仓库环境因素识别及评价记录
- 格式:xls
- 大小:42.00 KB
- 文档页数:3
环境因素的识别与评价控制程序(ISO14001-2015)1.目的对公司在生产活动、产品和服务中能够控制和施加影响的环境因素进行识别、评价,为制定环境目标、指标和管理方案实现污染预防提供依据。
2.范围本程序规定了环境因素识别、评价的具体要求,包括识别的范围、工作计划的编制、识别和评价的方法。
适用于公司生产活动、产品和服务的全过程也包括供方提供的任何设施、材料和服务等。
3.定义3.1环境因素:一个组织的活动、产品和服务中能与环境发生相互作用的要素。
注:重要环境因素是指具有或能够产生重大环境影响的环境因素。
3.2环境影响:全部或部分地由组织的活动、产品和服务给环境造成的任何有害或有益的变化。
4.职责4.1行政办负责组织环境因素的识别与评价并建立重大环境因素清单和管理方案;4.2各部门负责本部门环境因素的识别与评价的具体工作;5.程序内容5.1制定环境因素辨识、评价工作计划5.1.1每年年底由行政办制定《年环境因素识别和评价工作计划》,该评审工作每年至少进行一次。
5.1.2环境因素识别和评价工作计划需包括以下内容:a)环境因素识别和评价的性质、时限、范围和方法b)适用的环境法律法规和其他要求c)负责环境因素识别和评价的人员的能力要求以及作用和权限d)员工参与环境因素识别和评价的范围和方法e)各过程需收集的有关信息、资料等f)填写“环境因素及影响识别、评价登记表”g)组织评审、评价,确定重要环境因素,填写“重要环境影响管理登记表”h)编制“环境因素识别、评价报告”i)其他的相关要求5.1.3环境因素识别评价标准:采用“E值”计分法重要等级=A+B+C+D,A影响范围B.发生概率C.影响程度(C)D社区关注度采用“F值”计分法重要等级=A+BA产值消耗量B可节约程度5.2环境因素识别和评价工作计划的审批5.2.1管理者代表审核、批准《环境因素识别和评价工作计划》5.2.2若有意见填写“文件审核表”返回予以修改;若无意见在文件上签名批准。
环境因素清单+环境因素识别和评价表环境因素清单1.重大环境因素分析及其控制计划清单2.办公区域环境因素清单3.安质部环境因素清单4.仓库环境因素清单5.施工现场及相关方环境因素清单重要环境因素清单编号:NO:序号环境因素产品/活动/服务环境影响时态/状态控制计划1 化学危险品的泄漏或挥发乙炔气、黄油、绝缘油、液压污染土地、水体将来/紧急运行控制程序2 有毒有害废弃物的排放现在/正常管理方案目标3 噪声的排放现在/正常管理方案目标4 火灾、爆炸的发生现在/正常管理方案目标5 施工垃圾的排放现在/正常运行控制程序6 施工、生活污水的排放现在/正常管理方案7 施工现场废机油/废油漆/废电池污染土地、水体现在/正常管理方案环境因素识别评价登记表编号:Vxxxxxxxx 部门:办公室评价分值序号活动/产品/服务/地点环境因素环境影响时态/状态控制方式重要评价1 办公区生活污水的排放污染水体现在/正常运行控制Vxxxxxxxx2 办公区生活垃圾的排放污染土地现在/正常运行控制Vxxxxxxxx3 办公区有毒有害固体废弃物的排放复写纸、废墨盒、废色带、废电池、废电器、废日光灯污染土地、水体现在/正常运行控制 V4 复印机臭氧的排放复印污染大气现在/正常运行控制Vxxxxxxxx5 复印机光的辐射影响人体健康污染大气现在/正常程序Vxxxxxxxx6 电脑操作电磁辐射污染大气现在/正常运行控制 V538是7 氟里昂泄漏破坏臭氧层将来/异常管理方案 Vxxxxxxxx8 空调运行噪声排放影响周围居民休息现在/正常运行控制 Vxxxxxxxx9 水、电、纸张使用资源能源耗竭现在/正常程序Vxxxxxxxx审核:批准:日期:安质部 XXX 2018-01-03环境因素识别评价登记表编制部门:安质部日期:(日期)编号:NO。
部门:评价分值序号活动/产品/服务/地点环境因素点环境影响时态状态控制方式依据环境因素1 办公区生活污水的排放污染水体现在正常运行控制Vxxxxxxxx2 办公区生活垃圾的排放污染土地现在正常运行控制Vxxxxxxxx3 办公区复写纸、废墨盒、废色带、废电池、废电器、废日光灯的处理有毒有害固体废弃物的排放污染土地、水体现在正常运行控制 Vxxxxxxxx4 复印机复印机臭氧的排放影响人体健康现在正常运行控制 V5385 复印机复印机光的辐射影响人体健康现在正常运行控制 Vxxxxxxxx6 电脑操作电脑操作电磁辐射影响人体健康现在正常监测7 空调运行噪声排放影响人体健康现在正常运行控制Vxxxxxxxx8 汽车尾气的排放车辆行驶污染大气现在正常运行控制Vxxxxxxxx9 氟里昂泄漏破坏臭氧层将来异常程序10 稀料、油漆、胶、涂料储存污染土地现在正常运行控制 Vxxxxxxxx11 化学危险品的泄漏或挥发污染土地现在正常运行控制 Vxxxxxxxx12 机油、汽油储存有毒有害废弃物的排放污染土地现在正常运行控制 Vxxxxxxxx评价依据:1.不符合法律法规和地方、行业有关指标规定和其他要求;2.有损公司社会形象;3.相关方合理抱怨或要求;4.节能、降耗且能带来较明显的经济效益和环保效果;5.依据多因子评分法的结果评价。
重要环境因素清单部门:合成氨厂(1)识别人/日期:评价人/日期:审核人/日期:重要环境因素清单部门:合成氨厂(2)重要环境因素清单部门:环境因素识别与评价表部门:合成氨厂(1)环境因素识别与评价表部门: 合成氨厂(2)环境因素识别与评价表部门: 合成氨厂(3)环境因素识别与评价表识别人/日期:评价人/日期:审核人/日期:环境因素识别与评价表部门: 合成氨厂(5)识别人/日期:评价人/日期:环境因素识别与评价表环境因素识别与评价表部门: 合成氨厂(7)重要环境因素清单部门: 磷铵厂(1)环境因素识别与评价表部门: 磷铵厂(1)环境因素识别与评价表部门: 磷铵厂(2)环境因素识别与评价表识别人/日期:评价人/日期:审核人/日期:环境因素识别与评价表部门: 磷铵厂(4)识别人/日期:评价人/日期:审核人/日期:环境因素识别与评价表识别人/日期:评价人/日期:审核人/日期:环境因素识别与评价表环境因素识别与评价表部门: 磷铵厂(6)环境因素识别与评价表部门: 磷铵厂(7)环境因素识别与评价表部门: 部门: 磷铵厂(8)识别人/日期:评价人/日期:审核人/日期:环境因素识别与评价表部门: 磷铵厂(9)环境因素识别与评价表部门: 磷铵厂(10)识别人/日期:评价人/日期:审核人/日期:环境因素识别与评价表部门: 磷铵厂(11)识别人/日期:评价人/日期:审核人/日期:重要环境因素清单部门:硫磺制酸厂(1)环境因素识别与评价表部门: 硫磺制酸厂(1)识别人/日期:评价人/日期:审核人/日期:环境因素识别与评价表部门: 硫磺制酸厂(2)环境因素识别与评价表部门: 硫磺制酸厂(3)环境因素识别与评价表部门: 硫磺制酸厂(4)识别人/日期:评价人/日期:审核人/日期:重要环境因素清单部门:硫酸钾复合肥厂(1)识别人/日期:评价人/日期:审核人/日期:环境因素识别与评价表部门: 硫酸钾复合肥厂(1)识别人/日期:评价人/日期:审核人/日期:环境因素识别与评价表部门: 硫酸钾复合肥厂(2)环境因素识别与评价表部门: 硫酸钾复合肥厂(3)环境因素识别与评价表部门: 硫酸钾复合肥厂(4)环境因素识别与评价表识别人/日期:评价人/日期:环境因素识别与评价表识别人/日期:评价人/日期:环境因素识别与评价表环境因素识别与评价表部门: 硫酸钾复合肥厂(8)识别人/日期:评价人/日期:环境因素识别与评价表部门: 硫酸钾复合肥厂(9)重要环境因素清单部门: 本部复合肥厂(1)环境因素识别与评价表部门: 本部复合肥厂(1)环境因素识别与评价表部门: 本部复合肥厂(2)环境因素识别与评价表识别人/日期:评价人/日期:环境因素识别与评价表部门: 本部复合肥厂(4)。
重要环境因素清单重要环境因素清单识别人/日期:评价人/日期:审核人/日期:重要环境因素清单识别人/日期:评价人/日期:审核人/日期:环境因素识别与评价表环境因素识别与评价表识别人/日期:评价人/日期:审核人/日期:环境因素识别与评价表环境因素识别与评价表环境因素识别与评价表环境因素识别与评价表识别人/日期:评价人/日期:审核人/日期:环境因素识别与评价表重要环境因素清单识别人/日期:评价人/日期:审核人/日期:环境因素识别与评价表识别人/日期:评价人/日期:审核人/日期:环境因素识别与评价表环境因素识别与评价表识别人/日期:评价人/日期:审核人/日期:环境因素识别与评价表识别人/日期:评价人/日期:审核人/日期:环境因素识别与评价表识别人/日期:评价人/日期:审核人/日期:环境因素识别与评价表识别人/日期:评价人/日期:审核人/日期:环境因素识别与评价表环境因素识别与评价表环境因素识别与评价表环境因素识别与评价表识别人/日期:评价人/日期:审核人/日期:环境因素识别与评价表环境因素识别与评价表识别人/日期:评价人/日期:审核人/日期:重要环境因素清单识别人/日期:评价人/日期:审核人/日期:环境因素识别与评价表识别人/日期:评价人/日期:审核人/日期:环境因素识别与评价表识别人/日期:评价人/日期:审核人/日期:环境因素识别与评价表环境因素识别与评价表识别人/日期:评价人/日期:审核人/日期:重要环境因素清单识别人/日期:评价人/日期:审核人/日期:环境因素识别与评价表环境因素识别与评价表环境因素识别与评价表环境因素识别与评价表环境因素识别与评价表环境因素识别与评价表识别人/日期:评价人/日期:环境因素识别与评价表识别人/日期:评价人/日期:环境因素识别与评价表识别人/日期:评价人/日期:环境因素识别与评价表部门: 硫酸钾复合肥厂(9)识别人/日期:评价人/日期:审核人/日期:重要环境因素清单识别人/日期:评价人/日期:审核人/日期:环境因素识别与评价表环境因素识别与评价表环境因素识别与评价表环境因素识别与评价表环境因素识别与评价表环境因素识别与评价表环境因素识别与评价表识别人/日期:评价人/日期:审核人/日期:环境因素识别与评价表环境因素识别与评价表识别人/日期:评价人/日期:环境因素识别与评价表识别人/日期:评价人/日期:重要环境因素清单识别人/日期:评价人/日期:审核人/日期:。
完整word版)环境因素清单+环境因素识别和评价表环境因素清单目录:1.重大环境因素分析及其控制计划清单2.办公区域环境因素3.安质部环境因素4.仓库环境因素5.施工现场及相关方环境因素1.重大环境因素分析及其控制计划清单重要环境因素清单:编号:NO:序号环境因素产品/活动/服务环境影响时态/状态控制计划1 污染土地、水体化学危险品的泄漏或挥发有毒有害废弃物的排放现在/正常现在/正常运行控制程序2 污染土地、水体废机油/废油漆/废电池等的废弃现在/正常运行控制程序3 影响周围居民休息噪声的排放现在/正常运行控制程序4 污染大气电动工具使用、车辆装卸、行驶将来/紧急管理方案目标5 污染施工场地环境油漆/易燃材料仓库、电焊作业、现场用电线路、施工现场配电室现在/正常运行控制程序6 污染水体施工垃圾的排放安装零碎边角料、电线电缆排放、金属废料、砂、石等建筑施工、生活污水的排放现在/正常运行控制程序2.办公区域环境因素环境因素识别评价登记表:编号:部门:办公室NO:序号活动/产品/服务/地点环境因素环境影响时态/状态控制方式评价依据评价分值1 办公区生活污水的排放影响人体健康现在/正常运行控制程序 V 32 办公区生活垃圾的排放影响人体健康现在/正常运行控制程序 V 33 办公区污染水体影响人体健康现在/正常运行控制程序 V 34 办公区污染土地影响人体健康现在/正常运行控制程序 V 35 办公区复写纸、废墨盒、废色带、废有毒有害固体废弃物的排放造成资源能源耗竭现在/正常运行控制程序 V 26 办公区电池、废电器、废日光灯的排放破坏臭氧层现在/正常运行控制程序 V 27 办公区复印机臭氧的排放影响人体健康现在/正常运行控制程序 V 23.安质部环境因素无明显问题段落。
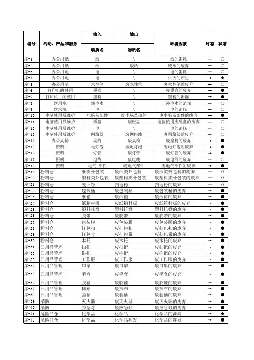
4.仓库环境因素无明显问题段落。
5.施工现场及相关方环境因素无明显问题段落。
1.电脑操作:现在正常运行控制程序,评价依据包括不违反法规和规定、不损害公司形象、不引起相关方投诉、节能降耗并带来经济和环保效益,以及多因素评分法结果评价。