第三章问题解决(复习题)
- 格式:doc
- 大小:63.50 KB
- 文档页数:7
苏教版六年级下册数学第三单元解决问题的策略(单元练习)一、选择题
1.鸡兔同笼,有8个头,26只脚,鸡有()只。
A.5B.3C.8
2.有每个11克的大钢珠和每个7克的小钢珠共30个,共重266克,假设全都是大钢珠,用30个大钢珠的总质量与实际质量的差除以一个大钢珠与一个小钢珠的质量差,就得到()。
A.大钢珠的个数B.小钢珠的个数C.无法确定
3.六年级二班共有学生55人,男生人数与女生人数的比是2∶3。
该班男生()人。
A.110B.165C.22
4.学校举行数学竞赛,共有10道题,每答对1道题得8分,每答错1道题倒扣5分,小明最终得了41分,他答对了()道题。
A.5B.6C.7
5.同学们一起去划船,但是公园的船不够多,如果每船坐4人,会多出10人,如果每船坐5人,则会多出1人,共有()人去划船。
A.36B.46C.51
二、填空题
6.建筑工地计划运进一批水泥,运来的与没运来的吨数比是2:3,没运来的吨数是运来的
5
()
三、判断题
四、解答题
20.全国义务教育劳动课程标准出台以后,让学生学会做家务劳动成为新的热门话题。
某校在端午节来临之际,组织学生进行包粽子比赛,四、五、六年级代表队完成粽子的个数比为4∶5∶6,已知四年级代表队包了60个粽子,请你帮忙计算这三个代表队一共包了多少个粽子?。
2022-2023学年九年级数学中考复习《几何图形变换综合压轴题》专题提升训练(附答案)1.如图,已知∠DAC=90°,△ABC是等边三角形,点P为射线AD上任意一点(点P与点A不重合),连接CP,将线段CP绕点C顺时针旋转60°得到线段CQ,连接QB并延长交直线AD于E.(1)如图1,猜想∠QEP=;(2)如图2,若当∠DAC是锐角时,其他条件不变,猜想∠QEP的度数,并证明;(3)如图3,若∠DAC=135°,∠ACP=15°,且AC=6,求BQ的长.2.如图1,在等腰△ABC中,AB=AC,AD为中线,将线段AC绕点A逆时针旋转90°,得到线段AE,连接BE交直线AD于点F,连接CF.(1)若∠BAC=30°,则∠FBC=°;(2)若∠BAC是钝角时,①请在图2中依题意补全图形,并标出对应字母;②探究图2中△BCF的形状,并说明理由;③若AB=5,BC=8,则EF=.3.在△ABC中,AB=AC,∠BAC=90°,点D在射线BC上(不与点B、点C重合),将线段AD绕A逆时针旋转90°得到线段AE,作射线BA与射线CE,两射线交于点F.(1)若点D在线段BC上,如图1,请直接写出CD与EF的关系.(2)若点D在线段BC的延长线上,如图2,(1)中的结论还成立吗?请说明理由.(3)在(2)的条件下,连接DE,G为DE的中点,连接GF,若tan∠AEC=,AB=,求GF的长.4.已知△ABC中,∠ABC=90°,将△ABC绕点B逆时针旋转90°后,点A的对应点为点D,点C的对应点为点E,直线DE与直线AC交于点F,连接FB.(1)如图1,当∠BAC<45°时,①求证:DF⊥AC;②求∠DFB的度数;(2)如图2,当∠BAC>45°时,①请依意补全图2;②用等式表示线段FC,FB,FE之间的数量关系,并证明.5.实验探究:如图,△ABC和△ADE是有公共顶点的等腰直角三角形,∠BAC=∠DAE=90°,BD、CE延长线交于点P.【问题发现】(1)把△ABC绕点A旋转到图1,BD、CE的关系是(“相等”或“不相等”),请直接写出答案;【类比探究】(2)若AB=3,AD=5,把△ABC绕点A旋转,当∠EAC=90°时,在图中作出旋转后的图形,并求出此时PD的长;【拓展延伸】(3)在(2)的条件下,请直接写出旋转过程中线段PD的最小值为.6.如图,在平面直角坐标系中,点O为坐标原点,点A(0,3)与点B关于x轴对称,点C(n,0)为x轴的正半轴上一动点.以AC为边作等腰直角三角形ACD,∠ACD=90°,点D在第一象限内.连接BD,交x轴于点F.(1)如果∠OAC=38°,求∠DCF的度数;(2)用含n的式子表示点D的坐标;(3)在点C运动的过程中,判断OF的长是否发生变化?若不变求出其值,若变化请说明理由.7.[问题背景]如图1所示,在△ABC中,AB=BC,∠ABC=90°,点D为直线BC上的一个动点(不与B、C重合),连接AD,将线段AD绕点D按顺时针方向旋转90°,使点A旋转到点E,连接EC.[问题初探]如果点D在线段BC上运动,通过观察、交流,小明形成了以下的解题思路:过点E作EF⊥BC交直线BC于F,如图2所示,通过证明△DEF≌△,可推证△CEF是三角形,从而求得∠DCE=°.[继续探究]如果点D在线段CB的延长线上运动,如图3所示,求出∠DCE的度数.[拓展延伸]连接BE,当点D在直线BC上运动时,若AB=,请直接写出BE的最小值.8.如图,在等边△ABC中,点D为BC的中点,点E为AD上一点,连EB、EC,将线段EB绕点E顺时针旋转至EF,使点F落在BA的延长线上.(1)在图1中画出图形:①求∠CEF的度数;②探究线段AB,AE,AF之间的数量关系,并加以证明;(2)如图2,若AB=4,点G为AC的中点,连DG,将△CDG绕点C顺时针旋转得到△CMN,直线BM、AN交于点P,连CP,在△CDG旋转一周过程中,请直接写出△BCP 的面积最大值为.9.在△ABC中,点P为BC边中点,直线a绕顶点A旋转,BM⊥直线a于点M.CN⊥直线a于点N,连接PM,PN.(1)如图1,若点B,P在直线a的异侧,延长MP交CN于点E.求证:PM=PE;(2)若直线a绕点A旋转到图2的位置时,点B,P在直线a的同侧,其它条件不变,此时S△BMP+S△CNP=7,BM=1,CN=3,求MN的长度.(3)若过P点作PG⊥直线a于点G,试探究线段PG、BM和CN的数量关系.10.在Rt△ABC中与Rt△DCE中,∠ACB=∠DCE=90°,∠BAC=∠DEC=30°,AC=DC=,将Rt△DCE绕点C顺时针旋转,连接BD,AE,点F,G分别是BD,AE的中点,连接CF,CG.(1)观察猜想如图1,当点D与点A重合时,CF与CG的数量关系是,位置关系是;(2)类比探究当点D与点A不重合时,(1)中的结论是否成立?如果成立,请仅就图2的情形给出证明;如果不成立,请说明理由.(3)问题解决在Rt△DCE旋转过程中,请直接写出△CFG的面积的最大值与最小值.11.如图1,Rt△ABC中,∠C=90°,点E是AB边上一点,且点E不与A、B重合,ED ⊥AC于点D.(1)当sin B=时,①求证:BE=2CD;②当△ADE绕点A旋转到如图2的位置时(60°<∠CAD<90°),BE=2CD是否成立?若成立,请给出证明;若不成立,请说明理由.(2)当sin B=时,将△ADE绕点A旋转到∠DEB=90°,若AC=10,AD=2,请直接写出线段CD的长.12.如图,已知点A(0,8),B(16,0),点P是x轴上的一个动点(不与原点O重合),连接AP,把△OAP沿着AP折叠后,点O落在点C处,连接PC,BC,设P(t,0).(1)如图1,当AP∥BC时,试判断△BCP的形状,并说明理由.(2)在点P的运动过程中,当∠PCB=90°时,求t的值.(3)如图2,过点B作BH⊥直线CP,垂足为点H,连接AH,在点P的运动过程中,是否存在AH=BC?若存在,求出t的值:若不存在,请说明理由.13.如图,点B,C,D在同一条直线上,△BCF和△ACD都是等腰直角三角形.连接AB,DF,延长DF交AB于点E.(1)如图1,若AD=BD,DE是△ABD的平分线,BC=1,求CD的长度;(2)如图2,连接CE,求证:DE=CE+AE;(3)如图3,改变△BCF的大小,始终保持点F在线段AC上(点F与点A,C不重合).将ED绕点E顺时针旋转90°得到EP.取AD的中点O,连接OP.当AC=2时,直接写出OP长度的最大值.14.综合与实践问题情境从“特殊到一般”是数学探究的常用方法之一,类比特殊图形中的数量关系和探究方法可以发现一般图形具有的普遍规律.如图1,在△ABC中,∠ACB=90°,AC=BC,AD为BC边上的中线,E为AD上一点,将△AEC以点C为旋转中心,逆时针旋转90°得到△BFC,AD的延长线交线段BF于点P.探究线段EP,FP,BP之间的数量关系.数学思考(1)请你在图1中证明AP⊥BF;特例探究(2)如图2,当CE垂直于AD时,求证:EP+FP=2BP;类比再探(3)请判断(2)的结论在图1中是否仍然成立?若成立,请证明;若不成立,请说明理由.15.在Rt△ABC中,AB=AC,OB=OC,∠A=90°,∠MON=α,分别交直线AB、AC于点M、N.(1)如图1,当α=90°时,求证:AM=CN;(2)如图2,当α=45°时,求证:BM=AN+MN;(3)当α=45°时,旋转∠MON至图3位置,请你直接写出线段BM、MN、AN之间的数量关系.16.教材呈现:如图是华师版八年级上册数学教材第94页的部分内容.2.线段垂直平分线我们已经知道线段是轴对称图形,线段的垂直平分线是线段的对称轴.如图,直线MN 是线段AB的垂直平分线,P是MN上任一点,连接P A、PB.将线段AB沿直线MN对折,我们发现P A与PB完全重合.由此即有:线段垂直平分线的性质定理线段:垂直平分线上的点到线段两端的距离相等.已知:如图,MN⊥AB,垂足为点C,AC=BC,点P是直线MN上的任意一点求证:P A=PB.分析:图中有两个直角三角形APC和BPC,只要证明这两个三角形全等,便可证得P A =PB.(1)请根据教材中的分析,结合图①,写出“线段垂直平分线的性质定理”完整的证明过程;(2)如图②,在△ABC中,直线l,m,n分别是边AB,BC,AC的垂直平分线.求证:直线l、m、n交于一点;(请将下面的证明过程补充完整)证明:设直线l,m相交于点O.(3)如图③,在△ABC中,AB=BC,边AB的垂直平分线交AC于点D,边BC的垂直平分线交AC于点E,若∠ABC=120°,AC=15,则DE的长为.17.如图,在平面直角坐标系中,点O为坐标原点,点A(x,y)中的横坐标x与纵坐标y 满足+|y﹣8|=0,过点A作x轴的垂线,垂足为点D,点E在x轴的负半轴上,且满足AD﹣OD=OE,线段AE与y轴相交于点F,将线段AD向右平移8个单位长度,得到线段BC.(1)直接写出点A和点E的坐标;(2)在线段BC上有一点G,连接DF,FG,DG,若点G的纵坐标为m,三角形DFG 的面积为S,请用含m的式子表示S(不要求写m的取值范围);(3)在(2)的条件下,当S=26时,动点P从D出发,以每秒1个单位的速度沿着线段DA向终点A运动,动点Q从A出发,以每秒2个单位的速度沿着折线AB→BC向终点C运动,P,Q两点同时出发,当三角形FGP的面积是三角形AGQ面积的2倍时,求出P点坐标18.如图1,在Rt△ACB中,AC=BC,过B点作BD⊥CD于D点,AB交CD于E.(1)如图1,若AC=6,tan∠ACD=2,求DE的长;(2)如图2,若CE=2BD,连接AD,在AD上找一点F,使CF=DF,在FD上取一点G,使∠EGF=∠CFG,求证:AF=EG;(3)如图3,D为线段BC上方一点,且∠BDC=90°,AC=6,连接AD,将AD绕A 点逆时针旋转90°,D点对应点为E点,H为DE中点,求当AH有最小值时,直接写出△ACH的面积.19.(1)问题发现:如图1,△ACB和△DCE均为等边三角形,当△DCE旋转至点A,D,E在同一直线上,连接BE.则:①∠AEB的度数为°;②线段AD、BE之间的数量关系是.(2)拓展研究:如图2,△ACB和△DCE均为等腰三角形,且∠ACB=∠DCE=90°,点A、D、E在同一直线上,若AD=a,AE=b,AB=c,求a、b、c之间的数量关系.(3)探究发现:图1中的△ACB和△DCE,在△DCE旋转过程中,当点A,D,E不在同一直线上时,设直线AD与BE相交于点O,试在备用图中探索∠AOE的度数,直接写出结果,不必说明理由.20.类比、转化、从特殊到一般等思想方法,在数学学习和研究中经常用到.小明在数学学习中遇到了这样一个问题:“如图1,Rt△ABC中,∠ACB=90°,∠CAB=α,点P在AB边上,过点P作PQ⊥AC于点Q,△APQ绕点A逆时针方向旋转,如图2,连接CQ.O 为BC边的中点,连接PO并延长到点M,使OM=OP,连接CM.探究在△APQ的旋转过程中,线段CM,CQ之间的数量关系和位置关系”小明计划采用从特殊到一般的方法探究这个问题.特例探究:(1)填空:如图3,当α=30°时,=,直线CQ与CM所夹锐角的度数为;如图4,当α=45°时,=,直线CQ与CM所夹锐角的度数为;一般结论:(2)将△APQ绕点A逆时针方向旋转的过程中,线段CQ,CM之间的数量关系如何(用含α的式子表示)?直线CQ与CM所夹锐角的度数是多少?请仅就图2所示情况说明理由;问题解决(3)如图4,在Rt△ABC中,若AB=4,α=45°,AP=3,将△APQ由初始位置绕点A逆时针方向旋转β角(0°<β<180°),当点Q到直线AC的距离为2时,请直接写出线段CM的值.参考答案1.解:(1)∠QEP=60°;证明:如图1,QE与CP的交点记为M,∵PC=CQ,且∠PCQ=60°,∴∠PCQ=∠ACB=60°,∴∠BCQ=∠ACP,则△CQB和△CP A中,,∴△CQB≌△CP A(SAS),∴∠CQB=∠CP A,在△PEM和△CQM中,∠EMP=∠CMQ,∴∠QEP=∠QCP=60°.故答案为:60°;(2)∠QEP=60°.理由如下:如图2,∵△ABC是等边三角形,∴AC=BC,∠ACB=60°,∵线段CP绕点C顺时针旋转60°得到线段CQ,∴CP=CQ,∠PCQ=6O°,∴∠ACB+∠BCP=∠BCP+∠PCQ,即∠ACP=∠BCQ,在△ACP和△BCQ中,,∴△ACP≌△BCQ(SAS),∴∠APC=∠Q,∵∠BOP=∠COQ,∴∠QEP=∠PCQ=60°;(3)作CH⊥AD于H,如图3,与(2)一样可证明△ACP≌△BCQ,∴AP=BQ,∵∠DAC=135°,∠ACP=15°,∴∠APC=30°,∠PCB=45°,∴∠HAC=45°,∴△ACH为等腰直角三角形,∴AH=CH=AC=3,在Rt△PHC中,PH=CH=3,∴P A=PH﹣AH=3﹣3,∴BQ=3﹣3.2.解:(1)如图1中,∵AB=AC,∠BAC=30°,∴∠ABC=∠ACB=(180°﹣30°)=75°,∵AE⊥AC,∴∠EAC=90°,∴∠BAE=30°+90°=120°,∵AB=AE,∴∠ABE=∠E=(180°﹣120°)=30°,∴∠FBC=∠ABC﹣∠ABF=75°﹣30°=45°.故答案为:45.(2)①图形如图2所示.②结论:△BCF是等腰直角三角形理由如下:如图2中,∵AB=AC,BD=CD,∴AD⊥BC,∴AD是BC的垂直平分线,∴FB=FC,又AB=AC,AF=AF,∴△ABF≌△ACF(SSS),∴∠1=∠2,由旋转可知AE=AC,又AB=AC,∴AB=AE,∴∠1=∠3,∴∠2=∠3.又∠4=∠5,∴∠CFE=∠CAE=90°即∠CFB=90°,又FB=FC,∴△BCF为等腰直角三角形.③如图3中,作EH⊥DF交DF的延长线于H.∵AB=AC=5,BD=CD=4,∴AD⊥BC,∴∠ADB=90°,∴AD===3,∵∠ADC=∠EAC=∠H=90°,∴∠DAC+∠ACD=90°,∠DAC+∠HAE=90°,∴∠ACD=∠HAE,∵AE=AC,∴△ADC≌△EHA(AAS),∴EH=AD=3,∵△BDF是等腰直角三角形,FD⊥BC,∴∠DFB=∠BFC=45°,∴∠HEF=∠HFE=45°,∵∠H=90°,∴∠EHF=∠HFE=45°,∴EH=FH=3,∴EF=EH=,故答案为:3.3.解:(1)CD=EF,CD⊥EF,理由如下:∵AB=AC,∠BAC=90°,∴∠ABC∠ACB=45°,∵将线段AD绕A逆时针旋转90°得到线段AE,∴AD=AE,∠DAE=90°=∠BAC,∴∠BAD=∠CAE,且AB=AC,AD=AE,∴△ABD≌△ACE(SAS)∴BD=CE,∠ABD=∠ACE=45°,∴∠BCF=∠ACB+∠ACE=90°,∴CD⊥EF,又∵∠ABC=45°,∴∠BFC=∠ABC,∴BC=CF,∴CD=EF;(2)结论仍然成立,理由如下:∵AB=AC,∠BAC=90°,∴∠ABC∠ACB=45°,∵将线段AD绕A逆时针旋转90°得到线段AE,∴AD=AE,∠DAE=90°=∠BAC,∴∠BAD=∠CAE,且AB=AC,AD=AE,∴△ABD≌△ACE(SAS)∴BD=CE,∠ABD=∠ACE=45°,∴∠BCF=∠ACB+∠ACE=90°,∴CD⊥EF,又∵∠ABC=45°,∴∠BFC=∠ABC,∴BC=CF,∴CD=EF;(3)如图,过点A作AN⊥CE于点N,过点G作GH⊥CE于H,∵AB=AC=,∴BC=CF=2,∵AN⊥CE,∠ACF=45°,∴AN=CN=1,∵tan∠AEC==,∴EN=2,∴EC=CN+EN=3,∴EF=EC﹣CF=1=CD,∵GH⊥CE,∠ECD=90°,∴HG∥CD,∴==,且EG=DG,∴HG=,EH=,∴FH=EH﹣EF=∴GF===4.解(1)①由旋转知,∠ABD=∠ABC=90°,∠D=∠A,∴∠D+∠BED=90°,∴∠A+∠BED=90°,∵∠BED=∠AEF,∴∠A+∠AEF=90°,∴∠AFE=90°,∴DF⊥AC;②如图1,过点B作BG⊥BF交DF于G,∴∠FBG=90°,由旋转知,∠D=∠A,BD=AB,∠ABD=90°,∴∠FBG=∠ABD,∴∠DBG=∠ABF,∴△BDG≌△BAF(ASA),∴BG=BF,∵∠FBG=90°,∴∠BFD=45°;(2)①如图2所示,②CF﹣EF=BF.过点B作BG⊥BF交AC于G,∴∠FBG=90°,由旋转知,∠C=∠E,BC=BE,∵∠ABC=90°,∴∠FBG=∠ABC,∴∠CBG=∠EBF,∴△BCG≌△BEF(ASA),∴CG=EF,BG=BF,∵∠FBG=90°,∴∠BFD=45°,∴FG=BF,∵CF=FG+CG,∴FG=CF﹣CG=CF﹣EF=BF,即:CF﹣EF=BF.5.解:(1)BD、CE的关系是相等.理由:∵△ABC和△ADE是有公共顶点的等腰直角三角形,∠BAC=∠DAE=90°,∴AB=AC,∠BAD=∠CAE,DA=EA,∴△ABD≌△ACE(SAS)∴BD=CE.故答案为:相等.(2)如图2,3即为旋转后的图形.①如图2,当C在AD上时,由(1)知△ABD≌△ACE,∴∠ADB=∠AEC又∵∠PCD=∠ACE,∴△PCD∽△ACE,∴又∵CE===CD=AD﹣AC=5﹣3=2∴,解得;如图3,当C在AD反向延长线上时,同理△PEB∽△ABD=∵BD=BE=AE﹣AB=5﹣3=2∴=解得PB=∴PD=DB+PB=+=.答:此时PD的长为或.(3)如图4所示,以点A为圆心,AC长为半径画圆,当CE在圆A下方与圆A相切时,PD的值最小.在Rt△ACE中,CE===4在Rt△ADE中,DE===5∵四边形ABPC是正方形,∴PC=AB=3∴PE=PC+CE=3+4=7在Rt△DEP中,PD===1∴线段PD的最小值为1.故答案为:1.6.解:(1)∵∠AOC=90°,∴∠OAC+∠ACO=90°,∵∠ACD=90°,∴∠DCF+∠ACO=90°,∴∠DCF=∠OAC,∵∠OAC=38°,∴∠DCF=38°;(2)如图,过点D作DH⊥x轴于H,∴∠CHD=90°∴∠AOC=∠CHD=90°,∵等腰直角三角形ACD,∠ACD=90°∴AC=CD,由(1)知,∠DCF=∠OAC,∴△AOC≌△CHD(AAS),∴OC=DH=n,AO=CH=3,∴点D的坐标(n+3,n);(3)不会变化,理由:∵点A(0,3)与点B关于x轴对称,∴AO=BO,又∵OC⊥AB,∴x轴是AB垂直平分线,∴AC=BC,∴∠BAC=∠ABC,又∵AC=CD,∴BC=CD,∴∠CBD=∠CDB,∵∠ACD=90°,∴∠ACB+∠DCB=270°,∴∠BAC+∠ABC+∠CBD+∠CDB=90°,∴∠ABC+∠CBD=45°,∵∠BOF=90°,∴∠OFB=45°,∴∠OBF=∠OFB=45°,∴OB=OF=3,∴OF的长不会变化.7.解:[问题初探]如图2,过点E作EF⊥BC交直线BC于F,∴∠DFE=90°=∠ABD,∴∠EDF+∠DEF=90°,由旋转知,AD=DE,∠ADE=90°,∴∠ADB+∠EDF=90°,∴∠ADB=∠DEF,∴△ABD≌△DFE(AAS),∴BD=EF,DF=AB,∵AB=BC,∴BC=DF,∴BD=CF,∴EF=CF,∴△CEF是等腰直角三角形,∴∠ECF=45°,∴∠DCE=135°,故答案为:ADB,等腰直角,135;[继续探究]如图3,过点E作EF⊥BC于F,∴∠DFE=90°=∠ABD,∴∠EDF+∠DEF=90°,由旋转知,AD=DE,∠ADE=90°,∴∠ADB+∠EDF=90°,∴∠ADB=∠DEF,∴△ABD≌△DFE(AAS),∴BD=EF,DF=AB,∵AB=BC,∴BC=DF,∴BD=CF,∴EF=CF,∴△CEF是等腰直角三角形,∴∠ECF=45°,∴∠DCE=45°;[拓展延伸]如图4,在△ABC中,∠ABC=90°,AB=BC=,∴∠ACB=45°当点D在射线BC上时,由[问题初探]知,∠BCM=135°,∴∠ACM=∠BCM﹣∠ACB=90°,当点D在线段CB的延长线上时,由[继续探究]知,∠BCE=45°,∴∠ACN=∠ACB+∠BCM=90°,∴点E是过点C垂直于AC的直线上的点,∴当BE⊥MN时,BE最小,∵∠BCE=45°,∴∠CBE=45°=∠BCE,∴BE=CE,∴BE最小=BC=,即:BE的最小值为.8.解:(1)如图1所示:延长BE,①∵等边△ABC中,点D为BC的中点,∴AD是BC的垂直平分线,∠BAD=∠CAD=30°,∴BE=CE,∴∠EBC=∠ECB,∵将线段EB绕点E顺时针旋转至EF,∴BE=EF,∴∠EBF=∠EFB,∵∠CEF=∠FEH+∠HEC=∠EBF+∠BFE+∠EBC+∠ECB=2∠ABE+2∠EBC,∴∠CEF=2∠ABC=120°;②AB=AF+AE,理由如下:如图1﹣1,在AB上截取BM=AF,连接ME,过点E作EN⊥AB于N,∵BM=AF,∠AFE=∠EBM,BE=EF,∴△BME≌△F AE(SAS),∴AE=EM,又∵EN⊥AB,∴AN=MN=AM,∵∠BAD=30°,∴AE=2NE,AN=NE,∴AN=AE,∴AM=AE,∴AB=BM+AM=AF+AE;(3)如图2,∵△ABC是等边三角形,AB=4,点G为AC的中点,∴AC=BC,∠ACB=60°,CG=CD=2,∵将△CDG绕点C顺时针旋转得到△CMN,∴CM=CN=CG=CD=2,∠MCN=∠ACB=60°,∴∠ACN=∠BCM,∴△BCM≌△ACN(SAS),∴∠CAN=∠CBM,∴点A,点B,点C,点P四点共圆,∴∠BPC=∠BAC=60°,∵将△CDG绕点C顺时针旋转得到△CMN,∴点M在以点C为圆心,CM为半径的圆上,∴当BM与⊙C相切于点M时,△BCP的面积有最大值,如图所示,过点P作PH⊥BC 于H,∵BM是⊙C的切线,∴∠BMC=90°=∠PMC,又∵∠BPC=60°,∴∠PCM=30°,∴CM=PM=2,∴MP=,∵BM===2,∴BP=BM+MP=,∵sin∠PBC=,∴PH==,∴△BCP的面积最大值=×4×=,故答案为.9.(1)证明:如图1中,∵BM⊥直线a于点M,CN⊥直线a于点N,∴∠BMA=∠CNM=90°,∴BM∥CN,∴∠MBP=∠ECP,又∵P为BC边中点,∴BP=CP,又∵∠BPM=∠CPE,∴△BPM≌△CPE(ASA),∴PM=PE(2)解:延长MP与NC的延长线相交于点E.∵BM⊥直线a于点M,CN⊥直线a于点N,∴∠BMN=∠CNM=90°∴∠BMN+∠CNM=180°,∴BM∥CN∴∠MBP=∠ECP,又∵P为BC中点,∴BP=CP,又∵∠BPM=∠CPE,∴△BPM≌△CPE(ASA),∴PM=PE,S△PBM=S△PCE,∴AE=CN+CE=4,∵S△BMP+S△CNP=7,∴S△PNE=7,∴S△MNE=2S△PNE=14,∴×MN×4=14,∴MN=7.(3)解:如图1﹣1中,当点B,P在直线a的异侧时,∵PG⊥a,CN⊥a,∴PG∥CN,∵PM=PE,∴MG=GN,∴PG=EN=(CN﹣EC),∵EC=BM,∴PG=(CN﹣BM).如图2﹣2中,当点B,P在直线a的同侧时,延长MP交NC的延长线于Q.∵PG⊥a,CN⊥a,∴PG∥CN,∵BM∥CQ,∴∠BMP=∠Q,∵∠BPM=∠CPQ,BP=CP,∴△PMB≌△PQC(AAS),∴PM=PQ,BM=CQ,∴MG=GN,∴PG=AQ=(CN+BM).综上所述,PG=(CN﹣BM)或PG=(CN+BM).10.解:(1)观察猜想∵在Rt△ABC中与Rt△DCE中,∠ACB=∠DCE=90°,∠BAC=∠DEC=30°,AC =DC=,∴AE=2DC=2,AC=BC=,AB=2BC,∠CDE=60°,∴BC=1,AB=2,∵点F,G分别是BD,AE的中点,∴CG=AE=,CG=AG,CF=AB=1,CF=AF,∴CG=CF,∠GDC=∠GCD=60°,∠ACF=∠F AC=30°,∴∠FCG=90°,∴CF⊥CG,故答案为:CG=CF,CF⊥CG;(2)类比探究仍然成立,理由如下:∵∠ACB=∠DCE=90°,∠BAC=∠DEC=30°,AC=DC=,∴∠BCD=∠ACE,AC=BC,CE=CD,∴=,∴△BCD∽△ACE,∴,∠CAE=∠CBD,∵点F,G分别是BD,AE的中点,∴BF=BD,AG=AE,∴∴△ACG∽△BCF,∴,∠BCF=∠ACG,∴CG=CF,∠ACB=∠FCG=90°,∴CF⊥CG;(3)问题解决如图,延长BC至H,使BC=CH=1,连接DH,∵点F是BD中点,BC=CH=1,∴CF=DH,由(2)可知,CF⊥CG,∴△CFG的面积=×CF×CG=CF2,∴△CFG的面积=DH2,∴当DH取最大值时,△CFG的面积有最大值,当DH取最小值时,△CFG的面积有最小值,∵CD=,∴点D在以点C为圆心,为半径的圆上,∴当点D在射线HC的延长线上时,DH有最大值为+1,∴△CFG的面积最大值=(+1)2=,当点D在射线CH的延长线上时,DH有最小值为﹣1,∴△CFG的面积最小值=(﹣1)2=.11.解:(1)∵Rt△ABC中,∠C=90°,sin B=,∴∠B=30°,∴∠A=60°,①如图1,过点E作EH⊥BC于点H,∵ED⊥AC∴∠ADE=∠C=90°,∴四边形CDEH是矩形,即EH=CD,∴在Rt△BEH中,∠B=30°,∴BE=2EH∴BE=2CD;②BE=2CD成立,理由:∵△ABC和△ADE都是直角三角形,∴∠BAC=∠EAD=60°,∴∠CAD=∠BAE,又∵,,∴,∴△ACD∽△ABE,∴,又∵Rt△ABC中,=2,∴=2,即BE=2CD;(2)∵sin B=,∴∠ABC=∠BAC=∠DAE=45°,∵ED⊥AD,∴∠AED=∠BAC=45°,∴AD=DE,AC=BC,将△ADE绕点A旋转∠DEB=90°,分两种情况:①如图3所示,过A作AF⊥BE交BE的延长线于F,则∠F=90°,当∠DEB=90°时,∠ADE=∠DEF=90°,又∵AD=DE,∴四边形ADEF是正方形,∴AD=AF=EF=2,∵AC=10=BC,根据勾股定理得,AB=10,在Rt△ABF中,BF==6,∴BE=BF﹣EF=4,又∵△ABC和△ADE都是直角三角形,且∠BAC=∠EAD=45°,∴∠CAD=∠BAE,∵,,∴,∴△ACD∽△ABE,∴=,即=,∴CD=2;②如图4所示,过A作AF⊥BE于F,则∠AFE=∠AFB=90°,当∠DEB=90°时,∠DEB=∠ADE=90°,又∵AD=ED,∴四边形ADEF是正方形,∴AD=EF=AF=2,又∵AC=10=BC,∴AB=10,在Rt△ABF中,BF==6,∴BE=BF+EF=8,又∵△ACD∽△ABE,∴=,即=,∴CD=4,综上所述,线段CD的长为2或4.12.解:(1)等腰直角三角形,理由如下:∵AP∥BC,∴∠APC=∠BCP,∠APO=∠CBP,∵△OAP沿着AP折叠,∴∠APO=∠APC,OP=PC,∴∠PCB=∠PBC,∴PC=PB=OP=8,∴△BCP是等腰三角形,∵OA=OP=8,∴∠OP A=∠APC=45°,∴∠OPC=90°,∴△BCP是等腰直角三角形;(2)当t>0时,如图,∵△OAP沿着AP折叠,∴∠AOP=∠ACP=90°,OP=PC=t,∴∠ACP+∠BCP=180°,∴点A,点C,点B三点共线,∵点A(0,8),B(16,0),∴OA=8,OB=16,∴AB===8,∵tan∠ABO=,∴,∴t=4﹣4;当t<0时,如图,同理可求:t=﹣4﹣4;(3)∵△OAP沿着AP折叠,∴AC=AO=8,∠ACP=∠AOP=90°,∵BH⊥CP,∴∠ACP=∠BHC=90°,∵AH=BC,CH=CH,∴Rt△ACH≌Rt△BHC(HL)∴AC=BH,∴四边形AHBC是平行四边形,如图2,当0≤t≤16时,点H在PC上时,连接AB交CH于G,∵四边形AHBC是平行四边形,∴AG=BG=4,HG=CG,AC=BH=8,∴HG===4,在Rt△PHB中,PB2=BH2+PH2,∴(16﹣t)2=64+(t﹣8)2,∴t=8;如图3,当0≤t≤16时,点H在PC的延长线上时,∵四边形AHBC是平行四边形,∴AG=BG=4,HG=CG,AC=BH=8,∴HG===4,在Rt△PHB中,PB2=BH2+PH2,∴(16﹣t)2=64+(t+8)2,∴t=;如图4,当t<0时,同理可证:四边形ABHC是平行四边形,又∵AH=BC,∴四边形ABHC是矩形,∴AC=BH=8,AB=CH=8,在Rt△PHB中,PB2=BH2+PH2,∴(16﹣t)2=64+(t+8)2,∴t=16﹣8;当t>16时,如图5,∵四边形ABHC是矩形,∴AC=BH=8,AB=CH=8,CP=OP=t,在Rt△PHB中,PB2=BH2+PH2,∴(t﹣16)2=64+(t﹣8)2,∴t=16+8.综上所述:当t=8或或16﹣8或16+8时,存在AH=BC.13.(1)解:∵△BCF和△ACD都是等腰直角三角形,∴AC=CD,FC=BC=1,FB=,∵AD=BD,DE是△ABD的平分线,∴DE垂直平分AB,∴F A=FB=,∴AC=F A+FC=,∴CD=;(2)证明:如图2,过点C作CH⊥CE交ED于点H,∵△BCF和△ACD都是等腰直角三角形,∴AC=DC,FC=BC,∠ACB=∠DCF=90°;∴△ABC≌△DFC(SAS),∴∠BAC=∠CDF,∵∠ECH=90°,∴∠ACE+∠ACH=90°,∵∠ACD=90°,∴∠DCH+∠ACH=90°,∴∠ACE=∠DCH.在△ACE和△DCH中,,∴△ACE≌△DCH(ASA),∴AE=DH,CE=CH,∴EH=CE.∵DE=EH+DH=CE+AE;(3)解:如图3,连接OE,将OE绕点E顺时针旋转90°得到EQ,连接OQ,PQ,则OQ=OE.由(2)知,∠AED=∠ABC+∠CDF=∠ABC+∠BAC=90°,在Rt△AED中,点O是斜边AD的中点,∴OE=OD=AD=AC=,∴OQ=OE=,在△OED和△QEP中,,∴△OED≌△QEP(SAS),∴PQ=OD=.∵OP≤OQ+PQ=,当且仅当O、P、Q三点共线时,取“=”号,∴OP的最大值是.14.证明:(1)如图1,∵将△AEC以点C为旋转中心,逆时针旋转90°得到△BFC,∴△AEC≌△BFC,∴∠CAE=∠CBF,∵∠ACB=90°,∴∠CAE+∠EAB+∠CBA=90°,∴∠CBF+∠EAB+∠CBA=90°,∴∠APB=90°,∴AP⊥BF;(2)如图2,∵CE⊥AD,∴∠AEC=90°=∠CEP,∵将△AEC以点C为旋转中心,逆时针旋转90°得到△BFC,∴△AEC≌△BFC,∠ECF=90°,∴∠AEC=∠BFC=90°,CE=CF,∴四边形CEPF是正方形,∴EP=PF=CE=CF,∠EPF=90°,∵AD为BC边上的中线,∴CD=BD,又∵∠CDE=∠BDP,∠CED=∠BPD=90°,∴△CDE≌△BDP(AAS),∴CE=BP,∴EP=PF=BP,∴EP+FP=2BP;(3)结论仍然成立,理由如下:如图1,过点C作CN⊥AD于N,作CM⊥BF,交BF的延长线于M,∵将△AEC以点C为旋转中心,逆时针旋转90°得到△BFC,∴∠CAE=∠CBF,CE=CF,∵∠ACB=90°,∴∠CAE+∠EAB+∠CBA=90°,∴∠CBF+∠EAB+∠CBA=90°,∴∠APB=90°,又∵CN⊥AD,CM⊥BM,∴四边形CNPM是矩形,∵∠CAE=∠CBF,∠ANC=∠BMC=90°,AC=BC,∴△ACN≌△BCM(AAS),∴CM=CN,∴四边形CNPM是正方形,∴CN=CM=NP=MP,∵AD为BC边上的中线,∴CD=BD,又∵∠CDN=∠BDP,∠CND=∠BPD=90°,∴△CDN≌△BDP(AAS),∴CN=BP,∴CN=BP=NP=MP,∴EP+FP=EN+NP+FP=NP+MF+PF=NP+MP=2BP.15.证明:(1)如图1,连接OA,∵AB=AC,∠BAC=90°,OB=OC,∴AO⊥BC,OA=OB=OC,∠ABO=∠ACO=∠BAO=∠CAO=45°,∴∠MON=∠AOC=90°,∴∠AOM=∠CON,且AO=CO,∠BAO=∠ACO=45°,∴△AOM≌△CON(ASA)∴AM=CN;(2)证明:如图2,在BA上截取BG=AN,连接GO,AO,∵AB=AC,∠BAC=90°,OB=OC,∴AO⊥BC,OA=OB=OC,∠ABO=∠ACO=∠BAO=∠CAO=45°,∵BG=AN,∠ABO=∠NAO=45°,AO=BO,∴△BGO≌△AON(SAS),∴OG=ON,∠BOG=∠AON,∵∠MON=45°=∠AOM+∠AON,∴∠AOM+∠BOG=45°,∵∠AOB=90°,∴∠MOG=∠MON=45°,∵MO=MO,GO=NO,∴△GMO≌△NMO(SAS),∴GM=MN,∴BM=BG+GM=AN+MN;(3)MN=AN+BM,理由如下:如图3,过点O作OG⊥ON,连接AO,∵AB=AC,∠BAC=90°,OB=OC,∴AO⊥BC,OA=OB=OC,∠ABO=∠ACO=∠BAO=∠CAO=45°,∴∠GBO=∠NAO=135°,∵MO⊥GO,∴∠NOG=90°=∠AOB,∴∠BOG=∠AON,且AO=BO,∠NAO=∠GBO,∴△NAO≌△GBO(ASA),∴AN=GB,GO=ON,∵MO=MO,∠MON=∠GOM=45°,GO=NO,∴△MON≌△MOG(SAS),∴MN=MG,∵MG=MB+BG,∴MN=AN+BM.16.证明:(1)如图①中,∵MN⊥AB,∴∠PCA=∠PCB=90°.在△P AC和△PBC中,,∴△P AC≌△PBC(SAS),∴P A=PB.(2)如图②中,设直线l、m交于点O,连接AO、BO、CO.∵直线l是边AB的垂直平分线,又∵直线m是边BC的垂直平分线,∴OB=OC,∴OA=OC,∴点O在边AC的垂直平分线n上,∴直线l、m、n交于点O.(3)解:如图③中,连接BD,BE.∵BA=BC,∠ABC=120°,∴∠A=∠C=30°,∵边AB的垂直平分线交AC于点D,边BC的垂直平分线交AC于点E,∴DA=DB,EB=EC,∴∠A=∠DBA=30°,∠C=∠EBC=30°,∴∠BDE=∠A+∠DBA=60°,∠BED=∠C+∠EBC=60°,∴△BDE是等边三角形,∴AD=BD=DE=BE=EC,∵AC=15,∴DE=AC=5.故答案为5.17.解:(1)∵+|y﹣8|=0,又∵≥0,|y﹣8|≥0,∴x=2,y=8,∴A(2,8),∵AD⊥x轴,∴OD=2,AD=8,∵AD﹣OD=OE,∴E(﹣6,0).(2)如图1中,连接OG.由题意G(10,m).∵AD=DE=8,∠ADE=90°,∴∠AED=45°,∴∠OEF=∠OFE=45°,∴OE=OF=6,∴F(0,6),∴S=S△ODG+S△OFG﹣S△OFD=×2×m+×6×10﹣×2×6=m+24(0≤m≤8).(3)如图2中,设FG交AD于J,P(2,t),当点P在DJ上,点Q在AB上时,当S=26时,m=2,∴G(10,2),∴直线FG的解析式为y=﹣x+6,∴J(2,),由题意,•(﹣t)×10=2××2t×6,解得t=,∴P(2,),当点P在AJ上,点Q在BG上时,同法可得,•(t﹣)×10=2××(14﹣2t)×8,解得t=,∴P(2,).综上所述,满足条件的点P的坐标为(2,)或(2,).18.解:(1)如图1中,过点E作EH⊥BC于H.∵BD⊥CD,∴∠D=90°,∵∠ACB=90°,∴∠ACD+∠DCB=90°,∠DCB+∠DBC=90°,∴∠ACD=∠DBC,∴tan∠DBC=tan∠ACD=2,∴=2,∵AC=BC=6,∴BD=,CD=,∵EH⊥BC,∠EBH=45°,∴∠EHB=90°,∠EHB=∠HBE=45°,∴EH=BH,设EH=BH=m,则HC=2EH=2m,∴3m=6,∴m=2,∴EH=2,CH=4,∴EC===2,∴DE=CD﹣CE=﹣2=.(2)如图2中,过点A作AT⊥CE于T,在AG上取一点J,使得EJ=EG.∵EJ=EG,∴∠EJG=∠EGJ,∵∠CFG=EGJ,∴∠CFG=∠EJG,∴∠AFC=∠AJE,∵∠ATC=∠CDB=∠ACB=90°,∴∠ACT+∠DCB=90°,∠DCB+∠CBD=90°,∴∠ACT=∠CBD,∵AC=BC,∴△ATC≌△CDB(AAS),∴CT=BD,∵EC=2BD,∴CT=ET,∵AT⊥EC,∴AC=AE,∴∠ACT=∠AEC,∴∠ACF+∠FCD=∠EAJ+∠FDC,∵FC=FD,∴∠FCD=∠FDC,∴∠ACF=∠EAJ,∴△ACF≌△EAJ(AAS),∴AF=EJ=EG.(3)如图3中,取BC的中点T,连接DT,AT.∵AC=BC=6,∠ACT=90°,CT=TB=3,∴AT===3,∵CD⊥BD,∴∠CDB=90°,∴DT=BC=3,∴AD≥AT﹣DT,∴AD≥3﹣3,∴AD的最小值为3﹣3,∵△ADE是等腰直角三角形,AH⊥DE,∴DH=EH,∴AH=DE=AD,∴AH的最小值为﹣,此时,A,D,T共线,如图3﹣1中,过点D作DQ⊥AC于Q,过点E作EP⊥CA交CA 的延长线于P,过点H作HJ⊥AC于J.∵DQ∥CT,∴==,∴==,∴DQ=,AQ=,由△AQD≌△EPQ,可得PE=AQ=,∵EP∥HJ∥DQ,EH=HD,∴PJ=JQ,∴JH=(PE+DQ)=∴△ACH的面积=×6×=.19.解:(1)①如图1,∵△ACB和△DCE均为等边三角形,∴CA=CB,CD=CE,∠ACB=∠DCE=60°,∴∠ACD=∠BCE,在△ACD和△BCE中,,∴△ACD≌△BCE(SAS).∴∠ADC=∠BEC.∵△DCE为等边三角形,∴∠CDE=∠CED=60°,∵点A,D,E在同一直线上,∴∠ADC=120°,∴∠BEC=120°,∴∠AEB=∠BEC﹣∠CED=60°,故答案为:60;②∵△ACD≌△BCE,∴AD=BE,故答案为:AD=BE;(2)∵△ACB和△DCE均为等腰直角三角形,∴CA=CB,CD=CE,∠ACB=∠DCE=90°.∴∠ACD=∠BCE,∴△ACD≌△BCE(SAS),∴BE=AD,∠ADC=∠BEC,∵△DCE为等腰直角三角形,∴∠CDE=∠CED=45°.∵点A,D,E在同一直线上,∴∠ADC=135°.∴∠BEC=135°,∴∠AEB=∠BEC﹣∠CED=90°,∴AD2+AE2=AB2,∵AD=a,AE=b,AB=c,∴a2+b2=c2;(3)如图3,由(1)知△ACD≌△BCE,∴∠CAD=∠CBE,∵∠CAB=∠CBA=60°,∴∠OAB+∠OBA=120°,∴∠AOE=180°﹣120°=60°,如图4,同理求得∠AOB=60°,∴∠AOE=120°,∴∠AOE的度数是60°或120°.20.解:(1)如图3中,连接PB,延长BP交CQ的延长线于J,延长QC到R,设AC交BJ于点K.∵∠P AQ=∠BAC,∴∠CAQ=∠BAP,∵==cos30°=,∴△QAC∽△P AB,。
第三单元《解决问题练习四》第二课时(教案)苏教版三年级下册数学教学目标:1. 让学生通过解决实际问题,巩固和运用所学知识,提高解决问题的能力。
2. 培养学生分析问题、解决问题的思维能力和合作意识。
3. 培养学生积极参与、主动探索的学习态度。
教学内容:1. 解决实际问题,巩固和运用所学知识。
2. 学习解决问题的方法和策略。
教学重点:1. 解决实际问题的方法和策略。
2. 巩固和运用所学知识。
教学难点:1. 分析问题的能力。
2. 解决问题的思维能力。
教学准备:1. 教师准备:教学课件、教学用具。
2. 学生准备:学习用具、教材。
教学过程:一、导入(5分钟)1. 教师通过课件展示一些实际问题,引导学生观察并思考问题。
2. 学生分享自己对问题的看法和理解。
二、探究(10分钟)1. 教师引导学生分析问题,找出问题的关键信息。
2. 学生分组讨论,探讨解决问题的方法和策略。
3. 教师引导学生总结解决问题的方法和策略。
三、实践(10分钟)1. 教师布置一些实际问题,让学生独立解决。
2. 学生分享自己的解题过程和答案。
3. 教师对学生的解题过程和答案进行点评和指导。
四、巩固(10分钟)1. 教师通过课件展示一些类似的问题,让学生进行巩固练习。
2. 学生独立完成练习,教师进行个别指导。
五、总结(5分钟)1. 教师引导学生总结本节课的学习内容和收获。
2. 学生分享自己的学习体会和感受。
教学反思:本节课通过解决实际问题,让学生巩固和运用所学知识,提高解决问题的能力。
在教学过程中,教师应注重引导学生分析问题、解决问题的思维能力和合作意识,培养学生的积极参与、主动探索的学习态度。
同时,教师还应关注学生的学习情况,及时进行个别指导,确保每个学生都能掌握解决问题的方法和策略。
需要重点关注的细节是“实践”环节,因为这是学生将理论知识应用于解决实际问题的重要环节,也是检验学生解决问题能力的关键时刻。
在“实践”环节中,教师布置一些实际问题,让学生独立解决。
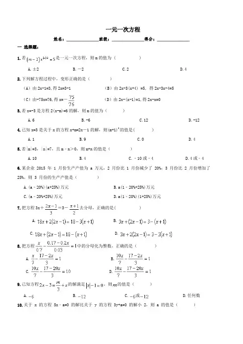
第三章 一元一次方程 单元训练题 (4)一、单选题1.某车间有27名工人,每个工人每天生产64个螺母或者22个螺栓,每个螺栓配套两个螺母,若分配x 个工人生产螺栓,其他工人生产螺母,恰好使每天生产的螺栓和螺母配套,则下列所列方程中正确的是( )A .22x =64(27﹣x )B .2×22x =64(27﹣x )C .64x =22(27﹣x )D .2×64x =22(27﹣x ) 2.若关于x 的方程(m-3)x |m|-2 -m+3=0是一元一次方程,则m 的值为( )A .m=3B .m=-3C .m=3或-3D .m=2或-2 3.对于实数a ,b ,c ,d ,定义一种运算a b ad bc c d =-,那么当24103x =-时,x =( ).A .1B .2C .1-D .2-4.某书每本定价8元,若购书不超过10本,按原价付款;若一次购书10本以上,超过10本部分按八折付款。
设一次购书数量为x 本(x >10),则付款金额为( )A .6.4x 元B .(6.4x +80)元C .(144−6.4x )元D .(6.4x +16)元 5.3的倒数是( )A .3B .3-C .13D .13- 6.若方程(m -1)x + 2 = 0表示关于x 的一元一次方程,则m 的取值范围是( ) A .m 0 B .m 1 C .m=-1D .m=0 7.某商品标价120元,打八折售出后仍盈利10元,则该商品进价是( ) A .86元 B .106元C .110元D .140元 8.两地相距600千米,甲乙两车分别从两地同时出发相向而行,甲车比乙车每小时多走10千米,4小时后两车相遇,则乙车的速度是( )A .70千米/小时B .75千米/小时C .80千米/小时D .85千米/小时9.2018年宁波市中考新增英语口语听力自动化考试,考试需要耳麦,已知甲耳麦比乙耳麦贵20元,某校购买了甲耳麦40个、乙耳麦60个,共花费了6000元,假设甲耳麦每个x 元,由题意得( )A .40x +60(x –20)=6000B .40x +60(x +20)=6000C .60x +40(x –20)=6000D .60x +40(x +20)=600010.如果2x =是方程112x a +=-的解,那么a 的值是( ) A .-2 B .2 C .0 D .-111.下列等式是由3x 4x 1=-根据等式性质变形得到的,其中正确的个数有( ) ①431x x -=;②3x 4x 1-=;③32212x x =-;④134-=+x x A .0个 B .1个 C .2个 D .3个12.某商人一次卖出两件商品。
六年级数学上册总复习期末《解决问题》精编50道试题1.李嘉往15克的蜂蜜中加入60克水后,发现调制说明书中写有“蜂蜜与水的比是3∶20时,口感最佳”。
请帮李嘉判断:为了使口感最佳,应往已调制的蜂蜜水中加水,还是加蜂蜜?应加多少克?(5分)2.甲、乙、丙三个修路队共同修完一条公路,下面是三位队长的一段对话,请根据这段对话算一算,这条公路一共长多少米?(5分)3.李明读一本书,已经读了60页,未读页数是已读页数的45,这本书共有多少页?(5分)4.聊城人民公园有一个圆形喷泉,半径是8米,在它的周围铺一条1米宽的环形小路,这条小路的面积是多少平方米?(5分)5.植树节学校要植树500棵,把植树任务按2∶3分给五、六两个年级。
实际植树时,六年级超过原来分配任务的错误!,六年级实际植树多少棵?(5分)6.如图,已知圆外面正方形的面积是15dm2,阴影部分的面积是多少平方分米?7.有一个运动场(如下图),两头是半圆形,中间是长方形。
请你计算出这个运动场的周长和面积。
8.小明有一些零花钱,买学习用品用去了错误!,他又买了一本《科幻世界》,用去了36元。
小明原来有零花钱多少元?9.用72厘米长的铁丝围成一个直角三角形,这个直角三角形三条边长度的比是3∶4∶5,这个直角三角形的面积是多少平方厘米?10.在亲子阅读活动中,李华和爸爸一起读一本440页的《海底两万里》,4天读了这本书的411,照这样的速度,剩下的几天能读完?(6分)11.一辆汽车从济南开往北京,已经行驶了246千米,距离北京还有25的路程,距离北京还有多少千米?(6分)12.淘淘在假期中借阅了一本《爱的教育》,第1天看了全书的13,第2天看了24页,这时还剩下这本书的一半没有看。
这本书一共有多少页?(6分) 13.科学实验课上,同学们设计了两种纸桥来比较它们可承受的质量。
第一种纸桥可承受240克的质量,比第二种纸桥可承受的质量少217,第二种纸桥可承受多少克的质量?(6分)14.我国民航部门规定:儿童(2~12周岁)乘坐国内航班的票价是成人票价的1 2,乘坐国际航班的票价比成人票价低1 4。
三下数学复习题之问题解决一1、同学们乘船参加夏令营活动。
船上四等舱有18个房间,每间有13个床位。
住了12个四等舱房间后,还剩8人。
一共有多少人参加夏令营活动2、有两种水彩笔共15盒,大盒每盒28支,小盒每盒24支。
算一算最多有多少支最少有多少支3、一正方形花园的边长是15米,它的占地面积是多少至少要多长的栅栏才能把它围起来4、3箱矿泉水有72瓶,25箱共有多少瓶矿泉水5、洪大妈种大白菜,每行种11棵,种了25行。
如果每颗大白菜重2千克,这些白菜一共重多少千克6、学校买回18箱苹果,每箱重15千克。
如果每千克苹果售价9元,买这些苹果一共用了多少元7、3只鸡卖了195元。
照这样计算,45只鸡能卖多少元8、学校的跑道长50米,王老师跑了10个来回,他跑了多少米9、大熊猫苗苗3天能吃108千克食物,照这样计算,它8月份这一个月能吃多少千克食物10、五(2)班有48人,每4人种树32棵。
五(2)班共种树多少棵11、一种动物卡片,每套15张,售价12元。
商店上午卖了58套,下午卖了480元。
这一天一共卖了多少元12、在1张长12cm,宽7cm的长方形纸板上剪下一个面积最大的正方形。
剩下部分的面积是多少13、向阳小学组织同学去宝贝梦想城体验,已经坐满11辆车,每辆车坐了38人。
余下的还能坐满1辆车,一共有多少同学去宝贝梦想城14、华山景区索道观光车每车限坐5人,零售票价85元/人,团体票价80元/人。
(10人及以上可购团体票)。
青年旅行团一行有26人。
(1)全团人上山要坐几辆观光车(2)全团人购票至少要多少元15、超市购进果冻28袋,购进奶粉的袋数是果冻的6倍,购进瓜子的袋数是奶粉的11倍,购进瓜子多少袋三下数学复习题之问题解决二16、三年级的同学每人领1本书,已经领了14包,每包25本,还差20本。
三年级有学生多少人17、果园里苹果装箱,每箱装15千克,已经装满48箱,剩下的还有268千克。
这些苹果一共重多少千克18、百合花15元一束,康乃馨12元一束,玫瑰花18元一束。
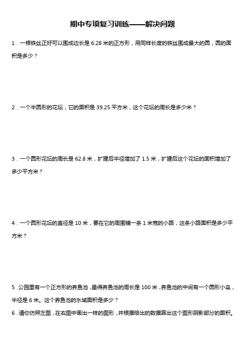
期中专项复习训练——解决问题1.一根铁丝正好可以围成边长是6.28米的正方形,用同样长度的铁丝围成最大的圆,圆的面积是多少?2.一个半圆形的花坛,它的面积是39.25平方米,这个花坛的周长是多少米?3.一个圆形花坛的周长是62.8米,扩建后半径增加了1.5米,扩建后这个花坛的面积增加了多少平方米?4.一个圆形花坛的直径是10米,要在它的周围铺一条1米宽的小路,这条小路面积是多少平方米?5.公园里有一个正方形的养鱼池,量得养鱼池的周长是100米,养鱼池的中间有一个圆形小岛,半径是6米。
这个养鱼池的水域面积是多少?6.请你仿照左图,在右图中画出一样的图形,并根据给出的数据算出这个图形阴影部分的面积。
7.公园里有一个圆形的养鱼池,量得养鱼池的周长是100.48米,养鱼池的中间有一个圆形小岛,直径是6米。
这个养鱼池的水域面积是多少?8.小斌家客厅的墙壁上挂着一个大钟表,它的分针长45厘米,这根分针的针尖转动一周所走过的路程是多少厘米?9.一根铁丝可以围成一个半径是3cm的圆,如果用它围成一个等边三角形,那么每边的长是多少厘米?10.校园里有一个圆形花坛,直径是20米,现在要在它的周围铺一条宽2米的环形大理石小路(图中阴影部分),如果每平方米需要投资100元,那么铺这条小路需要投资多少钱?11.实验小学美术组有45人,科技组的人数是美术组的89,体育组人数是科技组的一半。
体育组有多少人?12.吴山农场去年种小麦165公顷,今年比去年增加了15。
今年种小麦多少公顷?13.希望小学六年级有三个班,一班有48人,二班的人数是一班的56,是三班人数的45。
六年级共有学生多少人?14.鲜果商城配送了一批水果,蜜柚的质量是80千克,火龙果的质量是蜜柚的45,荔枝的质量是火龙果的34。
配送的荔枝有多少千克?15.李强看一本童话故事书,第一天看了全书的25,第二天看了全书的14,第三天看完剩下的35页,李强第一天比第二天多看了多少页?16.一辆汽车从甲城开往乙城,第一小时行驶了全程的15,第二小时行驶了120千米,这时距乙城还有全程的715,甲、乙两城相距多少千米?17.某电视机厂,二月份生产的台数比一月份多15,一月份生产电视机31200台,则二月份生产电视机多少台?18.有两根同样长的绳子,第一根用去34,第二根用去34米。
一元一次方程姓名:_______________班级:_______________得分:_______________一选择题:1.若是一元一次方程,则m的值为 ( )A.±2B.-2C.2D.42.下列解方程过程中,变形正确的是()(A)由2x-1=3,得2x=3-1 (B)由2x-3(x+4) =5, 得2x-3x-4=5(C)由-75x=76,得x=-(D)由2x-(x-1)=1,得2x-x=03.若x=-3是方程2(x-m)=6的解,则m的值为()A.6B.-6C.12D.-124.已知x=3是关于x的方程x+m=2x-1的解,则(m+1)2的值是( )A.1B.9C.0D.45.若|m|=3,|n|=7,且m﹣n>0,则m+n的值是()A.10B.4C.﹣10或﹣4D.4或﹣46.某企业 2015 年 1 月份生产产值为 a 万元,2 月份比 1 月份减少了 20%,3 月份比 2 月份增加了25%,则 3 月份的生产产值是()A.(a﹣20%)(a+25%)万元B.a(1﹣20%+25%)万元C.(a﹣20%+25%)万元D.a(1﹣20%)(1+25%)万元7.把方程3x+=3-去分母,正确的是( )A. B.C. D.8.把方程中的分母化为整数,正确的是()A. B.C. D.9.已知方程的解满足,则的值是()A. B. C.或 D.任何数10.关于 x 的方程 5x﹣a=0 的解比关于 y 的方程 3y+a=0 的解小 2,则 a 的值是()A. B.﹣ C. D.﹣11.随着服装市场竞争日益激烈,某品牌服装专卖店一款服装按原售价降价a元后,再次打7折,现售价为b元,则原售价为()A. B. C. D.12.如图所示的运算程序中,若开始输入的值为48,我们发现第1次输出的结果为24,第2次输出的结果为12,……第2013次输出的结果为()A.3B.6C.4D.113.一列火车长m米,以每秒n米的速度通过一个长为p米的桥洞,用代数式表示它刚好全部通过桥洞所需的时间为()A.秒B.秒C.秒D.秒14.三个连续正整数的和不大于15,则符合条件的正整数有()A.2组B.4组C.8组D.12组15.方程|x+1|+|x-3|=4的整数解有( )(A)2个(B)3个(C)5个(D)无穷多个16.足球比赛的积分规则为胜一场得3分,平一场得1分,负一场得0分.一个球队打了14场,负5场,共得19分,那么这个球队胜了()A.3场B.4场C.5场D.6场17.按下面的程序计算:若输入x=100,输出结果是501,若输入x=25,输出结果是631,若开始输入的x值为正整数,最后输出的结果为556,则开始输入的x值可能有()A.1种B.2种C.3种D.4种18.某商场卖出两个进价不同的手机,都卖了1200元,其中一个盈利50%,另一个亏本20%,在这次买卖中,这家商场()A.不赔不赚B.赔100元C.赚100元D.赚360元19.用绳子量井深:把绳子三折来量,井外余4尺;把绳子四折来量,井外余1尺,则井深和绳长分别是(). (A)8尺,36尺(B)3尺,13尺(C)10尺,34尺(D)11尺,37尺20.如图,甲乙两人同时沿着边长为30米的等边三角形,按逆时针的方向行走,甲从A以65米/分的速度,乙从B以71米/分的速度行走,当乙第一次追上甲时在等边三角形的()A.AB边上B.点B处C.BC边上D.AC边上二填空题:21.如果x2m﹣1+8=0是一元一次方程,则m= .22.若(m-2)x=5是一元一次方程,则m的值为23.兰兰同学买了铅笔m支,每支0.8元,买了练习本n本每本2元,则她买铅笔和练习本一共花费了元.24.一件服装进价200元,按标价的8折销售,仍可获利10%,该服装的标价是元.25.若一个两位数的个位数字是x,十位数字比个位数字少1,则这个两位数是。
三年级数学上册素材期末复习:解决问题应用题综合练习带答案解析一、三年级数学上册应用题解答题1.一条毛毛虫由幼虫到成虫,每天长一倍,16天能长到16厘米,问它几天可以长到4厘米?解析:14天【分析】每天长一倍即扩大2倍的意思,也就是说明天的长度是今天的2倍,16天能长到16厘米,那么15天可以长到8厘米,14天可以长到4厘米,13天可以长到2厘米……依次往前倒推。
【详解】÷=1628÷=824两天前就长到了4厘米;-=(天)16214答:它14天可以长到4厘米。
【点睛】这里需要理解的是增加1倍的意思,增加1倍即扩大2倍的意思,同理,增加2倍是扩大3倍的意思,二者之间相差1倍,也就是其自身。
2.二年三班有学生42人,其中女生的人数是男生的4倍多2人,男生和女生各有多少人?解析:男生8人,女生34人【详解】男生:(42-2)÷(4+1)=8(人)女生:42-8=34(人)3.小明家、小刚家和学校都在笔直的北川路上,小明家距学校625米,小刚家距学校278米,小明家距小刚家多少米?解析:347米或903米【分析】第一种情况,小明家和小刚家都在学校的一边,此时小明家和小刚家相距625-278米。
如图所示:第二种情况,小明家和小刚家分别在学校的两边,此时小明家和小刚家相距625+278米。
如图所示:(1)小明家和小刚家都在学校的一边:625-278=347(米)(2)小明家和小刚家分别在学校的两边:625+278=903(米)答:小明家距小刚家相距347米或903米。
【点睛】解决本题时要按照小明家、小刚家和学校三者位置不同分两种情况解答,通过画线段图的方法能更好的帮助理解题意。
4.小剧场共有500个座位.先算一下小剧场的座位够不够坐.如果够坐,空多少个座位?如果不够坐,还差多少个座位?解析:够 5个【详解】248+247=495(个)495<500够坐500-495=5(个)5.小红家离学校有254米,她从家出发上学,走到168米时发现数学书忘了拿,又回家拿数学书,小红从家到学校一共走了多少米?解析:590米【详解】走了168米的路程时,发现数学书忘在家了,于是他又回家拿书,拿到书后再去学校,则一去一回又多走了两个168米,全程为254米,则这次小明上学一共走了254+168+168,据此计算即可解答。
22元48元32元36元合唱队24人舞蹈队合唱队24人舞蹈队解决问题的策略例1:(1)妈妈买一副手套和一顶帽子,付出100元,最多找回多少元?(2)爸爸买了2副手套,付出100元,最少找回多少元?例2:学校舞蹈队有24人,合唱队的人数是舞蹈队的3倍。
(1)合唱队和舞蹈队一共有多少人?(先补全线段图,再解答)(2)合唱队比舞蹈队多多少人?(先补全线段图,再解答)例3:根据问题写出数量关系式,先从选项中选出合适的条件将题目补充完整,再列式解答。
(1)学校买来70套课桌椅,还买来640元排球,学校一共花了多少元?数量关系式:。
补充条件:。
(填选项)A.22个排球B. 每套课桌椅75元C. 每个排球40元(2)水果超市今天卖出54千克黄桃,9筐苹果。
卖出的苹果比黄桃多多少千克?数量关系式:。
补充条件:。
(填选项)A.卖出8筐黄桃B. 每筐苹果18千克C. 黄桃和苹果的价钱相同,都是每千克8元?人多12人女生25人男生?棵柳树18棵杨树例4:根据问题写出数量关系式,并列式计算。
(1)数量关系式: 。
列式计算:(2)数量关系式: 。
列式计算:例5:将下面的表格填写完整。
(1)例6:小江家去年上半年(1~6月)缴纳电费732元,下半年(7~12月)平均每月缴纳电费108元。
(1) 去年全年一共缴纳电费多少元?(2)下半年比上半年平均每月节省电费多少元?例7:市场上某种品牌牛奶一箱有8袋,一箱的价格为64元。
现甲、乙两个超市对该种品牌的牛奶优惠销售,优惠方案如下:甲超市:原价每箱64元,现价每箱56元; 乙超市:每箱48元,买一箱送2袋。
如果你去购买该种品牌的牛奶,你会去哪家超市购买?为什么?柳树( )棵多28棵杨树45棵8只( )只足球13只排球【复习练习】一. 给下面的每题选择合适的条件或问题。
1. 红花有53朵,( )。
蓝花比红花多多少朵?A. 紫花的朵数是红花的3倍。
B. 蓝花比红花少12朵。
C. 蓝花的朵数是红花的4倍。
苏教版六年级解决问题专项分类复习(word版可编辑修改)苏教版六年级解决问题专项分类复习(word版可编辑修改)编辑整理:尊敬的读者朋友们:这里是精品文档编辑中心,本文档内容是由我和我的同事精心编辑整理后发布的,发布之前我们对文中内容进行仔细校对,但是难免会有疏漏的地方,但是任然希望(苏教版六年级解决问题专项分类复习(word版可编辑修改))的内容能够给您的工作和学习带来便利。
同时也真诚的希望收到您的建议和反馈,这将是我们进步的源泉,前进的动力。
本文可编辑可修改,如果觉得对您有帮助请收藏以便随时查阅,最后祝您生活愉快业绩进步,以下为苏教版六年级解决问题专项分类复习(word版可编辑修改)的全部内容。
1解决问题练习一单位“1”已知,用乘法1、一根钢管长10米,第一次截去它的7/10,第二次又截去余下的1/3,还剩多少米?2、饲养组有黑兔60只,白兔比黑兔多1/5,一共有多少只兔?3、学校要挖一条长80米的下水道,第一天挖了全长的1/4,第二天挖了全长的1/2,两天共挖了多少米?还剩下多少米?单位“1"未知,用除法。
比较量÷分率=单位“1”。
寻找对应的数量和对应的分率,求出单位“1”.1、修筑一条公路,完成了全长的2/3后,离中点16。
5千米,这条公路全长多少千米?2、师徒两人合做一批零件,徒弟做了总数的2/7,比师傅少做21个,这批零件有多少个?3、一件上衣比一条裤子贵160元,其中裤子的价格是上衣的3/5,一条裤子多少元?解决问题练习二1、六年级学生参加植树劳动,男生植了160棵,女生植的比男生的 3/4多5棵。
女生植树多少棵?2、甲、乙两车同时从相距420千米的A、B两地相对开出,5小时后甲车行了全程的 3/4,乙车行了全程的 2/3,这时两车相距多少千米?23、一根绳长4/5米,先用去1/4,又用去1/4米,一共用去多少米?4、新光小学四年级人数是五年级的 4/5,三年级人数是四年级的2/3,如果五年级是120人,那么三年级是多少人?5、有两筐水果,甲筐水果重32千克,从乙筐取出20%后,甲乙两筐水果的重量比是4:3,原来两筐水果共有多少千克?解决问题练习三百分数解决问题。
一年级数学下册复习题【一、二单元】一、填空。
1、看图写数。
()()()()()()2、76是由()个十和()个一组成的。
3、5个十和8个一组成的数是(),10个十是()。
4、94的“9”在()位,表示9个();“4”在()位,表示4个()。
5、一个三位数,从右边起,第一位是()位,第二位是()位,第三位是()位。
6、按顺序填数。
(1)57,58,(),(),61,62,(),()。
(2)92,90,(),(),84,(),()。
(3)20,30,40,(),(),70,80,(),()。
7、从0、1、3、5、8中选出两个数字组成两位数,其中最大的是()。
8、一个一个地数,与70相邻的两个数是()和()。
9、从小到大,一个一个地数,58后面的三个数是()、()和()。
10、.按要求写数。
(1)写出3个个位相同,十位不同的两位数。
()>()>()(2)写出3个个位不同,十位相同的两位数。
()<()<()11、判断。
(正确的打“√”,错误的打“×”)(1)39是由3个一和9个十组成。
()(2)55中两个“5”表示的意思相同。
()(3)最大的两位数比最小的三位数少1。
()(4)十位上是4的两位数有9个。
()(5)从小到大,一个一个地数,从34起第5个数是38。
()二、辨认方向。
1.看图填空。
(1)们在的边,在的边,在的边,在的边。
(2)的上边是,的左边是。
(填序号)2.小朋友排队。
百位十位个位百位十位个位百位十位个位①②③④⑤⑥⑦⑧⑨东东小红小英小丽小军小刚小玉乐乐小兰(1)一共有()个人排队,小丽在小军的边。
(2)从左往右数,小玉排第,从右往左数,小红排第。
(3)乐乐在小英边,小军在小玉的边,在东东的边。
(4)我还知道,在的边。
三、按要求完成下面各题。
(28分)六一文娱汇演。
唱歌的可能有多少人?(画“○”)跳舞的可能有多少人?(画“△”)一年级数学下册复习题【二、三、四单元】一、计算。
教案标题:第三单元第11课时问题解决(1)——2023-2024学年五年级数学上册同步备课(西师大版)一、教学目标1. 让学生理解问题解决的基本步骤,包括理解问题、分析问题、提出假设、检验假设。
2. 培养学生运用数学知识解决实际问题的能力,提高学生的数学思维和应用能力。
3. 通过问题解决,让学生体验数学的乐趣,增强学生对数学的兴趣和自信心。
二、教学内容1. 问题解决的基本步骤:理解问题、分析问题、提出假设、检验假设。
2. 数学知识在实际问题中的应用。
三、教学重点与难点1. 教学重点:问题解决的基本步骤,数学知识在实际问题中的应用。
2. 教学难点:如何引导学生运用数学知识解决实际问题,如何检验假设的正确性。
四、教学方法1. 讲授法:讲解问题解决的基本步骤,数学知识在实际问题中的应用。
2. 案例分析法:分析实际问题,引导学生运用数学知识解决问题。
3. 小组讨论法:分组讨论,让学生在讨论中相互学习,共同解决问题。
五、教学过程1. 导入新课:通过一个实际问题,引导学生思考如何解决问题,引出问题解决的基本步骤。
2. 讲解新课:讲解问题解决的基本步骤,数学知识在实际问题中的应用。
3. 案例分析:分析实际问题,引导学生运用数学知识解决问题。
4. 小组讨论:分组讨论,让学生在讨论中相互学习,共同解决问题。
5. 总结:总结问题解决的基本步骤,数学知识在实际问题中的应用。
六、作业布置1. 课后作业:布置一些实际问题,让学生运用所学的数学知识解决问题。
2. 预习作业:预习下一课时的内容,为下一课时的学习做好准备。
七、教学反思1. 反思本节课的教学效果,是否达到了教学目标。
2. 反思教学方法是否合适,是否能够激发学生的学习兴趣。
3. 反思学生的掌握情况,是否需要调整教学计划。
八、课后评价1. 课后评价学生的学习效果,是否掌握了问题解决的基本步骤,是否能够运用数学知识解决实际问题。
2. 课后评价学生的学习态度,是否积极参与课堂讨论,是否认真完成课后作业。
第一章学习理论1、小学生在英语课上学习“书"的英语单词“book”。
按奥苏伯尔的学习分类,这里的学习属于________A. 表征学习B. 概念学习C. 命题学习D。
发现学习2、布鲁纳语:学习的重点不在于记忆,而在于编码.其主要说明__________A. 影响学习的条件包括外部输入的信息的组织,在短时记忆加工中的新旧信息的相互作用B。
记忆没有编码牢靠C. 学习在于编码,而不是记忆D. 编码是学习知识的主要内容3、外语单词语音和字形联系的识记最适宜于用早期学习研究中的_____范型来解释A. 系列学习B。
配对联想学习C。
S—R学习D。
自由回忆学习4、布鲁纳强调学习__________的重要性A。
学科基本结构B. 行为习惯C。
榜样行为D. 动机5、艾宾浩斯的遗忘曲线是根据__________实验结果得出的A。
系列学习B. 配对联想学习C. 自由回忆学习D. S-R学习6、桑代克认为,学习遵循三条重要的学习原则,即______A。
准备律、强化律和练习律 B。
准备律、练习律和效果律C。
反应律、准备律和练习律 D。
强化律、反应律和效果律7、“杀鸡吓猴”的教育效应最易被解释的现代心理学理论是______ BA。
强化学说 B。
观察学习说 C。
认知学说 D. 学习的条件反射学说8、在小学课堂教学中,教师对于表现优秀的小组给予小花红奖励。
这种教学效应最适合的心理学解释理论是______ AA。
强化说 B. 认知失调论 C。
从众说 D。
观察学习理论9、小学生在英语课上学习“书”的英语单词“book”.按奥苏伯尔的学习分类,这里的学习属于____? AA. 表征学习B. 概念学习C. 命题学习 D。
发现学习第二章知识与概念1、我们脑海里面表征“房子是人住的”这个命题的时候,一般采用哪种表征方式______A。
产生式B。
命题网络C。
图式表征D. 符号表征2、婴幼儿在认识字母之前会唱字母歌,知道字母名称以后,当幼儿见到字母并被告知这是字“P母”时,P字母名称和其特征的联系得到加强通过日常交往和看图画、书籍等,幼儿多次经历字P名母称和P的视觉表征之间的联系下面哪种理论能解释这种现象?______A. 认知心理学的发现学习B. 社会学习理论的观察学习C。
第三章问题解决及其教学
一、单项选择题
1、下面哪一项不属于构成问题的基本成分()
A.问题的起始状态
B.解决问题的策略
C. 问题要求的答案或目标状态
D. 给定与目标之间的隔阂
2、常常用盒子装东西,却没想过用它来当置放蜡烛的平台,这种情况属于()。
A.功能固着
B.思维定势
C.原型启发
D.酝酿效应
3、桑代克用猫做的迷箱实验中,猫踩到踏板打开迷箱的方法是()。
A. 试误法
B. 爬山法
C. 手段-目标分析法
D. 逆推法
4、当限于条件,对初始状态和目标状态之间差距缺乏足够清晰的认识,只能走一步说一步,不断缩小与最终目标之间的距离的时候,一般采用哪种问题解决策略方法()。
A. 试误法
B. 爬山法
C. 手段-目标分析法
D. 逆推法
5、能有效解决河内塔问题的问题解决策略为()。
A. 爬山法
B. 试误法
C. 手段-目标分析法
D. 逆推法
6、逆推法在哪种问题情境下适用()。
A. 逐个尝试每一种可能性时常用
B. 对如何解决一无所知的情况下常用
C. 限于条件,只能走一步算一步
D. 从初始状态出发有多种可能;但对目标而言,只有一种可能方法的问题
7、我们进行创造性想象时,往往会从其他事物中得到启示,从而找到解决问题的方法和途径是( )
A.爬山法
B.手段-目标分析法
C.类比法
D.逆推法
8、人们通过对鸟翅膀构造的研究,设计飞机机翼;通过对蝙蝠超声波定位的仿效,制造出雷达。
这些创造性问题解决的心理机制是()。
A.酝酿效应
B.负向迁移
C.思维定势
D.原型启发
9、把握问题的关键信息,形成问题表征的思维过程是()。
A、发现问题
B、理解问题
C、提出假设
D、检验假设
10、儿童在初次用积木搭建房屋游戏时所用的解决问题的方法是()。
A.计划法
B.逆推法
C.尝试错误法
D.手段—目的分析法
11、专家相对于新手在解决问题过程中的优势在于()。
A.记忆能力强
B.归类和存储信息的组块大
C.注意集中
D.动机强烈
12、提问者要求列举砖头的各种用途。
可能的答案是:作建筑材料,当打人的武器,代替直尺划线,可以垫高等。
这种寻求答案的思维方式是()。
A.直觉思维
B.聚合思维
C.抽象思维
D.发散思维
13、要求学生在规定的时间内写一篇论说文,要解决这一问题,第一步要找出所要支持的观点,第二步是设计引言、比较论据及得出结论,第三步调整整篇文章,完成文章的写作。
对这一问题的解决采用的方法是()。
A.逆推法
B.联想法
C.计划法
D.手段—目的分析法
14、通过集体讨论,使思维相互碰撞,进发火花,达到集思广益的效果,这一方法称为()。
A.发散思维训练
B.推测训练与假设训练
C.自我设计训练
D.头脑风暴训练
15、关于动机强度与问题解决效率的关系,表述正确的是()
A.动机水平越高,问题解决效率也越好
B.动机水平越高,问题解决效率越差
C.动机水平适中,问题解决效率最好
D.动机水平与问题解决效率无必然关系
16、关于问题情境与问题解决关系表述正确的一项是()
A.问题情境中所包含的事物太多或太少都不利于问题的解决
B.问题情境中的刺激模式与个人知识结构是否接近对问题解决没有影响
C.问题情境中事物的空间安排与问题解决没有关系
D.“心理眩惑”有助于问题解决
17.常常用电吹风来吹头发,却没想过用它烘干潮湿的衣服,这种情况属于()A.思维定势B.原型启发C.功能固着 D.酝酿效应
18、下面哪一个是“问题解决”?()
A.回忆一个人的名字 B.幻想自己是“灰姑娘”
C.用一个词来造句D.荡秋千
19、如果问题的解决只有一种固定的程序,看你能不能找到,这种解决问题的途径属于()
A.爬山法B.类比法 C.启发式 D.算法式
20、认知心理学家认为,儿童学会用绳子打结不属于解决问题,其理由是()。
A.它所要求的心理活动太简单;
B.它不必克服认知障碍;
C.它不是在人的头脑内完成的;
D.它不需要复杂的认知活动。
21、现代认知心理学家认为,学生对数学问题深层理解的决定因素是()。
A.思维的深刻性;
B.认知结构中题型图式的贮存与激活;
C.深刻的洞察力;
D.思维的灵活性。
22、在给学生教新的问题解决任务时,最适宜的方法是从学生熟悉的例子引入新课题。
从知识分类学习论来看,最适当的解释是()。
A.熟悉的例子可以减轻初学者的工作记忆负担;
B.熟悉的例子可以使学生感到亲切;
C.可以避免学生认知发展阶段的限制;
D.这样可以促进新任务的学习与记忆。
23、教师在给小学六年级学生教授圆柱和圆锥的计算方法时,所设计的例题的计算只要求精确到“ð”为止。
从知识分类学习论来看,教师的教学行为的最适当解释是()。
A.防止学生产生厌倦情绪;
B.可以突出认知策略教学;
C.防止学生课业负担过重;
D.突出数学概念与规则的学习。
24、现代认知心理学对学生解决问题能力的分析与传统心理学的分析的主要差异是()。
A.强调解题过程分析;
B.强调解题策略分析;
C.强调知识与人格特征相互作用分析;
D.强调不同类型的知识在解决问题过程中的不同作用分析。
25、初入学儿童在学习8+5=?这样的问题时,应用凑10策略,即先把5分成2和3。
2+8=10, 10+3=13。
这种解决问题的策略是()。
A.专门领域解题策略;
B.非专门领域解题策略;
C.可以达到相对自动化的策略;
D.难以达到自动化的策略。
26、数学教师在教应用题时,一再强调要学习看清题目,必要时可以画一些示意图,这样做的目的是为了()
A.牢记住题目内容
B.很好地完成对心理问题地表征
C.有效地监控解题过程
D.熟练地使用计算技能
二、多项选择题
1、问题解决的基本过程包括()。
A.问题理解
B.设计方案
C.选择方案
D.评价方案
2、问题解决的三阶段模型包括()。
A. 审题
B. 选择方案
C. 解决问题
D. 反思
3、问题解决包括()。
A. 一般性问题解决
B. 常规性问题解决
C. 创造性问题解决
D. 特殊性问题解决
4、酝酿效应的作用包括()。
A. 降低紧张程度
B. 摆脱思维定势和既有知识束缚的过程
C. 使动机水平下降
D. 促进大脑的内隐加工
5、关于问题解决,下列说法中正确的是( )。
A.有关公共汽车司机名字问题的研究,说明了记忆在理解问题中的重要性
B.同差生相比, 好同学会花更多的时间考虑如何解决一个问题,然后,他们花更少的时间实际解决一个问题
C.如果问题解决者没有意识到某些解决方法, 那么, 这些解决方法将不被包括在问题空间里
D.当要人们比较两个具有不同表层结构的问题时,人们更可能有效地使用手段一目的分析策略来解决问题
6、有结构问题的特征()。
A.问题的明确性
B.解法的确定性
C.问题不明确性 C.解法的开放性
7、问题解决的基本特点有()。
A.变通性
B.认知性
C.目的性
D.序列性。
三、填空题(15分,1分×15个)
1、问题即____与____之间有某些障碍需要被克服的刺激情境。
2、问题解决是指个人应用一系列____,从问题的____到达____的过程。
3、任何问题都有三个基本成分,即____、____和____。
4、问题解决的过程包括____、____、____和____等四个阶段。
5、问题解决的策略大致可以分为算法式策略和启发式策略两大类,其中逆推法、类比法等属于____策略。
6、小学生在学习了乘法口诀之后,习惯于“四八三十二”这一记忆顺序,如果问他们“几乘以四等于三十二?”很多人都反应不出来。
这种现象是一种____现象的消极作用的表现。
7、砖一般用于建筑中,但人们有时想不到它在黑夜中可以作为防身的武器,这说明____也会影响问题的解决。
四、辨析题
问题解决的能力是可以培养的。
五、举例说明题
举例说明监控能力在解决数学问题和写作中的重要性。
六、论述题
1.试述影响问题解决的主要因素。
2. 如果你是一名中学教师,目前需要指导你的学生进行以下题目的研究性学习。
请从下列题目中选出一项,结合研究性学习的五个特点,设计出在研究实施阶段的指导方案。
1)关于高中生与人交往状况的研究
2)城市变迁
3)碘盐与人体健康
4)高一学生主观幸福感调查研究
5)化妆品对人体危害的调查与研究
6)赢在“血拼”——对商场促销活动的调查与思考
7)废旧电池充分利用的实验探究
8)一次性筷子使用和影响的研究。