经济学基础第二次形考作业培训讲学
- 格式:doc
- 大小:60.50 KB
- 文档页数:4
江苏开放大学形成性考核作业学号___________________________ 姓名___________________________ 所在教学点______________________________ 课程代码110139 _______ 课程名称经济学基础评阅教师________________________________ 第二次任务共四次任务【第二次形成性考核】(理论教学)第一部分习题3.短期总成本曲线一条从 原点 出以,向右上方倾斜的曲线。
4 ?短期边际成本曲线与短期平均成本曲线相交于短期平均成本曲线的占 八、、6 ?在停止营业点上,价格只能弥补 可变成本7.在经济分析中,利润最大化的原则是&在完全竞争市场上,对整个行业来说,需求曲线是一条 线是一 向右下方倾斜的曲线:对个别企业来说需求曲条水平线。
9 .在完全竞争市场上,企业短期均衡的条件是 MR=MC 且MR > AVC ,长期均衡的条件是P=MR=SMC=LMC=SAC=LAC=AR10 .垄断市场上短期均衡的条件是 SMC=MR ,长期均衡的条件是 LMC=SMC=MR 。
11.在垄断竞争市场上,短期均衡的条件是 SMC=MR ,长期均衡的条件是LMR=LMC 和P= LAR =LAC 。
12 ?边际替代率递减决定了等产量曲线凸向 原点。
13 .在长期内,一切生产要素都是可以调整的,没有 固定成本。
14 .在完全竞争市场中, 需求曲线、 平均收益 曲线、 边际收益 曲线和 __________________ 曲线都从合在一起,且平行于用于表示需求量的横轴。
15 .在价格不变条件下 MR = MC,在价格递减条件下 MR V MG二、选择题(15*2=30分)1.一个企业使用 50单位的劳动,可以生产出1800单位的产量;使用60单位的劳动,可以生产出 2100单 位的产量。
生产额外一单位劳动的边际产量是(B )A. 3B. 30C. 300D. 36边际产量曲线与平均产量曲线相交时(B. 边际产量达到最大C .边际产量为0D.平均产量最低一、填空题(15*2=30分)1.平均产量;在相交后,边际产量 产量;在相交时,平均产量 达到最大。
形考任务1(第一章至第五章)任务说明:本次形考任务包含填空题(22道,共20分),选择题(15道,共20分),判断题(15道,共20分),计算题(3道,共10分),问答题(3道,共30分)。
任务要求:下载任务附件,作答后再上传,由教师评分。
任务成绩:本次形考任务成绩占形成性考核成绩的20%,任务附件中题目是百分制。
教师在平台中录入的成绩=百分制成绩*20%一、填空题(20分)1.“生产什么”、“如何生产”和“为谁生产”是人类社会所必须解决的基本问题,这三个问题被称为______资源配置___问题。
2.市场经济与计划经济的差别主要表现在三个基本问题上,一是决策机制不同,二是协调机制不同,三是激励机制不同。
3.微观经济学解决的问题是资源利用,宏观经济学解决的问题是资源利用。
4.是否以一定的价值判断为依据,是实证方法与规范方法的重要区别之一。
5.两种互补商品之间价格与需求成反方向变动,两种替代商品之间价格与需求成方向变动。
6.需求定理表明的商品价格与需求量反方向变动的关系是__替代_效应和_收入效应共同作用的结果。
7.在供给与供给量的变动中,价格变动引起供给量变动,而生产技术的变动引起的变动。
8.需求的变动引起均衡价格与均衡数量同方向变动。
9.市场经济就是一种用价格机制来决定资源配置的经济体制。
10.当某商品的价格上升5%,而需求量减少8%时,该商品属于需求富有弹性。
当某商品的价格下降5%而需求量增加2%时,该商品属于需求缺乏弹性。
11.如果交叉弹性为负值,则两种商品为关系。
12.能够做到薄利多销的商品是需求弹性的商品。
13.如果某种商品需求缺乏弹性而供给富有弹性,则税收就主要落在互补身上。
14.基数效用论采用的是边际效用分析法,序数效用论采用的是无差异分析法。
15.如果把无差异曲线与消费可能线合在一个图上,那么消费可能线必定与无数条无差异曲线中的一条相切于一点,在这个切点上就实现了消费者均衡。
16.消费者愿意对某种物品所支付的价格与他实际支付的价格的差额称为消费者剩余。
国开电大《经济学基础》形考任务4参考答案第一题1. 经济学基础的研究对象是什么?经济学基础的研究对象是经济现象和经济规律。
经济现象是指在生产、分配、交换和消费过程中所表现出来的各种经济行为和经济变化,如价格变化、企业经营状况等。
经济规律是指在一定的经济条件下,各种经济现象之间的客观联系和内在规律,如供求关系、利润最大化等。
2. 什么是价值规律?它的基本内容有哪些?价值规律是指商品交换中体现的一种客观规律。
它主要包含以下基本内容:•价值是劳动的凝结。
价值规律认为商品的价值是通过人们在劳动过程中投入的有形和无形劳动来体现的,是劳动的凝结物。
•价值具有创造性的属性。
人们通过劳动创造出来的物品具有价值,这种价值可以通过交换来进行实现。
•价值决定价格。
价值规律认为商品的价格是由商品的价值决定的,尽管价格可以因为市场需求和供给的变化而有所波动,但总体上会趋向于商品的价值水平。
•价值是相对的。
价值规律认为商品的价值是通过商品之间的交换比率来体现的,因此价值是相对的,取决于商品之间相互比较的关系。
3. 请简要描述商品的价值形态和价值量的决定因素。
商品的价值形态主要包括使用价值和价值形态两个方面。
使用价值是指商品具有满足人们某种需要的属性。
不同商品的使用价值是根据它们的实际作用来决定的,比如食品具有满足人们的食物需求的使用价值。
价值形态是指商品的价值通过交换来体现。
在交换中,商品的价值以另一种商品的形式出现,这种形式被称为价值形态。
一般来说,商品的价值可以以其他商品的形式或者货币的形式来表现。
商品的价值量是由以下几个决定因素所决定:1.社会必要劳动时间:商品的价值量取决于生产该商品所需要的社会必要劳动时间。
如果某个商品生产的社会必要劳动时间较长,那么该商品的价值量就较高。
2.生产者的劳动能力:商品的价值量还与生产者的劳动能力有关。
如果一个劳动者在生产过程中所需要的劳动时间较长,那么生产的商品的价值量就会较高。
3.生产条件:生产一种商品所需要的生产条件不同,也会影响商品的价值量。
江苏开放大学形成性考核作业学号姓名所在教学点课程代码110139课程名称经济学基础评阅教师第二次任务共四次任务【第二次形成性考核】(理论教学)第一部分习题一、填空题(15*2=30分)1.在边际产量曲线与平均产量曲线相交前,边际产量高于平均产量;在相交后,边际产量低于平均产量;在相交时,平均产量达到最大。
2.如果生产者的货币成本增加,则等成本线向右平行移动;货币成本减少,则等成本线向左平行移动。
3.短期总成本曲线一条从原点出以,向右上方倾斜的曲线。
4.短期边际成本曲线与短期平均成本曲线相交于短期平均成本曲线的最低点,这个相交点被称为收支相抵点。
5.短期边际成本曲线与平均可变成本曲线相交于平均可变成本曲线的最低点,这个点被称为停止营业点。
6.在停止营业点上,价格只能弥补可变成本,这时所损失的是固定成本。
7.在经济分析中,利润最大化的原则是MR=MC 。
8.在完全竞争市场上,对整个行业来说,需求曲线是一条向右下方倾斜的曲线;对个别企业来说需求曲线是一条水平线。
9.在完全竞争市场上,企业短期均衡的条件是MR=MC且MR>A VC ,长期均衡的条件是P=MR=SMC=LMC=SAC=LAC=AR 。
10.垄断市场上短期均衡的条件是SMC=MR ,长期均衡的条件是LMC=SMC=MR 。
11.在垄断竞争市场上,短期均衡的条件是SMC=MR ,长期均衡的条件是LMR=LMC 和P=LAR=LAC 。
12.边际替代率递减决定了等产量曲线凸向原点。
13.在长期内,一切生产要素都是可以调整的,没有固定成本。
14.在完全竞争市场中,需求曲线、平均收益曲线、边际收益曲线和曲线都从合在一起,且平行于用于表示需求量的横轴。
15.在价格不变条件下MR = MC,在价格递减条件下MR < MC。
二、选择题(15*2=30分)1.一个企业使用50单位的劳动,可以生产出1800单位的产量;使用60单位的劳动,可以生产出2100单位的产量。
经济学基础(专)(2020秋)形成性考核第二单元作业1、一个消费者愿意为第一杯啤酒消费11元,为第二杯支付7元,为第三杯支付4元,为第四杯支付2元。
如果每杯啤酒的价格为2元,则此消费者消费这四杯啤酒得到的消费者剩余是()元。
A.25B.15C.16D.18正确答案是:C.162、已知商品X的价格为1.5元,商品Y的价格为1元,如果消费者从这两种商品得到最大效用的时候,商品Y的边际效用是30,那么商品X的边际效用应该是()。
A.20B.30C.45D.40正确答案是:C.453、基数效用论采用的方法是()a.成本收益分析法b.等产量线分析法c.边际效用分析法d.无差异曲线分析法正确答案是:边际效用分析法4、等成本线向右上方移动表明()。
:A.产量提高了B.货币成本增加C.货币成本减少D.生产要素的价格按不同的比例提高了正确答案是:B.货币成本增加5、如果连续地增加某种生产要素,在总产量达到最大值时,边际产量曲线与()。
A.平均产量曲线相交B.横轴相交C.纵轴相交D.总产量线相交正确答案是:B.横轴相交6、经济学中长期和短期划分取决于()。
A.时间长短B.可否调整产量C.可否调整产品价格D.可否调整所有生产要素正确答案是:D.可否调整所有生产要素7、下面关于短期边际成本和短期平均成本的说法中哪一种是正确的()。
A.如果短期边际成本大于短期平均成本,短期平均成本可能上升或下降B.短期边际成本上升,短期平均成本一定上升C.如果短期边际成本小于短期平均成本,短期平均成本一定下降D.短期平均成本下降时,短期边际成本一定下降正确答案是:C.如果短期边际成本小于短期平均成本,短期平均成本一定下降8、利润最大化的原则是()。
A.边际成本小于边际收益B.边际成本等于边际收益C.边际成本大于边际收益D.边际成本等于平均成本正确答案是:B.边际成本等于边际收益9、在正常情况下,经济成本与经济利润()。
A.两者都比相应的会计成本与会计利润小B.两者都比相应的会计成本与会计利润大C.前者比会计成本大,后者比会计利润小D.前者比会计成本小,后者比会计利润大正确答案是:C.前者比会计成本大,后者比会计利润小10、固定成本是指()。
形考任务2(第六章至第九章)任务说明:本次形考任务包含填空题(21道,共20分),选择题(15道,共20分),判断题(15道,共20分),计算题(3道,共10分),问答题(3道,共30分)。
任务要求:下载任务附件,作答后再上传,由教师评分。
任务成绩:本次形考任务成绩占形成性考核成绩的20%,任务附件中题目是百分制。
教师在平台中录入的成绩=百分制成绩*20%一、填空题(21道,共20分)1.会计成本与机会成本之和称为经济成本。
2.短期边际成本是短期内每增加一单位产量所增加的成本总量。
3.短期边际成本曲线与短期平均成本曲线相交于短期平均成本曲线的最低点,这个相交点被称为收支相抵点;短期边际成本曲线与平均可变成本曲线相交于平均可变成本曲线的最低点,这个点被称为停止营业点。
4在长期边际成本曲线与长期平均成本曲线相交之前,长期边际成本小于长期平均成本;而在相交之后,长期边际成本大于长期平均成本。
5.在经济分析中,利润最大化的原则是边际收益等于边际成本。
6.根据、、,可以把市场分为完全竞争、垄断、垄断竞争、寡头四种类型。
7.在完全竞争市场上,平均收益等于边际收益;而在其他市场上,一般是平均收益大于边际收益。
8.垄断企业是价格的决定者,它按照自己规定的价格出售产品,而不像完全竞争企业那样是价格的接受者,按照既定的市场价格出售产品。
9.在垄断市场上,企业的成功取决于产品差别竞争。
10.现代寡头理论就是运用博弈论来研究寡头行为。
11.在完全竞争市场上,企业对生产要素的需求取决于生产要素的边际收益。
12.劳动的需求曲线是一条向右下方倾斜的曲线,这表明劳动的需求量与工资成反方向变动。
13.由于资本而提高的生产效率就是资本的净生产力。
14.经济租是指指生产要素的所有者所得的实际收入高于他们所希望得到的收入的差额。
15.正常利润是一种特殊的工资,其特殊性就在于其数额远远高于一般劳动所得到的工资。
16.收入再分配政策主要有两大类,即税收政策和社会福利。
经济学基础2次作业答案第一篇:经济学基础2次作业答案试述货币政策的主要工具以及当经济呈现过热势头时央行应如何运用这些工具。
答:第一,调整准备金率第二,提高利率第三,公开市场操作,公开进入市场买卖债券和其他资产当经济过热的时候,央行会倾向于先调整,准备金率,回收部分货币,如果还是控制不了,提高利率,继续回收货币,或者是干脆直接进入市场公开卖出国债,回收货币,反正经济过热就会实现回收货币的稳健或者从紧的货币政策试述国民收入核算中的缺陷。
答:西方国民收入核算体系缺陷:首先,非市场交易活动得不到反映。
例如,许多不经过市场交易的活动,像家务活动,自给自足生产等,难以在GDP统计中反映出来。
家务劳动由自己干改为雇人干,GDP就会上升,但国民经济实际产出并未增加。
又如,不少地下交易,只是为了逃避税收,在这里,经济活动发生了,GDP 统计中却未得到反映。
其次,有些严重影响到社会发展和人们生活质量的内容无法得到反映。
例如,GDP核算无法说明人们享受了多少闲暇(两个生产了同样多GDP的国家,一国成员劳动十分紧张,一国成员享有许多闲暇,显然后者福利大于前者)。
又如,GDP无法说明环境污染到了什么程度(两个生产了同样多GDP的国家,如一国环境污染了,另一国并未污染,显然,前一国人们不及后一国人们幸福)。
再次,西方国民收入核算把所有市场交易活动反映到GDP中来,并不能正确反映社会经济发展水平。
如某地赌博和黄色活动盛行,也许GDP 水平很高,但并不说明该地区经济发展能给人民带来幸福,而只说明社会生活腐朽。
最后,由于GDP含劳务活动,两个国家可以拥有相同的GDP,但物质生产水平大不一样。
第二篇:经济学基础作业[范文]经济学基础期末作业问题一:经济学基础学习的心得体会经济学对我来说是陌生的,以前只是在电视报纸上了解些国际经济形势,往往一扫而过,总觉得经济离自己很远。
通过一学期经济学基础课程的学习,虽然学的不多,但深深地体会到经济学也是很有意思的,原来经济就在我身边,我可以用学到的经济学知识解释生活中的很多现象,这是以前不可想象的。
江苏开放大学经济学基础形成性考核作业二及答案学号: ************* *名:***课程名称:经济学基础完成时间: 2019.1.第 2 次任务共 4 次任务一、单选题1、如果要使总产量达到最大,则一种生产要素的投入应该使:A、边际产量为零B、边际产量等于平均产量C、边际产量为正数D、边际产量为负数正确答案:A2、边际产量曲线与平均产量曲线相交时A、平均产量达到最大B、边际产量达到最大C、边际产量为零D、平均产量最低正确答案:A3、短期边际成本曲线与短期平均成本曲线的相交点是:A、平均成本曲线的最低点B、边际成本曲线的最低点C、平均成本曲线下降阶段的任何一点D、平均成本曲线上升阶段的任何一点正确答案:A4、在短期中,当边际成本曲线位于平均成本曲线上方时:A、平均成本是递减的B、平均成本是递增的C、边际成本是递减的D、边际成本保持不变正确答案:B二、判断题5、生产过程中的“短期”是指部分生产要素的投入可以调整,“长期”是指所有要素的投入量都可以调整。
A、正确B、错误正确答案:A6、根据边际产量递减规律,无论是在短期和长期生产过程中,厂商的产量或规模越小越好。
A、正确B、错误正确答案:B7、利润最大化就是实现无限的利润。
A、正确B、错误正确答案:B8、边际收益等于边际成本时,企业的正常利润为零。
A、正确B、错误正确答案:B9、在完全竞争市场上,长期均衡的条件是:A、MR=MCB、AR=ACC、MR=MC=AR=ACD、MR=MC,AR=AC正确答案:C10、完全竞争市场上的企业之所以是价格接受者,是因为:A、它对价格有较大程度的控制B、它生产了所在行业绝大部分产品C、它的产量只占行业的全部产量的一个很小的份额D、该行业只有很少数量的企业正确答案:C11、完全竞争市场上,平均收益与边际收益之间的关系是:A、平均收益大于边际收益B、平均收益等于边际收益C、平均收益小于边际收益D、以上都可能正确答案:B12、在垄断市场上,垄断企业能获得超额利润主要是由于:A、实行了买方垄断B、实行了卖方垄断C、对产品进行了创新D、生产过程中承担了风险正确答案:B13、在完全竞争市场上,当实现了长期均衡时,可获得超额利润。
国开经济学基础本形考任务二实训任务辅导答案任务要求任务二要求学生通过基本的经济学知识,分析和解答一系列与经济相关的问题,并提供合理的观点和论证。
具体要求如下:1. 根据所给数据和情景,回答与宏观经济学、微观经济学、经济政策等相关的问题。
2. 合理运用经济学原理和概念,进行问题分析和解决。
3. 提供清晰、准确的答案,并展示对经济问题的理解。
实训任务辅导答案问题一:根据所给数据,回答以下问题:1. 请根据GDP增长率变化的趋势,分析当前经济景气状态,并给出理由。
答案:根据数据显示,过去两年的GDP增长率呈上升趋势,说明经济正在稳步增长并具有良好的发展潜力。
这一趋势可以归因于政府采取的一系列经济政策,如减税和增加基础设施投资等措施。
此外,消费者信心指数也在上升,预示着市场需求的增加,进一步推动了经济增长。
2. 经济增长率对就业率的影响是怎样的?请简要解释。
答案:经济增长率对就业率有积极的影响。
较高的经济增长率通常伴随着更多的商业机会和投资活动,从而创造更多的就业机会。
企业经济状况的改善也会促使企业增加雇佣人数,直接提高就业率。
因此,经济增长率的上升通常会导致就业率的增加。
问题二:根据所提供的情景,回答以下问题:1. 当通货膨胀率上升时,央行应采取何种货币政策以稳定经济?答案:当通货膨胀率上升时,央行可以采取紧缩性货币政策。
这种政策的目的是通过提高利率和减少货币供应来抑制通货膨胀。
当利率上升时,人们的贷款成本增加,借款和消费减少,从而减少总需求。
2. 通货膨胀对消费者有何影响?请简要解释。
答案:通货膨胀对消费者有负面影响。
随着通货膨胀率的上升,物价普遍上涨,消费者购买力下降,相同数量的货币购买的商品和服务减少。
这可能会导致消费者减少支出和投资,从而影响经济增长。
以上提供的答案仅供参考,具体回答可以根据题目要求、学科背景和观点进行适度调整和拓展。
该文档内容总结了任务二的题目要求和提供了可能的解答。
希望能对您的研究和实训有所帮助!*注:以上内容为个人独立创作,无引用不可确认的内容。
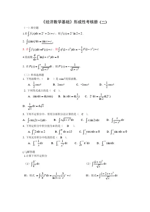
《经济数学基础》形成性考核册(二)(一)填空题 1.若c x x x f x++=⎰22d )(,则22ln 2)(+=x x f .2.⎰'x x d )sin (c x +sin . 3. 若c x F x x f +=⎰)(d )(,则⎰=-x x xf d )1(2c x F +--)1(212 4.设函数0d )1ln(d d e 12=+⎰x x x5. 若t tx P xd 11)(02⎰+=,则211)(xx P +-='.(二)单项选择题1. 下列函数中,( D )是x sin x 2的原函数. A .21cos x 2 B .2cos x 2 C .-2cos x 2 D .-21cos x 2 2. 下列等式成立的是( C ).A .)d(cos d sin x x x =B .)1d(d ln xx x = C .)d(22ln 1d 2x xx = D .x x xd d 1=3. 下列不定积分中,常用分部积分法计算的是( C ).A .⎰+x x c 1)d os(2,B .⎰-x x x d 12C .⎰x x x d 2sin D .⎰+x x xd 124. 下列定积分中积分值为0的是( D ). A .2d 211=⎰-x x B .15d 161=⎰-x C .0d cos =⎰-x x ππD .0d sin =⎰-x x ππ5. 下列无穷积分中收敛的是( B ).A .⎰∞+1d 1x x B .⎰∞+12d 1x xC .⎰∞+0d e x xD .⎰∞+1d sin x x(三)解答题1.计算下列不定积分(1)⎰x x x d e 3 (2)⎰+x x x d )1(2解:原式 c e x x +-==⎰)3(13ln 1d )e 3(x 解:原式⎰++=x xx x d 212c x x x x +++=++=⎰252321232121-52342)d x 2x (x(3)⎰+-x x x d 242 (4)⎰-x x d 211 解:原式c x x x x x x +-=+-+=⎰221d 2)2)(2(2 解:原式⎰--=)2-d(121121x xc x +--=21ln 21(5)⎰+x x x d 22(6)⎰x xx d sin解:原式⎰++=)d(222122x x 解:原式 ⎰=x d x s i n 2 c x ++=232)2(31 c x +-=cos 2(7)⎰x xx d 2sin(8)⎰+x x 1)d ln(解:原式⎰-=2cos 2x xd 解:原式⎰+-+=x x x d 1x x)1ln( cxx xd x x x ++-=+-=⎰2sin 42cos 2)2(2cos 42cos 2 c x x x x dx x x x +++-+=+--+=⎰)1ln()1ln()111()1ln(2.计算下列定积分 (1)x x d 121⎰-- (2)x x xd e 2121⎰解:原式⎰⎰-+-=-2111)1(d )1(dx x x x 解:原式)1d(211xe x⎰-=25212)1(21)1(21212112=+=-+--=-x x21211ee ex -=-=(3)x xx d ln 113e 1⎰+ (4)x x x d 2cos 20⎰π解:原式)1d(ln ln 12123e 1++=⎰x x解:原式x x dsin22120⎰=π224ln 1231=-=+=e x212cos 41)2(2sin 412sin 21202020-==-=⎰πππx x xd x x(5)x x x d ln e1⎰(6)x x x d )e 1(4⎰-+解:原式2e 1d ln 21x x ⎰=解:原式xe x dx -⎰⎰-=d 4040 )1(4141412121ln 21222112+=+-=-=⎰e e e xdx x x e e。
经济学基础(工商专)(20春)第2学期形考作业2
可促进技术进步的是
A:更多的机器设备
B:人力资本的增加
C:更严格的组织管理
D:更多劳动力
答案:B
边际效用服从的规律为
A:递增规律
B:条件递减规律
C:不遵循任何规律
D:递减规律
答案:D
需求曲线越平,弹性越(),需求量的变化对价格价格变化越()A:小,不敏感
B:小,敏感
C:大,不敏感
D:大,敏感
答案:D
组织生产中,以下哪种是固定的
A:资本
B:产量
C:劳动力
D:生产规模
答案:A
完全竞争市场下,全世界小麦的供给情况与什么决定了小麦的价格和产量A:世界市场的价格
B:边际收益
C:平均收益
D:需求情况
答案:D
寡头市场的特征
A:厂商数量少
B:存在相互制约关系
C:新厂商进入非常困难
D:价格竞争激烈
答案:A,B,C
完全垄断的条件
A:市场上只有唯一厂商
B:无相近替代品
C:其他厂商无法进入
D:可操纵市场价格
答案:A,B,C,D
收益与什么相关
A:总成本
B:总收入
C:时间
D:领导能力。
经济学基础(会计本)(20春)第2学期形考作业3在完全竞争市场上,厂商短期内继续生产的最低条件是(<span style="mso-spacerun: yes"> </span>)A:AC=AR<o:p></o:p>B:AVC<AR或AVC=AR<o:p></o:p>C:AVC>AR<span style="FONT-SIZE: 12pt; LINE-HEIGHT: 150%; FONT-FAMILY: 宋体; mso-hansi-font-family: 'Times New Roman'; mso-bidi-font-family: 宋体; mso-font-kerning: 0pt; mso-ansi-language: ZH-CN">或</span><span lang="EN-US" style="FONT-SIZE: 12pt; LINE-HEIGHT: 150%; FONT-FAMILY: 宋体; mso-hansi-font-family: 'Times New Roman'; mso-bidi-font-family: 宋体; mso-font-kerning: 0pt">AVC=AR<o:p></o:p></span> D:MC=MRE:P>AC<o:p></o:p>答案:B长期消费曲线的特点之一是A:<span style="FONT-SIZE: 12pt; LINE-HEIGHT: 150%; FONT-FAMILY: 宋体; mso-ascii-font-family: 'Times New Roman'">通过原点</span>B:<span style="FONT-SIZE: 12pt; LINE-HEIGHT: 150%; FONT-FAMILY: 宋体; mso-ascii-font-family: 'Times New Roman'">不通过原点</span>C:<span style="FONT-SIZE: 12pt; LINE-HEIGHT: 150%; FONT-FAMILY: 宋体; mso-ascii-font-family: 'Times New Roman'">与</span><span lang="EN-US" style="FONT-SIZE: 12pt; LINE-HEIGHT: 150%">45°</span><spanstyle="FONT-SIZE: 12pt; LINE-HEIGHT: 150%; FONT-FAMILY: 宋体; mso-ascii-font-family: 'Times New Roman'">线相交</span><span lang="EN-US" style="FONT-SIZE: 12pt; LINE-HEIGHT: 150%"><o:p></o:p></span>答案:A<span style="FONT-SIZE: 12pt; LINE-HEIGHT: 150%; FONT-FAMILY: 宋体; mso-hansi-font-family: 'Times New Roman'; mso-bidi-font-family: 宋体; mso-font-kerning: 0pt; mso-ansi-language: ZH-CN">在(<span style="mso-spacerun: yes"> </span>)项下一个完全竞争厂商处于短期均衡</span><span style="FONT-SIZE: 12pt; LINE-HEIGHT: 150%; FONT-FAMILY: 宋体; mso-hansi-font-family: 'Times New Roman'; mso-font-kerning: 0pt; mso-ansi-language: ZH-CN"><o:p></o:p></span>A:<span lang="EN-US" style="FONT-SIZE: 12pt; LINE-HEIGHT: 150%; FONT-FAMILY: Arial; mso-font-kerning: 0pt">AVC=MC<o:p></o:p></span> B:<span lang="EN-US" style="FONT-SIZE: 12pt; LINE-HEIGHT: 150%; FONT-FAMILY: Arial; mso-font-kerning: 0pt">AC=MC<o:p></o:p></span> C:<span lang="EN-US" style="FONT-SIZE: 12pt; LINE-HEIGHT: 150%; FONT-FAMILY: Arial; mso-font-kerning: 0pt">P=AC<o:p></o:p></span> D:<span lang="EN-US" style="FONT-SIZE: 12pt; LINE-HEIGHT: 150%; FONT-FAMILY: Arial; mso-font-kerning: 0pt">P=MR<o:p></o:p></span>E:<span lang="EN-US" style="FONT-SIZE: 12pt; LINE-HEIGHT: 150%; FONT-FAMILY: Arial; mso-font-kerning: 0pt">P=MC<o:p></o:p></span>答案:E寡头垄断厂商的产品是()A:同质的B:有差异的C:既可以是同质的又可以是有差异的D:以上都不对答案:C菲利普斯曲线表明,要压低失业率,就不得不付出下述代价A:<span style="FONT-SIZE: 12pt; LINE-HEIGHT: 150%; FONT-FAMILY: 宋体">通货膨胀上升</span>B:政府预算赤字增大C:利息率上升答案:A<span style="FONT-SIZE: 12pt; LINE-HEIGHT: 150%; FONT-FAMILY: 宋体; mso-font-kerning: 0pt; mso-ansi-language: ZH-CN; mso-ascii-font-family:。
经济学基础(会计专)(20春)第2学期形考作业2按当年价格计算的该年的国内生产总值的是
选项【A】:名义GDP
选项【B】:实际GDP
选项【C】:人均GDP
选项【D】:GDP
正确选项:A
需求曲线越平,弹性越(),需求量的变化对价格价格变化越()
选项【A】:小,不敏感
选项【B】:小,敏感
选项【C】:大,不敏感
选项【D】:大,敏感
正确选项:D
基尼系数为多少时表示绝对平均
选项【A】:小于0.2
选项【B】:0.2-0.3
选项【C】:0.3-0.4
选项【D】:0.4-0.5
正确选项:A
总成本按比例增长,总收入以什么形式增长
选项【A】:递增
选项【B】:递减
选项【C】:X曲线
选项【D】:回归曲线
正确选项:B
当Y价格不变,X价格发生变动时,预算线的变化为。
江苏开放大学
形成性考核作业
学号
姓名
所在教学点
课程代码110139
课程名称经济学基础
评阅教师
第二次任务共四次任务
【第二次形成性考核】(理论教学)
第一部分习题
一、填空题(15*2=30分)
1.在边际产量曲线与平均产量曲线相交前,边际产量高于平均产量;在相交后,边际产量低于平均产量;在相交时,平均产量达到最大。
2.如果生产者的货币成本增加,则等成本线向右平行移动;货币成本减少,则等成本线向左平行移动。
3.短期总成本曲线一条从原点出以,向右上方倾斜的曲线。
4.短期边际成本曲线与短期平均成本曲线相交于短期平均成本曲线的最低点,这个相交点被称为收支相抵点。
5.短期边际成本曲线与平均可变成本曲线相交于平均可变成本曲线的最低点,这个点被称为停止营业点。
6.在停止营业点上,价格只能弥补可变成本,这时所损失的是固定成本。
7.在经济分析中,利润最大化的原则是MR=MC 。
8.在完全竞争市场上,对整个行业来说,需求曲线是一条向右下方倾斜的曲线;对个别企业来说需求曲线是一条水平线。
9.在完全竞争市场上,企业短期均衡的条件是MR=MC且MR>A VC ,长期均衡的条件是P=MR=SMC=LMC=SAC=LAC=AR 。
10.垄断市场上短期均衡的条件是SMC=MR ,长期均衡的条件是LMC=SMC=MR 。
11.在垄断竞争市场上,短期均衡的条件是SMC=MR ,长期均衡的条件是LMR=LMC 和P=LAR=LAC 。
12.边际替代率递减决定了等产量曲线凸向原点。
13.在长期内,一切生产要素都是可以调整的,没有固定成本。
14.在完全竞争市场中,需求曲线、平均收益曲线、边际收益曲线和曲线都从合在一起,且平行于用于表示需求量的横轴。
15.在价格不变条件下MR = MC,在价格递减条件下MR < MC。
二、选择题(15*2=30分)
1.一个企业使用50单位的劳动,可以生产出1800单位的产量;使用60单位的劳动,可以生产出2100单位的产量。
生产额外—单位劳动的边际产量是( B )
A.3 B.30 C.300 D.36
2.边际产量曲线与平均产量曲线相交时( A )
A.平均产量达到最大B.边际产量达到最大
C.边际产量为0 D.平均产量最低
3.下列说法中错误的一种说法是( B )
A.只要总产量减少,边际产量一定是负数
B.只要边际产量减少,总产量也一定减少
C.边际产量曲线一定在平均产量曲线的最高点与之相交
D.只要平均产量增加,边际产量就大于平均产量
4.等成本线向右上方平行移动表明( B )
A.产量提高了B.货币成本增加
C.货币成本减少D.生产要素的价格按不同的比例提高了
5.经济学分析中所说的长期是指( A )
A.全部生产要素均可随产量进行调整的时期
B.1年以上
C.只能根据产量调整部分生产要素的时期
D.10年以上
6.某企业生产5件衣服的总成本为1500元,其中厂房和机器折旧为500元,工人工资及原材料费用为1000元,那么平均可变成本为( B )
A.300 B.200 C.100 D.500
7.在短期,随着产量的增加,平均固定成本( B )
A.先减少后增加B.一直趋于减少
C.一直趋于增加D.先增加后减少
8.下面关于边际成本和平均成本的说法中哪一个是正确的( C )
A.如果边际成本大于平均成本,平均成本可能上升或下降
B.边际成本上升时,平均成本一定上升
C.如果边际成本小于平均成本,平均成本一定下降
D.平均成本下降时,边际成本一定下降
9.短期边际成本曲线与短期平均成本曲线相交之后( B )
A.边际成本等于平均成本B.边际成本大于平均成本
C.;边际成本小于平均成本D.边际成本小于0
10.在完全竞争市场上,短期内企业继续生产的条件是( B )
A.AC = AR B.AVC<AR或AVC = AR
C.AVC>AR或AVC = AR D.MC = MR
11.在垄断市场上,边际收益与平均收益的关系是( B )
A.边际收益大于平均收益
B.边际收益小于平均收益
C.边际收益等于平均收益
D.边际收益曲线交于平均收益曲线的最低点
12.生产者成本不变而两种生产要素价格同比例增加,则等成本线:(C)
A.平行向右移动 B.平行移动
C.平行向左移动 D.等成本线不变。
13.LAC曲线呈“U”的原因是:( C )
A.边际产量变动 B.边际效用递减规律
C.规模报酬变动规律 D.短期成本先上升后下降
14.下列关于LAC曲线与SAC曲线说法正确的有:( B )
A.LAC曲线相切于无数条SAC曲线
B.在长期平均成本曲线的左边,LAC曲线相切于SAC 曲线最低点的左边
C.LAC曲线相切于无数条SAC 的最低点 D.LAC曲线相是无数条SAC曲线的包络线
E.在任何情况下LAC曲线都不能相交于SAC曲线的最低点
15.作为价格领袖的寡头厂商一般有以下三种类型:( A )
A.成本主导型 B.支配型 C.效率型 D.晴雨表型 E.卡特尔型
三、判断正误题(5*2=10分)
1.利用两条等产量线的交点所表示的生产要素组合,可以生产出数量不同的产品。
×
2.短期总成本曲线是一条从原点出发,且向右上方倾斜的曲线。
×
3.停止营业点就是短期边际成本曲线与平均可变成本曲线的交点。
√
4.完全竞争市场实现了长期均衡时,由于成本等于收益,企业无法得到正常利润。
×
5.只要厂商实现了均衡就获得了经济利润。
×
四、计算题(15*2=30分)
1.某个拥有一个企业,假设该企业每年收益为100万元。
有关资料如下:
(1)如果不经营这家企业而去找一份工作,他可以得到每年2万元的工资;
(2)厂房租金3万元;
(3)原材料支出60万元
(4)设备折旧3万元;
(5)工人工资10万元;
(6)电力等3万元;
(7)使用一部分自有资金进行生产,该资金若存入银行,预计可得5万元利息。
货款利息15万元。
该企业的会计成本和会计利润、经济成本和经济利润分别是多少?
答:企业生产与经营中的各种实际支出称为会计成本,会计成本=3+60+3+10+3+15=94万元,会计利润=100-94=6万元;
经济利润=100-(94+2+5)=-1万元(即亏损1万元)
2.根据短期总成本、短期固定成本、短期可变成本、短期平均成本、短期平均固定成本、短期平均可变成。