10002*****0642522429577.55国10002*****0642722928177.51国10002*****0970022528977.2710002*****0642021629976.0210002*****0640222327475.5110002*****0643021129774.69国10002*****0982420830574.6710002*****0642621328974.47国10002*****0642321228774.06国10002*****1518821328273.8710002*****0859520928973.5310002*****0642921227973.38国10002*****0642421227673.12国10002*****0643320528772.43国10002*****1402320927672.4210002*****0640320129572.1810002*****0716320229172.0710002*****0643220428371.85国10002*****0756620827271.8410002*****0640120527671.4910002*****1306219928871.1110002*****0641720527171.0610002*****0870519528970.2710002*****1306319827870.0210002*****1138820126069.1810002*****0641619926268.8910002*****1217220723768.6110002*****0818619425767.29社会与人口学院(专业学位) - 社会工作(专业学位)考生编号初试成绩复试成绩加权总成绩10002*****0424643031587.610002*****0425741832086.7310002*****0424141432186.3610002*****1486642030485.14 10002*****1060741131385.09 10002*****0896141231084.86 10002*****0424541131184.86 10002*****0980540130883.32 10002*****0939039731183.18 10002*****0769840330483.10 10002*****1060539930883.08 10002*****0712041029582.91 10002*****0425538731682.55 10002*****1466340129882.17 10002*****0966040529382.08 10002*****1027941128581.89 10002*****1319941627881.69 10002*****0424339430181.68 10002*****0721540528881.51 10002*****1060839629781.46 10002*****0425039629681.34 10002*****1319039429781.22 10002*****1438939829281.13 10002*****0966239429681.10 10002*****1319238130981.03 10002*****1095439329680.98 10002*****1065138929980.85 10002*****0769740028780.8 10002*****1319740428180.59 10002*****0965939229380.52 10002*****1042739229380.52 10002*****0425438530080.48 10002*****1580639129380.40 10002*****1132640427980.36 10002*****0905738629580.03 10002*****1318740327780.01 10002*****0974838129979.89 10002*****1160538030079.88 10002*****0742939428579.85 10002*****0423938729079.58。