2016长安大学研究生拟录取名单
- 格式:xls
- 大小:41.50 KB
- 文档页数:6
长安大学2016年汽车学院博士研究生拟录取名单52002汽车学院080204车辆工程107106100110268乔洁23593.0082.7311153002汽车学院080204车辆工程107106100110267刘晓东21891.0078.1721154002汽车学院080204车辆工程107106100110270孙秦豫20890.0075.5331155002汽车学院080204车辆工程107106100110266刘攀20689.6074.9541156002汽车学院080204车辆工程107106100110276周扬22192.4079.2911257002汽车学院080204车辆工程107106100110273熊演峰21793.0078.5321258002汽车学院0802Z3★车辆新能源107106100110277滑海宁22791.4080.39112 59002汽车学院082303交通运输规划107106100110232陈刚21591.0077.47111 60002汽车学院082303交通运输规划107106100110237王辉21491.8077.47112 61002汽车学院082303交通运输规划107106100110234马敏21885.4076.49212 62002汽车学院082304载运工具运用107106100110246李震21988.6077.68111 63002汽车学院082304载运工具运用107106100110259徐宇21384.4075.02211 64002汽车学院082304载运工具运用107106100110251张智21182.6074.01311 65002汽车学院082304载运工具运用107106100110247刘静23789.6082.18112 66002汽车学院082304载运工具运用107106100110252赵晨22791.6080.45212 67002汽车学院082304载运工具运用107106100110250张瑞宾21984.4076.42312 68003工程机械学院080201机械制造及其107106100110310徐元博19189.7171.4811169003工程机械学院080202机械电子工程107106100110289焦渊22490.7179.48112 70003工程机械学院080202机械电子工程107106100110301赵良22689.0079.43212 71003工程机械学院080202机械电子工程107106100110296王艳22186.8677.62312 72003工程机械学院080202机械电子工程107106100110294王海飞19089.7171.25412 73003工程机械学院080203机械设计及理107106100110302杜向阳22692.0080.33111 74003工程机械学院080203机械设计及理107106100110306史妍妮22588.4379.03112 75003工程机械学院0802Z1★工程机械107106100110307宋昆23190.4381.0311276004经济与管理学院082303交通运输规划107106100110333陈阳23287.2080.29111 77004经济与管理学院082303交通运输规划107106100110320秦选龙22186.8077.61211 78004经济与管理学院082303交通运输规划107106100110347吴雪莹21282.6074.25311文章来源:文彦考研旗下长安大学考研网。
长安大学2016硕士研究生车辆工程拟录取名单107106161330360张洋森080204车辆工程00281.0057.0091.0096.00325.00229.00554.000.00 0.00107106161330311关闯080204车辆工程00278.0055.0099.0099.00331.00223.00554.000.000.00 107106161330321李嘉鸣080204车辆工程00267.0075.0072.00113.00327.00225.00552.000.00 0.00107106161330338山岩080204车辆工程00268.0065.00101.00101.00335.00216.00551.000.00 0.00107106142166434江梁080204车辆工程00268.0061.0092.00101.00322.00228.00550.000.00 0.00107106137024724殷凡青080204车辆工程00272.0074.0094.0091.00331.00219.00550.000.00 0.00107106161330339邵攀登080204车辆工程00268.0064.0059.00125.00316.00231.00547.000.00 0.00107106161330313韩婷080204车辆工程00270.0070.00101.0078.00319.00227.00546.000.00 0.00107106114023144吴岩080204车辆工程00270.0070.0082.00100.00322.00223.00545.000.00 0.00107106134014137何爱生080204车辆工程00281.0070.0074.0089.00314.00230.00544.000.00 0.00107106161330359张学文080204车辆工程00270.0070.0075.00100.00315.00228.00543.000.00 0.00107106121053710孟彬080204车辆工程00277.0064.0096.0091.00328.00215.00543.000.000.00 107106161330308樊晓楠080204车辆工程00265.0075.0082.0096.00318.00223.00541.000.00 0.00107106137024717姜良超080204车辆工程00274.0068.0082.00102.00326.00211.00537.000.00 0.00102476511712733师浩浩080204车辆工程00264.0078.0082.0096.00320.00216.00536.000.00 0.00高水平调剂107106161330325刘佳浩080204车辆工程00273.0065.0070.00101.00309.00227.00536.000.00 0.00107106141325603孟祥瑞080204车辆工程00272.0066.0089.0093.00320.00216.00536.000.00 0.00107106113052933张天宇080204车辆工程00271.0080.0096.0080.00327.00209.00536.000.00 0.00107106161330336孟祥臻080204车辆工程00266.0069.0068.00126.00329.00206.00535.000.00 0.00107106162028252王宏朋080204车辆工程00258.0065.00103.0092.00318.00209.00527.000.00 0.00107106137024718李传友080204车辆工程00272.0061.0083.0090.00306.00220.00526.000.00 0.00107106137135071桑振竹080204车辆工程00274.0069.0090.0085.00318.00206.00524.000.000.00107106161330342宋定波080204车辆工程00276.0055.0085.0080.00296.00226.00522.000.00 0.00107106150116935贾大海080204车辆工程00273.0056.0086.0097.00312.00210.00522.000.00 0.00107106137064880陈帅080204车辆工程00276.0056.00100.0080.00312.00209.00521.000.00 0.00107106121133745贾贵川080204车辆工程00275.0069.0076.0088.00308.00212.00520.000.00 0.00107106113113042孟辉磊080204车辆工程00268.0063.0087.0091.00309.00207.00516.000.00 0.00107106143196765邱焕尧080204车辆工程00265.0055.0093.0092.00305.00207.00512.000.00 0.00107106121033687黄喆080204车辆工程00277.0065.0080.0079.00301.00210.00511.000.000.00 107106136024448黄凯080204车辆工程00269.0058.0093.0086.00306.00203.00509.000.000.00 107106141035224徐凯080204车辆工程00270.0069.0083.0082.00304.00204.00508.000.000.00 107106142296612陈晋荣080204车辆工程00280.0071.0063.0081.00295.00212.00507.000.00 0.00107106141215446李然然080204车辆工程00274.0067.0073.0092.00306.00196.00502.000.00 0.00107106161330329刘毅坤080204车辆工程00268.0082.0060.0083.00293.00199.00492.000.00 0.00107106161330324李迎弟080204车辆工程00268.0068.0074.0084.00294.00197.00491.000.00 0.00文章来源:文彦考研旗下长安大学考研网。
长安大学2016年截止10月31日硕士研究生网报错误名单450896640zhongcheng姓名、学历证书编号查无学历。
650690653艾德海江·马那甫姓名、学历证书编号查无学历。
613394114艾心非陕西考生应选择当地社会考点-,非陕西考生应选择当地社会考点-613395213艾心非陕西考生应选择当地社会考点-,非陕西考生应选择当地社会考点-613394063安行校验未通过,毕业学校有疑问。
613393409安竟成非陕西考生应选择当地社会考点-613394934安竟成非陕西考生应选择当地社会考点-152898079安龙姓名、学历证书编号查无学历。
613393963安斋恒非陕西考生应选择当地社会考点-150399828白皓姓名、学历证书编号查无学历。
152598917白纳庆校验未通过,毕业学校有疑问。
330290373白茹琼校验未通过,毕业学校有疑问。
613393973白锡楠非陕西考生应选择当地社会考点-,校验未通过,学习形式有疑问。
410172061白雪校验未通过,毕业学校有疑问。
613394733白杨校验未通过,毕业年月有疑问。
531196002白云芬姓名、学历证书编号查无学历。
613395774白云鹏同等学历不能报考该专业-613396592包杰宗非陕西考生应选择当地社会考点-613393607包志兴非陕西考生应选择当地社会考点-,姓名、学历证书编号查无学历。
441887409贲洪志校验未通过,毕业学校有疑问。
613394863蔡艳斌校验未通过,学习形式有疑问。
331198490蔡烨校验未通过,毕业年月有疑问。
613395507蔡震同等学历不能报考该专业-322091018蔡志策姓名、学历证书编号查无学历。
613393838曹鑫姓名、学历证书编号查无学历。
613393372曹雨轩非陕西考生应选择当地社会考点-613394766曹雨轩非陕西考生应选择当地社会考点-613394579曹忠良非陕西考生应选择当地社会考点-613393800常皓杰非陕西考生应选择当地社会考点-,姓名、学历证书编号查无学历。
长安大学汽车学院2016年博士研究生复试通知各考生:根据学校《关于做好2016年博士学位研究生复试、录取工作的通知》,相关工作及安排如下:一、复试领导小组组长:余强副组长:肖润谋、陈昊、李晓阳成员:胡大伟、郭应时、魏朗、赵建有、刘晶郁、付锐、刘浩学、张春化、杨京帅秘书:刘萍二、2016年博士研究生复试工作安排:1、复试报到时间:2016年4月26日(周二)上午8:30—11:30报到所需材料按照学校《长安大学2016年博士研究生复试录取工作通知》的要求准备,详细要求请查看链接/html/553.htm。
2、复试报到地点:汽车学院二楼215办公室3、复试时间:2016年4月27日(星期三)上午8:304、复试小组及地点:(1)思想政治素质考核小组时间:2016年4月27日(星期三)上午8:30-11:30地点:汽车学院二楼214室(2)专业综合及英语复试小组1组:车辆工程、车辆新能源与节能工程专业组时间:2016年4月27日(星期三)上午8:30-11:30地点:汽车学院二楼208会议室2组:交通运输规划与管理、载运工具运用工程、物流工程与管理组时间:2016年4月27日(星期三)上午8:30-11:30地点:汽车学院二楼241会议室四、复试内容按照学校《长安大学2016年博士研究生复试录取工作通知》的规定执行。
五、参加复试名单姓名考生编号专业代码专业名称刘静107106100110247082304载运工具运用工程赵晨107106100110252082304载运工具运用工程滑海宁1071061001102770802Z3★车辆新能源与节能工程周扬107106100110276080204车辆工程张瑞宾107106100110250082304载运工具运用工程马敏107106100110234082303交通运输规划与管理熊演峰107106100110273080204车辆工程王辉107106100110237082303交通运输规划与管理司志远107106100110269080204车辆工程吴刚1071061001102640823Z1★物流工程与管理乔洁107106100110268080204车辆工程李震107106100110246082304载运工具运用工程刘晓东107106100110267080204车辆工程陈刚107106100110232082303交通运输规划与管理徐宇107106100110259082304载运工具运用工程张智107106100110251082304载运工具运用工程孙秦豫107106100110270080204车辆工程刘攀107106100110266080204车辆工程文章来源:文彦考研旗下长安大学考研网。
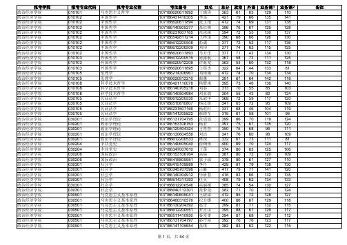
政治经济学院010101马克思主义哲学107186620611892王晓珍3636163129110政治经济学院010102中国哲学107186431410305李雯4217966135141政治经济学院010102中国哲学107186620611894张玉艳4127469131138政治经济学院010102中国哲学107186140905277张红梅3967667125128政治经济学院010102中国哲学107186231607165张冰霜3947255130137政治经济学院010102中国哲学107186542811214王梓珺3906866126130政治经济学院010102中国哲学107186612200508彭潇3777252117136政治经济学院010102中国哲学107186612200509刘印3777463115125政治经济学院010102中国哲学107186620611893马万里3777142134130政治经济学院010103外国哲学107186612200515陈露航3675873111125政治经济学院010103外国哲学107186620912209许海龙3635360132118政治经济学院010103外国哲学107186620611895王煜杰322644413381政治经济学院010105伦理学107186214306961刘雨薇4127470134134政治经济学院010105伦理学107186620912210曲蕙3916764142118政治经济学院010108科学技术哲学107186421110078杨辉南3957346136140政治经济学院010108科学技术哲学107186140705218刘春313705585103政治经济学院010108科学技术哲学107186140504984刘亚鸽304554382124政治经济学院030105民商法学107186612200530朱淑华3687259117120政治经济学院030105民商法学107186510810807杨汝娇341657295109政治经济学院030105民商法学107186231607166畅继轩3376846104119政治经济学院030105民商法学107186141205822郝路军316615810196政治经济学院030201政治学理论107186131704795张瑶瑶3998670119124政治经济学院030201政治学理论107186153106763杨君3977567135120政治经济学院030201政治学理论107186120404324王晋晋350756896111政治经济学院030201政治学理论107186130604556刘洁341766096109政治经济学院030201政治学理论107186612200533林琛332677311181政治经济学院030204中共党史107186140605040崔细雨4008970124117政治经济学院030204中共党史107186347007610王蕾3748063125106政治经济学院030206国际政治107186153106764高瑞3818072120109政治经济学院030206国际政治107186415809951郭子瑞3788061127110政治经济学院030301社会学107186415109889李丹4288179138130政治经济学院030301社会学107186345707598吕雕4177977141120政治经济学院030301社会学107186140304912毕研慧4168366132135政治经济学院030301社会学107186614311393任灵4087962134133政治经济学院030301社会学107186612200546高丽媛3857454130127政治经济学院030301社会学107186640112301张梦尧3827170117124政治经济学院030501马克思主义基本原理107186140605041王甜甜4128572128127政治经济学院030501马克思主义基本原理107186460310576纪方雄4008667129118政治经济学院030501马克思主义基本原理107186130204392赵雪3998171132115政治经济学院030501马克思主义基本原理107186612200551罗言山3958861129117政治经济学院030501马克思主义基本原理107186511410950秦爱雯3948768127112政治经济学院030501马克思主义基本原理107186131704797赵丹阳3927676123117政治经济学院030501马克思主义基本原理107186141105654张琪3828362122115第 1 页,共 54 页政治经济学院030501马克思主义基本原理107186412209205任仕坤3817968110124政治经济学院030503马克思主义中国化研究107186414109577吕亚楠4228578128131政治经济学院030503马克思主义中国化研究107186612200564李丹3897869122120政治经济学院030503马克思主义中国化研究107186414309691任宁3808168113118政治经济学院030503马克思主义中国化研究107186612200566张璐3717455120122政治经济学院030503马克思主义中国化研究107186612200567岳攀3717859121113政治经济学院030505思想政治教育107186131504729李杨4048677123118政治经济学院030505思想政治教育107186510810808王凡4038673131113政治经济学院030505思想政治教育107186612200570任丽3807770122111政治经济学院030506中国近现代史基本问题研究107186141305933陈琪璇3948467116127政治经济学院030506中国近现代史基本问题研究107186431410307雷英挑3858161125118政治经济学院030506中国近现代史基本问题研究107186140905280支丽3787668122112政治经济学院035200社会工作107186371408359李海琴4007166146117政治经济学院035200社会工作107186614311436姚凤3897757127128政治经济学院035200社会工作107186231107133李慧鹏3888364140101政治经济学院035200社会工作107186414609826袁良芳3886868128124政治经济学院035200社会工作107186612201621李鸿3827156134121政治经济学院035200社会工作107186231507157吴慢3757857127113政治经济学院035200社会工作107186421910139李林波3727653128115政治经济学院035200社会工作107186140304913邓俏3717560126110政治经济学院035200社会工作107186620612003刘婷婷3707160122117政治经济学院035200社会工作107186153206823薛吉康3677861121107政治经济学院035200社会工作107186370107930鲜安平364706013599政治经济学院035200社会工作107186152306684武栋354815013984政治经济学院035200社会工作107186620111499杜芳秀3476649123109政治经济学院035200社会工作107186612201616贠琪翔3456865109103政治经济学院045102学科教学(思政)107186360707783刘丽4118064134133政治经济学院045102学科教学(思政)107186440410391邓君玲3988565121127政治经济学院045102学科教学(思政)107186614111322李淑瑛3898161128119政治经济学院045102学科教学(思政)107186140605181鲍倩3877665119127政治经济学院045102学科教学(思政)107186370608103杜靖辉3877465125123政治经济学院045102学科教学(思政)107186612201661轩雪蕊3868760116123政治经济学院045102学科教学(思政)107186500210662晏龙星3838070122111政治经济学院045102学科教学(思政)107186510810841杨华丽3838071105127政治经济学院045102学科教学(思政)107186612201666梁启明3757367120115政治经济学院045102学科教学(思政)107186210706876沈娅静373837712390政治经济学院045102学科教学(思政)107186612201672梁芬芳3697956115119政治经济学院045102学科教学(思政)107186371108289李晓婷3676958116124政治经济学院045102学科教学(思政)107186210706875张倩3657665119105政治经济学院045102学科教学(思政)107186131004677赵庆霞3647069117108政治经济学院120401行政管理107186612200630程仕桃4038062130131政治经济学院120401行政管理107186414309693李敏4038376108136政治经济学院120401行政管理107186612200622赵怡宁4018167125128第 2 页,共 54 页政治经济学院120401行政管理107186612200617夏珊珊3977773134113政治经济学院120401行政管理107186612200592黄昌飞3938070126117政治经济学院120401行政管理107186111004261马晨3938975113116政治经济学院120401行政管理107186612200627马晓宇3907055127138政治经济学院120401行政管理107186413409416李瑶3858064121120政治经济学院120401行政管理107186120504349柴睿3836255129137政治经济学院120401行政管理107186612200605刘小曼3817462131114政治经济学院120401行政管理107186141205824李盈3807871117114政治经济学院120401行政管理107186612200607张琳3767669121110政治经济学院120401行政管理107186416009989朱杰3766362125126政治经济学院120401行政管理107186420510065屈静茹375848111199政治经济学院125200公共管理107186371408354张越21514471---政治经济学院125200公共管理107186141306000王婷20013664---政治经济学院125200公共管理107186141306001王漫19913168---政治经济学院125200公共管理107186370107919郭元龙19714057---政治经济学院125200公共管理107186372508587牛一辰19413064---政治经济学院125200公共管理107186141305998付晓瑞18913257---政治经济学院125200公共管理107186612204233何敏18312063---政治经济学院125200公共管理107186612204234苏丹妮18212854---政治经济学院125200公共管理107186612204210杨彩18111962---政治经济学院125200公共管理107186372508584齐鹏瑞17911366---政治经济学院125200公共管理107186370107926张偲17813642---政治经济学院125200公共管理107186372908702冯希晨17312647---政治经济学院125200公共管理107186612204208龚恒昱17011159---政治经济学院125200公共管理107186612204235高佩渝17012050---政治经济学院125200公共管理107186370808207王雅婷17012446---政治经济学院125200公共管理107186372508585郑越16811652---政治经济学院125200公共管理107186612204212袁璐琳16711453---政治经济学院125200公共管理107186370308023刘晓彤16711453---政治经济学院125200公共管理107186450110480颜靖人16710661---政治经济学院125200公共管理107186612204219于大伟16612442---国际商学院020104西方经济学107186140604997芦婷婷357767489118国际商学院020106人口、资源与环境经济学107186612200114王琪3866862120136国际商学院020106人口、资源与环境经济学107186612200110周忆南339736092114国际商学院020106人口、资源与环境经济学107186612200113赵靖国326796578104国际商学院020203财政学107186612200119杨艳349686699116国际商学院020203财政学107186340307465王政334755888113国际商学院020204金融学107186612200133艾倩倩3897668122123国际商学院020204金融学107186140805227李梦婕3817872101130国际商学院020204金融学107186410308755张赛赛3727758117120国际商学院020204金融学107186612200147胡梦芸3636575103120国际商学院020204金融学107186140805228刘聪350706996115国际商学院020204金融学107186612200149徐娜344737078123第 3 页,共 54 页国际商学院020204金融学107186612200134刘妍343766093114国际商学院020204金融学107186612200162杜荣342757393101国际商学院020204金融学107186612200161彭依文340637973125国际商学院020204金融学107186416410020任晨妍333756674118国际商学院020205产业经济学107186612200170张丹丹330736085112国际商学院120201会计学107186612200206黄悦瑞364847082128国际商学院120201会计学107186410208739郎方方3637265123103国际商学院120201会计学107186411909106屈延363817482126国际商学院120201会计学107186612200197吴楠3576866108115国际商学院120201会计学107186415309918安婧3577663110108国际商学院120201会计学107186612200203兰佳佳345747382116国际商学院120201会计学107186612200178杨荣343747493102国际商学院120201会计学107186414409707赵方方343726996106国际商学院120202企业管理107186411509008刘畅3737463123113国际商学院120202企业管理107186612200228赵亚楠358727288126国际商学院120202企业管理107186410308757包志鹏351767091114国际商学院120202企业管理107186140905249张丽家347847072121国际商学院120202企业管理107186371108263滕新玉346768285103国际商学院120202企业管理107186511710979吴易琼344658292105国际商学院120202企业管理107186612200223黄师平342716483124国际商学院120202企业管理107186414009487罗喆339706190118国际商学院120202企业管理107186612200227徐弘337647195107国际商学院120202企业管理107186612200234梁之卓336696380124国际商学院120402社会医学与卫生事业管理107186612200649张楠3648258122102国际商学院120404社会保障107186140905282刘艳敏4068076120130国际商学院120404社会保障107186140605045冯亚江3928065128119国际商学院120404社会保障107186370708132曹英琪3908255123130国际商学院120404社会保障107186612200658景越颖3566862107119国际商学院120404社会保障107186612200663张阳阳3416351102125国际商学院120404社会保障107186140805233柴樱桃340665498122国际商学院120404社会保障107186640112303肖坤美3406470105101国际商学院120405土地资源管理107186612200669马雨薇3766767115127国际商学院120405土地资源管理107186140404952姚星宇3557074110101国际商学院125100工商管理107186372508457张梦迪22315568---国际商学院125100工商管理107186372508508闫家安21915762---国际商学院125100工商管理107186612204200马浩月21514768---国际商学院125100工商管理107186372908636耿晋21515758---国际商学院125100工商管理107186372508474徐媛媛20914762---国际商学院125100工商管理107186372508467翟丹丹20313766---国际商学院125100工商管理107186372508505于永刚20313964---国际商学院125100工商管理107186372508526陈炳旭20214854---国际商学院125100工商管理107186372508541李霖清20113764---国际商学院125100工商管理107186372508573赵炳楠20013961---第 4 页,共 54 页国际商学院125100工商管理107186372508459赵人杰19813959---国际商学院125100工商管理107186372508521程亮19813365---国际商学院125100工商管理107186372508582衣存良19713166---国际商学院125100工商管理107186372508498姚海琳19612769---国际商学院125100工商管理107186372508546刘在锰19512768---国际商学院125100工商管理107186372908671季勐19512966---国际商学院125100工商管理107186372908666闫大伟19313261---国际商学院125100工商管理107186372508574张燃19111675---国际商学院125100工商管理107186372508466靳晨蕾19013060---国际商学院125100工商管理107186372508513杜安镇19013951---国际商学院125100工商管理107186372508515白莹19012367---国际商学院125100工商管理107186372908644张海滨19012862---国际商学院125100工商管理107186372908669赵岩19013159---国际商学院125100工商管理107186372908697赵楠18912069---国际商学院125100工商管理107186372508496韩军辉18812959---国际商学院125100工商管理107186372508569贾善坤18813256---国际商学院125100工商管理107186372908633李腾18812464---国际商学院125100工商管理107186372508445褚博18712166---国际商学院125100工商管理107186372908647曾爽18712562---国际商学院125100工商管理107186370408040邵治程18613551---国际商学院125100工商管理107186372508522王琪18611769---国际商学院125100工商管理107186372508572姜宇涵18611472---国际商学院125100工商管理107186372508548吕航18513253---国际商学院125100工商管理107186372908634张宝成18512362---国际商学院125100工商管理107186372908699刘慧18512857---国际商学院125100工商管理107186372508446赵慧18412064---国际商学院125100工商管理107186372908639冯琦18412262---国际商学院125100工商管理107186612204201黄静18312657---国际商学院125100工商管理107186372508436王文存18311370---国际商学院125100工商管理107186372508456徐焕军18312063---国际商学院125100工商管理107186372908668宋念君18312954---国际商学院125100工商管理107186621012228张维斌18312360---国际商学院125100工商管理107186372508448宋庆山18212458---国际商学院125100工商管理107186372508551卓其博18212953---国际商学院125100工商管理107186372908642张天贺18211567---国际商学院125100工商管理107186372508552周欢18111863---国际商学院125100工商管理107186372908653田丽18112754---国际商学院125100工商管理107186612204185缪雯婷18011862---国际商学院125100工商管理107186372508543梁康18012852---国际商学院125100工商管理107186372908657周波18012555---国际商学院125100工商管理107186322107374樊徐迪17912455---国际商学院125100工商管理107186372508469马凯17911960---国际商学院125100工商管理107186372508563范玉刚17911663---第 5 页,共 54 页国际商学院125100工商管理107186372908692谢之隆17912158---国际商学院125100工商管理107186370508058李文双17811662---国际商学院125100工商管理107186372508480李杨17812652---国际商学院125100工商管理107186372508487任倩倩17812058---国际商学院125100工商管理107186372508455宋存浩17713047---国际商学院125100工商管理107186372908640李语非1779681---国际商学院125100工商管理107186372908689任远哲17712255---国际商学院125100工商管理107186370107909杨波17512748---国际商学院125100工商管理107186372508510柳晶17510570---国际商学院125100工商管理107186372508509蒋倩17412351---国际商学院125100工商管理107186372508567王军17413539---国际商学院125100工商管理107186370808206张奎17311261---国际商学院125100工商管理107186372508454田亚飞17312845---国际商学院125100工商管理107186372508579吴则良17311756---国际商学院125100工商管理107186372508463马远17211656---国际商学院125100工商管理107186372908694秦磊17212151---国际商学院125100工商管理107186372908680乔潇17111556---国际商学院125100工商管理107186372508479张庆波16811256---国际商学院125100工商管理107186372508565吕鹏宇1689573---国际商学院125100工商管理107186372908679韩钊16811256---国际商学院125100工商管理107186612204176杜怡16710067---国际商学院125100工商管理107186612204191郝腾16711255---国际商学院125100工商管理107186372508481张璐16711948---国际商学院125100工商管理107186372508545张翔16712146---国际商学院125100工商管理107186372508560宋令坤16711750---国际商学院125100工商管理107186372908672李军凯16711453---国际商学院125100工商管理107186372508483王卉婷16610759---国际商学院125100工商管理107186612204177王圣杰16510164---国际商学院125100工商管理107186372508517梁晴16511253---国际商学院125100工商管理107186372508557赵晨16511748---教育学院040101教育学原理107186412309254聂娇3828269231--教育学院040101教育学原理107186130904633张雅静3638278203--教育学院040101教育学原理107186430410264崔洁3557980196--教育学院040101教育学原理107186130604545李文丽3487975194--教育学院040101教育学原理107186612203231刘丛灵3478064203--教育学院040101教育学原理107186370107831于欣3447977188--教育学院040101教育学原理107186141305918李娜3378465188--教育学院040101教育学原理107186640112277曹莹3377477186--教育学院040101教育学原理107186612203236吕丹3348275177--教育学院040101教育学原理107186412209135李方慧3347865191--教育学院040101教育学原理107186620111468常领焕3347959196--教育学院040101教育学原理107186341207554刘文倩3317773181--教育学院040101教育学原理107186130604546杜丹丹3297765187--第 6 页,共 54 页教育学院040101教育学原理107186347007603王毛文3297270187--教育学院040102课程与教学论107186140104841梁艳3637976208--教育学院040102课程与教学论107186612203276郭怡3568585186--教育学院040102课程与教学论107186612203273杨谦3557678201--教育学院040102课程与教学论107186370107834温双3528070202--教育学院040102课程与教学论107186321307292张欣鑫3497575199--教育学院040102课程与教学论107186612203284王怡怡3438076187--教育学院040102课程与教学论107186140905256刘晓青3427860204--教育学院040102课程与教学论107186350107626文童3428166195--教育学院040102课程与教学论107186612203287张园苑3417768196--教育学院040102课程与教学论107186411609025聂彩虹3407977184--教育学院040102课程与教学论107186412209144徐龙晓3407876186--教育学院040103教育史107186141506031任丽琼3688165222--教育学院040103教育史107186140104844罗菊芳3467875193--教育学院040103教育史107186141105628段鑫睿3417970192--教育学院040103教育史107186410508820陈虎3318566180--教育学院040104比较教育学107186612203381秦佳辰3647975210--教育学院040104比较教育学107186130504514张漫3638167215--教育学院040104比较教育学107186612203387韩蕾3548072202--教育学院040104比较教育学107186150206521褚慧3518169201--教育学院040104比较教育学107186131004674张雨荷3478065202--教育学院040105学前教育学107186612203473张海欧3627667219--教育学院040105学前教育学107186140605012孟莎莎3617972210--教育学院040105学前教育学107186511410943张颖莉3588274202--教育学院040105学前教育学107186130404453王策3568964203--教育学院040105学前教育学107186630112242沈润青3568079197--教育学院040105学前教育学107186370808164李喜元3557971205--教育学院040105学前教育学107186411609039张迪3548066208--教育学院040105学前教育学107186612203470余晓3508373194--教育学院040105学前教育学107186612203471宋文3477576196--教育学院040105学前教育学107186620511839田甜3468179186--教育学院040105学前教育学107186231907243余熙悦3437870195--教育学院040105学前教育学107186410208744史晓琼3438262199--教育学院040106高等教育学107186511310912李秋菊3488472192--教育学院040106高等教育学107186140905262何杏彤3447858208--教育学院040106高等教育学107186140404936李美珍3408462194--教育学院040106高等教育学107186612203504乔娜3377975183--教育学院040106高等教育学107186410708890李佳霖3376867202--教育学院040106高等教育学107186612203527张菁3347966189--教育学院040106高等教育学107186370207972熊晓容3347370191--教育学院040106高等教育学107186410508833张馨尹3337871184--教育学院040108职业技术教育学107186330107390杨文杰3627962221--教育学院040108职业技术教育学107186411609044彭娜3488871189--第 7 页,共 54 页教育学院040108职业技术教育学107186410508835高路路3437873192--教育学院040108职业技术教育学107186140905268刘淑云3427775190--教育学院040108职业技术教育学107186322007354王佳昕3428170191--教育学院040109特殊教育学107186511911006刘华兰3778379215--教育学院040109特殊教育学107186130204385张梁3428473185--教育学院040109特殊教育学107186370908233朱馨馨3427169202--教育学院040109特殊教育学107186410508838陈静3417666199--教育学院040109特殊教育学107186511410946罗环3418168192--教育学院045101教育管理107186612201771苏丽3756966104136教育学院045101教育管理107186540111207陈小利351755891127教育学院045101教育管理107186511310929李晓燕330625289127教育学院045114现代教育技术107186614311439高倩倩3936771136119教育学院045114现代教育技术107186414109622王滨3798363115118教育学院045114现代教育技术107186612201791王远3717565109122教育学院045114现代教育技术107186612201794王洁3697560109125教育学院045114现代教育技术107186612201781杨肖娜3666954109134教育学院045114现代教育技术107186612201785王娇娇3556361105126教育学院045114现代教育技术107186612201795张诏晨354705897129教育学院045114现代教育技术107186411208962丁瑾348736988118教育学院045114现代教育技术107186370908249唐晶晶3416653105117教育学院045114现代教育技术107186612201793潘瑞娟340655496125教育学院045115小学教育107186612201721王星月4148271135126教育学院045115小学教育107186370107936李凤4098463129133教育学院045115小学教育107186422410216周丹4078277129119教育学院045115小学教育107186612201727曹芳芳4007465135126教育学院045115小学教育107186410408795薛玉4007673126125教育学院045115小学教育107186422410215潘倩4007676127121教育学院045115小学教育107186612201723李娜3998168144106教育学院045115小学教育107186612201743王亚男3997665132126教育学院045115小学教育107186431410311贺静3906374137116教育学院045115小学教育107186614311438张文靖3888156136115教育学院045115小学教育107186612201708赵效楠3868174118113教育学院045115小学教育107186612201704何萍3847558121130教育学院045115小学教育107186511310928粟慧敏3847677120111教育学院045115小学教育107186612201715闵娜3838162129111教育学院045115小学教育107186220607021严美霞3818165129106教育学院045115小学教育107186612201754郭倩倩3807162124123教育学院045115小学教育107186141906325李莎莎3766971122114教育学院045115小学教育107186612201698徐娜3748371116104教育学院045118学前教育107186612202684何含姣4007659137128教育学院045118学前教育107186130204412曹云云3807373112122教育学院045118学前教育107186612202640寇苗苗3796966126118教育学院045118学前教育107186412209243史楠3797364120122第 8 页,共 54 页教育学院045118学前教育107186612202641吕欢欢3767455135112教育学院045118学前教育107186612202642张杨3737354128118教育学院045118学前教育107186140905491郭琴3717156128116教育学院045118学前教育107186210906904陈玉玉3718065119107教育学院045118学前教育107186612202661吕曦子3707651116127教育学院045118学前教育107186612202685和佳3687653133106教育学院045118学前教育107186612202648黄瑜3656768121109教育学院045118学前教育107186612202659曾梦瑶3656747119132教育学院045118学前教育107186141506212文静3647860111115教育学院045118学前教育107186612202663张晓凤3607866102114教育学院045118学前教育107186614111334王辉洪3587849114117教育学院045118学前教育107186612202686韩佳怡3576654120117教育学院045118学前教育107186612202650许苗苗3557461115105教育学院045118学前教育107186131704812刘迎润3547354112115教育学院045118学前教育107186350307658张馨桐350795712193教育学院045118学前教育107186521111121许翔3507255114109教育学院045118学前教育107186612202636卢春歌3486352106127教育学院045118学前教育107186612202688崔自芳3487350114111教育学院047101教育经济与管理107186612203790景馨禾3937558260--教育学院047101教育经济与管理107186612203789康韩笑3886657265--教育学院047101教育经济与管理107186640112305陈慧慧3828063239--教育学院047101教育经济与管理107186612203784秦奕斐3817353255--教育学院047101教育经济与管理107186330207406杨宁宁3807971230--教育学院047101教育经济与管理107186130404467王楠楠3797265242--教育学院047101教育经济与管理107186612203783魏翠娟3756450261--教育学院047101教育经济与管理107186432610349丁丽婧3617076215--教育学院047101教育经济与管理107186414809852程千原3576566226--教育学院047101教育经济与管理107186612203781王茜3547559220--教育学院047101教育经济与管理107186140404954杜珊3517358220--教育学院078401教育技术学107186612201561李昂3998670109134教育学院078401教育技术学107186130604585张璐3977680114127教育学院078401教育技术学107186612201562谢佳睿3897575122117教育学院078401教育技术学107186210706874高琪3887772116123教育学院078401教育技术学107186650612551王群利3827661121124教育学院078401教育技术学107186612201564缪茜3818161110129教育学院078401教育技术学107186130604584刘暖玉3806872118122教育学院078401教育技术学107186140905444卢晓琦3687262106128教育学院078401教育技术学107186140605168白晓保3667460106126教育学院078401教育技术学107186614311432万欣琦3656961107128教育学院078401教育技术学107186612201558雷媛3597552102130教育学院078401教育技术学107186612201553张琳涓3547157105121教育学院078401教育技术学107186140905446杨新丽3548058105111教育学院078401教育技术学107186372508433郭静3546954109122第 9 页,共 54 页教育学院078401教育技术学107186140905443杨坤萧353746085134教育学院078401教育技术学107186153106786刘燕清3536564112112教育学院078401教育技术学107186612201565胡丽霞352747684118教育学院078401教育技术学107186140605163苏帅3496266109112教育学院078401教育技术学107186140905440苗苏348727198107教育学院078401教育技术学107186612201554胡彦云343666295120教育学院078401教育技术学107186140605165李雪婷342795988116新闻与传播学院0501Z1文艺与文化传播学107186612200677孔文越4078073123131新闻与传播学院0501Z1文艺与文化传播学107186612200674石腾腾4047571129129新闻与传播学院0501Z1文艺与文化传播学107186612200678郑湘宜4008572116127新闻与传播学院0501Z1文艺与文化传播学107186612200676王琪3857171137106新闻与传播学院0501Z1文艺与文化传播学107186612200680朱紫薇3828073122107新闻与传播学院0501Z1文艺与文化传播学107186612200681雷捷3607353123111新闻与传播学院050301新闻学107186511310917陈秋霖4128681125120新闻与传播学院050301新闻学107186210706865杨柳青4038374128118新闻与传播学院050301新闻学107186612200688徐龙超4017670130125新闻与传播学院050301新闻学107186501010715贾凯璐3917966118128新闻与传播学院050301新闻学107186612200695刘曼玉3907074122124新闻与传播学院050301新闻学107186650212464马峤3867267132115新闻与传播学院050301新闻学107186330207407康一麟3837878127100新闻与传播学院050301新闻学107186612200691许桐菁3817965112125新闻与传播学院050301新闻学107186141205826张明珠3817565116125新闻与传播学院050301新闻学107186612200700苗舒菊3807268110130新闻与传播学院050301新闻学107186510810811余璧玲3806878123111新闻与传播学院050301新闻学107186140104861高焱3777659116126新闻与传播学院050301新闻学107186612200685叶美娟3747459118123新闻与传播学院050302传播学107186640112308李晶4228074132136新闻与传播学院050302传播学107186141105662王晓芬4108075126129新闻与传播学院050302传播学107186371108280陈梦雪4048676124118新闻与传播学院050302传播学107186410508851李莹4007564138123新闻与传播学院050302传播学107186410608862侯智臻3998069129121新闻与传播学院050302传播学107186430210256唐丽霞3988081132105新闻与传播学院050302传播学107186421810109景瑶3977874117128新闻与传播学院050302传播学107186422510227陈思雨3977577115130新闻与传播学院050302传播学107186140605049杜风鹏3947784117116新闻与传播学院050302传播学107186140905285解振华3948166127120新闻与传播学院050302传播学107186141005528杨巧玲3947769126122新闻与传播学院050302传播学107186141105663丁彤3937876119120新闻与传播学院050302传播学107186612200738程苗苗3916984125113新闻与传播学院050302传播学107186141205827李夏3898068127114新闻与传播学院050302传播学107186140605047李洁3858171126107新闻与传播学院050302传播学107186370608078孟昱彤3827861129114新闻与传播学院050302传播学107186340107455张士伟381857412498第 10 页,共 54 页新闻与传播学院050302传播学107186612200712段鸣阳3797267122118新闻与传播学院050302传播学107186612200729艾怡坤3798070120109新闻与传播学院050302传播学107186612200731宋昕月3798164126108新闻与传播学院050302传播学107186140805237李田玉3737464113122新闻与传播学院050302传播学107186153106767田婷3738273114104新闻与传播学院050302传播学107186612203211曹江涛328717478105单独考试新闻与传播学院055200新闻与传播107186410108730臧小景4058570133117新闻与传播学院055200新闻与传播107186432710359黄林凤3967863137118新闻与传播学院055200新闻与传播107186411409006赵会杰3948568119122新闻与传播学院055200新闻与传播107186612202706王莹3907467132117新闻与传播学院055200新闻与传播107186612202733姜郁文3908756130117新闻与传播学院055200新闻与传播107186430910282张妮妮3867566125120新闻与传播学院055200新闻与传播107186141506223曲凯华3827365123121新闻与传播学院055200新闻与传播107186330107402严垲3807460127119新闻与传播学院055200新闻与传播107186347007623蔡怡3797174122112新闻与传播学院055200新闻与传播107186612202700张凯文3747276115111新闻与传播学院055200新闻与传播107186140905492郑小荣3748062113119新闻与传播学院055200新闻与传播107186612202698袁甜甜3737854118123新闻与传播学院055200新闻与传播107186612202718祁梅杰3737161130111新闻与传播学院055200新闻与传播107186612202750惠珊3727660124112新闻与传播学院055200新闻与传播107186140104890江泽燕3727561123113新闻与传播学院055200新闻与传播107186371108297贾嫱3718158125107新闻与传播学院055200新闻与传播107186620311757孙早娟3716870113120新闻与传播学院055200新闻与传播107186612202726赵子旗3707362122113新闻与传播学院055200新闻与传播107186140404975丁晓京3707370113114新闻与传播学院055200新闻与传播107186612202725鲁筱沛3646462127111新闻与传播学院055200新闻与传播107186330107401江昱妍3647358119114新闻与传播学院055200新闻与传播107186141105785王琳茸363807697110新闻与传播学院055200新闻与传播107186612202752董妍3626760121114新闻与传播学院055200新闻与传播107186612202739杨景朝3617469111107新闻与传播学院055200新闻与传播107186131404710吴天方3607278110100新闻与传播学院055200新闻与传播107186141506220王萌3607461113112新闻与传播学院055200新闻与传播107186231807236牛硕珂3607962118101新闻与传播学院055200新闻与传播107186414509772马亚楠3607359116112新闻与传播学院055300出版107186612202785赵立凡4107567131137新闻与传播学院055300出版107186612202779张弓鸣4097557133144新闻与传播学院055300出版107186422110170何宇炀3917770116128新闻与传播学院055300出版107186410308777郭真真3797559114131新闻与传播学院055300出版107186310607261杜瑜3767165111129新闻与传播学院055300出版107186612202768王熠凡3727574102121新闻与传播学院130300戏剧与影视学107186612200789路瑶4057975130121新闻与传播学院130300戏剧与影视学107186612200760张越4027466129133新闻与传播学院130300戏剧与影视学107186612200746谢鑫4008184116119第 11 页,共 54 页新闻与传播学院130300戏剧与影视学107186612200751王帆3987273138115新闻与传播学院130300戏剧与影视学107186612201120孙洁3947361132128新闻与传播学院130300戏剧与影视学107186612200770李亚文3878160124122新闻与传播学院130300戏剧与影视学107186140104867李佳希3847169126118新闻与传播学院130300戏剧与影视学107186141105665孙晓潇3837374128108新闻与传播学院130300戏剧与影视学107186370608091王凯3837847130128新闻与传播学院130300戏剧与影视学107186640112309黄亮3837964130110新闻与传播学院130300戏剧与影视学107186414909856闫娜3827757134114新闻与传播学院130300戏剧与影视学107186612200759强立横3807162133114新闻与传播学院130300戏剧与影视学107186612200784郭萌3787558127118新闻与传播学院130300戏剧与影视学107186140104868吉姿姿3786869127114新闻与传播学院130300戏剧与影视学107186370608079刘晓宇3787957132110新闻与传播学院135105广播电视107186612202879米思雨3948457130123新闻与传播学院135105广播电视107186131504780刘桃3848069115120新闻与传播学院135105广播电视107186612202892蒋志强3827255134121新闻与传播学院135105广播电视107186120104285夏溦泽3826964128121新闻与传播学院135105广播电视107186510810860张铭芳3817755129120新闻与传播学院135105广播电视107186612202868侯鑫3808163124112新闻与传播学院135105广播电视107186612202918谢欣榕3736647136124新闻与传播学院135105广播电视107186612202925赵雅琼3687851126113新闻与传播学院135105广播电视107186620111511孙沛达3687869110111新闻与传播学院135105广播电视107186340807548郏赐兵3677364108122新闻与传播学院135105广播电视107186414109642苏航3676559125118新闻与传播学院135105广播电视107186612202890徐小峰3635668121118新闻与传播学院135105广播电视107186612202911刘小锋3637046127120新闻与传播学院135105广播电视107186414309704王莹3637254127110新闻与传播学院135105广播电视107186370107960宋佳霖3627958105120新闻与传播学院135105广播电视107186612202901刘红3607758111114新闻与传播学院135105广播电视107186141105796刘鑫3596153120125新闻与传播学院135105广播电视107186612202932杨思宇3568456114102新闻与传播学院135105广播电视107186620612049兰晓霞3567058122106新闻与传播学院135105广播电视107186612202893王敏瑶3546651126111新闻与传播学院135105广播电视107186612202898赵立3526242124124新闻与传播学院135105广播电视107186612202881温卓方3507255114109新闻与传播学院135105广播电视107186414209677武娟娟3507043125112新闻与传播学院135105广播电视107186612202887李瑞3456037121127新闻与传播学院135105广播电视107186370208006孟晓3456850117110国际汉学院045300汉语国际教育107186500110629李齐豫4138172137123国际汉学院045300汉语国际教育107186612200301王琳4088177136114国际汉学院045300汉语国际教育107186141305930齐文艳4088168135124国际汉学院045300汉语国际教育107186340807536栗锐4088170135122国际汉学院045300汉语国际教育107186612200313杨柳青4057876128123国际汉学院045300汉语国际教育107186410408789范娟4058270130123第 12 页,共 54 页国际汉学院045300汉语国际教育107186612200316程越4008870128114国际汉学院045300汉语国际教育107186612200322彭思漪3987175131121国际汉学院045300汉语国际教育107186130604554张雪莹3988081120117国际汉学院045300汉语国际教育107186612200362周任芳3978368133113国际汉学院045300汉语国际教育107186612200378王艺晓3968070129117国际汉学院045300汉语国际教育107186612200325贾亚婷3947471130119国际汉学院045300汉语国际教育107186230607082崔天晓3947967132116国际汉学院045300汉语国际教育107186612200342李云娇3936972132120国际汉学院045300汉语国际教育107186612200365寇静3937563130125国际汉学院045300汉语国际教育107186413909450王菊阳3938568126114国际汉学院045300汉语国际教育107186612200304程桥3927870128116国际汉学院045300汉语国际教育107186612200389庄丽3926777129119国际汉学院045300汉语国际教育107186153106760王海霞3898167123118国际汉学院045300汉语国际教育107186220707039靳晓玮3897765135112国际汉学院045300汉语国际教育107186130504519黄涵若3888461130113国际汉学院045300汉语国际教育107186214106938常鑫3887372134109国际汉学院045300汉语国际教育107186350307651范鸽3887658135119国际汉学院045300汉语国际教育107186430310262许雅洁3877874131104国际汉学院045300汉语国际教育107186431410304李娜3878368123113国际汉学院045300汉语国际教育107186500910707周文婷3877379125110国际汉学院045300汉语国际教育107186410308759卢艺茹3867571123117国际汉学院045300汉语国际教育107186612200411张珂3857463127121国际汉学院045300汉语国际教育107186130404463杨满3857673127109国际汉学院045300汉语国际教育107186412909352袁言涛3857668122119国际汉学院045300汉语国际教育107186441210432秦薇3857462129120国际汉学院045300汉语国际教育107186431410303张佳祥3847573121115国际汉学院045300汉语国际教育107186415209896马倩3837864119122国际汉学院045300汉语国际教育107186412209201刘晓瑞3827363126120国际汉学院045300汉语国际教育107186414609783付裕3826665130121国际汉学院045300汉语国际教育107186612200283张译丹3817868120115国际汉学院045300汉语国际教育107186612200321关媚3817867121115国际汉学院045300汉语国际教育107186612200329张梦莹3817872119112国际汉学院045300汉语国际教育107186612200406贾惠婷3816873127113国际汉学院045300汉语国际教育107186612200422吴晨辉3817472121114国际汉学院045300汉语国际教育107186141506051赵星星3807369121117国际汉学院045300汉语国际教育107186411709080杨迪3807561124120国际汉学院045300汉语国际教育107186340407481刘泽龙3797268128111国际汉学院045300汉语国际教育107186412309285董永坤3797962125113国际汉学院045300汉语国际教育107186415009866牛乐平3798276117104国际汉学院045300汉语国际教育107186612200367常雯雯3787366122117国际汉学院045300汉语国际教育107186612200407常晓晓3786975127107国际汉学院045300汉语国际教育107186612200413刘雨菡3787777118106国际汉学院045300汉语国际教育107186321107266徐婷婷3787564124115第 13 页,共 54 页。
长安大学2016年应届本科生推免生名单长安大学2016年推免生公示名单一、公路学院(102)李英帅王胜难郭华伟徐有良赵汝亮刘佳桐王永娥李波安平和郭牧王博李璨刘悠冉李梦琪赵焜杨博倪旭杨益鸣杨欣欣燕孟华肖伯南郝怡铭潘超卜祥波刘城张戈炜王靖超何志伟贺思悦严考权韩志林张亮郭涛李雪倩王洲黄叙钦谭好奇张高望陈策策许岛杨丰羽杨海洋郑鹏唐力焦张秀松林子超董怡伽刘涛刘晓东陈嘉路程观奇寇婷苇姚博徐轶昀孙立鹏战剑柏顺杰黄潇刘昕王康宁丁晓婷胡科坚李辉段祥睿吴振韩鑫祁占锋郭亚龙郭文琦郑云辉徐长鑫张秦宫晓琳徐特滑姗姗陈瑶马永杰木东升陈文栋韩笑宓戴维佳吉淑娟李璇贾若书温沉王雨谨周淑敏王素青雷跃超任亚洗蒙洁张鲜鲜赵亚茹谈笑苏宁义方怡董涛元腾飞王冲潘园园柳剑苗罗灵鸣二、汽车学院(56)张猛刘爽爽孙博林刘峰云方卓琳江志国冯达张长禄吴晓燕郭登刚蔡达李玉李伟李秀杰张立钦李雅洁张晓王航张梦莹张乐唐中华孙丹妮曹倩廖定芳陈曦王瑢璇杨阳李頔郑榕石江伟燕迪刘雯月孙佳妮杭君宇权泽芬程小丹刘晓艳何延焕雷锦梅徐铭蔚郭喆晨陈辉卢莉莉方思雨卢宏广杨龙博祝佩郭春兰望茜茜傅晨琳施磊丁大川郭蕊张卓陈丽珍杨倩倩三、机械学院(52)武泽泽邱泽成李飞闯覃永全宋建宏高军杨杰朱胜伟李超杨卉王慧芬胡美莲陈晨李晨刘海林赵璇韩立军马庆吉吴霜赵华邓小康谭雪松何文凯付超尚振涛梁红涛郑进忠高博鹏杨雨薇陈东朱斌李炜炜杨洋文安王伟王娇靳杨明杏桑玲玲李甜甜李昕童刘成雷碧婷胡秀琨毛飘孙成陆韩亚杰谭忠楷郭伟栋王波杨志强安凯四、经管学院(58)王梦迪曹梦菲安颖王姝淇陈欣文聪贺钰淇徐靓张自荷刘传起卢沐阳李岩白鑫崔力中王宇轩李鑫姬生飞郭如意温丽艳李蕊侯佳佳张晶晶曹晓妍贾秋语蒋美菊白海林李京京杨南熙刘琴张苗苗梁翰文冼靖雯廉怡楠雷园园陈婧延杨雪萍籍晶莹杜雅男张彤彤周焱李东瑾刘渤海廉甄蒋志远周芳戴文涛任婧璇宋燕平武茹茹马苗苗侯亚男巨芳芳马媛步晓庆吴嘉美吴帮苗张妍张坤五、电控学院(47)张勇强刘大庆陈建辉褚理想杨晨付博孙健侯庆华吴朝昇刘川刘立峰李岩哲李业张奕城刘雪松王洋高峰刘玉万蕊刘雪婷贺文杰乔美娜李嘉星张佩王丰秋张莉王思堃秦肖肖崔馨方张思达杜思瑶岳文莹朱晓杰张敏朱以何栾文焕乔泽宇白丹丹王如柳张洁李双霞牟雪杨玫赵耀华马浴阳盖珍荻刘宗伟六、信息学院(37)单玉祥陈旭松韩青李佩霖马晓丽康璐陈东霞付先凯袁娜杨楠王春霞黄炯岗张伟李静樊星张霖杨光俊刘付康吕鑫郏乘帆程珊珊董玉兰翁良令金博肖启恒李佳李莹李婵杨旭炜景瑶黄小龙习敏权德奎谭永俞鼎鼎盛晓亮郎爽七、地测学院(44)孙蕊陈晓龙康璇梁鑫宁奕冰肖俊刘世杰李格烨李冰心倪雪倩单钟锟闫文静姚飞翔张召程树凯牛巍崴李铭宇卢莉李伟蒋康康周振亚赵然李雪燕王玲谦刘肖鲁凯亮牛玉娇史翔张柔吴竞张伟琪孙焱董志华许慧琳李森程娟李越宋月婷罗杰傅成程骆睿宇王飞鹏李鹏毅毛雁鸿八、资源学院(45)黎娇王薇董媛常露霍立壮柴汝宽姜帅罗国杨国旺罗泽华杨晗旭宋博文梁丰符鹏展吴玉其杜日俊刘志兴李婷惠洁屈潘白阳吴丹高娟琴陈东磊任朋飞刘津亓英坤回凯旋郑旭唐汉华米雪张磊李宁刘福田邵恒博赵玉萍陈添珍靳华龙宋董军赵文坡马秀梅徐昆然刘武平高昕怡吕凯一九、建工学院(50)王晨晨吴倩李晓月杨冰宋猛桑刘睿李青正陈倩岚刘金成杜均泽杨雪陈涛申朝旭符晓张玉杰张益帆梁帅李鹏辉王强杨聪赵思程陈亚南徐源沙学军王双兵孙亦男陈俊余曾雅棉叶梦娜马煜东付一鸣张卓朱颖黄娇张雯张志银周雅丹孙昌苹王菲文娜娜刘鹏张颖高艳史奕武敏武雪子宋楚婧李聪遐许雅丹刘丰旋十、环工学院(46)郭媛孟露刘静刘双张爽兰兰梁兰兰孙朝辉吴芬芬常潮马智群朱俊彦刘文睿王逸飞刘远杨岁芹董林凡马铖雪姜浩王逸瑜孙文高榕张明蕊刘雨佳陈倩荣陈琼古仪方徐永胜戴书琪田秦秦田虎虎杨迎陈新颖张姝琪王品吕瑞彤李梦婕李小虎刘晓温倩杨暖闫丽娜翁海成张奇莹张瑜婷虞佩媛十一、建筑学院(20)张冬李梦蛟魏莱邹明妍郑璐阳宋文鸽王刚李梓林刘帆韩平赵宇雯许璐刘晶晶张澜朱雯雯曾子璐周超於洁晶平嘉亮王晓伊十二、材料学院(26)王瑞唐龙飞张卉毕召召肖明李雨晴李彤彤马旭夏阳洋孙益顺王慧赵龙陶婧颖李姣张巧君田煜杨晨李晓彤王轩张壮李思勰李天培高孟磊曹宁王志群彭菲十三、政治学院(11)高维侯东胡甜甜熊英霞阮雪松刘双阳潘斐段鑫斌张宇杨汝徐上十四、理学院(10)张贵梅张晞曈何欣刘佼李彩云董自亮胡川川牟翠翠郭俊杰杨华十五、外语学院(5)李秋晨侯泽静杨萌萌殷春叶刘诗雨十六、文传学院(12)杨爽侯伟鹏刘青青张昕尹明柔刘星辰余智勇白金高超魏宏任钰李甜菱十七、体育系(2)尹洁范月十八、支教团(12)王蕾白国华陈钰娴王一博吕磊王文威田爱玄邓然然姜亚宏徐毅豪张月张立十九、北师大补偿名额(1)景莉君二十、全国重大赛事获奖直接推免生(2)戴衍哲裴泳杰。
长安大学2016硕士研究生计算机科学与技术拟录取名单107106141015175李永上081200计算机科学与技术00669.0073.0061.00122.00325.00247.00 572.000.000.00107106161330961张彬081200计算机科学与技术00665.0056.0081.00119.00321.00244.00565.00 0.000.00107106161330938高健081200计算机科学与技术00676.0064.0072.00106.00318.00242.00560.00 0.000.00107106161330953屈乐081200计算机科学与技术00668.0059.0062.00125.00314.00245.00559.00 0.000.00107106162068326李小亮081200计算机科学与技术00672.0048.0065.00110.00295.00260.00 555.000.000.00107106162068324冯燕081200计算机科学与技术00667.0071.0064.00113.00315.00237.00552.00 0.000.00107106161330930蔡丹丹081200计算机科学与技术00666.0052.0072.00106.00296.00253.00 549.000.000.00107106161330965周琪081200计算机科学与技术00663.0055.0059.00118.00295.00247.00542.00 0.000.00107106141235478吴洁081200计算机科学与技术00668.0065.0073.00111.00317.00221.00538.00 0.000.00107106165068527孙雅伦081200计算机科学与技术00667.0061.0077.0093.00298.00238.00 536.000.000.00107106161330937高芬芬081200计算机科学与技术00664.0060.0056.00106.00286.00239.00 525.000.000.00107106141165396杨娜娜081200计算机科学与技术00657.0058.0086.0082.00283.00235.00 518.000.000.00107106164018492宋恩鹏081200计算机科学与技术00664.0056.0068.0098.00286.00232.00 518.000.000.00107106161330962张瑞081200计算机科学与技术00674.0070.0057.00102.00303.00208.00511.00 0.000.00107106161330945李璇081200计算机科学与技术00668.0054.0059.00100.00281.00228.00509.00 0.000.00107106161330934陈瑶081200计算机科学与技术00667.0043.0079.0087.00276.00232.00508.00 0.000.00107106162068325何琪081200计算机科学与技术00672.0056.0061.0097.00286.00218.00504.00 0.000.00107106161330940胡常英081200计算机科学与技术00664.0053.0072.0089.00278.00218.00 496.000.000.00107106161330970马媛媛082302交通信息工程及控制00664.0068.0065.0090.00287.00250.00 537.000.000.00107106137014555韩爱平082302交通信息工程及控制00675.0066.0056.0095.00292.00228.00 520.000.000.00107106162048293王兴莉082302交通信息工程及控制00660.0049.0073.00115.00297.00220.00517.000.000.00107106114053209牛晓珂0823Z3★智能交通与信息系统工程00675.0071.0098.00121.00365.00 267.00632.000.000.00107106161330926魏涛0823Z3★智能交通与信息系统工程00675.0061.0081.00108.00325.00 253.00578.000.000.00107106123103867谢冠星0823Z3★智能交通与信息系统工程00667.0055.0094.0095.00311.00 231.00542.000.000.00107106161330929张琪琪0823Z3★智能交通与信息系统工程00667.0055.0061.00114.00297.00 241.00538.000.000.00107106161330923景蛴娴0823Z3★智能交通与信息系统工程00665.0060.0057.00110.00292.00 245.00537.000.000.00107106161330927肖琳0823Z3★智能交通与信息系统工程00666.0040.0083.00123.00312.00 212.00524.000.000.00107106141325632许梦茹083500软件工程00667.0066.0064.00118.00315.00272.00587.000.00 0.00文章来源:文彦考研旗下长安大学考研网。
长安大学2016年经济与管理学院博士研究生拟录取名单79004经济与管理学院082303交通运输规划107106100110342孙茂棚19087.6070.61411 80004经济与管理学院082303交通运输规划107106100110338李良华23789.4082.12112 81004经济与管理学院082303交通运输规划107106100110332陈建21186.0075.03212 82004经济与管理学院082303交通运输规划107106100110318刘欣20587.0073.93312 83004经济与管理学院082303交通运输规划107106100110345王雪21476.4072.85412 84004经济与管理学院0823Z1★物流工程与107106100110324陈艳19484.4070.59211 85004经济与管理学院0823Z1★物流工程与107106100110369吴加广18583.2068.13311 86004经济与管理学院0823Z1★物流工程与107106100110356李金峰19280.4068.92112 87004经济与管理学院0823Z1★物流工程与107106100110364王东方21484.2075.19112 88005电子与控制工程082302交通信息工程107106100110377赖树坤21792.0078.23112 89006信息工程学院082302交通信息工程107106100110407贺冰花22393.0079.93112 90006信息工程学院082302交通信息工程107106100110405董鸣22488.0078.67212 91006信息工程学院082302交通信息工程107106100110409翟军治20286.0072.93312 92006信息工程学院0823Z3★智能交通与107106100110399杨燕妮22692.0080.33111 93006信息工程学院0823Z3★智能交通与107106100110391杜子龙22786.0078.77211 94006信息工程学院0823Z3★智能交通与107106100110395沈超22289.0078.50311 95006信息工程学院0823Z3★智能交通与107106100110393孟乔22985.0078.93112 96006信息工程学院0823Z3★智能交通与107106100110402张光南20990.0075.77212 97006信息工程学院0823Z3★智能交通与107106100110403赵彬21287.0075.57312 98007地质工程与测绘0709Z1★资源与深部107106100110443赵洋洋23088.8380.3211299007地质工程与测绘0709Z1★资源与深部107106100110444郑怡22687.1778.88212 100007地质工程与测绘081401岩土工程107106100110410李珩20294.0075.33111101007地质工程与测绘081405防灾减灾工程107106100110414杨永东18688.0069.80112 102007地质工程与测绘0814Z1★建筑安全工107106100110497刘雪玲23394.0082.57111 103007地质工程与测绘081601大地测量学与107106100110428田镇23288.4080.65111 104007地质工程与测绘081601大地测量学与107106100110418韩菲22288.0078.20211 105007地质工程与测绘081601大地测量学与107106100110420焦佳爽22088.4077.85311 106007地质工程与测绘081601大地测量学与107106100110422康亚21787.6076.91411 107007地质工程与测绘081601大地测量学与107106100110424凌晴22590.8079.74112 108007地质工程与测绘081602摄影测量与遥107106100110487钟棉卿22286.8077.84111 109007地质工程与测绘081602摄影测量与遥107106100110489马飞15787.8062.97112 110007地质工程与测绘081603地图制图学与107106100110493王毅鹏20186.4072.82111 111007地质工程与测绘081802地球探测与信107106100110440杨敏21889.5077.72111 112007地质工程与测绘081802地球探测与信107106100110436马杰20186.1772.75211 113007地质工程与测绘081803地质工程107106100110459连宝琴24395.0085.20111 114007地质工程与测绘081803地质工程107106100110478周阳22592.0080.10211115007地质工程与测绘081803地质工程107106100110456洪勃22592.0080.10211116007地质工程与测绘081803地质工程107106100110471薛会师22493.0080.17112 117007地质工程与测绘081803地质工程107106100110453党琪21593.0078.07212文章来源:文彦考研旗下长安大学考研网。
长安大学研究生招生调档函存根
硕研调字第号
:
贵单位同志报考我校2011年硕士研究生,初试成绩达到我校复试线。
复试合格,我校拟录取该同志。
请将该同志档案材料近期转入我办。
致谢!
二○一一年月日
拟录取学科、专业
长安大学研究生招生调档函
硕研调字第号
:
贵单位同志报考我校2011年硕士研究生,初试成绩达到我校复试线。
复试合格,我校拟录取该同志。
请将该同志档案材料及政审表于2011年7月30日前转入我院。
致谢!
调档学院(章)
二○一一年月日
我院通信地址:联系人:
邮编:。
考生编号姓名录取类别录取专业(代码+名称)(未录取请置空)录取研究方向(代码+名称)(未录取请置空)(拟录取、不合格、淘汰、ksbh xm lqlb lqzymc lqyjfxmc报考方式总分复试成绩总成绩复试结论复试排名107107114053486赵亚婉非定向就业081400土木工程01(全日制)岩土工程414.00183.001011.00拟录取1 107107141326191雷江涛非定向就业081400土木工程01(全日制)岩土工程396.00165.60957.60拟录取2 107107161330012李豪非定向就业081400土木工程01(全日制)岩土工程387.00177.50951.50拟录取3 107107143147278王岩涛非定向就业081400土木工程01(全日制)岩土工程378.00173.60929.60拟录取4 107107161157718何静斌非定向就业081400土木工程01(全日制)岩土工程370.00182.00922.00拟录取5 107107161330007胡海波非定向就业081400土木工程01(全日制)岩土工程370.00181.80921.80拟录取6 107107137065492朱珊珊非定向就业081400土木工程01(全日制)岩土工程372.00177.50921.50拟录取7 107107161330035严彬华非定向就业081400土木工程01(全日制)岩土工程369.00177.00915.00拟录取8 107107161330025秦祎文非定向就业081400土木工程01(全日制)岩土工程365.00184.25914.25拟录取9 107107161330032王伟龙非定向就业081400土木工程01(全日制)岩土工程370.00173.10913.10拟录取10 107107137065491孙永梅非定向就业081400土木工程01(全日制)岩土工程366.00181.00913.00拟录取11 107107137015088朱方宇非定向就业081400土木工程01(全日制)岩土工程366.00174.60906.60拟录取12 107107142116934潘少康非定向就业081400土木工程01(全日制)岩土工程362.00180.00904.00拟录取13 107107143067199乔青青非定向就业081400土木工程01(全日制)岩土工程360.00182.60902.60拟录取14 107107161330039朱彦名非定向就业081400土木工程01(全日制)岩土工程370.00162.25902.25拟录取15 107107141246097宋宗昌非定向就业081400土木工程02(全日制)防灾减灾工程及防护工程361.00176.50898.50拟录取16 107107113043164张绍骞非定向就业081400土木工程01(全日制)岩土工程360.00178.00898.00拟录取17 107107134024744陈瑶非定向就业081400土木工程01(全日制)岩土工程358.00171.50887.50拟录取18 107107161330033谢柯非定向就业081400土木工程01(全日制)岩土工程352.00182.25886.25拟录取19 107107141045863张丙武非定向就业081400土木工程01(全日制)岩土工程355.00176.20886.20拟录取20 107107161330027苏林建非定向就业081400土木工程01(全日制)岩土工程352.00180.00884.00拟录取21 107107121154257闫世豪非定向就业081400土木工程01(全日制)岩土工程351.00176.00878.00拟录取22 107107141326195威巍非定向就业081400土木工程01(全日制)岩土工程346.00183.00875.00拟录取23 107107161330006巩悦非定向就业081400土木工程01(全日制)岩土工程349.00173.75871.75拟录取24 107107141326194司晓东非定向就业081400土木工程01(全日制)岩土工程348.00174.80870.80拟录取25 107107162027887崔易仑非定向就业081400土木工程01(全日制)岩土工程342.00184.50868.50拟录取26 107107122074330杨治军非定向就业081400土木工程01(全日制)岩土工程351.00165.00867.00拟录取27 107107141516622褚志成非定向就业081400土木工程01(全日制)岩土工程346.00170.40862.40拟录取28 107107141326199朱乾龙非定向就业081400土木工程01(全日制)岩土工程341.00178.60860.60拟录取29 107107141416471郭昊天非定向就业081400土木工程01(全日制)岩土工程340.00176.25856.25拟录取30 107107141536667崔志猛非定向就业081400土木工程01(全日制)岩土工程341.00174.00856.00拟录取31 107107137075574朱月非定向就业081400土木工程01(全日制)岩土工程342.00171.75855.75拟录取32 107107161330017刘毅鑫非定向就业081400土木工程01(全日制)岩土工程342.00171.40855.40拟录取33 107107113103259姚伟伟非定向就业081400土木工程01(全日制)岩土工程339.00174.20852.20拟录取34107107114093686乔俊非定向就业081400土木工程01(全日制)岩土工程339.00172.25850.25拟录取35 107107161330147闫新凯非定向就业081406桥梁与隧道工程01(全日制)桥梁工程443.00187.801073.80拟录取1 107107161330103马腾非定向就业081406桥梁与隧道工程01(全日制)桥梁工程415.00168.40998.40拟录取2 107107161330092李智刚非定向就业081406桥梁与隧道工程01(全日制)桥梁工程412.00167.60991.60拟录取3 107107141196044董尧一非定向就业081406桥梁与隧道工程01(全日制)桥梁工程412.00159.00983.00拟录取4 107107161330123姚瑞非定向就业081406桥梁与隧道工程01(全日制)桥梁工程416.00150.40982.40拟录取5 107107132114500司海鹏非定向就业081406桥梁与隧道工程01(全日制)桥梁工程408.00161.60977.60拟录取6 107107114153886张耀非定向就业081406桥梁与隧道工程01(全日制)桥梁工程405.00162.20972.20拟录取7 107107137065493冯步文非定向就业081406桥梁与隧道工程01(全日制)桥梁工程401.00170.00972.00拟录取8 107107145097409李林峰非定向就业081406桥梁与隧道工程02(全日制)隧道工程392.00186.25970.25拟录取9 107107161330118杨荣好非定向就业081406桥梁与隧道工程01(全日制)桥梁工程398.00168.20964.20拟录取10 107107161330140赵锋力非定向就业081406桥梁与隧道工程01(全日制)桥梁工程400.00164.00964.00拟录取11 107107161330125叶春生非定向就业081406桥梁与隧道工程01(全日制)桥梁工程395.00170.40960.40拟录取12 107107114023414王俊峰非定向就业081406桥梁与隧道工程01(全日制)桥梁工程399.00162.00960.00拟录取13 107107114023412孟志将非定向就业081406桥梁与隧道工程01(全日制)桥梁工程399.00161.20959.20拟录取14 107107161330143赵玄非定向就业081406桥梁与隧道工程01(全日制)桥梁工程395.00167.00957.00拟录取15 107107141166022王刚强非定向就业081406桥梁与隧道工程01(全日制)桥梁工程397.00161.20955.20拟录取16 107107161330051白永新非定向就业081406桥梁与隧道工程01(全日制)桥梁工程400.00154.00954.00拟录取17 107107143067201吴浩伟非定向就业081406桥梁与隧道工程01(全日制)桥梁工程392.00167.00951.00拟录取18 107107161330082孔维康非定向就业081406桥梁与隧道工程02(全日制)隧道工程382.00184.75948.75拟录取19 107107161330064付旺旺非定向就业081406桥梁与隧道工程01(全日制)桥梁工程391.00166.60948.60拟录取20 107107161330099刘鳗慧非定向就业081406桥梁与隧道工程01(全日制)桥梁工程388.00171.20947.20拟录取21 107107161330088李徐阳非定向就业081406桥梁与隧道工程01(全日制)桥梁工程388.00169.80945.80拟录取22 107107137025294孙晓红非定向就业081406桥梁与隧道工程01(全日制)桥梁工程390.00164.60944.60拟录取23 107107150037463许昕非定向就业081406桥梁与隧道工程01(全日制)桥梁工程384.00174.40942.40拟录取24 107107134054798黄成非定向就业081406桥梁与隧道工程01(全日制)桥梁工程396.00150.20942.20拟录取25 107107137295793朱国强非定向就业081406桥梁与隧道工程01(全日制)桥梁工程387.00166.60940.60拟录取26 107107161330072韩晓东非定向就业081406桥梁与隧道工程01(全日制)桥梁工程378.00184.00940.00拟录取27 107107112063087赵云鹏非定向就业081406桥梁与隧道工程01(全日制)桥梁工程393.00153.60939.60拟录取28 107107137015096徐怀存非定向就业081406桥梁与隧道工程01(全日制)桥梁工程392.00155.40939.40拟录取29 107107161330052白云腾非定向就业081406桥梁与隧道工程01(全日制)桥梁工程384.00170.00938.00拟录取30 107107136075050蔡昌伟非定向就业081406桥梁与隧道工程01(全日制)桥梁工程385.00166.80936.80拟录取31 107107143067202肖凯龙非定向就业081406桥梁与隧道工程01(全日制)桥梁工程379.00178.20936.20拟录取32 107107137015097张光伟非定向就业081406桥梁与隧道工程02(全日制)隧道工程376.00183.25935.25拟录取33 107107142146980刘蔚非定向就业081406桥梁与隧道工程01(全日制)桥梁工程385.00164.40934.40拟录取34 107107141306123刘冲非定向就业081406桥梁与隧道工程01(全日制)桥梁工程388.00157.60933.60拟录取35 107107162067991王瑞正非定向就业081406桥梁与隧道工程01(全日制)桥梁工程377.00177.20931.20拟录取36107107134014709桂鹏非定向就业081406桥梁与隧道工程01(全日制)桥梁工程381.00165.00927.00拟录取37 107107137035402田瑞欣非定向就业081406桥梁与隧道工程01(全日制)桥梁工程378.00170.10926.10拟录取38 107107161330122阳威非定向就业081406桥梁与隧道工程01(全日制)桥梁工程376.00172.60924.60拟录取39 107107162067987彭恺非定向就业081406桥梁与隧道工程01(全日制)桥梁工程373.00177.80923.80拟录取40 107107161330076胡洁亮非定向就业081406桥梁与隧道工程01(全日制)桥梁工程372.00179.80923.80拟录取41 107107161330096刘岩非定向就业081406桥梁与隧道工程01(全日制)桥梁工程382.00158.40922.40拟录取42 107107137065498张肖非定向就业081406桥梁与隧道工程01(全日制)桥梁工程374.00172.60920.60拟录取43 107107137295792刘勇非定向就业081406桥梁与隧道工程01(全日制)桥梁工程380.00160.00920.00拟录取44 107107161330108宋特非定向就业081406桥梁与隧道工程01(全日制)桥梁工程372.00175.40919.40拟录取45 107107161330126殷悦非定向就业081406桥梁与隧道工程01(全日制)桥梁工程371.00177.00919.00拟录取46 107107141015802杨晓冲非定向就业081406桥梁与隧道工程01(全日制)桥梁工程373.00172.20918.20拟录取47 107107161330093李紫豪非定向就业081406桥梁与隧道工程01(全日制)桥梁工程374.00169.40917.40拟录取48 107107161330087李晓涛非定向就业081406桥梁与隧道工程01(全日制)桥梁工程377.00162.40916.40拟录取49 107107137015090曹晓喆非定向就业081406桥梁与隧道工程01(全日制)桥梁工程373.00170.20916.20拟录取50 107107136014950丁伟慧非定向就业081406桥梁与隧道工程01(全日制)桥梁工程374.00167.00915.00拟录取51 107107113033150王旭东非定向就业081406桥梁与隧道工程01(全日制)桥梁工程377.00160.80914.80拟录取52 107107161330110王阳非定向就业081406桥梁与隧道工程01(全日制)桥梁工程378.00157.40913.40拟录取53 107107162098192高贵杰非定向就业081406桥梁与隧道工程01(全日制)桥梁工程376.00161.40913.40拟录取54 107107161330137张正琦非定向就业081406桥梁与隧道工程01(全日制)桥梁工程374.00162.60910.60拟录取55 107107361339659魏亚辉定向就业081406桥梁与隧道工程02(全日制)隧道工程单考-320.00174.00814.00拟录取0 107107361339657段海定向就业081406桥梁与隧道工程01(全日制)桥梁工程单考-312.00169.60793.60拟录取0 107107361339658王安定向就业081406桥梁与隧道工程01(全日制)桥梁工程单考-272.00153.80697.80拟录取0 107107132114508孙思嘉非定向就业082300交通运输工程01(全日制)交通运输规划与管理394.00152.40940.40拟录取1 107107161330252贾云蒲非定向就业082300交通运输工程01(全日制)交通运输规划与管理377.00183.00937.00拟录取2 107107150037477陈权非定向就业082300交通运输工程01(全日制)交通运输规划与管理378.00172.80928.80拟录取3 107107161330277王熙煜非定向就业082300交通运输工程01(全日制)交通运输规划与管理366.00180.80912.80拟录取4 107107132144574刘小红非定向就业082300交通运输工程01(全日制)交通运输规划与管理370.00170.60910.60拟录取5 107107161330287叶邕非定向就业082300交通运输工程01(全日制)交通运输规划与管理365.00178.40908.40拟录取6 107107161330248郝璐非定向就业082300交通运输工程01(全日制)交通运输规划与管理359.00189.60907.60拟录取7 107107161330265马艳锋非定向就业082300交通运输工程01(全日制)交通运输规划与管理366.00169.60901.60拟录取8 107107161330274田佳雨非定向就业082300交通运输工程01(全日制)交通运输规划与管理358.00185.00901.00拟录取9 107107161330251黄坤非定向就业082300交通运输工程01(全日制)交通运输规划与管理365.00170.20900.20拟录取10 107107161330258李瑞燕非定向就业082300交通运输工程01(全日制)交通运输规划与管理356.00186.40898.40拟录取11 107107161330282肖娜非定向就业082300交通运输工程01(全日制)交通运输规划与管理359.00177.80895.80拟录取12 107107150037493张连财非定向就业082300交通运输工程01(全日制)交通运输规划与管理359.00177.60895.60拟录取13 107107137015111李贵阳非定向就业082300交通运输工程01(全日制)交通运输规划与管理359.00174.40892.40拟录取14 107107161330260李颖霏非定向就业082300交通运输工程01(全日制)交通运输规划与管理354.00182.80890.80拟录取15107107143067214张保硕非定向就业082300交通运输工程01(全日制)交通运输规划与管理359.00170.40888.40拟录取16 107107136014958罗鑫非定向就业082300交通运输工程01(全日制)交通运输规划与管理357.00173.40887.40拟录取17 107107161330290张福明非定向就业082300交通运输工程01(全日制)交通运输规划与管理357.00169.00883.00拟录取18 107107161330284熊豪非定向就业082300交通运输工程01(全日制)交通运输规划与管理363.00156.20882.20拟录取19 107107161330291张辛煜非定向就业082300交通运输工程01(全日制)交通运输规划与管理354.00174.20882.20拟录取20 107107150037476曹亚茹非定向就业082300交通运输工程01(全日制)交通运输规划与管理351.00180.00882.00拟录取21 107107143257341曹夏玲非定向就业082300交通运输工程01(全日制)交通运输规划与管理353.00175.80881.80拟录取22 107107161330263刘博蓉非定向就业082300交通运输工程01(全日制)交通运输规划与管理350.00181.60881.60拟录取23 107107137025312张爽非定向就业082300交通运输工程01(全日制)交通运输规划与管理352.00176.80880.80拟录取24 107107161330267邱进杰非定向就业082300交通运输工程02(全日制)交通工程348.00183.60879.60拟录取25 107107113043173周烨超非定向就业082300交通运输工程01(全日制)交通运输规划与管理353.00172.40878.40拟录取26 107107161330238陈伏非定向就业082300交通运输工程01(全日制)交通运输规划与管理349.00178.80876.80拟录取27 107107161330269宋亚南非定向就业082300交通运输工程01(全日制)交通运输规划与管理345.00184.60874.60拟录取28 107107161330241陈思恬非定向就业082300交通运输工程01(全日制)交通运输规划与管理343.00188.60874.60拟录取29 107107137025311苑仁腾非定向就业082300交通运输工程01(全日制)交通运输规划与管理351.00171.80873.80拟录取30 107107142116939方滢非定向就业082301道路与铁道工程01(全日制)路基路面工程395.00173.00963.00拟录取1 107107161330193倪欣悦非定向就业082301道路与铁道工程01(全日制)路基路面工程382.00188.75952.75拟录取2 107107142197024陈莎莎非定向就业082301道路与铁道工程01(全日制)路基路面工程389.00172.80950.80拟录取3 107107141196046万栋非定向就业082301道路与铁道工程01(全日制)路基路面工程387.00174.33948.33拟录取4 107107161330177李玉鹏非定向就业082301道路与铁道工程01(全日制)路基路面工程387.00166.00940.00拟录取5 107107137035405黄庆庆非定向就业082301道路与铁道工程01(全日制)路基路面工程376.00177.30929.30拟录取6 107107134014714吴旺杰非定向就业082301道路与铁道工程01(全日制)路基路面工程373.00182.10928.10拟录取7 107107161330209吴佶昀非定向就业082301道路与铁道工程02(全日制)路线与总体工程375.00175.80925.80拟录取8 107107161330186刘箫非定向就业082301道路与铁道工程02(全日制)路线与总体工程374.00174.80922.80拟录取9 107107132144569陈思燚非定向就业082301道路与铁道工程01(全日制)路基路面工程374.00172.70920.70拟录取10 107107136014954陈旺非定向就业082301道路与铁道工程01(全日制)路基路面工程370.00174.25914.25拟录取11 107107143247339郭长志非定向就业082301道路与铁道工程01(全日制)路基路面工程381.00152.00914.00拟录取12 107107141045864王瑞祥非定向就业082301道路与铁道工程01(全日制)路基路面工程371.00171.90913.90拟录取13 107107132134562张飞非定向就业082301道路与铁道工程02(全日制)路线与总体工程370.00173.80913.80拟录取14 107107161330222张金昊非定向就业082301道路与铁道工程01(全日制)路基路面工程366.00181.60913.60拟录取15 107107133024684肖珊非定向就业082301道路与铁道工程02(全日制)路线与总体工程367.00179.00913.00拟录取16 107107161330215杨杰非定向就业082301道路与铁道工程02(全日制)路线与总体工程364.00184.60912.60拟录取17 107107161330171孔冰杰非定向就业082301道路与铁道工程02(全日制)路线与总体工程370.00170.25910.25拟录取18 107107150037468靳一非定向就业082301道路与铁道工程02(全日制)路线与总体工程377.00155.50909.50拟录取19 107107161330165韩鑫宇非定向就业082301道路与铁道工程02(全日制)路线与总体工程365.00179.40909.40拟录取20 107107161330196宋晨非定向就业082301道路与铁道工程01(全日制)路基路面工程368.00173.25909.25拟录取21 107107144217383林宏伟非定向就业082301道路与铁道工程01(全日制)路基路面工程366.00175.20907.20拟录取22107107151137608傅一非定向就业082301道路与铁道工程01(全日制)路基路面工程366.00167.00899.00拟录取25 107107150037466高文泽非定向就业082301道路与铁道工程01(全日制)路基路面工程360.00175.25895.25拟录取26 107107161330218尹媛媛非定向就业082301道路与铁道工程01(全日制)路基路面工程357.00179.80893.80拟录取27 107107114023419吴松非定向就业082301道路与铁道工程01(全日制)路基路面工程362.00169.00893.00拟录取28 107107143187312徐树威非定向就业082301道路与铁道工程02(全日制)路线与总体工程368.00154.80890.80拟录取29 107107161330179李琪琪非定向就业082301道路与铁道工程01(全日制)路基路面工程363.00164.80890.80拟录取30 107107161330159凡俊涛非定向就业082301道路与铁道工程01(全日制)路基路面工程359.00172.00890.00拟录取31 107107136014955万铜铜非定向就业082301道路与铁道工程01(全日制)路基路面工程356.00177.25889.25拟录取32 107107161330161冯逸伟非定向就业082301道路与铁道工程02(全日制)路线与总体工程360.00168.25888.25拟录取33 107107150037472刘洁非定向就业082301道路与铁道工程02(全日制)路线与总体工程353.00181.00887.00拟录取34 107107141045865杨景玉非定向就业082301道路与铁道工程01(全日制)路基路面工程358.00170.30886.30拟录取35 107107141306128吴双全非定向就业082301道路与铁道工程01(全日制)路基路面工程360.00162.80882.80拟录取36 107107122074348王翰越非定向就业082301道路与铁道工程01(全日制)路基路面工程355.00171.50881.50拟录取37 107107143067207王培非定向就业082301道路与铁道工程01(全日制)路基路面工程355.00170.50880.50拟录取38 107107132124552谭云鹏非定向就业082301道路与铁道工程01(全日制)路基路面工程355.00168.90878.90拟录取39 107107161330176李阳非定向就业082301道路与铁道工程01(全日制)路基路面工程353.00172.30878.30拟录取40 107107141306127王蒙阳非定向就业082301道路与铁道工程02(全日制)路线与总体工程353.00169.80875.80拟录取41 107107113143308田中男非定向就业082301道路与铁道工程01(全日制)路基路面工程346.00182.75874.75拟录取42 107107161330153陈强善非定向就业082301道路与铁道工程02(全日制)路线与总体工程354.00166.20874.20拟录取43 107107161330180梁汉冕非定向就业082301道路与铁道工程02(全日制)路线与总体工程348.00176.60872.60拟录取44 107107142116940郭泰非定向就业082301道路与铁道工程02(全日制)路线与总体工程354.00163.60871.60拟录取45 107107137025296侯兆凯非定向就业082301道路与铁道工程02(全日制)路线与总体工程351.00169.20871.20拟录取46 107107143167306谭卓琦非定向就业082301道路与铁道工程02(全日制)路线与总体工程350.00170.20870.20拟录取47 107107161330169侯宇迪非定向就业082301道路与铁道工程02(全日制)路线与总体工程347.00175.75869.75拟录取48 107107141105924张震非定向就业082301道路与铁道工程01(全日制)路基路面工程345.00179.70869.70拟录取49 107107137025305张政非定向就业082301道路与铁道工程01(全日制)路基路面工程348.00173.50869.50拟录取50 107107161330192莫艳鸳非定向就业082301道路与铁道工程02(全日制)路线与总体工程349.00168.60866.60拟录取51 107107161330198苏宇轩非定向就业082301道路与铁道工程01(全日制)路基路面工程350.00166.50866.50拟录取52 107107161330211徐国其非定向就业082301道路与铁道工程01(全日制)路基路面工程349.00167.20865.20拟录取53 107107137025301孙威非定向就业082301道路与铁道工程02(全日制)路线与总体工程353.00159.00865.00拟录取54 107107122074346李奇非定向就业082301道路与铁道工程02(全日制)路线与总体工程349.00165.75863.75拟录取55 107107161330173李斌非定向就业082301道路与铁道工程02(全日制)路线与总体工程342.00176.40860.40拟录取56 107107161330227张山非定向就业082301道路与铁道工程02(全日制)路线与总体工程351.00156.50858.50拟录取57 107107137025306张琛非定向就业082301道路与铁道工程01(全日制)路基路面工程345.00167.10857.10拟录取58 107107161330195秦际涵非定向就业082301道路与铁道工程02(全日制)路线与总体工程342.00172.40856.40拟录取59107107150037465高朋非定向就业082301道路与铁道工程01(全日制)路基路面工程337.00179.60853.60拟录取62 107107161330182刘欢非定向就业082301道路与铁道工程02(全日制)路线与总体工程343.00166.40852.40拟录取63 107107161330168洪军非定向就业082301道路与铁道工程01(全日制)路基路面工程343.00166.20852.20拟录取64 107107142126962李鹏飞非定向就业082301道路与铁道工程01(全日制)路基路面工程342.00167.80851.80拟录取65 107107161330201王涵非定向就业082301道路与铁道工程01(全日制)路基路面工程337.00176.80850.80拟录取66 107107137025300宋志非定向就业082301道路与铁道工程01(全日制)路基路面工程336.00177.00849.00拟录取67 107107142126965王汉文非定向就业082301道路与铁道工程01(全日制)路基路面工程338.00171.50847.50拟录取68 107107163018227殷梦洁非定向就业082301道路与铁道工程02(全日制)路线与总体工程342.00162.50846.50拟录取69 107107163018225韩若峰定向就业082301道路与铁道工程02(全日制)路线与总体工程骨干计划-328.00146.40802.40拟录取84 107107361339663魏家光定向就业082301道路与铁道工程01(全日制)路基路面工程单考-304.00166.50774.50拟录取85定向就业082301道路与铁道工程01(全日制)路基路面工程骨干计划-296.00168.70760.70拟录取86 107107165068292阿不都沙拉木107107361339660尚文勇定向就业082301道路与铁道工程01(全日制)路基路面工程单考-334.00166.00834.00拟录取80 107107361339662汪成定向就业082301道路与铁道工程01(全日制)路基路面工程单考-277.00157.75711.75拟录取87 107107141336362徐浩非定向就业085213建筑与土木工程02(全日制)岩土与隧道工程425.00189.001039.00拟录取1 107107142247105康玉娇非定向就业085213建筑与土木工程02(全日制)岩土与隧道工程422.00182.501026.50拟录取2 107107137135697陈龙龙非定向就业085213建筑与土木工程02(全日制)岩土与隧道工程419.00184.501022.50拟录取3 107107137015216冯宇非定向就业085213建筑与土木工程01(全日制)桥梁工程416.00178.201010.20拟录取4 107107114053517董亚琴非定向就业085213建筑与土木工程02(全日制)岩土与隧道工程415.00178.501008.50拟录取5 107107115014030夏帅帅非定向就业085213建筑与土木工程02(全日制)岩土与隧道工程415.00176.751006.75拟录取6 107107136014999翟勇非定向就业085213建筑与土木工程02(全日制)岩土与隧道工程410.00183.751003.75拟录取7 107107161332156孙钰丰非定向就业085213建筑与土木工程02(全日制)岩土与隧道工程408.00186.251002.25拟录取8 107107137015205巩海筱非定向就业085213建筑与土木工程02(全日制)岩土与隧道工程418.00165.501001.50拟录取9 107107134084833李罕非定向就业085213建筑与土木工程01(全日制)桥梁工程411.00178.401000.40拟录取10 107107161332161王朋乐非定向就业085213建筑与土木工程02(全日制)岩土与隧道工程406.00187.25999.25拟录取11 107107137025356崔舜非定向就业085213建筑与土木工程02(全日制)岩土与隧道工程408.00182.50998.50拟录取12 107107141636839李淼非定向就业085213建筑与土木工程02(全日制)岩土与隧道工程409.00176.25994.25拟录取13 107107142267144赵毅非定向就业085213建筑与土木工程02(全日制)岩土与隧道工程405.00181.25991.25拟录取14 107107137065535时元绪非定向就业085213建筑与土木工程01(全日制)桥梁工程410.00170.60990.60拟录取15 107107134254884王月朋非定向就业085213建筑与土木工程02(全日制)岩土与隧道工程406.00176.75988.75拟录取16 107107161332191姬乃川非定向就业085213建筑与土木工程01(全日制)桥梁工程407.00173.60987.60拟录取17 107107141135970陈建行非定向就业085213建筑与土木工程02(全日制)岩土与隧道工程402.00182.00986.00拟录取18 107107143147293姚顺意非定向就业085213建筑与土木工程02(全日制)岩土与隧道工程408.00169.50985.50拟录取19 107107141336364朱嘉远非定向就业085213建筑与土木工程03(全日制)道路防灾减灾工程407.00171.00985.00拟录取20 107107141035854刘亚辉非定向就业085213建筑与土木工程02(全日制)岩土与隧道工程400.00182.40982.40拟录取21 107107113043201李博非定向就业085213建筑与土木工程02(全日制)岩土与隧道工程398.00185.00981.00拟录取22107107142227077张立凡非定向就业085213建筑与土木工程01(全日制)桥梁工程408.00163.80979.80拟录取24 107107141166028周志清非定向就业085213建筑与土木工程02(全日制)岩土与隧道工程405.00169.80979.80拟录取25 107107113103287任晨宁非定向就业085213建筑与土木工程02(全日制)岩土与隧道工程399.00180.50978.50拟录取26 107107142146985魏艳春非定向就业085213建筑与土木工程02(全日制)岩土与隧道工程398.00181.25977.25拟录取27 107107141326276张士朝非定向就业085213建筑与土木工程02(全日制)岩土与隧道工程397.00182.80976.80拟录取28 107107137095655张超超非定向就业085213建筑与土木工程02(全日制)岩土与隧道工程395.00186.20976.20拟录取29 107107141306155高海江非定向就业085213建筑与土木工程02(全日制)岩土与隧道工程400.00175.00975.00拟录取30 107107141065897段凯凯非定向就业085213建筑与土木工程01(全日制)桥梁工程402.00169.80973.80拟录取31 107107137075583马健玮非定向就业085213建筑与土木工程02(全日制)岩土与隧道工程397.00179.50973.50拟录取32 107107141176039张宁非定向就业085213建筑与土木工程02(全日制)岩土与隧道工程396.00181.50973.50拟录取33 107107141095922王朝相非定向就业085213建筑与土木工程02(全日制)岩土与隧道工程394.00182.50970.50拟录取34 107107145097425张聪非定向就业085213建筑与土木工程02(全日制)岩土与隧道工程394.00182.00970.00拟录取35 107107161332144李笛非定向就业085213建筑与土木工程02(全日制)岩土与隧道工程391.00188.00970.00拟录取36 107107161332176詹皓辰非定向就业085213建筑与土木工程02(全日制)岩土与隧道工程399.00171.50969.50拟录取37 107107132214651韩猛非定向就业085213建筑与土木工程02(全日制)岩土与隧道工程394.00181.40969.40拟录取38 107107134024749李雄飞非定向就业085213建筑与土木工程02(全日制)岩土与隧道工程397.00174.40968.40拟录取39 107107121154269张兴祖非定向就业085213建筑与土木工程01(全日制)桥梁工程398.00170.60966.60拟录取40 107107162098213黄万俊非定向就业085213建筑与土木工程03(全日制)道路防灾减灾工程397.00170.75964.75拟录取41 107107161332196马振兴非定向就业085213建筑与土木工程01(全日制)桥梁工程393.00178.40964.40拟录取42 107107161332193刘将非定向就业085213建筑与土木工程01(全日制)桥梁工程398.00168.20964.20拟录取43 107107114053520王瑞非定向就业085213建筑与土木工程02(全日制)岩土与隧道工程390.00183.60963.60拟录取44 107107143157303李院军非定向就业085213建筑与土木工程01(全日制)桥梁工程394.00174.80962.80拟录取45 107107141566768王政斌非定向就业085213建筑与土木工程02(全日制)岩土与隧道工程394.00172.75960.75拟录取46 107107145077400牛亚鹏非定向就业085213建筑与土木工程02(全日制)岩土与隧道工程390.00180.50960.50拟录取47 107107161332151牛若飞非定向就业085213建筑与土木工程02(全日制)岩土与隧道工程388.00183.50959.50拟录取48 107107161332194刘平均非定向就业085213建筑与土木工程01(全日制)桥梁工程404.00151.40959.40拟录取49 107107122074373王运广非定向就业085213建筑与土木工程01(全日制)桥梁工程397.00165.40959.40拟录取50 107107137015213蔺文帅非定向就业085213建筑与土木工程02(全日制)岩土与隧道工程392.00173.75957.75拟录取51 107107132114526徐海非定向就业085213建筑与土木工程02(全日制)岩土与隧道工程389.00179.25957.25拟录取52 107107161332188郭荣耕非定向就业085213建筑与土木工程01(全日制)桥梁工程400.00156.00956.00拟录取53 107107161332183覃桢杰非定向就业085213建筑与土木工程02(全日制)岩土与隧道工程386.00184.00956.00拟录取54 107107121154267刘洋非定向就业085213建筑与土木工程02(全日制)岩土与隧道工程392.00171.40955.40拟录取55 107107143147291候帅非定向就业085213建筑与土木工程02(全日制)岩土与隧道工程387.00181.25955.25拟录取56 107107137015206李松皓非定向就业085213建筑与土木工程02(全日制)岩土与隧道工程388.00178.20954.20拟录取57 107107162027910张利鹏非定向就业085213建筑与土木工程01(全日制)桥梁工程397.00160.00954.00拟录取58 107107115024062杨帆非定向就业085213建筑与土木工程01(全日制)桥梁工程395.00163.00953.00拟录取59107107161332141何彪非定向就业085213建筑与土木工程02(全日制)岩土与隧道工程381.00186.75948.75拟录取62 107107137065531薛勋强非定向就业085213建筑与土木工程02(全日制)岩土与隧道工程386.00176.60948.60拟录取63 107107141326265费东阳非定向就业085213建筑与土木工程02(全日制)岩土与隧道工程382.00184.40948.40拟录取64 107107134014734吴福涛非定向就业085213建筑与土木工程01(全日制)桥梁工程393.00162.20948.20拟录取65 107107161332192李昊辰非定向就业085213建筑与土木工程01(全日制)桥梁工程396.00155.60947.60拟录取66 107107142247106张震非定向就业085213建筑与土木工程03(全日制)道路防灾减灾工程389.00168.75946.75拟录取67 107107161332128曹凯非定向就业085213建筑与土木工程02(全日制)岩土与隧道工程380.00186.75946.75拟录取68 107107141566766牛豪爽非定向就业085213建筑与土木工程02(全日制)岩土与隧道工程381.00183.75945.75拟录取69 107107112053080贾航航非定向就业085213建筑与土木工程02(全日制)岩土与隧道工程387.00171.60945.60拟录取70 107107161332190胡眺非定向就业085213建筑与土木工程01(全日制)桥梁工程394.00157.20945.20拟录取71 107107145097422彭浩非定向就业085213建筑与土木工程02(全日制)岩土与隧道工程381.00181.50943.50拟录取72 107107142207054杨帆非定向就业085213建筑与土木工程01(全日制)桥梁工程390.00163.40943.40拟录取73 107107122074369仇肖盼非定向就业085213建筑与土木工程02(全日制)岩土与隧道工程386.00170.75942.75拟录取74 107107141566760常占一非定向就业085213建筑与土木工程02(全日制)岩土与隧道工程379.00183.25941.25拟录取75 107107151137621钟贤毅非定向就业085213建筑与土木工程01(全日制)桥梁工程387.00166.40940.40拟录取76 107107145097420关启集非定向就业085213建筑与土木工程02(全日制)岩土与隧道工程381.00178.20940.20拟录取77 107107142167011牛哲非定向就业085213建筑与土木工程01(全日制)桥梁工程391.00157.60939.60拟录取78 107107122074372张远航非定向就业085213建筑与土木工程02(全日制)岩土与隧道工程381.00177.00939.00拟录取79 107107137065537张桂通非定向就业085213建筑与土木工程01(全日制)桥梁工程389.00159.80937.80拟录取80 107107141015817张海彬非定向就业085213建筑与土木工程01(全日制)桥梁工程378.00181.80937.80拟录取81 107107111053005于翔非定向就业085213建筑与土木工程02(全日制)岩土与隧道工程379.00179.75937.75拟录取82 107107161332203吴江非定向就业085213建筑与土木工程01(全日制)桥梁工程382.00173.60937.60拟录取83 107107141306159王利婷非定向就业085213建筑与土木工程03(全日制)道路防灾减灾工程379.00179.00937.00拟录取84 107107114093728刘瑞辉非定向就业085213建筑与土木工程02(全日制)岩土与隧道工程376.00185.00937.00拟录取85 107107145097426吴志达非定向就业085213建筑与土木工程01(全日制)桥梁工程392.00151.80935.80拟录取86 107107143187315胡禹锡非定向就业085213建筑与土木工程02(全日制)岩土与隧道工程379.00177.50935.50拟录取87 107107141115949张经统非定向就业085213建筑与土木工程01(全日制)桥梁工程386.00163.40935.40拟录取88 107107161332204吴领领非定向就业085213建筑与土木工程01(全日制)桥梁工程383.00169.40935.40拟录取89 107107137065536姚恒盈非定向就业085213建筑与土木工程01(全日制)桥梁工程382.00170.60934.60拟录取90 107107132114523韩丹丹非定向就业085213建筑与土木工程02(全日制)岩土与隧道工程378.00177.50933.50拟录取91 107107121094212陈坤伦非定向就业085213建筑与土木工程02(全日制)岩土与隧道工程381.00171.00933.00拟录取92 107107161332184陈武浩非定向就业085213建筑与土木工程01(全日制)桥梁工程390.00152.40932.40拟录取93 107107162088180赵君杰非定向就业085213建筑与土木工程01(全日制)桥梁工程384.00163.20931.20拟录取94 107107141035856张科科非定向就业085213建筑与土木工程02(全日制)岩土与隧道工程375.00181.00931.00拟录取95 107107161332150孟方方非定向就业085213建筑与土木工程02(全日制)岩土与隧道工程372.00187.00931.00拟录取96。
长安大学工程机械学院2016年硕士研究生招生复试通知
1、复试报到时间:2016年3月23日上午08:00。
2、复试报到地点:在工程机械学院二层会议室报到。
3、复试时间:2016年3月24日--3月25日,具体安排如下:
复试时间复试内容复试地点
备
注
3月24日
下午2:40进入考场,
3:00~6:00考试
笔试校本部401、402、403教室
3月25日
上午8:00~12:00面试
学院办公楼的二层和四层
办公室
4、复试考试课程,复试报到时由考生选报。
a.工业设计工程专业复试课程为《人机工程学》。
b.其它专业的复试课程为《测试与传感器技术》或《液压传动》,考生可以任选其中一门。
5、笔试及面试时,请考生携带准考证、身份证(学生证)。
6、考生报考导师时请注意:每位硕导只能带6名学生(含推免学生)。
请查看导师名单及所带推免学生名单表,在报到时确认导师。
7、报名时请交体检表。
8、学院的复试结果和拟录取情况将于3月28日后在学院一层黑板张贴公布并办理调档函,请考生复
试结束后随时关注网上通知。
9、往届毕业生须在5月1日前将档案寄到录取学院,否则不予录取。
10、请下载复试资格审查表报到时用,见附件。
11、请各位考生关注工程机械学院网页上的公告通知栏,相关事项我们会随时发布,不在电话通知个人
文章来源:文彦考研旗下长安大学考研网。